Главная // Актуальные документы // ГОСТ (Государственный стандарт)СПРАВКА
Источник публикации
М.: Стандартинформ, 2016
Примечание к документу
Текст данного документа приведен с учетом поправок, опубликованных в "ИУС",
N 11, 2017;
N 2, 2023;
поправки, опубликованной в "ИУС", N 9, 2023.
Документ
введен в действие 01.07.2017.
Название документа
"ГОСТ 33769-2016. Межгосударственный стандарт. Соль пищевая. Меркуриметрический метод определения массовой доли хлор-иона"
(введен в действие Приказом Росстандарта от 09.06.2016 N 598-ст)
"ГОСТ 33769-2016. Межгосударственный стандарт. Соль пищевая. Меркуриметрический метод определения массовой доли хлор-иона"
(введен в действие Приказом Росстандарта от 09.06.2016 N 598-ст)
Введен в действие
по техническому регулированию
и метрологии
от 9 июня 2016 г. N 598-ст
МЕЖГОСУДАРСТВЕННЫЙ СТАНДАРТ
СОЛЬ ПИЩЕВАЯ
МЕРКУРИМЕТРИЧЕСКИЙ МЕТОД ОПРЕДЕЛЕНИЯ МАССОВОЙ ДОЛИ ХЛОР-ИОНА
Food common salt. Mercurimetric method of chlor-ion
mass fraction determination
ГОСТ 33769-2016
Дата введения
1 июля 2017 года
Цели, основные принципы и основной порядок проведения работ по межгосударственной стандартизации установлены
ГОСТ 1.0-2015 "Межгосударственная система стандартизации. Основные положения" и
ГОСТ 1.2-2015 "Межгосударственная система стандартизации. Стандарты межгосударственные, правила и рекомендации по межгосударственной стандартизации. Правила разработки, принятия, обновления и отмены"
1 ПОДГОТОВЛЕН Федеральным государственным бюджетным научным учреждением "Всероссийский научно-исследовательский институт пищевых добавок" (ФГБНУ ВНИИПД)
2 ВНЕСЕН Федеральным агентством по техническому регулированию и метрологии
3 ПРИНЯТ Межгосударственным советом по стандартизации, метрологии и сертификации (протокол от 29 марта 2016 г. N 86-П)
За принятие проголосовали:
Краткое наименование страны по МК (ИСО 3166) 004-97 | Код страны по МК (ИСО 3166) 004-97 | Сокращенное наименование национального органа по стандартизации |
Азербайджан | AZ | Азстандарт |
Армения | AM | Минэкономики Республики Армения |
Беларусь | BY | Госстандарт Республики Беларусь |
Казахстан | KZ | Госстандарт Республики Казахстан |
Киргизия | KG | Кыргызстандарт |
Россия | RU | Росстандарт |
Туркмения | TM | Главгосслужба "Туркменстандартлары" |
4
Приказом Федерального агентства по техническому регулированию и метрологии от 9 июня 2016 г. N 598-ст межгосударственный стандарт ГОСТ 33769-2016 введен в действие в качестве национального стандарта Российской Федерации с 1 июля 2017 г.
6 ВВЕДЕН ВПЕРВЫЕ
Информация об изменениях к настоящему стандарту публикуется в ежегодном информационном указателе "Национальные стандарты", а текст изменений и поправок - в ежемесячном информационном указателе "Национальные стандарты". В случае пересмотра (замены) или отмены настоящего стандарта соответствующее уведомление будет опубликовано в ежемесячном информационном указателе "Национальные стандарты". Соответствующая информация, уведомление и тексты размещаются также в информационной системе общего пользования - на официальном сайте Федерального агентства по техническому регулированию и метрологии в сети Интернет
Настоящий стандарт распространяется на пищевую соль, (далее - соль) и устанавливает меркуриметрический метод определения массовой доли хлор-иона в диапазоне измерений от 58,0% до 61,0%.
В настоящем стандарте использованы нормативные ссылки на следующие стандарты:
ГОСТ OIML R 76-1-2011 Государственная система обеспечения единства измерений. Весы неавтоматического действия. Часть 1. Метрологические и технические требования. Испытания
ГОСТ 1770-74 (ИСО 1042-83, ИСО 4788-80) Посуда мерная лабораторная стеклянная. Цилиндры, мензурки, колбы, пробирки. Общие технические условия
ГОСТ 4233-77 Реактивы. Натрий хлористый. Технические условия
ГОСТ 4520-78 Реактивы. Ртуть (II) азотнокислая 1-водная. Технические условия
ГОСТ ИСО 5725-6-2002 Точность (правильность и прецизионность) методов и результатов измерений. Часть 6. Использование значений точности на практике
ГОСТ 12026-76 Бумага фильтровальная лабораторная. Технические условия
ГОСТ 14919-83 Электроплиты, электроплитки и жарочные электрошкафы бытовые. Общие технические условия
ГОСТ 18300-87 Спирт этиловый ректификованный технический. Технические условия
ГОСТ 25336-82 Посуда и оборудование лабораторные стеклянные. Типы, основные параметры и размеры
ГОСТ 27752-88 Часы электронно-механические кварцевые настольные, настенные и часы-будильники. Общие технические условия
ГОСТ 28498-90 Термометры жидкостные стеклянные. Общие технические требования. Методы испытаний
ГОСТ 29169-91 (ИСО 648-77) Посуда лабораторная стеклянная. Пипетки с одной отметкой
ГОСТ 29227-91 (ИСО 835-1-81) Посуда лабораторная стеклянная. Пипетки градуированные. Часть 1. Общие требования
ГОСТ 29251-91 (ИСО 385-1-84) Посуда лабораторная стеклянная. Бюретки. Часть 1. Общие требования
ГОСТ 33770-2016 Соль пищевая. Отбор и подготовка проб. Определение органолептических показателей
Примечание - При пользовании настоящим стандартом целесообразно проверить действие ссылочных стандартов в информационной системе общего пользования - на официальном сайте Федерального агентства по техническому регулированию и метрологии в сети Интернет или ежегодному информационному указателю "Национальные стандарты", который опубликован по состоянию на 1 января текущего года, и по выпускам ежемесячного информационного указателя "Национальные стандарты" за текущий год. Если ссылочный стандарт заменен (изменен), то при пользовании настоящим стандартом следует руководствоваться заменяющим (измененным) стандартом. Если ссылочный стандарт отменен без замены, то положение, в котором дана ссылка на него, применяется в части, не затрагивающей эту ссылку.
Метод основан на титровании ионов хлора раствором нитрата ртути (II) с образованием слабодиссоциирующего хлорида ртути (II).
Реакция протекает по схеме
2Cl- + Hg+2 = HgCl2 (1)
Конечную точку титрования фиксируют с помощью индикаторов дифенилкарбазона или нитропруссида натрия.
5. Общие требования к условиям выполнения анализа
5.1 При выполнении анализа в лаборатории должны быть выполнены общие требования по технике безопасности и промышленной санитарии, предъявляемые к аналитическим лабораториям.
5.2 При выполнении анализа должны быть соблюдены следующие условия:
температура воздуха . . . . . . . . . . . . . . . . . . . . . . . . . . . | (20 +/- 5) °C; |
относительная влажность воздуха . . . . . . . . . . . . . . . . | от 30% до 80%; |
взвешивание на весах проводят при температуре окружающего воздуха в соответствии с нормативным документом на весы.
5.3 К выполнению анализа допускаются лаборанты, контролеры продукции, освоившие технику выполнения измерений и прошедшие соответствующий инструктаж.
6. Средства измерений, вспомогательные устройства, посуда, материалы и реактивы
Весы неавтоматического действия по
ГОСТ OIML R 76-1 с пределами допускаемой абсолютной погрешности +/- 0,0005 г.
Термометр жидкостный стеклянный диапазоном измерения температуры от 0 °C до 200 °C, ценой деления 1 °C по
ГОСТ 28498.
Шкаф сушильный, обеспечивающий температуру нагрева от 50 °C до 250 °C, с погрешностью регулирования температуры +/- 5 °C.
Цилиндры 1-10 (50, 100, 250, 500)-2 по
ГОСТ 1770.
Палочка стеклянная.
Склянка из темного стекла.
Склянка с притертой пробкой.
Стекло часовое.
Фильтры бумажные обеззоленные "синяя лента".
Нитропруссид натрия массовой долей не менее 97,5%, ч.д.а.
Дифенилкарбазон (индикатор), ч.д.а.
Кислота азотная плотностью

, х.ч., по
ГОСТ 4461.
Натрий хлористый, х.ч., по
ГОСТ 4233 или стандарт-титр (фиксанал) для приготовления раствора молярной концентрации
c(NaCl) = 0,1 моль/дм
3.
Ртуть азотнокислая (П) 1-водная, х.ч., по
ГОСТ 4520.
Спирт этиловый ректификованный технический по
ГОСТ 18300.
Допускается применение других средств измерений, вспомогательных устройств, посуды и материалов, не уступающих вышеуказанным по метрологическим и техническим характеристикам и обеспечивающих необходимую точность измерения, а также реактивов по качеству не ниже вышеуказанных.
7.2 Приготовление спиртового раствора дифенилкарбазона массовой долей 1%
1,0 г дифенилкарбазона переносят в мерную колбу вместимостью 100 см3, цилиндром приливают 50 см3 этилового спирта и перемешивают до растворения. Содержимое колбы доводят до метки этиловым спиртом, перемешивают.
Раствор хранят в закрытой склянке из темного стекла в условиях по
5.2 и применяют в течение 15 сут.
7.3 Приготовление раствора индикатора нитропруссида натрия массовой долей 10%
10,00 г нитропруссида натрия помещают в стакан вместимостью 100 см3, приливают цилиндром 90 см3 дистиллированной воды, растворяют и фильтруют.
Раствор хранят в герметичной посуде из темного стекла в условиях по
5.2 и используют в течение 3 мес.
7.4 Приготовление раствора азотной кислоты массовой долей 10%
В мерную колбу вместимостью 1000 см
3 помещают небольшое количество дистиллированной воды, затем постепенно цилиндром вносят 112 см
3 концентрированной азотной кислоты

. Содержимое колбы осторожно перемешивают стеклянной палочкой и охлаждают. После охлаждения раствор доводят до метки дистиллированной водой и тщательно перемешивают.
Раствор хранят в герметично закрытой склянке в условиях по
5.2 - не более 6 мес.
7.5 Приготовление раствора хлористого натрия молярной концентрацией
c(NaCl) = 0,1 моль/дм
3
5,8443 г хлористого натрия, предварительно высушенного при температуре от 100 °C до 105 °C, помещают в мерную колбу вместимостью 1000 см3, доводят до метки дистиллированной водой, перемешивают.
Раствор хранят в стеклянной посуде в условиях по
5.2 и применяют в течение одного года.
Допускается приготовление раствора хлористого натрия молярной концентрацией c(NaCl) = 0,1 моль/дм3 из стандарт-титра.
7.6 Приготовление раствора азотнокислой ртути молярной концентрацией
c[1/2 Hg(NO
3)
2] = 0,1 моль/дм
3
В стакан вместимостью 150 см3 цилиндром наливают 80 см3 дистиллированной воды, цилиндром добавляют 30 см3 концентрированной азотной кислоты, перемешивают. Вносят 17,14 г азотнокислой ртути. Содержимое стакана количественно переносят в мерную колбу вместимостью 1000 см3, доводят до метки дистиллированной водой и тщательно перемешивают.
Раствор годен к употреблению через 2 сут.
Раствор хранят в склянке из темного стекла в условиях по
5.2 и применяют в течение 3 мес.
7.7 Установление коэффициента поправки раствора азотнокислой ртути молярной концентрацией эквивалента c[1/2Hg(NO3)2] = 0,1 моль/дм3
| | ИС МЕГАНОРМ: примечание. В официальном тексте документа, видимо, допущена опечатка: пункт 8.3 отсутствует. | |
Коэффициент поправки раствора азотнокислой ртути молярной концентрацией
c[1/2Hg(NO
3)
2] = 0,1 моль/дм
3 устанавливают по раствору хлористого натрия. Пипеткой отбирают 10 см
3 раствора хлористого натрия, приготовленного по
7.5, далее титруют, как описано в
8.2 или 8.3. Одновременно проводят холостой опыт.
Для установления коэффициента поправки используют не менее трех объемов раствора хлористого натрия.
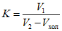
Коэффициент поправки K вычисляют по формуле

, (2)
где V1 - объем раствора хлористого натрия молярной концентрацией c(NaCl) = 0,1 моль/дм3, взятый на титрование, см3;
V2 - объем раствора азотнокислой ртути молярной концентрацией c[1/2Hg(NO3)2] = 0,1 моль/дм3, израсходованный на титрование установочного раствора, см3;
Vхол - объем раствора азотнокислой ртути молярной концентрацией c[1/2Hg(NO3)2] = 0,1 моль/дм3, израсходованный на титрование холостого опыта, см3.
Коэффициент поправки вычисляют с точностью до четвертого десятичного знака по каждому объему раствора хлористого натрия молярной концентрацией
c(NaCl) = 0,1 моль/дм
3. Из определенных по
формуле (2) всех значений коэффициентов поправки принимают среднеарифметическое значение, если расхождение между максимальным и минимальным значениями коэффициентов поправки не превышает 0,001. Среднее значение коэффициента поправки должно находиться в интервале от 0,970 до 1,030.
Коэффициент поправки проверяют не реже одного раза в мес.
7.8 Приготовление раствора азотной кислоты молярной концентрацией
c(HNO
3) = 0,2 моль/дм
3
Мерную колбу вместимостью 1000 см3 заполняют примерно до половины объема дистиллированной водой, после чего в колбу вносят 9 см3 азотной кислоты плотностью 1,4 г/см3, раствор в колбе осторожно перемешивают и охлаждают. После охлаждения доводят раствор в колбе до отметки дистиллированной водой и тщательно перемешивают.
Полученный раствор хранят в герметично закрытой склянке в условиях по
5.2 - не более 6 мес.
7.9 Подготовка анализируемого раствора
7.9.1 10,000 г анализируемой пробы соли, подготовленной по
7.1, помещают в стакан вместимостью 400 см
3. Заполняют объем стакана примерно на половину дистиллированной водой, осторожно перемешивают и накрывают часовым стеклом. Затем стакан с раствором нагревают на электроплитке до кипения и сразу же снимают. После охлаждения, фильтруя раствор через бумажный фильтр, содержимое стакана количественно переносят в мерную колбу вместимостью 500 см
3. Содержимое колбы доводят до отметки дистиллированной водой и тщательно перемешивают.
7.9.2 25 см
3 фильтрата, приготовленного по
7.9.1, пипеткой помещают в мерную колбу вместимостью 100 см
3, доводят объем раствора в колбе до метки дистиллированной водой и тщательно перемешивают.
7.9.3 Допускается определение массовой доли хлор-иона из фильтрата, полученного после определения нерастворимого в воде остатка по ГОСТ 13685 (по
2.3).
8.1 Титрование с индикатором нитропруссидом натрия
10 см
3 раствора, приготовленного по
7.9.2, переносят пипеткой в коническую колбу вместимостью 250 см
3, приливают цилиндром 10 см
3 раствора азотной кислоты массовой долей 10% по
7.4, добавляют восемь - десять капель раствора индикатора нитропруссида натрия и титруют из бюретки раствором азотнокислой ртути до появления белой неисчезающей мути.
8.2 Титрование с индикатором дифенилкарбазоном
10 см
3 раствора, приготовленного по
7.9.2, переносят пипеткой в коническую колбу вместимостью 250 см
3, цилиндром приливают 10 см
3 дистиллированной воды, добавляют пять - семь капель раствора дифенилкарбазона, добавляют по каплям раствор азотной кислоты по
7.8 до появления светло-желтого окрашивания раствора, затем прибавляют еще 1 см
3 этого же раствора азотной кислоты и титруют из бюретки раствором азотнокислой ртути по
7.6 до получения сине-фиолетовой окраски.
Перед проведением анализа проводят холостой опыт по изменению окраски растворов при титровании.
Окраску растворов при титровании анализируемой пробы сравнивают с полученной окраской холостого опыта.
Проводят два параллельных определения в условиях повторяемости.
Массовую долю хлор-иона X, %, вычисляют по формуле

, (3)
где V3 - объем раствора азотнокислой ртути молярной концентрацией c[1/2Hg(NO3)2] = 0,1 моль/дм3, израсходованный на титрование анализируемого раствора, см3;
V4 - объем раствора азотнокислой ртути молярной концентрацией эквивалента c[1/2Hg(NO3)2] = 0,1 моль/дм3, израсходованный на титрование холостого опыта, см3;
0,003545 - масса хлор-иона, эквивалентная массе азотнокислой ртути, содержащаяся в 1 см3 раствора молярной концентрацией c[1/2Hg(NO3)2] = 0,1 моль/дм3, г;
K - коэффициент поправки к молярной концентрации азотнокислой ртути;
100; 500 - вместимость мерных колб, см3;
100 - коэффициент пересчета в проценты;
m - масса анализируемой пробы соли в пересчете на сухое вещество, г, определяемая по ГОСТ 13685
(пункт 2.2.4);
Va - объем анализируемого раствора, взятый на разведение, по
7.9, см
3;
V - объем разведенного раствора, взятый на титрование, по
8.1, см
3.
Вычисления проводят до второго десятичного знака.
За окончательный результат анализа принимают среднеарифметическое значение результатов двух параллельных определений,

, %, округленное до первого десятичного знака, если выполняется условие приемлемости по
10.1.
10. Метрологические характеристики
10.1 Абсолютное значение разности между результатами двух параллельных определений, полученными в условиях повторяемости при доверительной вероятности
P = 95%, не превышает предела повторяемости
r, представленного в
графе 2 таблицы 1.
10.2 Абсолютное значение разности между результатами двух параллельных определений, полученными в условиях воспроизводимости при доверительной вероятности
P = 95%, не превышает предела воспроизводимости
R, представленного в
графе 3 таблицы 1.
10.3 Границы абсолютной погрешности определения массовой доли хлор-иона в поваренной соли при
P = 95%

, представлена в
графе 4 таблицы 1.
Таблица 1
Диапазон измерения массовой доли хлор-иона, X, % | Предел повторяемости r, %, абс., при P = 95%, n = 2 | Предел воспроизводимости R, %, абс., при P = 95%, m = 2 | Границы абсолютной погрешности  , %, при P = 95% |
От 58,0 до 61,0 включ. | 0,50 | 0,60 | 0,5 |
Примечания 1 При превышении предела повторяемости могут быть использованы методы проверки приемлемости результатов единичных определений и установления окончательного результата ГОСТ ИСО 5725-6 (раздел 5). 2 По результатам статистического анализа данных, полученных при проверке приемлемости результатов единичных определений, лаборатория может установить собственное значение предела повторяемости, но не более указанного в таблице 1. |
11. Оформление результатов
Результат определения массовой доли хлор-иона представляют в виде

.