Главная // Актуальные документы // ГОСТ (Государственный стандарт)СПРАВКА
Источник публикации
М.: Стандартинформ, 2016
Примечание к документу
Документ
введен в действие с 01.07.2016.
Название документа
"ГОСТ IEC 60050-113-2015. Межгосударственный стандарт. Международный электротехнический словарь. Часть 113. Физика в электротехнике"
(введен в действие Приказом Росстандарта от 12.11.2015 N 1775-ст)
"ГОСТ IEC 60050-113-2015. Межгосударственный стандарт. Международный электротехнический словарь. Часть 113. Физика в электротехнике"
(введен в действие Приказом Росстандарта от 12.11.2015 N 1775-ст)
агентства по техническому
регулированию и метрологии
от 12 ноября 2015 г. N 1775-ст
МЕЖГОСУДАРСТВЕННЫЙ СТАНДАРТ
МЕЖДУНАРОДНЫЙ ЭЛЕКТРОТЕХНИЧЕСКИЙ СЛОВАРЬ
ЧАСТЬ 113
ФИЗИКА В ЭЛЕКТРОТЕХНИКЕ
International Electrotechnical Vocabulary. Part 113.
Physics for electrotechnology
(IEC 60050-113:2011, IDT)
ГОСТ IEC 60050-113-2015
Дата введения
1 июля 2016 года
Цели, основные принципы и основной порядок проведения работ по межгосударственной стандартизации установлены
ГОСТ 1.0-92 "Межгосударственная система стандартизации. Основные положения" и
ГОСТ 1.2-2009 "Межгосударственная система стандартизации. Стандарты межгосударственные, правила и рекомендации по межгосударственной стандартизации. Порядок разработки, принятия, применения, обновления и отмены"
1 ПОДГОТОВЛЕН Открытым акционерным обществом "Всероссийский научно-исследовательский институт сертификации" (ОАО "ВНИИС") на основе собственного аутентичного перевода на русский язык международного стандарта, указанного в
пункте 5
2 ВНЕСЕН Федеральным агентством по техническому регулированию и метрологии
3 ПРИНЯТ Межгосударственным советом по стандартизации, метрологии и сертификации (протокол от 29 сентября 2015 г. N 80-П)
За принятие проголосовали:
Краткое наименование страны по МК (ИСО 3166) 004-97 | Код страны по МК (ИСО 3166) 004-97 | Сокращенное наименование национального органа по стандартизации |
Армения | AM | Минэкономики Республики Армения |
Беларусь | BY | Госстандарт Республики Беларусь |
Казахстан | KZ | Госстандарт Республики Казахстан |
Киргизия | KG | Кыргызстандарт |
Молдова | MD | Молдова-Стандарт |
Россия | RU | Росстандарт |
Таджикистан | TJ | Таджикстандарт |
4
Приказом Федерального агентства по техническому регулированию и метрологии от 12 ноября 2015 г. N 1775-ст межгосударственный стандарт ГОСТ IEC 60050-113-2015 введен в действие в качестве национального стандарта Российской Федерации с 1 июля 2016 г.
5 Настоящий стандарт идентичен международному стандарту IEC 60050-113:2011 International Electrotechnical Vocabulary. Part 113: Physics for electrotechnology (Международный электротехнический словарь. Часть 113. Физика в электротехнике), включая поправку Cor.1:2011.
Международный стандарт разработан Международной электротехнической комиссией (IEC).
Перевод с английского языка (en).
Сведения о соответствии межгосударственных стандартов ссылочным международным стандартам приведены в дополнительном
приложении ДА.
Степень соответствия - идентичная (IDT)
6 ВВЕДЕН ВПЕРВЫЕ
Информация об изменениях к настоящему стандарту публикуется в ежегодном информационном указателе "Национальные стандарты", а текст изменений и поправок - в ежемесячном информационном указателе "Национальные стандарты". В случае пересмотра (замены) или отмены настоящего стандарта соответствующее уведомление будет опубликовано в ежемесячном информационном указателе "Национальные стандарты". Соответствующая информация, уведомление и тексты размещаются также в информационной системе общего пользования - на официальном сайте Федерального агентства по техническому регулированию и метрологии в сети Интернет
Логически вытекающие принципы и правила
Общие положения
IEV (серия IEC 60050) является многоязычным словарем общего назначения, охватывающим область электрофизических принципов электротехники, электроники и телекоммуникации. Он включает 18 000 терминологических вводов, каждый из которых соответствует концепции. Эти вводы распределяются среди 80 частей, каждая часть соответствует данному полю.
Примеры:
Часть 161 (IEC 60050-161): Электромагнитная совместимость;
Часть 411 (IEC 60050-411): Вращающиеся машины и механизмы.
Вводы придерживаются иерархической схемы классификации Часть/Раздел/Концепция. Концепции, находящиеся в рамках разделов, организованы в систематическом порядке.
Термины, определения и примечания вводов даются на трех языках IEC, т.е. французском, английском и русском (официальных языках IEV).
Дополнительно каждая часть включает алфавитный указатель терминов, включенных в соответствующую часть на языках IEV.
Примечание - Некоторые языки могут быть пропущены.
Организация терминологического ввода
Каждый ввод соответствует концепции и включает в себе следующее:
- номер ввода;
- возможный буквенный символ для количества или единицы измерения
затем для каждого официального языка IEV дается:
- термин, обозначающий концепцию, называемый "предпочтительным термином", по возможности сопровождаемый синонимом и сокращением;
- определение концепции;
- источник, по возможности;
- примечания, по возможности
и, наконец, для дополнительных языков IEV даются одни термины.
Номер ввода
Номер ввода составляется из трех элементов, разделенных дефисами:
- номер части: 3 цифры;
- номер раздела: 2 цифры;
- номер концепции: 2 цифры (от 00 до 99).
Пример: 161-13-82.
Предпочтительные термины и синонимы
Предпочтительным термином является термин, который возглавляет терминологический ввод; за ним могут следовать синонимы. Он печатается полужирным шрифтом.
Атрибуты
За каждым термином (или синонимом) могут следовать атрибуты, дающие дополнительную информацию и напечатанные светлым шрифтом на той же самой строке, что и соответствующий термин.
Примеры атрибутов:
- специальное использование термина:
линия электропередачи (в электроэнергетических системах);
- национальный вариант:
- lift GB;
- грамматическая информация:
термопласт, сущ.,
АС, квалификатор;
- сокращение:
ЭМС (сокращение);
- возражаемый:
choke (возражаемый).
Источник
В некоторых случаях в одну часть IEV необходимо включить концепцию, взятую из другой части IEV или другого официального терминологического документа (VIM, ISO/IEC 2382 и т.д.), в обоих случаях с внесением изменения в определение (и, возможно, в термин) или без изменения.
Это указывается путем упоминания источника, напечатанного светлым шрифтом и помещенного между квадратными скобками в конце определения.
Пример: [131-03-13 MOD].
(MOD указывает, что в определение внесено изменение).
Термины на дополнительных языках IEV
Эти термины размещаются в конце ввода на отдельных строках (одна строка для каждого языка). Ему предшествует код альфа-2 для языка, определенного в ISO 639 и в алфавитном порядке этого кода. Синонимы разделяются точкой с запятой.
Настоящий стандарт устанавливает общие термины по физическим понятиям, применяемые в различных областях электричества, электроники и электросвязи.
Настоящий стандарт включает в себя определения наиболее обычных понятий пространства-времени, макроскопической физики, механики, термодинамики, физики (элементарных) частиц и физики твердого тела, но они не всегда являются полными в физическом смысле.
Настоящий стандарт не является пособием.
В настоящем документе использованы ссылки на следующий стандарт. Для применения настоящего стандарта действительно только указанное издание.
IEC Guide 108:2006, Guidelines for ensuring the coherency of IEC publications - Application of horizontal standards (Руководящие указания по обеспечению логической связи изданий IEC. Применение горизонтальных стандартов).
Раздел 113-01 Пространство и время
113-01-01
пространство-время (space-time): Концептуальная модель, имеющая свойства четырехмерного математического пространства и используемая для описания всего существующего физически.
113-01-02
пространство (space): Трехмерное подпространство пространства-времени в случае, когда тремя декартовыми (прямоугольными) координатами являются величины длины и которое в определенном месте может считаться как Эвклидово пространство.
113-01-03
время (time): Одномерное подпространство пространства-времени, которое в определенном месте является ортогональным к пространству.
113-01-04
событие (event): То, что имеет место, происходит, наступает в произвольной точке пространства-времени.
Примечание - В чистой физике мгновенное событие считается как точка в пространстве-времени.
113-01-05
мгновенный (instantaneous): Относится к событию, которое считается как не имеющее протяженности во времени.
113-01-06
процесс (process): Последовательность во времени взаимосвязанных событий.
Примечание - Это определение представляет связанное со временем понятие процесса. Определение, связанное с функцией, дается в IEC 60050-351 (351-21-43).
113-01-07
ось времени (time axis): Математическое представление последовательности во времени мгновенных событий вдоль единственной в своем роде оси.
Примечание - Согласно специальной теории относительности временная ось зависит от выбора пространственной системы отсчета.
113-01-08
мгновение (instant): Точка на оси времени.
Примечание - Мгновенное событие случается в специфическое мгновение.
113-01-09
одновременный (simultaneous): Относится к двум или больше событиям, имеющим одно и то же начальное и конечное мгновение.
Примечание - Согласно специальной теории относительности понятие "одновременный" зависит от выбора пространственной системы отсчета.
113-01-10
интервал времени (time interval): Часть оси времени, ограниченной двумя мгновениями.
Примечания:
1 Интервал времени включает все мгновения между двумя ограничивающими мгновениями и, если не задано иначе, между самими предельными мгновениями.
2 Интервал времени может быть задан датами, отмечающими начальное и конечное мгновение, или одной из этих дат и длительностью временного интервала.
3 Для термина "интервал времени" слово "время" часто используется, но не рекомендуется в этом смысле. Выражение "интервал времени" часто используется в смысле "продолжительности"
(113-01-13), но против такого использования имеются возражения во избежание путаницы.
113-01-11
шкала времени (time scale): Система упорядоченных отметок, которая может быть отнесена к мгновениям на оси времени, когда одно мгновение выбирается в качестве начала координат.
Примечания
1 Шкала времени может быть выбрана как:
- непрерывная шкала, например, международное атомное время (TAI) (смотрите 713-05-18);
- непрерывная шкала с точками разрыва, например, всеобщее скоординированное время (UTC) (смотрите 713-05-20) вследствие корректировочных секунд, перехода с поясного летнего на зимнее время;
- последовательные шаги, например, обычные календари, когда ось времени делится на последовательность идущих друг за другом временных интервалов и некоторая метка приписывается ко всем мгновениям каждого интервала времени;
- дискретная шкала, например, в цифровых технологиях.
2 Для физических и технических применений шкала времени с количественными метками является предпочтительной на основе выбранного начального мгновения вместе с единицей измерения.
3 Обычные шкалы времени используют разные единицы измерения в комбинации, например, секунда, минута, час, или разные интервалы времени календаря, например, календарный день, календарный месяц, календарный год.
113-01-12
дата (date): Метка, отнесенная к мгновению посредством заданной шкалы времени.
Примечания
1 На шкале времени, состоящей из последовательных шагов, два различимых мгновения могут быть выражены одной и той же датой (смотрите
Примечание 1 к термину "шкала времени" в 113-01-11).
2 Что касается заданной шкалы времени, то дату можно также считать продолжительностью между началом координат шкалы времени и рассматриваемым мгновением.
3 На общепринятом языке термин "дата" используется главным образом в случае, когда шкала времени является календарем как последовательность дней.
113-01-13
продолжительность времени (для непрерывных шкал времени) (duration time (for continuous time scales)): Диапазон интервала времени
(113-01-10).
Примечания
1 Продолжительность интервала времени есть не отрицательная величина, равная разности между датами конечного мгновения и начального мгновения временного интервала, когда даты являются количественными метками. Разные интервалы времени могут иметь одну и ту же продолжительность, например, зависимое от времени периодическое количество есть продолжительность, которая является независимой от выбора начального мгновения.
2 Продолжительность является одной из базовых величин в Международной системе количеств (ISQ - International System of Quantities), на основе которой строится Международная система единиц (SI). Термин "время" часто используется вместо термина "продолжительность" в этом контексте, а также для продолжительности бесконечно малой величины.
3 Для термина "продолжительность" часто используются выражения слов "время" и "интервал времени", но термин "время" не рекомендуется в этом смысле, а против термина "интервал времени" имеются возражения в этом смысле, чтобы избежать путаницы с понятием "интервал времени".
4 Когерентной единицей измерения продолжительности и времени в системе СИ является секунда, с, (см. IEC 60050-112). Единицы измерения минута (1 мин = 60 с), час (1 час = 60 мин = 3600 с) и день (1 день = 24 часа = 86400 с) принимаются для использования в СИ.
5 На обычном языке слово "время" используется с несколькими разными значениями. В техническом языке, однако, следует использовать более точные термины, например, дата, продолжительность, интервал времени.
113-01-14
накопленная продолжительность; общая продолжительность; накопленное время (accumulated duration; total duration; accumulated time): Сумма продолжительностей, характеризуемая данными условиями за данный интервал времени.
Примечание - Интервалы времени, имеющие отношение к разным продолжительностям, могут перекрывать или не перекрывать друг друга. Пример интервалов времени без перекрытия: накопленное время простоя. Пример интервала времени с перекрытием: человеко-часы технического обслуживания. (Смотрите IEC 60050-191:1990).
113-01-15
календарный день (calendar day): Интервал времени, начинающийся в полночь и заканчивающийся в следующую полночь.
Примечания
1 Полночь окончания календарного дня совпадает с полночью начала следующего дня.
2 Продолжительность календарного дня составляет 24 ч, за исключением специальных ситуаций (светлое время суток, секунда координации, добавляемая к всемирному координированному времени).
113-01-16
дата календаря (calendar date): Дата на шкале времени, состоящая из начала календаря и последовательности календарных дней.
Примечания
1 В стандартизованном календаре каждый календарный день длится от одной полуночи до следующей полуночи поясного времени в данном местоположении. Последовательные календарные дни обычно группируются вместе в разные временные интервалы, т.е. календарные недели, календарные месяцы, календарные годы.
2 В стандартизованном календаре дата календаря выражается тройкой чисел, состоящих из числа года относительно условного начала, числа месяца в пределах этого года и числа дня в пределах этого месяца. Стандартизованное представление (смотрите ISO 8601) заключается в порядке год-месяц-день, как на примере 1990-11-15.
113-01-17
поясное время (standard time): Шкала времени, выведенная из всеобщего скоординированного времени, UTC, путем сдвига времени в данном месте по распоряжению компетентной власти.
Примечание - Примерами являются Центральное Европейское время (CET - Central European Time), Центральное Европейское летнее время (CEST), Тихоокеанское поясное время (PST - Pacific Standard Time), Японское поясное время (JST - Japanese Standard Time) и т.д.
113-01-18
время на часах; поясное время дня (clock time; standard time of day): Количественное выражение, отмечающее мгновение в пределах календарного дня продолжительностью, истекшей после полуночи в местном поясном времени.
Примечания
1 Обычно время на часах представляется числом часов, истекших после полуночи, числом минут, истекших после первого целого часа и, если необходимо, числом секунд, истекших после последней полной минуты, возможно в десятых долях секунды. Примеры стандартизованного представления: 09:01; 09:01:12, 09:01:12,23. Комбинация даты календаря и времени на часах отмечается вставкой символа T; примером является, 1998-11-15T09:01:12. Смотрите ISO 8601.
2 Продолжительность, использованная в этом определении, видоизменяется для специальных ситуаций (светлое время суток, корректирующая секунда).
113-01-19
длина (
l,
L) (length): Не отрицательная добавочная величина, отнесенная одномерному объекту в пространстве.
Примечания
1 Длина является одной из базовых величин в Международной системе количеств (ISQ - International System of Quantities), на основе которой создана Международная система единиц (SI).
2 Длина кривой линии и дистанция двух точек определяются в IEC 60050-102:2007 (102-04-18 и 102-03-24).
3 Термин длина используется также по соглашению для наибольшего размера объекта в отличие от ширины и от высоты или толщины.
4 Когерентной единицей длины в СИ является метр, м (см. IEC 60050-112:2010, 112-02-05) Единицей измерения не в системе СИ, используемой специальными заинтересованными группами, является ангстрем, А' (1 А' = 10 - 10 м) и морская миля (1 морская миля = 1852 м). Единицей, принятой для использования в СИ, значение которой должно быть получено экспериментально, является астрономическая единица, ua, приблизительно равная среднему расстоянию Земля-Солнце.
113-01-20
ширина (
b,
B) (breadth; width): Длина в данном направлении, которое считается как горизонтальное.
Примечание - Термин ширина (breadth and width) часто используется по соглашению в отличие от длины и от высоты или толщины.
113-01-21
высота (
h) (height): Длина в направлении, которое считается как вертикальное.
113-01-22
альтитуда (
H) (altitude): Высота над уровнем моря.
113-01-23
глубина (
h) (depth): Расстояние от поверхности твердого или жидкого тела до точки вовнутрь.
113-01-24
толщина (
d,

) (thickness): Кратчайшее расстояние между двумя поверхностями, ограничивающими слой, когда это расстояние можно считать постоянной величиной по области конечного размера.
113-01-25
радиус (
r,
R) (radius): Расстояние от центра круга до окружности.
Примечание - Радиус сферы есть радиус большого круга.
113-01-26
расстояние по радиусу (
rQ,

) (radial distance): Самое короткое расстояние от данной точки до точки на оси
Q.
113-01-27
диаметр (
d,
D) (diameter): Максимальное расстояние двух точек объекта в данном направлении или вдоль прямой линии, проходящей через центр.
Примечание - Диаметр круга или сферы равен двум радиусам круга или сферы.
113-01-28
длина траектории (
s) (length of path): Длина, пройденная движущейся точкой от своего исходного положения в свое конечное положение.
113-01-29
смещение 
(displacement): Для данной точки - это разность вектора конечного положения
rf и вектора начального положения
ri, таким образом,
.
113-01-30
радиус кривизны 
(radius of curvature): На точке кривой - это радиус соприкасающейся окружности.
Примечание - Соприкасающаяся окружность есть касательная круга к кривой в точке, которая лучше всего приближает эту кривую вблизи этой точки.
113-01-31
кривизна (
k) (curvature): Инверсия радиуса кривизны

, таким образом,

.
Примечания
1 Кривизна есть предельное значение отношения разности углов касательных в двух соседних точках на кривой к их расстоянию, когда это расстояние стремится к нулю.
2 Когерентной единицей измерения кривизны в системе СИ является метр в степени минус единица, м-1.
113-01-32
вектор скорости (
v) (velocity): Векторная величина
v =
dr/
dt, где
r является вектором положения, а
t - время.
Примечания
1 Вектор скорости относится к точке, характеризуемой ее вектором положения. Эта точка может ограничивать частицу или может быть приложена к любому другому объекту, например, телу или волне.
2 Вектор скорости зависит от выбора системы отсчета. Должно обязательно применяться правильное преобразование между системами отсчета: преобразование Галилея для не релятивистского описания, преобразование Лоренца для релятивистского описания.
3 Когерентной единицей измерения вектора скорости в системе СИ является метр в секунду, м/с.
113-01-33
скорость (
v) (speed): Модуль вектора скорости
v, таким образом,
v = |
v|.
Примечание - Когерентной единицей измерения скорости в системе СИ является метр в секунду, м/с. Часто используется единица измерения скорости "километр в час", км/ч. Единицей измерения скорости не в СИ является узел. Knot - kn, 1 узел = 1 морской мили в час = (1852 м/3600) м/с ~= 0,514 444 м/с.
113-01-34
скорость света; световая скорость; скорость света в вакууме; люминальная скорость (
c0) (speed of light; light speed; speed of light in vacuum; luminal speed): Основная физическая постоянная величина, значение которой было установлено точно 299 792 458 м/с с определением метра в СИ.
Примечания
1 Любая электромагнитная волна распространяется в вакууме со скоростью света.
2 Термин "люминальная скорость" иногда используется в теории относительности.
113-01-35
релятивистская скорость (relativistic speed): Скорость, которая не считается незначительной при сравнении со скоростью света, так что последствия специальной теории относительности надо принимать во внимание.
113-01-36
сверхлюминальная скорость (superluminal speed): Скорость выше скорости света.
Примечание - Никакой материальный объект не может двигаться со сверхлюминальной скоростью. Никакая информация не может быть передана со сверхлюминальной скоростью.
113-01-37
сублюминальная скорость (subluminal speed): Скорость ниже скорости света.
Примечание - Этот термин используется только в противоположность сверхлюминальной скорости в теории относительности.
113-01-38
ускорение (
a) (acceleration): Векторная величина
a =
dv/
dt, где
v есть скорость, а
t - время.
Примечания
1 Ускорение относится к точке, характеризуемой вектором ее положения. Эта точка может ограничивать распространение частицы или может быть приложена к любому другому объекту, например, телу или волне.
2 Ускорение зависит от выбора системы отсчета.
3 Когерентной единицей измерения ускорения в системе СИ является метр в секунду в квадрате, м/с2.
113-01-39
ускорение свободного падения; ускорение вследствие силы тяжести (g) (имеются возражения) (acceleration of free fall; acceleration due to gravity (deprecated)): Местное ускорение, равное векторной сумме ускорения вследствие силы тяжести и центробежного ускорения в системе отсчета, закрепленной на вращающейся Земле.
Примечания
1 Концепция ускорения свободного падения может быть использована для любого другого астрономического объекта.
2 При падении тела в атмосфере оно испытывает другие воздействия, например, силу Кориолиса и силу выталкивания. Эти дополнительные воздействия не учитываются в определении ускорения свободного падения.
113-01-40
стандартное ускорение свободного падения (
gn) (standard acceleration of free fall): Общепринятое значение величины ускорения свободного падения:
gn = 9,806 65 м/с
2.
Примечание - Ускорение свободного падения на поверхность Земли изменяется от места к месту и его величина близка к стандартному ускорению свободного падения.
113-01-41
угловая скорость 
(angular velocity): Осевая векторная величина, характеризующая вращение вокруг оси с модулем числа

, где

есть изменение угла плоскости в течение бесконечно малой величины интервала времени с длительностью
dt и направлением вдоль оси, для которой вращение осуществляется по часовой стрелке.
Примечания
1 В инерциальной системе отсчета угловая скорость не зависит от выбранной системы координат при условии, что ориентация пространства сохраняется (правосторонняя или левосторонняя).
2 Когерентной единицей измерения угловой скорости в системе СИ является радиан в секунду, рад/с.
113-01-42
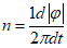
частота вращения; скорость вращения (
n) (rotational frequency; speed of rotation): Модуль числа угловой скорости

, деленный на угол

, таким образом,

.
Примечания
1 Частота вращения также является производной абсолютного значения угла вращения

относительно времени
t, деленного на

, таким образом,

.
2 Когерентной единицей измерения частоты вращения в системе СИ является секунда в степени минус 1, с-1. Единицы измерения вращения в секунду, символ r/s, и вращения в мин, символ r/мин, широко используется в технических условиях для вращающихся машин и механизмов.
113-01-43
угол вращения; ориентированный угол 
(angle of rotation; oriented angle): Для точки, вращающейся вокруг неподвижной оси, частное длины, пройденной этой точкой, и расстояния от этой точки до оси, взятое отрицательное или положительное согласно тому, наблюдается ли вращение против часовой или по часовой стрелке соответственно, если наблюдатель смотрит в направлении, противоположном направлению оси.
Примечания
1 Угол вращения может принимать любое вещественное значение, несмотря на то, что угол или угол плоскости, определенный в геометрии (см. IEC 60050-102:2017, 102-04-14), является не отрицательным и ограниченным до самого близкого интервала [0,

].
2 Когерентной единицей измерения угла вращения является радиан (символ рад.). Другими единицами измерения, принятыми в СИ, являются градус (символ °), минута (символ ') и секунда (символ ").

, 1' = (1/60)°, 1" = (1/60)'. Единицей измерения не в системе СИ является оборот (символ
r).
| | ИС МЕГАНОРМ: примечание. Текст дан в соответствии с официальным текстом документа. | |
113-01-44
вектор вращения 
(rotation vector): Вектор, равный произведению единичного вектора
e в направлении неподвижной оси вращения и угла вращения

, таким образом,

.
113-01-45
оборот (
r) (revolution): Не СИ единица измерения угла вращения, равного

рад.
Примечание - Единица измерения оборот широко используется в технических условиях для вращающихся машин и механизмов.
113-01-46
угловое ускорение 
(angular acceleration): Осевая векторная величина, заданная производной угловой скорости

относительно времени
t, таким образом,

.
Примечание - Когерентной единицей измерения углового ускорения в СИ является радиан в секунду в квадрате, рад/с2.
Раздел 113-02 Общие макроскопические понятия
113-02-01
однородный (homogeneous): Квалифицирует физическую среду, в которой уместные свойства являются независимыми от положения в этой среде.
Примечание - Вакуум может считаться однородной средой.
113-02-02
неоднородный; гетерогенный (inhomogeneous; heterogeneous): Квалифицирует физическую среду, в которой уместные свойства зависят от положения в этой среде.
Примечание - Кристаллы, как правило, являются неоднородной (гетерогенной) средой.
113-02-03
изотропный (isotropic): Квалифицирует физическую среду, в которой уместные свойства являются независимыми от направления.
Примечание - Вакуум может считаться изотропной средой.
113-02-04
анизотропный (anisotropic): Квалифицирует физическую среду, в которой уместные свойства зависят от направления.
Примечание - Тогда как в изотропной среде линейное отношение между двумя векторными величинами могут быть характеризованы скалярной величиной, в анизотропной среде следует использовать тензорную величину второго порядка. Диэлектрическая постоянная, магнитная проницаемость и проводимость являются примерами таких скалярных или тензорных величин.
113-02-05
фаза (вещества) (phase (of matter)): Состояние среды, различимое по физическим свойствам от других состояний одной и той же или другой среды.
Примечание - Любое состояние вещества, например, твердое, жидкое или газообразное, составляет всегда фазу, отдельную от других состояний вещества. В обычном состоянии газ находится только в одной фазе. Несмешиваемые жидкостные компоненты находятся в разных фазах. Разные твердые фазы ассоциируются с разными структурами, например, алмаз и графит или парамагнитные и ферримагнитные материалы.
113-02-06
фазовый переход; изменение фазы (phase transition; phase change): Преобразование одной фазы вещества в другую.
Примечание - Преобразование фазы обычно имеет результатом резкое изменение физических свойств.
113-02-07
количество вещества (
n) (amount of substance): Величина, пропорциональная числу элементарных сущностей заданной природы, которые содержатся в данном образце вещества при одном и том же коэффициенте пропорциональности для всех образцов.
Примечания
1 Элементарные сущности должны быть заданы и могут быть любого вида: атомы, молекулы, ионы, электроны, дыры, другие частицы или квазичастицы, группы частиц, двойные связи и т.д.
2 Коэффициент пропорциональности в определении есть обратная величина постоянной Авогадро NA, таким образом, N = nNA, где N есть число элементарных сущностей.
3 Термин "количество вещества" надо интерпретировать как целое, а не комбинацией двух терминов. Однако слово "вещество" можно было бы заменить словами, чтобы точно определить рассматриваемое вещество в любом специфическом применении, например, "количество хлористого водорода", HCl.
4 Количество вещества есть одно из семи величин в Международной системе величин, ISQ, на которой базируется Международная система единиц измерения, СИ. Когерентной единицей измерения количества вещества в СИ является грамм-молекула, символ моль (смотрите IEC 60050-112:2010, 112-02-09).
113-02-08
постоянная Авогадро (
NA,
L) (Avogadro constant): Основная физическая постоянная, равная числу
N элементарных сущностей в данном образце вещества, деленное на количество вещества
n упомянутого выше образца, таким образом,
NA =
N/
n.
Примечание 1 - Значение постоянной Авогадро есть 6,022 141 29(27) x 1023 моль-1 (CODATA 2010).
Примечание 2 - Термин "число Авогадро" является устаревшим, так как число не может иметь размерности.
113-02-09
постоянная Фарадея (
F) (Faraday constant): Основная физическая постоянная, равная произведению элементарного электрического заряда
e и постоянной Авогадро
NA, таким образом,
F =
e·NA.
Примечания
1 Значение постоянной Фарадея есть 96 485,339 9(24) x 103 C/моль-1 (CODATA 2006).
2 Постоянная Фарадея численно равна электрическому заряду 1 моля протонов.
113-02-10
электрический заряд (
Q,
q) (electric charge): Аддитивная скалярная величина, отнесенная к любой частице и, как правило, любой их системе, чтобы характеризовать ее электромагнитные взаимодействия [121-11-01 измененный].
Примечания
1 Электрический заряд всегда является кратным числом элементарного электрического заряда, кроме кварков. Результат может быть положительным, отрицательным или нулем.
2 Вследствие аддитивности электрический заряд для любой системы частиц является хорошо определенным как сумма их зарядов.
3 Электрический заряд подлежит закону сохранения. Он является инвариантным при преобразовании Лоренца и, таким образом, не зависит от выбора системы отсчета.
4 Электрический ток через поверхность есть производная по времени электрического заряда, перенесенного через эту поверхность.
5 Когерентной единицей измерения электрического заряда в СИ является кулон. Единица ампер час используется для электролитических устройств, например, аккумуляторов: 1 А ч = 3,6 кК.
6 Чтобы обозначить заряд точечного объекта, часто используется q.
113-02-11
кулон (C) (coulomb): Когерентная единица измерения электрического заряда в СИ, определенная на основе базовых единиц СИ с помощью уравнения связи между единицами C: =
As.
113-02-12
положительный электрический заряд; положительный заряд (positive electric charge; positive charge): Электрический заряд одного и того знака, который отнесен по соглашению к протону.
113-02-13
отрицательный электрический заряд кулон; отрицательный заряд (negative electric charge; negative charge): Электрический заряд одного и того знака, который отнесен по соглашению к электрону.
113-02-14
адсорбция (adsorbtion): Увеличение концентрации любого компонента газообразного или жидкого вещества на интерфейсе с другим веществом, твердым или жидким, вследствие физических или химических взаимодействий.
Примечание - Примером является прилипание газообразных или жидких веществ на поверхности твердых тел.
113-02-15
окисление (oxydation): Химическая реакция, в которой электроны передаются от вещества кислороду, чтобы образовать химическое соединение этого вещества, или, в более общем смысле, в которой вещество теряет электроны.
Примечание - Электроны обычно передаются другому веществу путем реакции восстановления.
113-02-16
восстановление (reduction): Химическая реакция, в которой кислород перемещается из окисла, предполагая передачу электронов из атомов кислорода, или, в более общем смысле, в которой вещество получает электроны.
Примечание - Электроны обычно передаются от одного вещества путем реакции окисления.
113-03-01
инерциальная система координат (inertial frame): Система отсчета, относительно которой любая частица, не подвергающаяся внешнему взаимодействию, имеет нулевое ускорение.
Примечание - В общей теории относительности используется бесконечно малая инерциальная система координат.
113-03-02
инерция (inertia): Свойство вещества, в соответствии с которым любая частица сохраняет свою скорость в инерциальной системе координат при отсутствии внешнего взаимодействия.
Примечание - Для систем частиц центр массы сохраняет свою скорость в инерциальной системе координат при отсутствии внешнего взаимодействия.
113-03-03
масса (
m) (mass): Аддитивная не отрицательная скалярная величина, характеризующая частицу или образец вещества в явлении инерции и гравитации.
Примечания
1 Вследствие эквивалентности между массой и энергией, масса системы зависит от энергетики связи между ее частями. Таким образом, масса устойчивой системы всегда меньше суммы масс ее частей. В классической механике масса, соответствующая энергетике связи, считается незначительной. С точки зрения общей теории относительности инерциальная масса системы в движении и тяжелая масса системы в гравитации являются эквивалентными.
2 Масса является одной из семи основных величин в Международной системе величин (ISQ), на которой базируется Международная система единиц измерения, СИ. Когерентной единицей измерения массы в СИ является килограмм, кг, (смотрите IEC 60050-112, 112-02-06). Единицей измерения не в системе СИ является тонна или метрическая тонна, символ т (1 т = 1000 кг).
113-03-04
масса покоя; собственная масса (
m0) (rest mass; proper mass): Для частицы - это ее масса в инерциальной системе координат, где упомянутая частица имеет нулевую скорость.
Примечания
1 Когда скорость частицы является пренебрежимо малой в сравнении со скоростью света, разность между массой и массой покоя также является пренебрежимо малой.
2 Масса покоя частицы X обозначается m(X) или mX; например, m0 обозначает массу электрона.
113-03-05
энергия покоя (
E0) (rest energy): Для частицы - это произведение массы покоя
m0 и скорости света в квадрате
c0, таким образом,
.
113-03-06
релятивистическая масса; кажущаяся масса (имеются возражения) (relativistic mass; apparent mass (deprecated)): Для частицы - это масса при движении в инерциальной системе координат.
Примечания
1 Частица с массой покоя
m0 и скоростью
v имеет релятивистическую массу, равную

, где
c0 есть скорость света. Когда скорость
v не нуль, то релятивистическая масса больше массы покоя.
2 В теории относительности термин "масса" обычно означает релятивистическую массу.
113-03-07
массовая плотность; плотность; объемная масса 
(mass density; density; volumic mass): На данной точке в пределах трехмерной области определения якобы бесконечно малого объема
dV - это скалярная величина, равная массе
dm в пределах этой области определения
dV, таким образом,
.
Примечания
1 Массовая плотность есть интенсивная величина, характеризующая местное свойство субстанции.
2 Концепция массовой плотности может быть также применена к массе
m в области определения
D с объемом
V, давая усредненную плотность

.
3 Когерентной единицей измерения массовой плотности в СИ является килограмм на кубический метр, кг/м3. Другие единицы измерения: тонна на кубический метр, т/м3 (1 т/м3 = 1000 кг/м3 = 1 г/см3) и килограмм на литр, кг/л (1 кг/л = 1000 кг/м3).
113-03-08
относительная массовая плотность (
d) (relative density): Величина с размерностью 1, равная массовой плотности

вещества, деленной на массовую плотность

эталонного вещества в условиях, которые следует точно определить для обоих веществ, таким образом,

.
Примечание - Для

часто используется массовая плотность жидкой воды при 4 °C (1000 кг/м
3).
113-03-09
удельный объем; массовый объем (
v) (specific volume; massic volume): Обратная величина плотности массы

, таким образом,

.
Примечание - Когерентной единицей измерения удельного объема в СИ является кубический метр на килограмм, м3/кг.
113-03-10
поверхностная плотность; поверхностная массовая плотность; поверхностная масса; масса в граммах
(имеются возражения) (surface density; surface mass density; areic mass; grammage (deprecated)): В данной точке на двухмерной области определения якобы бесконечной малой площади
dA - это скалярная величина, равная массе
dm в пределах этой области определения, деленной на площадь
dA, таким образом,

.
Примечание - Когерентной единицей измерения поверхностной плотности в СИ является килограмм на квадратный метр, кг/м2.
113-03-11
линейная плотность; линейная массовая плотность; линейная масса 
(linear density; linear mass density; lineic mass): В данной точке на двухмерной области определения якобы бесконечной малой длины
dl - это скалярная величина, равная массе
dm в пределах этой области определения, деленной на длину
dl, таким образом,

.
Примечание - Когерентной единицей измерения линейной плотности в СИ является килограмм на метр, кг/м.
113-03-12
центр массы; центр силы тяжести (имеются возражения) (centre of mass; centre of gravity (deprecated)): Для непрерывного тела в области определения
D с массовой плотностью

- это есть точка с вектором положения

.
Примечания
1 Для системы частиц с массами
mi и вектором положения
ri - центр массы есть точка с вектором положения

2 В не релятивистской физике центр массы не зависит от выбранной системы отсчета.
113-03-13
количество движения (
p) (momentum): Векторная величина, равная произведению массы
m тела и скорости
v его центра массы, таким образом,
p =
mv.
Примечания
1 Для непрерывного тела в области определения
D количество движения равняется интегралу
, где
p есть массовая плотность в области определения, имеющей якобы бесконечно малую величину объема
dV и массы
dm и скорость
v. Для системы тел количество движения равно сумме их количеств движения.
2 Если сумма внешних сил равна нулю, то количество движения тела следует закону сохранения.
3 Если применяется теория относительности, то m является релятивистской массой.
4 Когерентной единицей измерения количества движения в СИ является килограмм метр в секунду, кг·м·с-1.
113-03-14
сила (
F) (force): Аддитивная векторная величина, характеризующая внешние взаимодействия на частице или теле.
Примечания
1 Силы принуждают частицу или тело изменять количество движения p = mv согласно второму закону Ньютона: dp/df = F (в инерциальной системе координат) в случае, когда сила F является результирующей всех действующих сил. Это уравнение применяется также к теории относительности.
2 Сила может вести к деформации тела.
3 В любой инерциальной системе координат результирующая сила F, действующая на тело с постоянной массой m, вызывает ускорение a = F/m центра массы этого тела.
4 Когерентной единицей измерения силы в СИ является ньютон, Н (N).
113-03-15
ньютон [N (Н)] (newton): Когерентной единицей измерения силы в СИ, определенной на основе базовых единиц СИ уравнением связи между единицы измерения Н, является кг·м·с
-2.
113-03-16
вес (
Fg,
Q) (weight): Сила, действующая на тело, равная произведению массы
m этого тела и местного ускорения свободного падения
g, таким образом,
Fg =
mg.
Примечания
1 Когда системой отсчета является Земля или другой астрономический объект, то вес включает в себя не только местную силу тяжести, но также местную центробежную силу вследствие вращения упомянутого объекта.
2 Эффект атмосферного выталкивания исключается для веса.
3 В просторечии имя "вес" продолжает использоваться, когда имеется в виду "масса", но против такой практики имеются возражения.
113-03-17
постоянная силы тяжести (
G) (gravitational constant): Основная физическая постоянная, так что сила тяжести
F между двумя частицами с массами
m1 и
m2 на расстоянии
r дается равенством

.
Примечание - Значение постоянной силы тяжести равно 6,674 28(67)·10-11 м3·кг-1с-2 (CODATA 2006).
113-03-18
плотность силы; объемная сила (
f) (force density; volumic force): В данной точке в пределах трехмерной области определения с якобы бесконечной малой величиной объема
dV - это есть векторная величина, равная результирующей силе
dF, приложенной к этой области определения, деленной на ее объем, таким образом,
f =
dF/
dV.
Примечания
1 Плотность силы является интенсивной величиной, характеризующей поле силы F(r).
2 Когерентной единицей измерения плотности силы в СИ является ньютон на кубический метр, Н/м3.
113-03-19
потенциал (
U) (potential): Скалярное поле
U, отрицательная величина градиента которого есть поле силы
F, таким образом,
F = -grad U.
Примечания
1 Потенциал не является уникальным, так как любое постоянное скалярное поле может быть добавлено к данному потенциалу без изменения его градиента. Смотрите также IEC 60050-102:2007, 102-05-24.
2 Когерентной единицей измерения потенциала в СИ является ньютон метр, Н·м.
113-03-20
импульс (
I) (impulse): Векторная величина, равная интегралу силы
F относительно времени
t, таким образом,

по интервалу времени [
t1,
t2].
Примечания
1 Для интервала времени [
t1,
t2] импульс равен изменению количества движения
p, таким образом,
.
2 На французском языке термин "импульс" имеет также другой смысл, соответствующий слову "pulse" на английском языке.
3 Когерентной единицей измерения импульса в СИ является ньютон секунда, Н·с.
113-03-21
момент инерции; массовый момент инерции (
J,
I) (moment of inertia; mass moment of inertia): Для тела и заданной оси - это скалярная величина, равная интегралу

, где

есть массовая плотность в области определения
D с якобы бесконечно малой величиной массы
dm и объема
dV и
R есть расстояние между областью определения и осью.
Примечания
1 Для материальной точки момент инерции равен произведению ее массы m и ее квадратного расстояния R до оси, таким образом, J = mR2. Для системы частиц момент инерции равен сумме их моментов инерции.
2 В нерелятивистской физике момент инерции является аддитивной величиной.
3 В более общем смысле, момент инерции может быть определен для жесткого тела как тензорная величина

, где

, cycl., cycl., и

,
cycl., cycl.
4 Момент инерции не надо путать со вторым осевым моментом площади и вторым полярным моментом площади.
5 Когерентной единицей момента инерции в СИ является килограмм метр в квадрате, кг·м2.
113-03-22
момент угловой; момент кинетический (
L) (angular momentum; moment of momentum): Для материальной точки и данной исходной точки - это осевая векторная величина, равная произведению вектора положения
r и количества движения
p, таким образом,
L =
r x
p.
Примечания
1 Для непрерывного тела угловой момент равен интегралу

, где

есть массовая плотность в области определения, имеющей якобы бесконечно малую величину массы
dm и объема
dV, вектор положения
r и скорость
v. Угловой момент системы частиц равен сумме их моментов импульсов.
2 Тело с моментом инерции
Jz относительно оси
z, которое вращается с угловой скоростью

вокруг этой оси, имеет угловой момент

.
3 Когерентной единицей измерения углового момента в СИ является килограмм квадратный метр в секунду, кг·м2/с.
113-03-23
момент силы (
M) (moment of force): Осевая векторная величина, определенная для данной исходной точки векторным произведением
M =
r x F, где
r есть вектор положения любой точки на линии действия силы
F.
Примечание - Когерентной единицей измерения момента силы в СИ является ньютон метр, Н x м.
113-03-24
пара сил; пара (couple of force; couple): Набор двух параллельных сил равной абсолютной величины и противоположного направления.
Примечания
1 Термины "пара сил" и "пара" используются главным образом, когда силы не действуют вдоль одной и той же линии.
2 На французском языке термин "пара" также обозначает любой набор сил, суммой которых является нуль.
113-03-25
момент пары (
M) (moment of a couple): Сумма моментов сил пары относительно любой оси.
Примечание - Несмотря на то, что момент одной силы зависит от выбора начала координат, момент пары не зависит от него.
113-03-26
вращающий момент (
T) (torque): Компонент момента силы
M вдоль данной оси, проходящей через точку начала координат, таким образом,
T =
M x
e, где
e является единичным вектором упомянутой выше оси.
Примечание - Вращающий момент является скручивающим моментом силы относительно продольной оси балки или вала.
113-03-27
изгибающий момент (силы) (
Mb) (bending moment (of force)): Компонент момента силы, перпендикулярный к данной оси, проходящей через точку начала координат.
Примечания
1 Данная ось обычно является продольной осью балки или вала.
2 Для данной продольной оси можно определить два независимых изгибающих момента силы, соответствующих двум перпендикулярным осям.
113-03-28
вращательный импульс (
H) (angular impulse): Аддитивная осевая векторная величина, равная интегралу момента силы
M относительно времени
t за интервал времени [
t1,
t2], таким образом,

.
Примечания
1 Для интервала времени [
t1,
t2] вращательный импульс равен изменению углового момента
L, таким образом,

.
2 Когерентной единицей измерения вращательного импульса в СИ является ньютон метр секунда, Н x м x с.
113-03-29
второй осевой момент площади (
Ia) (second axial moment of area): Для плоской поверхности
S и заданной оси в плоскости поверхности - это аддитивная скалярная величина, равная интегралу

, где
R есть расстояние между элементом поверхности с площадью
dA и осью.
Примечания
1 Второму осевому моменту площади иногда дается неправильное имя "момент инерции", но не следует путать с величиной "момент инерции".
2 Когерентной единицей измерения второго осевого момента площади в СИ является метр в четвертой степени, x м4.
113-03-30
второй полярный момент площади (
Ip) (second axial moment of area): Для плоской поверхности
S и заданной оси, перпендикулярной к плоскости поверхности - это аддитивная скалярная величина, равная интегралу

, где
R есть расстояние между элементом поверхности с площадью
dA и осью.
Примечания
1 Второму полярному моменту площади иногда дается неправильное имя "момент инерции", но не следует путать с величиной "момент инерции".
2 Когерентной единицей измерения второго полярного момента площади в СИ является метр в четвертой степени, м4.
113-03-31
момент сопротивления сечения (
Z,
W) (section modulus): Для плоской поверхности - это скалярная величина, равная второму осевому моменту площади
Ia относительно заданной оси
Q в плоскости определенной поверхности, деленному на максимальное радиальное расстояние
rQ,max любой точки в рассматриваемой на поверхности от
Q-оси, таким образом,

.
Примечание - Когерентной единицей измерения момента сопротивления сечения в СИ является кубический метр, x м3.
113-03-32
фактор динамического трения 
(dynamic friction factor): Величина с размерностью 1, равная отношению величины
Ft силы трения к величине
Fn нормальной силы, таким образом,

.
Примечание - Сила трения есть тангенциальная составляющая, а нормальная сила есть нормальный компонент силы контакта между скользящими телами.
113-03-33
фактор статического трения 
(static friction factor): Величина с размерностью 1, равная отношению максимально возможной величины
Ftmax силы трения между двумя твердыми телами с нулевой относительной скоростью в поверхности контакта к величине
Fn нормальной силы, таким образом,

.
Примечания
1 Сила трения есть тангенциальная составляющая, а нормальная сила есть нормальный компонент силы контакта между двумя телами в относительном покое, поэтому еще не скользящие.
2 Тангенциальная сила Ftmax больше, чем тангенциальная сила Ft для малой относительной скорости.
113-03-34
динамическая вязкость; вязкость 
(dynamic viscosity; viscosity): Для жидкости с ламинарным потоком в направлении
x, для которого, таким образом,
vy =
vz = 0 и
vx =
v(
z) >= 0, где
x,
y,
z есть декартовы [прямоугольные] координаты - это скалярная величина, характеризующая внутреннее трение и равная

, где

- напряжение при сдвиге жидкости.
Примечание - Когерентной единицей измерения динамической вязкости в СИ является паскаль секунда, Па x с.
113-03-35
кинематическая вязкость 
(kinematic viscosity): Величина, равная динамической вязкости

, деленной на массовую плотность

, таким образом,

.
Примечание - Когерентной единицей измерения кинематической вязкости в СИ является квадратный метр в секунду, м2/с.
113-03-36
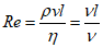
число Рейнольдса (
Re) (Reynolds number): Величина с размерностью 1, характеризующая поток жидкости в представленной конфигурации, характеризованной специальной длиной
l, определенной отношением

, где жидкость характеризуется своей массовой плотностью

, скоростью
v, динамической вязкостью

и кинетической вязкостью
.
Примечания
1 Число Рейнольдса характеризует относительную важность инерции и вязкости в потоке жидкости.
2 Когда число Рейнольдса меньше критического значения Recrit, ламинарный поток является устойчивым. Для больших значений Re, ламинарный поток становится неустойчивым. Критическое значение зависит от конфигурации.
3 В случае жидкости, текущей через трубу круглого сечения диаметром d, заданная длина есть l = d и критическое значение числа Рейнольдса составляет Recrit = 2 300.
113-03-37
число Маха (
Ma) (Mach number): Отношение относительной скорости
v объекта, движущегося в жидкости, к скорости звука
c в этой жидкости, таким образом,
Ma =
v/
c.
113-03-38
число Кнудсена (
Kn) (Knudsen number): Величина с размерностью 1, устанавливающая, следует ли характеризовать жидкость статистической механикой или механикой сплошных сред, определенная отношением средней длины свободного пробега

молекул к длине
l, представляющей этот феномен, таким образом,
.
113-03-39
число Струхаля (
Sr) (Strouhal number): Величина с размерностью 1, характеризующая колебательный механизм в потоке жидкости, определенная отношением
Sr =
lf/
v, где
l есть заданная длина,
f - частота колебаний и
v - скорость жидкости.
113-03-40
число Эйлера (
Eu) (Euler number): Величина с размерностью 1, характеризующая потери в потоке жидкости, определенная отношением

, где

есть перепад давления,

- массовая плотность и
v - скорость.
113-03-41
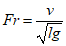
число Фруда (
Fr) (Froude number): Величина с размерностью 1, характеризующая относительную важность инерции и сил тяжести в потоке жидкости, определенная отношением

, где
v - скорость потока,
l - характеризующая длина явления и
g - ускорение силы тяжести.
113-03-42
поверхностное натяжение (

,

) (surface tension): В точке линии на интерфейсе двух жидкостей или жидкости и твердого тела - это величина, равная производной составляющей компоненты
F силы, касательной к поверхности и перпендикулярной к линии относительно криволинейной абсциссы
l, таким образом,

.
Примечания
1 Поверхностное натяжение равняется работе

, необходимой для растяжения поверхности по площади

, деленной на

, таким образом,

.
2 Когерентной единицей измерения поверхностного натяжения в СИ является ньютон на метр, Н/м2, или, в равной степени, джоуль на квадратный метр, Дж/м2.
113-03-43
число Вебера (
We) (Weber number): Величина с размерностью 1, характеризующая поток жидкостей на интерфейсе между двумя разными жидкостями, определенная отношением

, где

есть разность массовых плотностей жидкостей,
v - их относительная скорость,
l - заданная длина и

- поверхностное натяжение.
113-03-44
работа (
W,
A) (work): Скалярная величина, равная скалярному линейному интегралу силы
F, действующей на частицу вдоль данной длины пробега
C, таким образом,

, где
dr есть векторный линейный элемент.
Примечания
1 Работа есть энергия, переданная специальным образом, и поэтому является количеством процесса
(113-04-09). Работа
W изменяет внутреннюю энергию
E (113-04-20) тела для
, где
E - количество состояния.
2 На практике работа часто вычисляется как интеграл во времени для мощности
P:
.
3 Когерентной единицей измерения работы в СИ является джоуль, Дж (J).
113-03-45
энергия (
E,
W) (energy): Скалярная величина, которая может быть увеличена или уменьшена в системе, когда она получает или производит работу, соответственно.
Примечания
1 Энергия следует закону сохранения, согласно которому вся энергия изолированной системы остается постоянной.
2 Энергия может проявляться в разных формах, которые являются взаимно преобразуемыми одна в другую, либо полностью или частично, в зависимости от других законов, например, закона сохранения количества движения или 2-го закона термодинамики.
3 Энергия в системе может быть также увеличена или уменьшена, когда она принимает или производит энергию в других формах, чем работа, например в форме теплоты.
4 Когерентной единицей измерения энергии в СИ является джоуль, Дж (J). Единицей измерения не в СИ является электронвольт, эВ (eV).
5 Удельная энергия или энергия на массу обозначается e или w.
113-03-46
джоуль [J (Дж)] (joule): Когерентная единица измерения в СИ, определенная на основе базовых единиц СИ уравнением связи между единицами J: = кг x м
2 x с
-2.
113-03-47
электронвольт [eV (эВ)] (electronvolt): Единица энергии, равная разности в потенциальной энергии электрона в двух положениях с электрической потенциальной разницей в один вольт.
Примечания
1 Электронвольт часть определяется как кинетическая энергия, полученная электроном при прохождении через разность электрического потенциала 1 В в вакууме.
2 1 эВ = 1, 602 176 487(40) x 10-19 Дж (CODATA 2006). Электронвольт принимается для использования с единицами СИ и часто комбинируется с префиксами СИ.
113-03-48
потенциальная энергия (
V,
Ep) (potential energy): Энергия вследствие положения в силовом поле, равная обратному линейному интегралу вдоль кривой
C консервативной силы
F, таким образом,

, где
dr есть векторный линейный элемент.
Примечания
1 Сила является консервативной, когда силовое поле F(r) является статическим и безвихревым, т.е. простой соединительной областью определения.
2 Сила
F является градиентом потенциальной энергии
V, таким образом,
F = grad
V. Смотрите также "потенциал"
(113-03-19).
113-03-49
кинетическая энергия (
T,
Ek) (kinetic energy): Энергия, ассоциированная с движением, определенная для частицы в классической механике отношением

, когда
m является ее массой и
v - скоростью частицы.
Примечания.
1 Кинетическая энергия тела дается интегралом

, где
D есть область определения, содержащая тело. Когда ось вращения проходит через центр массы,
T также дается выражением
, где
mt есть общая масса,
vG - скорость центра масс,
J - момент инерции относительно оси вращения и
- величина угловой скорости, и где
vG, J и

могут быть зависимыми от времени.
2 В теории относительности зависимость массы m от скорости v надо принимать во внимание.
113-03-50
механическая энергия (
E,
W) (mechanical energy): Сумма кинетической энергии
T и потенциальной энергии
V, таким образом,
E =
T +
V.
Примечание - Символы E и W используются также в других видах энергии.
113-03-51 символ:
S действие (action): Интеграл во времени энергии
E в интервале времени [
t1,
t2], таким образом,
.
Примечания
1 Разные виды энергии могут быть использованы для различных целей, например, для функции Гамильтона или функции Лагранжа.
2 Когерентной единицей измерения действия в СИ является джоуль секунда, Дж x с.
113-03-52
мощность (
P) (power): Производная по времени
t энергии
E, переданной или преобразованной, таким образом,

.
Примечания
1 Что касается мощности в электрических цепях, то смотрите IEC 60050-131.
2 Когерентной единицей измерения мощности в СИ является ватт, Вт (W).
113-03-53
подводимая мощность (
P1,
Pin,
Pi) (input power): Для данной системы - это мощность, переданная в упомянутую систему от внешней системы.
113-03-54
выходная мощность (
P2,
Pex,
P0) (output power): Для данной системы - это мощность, переданная от упомянутой системы во внешнюю систему.
113-03-55
ватт [Вт (W)] (watt): Когерентная единица измерения мощности в СИ на основе базовых единиц СИ по уравнению связи между единицами Вт (W): = кг x
m2 x с
2.
113-03-56
эффективность 
(efficiency): Величина с размерностью 1, равная отношению заданной выходной мощности
P2 к заданной подводимой мощности
P1 в одной и той же системе, таким образом,

.
Примечание - Эффективность предпочтительно выражается в процентах и используется для характеристики устройств, например, электрических машин.
113-03-57
растяжение; деформация (strain; deformation): Изменение относительных положений частей тела, за исключением смещения тела в целом.
113-03-58
линейное растяжение; линейная деформация 
(linear strain; lineic strain): Величина с размерностью 1, равная отношению увеличения в длине

к длине
l0 в заданном исходном состоянии, таким образом,

.
Примечание - На французском языке "удлинение" используется, когда увеличение в длине происходит вследствие внешней силы, а "расширение" используется в случае изменения температуры.
113-03-59
деформация сдвига 
(shear strain): Величина с размерностью 1, равная отношению смещения

одной поверхности слоя толщины
d к другой поверхности, параллельной первой поверхности слоя в этой толщине, таким образом,

.
Примечание - В анизотропной среде деформация сдвига может зависеть от ориентации слоя и может быть характеризована тензором.
113-03-60
объемная деформация 
(volume strain): Величина с размерностью 1, равная отношению увеличения в объеме

к объему
V0 в заданном исходном состоянии, таким образом,
.
113-03-61
число Пуассона 
(Poisson number): Величина с размерностью 1, равная отношению поперечного сжатия

к удлинению

, таким образом,

.
113-03-62
механическое напряжение 
(stress): В данной точке тела - это величина тензора

, характеризующего отношение между силой
dF, действующей на поверхностный элемент, содержащий упомянутую точку с площадью
dA элемента:

, где
edA есть векторный поверхностный элемент.
Примечания
1 Если dF и edA являются параллельными, то напряжение можно будет описать скаляром.
2 Когерентной единицей измерения напряжения в СИ является паскаль, Па (Pa).
113-03-63
нормальное (механическое) напряжение 
(normal stress): Скалярная величина, равная нормальной составляющей
dFn силы, действующей на элемент поверхности, деленной на площадь
dA элемента, таким образом,

.
Примечание - Когерентной единицей измерения нормального напряжения в СИ является паскаль, Па (Pa).
113-03-64
напряжение при сдвиге 
(shear stress): Скалярная величина, равная касательной составляющей
dFt силы, действующей на элемент поверхности, деленной на площадь
dA элемента, таким образом,

.
Примечания
1 В анизотропной среде напряжение при сдвиге может зависеть от ориентации поверхности и может быть описано тензором.
2 Когерентной единицей измерения напряжения при сдвиге в СИ является паскаль, Па (Pa).
113-03-65
давление (
p) (pressure): На точке поверхности - это скалярная величина, равная пределу частного деления величины вектора компонента, нормального к поверхности силы, действующей на эту точку, на площадь поверхности, содержащей упомянутую точку, когда все размеры поверхности стремятся к нулю.
Примечания
1 Поверхность может быть наружной поверхностью тела, не зависимой от ориентации поверхности.
2 Среди большинства жидкостей давление не зависит от ориентации поверхности.
3 Когерентной единицей измерения давления в СИ является паскаль. Единица измерения не в СИ, используемая группами по интересам, является бар, символ бар (1 бар = 105 Па = 100 кПа), часто комбинированный с префиксами СИ.
113-03-66
паскаль [Па (Pa)] (pascal): Когерентная единица измерения давления в СИ, определенная на основе базовых единиц СИ по уравнению связи между единицами Па (Pa): = кг x
m-1 x с
-2.
Примечание - Паскаль равняется ньютону на квадратный метр, Н/м2.
113-03-67
модуль упругости; модуль Юнга (
E) (modulus of elasticity; Young modulus): Величина, равная нормальному механическому напряжению

, деленному на линейную деформацию

в заданных условиях, таким образом
.
Примечания
1 Как правило, рассматривается изотермический процесс.
2 В анизотропной среде модуль упругости может зависеть от ориентации.
3 Когерентной единицей измерения модуля упругости в СИ является паскаль, Па (Pa).
113-03-68
модуль сдвига; кулоновский модуль (
G) (modulus of rigidity; Coulomb modulus): Величина, равная напряжению при сдвиге

, деленному на угловую деформацию

в заданных условиях, таким образом,

.
Примечания
1 Как правило, рассматривается изотермический процесс.
2 В анизотропной среде модуль сдвига может зависеть от ориентации.
3 Когерентной единицей измерения модуля сдвига в СИ является паскаль, Па (Pa).
113-03-69
модуль сжатия; модуль объемного сжатия (
K) (modulus of compression; bulk modulus): Величина, равная отрицательной величине давления
p, деленной на объемную деформацию

в заданных условиях, таким образом,
.
Примечания
1 Как правило, рассматривается изотермический процесс.
2 Когерентной единицей измерения модуля сжатия в СИ является паскаль, Па (Pa).
113-03-70
сжимаемость; объемная сжимаемость 
(compressibility; bulk compressibility): Величина

, характеризующая относительное изменение объема
V с давлением
p в заданных условиях.
Примечания
1 Смотрите термодинамические концепции изотермической сжимаемости и изентропной сжимаемости.
2 Когерентной единицей измерения сжимаемости в СИ является паскаль в степени минус один, Па-1 (Pa-1).
113-03-71
массовый расход (
qm,
Q) (mass flow rate): Величина, равная массе
dm вещества, пересекающей данную поверхность в течение интервала времени с бесконечно малой величиной продолжительности
dt, деленной на эту продолжительность, таким образом,
qm =
dm/
dt.
Примечания
1 qm = pqv, где p есть массовая плотность и qV - объемный расход.
2 Когерентной единицей измерения массового расхода в СИ является килограмм в секунду, кг/с.
113-03-72
объемный расход (
qv) (volume flow rate): Величина, равная объему
dV вещества, пересекающему данную поверхность в течение интервала времени с бесконечно малой величиной продолжительности
dt, деленному на эту продолжительность, таким образом,
qm =
dV/
dt.
Примечание - Когерентной единицей измерения объемного расхода в СИ является кубический метр в секунду, м3/с.
113-03-73
обобщенная координата (
qi) (generalized coordinate): Одна из координат, которая используется, чтобы описать положение внутри системы в случае, когда
i = 1, 2, 3 ...,
N, и
N есть степень свободы или наименьшее число координат, необходимое для полного определения определенного положения.
Примечание - Единица измерения зависит от типа представления системы. В механике обобщенные координаты могут быть длиной или углом.
113-03-74
обобщенная быстрота 
(generalized velocity): Производная обобщенной координаты
qi по времени
t, таким образом,

.
Примечание - Единица измерения зависит от типа представления системы. В механике обобщенная быстрота может быть скоростью или угловой скоростью.
113-03-75
обобщенная сила (
Qi) (generalized force): Величина
Qi такая, что бесконечно малое изменение

работы
W равняется сумме

, где

есть бесконечно малое изменение обобщенной координаты
qi.
Примечание - Единица измерения зависит от типа представления системы.
113-03-76
функция Лагранжа (
L) (Lagrange function): Разность кинетической энергии
T (
qI,

) и потенциальной энергии
V(
qi), где
qi есть обобщенная координата,

есть обобщенная быстрота, таким образом,
L (
qi,

) =
T (
qi,

)
- V(
qi)
.
Примечания
1 Потенциальная энергия
V'(
qi) может быть обобщена с динамическим потенциалом
V(
qi,

)
2 Когерентной единицей измерения функции Лагранжа является джоуль, Дж (J).
113-03-77
обобщенный импульс (
pi) (generalized momentum): Частная производная функции Лагранжа
L по обобщенной быстроте

, таким образом,

.
Примечание - Эта единица измерения зависит от типа представления системы.
113-03-78
символ H функция Гамильтона (Hamilton function): Величина

, где
pi есть обобщенный импульс,

есть обобщенная быстрота и
L есть функция Лагранжа.
Примечание - Когерентной единицей измерения функции Гамильтона является джоуль, Дж (J).
Раздел 113-04 Термодинамика
113-04-01
изолированная система (isolated system): Система, которая не может обмениваться либо энергией, либо веществом с определенным окружением.
113-04-02
закрытая [нерасширяемая] система (closed system): Система, которая может обмениваться энергией с определенным окружением, но не материей.
113-04-03
открытая система (open system): Система, которая может обмениваться и энергией, и материей с определенным окружением.
113-04-04
микросостояние (microstate): Набор параметров, необходимых для того, чтобы полностью характеризовать частицы и поля, составляющих данную систему.
Примечание - Для классической системы микросостояние может быть задано полным набором координат и количеством движений всех частиц. Для квантовых систем микросостояние может быть описано волновыми функциями, матрицами плотности или векторами состояния.
113-04-05
макросостояние (macrostate): Набор всех микросостояний, подходящих данному свойству, таким образом, имея результатом описание на уровне, менее подробном, чем дано для микросостояния.
Примечание - Если
n есть число микросистем в макросистеме, то энтропия
(113-04-22) является пропорциональной логарифму
n.
113-04-06
макроскопическое свойство (macroscopic property): Свойство системы, описанное макросостоянием.
Примечание - Примерами макроскопического состояния являются объем, давление, общая энергия.
113-04-07
состояние равновесия (equilibrium state): Макросостояние, которое не изменяется спонтанно со временем и является устойчивым против небольших возмущений.
Примечания
1 Состояние равновесия достигается изолированной системой после достаточно длительного времени в зависимости от рассматриваемого процесса.
2 Состояние равновесия есть макросостояние, имеющее самое большое число разных микросостояний среди всех макросостояний изолированной системы.
3 Флюктуации существуют даже в состоянии равновесия, но они не принимаются во внимание в этой концепции.
113-04-08
квазистатический процесс (quasi-static process): Процесс, который может быть аппроксимирован последовательностью состояний равновесия.
113-04-09
количество состояния (state quantity): Количество, которое может быть определено для системы в состоянии равновесия.
Примечание - Примерами количеств состояний являются давление, температура, внутренняя энергия, энтропия.
113-04-10
количество процесса (process quantity): Количество, которое может быть определено для квазистатического процесса.
Примечание - Примерами количеств процессов являются работа и величина теплоты.
113-04-11
количество теплоты; теплота, тепло (amount of heat; heat): Форма энергии, относящаяся к хаотическому микроскопическому поведению системы, заданная разностью между увеличением полной энергии закрытой системы и работой, проделанной на системе в течение процесса передачи энергии.
Примечания
1 Количество теплоты есть количество процесса, но не количество состояния. Количество теплоты зависит от того, как было получено изменение от одного состояния в другое, и лишь частично преобразуется в работу.
2 Подача теплоты может соответствовать увеличению термодинамической температуры или другим эффектам, например, фазовому превращению или химическим процессам.
3 Когерентной единицей измерения количества теплоты в СИ является джоуль, Дж (J).
113-04-12
диатермический (теплопрозрачный) (diathermic): Квалифицирует границу, которая позволяет теплоте проходить через нее.
Примечания
1 Диатермическая стена имеет обратное свойство по сравнению с адиабатической стеной.
2 Некоторым соответствием теплопрозрачной оболочки является, например, алюминиевый бокс.
113-04-13
адиабатический (adiabatic): Квалифицирует границу, которая не позволяет теплоте проходить через нее, или процесс, который происходит в системе без обмена теплотой между системой и ее окружением.
Примечания
1 Адиабатическая стена имеет обратное свойство по сравнению с диатермической стеной.
2 Некоторым соответствием адиабатической оболочки является, например, термос. Приближением к адиабатическому процессу является процесс, происходящий внутри термоса, или процесс, проходящий так быстро, что обмен теплотой с его окружением является ничтожно малым.
113-04-14
термодинамическая температура; абсолютная температура (имеются возражения) (
T) (thermodynamic temperature; absolute temperature (deprecated)): Величина положительного состояния, пропорциональная кинетической энергии хаотически движущихся элементарных частиц, которые составляют физическую систему, находящуюся на местном уровне в равновесном состоянии.
Примечания
1 Температуру можно ставить в ряд, используя разные шкалы значения количества, например, Цельсия и Фаренгейта. Все эти шкалы сейчас привязаны к шкале термодинамической температуры.
2 Термодинамическая температура является одной из семи базовых величин в Международной системе величин ISQ, на которой основана Международная система единиц измерения СИ. Когерентной единицей измерения термодинамической температуры в СИ является кельвин, К (смотрите IEC 60050-112:2010, 112-03-08). Тройная точка фазовой диаграммы воды имеет термодинамическую температуру 273,16 К.
113-04-15
шкала термодинамической температуры (thermodynamic temperature scale): Шкала значений величины, определяющей нулевое значение термодинамической температуры путем линейной экстраполяции на основе термодинамического поведения идеального газа и тройной точки фазовой диаграммы воды на 273,16 К.
Примечание - Нулевое значение термодинамической температуры описывает наименьшее энергетическое состояние физической системы, соответствующее всем элементарным частицам в состоянии покоя или основному состоянию в квантовом описании. Тогда внутренняя энергия и энтропия могут быть нормализованы к нулю. Нулевое значение термодинамической температуры может быть приближено, но не может быть достигнуто.
113-04-16
температура по Цельсию (Celsius temperature): Величина, определенная как разность термодинамической температуры
T и значения 273,15 К, таким образом,
t =
T - 273,15 К.
Примечание - Температура по Цельсию согласованно выражается в градусах Цельсия, °C. Температура по Цельсию тройной точки воды составляет 0,01 °C.
113-04-17
градус по Цельсию; разделенный на сто градусов (°C) (имеются возражения) (degree Celsius; centigrade degree (deprecated)): Специальное имя кельвина для использования в заявлении значений температуры по Цельсию.
Примечание - Для разности или изменения температуры 1 °C = 1 К.
113-04-18
Международная температурная шкала 1990 (International Temperature Scale of 1990 (ITS)): Температурная шкала, одобренная Международным комитетом мер и весов (CIPM) в 1989 году для целей практических измерений.
Примечания
1 Величины, соответствующие термодинамической температуре и температуре по шкале Цельсия, обозначаются T90 и t90 соответственно, где t90 = T90 - T0 с T0 = 273,15 К.
2 Единицы измерения T90 и t90 - кельвин, символ К, и градус Цельсия, символ °C.
113-04-19
Шкала температур Цельсия (Celsius temperature scale): Шкала значений величин для температуры Цельсия, определенная тройной точкой воды, как 0,01 °C и разность температур Цельсия 1 °C = 1 К.
Примечание - Тройная точка воды определена на 273,16 К. Точка кипения воды в нормальных условиях приближается к 100 °C.
113-04-20
внутренняя энергия; термодинамическая энергия (
U) (internal energy; thermodynamic energy): Величина состояния, равная разности между полной энергией системы и суммой макроскопической кинетической и потенциальной энергий системы.
Примечания
1 Внутренняя энергия может быть выражена как функция количеств состояний системы, например, температура, давление, объем, масса или величины субстанции.
2 Для закрытой термодинамической системы
, где
Q есть величина тепла, переданного в систему, и
W - работа, проделанная на системе при условии, что химические реакции не возникают.
3 Удельная внутренняя энергия или кинетическая энергия по массе обозначается u.
113-04-21
энтальпия (
H) (enthalpy): Количество состояния, равное сумме внутренней энергии
U системы и произведения давления
p и объема
V системы,
H =
U +
pV.
Примечание - Удельная энтальпия или энтальпия по массе обозначается h.
113-04-22
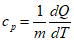
энтропия (
S) (entropy): Количество состояния системы неподвижной композиции, для которой бесконечно малое увеличение равно частному от деления теплоты, входящей в систему, на термодинамическую температуру плюс дополнительный положительный член, если изменение состояния является необратимым.
Примечания
1 Энтропия системы в данном макросостоянии является пропорциональной логарифму числа микросостояний в этом макросостоянии.
2 Когерентной единицей измерения энтропии в СИ является джоуль на кельвин, Дж/К (J/K).
3 Удельная энтропия, или энтропия по массе обозначается s.
113-04-23
свободная энергия Гиббса; энергия Гиббса; функция Гиббса (
G) (Gibbs free energy; Gibbs energy; Gibbs function): Количество состояния системы, равное ее энтальпии
H, уменьшенной на произведение термодинамической температуры
T и энтропии
S, таким образом,
G =
H -
TS.
Примечание - Удельная свободная энергия Гиббса или свободная энергия Гиббса по массе обозначается g.
113-04-24
свободная энергия Гельмгольца; энергия Гельмгольца; свободная энергия; функция Гельмгольца (
F,
A) (Helmholtz free energy; Helmholtz energy; free energy; Helmholtz function): Количество состояния системы, равное ее внутренней энергии
U, уменьшенной на произведение термодинамической температуры
T и энтропии
S, таким образом,
F =
U - TS.
113-04-25
функция Планка (
Y) (Plank function): Величина
Y =
-G/
T, где
G есть свободная энергия Гиббса системы и
T есть термодинамическая температура.
Примечание - Когерентной единицей измерения функции Планка является джоуль на кельвин, Дж/К (J/K).
113-04-26
функция Массо (
J) (Massieu function): Величина
J =
-A/
T, где
A есть свободная энергия Гельмгольца системы и
T есть термодинамическая температура.
Примечание - Когерентной единицей измерения функции Массо является джоуль на кельвин, Дж/К (J/K).
113-04-27
коэффициент линейного расширения; линейный расширительный коэффициент (

,

) (coefficient of linear expansion; linear expansion coefficient): Количество, характеризующее изменение с термодинамической температурой
T расстояния
l между двумя точками тела в данных условиях, таким образом,

.
Примечания
1 Обычно этим условием является отсутствие внешних сил.
2 Когерентной единицей измерения коэффициента линейного расширения в СИ является кельвин в степени минус один, К-1.
113-04-28
коэффициент кубического расширения; кубический расширительный коэффициент (

,

) (coefficient of cubic expansion; cubic expansion coefficient): Количество, характеризующее изменение с термодинамической температурой
T объема
V тела в данных условиях, таким образом,

.
Примечания
1 В уместном случае, например для газа, следует задавать давление.
2 Когерентной единицей измерения коэффициента объемного расширения в СИ является кельвин в степени минус один, К-1.
113-04-29
коэффициент давления 
(pressure coefficient): Величина, характеризующая изменение давления
p с термодинамической температурой
T у постоянного объема
V, таким образом,

.
Примечание - Когерентной единицей измерения коэффициента давления является паскаль на кельвин, Па/К.
113-04-30
относительный коэффициент давления 
(relative pressure coefficient): Коэффициент давления

, деленный на давление
p, таким образом,

.
Примечание - Когерентной единицей измерения относительного коэффициента давления является кельвин в степени минус один, К-1.
113-04-31
изотермическая сжимаемость 
(isothermal compressibility): Величина, характеризующая относительное изменение объема
V с давлением
p на постоянной термодинамической температуре
T:
.
Примечание - Когерентной единицей измерения изотермической сжимаемости является паскаль в степени минус один, Па-1.
113-04-32
изентропная сжимаемость 
(isentropic compressibility): Величина, характеризующая относительное изменение объема
V с давлением
p на постоянной энтропии
S:

.
Примечание - Когерентной единицей измерения изентропной сжимаемости является паскаль в степени минус один, Па-1.
113-04-33
тепловая проводимость (thermal conduction): Передача количества теплоты через прямое взаимодействие внутри среды или между средами в прямом физическом контакте без потока материала.
Примечание - Передача теплоты происходит обычно из области более высокой температуры в область низкой температуры. В случае фазового перехода передача теплоты может даже возникать при одинаковых температурах.
113-04-34
конвекция (convection): Передача количества теплоты текущей жидкостью.
Примечания
1 Конвекция может быть естественной или принудительной.
2 Конвекция всегда ассоциируется с теплопроводностью.
3 Состояние текущей жидкости может изменяться путем фазового перехода или химической реакции.
113-04-35
тепловое излучение (thermal radiation): Электромагнитное излучение, выделяемое из тела или абсорбируемое любым телом и зависящее только от его термодинамической температуры и от свойств его поверхности.
Примечание - Тепловое излучение является передачей количества теплоты в одну сторону.
113-04-36
расход тепла (heat flow rate): Количество тепла через поверхность в течение интервала времени, деленное на продолжительность этого интервала.
Примечание - Когерентной единицей измерения расхода тепла является ватт, Вт (W).
113-04-37
плотность расхода тепла; расход тепла на единицу площади (

,
q) (density of heat flow rate; areic heat flow rate): Векторное количество с величиной, равной расходу тепла

через элемент поверхности, деленный на площадь
dA этого элемента и направление

в направлении распространения тепла, таким образом,

.
Примечания
1 На неподвижной точке в среде, направление распространения тепла является обратным градиенту температуры. В точке на поверхности, разделяющей две среды с разными температурами, направление и распространения тепла является нормальными к поверхности, от более высокой к нижней температуре.
2 Когерентной единицей измерения плотности расхода тепла в СИ является ватт на м2, Вт/м2.
113-04-38
теплопроводность 
(thermal conductivity): На точке, неподвижной в среде с температурным полем - это скалярная величина

, характеризующая способность среды передавать тепло через элемент поверхности, содержащий упомянутую выше точку:

, где

есть плотность расхода тепла и
T - термодинамическая температура.
Примечания
1 В анизотропной среде теплопроводность является тензорной величиной.
2 Когерентной единицей измерения теплопроводности в СИ является ватт на метр x кельвин, Вт/(м x кельвин).
113-04-39
коэффициент передачи тепла; тепловое пропускание (
K,
U) (coefficient of heat transfer; thermal transmittance): В точке на поверхности, отделяющей две среды с разными термодинамическими температурами - это величина плотности расхода тепла

, деленная на абсолютное значение температурной разности

, таким образом,

.
Примечания
1 Коэффициент передачи тепла равен нулю для адиабатической границы и бесконечности для диатермической границы.
2 Имя "тепловое пропускание" и символ U используются главным образом в строительной технологии.
3 Когерентной единицей измерения коэффициента передачи тепла в СИ является ватт на квадратный метр x кельвин, Вт/(м2 x К).
113-04-40
коэффициент теплоотдачи (
h) (surface coefficient of heat transfer): Коэффициент передачи тепла, когда тепловой обмен имеет место между телом на термодинамической температуре
TS и его окружением, которое имеет исходную температуру
Tr, таким образом,

, где

есть плотность расхода тепла.
Примечание - Когерентной единицей измерения коэффициента передачи тепла поверхности в СИ является ватт на квадратный метр x кельвин, Вт/(м2 x К).
113-04-41
тепловое сопротивление изоляции; коэффициент теплового сопротивления изоляции; тепловое сопротивление (имеются возражения) [
M, (
R)] (thermal insulance; coefficient of thermal insulance; thermal resistance (deprecated in this sense)): Обратная величина коэффициента передачи тепла
K, таким образом,
M = 1/
K.
Примечания
1 Имя "тепловое сопротивление" и символ
R используются в строительной технологии. Это имя и этот символ нормально используются в концепции
113-04-45.
2 Когерентной единицей измерения теплового сопротивления изоляции в СИ является квадратный метр x кельвин на ватт, м2·К/Вт.
113-04-42
число Грасгофа (
Gr) (Grashov number): Величина по размерности 1, характеризующая теплопередачу путем естественной конвекции в жидкости, определенная равенством

, где
l есть заданная длина,
g - ускорение свободного падения,

- коэффициент кубического расширения,

- разность термодинамических температур и

- кинетическая вязкость.
113-04-43
число Нуссельта; число Био (
Nu,
Bi) (Nusselt number; Bio number): Величина по размерности 1, характеризующая теплопередачу, определенная равенством

, где
K - коэффициент теплопередачи,
l есть длина, характеризующая конфигурацию и

- теплопроводность.
Примечания
1 Число Нуссельта часто вычисляется с помощью эмпирических формул как функция других характеристических чисел (Рейнольдса Re, Прандтля Pr, Пекле Pe, Грасгофа Gr) и затем использовалось, чтобы установить коэффициент передачи тепла K.
2 Имя "число Био", символ Bi, используется в случае, когда число Нуссельта резервируется для конвекционного переноса тепла.
113-04-44
число Стантона; число Марголиса (
St,
Ms) (Stanton number; Margoulis number): Величина по размерности 1, характеризующая теплопередачу принудительной конвекцией в жидкости, определенная равенством

, где
K - коэффициент теплопередачи,

есть массовая плотность,
v - скорость жидкости и
cp - удельная теплопроводность при постоянном давлении.
Примечание - Число Стантона
St есть отношение числа Нуссельта
Nu к числу Пекле
Pe, таким образом,
St =
Nu/
Pe. Оно соединяется с числом Прандтля в коэффициенте теплопередачи
(113-04-55).
113-04-45
тепловое сопротивление (
R) (thermal resistance): Разность термодинамических температур, деленная на расход тепла.
Примечания
1 Имя "тепловое сопротивление" и символ
R используется в строительной технологии, чтобы обозначить тепловое сопротивление изоляции
(113-04-41).
2 Когерентной единицей измерения теплового сопротивления в СИ является кельвин на ватт, К/Вт.
113-04-46
теплопроводность (
G) (thermal conductance): Обратная величина теплового сопротивления
R (113-04-45), таким образом,
G = 1/
R.
Примечание - Когерентной единицей измерения тепловой проводимости в СИ является ватт на кельвин, Вт/К.
113-04-47
теплоемкость (
C) (heat capacity): Величина
C =
dQ/
dT, когда термодинамическая температура системы увеличивается на
dT как результат добавления количества тепла
dQ в данном состоянии.
Примечания
1 Примерами состояния может быть постоянный объем или постоянное давление для газа.
2 Когерентной единицей измерения теплоемкости в СИ является джоуль на кельвин, Дж/К.
113-04-48
удельная теплоемкость (
c) (specific heat capacity): Теплоемкость
C, деленная на массу
m, таким образом,
c =
C/
m.
Примечания
1 Когерентной единицей измерения удельной теплоемкости в СИ является джоуль на килограмм кельвин, Дж/(кг К).
2 Удельная теплоемкость при насыщении обозначается csat.
113-04-49
удельная теплоемкость на постоянном давлении (
cp) (specific heat capacity at constant pressure): Величина

, когда термодинамическая температура системы с массой
m увеличивается на
dT результате добавления небольшого количества тепла
dQ на постоянном давлении.
113-04-50
удельная теплоемкость на постоянном объеме (
cV) (specific heat capacity at constant volume): Величина

, когда термодинамическая температура системы с массой
m увеличивается на
dT результате добавления небольшого количества тепла
dQ при постоянном объеме.
113-04-51
отношение удельных теплоемкостей 
(ratio specific heat capacity at constant volume): Отношение удельной теплоемкости на постоянном давлении
cp к удельной теплоемкости при постоянном объеме
cV, таким образом,

.
113-04-52
показатель адиабаты 
(isentropic exponent): Величина с размерностью один, равная

, где
V - объем,
p - давление и
S - энтропия, которая сохраняется постоянной.
Примечание - Для идеального газа показатель адиабаты равен отношению удельных теплоемкостей.
113-04-53
температуропроводность 
(thermal diffusivity): Величина

, где

- теплопроводимость,

- массовая плотность и
cp - удельная теплоемкость на постоянном давлении.
Примечание - Когерентной единицей измерения температуропроводности в СИ является квадратный метр на секунду, м2/с.
113-04-54
число Прандтля (
Pr) (Prandtl number): Величина с размерностью 1, характеризующая относительную важность вязкости и температуропроводности, определенная равенством

, где

- динамическая вязкость,
cp - удельная теплоемкость на постоянном давлении,

- теплопроводность,

- кинетическая вязкость и

- температуропроводность.
113-04-55
фактор передачи тепла (
j) (heat transfer factor): Величина с размерностью 1, определенная равенством
j =
StPr2/3, где
St - число Стантона и
Pr - число Прандтля.
113-04-56
число Фурье (
F0) (Fourier number): Величина с размерностью 1, характеризующая теплопроводность, определенная равенством

, где

- удельная теплопроводность,
t - продолжительность,
cp - удельная теплоемкость на постоянном давлении,

- массовая плотность,
l - заданная длина и

- температуропроводность.
113-04-57
число Пекле (
Pe) (Peclet number): Величина с размерностью 1, характеризующая относительную важность принудительной конвекции и теплопроводности, определенная равенством

, где

- массовая плотность,
cp - удельная теплоемкость на постоянном давлении,
v - скорость,
l - заданная длина,

- удельная теплопроводность и

- температуропроводность.
Примечание - Число Пекле есть результат умножения числа Рейнольдса Re на число Прандля Pr, таким образом, Pe = Re·Pr.
113-04-58
число Релея (
Ra) (Rayleigh number): Величина с размерностью 1, характеризующая относительную важность естественной конвекции и теплопроводности, определенная равенством

, где
l - заданная длина,

- массовая плотность,
cp - удельная теплоемкость на постоянном давлении,
g - ускорение свободного падения,

- кубический коэффициент расширения,
T - термодинамическая температура,

- динамическая вязкость,

- удельная теплопроводность и

- температуропроводность.
Примечание - Число Релея есть произведение числа Грасгофа Gr и числа Прандтля Pr, т.е. Ra = Gr·Pr.
113-04-59
массовая концентрация воды (
w) (mass concentration of water): Частное от деления массы воды в трехмерной области определения, независимо от формы агрегации, на объем упомянутой области определения.
Примечания
1 Массовая концентрация воды при насыщении обозначается wsat.
2 Когерентной единицей измерения массовой концентрации воды в СИ является килограмм на кубический метр, кг/м3.
113-04-60
массовая концентрация водяного пара 
(mass concentration of water vapour): Частное от деления массы водяного пара влажного газа на полный объем газа.
Примечания
1 Массовая концентрация водяного пара при насыщении обозначается

.
2 Когерентной единицей измерения массовой концентрации водяного пара в СИ является килограмм на кубический метр, кг/м3.
113-04-61
массовая пропорция воды в сухом веществе (
u) (mass ratio of water to dry matter): Отношение массы воды к массе сухого вещества в данном объеме вещества.
Примечание - Массовая концентрация воды при насыщении обозначается usat.
113-04-62
отношение концентраций компонентов смеси; массовая пропорция водяного пара в сухом газе (
x) (mixing ratio; mass ratio of water vapour to dry gas): Отношение массы водяного пара к массе сухого воздуха в данном объеме воздуха [705-05-08:1995]
Примечание - Отношение концентраций компонентов смеси при насыщении обозначается xsat.
113-04-63
массовая фракция воды 
(mass fraction of water): Величина с размерностью 1, равная
u/(1 +
u), где
u - массовая доля воды в сухом веществе.
113-04-64
массовая фракция сухого вещества (
wd) (mass fraction of dry matter): Величина

, где

есть массовая фракция воды.
113-04-65
относительная влажность; относительное парциальное давление RH (сокращение) 
(relative humidity; relative partial pressure): Отношение парциального давления
p водяного пара во влажном воздухе к его парциальному давлению
psat при насыщении на той же самой температуре, таким образом,

.
Примечание - Относительное парциальное давление часто выражается в процентах.
113-04-66
относительная массовая концентрация водяного пара 
(relative mass concentration of water vapour): Отношение массовой концентрации водяного пара

к его массовой концентрации при насыщении

на той же самой температуре, таким образом,

.
Примечание - Для нормальных случаев относительную влажность можно принимать равной относительной массовой концентрации пара.
113-04-67
температура точки росы (
Td) (dew point temperature): Термодинамическая температура, на которой пар в воздухе достигает насыщения.
Примечание - Соответствующая температура Цельсия обозначается td и также называется точкой росы.
Раздел 113-05 Физика (элементарных) частиц
113-05-01
частица (particle): Составная часть физической системы, внутренней структурой которой можно пренебречь как не оказывающей никакого влияния на поведение системы на заданном уровне рассмотрения.
Примечание - Частица является очень малой частью вещества и элементарной частицей.
113-05-02
элементарная частица (elementary particle): Частица, которую нельзя считать состоящей из других основных частиц на заданном уровне рассмотрение в противоположность тем частицам, которые считаются составными системами.
Примечания
1 Элементарные частицы - это либо частицы материи, которые являются источниками взаимодействия, например, электроны, нейтроны и кварки, либо частицы, которые выступают в роли посредников, например, фотоны. Примерами составных систем являются протон, нейтрон, атомные ядра, атом, ион, молекула.
2 Любому виду элементарной частицы существует античастица.
113-05-03
античастица (antiparticle): Для данного вида частицы - это частица, для которой каждая характеристика, которая может принимать два значения, имеет дополнительное значение, тогда как остальные характеристики являются теми же самыми.
Примечания
1 Концепция античастицы применяется к элементарным частицам, например, позитрону в качестве античастицы электрона, и составным частицам, например, протону, нейтрону и атому.
2 Частица и ее античастица имеют, в частности, одну и ту же массу покоя, одно и то же число квантов спина и противоположные электрические заряды.
3 Частица и ее античастица могут взаимодействовать, имея результатом два протона. Этот процесс обычно называется аннигиляцией.
4 Античастица обычно обозначается таким же символом, как и соответствующая частица, но с чертой сверху, и ее имя является обычно именем частицы с префиксом анти, например, антипротон

, соответствует протону
p, атом антиводорода соответствует атому водорода.
113-05-04
корпускула (corpuscole): Частица, имеющая не нулевую массу покоя.
113-05-05
материя (вещество) (matter): Система корпускулов, связанных вместе своими взаимодействиями.
113-05-06
квант (quantum): Неделимая величина количества, которая только изменяется дискретно на одно или больше таких величин.
113-05-07
постоянная Планка 
(Plank constant): Основная физическая постоянная, определяющая, в том числе, отношение между частотой
f электромагнитного излучения и энергией
E =
hf соответствующих фотонов.
Примечание - Значение постоянной Планка есть 6,626 068 98(33) x 10-34 Дж x с (CODATA 2006).
113-05-08
сокращенная постоянная Планка 
(reduced Plank constant): Основная физическая постоянная, равная постоянной Планка
h, деленной на

, т.е.

.
Примечание - Значение сокращенной постоянной Планка есть 1,054 571 628(53)·10-34 Дж·с (CODATA 2006).
113-05-09
спин (1) (
S,
s) (spin (1)): Внутренний (собственный) момент импульса частицы.
Примечания
1 Ожидаемое значение спина в любом направлении есть

, где число квантов спина и

есть сокращенная постоянная Планка.
2 Спин в данном направлении квантуется как кратные или полукратные сокращенной постоянной Планка. В направлении оси квантования z компонента спина квантуется как Sz = msh, ms = s, s - 1, ..., - s, где ms есть число магнитных квантов спина и s - число квантов спина.
113-05-10
число магнитных квантов спина (
ms) (spin magnetic quantum number): Число, умножение которого на сокращенную постоянную Планка есть значение компоненты спина
(113-05-09) на оси квантования.
Примечания
1 В направлении квантования
z компонента спина квантуется как

,
ms =
s,
s - 1, ..., -
s, где
ms есть число магнитных квантов спина и
s - число квантов спина.
2 Направление квантования часто может быть выбрано произвольно. В присутствии магнитного поля наилучший выбор для оси квантования есть направление плотности магнитного потока.
113-05-11
число квантов спина; спин (2) (
s,
S) (spin quantum number; spin (2)): Максимальное значение числа магнитных квантов спина, равное натуральному числу (0, 1, ...) или положительному полуцелому (1/2, 3/2, ...).
Примечание - Согласно тому, является ли число квантов спина полуцелым или целым, частица является фермионом или бозоном, соответственно.
113-05-12
фермион (fermion): Частица с полуцелым квантовым числом спина, т.е. 1/2, 3/2, ...
Примечания
1 Фермионы подвергаются статистике Ферми-Дирака и соблюдают принцип исключения Паули-Ферми, который утверждает, что только единичная частица может быть назначена в данное квантовое состояние.
2 Фермионы - это, например, электрон, все нейтроны и кварки и все частицы, составленные из нечетного числа фермионов (например, протон, нейтрон, ядро гелия 3He).
113-05-13
бозон (boson): Частица с целым квантовым числом спина, т.е. 0, 1, 2, ...
Примечания
1 Бозоны подвергаются статистике Бозе-Эйнштейна и не соблюдают принцип исключения Паули (смотрите фермион).
2 Бозоны - это, например, фотон и все частицы, составленные из четного числа фермионов (например, пион, ядро гелия 4He).
113-05-14
фотон 
(photon): Неделимая величина электромагнитного излучения, такого, что излучение только изменяется дискретно на одну или больше таких величин, которая считается частицей энергии

, где
h - постоянная Планка и

- частота излучения.
Примечания
1 Фотон является элементарной частицей с квантовым числом спина 1 и нулевой массой покоя.
2 Фотоны - это посреднические частицы для электромагнитного взаимодействия.
113-05-15
фонон (phonon): Неделимая величина механической вибрационной энергии, такой, что энергия изменяется только дискретно на одну или больше таких величин со свойствами, подобными частице.
113-05-16
элементарный электрический заряд; элементарный заряд (
e) (elementary electric charge; elementary charge): Квант электрического заряда.
Примечания
1 Элементарный электрический заряд равен заряду фотона и обратный заряду электрона.
2 Значение элементарного электрического заряда: e = 1,602 176 487(40) x 10-19 К(С) (COODATA 2006).
113-05-17
атомное число; ионизационное число (
c,
z) (charge number; ionization number): Для частицы - это электрический заряд
q, деленный на элементарный заряд
e, таким образом,
c =
q/
e.
Примечания
1 Атомное число электрически заряженной частицы может быть положительным или отрицательным. Атомное число электрически нейтральной частицы есть нуль.
2 Атомное число частицы может быть представлено как верхний индекс к символу этой частицы, например, H+, He++, Al3+, Cl-, N3-.
113-05-18
электрон (
e) (electron): Стабильная элементарная частица с электрической энергией -
e и массой покоя
me 9,109 382 15(45) x 10
-31 кг (CODATA 2006).
Примечания
1 Электрон есть фермион.
2 Символы для электрона и позитрона следует использовать непротиворечиво, т.е. либо
e- и
e+, либо
e и

.
113-05-19
позитрон (
e+,

) (positron): Стабильная элементарная частица с электрической энергией +
e и массой покоя электрона.
Примечания
1 Позитрон есть античастица электрона.
2 Позитрон есть фермион.
3 Символы для электрона и позитрона следует использовать непротиворечиво, т.е. либо
e- и
e+, либо
e и

.
113-05-20
атом (atom): Основная составляющая частица любого вещества, электрически нейтральная, состоящая из одной центральной части, имеющей положительный электрический заряд и почти всю массу, окруженную электронами.
Примечания
1 Движения и комбинации атомов объясняют макроскопические свойства определенного вещества.
2 Если атом теряет или получает один или больше электронов, то он становится ионом.
3 Электрический заряд центральной части, называемый атомным ядром, обуславливает число электронов, и этим самым химическое поведение атома, т.е. его способность создавать комбинации с другими атомами. Химический элемент состоит из атомов, атомные ядра которых имеют одинаковое число протонов.
113-05-21
атомное ядро (atomic nucleus): Центральная часть атома.
Примечания
1 Атомное ядро состоит из одного или больше протонов и ряда нейтронов (кроме водорода H), имея, таким образом, положительный электрический заряд и почти всю массу атома.
2 Масса атомного ядра меньше, чем сумма его составных частей, вследствие энергии, связывающей их вместе.
113-05-22
атомная масса; масса изотопа (
ma,
m(
X)) (atomic mass; nuclidic mass): Масса покоя свободного атома нуклида (изотопа)
X и его основное состояние
(113-06-08).
Примечание - Численное значение атомной массы, выраженной в дальтонах, называется относительной массой атома.
113-05-23
постоянная унифицированной атомной массы (unified atomic mass constant): Масса, равная 1/12 атомной массы углерода 12.
Примечание - Значением постоянной унифицированной атомной массы является 1 дальтон.
113-05-24
дальтон; унифицированная единица атомной массы (Da
, u) (Dalton; unified atomic mass unit): Единица измерения массы, принятая для использования в СИ, равная 1/12 атомной массы углерода 12.
Примечание - 1 Da = 1 u = 1,660 538 782(83) x 10-27 кг (CODATA 2006).
113-05-25
молекула (molecule): Частица материи, состоящая из определенного числа химически связанных атомов в специальной структуре.
Примечание - Молекула образует мельчайшую часть субстанции, которая может существовать в свободном состоянии, сохраняя характерные химические свойства субстанции. Некоторые молекулы состоят только из одного атома, например, аргон.
113-05-26
ион (ion): Атом или группа связанных атомов, которые теряют или принимают один или больше электронов и имеют тогда не нулевой общий электрический заряд.
113-05-27
кварк (quark): В "стандартной модели" частиц, одна из шести элементарных частиц, объединенных в тройки или в пары с античастицами, чтобы составлять другие частицы.
Примечания
1 Шесть типов кварков (называемые ароматами) нижний (d), верхний (u), странный (s), очарованный (c), красивый (b), истинный (t). Они являются фермионами, несущими электрический заряд, равный +2/3 или - -1/3 элементарного заряда. Каждый кварк имеет античастицу, обозначенную символом с чертой сверху символа.
2 Кварки никогда не возникают изолированными, но только в комбинации, либо в тройках, например, нейтрон, протон или гипероны, либо в парах с антикварками, как мезоны. Кварки являются источником сильного взаимодействия на короткой дистанции, что объясняет, в частности, сцепление атомного ядра.
113-05-28
протон (p, p
+) (proton): Стабильная частица с положительным электрическим зарядом
e, составленным из трех кварков.
Примечания
1 Протон является фермионом и составляется из кварков duu.
2 Протоны являются составными частями всех атомных ядер.
3 Протоны имеют массу покоя mp = 1, 672 621 637(63) x 10-27 кг (CODATA 2006).
113-05-29
средний период распада (T
1/2) (mean life): Для неустойчивой популяции частиц одного и того же вида - это продолжительность для ряда частиц уменьшаться до 1/e исходного значения, где e есть основание натурального логарифма.
Примечания
1 Средний период распада есть постоянная времени для распада частиц.
2 Известны только экспоненциальные распады. Однако для комбинации разных видов частиц с разным средним периодом распада он не является экспоненциальным, и результирующий средний период распада изменяется со временем.
113-05-30
нейтрон (n) (neutron): Электрически нейтральная частица, составленная из трех кварков одного и того же типа как в протоне.
Примечания
1 Протон является фермионом и составляется из кварков ddu.
2 Нейтроны являются составными частями всех атомных ядер, кроме водорода 1H.
3 Нейтрон имеет массу покоя mn = 1, 674 927 211(84) x 10-27 кг (CODATA 2006) и среднюю жизнь в свободном состоянии для бета распада приблизительно 890 с.
113-05-31
нуклон (m) (nucleon): Компонента атомного ядра, либо протон, или нейтрон.
Примечание - Протон и нейтрон, оба 1/2 спина, имеют приблизительно одну и ту же массу покоя и могут превращаться друг в друга через слабое взаимодействие.
113-05-32
число нуклонов; массовое число (
A) (nucleon number; mass number): Число нуклонов, содержащихся в атомном ядре.
113-05-33
число протонов; атомное число (
Z) (proton number; atomic number): Число протонов в атомном ядре.
Примечания
1 Число протонов дается равенством Z = A - N, где A есть число нуклонов и N - число нейтронов.
2 Число протонов дает электрический заряд в числе элементарных электрических зарядов.
3 Атомное число есть порядковый номер атома в периодической химической классификации, и относится к химическому поведению атома, т.е. способности создавать комбинации с другими атомами. Химический элемент состоит из атомов, имеющих такое же атомное число.
113-05-34
число нейтронов (
N) (neutron number): Число нейтронов в атомном ядре.
Примечание - Число нейтронов дается равенством N = A - Z, где A есть число нуклонов и Z - число протонов.
113-05-35
число избыточных нейтронов (
N) (neutron excess number): Разность
N -
Z числа нейтронов
N и числа протонов
Z атомного ядра.
113-05-36
нуклид, изотоп (nuclide): Разновидность атома, характеризуемая числом нуклонов, числом протонов и состоянием ядерной энергии.
113-05-37
химический элемент (chemical element): Разновидность атома, характеризуемого числом протонов.
Примечания
1 Атомы в химическом элементе могут отличаться своими числами нейтронов, т.е. они будут разными изотопами, например, водород и дейтерий.
2 Субстанции, составленные из одних и тех же химических элементов, могут различаться по своей структуре, например, графит, алмаз и фуллерен или кислород O2 и озон O3.
3 Химический элемент не может быть преобразован в другой химический элемент химическими процессами.
113-05-38
изотоп (isotope): Один из набора нуклидов, имеющий такое же число протонов, но разные числа нейтронов.
Примечание - Химический элемент может состоять из разных изотопов.
113-05-39
изотон (isotone): Один из набора нуклидов, имеющий такое же число нейтронов, но разные числа протонов.
113-05-40
изобар (isobar): Один из набора нуклидов, имеющий такое же число нуклонов.
113-05-41
сверхтонкий уровень (hyperfine level): Один из энергетических уровней атома или молекулы, являющийся результатом расщепления электронного уровня, главным образом, вследствие связи электрона и ядерных магнитных моментов.
Примечание - Переход между двумя сверхтонкими уровнями основного состояния атома цезия 133 используется для определения секунды в СИ (смотрите 112-02-04).
Раздел 113-06 Физика твердого тела
113-06-01
энергетический уровень (energy level): Для системы частиц и полей - это набор состояний, ассоциированных с заданной энергией.
Примечания
1 Эта концепция особенно полезна при изменениях энергии квантами.
2 Термин "энергетический уровень" используется также для ассоциированной энергии.
113-06-02
свободный электрон (free electron): Электрон, не жестко связанный с атомом или молекулой и поэтому способный свободно перемещаться под внешним влиянием, например, электрического поля, магнитного поля или столкновения с другой частицей.
113-06-03
квазисвободный электрон (quasi-free electron): Электрон, не жестко связанный с атомом или молекулой и поэтому способный перемещаться под внешним влиянием, например, электрического поля, магнитного поля или столкновения с другой частицей, но ограниченный в данной области определения в пространстве и по скорости.
Примечание - Примером является электрон проводимости.
113-06-04
связанный электрон (bound electron): Электрон, жестко связанный с атомом или молекулой, и поэтому не способный перемещаться под внешним влиянием, например, электрического поля, магнитного поля или столкновения с другой частицей.
113-06-05
валентный электрон (valence electron): Электрон, обычно на внешней оболочке атома, которая может быть совместно использована, чтобы позволить атому образовать химическую связь с другим атомом.
113-06-06
ионизация (ionization): Формирование ионов путем вставки электронов в атомы или молекулы или удаления электронов из атомов или молекул или путем расщепления молекул.
113-06-07
электронный газ (electron gas): Система квазисвободных электронов.
Примечания
1 Электронный газ в полупроводниках ведет себя как нормальный газ, следуя классической статистике. В металлах, вследствие огромной концентрации и малой массы электрона, электронный газ ведет себя как вырожденный газ, следуя статистике Ферми-Дирака.
2 Электронный газ отвечает за электрическую и тепловую проводимость металлов.
113-06-08
основное состояние (ground state): Состояние системы частиц и полей с наименьшей энергией.
Примечание - Атомное и молекулярное основное состояние включает обычно разнесенные в пространстве энергетические уровни в термодинамическом равновесии, например, сверхтонкие уровни
(113-05-41).
113-06-09
возбужденное состояние (excited state): Состояние системы частиц и полей с более высокой энергией, чем основное состояние.
113-06-10
энергия возбуждения (excitation energy): Энергия, необходимая, чтобы перевести систему частиц и полей из основного состояния на данное возбужденное состояние.
113-06-11
резонансное состояние (resonance state): В спектроскопии - это возбужденное состояние системы частиц и полей, из которого переход непосредственно в основное состояние допускается путем излучения фотона.
113-06-12
метастабильное состояние (metastable state): Возбужденное состояние системы частиц и полей, из которого переход в состояние нижнего уровня энергии нормально запрещается.
Примечание - Энергия часто передается другой частице, например, молекуле, атому или электрону.
113-06-13
энергетическая зона (energy band): Набор энергетических уровней, энергии которых занимают интервал практически непрерывно.
113-06-14
допустимая зона; разрешенная зона (allowed band; permitted band): Энергетическая зона, каждый уровень которой может быть занят электронами.
Примечание - Допустимые зоны либо перекрывают одна другую, либо разделяются запрещенной зоной.
113-06-15
запрещенная зона; ширина запрещенной (энергетической) зоны (forbidded band; energy gap): Интервал энергий, никакой уровень которых не может быть занят электронами.
113-06-16
энергия ионизации (
Eg) (gap energy): Наименьшая энергетическая разность между двумя соседними допустимыми зонами, разделенными запрещенной зоной.
Примечания
1 Две допустимые зоны обычно являются зоной проводимости и зоной валентности.
2 Термин "запрещенная зона - energy gap" часто ошибочно используется вместо "энергии ионизации".
113-06-17
уровень Ферми (Fermi level): В твердом теле - это энергетический уровень, разделяющий занятые электронные уровни от незанятых электронных уровней на термодинамической температуре нуль Кельвина.
Примечание - В чистых невозмущенных изоляторах и внутренних полупроводниках уровень Ферми обычно назначается в центре запрещенной зоны, которая отделяет занятые и незанятые уровни на нулевой температуре по шкале Кельвина.
113-06-18
энергия Ферми (
EF) (Fermi energy): Энергия, ассоциированная с уровнем Ферми.
113-06-19
валентная зона (valence band): Допустимая зона, полностью занятая валентными электронами на термодинамической температуре нуль по шкале Кельвина.
113-06-20
зона проводимости (conduction band): Допустимая энергетическая зона, частично занятая квазисвободными электронами.
113-06-21
электрон проводимости (conduction electron): Электрон зоны проводимости.
113-06-22
аффинность электрона 
(electron affinity): Энергетическая разность между бесконечно удаленным электроном в состоянии покоя и электроном на самом низком уровне зоны проводимости в изоляторе или полупроводнике.
113-06-23
дыра (hole): Пустота, появляющаяся в почти заполненной энергетической зоне, которая ведет себя подобно носителю одного положительного элементарного заряда.
113-06-24
пара электрон - дыра (electron-hole pair): Ассоциация электрона и дыры в метастабильном состоянии.
Примечание - Пара электрон-дыра часто создается путем подъема электрона из валентной зоны в зону проводимости.
113-06-25
переносчик заряда (charge carrier): Частица, например, электрон, протон, ион, или сущность, полученная за счет расширения, которая имеет характеристики, подобные частицам, например, дыре, имеющей не нулевой заряд.
Примечание - Электрический заряд переносчика заряда есть всегда кратное целое, положительное или отрицательное, элементарного электрического заряда, кроме для кварков и некоторых, подобных частицам сущностей в полупроводниках.
113-06-26
заряженный (charged): Квалифицирует сущность, имеющую не нулевой электрический заряд.
113-06-27
переносчик свободного заряда (free charge carrier): Переносчик заряда, который способен свободно двигаться под влиянием приложенного электрического поля.
113-06-28
электронная эмиссия (electron emission): Высвобождение электронов заряда с поверхности материала в смежное пространство.
113-06-29
термионная эмиссия (thermionic emission): Электронная эмиссия вследствие теплового возбуждения.
113-06-30
постоянная Ричардсона (
A) (Richardson constant): Параметр закона
J =
AT2exp(Ф/
kT2), выражающий плотность тока термионной эмиссии
J для металла на основе термодинамической температуры
T и рабочей функции Ф, где
k есть постоянная Больцмана.
Примечание - Когерентной единицей измерения постоянной Ричардсона в СИ является ампер на квадратный метр кельвин в квадрате, А/(m2 x К2).
113-06-31
фотоэлектронная эмиссия (photoelectric emission): Электронная эмиссия вследствие падения электронов.
113-06-32
автоэлектронная (электростатическая) эмиссия (field emission cold emission): Эмиссия электронов с не нагретой поверхности, вызванная достаточно высокой напряженностью электрического поля.
113-06-33
первичная электронная эмиссия (primary electron emission): Термионная, фотоэлектрическая или автоэлектронная эмиссия.
113-06-34
вторичная электронная эмиссия (secondary electron emission): Электронная эмиссия вследствие бомбардировки поверхности эмиссии электронами или ионами.
113-06-35
рабочая функция (Ф) (work function): Наименьшая энергия, необходимая для эмиссии электрона проводимости.
Примечание - Рабочая функция есть энергетическая разность между электроном в состоянии покоя и электроном на уровне Ферми во внутреннем окружении субстанции.
113-06-36
мобильность 
(mobility): В данной среде - это частное от деления средней скорости переносчика свободного заряда в том же самом или обратном направлении напряженности электрического поля
E его величиной
E.
Примечание - Рабочая функция есть энергетическая разность между электроном в состоянии покоя и электроном на уровне Ферми во внутреннем окружении субстанции.
113-06-37
средняя длина свободного пробега (
l,

) (mean free path): В данной среде - это среднее расстояние, которое частицы заданного типа пробегают между последовательными взаимодействиями заданного типа.
Примечание - Средняя длина свободного пробега, таким образом, может быть задана либо для всех взаимодействий, т.е. общей средней длиной пробега, либо для конкретного типа взаимодействия, например, рассеяния, захвата или ионизации.
113-06-38
поперечное сечение взаимодействия; поперечное сечение 
(cross section of interaction; cross section): Для данного типа взаимодействия падающих частиц с мишенью - это величина, равная произведению вероятности взаимодействия мишени с частицей и площади поперечного сечения бесконечно малой сферы, деленная на число частиц, падающих на сферу.
Примечание - Поперечное сечение имеет размерность площади. Единицей измерения не в системе СИ является барн, символ b: 1 b = 10-28 м2.
113-06-39
энергия ионизации (
Ei) (ionization energy): Энергетическая разность между электроном покоя в бесконечности и электроном на определенном энергетическом уровне.
Примечание - Энергия ионизации есть наименьшая энергия, чтобы ионизировать атом или молекулу из его/ее основного состояния.
113-06-40
вероятность ионизации (probability of ionization): Отношение числа столкновений в заданный интервал времени между частицами, имея результатом формирование ионов, к общему числу столкновений в течение этого интервала времени.
Примечание - Вероятность ионизации сильно зависит от энергии взаимодействия и параметров столкновения.
113-06-41
коэффициент ионизации; линейная ионизация (
Nil) (ionization coefficient; linear ionization): Частное от деления среднего числа пар, когда каждая пара составлена из противоположно заряженных ионов или положительного иона и электрона, который создает частица с заданной кинетической энергией вдоль длины пробега, на длину этого пробега в заданных условиях.
Примечание - Заданные условия включают природу и состояние субстанции, которая ионизируется.
113-06-42
скорость ионизации (ionization rate): Частное от деления числа пар, когда каждая пара составлена из противоположно заряженных ионов или положительного иона и электрона, внесенного в заданный объем в пределах данного интервала времени, на произведение объема и длительности интервала времени.
113-06-43
рекомбинация (recombination): Взаимодействие между переносчиком отрицательного и положительного заряда с результатом нейтрализации их электрических зарядов.
113-06-44
деионизация (deionization): Рекомбинация в ионизированной жидкости.
113-06-45
скорость рекомбинации (recombination rate): Частное от деления плотности числа пар противоположно заряженных носителей, воссоединенных в пределах данного интервала времени, на длительность интервала времени.
113-06-46
скорость деионизации (deionization rate): Скорость рекомбинации в ионизированной жидкости.
113-06-47
коэффициент рекомбинации 
(recombination coefficient): Частное от деления скорости рекомбинации на произведение плотностей
n+ и n
- числа носителей воссоединяющихся зарядов, таким образом,

.
Примечание - Когерентной единицей измерения коэффициента рекомбинации в СИ является кубический метр в секунду, m3/с.
113-06-48
плазма (plasma): Токопроводящая газообразная среда, состоящая из свободных электронов, ионов и нейтральных атомов или молекул с такими долями разных частиц, что на макроскопической шкале эта среда является электрически нейтральной.
113-06-49
диффузия (diffusion): Перенос частиц вследствие градиента концентрации.
Алфавитный указатель терминов на русском языке
А
адиабатический | |
адсорбция | |
альтитуда | |
анизотропный | |
античастица | |
атом | |
аффинность электрона | |
Б
бозон | |
быстрота обобщенная | |
В
Ватт (Вт) | |
вектор вращения | |
вероятность ионизации | |
вес | |
вещество | |
влажность относительная | |
внутренняя энергия | |
восстановление | |
время | |
время дня поясное | |
время накопленное | |
время на часах | |
время поясное | |
вязкость | |
вязкость динамическая | |
вязкость кинематическая | |
Г
газ электронный | |
гетерогенный | |
глубина | |
градус по Цельсию | |
Д
давление | |
давление парциальное относительное | |
дальтон | |
дата | |
дата календаря | |
деионизация | |
действие | |
день календарный | |
деформация | |
деформация линейная | |
деформация объемная | |
деформация сдвига | |
джоуль | |
диаметр | |
диатермический (теплопрозрачный) | |
диффузия | |
длина | |
длина свободного пробега средняя | |
длина траектории | |
доля водяного пара в сухом газе массовая | |
дыра | |
Е
единица атомной массы унифицированная | |
З
заряд кулон электрический отрицательный | |
заряд отрицательный | |
заряд положительный | |
заряд электрический | |
заряд электрический положительный | |
заряд элементарный | |
заряд элементарный электрический | |
заряженный | |
зона валентная | |
зона допустимая | |
зона запрещенная | |
зона проводимости | |
зона разрешенная | |
зона энергетическая | |
И
излучение тепловое | |
изменение фазы | |
изобар | |
изоляция тепловая | |
изотон | |
изотоп | |
изотоп | |
импульс вращательный | |
импульс обобщенный | |
инерция | |
интервал времени | |
ион | |
ионизация | |
ионизация линейная | |
К
квант | |
кварк | |
количество вещества | |
количество движения | |
количество процесса | |
количество состояния | |
количество теплоты | |
конвекция | |
концентрация воды массовая | |
концентрация водяного пара массовая | |
концентрация водяного пара массовая относительная | |
координата обобщенная | |
корпускула | |
коэффициент давления | |
коэффициент давления относительный | |
коэффициент динамического трения | |
коэффициент диффузии | |
коэффициент ионизации | |
коэффициент кубический расширительный | |
коэффициент кубического расширения | |
коэффициент линейного расширения | |
коэффициент линейный расширительный | |
коэффициент передачи тепла | |
коэффициент рекомбинации | |
коэффициент теплового сопротивления изоляции | |
коэффициент теплоотдачи | |
кривизна | |
кулон | |
М
макросостояние | |
масса | |
масса атомная | |
масса в граммах (имеются возражения) | |
масса изотопа | |
масса кажущаяся (имеются возражения) | |
масса линейная | |
масса на единицу площади | |
масса объемная | |
масса поверхностная | |
масса покоя | |
масса релятивистская | |
масса собственная | |
материя | |
Международная температурная шкала 1990 года | |
мгновение | |
мгновенный | |
микросостояние | |
мобильность | |
модуль Кулона | |
модуль кулоновский | |
модуль объемного сжатия | |
модуль сдвига | |
модуль сжатия | |
модуль упругости | |
модуль Юнга | |
молекула | |
момент вращающий | |
момент инерции | |
момент инерции массовый | |
момент кинетический | |
момент количества движения | |
момент пары | |
момент площади осевой второй | |
момент площади полярный второй | |
момент силы | |
момент (силы) изгибающий | |
момент сопротивления сечения | |
момент угловой | |
мощность | |
мощность выходная | |
мощность подводимая | |
Н
напряжение механическое | |
напряжение (механическое) нормальное | |
напряжение нормальное | |
напряжение при сдвиге | |
натяжение поверхностное | |
нейтрон | |
неоднородный | |
нуклид | |
нуклон | |
ньютон | |
О
оборот | |
объем массовый | |
объем удельный | |
одновременный | |
однородный | |
окисление | |
ось времени | |
отношение концентраций компонентов смеси | |
отношение удельных теплоемкостей | |
П
пара | |
пара сил | |
пара электрон-дыра | |
паскаль | |
переносчик заряда | |
переносчик свободного заряда | |
переход фазовый | |
период распада средний | |
плотность силы | |
плотность | |
плотность линейная | |
плотность массовая | |
плотность массовая линейная | |
плотность массовая относительная | |
плотность массовая поверхностная | |
плотность расхода тепла | |
плотность поверхностная | |
позитрон | |
показатель адиабаты | |
постоянная Авогадро | |
постоянная Планка | |
постоянная Планка сокращенная | |
постоянная Ричардсона | |
постоянная силы тяжести | |
постоянная унифицированной атомной массы | |
постоянная Фарадея | |
потенциал | |
проводимость тепловая | |
продолжительность время | |
продолжительность накопленная | |
продолжительность общая | |
пропорция воды в сухом веществе массовая | |
пропорция водяного пара в сухом газе массовая | |
пропускание тепловое | |
пространство | |
пространство-время | |
протон | |
процесс квазистатический | |
Р
работа | |
радиус | |
радиус кривизны | |
разделенный на сто градусов | |
расстояние по радиусу | |
растяжение линейное | |
расход массовый | |
расход объемный | |
расход тепла | |
расход тепла на единицу площади | |
рекомбинация | |
С
свойство микроскопическое | |
сечение взаимодействия поперечное | |
сечение поперечное | |
сжимаемость | |
сжимаемость изентропная | |
сжимаемость изотермическая | |
сжимаемость объемная | |
сила | |
сила обобщенная | |
сила объемная | |
система закрытая | |
система изолированная | |
система координат инерциальная | |
система нерасширяемая | |
система открытая | |
скорость | |
скорость вращения | |
скорость деионизации | |
скорость ионизации | |
скорость люминальная | |
скорость рекомбинации | |
скорость релятивистская | |
скорость сверхлюминальная | |
скорость света | |
скорость света в вакууме | |
скорость световая | |
скорость сублюминальная | |
скорость угловая | |
смещение | |
событие | |
сопротивление изоляции тепловое | |
сопротивление тепловое | |
сопротивление тепловое (имеются возражения) | |
состояние возбужденное | |
состояние метастабильное | |
состояние основное | |
состояние равновесия | |
состояние резонансное | |
спин (1) | |
спин (2) | |
Т
температура абсолютная (имеются возражения) | |
температура термодинамическая | |
температура точки росы | |
температура по Цельсию | |
температуропроводность | |
тепло, теплота | |
теплоемкость | |
теплоемкость на постоянном давлении удельная | |
теплоемкость на постоянном объеме удельная | |
теплоемкость удельная | |
теплопроводность | |
теплопроводность | |
толщина | |
У
угол вращения | |
угол ориентированный | |
уровень сверхтонкий | |
уровень Ферми | |
уровень энергетический | |
ускорение | |
ускорение вследствие силы тяжести (имеются возражения) | |
ускорение свободного падения | |
ускорение свободного падения стандартное | |
ускорение угловое | |
Ф
фаза (вещества) | |
фактор динамического трения | |
фактор передачи тепла | |
фактор статического трения | |
фермион | |
фонон | |
фотон | |
фракция воды массовая | |
фракция сухого вещества массовая | |
функция Гамильтона | |
функция Гельмгольца | |
функция Гиббса | |
функция Лагранжа | |
функция Массо | |
функция Планка | |
функция рабочая | |
Ц
центр массы | |
центр силы тяжести (имеются возражения) | |
Ч
частица | |
частица элементарная | |
частота вращения | |
число атомное | |
число атомное | |
число Био | |
число Вебера | |
число Грасгофа | |
число избыточных нейтронов | |
число ионизационное | |
число квантов спина | |
число Кнудсена | |
число магнитных квантов спина | |
число Марголиса | |
число массовое | |
число Маха | |
число нейтронов | |
число нуклонов | |
число Нуссельта | |
число Пекле | |
число Прандтля | |
число протонов | |
число Пуассона | |
число Рейнольдса | |
число Релея | |
число спина квантовое магнитное | |
число Стантона | |
число Струхаля | |
число Фруда | |
число Фурье | |
число Эйлера | |
Ш
ширина | |
ширина запрещенной (энергетической) зоны | |
шкала времени | |
шкала температур Цельсия | |
шкала термодинамической температуры | |
Э
электрон | |
электрон валентный | |
электрон квазисвободный | |
электрон проводимости | |
электрон свободный | |
электрон связанный | |
электронвольт | |
элемент химический | |
эмиссия автоэлектронная (электростатическая) | |
эмиссия термионная | |
эмиссия фотоэлектрическая | |
эмиссия электронная | |
эмиссия электронная вторичная | |
эмиссия электронная первичная | |
энергия | |
энергия внутренняя | |
энергия возбуждения | |
энергия Гельмгольца | |
энергия Гельмгольца свободная | |
энергия Гиббса | |
энергия Гиббса свободная | |
энергия ионизации | |
энергия ионизации | |
энергия кинетическая | |
энергия механическая | |
энергия покоя | |
энергия потенциальная | |
энергия свободная | |
энергия термодинамическая | |
энергия Ферми | |
энтальпия | |
энтропия | |
эффективность | |
Я
Алфавитный указатель терминов на английском языке
A
acceleration | |
acceleration of free fall | |
accumulated duration | |
adiabatic | |
adsorbtion | |
allowed band; permitted band | |
altitude | |
amount of heat | |
amount of substance | |
angle of rotation | |
angular acceleration | |
angular impulse | |
angular momentum; moment of momentum | |
angular velocity | |
anisotropic | |
antiparticle | |
atom | |
atomic mass; nuclidic mass | |
atomic nucleus | |
Avogadro constant | |
B
bending moment (of force) | |
boson | |
bound electron | |
breadth; width | |
C
calendar date | |
calendar day | |
Celsius temperature | |
Celsius temperature scale | |
centre of mass; centre of gravity (deprecated) | |
charge carrier | |
charge number; ionization number | |
charged | |
chemical element | |
clock time; standard time of day | |
closed system | |
coefficient of cubic expansion | |
coefficient of heat transfer | |
coefficient of linear expansion | |
compressibility; bulk compressibility | |
conduction band | |
conduction electron | |
convection | |
corpuscole | |
coulomb | |
couple of force | |
cross section of interaction; cross section | |
curvature | |
D
Dalton; unified atomic mass unit | |
date | |
degree Celsius | |
deionization | |
deionization rate | |
density of heat flow rate; areic heat flow rate | |
depth | |
dew point temperature | |
diameter | |
diathermic | |
diffusion | |
displacement | |
duration time (for continuous time scales) | |
dynamic friction factor | |
dynamic viscosity; viscosity | |
E
efficiency | |
electric charge | |
electron | |
electron affinity | |
electron emission | |
electron gas | |
electron-hole pair | |
electronvolt | |
elementary electric charge; elementary charge | |
elementary particle | |
energy | |
energy band | |
energy level | |
enthalpy | |
entropy | |
equilibrium state | |
Euler number | |
event | |
excitation energy | |
excited state | |
F
Faraday constant | |
Fermi energy | |
Fermi level | |
field emission cold emission | |
forbidded band; energy gap | |
force | |
force density | |
Fourier number | |
free charge carrier | |
free electron | |
Froude number | |
G
gap energy | |
generalized coordinate | |
generalized force | |
generalized momentum | |
generalized velocity | |
Gibbs free energy | |
Grashov number | |
gravitational constant | |
ground state | |
H
heat capacity | |
heat flow rate | |
heat transfer factor | |
height | |
Helmholtz free energy | |
hole | |
homogeneous | |
hyperfine level | |
I
impulse | |
inertia | |
inertial frame | |
inhomogeneous | |
input power | |
instant | |
instantaneous | |
internal energy | |
International Temperature Scale of 1990 (ITS) | |
ion | |
ionization | |
ionization coefficient; linear ionization | |
ionization energy | |
ionization rate | |
isentropic compressibility | |
isentropic exponent | |
isobar | |
isolated system | |
isothermal compressibility | |
isotone | |
isotope | |
isotropic | |
ITS - 90 | |
J
K
kinematic viscosity | |
kinetic energy | |
Knudsen number | |
L
Lagrange function | |
length | |
length of path | |
linear density; linear mass density; lineic mass | |
linear strain | |
M
Mach number | |
macroscopic property | |
macrostate | |
mass | |
mass concentration of water | |
mass concentration of water vapour | |
mass density; density; volumic mass | |
mass flow rate | |
mass fraction of dry matter | |
mass fraction of water | |
mass ratio of water to dry matter | |
Massieu function | |
matter | |
mean free path | |
mean life | |
mechanical energy | |
metastable state | |
microstate | |
mixing ratio; mass ratio of water vapour to dry gas | |
mobility | |
modulus of compression; bulk modulus | |
modulus of elasticity; Young modulus | |
modulus of rigidity; Coulomb modulus | |
molecule | |
moment of a couple | |
moment of force | |
moment of inertia; mass moment of inertia | |
momentum | |
N
negative electric charge; negative charge | |
neutron | |
neutron excess number | |
neutron number | |
newton | |
normal stress | |
nucleon | |
nucleon number; mass number | |
nuclide | |
O
open system | |
output power | |
oxydation | |
P
particle | |
pascal | |
Peclet numbe | |
phase (of matter) | |
phase transition; phase change | |
phonon | |
photoelectric emission | |
photon | |
Plank constant | |
Plank function | |
plasma | |
positive electric charge; positive charge | |
positron | |
potential | |
potential energy | |
power | |
Prandtl number | |
pressure | |
pressure coefficient | |
primary electron emission | |
probability of ionization | |
process | |
process quantity | |
proton | |
proton number; atomic number | |
Q
quantum | |
quark | |
quasi-free electron | |
quasi-static process | |
R
radial distance | |
radius | |
radius of curvature | |
ratio specific heat capacity at constant volume | |
Rayleigh number | |
recombination | |
recombination coefficient | |
recombination rate | |
reduced Plank constant | |
reduction | |
relative density | |
relative humidity; relative partial pressure | |
relative mass concentration of water vapour | |
relative pressure coefficient | |
relativistic mass; apparent mass (deprecated) | |
relativistic speed | |
resonance state | |
rest energy | |
rest mass; proper mass | |
revolution | |
Reynolds number | |
rotation vector | |
rotational frequency | |
S
second axial moment of area | |
second axial moment of area | |
secondary electron emission | |
section modulus | |
shear strain | |
shear stress | |
simultaneous | |
space | |
space-time | |
specific heat capacity | |
specific heat capacity at constant pressure | |
specific heat capacity at constant volume | |
specific volume; massic volume | |
speed | |
speed of light | |
spin | |
spin magnetic quantum number | |
spin quantum number | |
standard acceleration of free fall | |
standard time | |
Stanton number; Margoulis number | |
state quantity | |
static friction factor | |
strain; deformation | |
stress | |
Strouhal number | |
subluminal speed | |
superluminal speed | |
surface coefficient of heat transfer | |
surface density; surface mass density; areic mass; grammage (deprecated) | |
surface tension | |
T
thermal conductance | |
thermal conduction | |
thermal conductivity | |
thermal diffusivity | |
thermal insulance | |
thermal radiation | |
thermal resistance | |
thermionic emission | |
thermodynamic temperature | |
thermodynamic temperature scale | |
thickness | |
time | |
time axis | |
time interval | |
time scale | |
torque | |
U
unified atomic mass constant | |
V
valence band | |
valence electron | |
velocity | |
volume flow rate | |
volume strain | |
W
watt | |
Weber number | |
weight | |
work | |
work function | |
(справочное)
СВЕДЕНИЯ О СООТВЕТСТВИИ МЕЖГОСУДАРСТВЕННЫХ СТАНДАРТОВ
ССЫЛОЧНЫМ МЕЖДУНАРОДНЫМ СТАНДАРТАМ
Таблица ДА.1
Обозначение и наименование международного стандарта | Степень соответствия | Обозначение и наименование межгосударственного стандарта |
IEC Guide 108:2006, Guidelines for ensuring the coherency of IEC publications - Application of horizontal standards | - | <*> |
<*> Соответствующий национальный стандарт отсутствует. |
IEC 60050-102:2009 | International Electrotechnical Vocabulary - Part 102: Mathematics - General concepts and linear algebra (Международный электротехнический словарь. Часть 102. Математика. Общие концепции и линейная алгебра) |
IEC 60050-112:2010 | International Electrotechnical Vocabulary - Part 112: Quantities and units (Международный электротехнический словарь. Часть 112. Величины и единицы измерения) |
IEC 60050-121:1998 | International Electrotechnical Vocabulary - Part 121: Electromagnetism (Международный электротехнический словарь. Часть 121. Электромагнетизм) |
IEC 60050-131:2002 | International Electrotechnical Vocabulary. Part 131: Circuit theory (Международный электротехнический словарь. Часть 131. Теория цепей) |
IEC 60050-191:1990 | International electrotechnical vocabulary; chapter 191: dependability and quality of service (Международный электротехнический словарь. Часть 191. Надежность и качество сервиса) |
IEC 60050-351:2013 | International Electrotechnical Vocabulary - Part 351: Control technology (Международный электротехнический словарь. Часть 351. Технология управления) |
IEC 60050-705:1995 | International Electrotechnical Vocabulary - Chapter 705: Radio wave propagation (Международный электротехнический словарь. Часть 705. Распространение радиоволн) |
IEC 60050-713:1998 | International Electrotechnical Vocabulary - Part 713: Radiocommunications: Transmitters, receivers, networks and operation (Международный электротехнический словарь. Часть 713. Радиосвязь: передатчики, приемники, сети и работа) |
ISO 8601:2004 | Data elements and interchange formats - Information interchange - Representation of dates and times (Элементы данных и форматы обмена. Информационный обмен. Представление дат и времени) |
ISO/IEC 80000 (все части) | Величины и единицы измерения |
ISO/IEC 80000-6:2008 | Quantities and units - Part 6: Electromagnetism (Величины и единицы измерения. Часть 6. Электромагнетизм) |
ISO/IEC 80000-7:2008 | Quantities and units - Part 7: Light (Величины и единицы измерения. Часть 7. Свет) |
ISO/IEC 80000-8:2007 | Quantities and units - Part 8: Acoustics (Величины и единицы измерения. Часть 8. Акустика) |
ISO/IEC 80000-9:2009 | Quantities and units - Part 9: Physical chemistry and molecular physics (Величины и единицы измерения. Часть 9. Физическая химия и молекулярная физика) |
ISO/IEC 80000-10:2010 | Quantities and units - Part 10: Atomic and nuclear physics (Величины и единицы измерения. Часть 10. Атомная и ядерная физика) |
ISO/IEC 80000-12:2009 | Quantities and units - Part 12: Solid state physics (Величины и единицы измерения. Часть 12. Физика твердого состояния) |
BIPM, Международная система единиц измерения (СИ), 8-ое издание, 2006 |
MPHR, P.J., TAYLOR D.N., D.B. CODATA рекомендованные значения основных физических констант; 2006. Обзор современной физики 2008б 80б 633 http://physics.nist.gov/constants |
УДК 621.6:006.354 | | IDT |
Ключевые слова: международный электротехнический словарь, вращающиеся машины, работа и испытание, двигатели |