Главная // Актуальные документы // ГОСТ (Государственный стандарт)СПРАВКА
Источник публикации
М.: Стандартинформ, 2016
Примечание к документу
Текст данного документа приведен с учетом
поправки, опубликованной в "ИУС", N 3, 2019.
Документ
введен в действие с 1 октября 2016 года.
Взамен ГОСТ 12.2.056-81 в части метода определения коэффициента теплопередачи кабины локомотива
(приложение 5).
Название документа
"ГОСТ 33661-2015. Межгосударственный стандарт. Ограждающие конструкции помещений железнодорожного подвижного состава. Методы испытаний по определению теплотехнических показателей"
(введен в действие Приказом Росстандарта от 15.01.2016 N 3-ст)
"ГОСТ 33661-2015. Межгосударственный стандарт. Ограждающие конструкции помещений железнодорожного подвижного состава. Методы испытаний по определению теплотехнических показателей"
(введен в действие Приказом Росстандарта от 15.01.2016 N 3-ст)
по техническому регулированию
и метрологии
от 15 января 2016 г. N 3-ст
МЕЖГОСУДАРСТВЕННЫЙ СТАНДАРТ
ОГРАЖДАЮЩИЕ КОНСТРУКЦИИ ПОМЕЩЕНИЙ
ЖЕЛЕЗНОДОРОЖНОГО ПОДВИЖНОГО СОСТАВА
МЕТОДЫ ИСПЫТАНИЙ ПО ОПРЕДЕЛЕНИЮ ТЕПЛОТЕХНИЧЕСКИХ ПОКАЗАТЕЛЕЙ
Protecting constructions
of the railway rolling stock premises. Test methods
for determining the thermal technical indicators
ГОСТ 33661-2015
Дата введения
1 октября 2016 года
Цели, основные принципы и основной порядок проведения работ по межгосударственной стандартизации установлены
ГОСТ 1.0-92 "Межгосударственная система стандартизации. Основные положения" и
ГОСТ 1.2-2009 "Межгосударственная система стандартизации. Стандарты межгосударственные, правила и рекомендации по межгосударственной стандартизации. Правила разработки, принятия, применения, обновления и отмены"
1 ПОДГОТОВЛЕН Федеральным государственным унитарным предприятием "Всероссийский научно-исследовательский институт стандартизации и сертификации в машиностроении" (ВНИИНМАШ) и Федеральным государственным унитарным предприятием "Всероссийский научно-исследовательский институт железнодорожной гигиены Федеральной службы по надзору в сфере защиты прав потребителей и благополучия человека" (ФГУП ВНИИЖГ Роспотребнадзора)
2 ВНЕСЕН Межгосударственным техническим комитетом по стандартизации МТК 524 "Железнодорожный транспорт"
3 ПРИНЯТ Межгосударственным советом по стандартизации, метрологии и сертификации (протокол от 10 декабря 2015 г. N 48)
За принятие проголосовали:
Краткое наименование страны по МК (ИСО 3166) 004-97 | Код страны по МК (ИСО 3166) 004-97 | Сокращенное наименование национального органа по стандартизации |
Армения | AM | Минэкономики Республики Армения |
Беларусь | BY | Госстандарт Республики Беларусь |
Казахстан | KZ | Госстандарт Республики Казахстан |
Киргизия | KG | Кыргызстандарт |
Россия | RU | Росстандарт |
Таджикистан | TJ | Таджикстандарт |
4
Приказом Федерального агентства по техническому регулированию и метрологии от 15 января 2016 г. N 3-ст межгосударственный стандарт ГОСТ 33661-2015 введен в действие в качестве национального стандарта Российской Федерации с 1 октября 2016 г.
5 Настоящий стандарт подготовлен на основе применения ГОСТ Р 55527-2013
6 ВЗАМЕН ГОСТ 12.2.056-81 в части метода определения коэффициента теплопередачи кабины локомотива
(приложение 5)
Информация об изменениях к настоящему стандарту публикуется в ежегодном (по состоянию на 1 января текущего года) информационном указателе "Национальные стандарты", а текст изменений и поправок - в ежемесячном информационном указателе "Национальные стандарты". В случае пересмотра (замены) или отмены настоящего стандарта соответствующее уведомление будет опубликовано в ежемесячном информационном указателе "Национальные стандарты". Соответствующая информация, уведомление и тексты размещаются также в информационной системе общего пользования - на официальном сайте Федерального агентства по техническому регулированию и метрологии в сети Интернет (www.gost.ru)
Настоящий стандарт распространяется на ограждающие конструкции помещений железнодорожного подвижного состава и устанавливает методы испытаний по определению среднего коэффициента теплопередачи ограждений помещений и температурного коэффициента герметичности помещений.
В настоящем стандарте использованы нормативные ссылки на следующие межгосударственные стандарты:
ГОСТ 8.207-76 <1> Государственная система обеспечения единства измерений. Прямые измерения с многократными наблюдениями. Методы обработки результатов наблюдений. Основные положения
--------------------------------
<1> На территории Российской Федерации действует
ГОСТ Р 8.736-2011 "Государственная система обеспечения единства измерений. Измерения прямые многократные. Методы обработки результатов измерений. Основные положения".
ГОСТ 12.0.004-90 Система стандартов безопасности труда. Организация обучения безопасности труда. Общие положения
ГОСТ 12.2.007.0-75 Система стандартов безопасности труда. Изделия электротехнические. Общие требования безопасности
ГОСТ 1770-74 Посуда мерная лабораторная стеклянная. Цилиндры, мензурки, колбы, пробирки. Общие технические условия
ГОСТ 7502-98 Рулетки измерительные металлические. Технические условия
ГОСТ 16504-81 Система государственных испытаний продукции. Испытания и контроль качества продукции. Основные термины и определения
Примечание - При пользовании настоящим стандартом целесообразно проверить действие ссылочных стандартов в информационной системе общего пользования - на официальном сайте Федерального агентства по техническому регулированию и метрологии в сети Интернет или по ежегодному информационному указателю "Национальные стандарты", который опубликован по состоянию на 1 января текущего года, и по выпускам ежемесячного информационного указателя "Национальные стандарты" за текущий год. Если ссылочный стандарт заменен (изменен), то при пользовании настоящим стандартом следует руководствоваться заменяющим (измененным) стандартом. Если ссылочный стандарт отменен без замены, то положение, в котором дана ссылка на него, применяется в части, не затрагивающей эту ссылку.
В настоящем стандарте применены термины по
ГОСТ 16504, а также следующие термины с соответствующими определениями:
3.1 влагосодержание воздуха d, кг/кгсух.возд.: Масса водяного пара, содержащегося во влажном воздухе, отнесенная к массе его сухой части.
3.2 влажность (абсолютная) воздуха f, кг/м3: Масса водяного пара, содержащегося в 1 кубическом метре воздуха.
3.3 ограждающие конструкции (ограждения) помещений железнодорожного подвижного состава: Конструкции, отделяющие внутренние помещения железнодорожного подвижного состава (далее подвижной состав) от наружной (по отношению к подвижному составу) среды, а также разделяющие помещения с различными температурными условиями, включая стены, потолок, пол и торцевые части всего кузова или отдельных его частей, а также окна и двери.
Примечания
1 При определении коэффициента теплопередачи ограждений помещений подвижного состава с отдельными тамбурами, т.е. с тамбурами, которые от остальной части внутреннего пространства помещения изолированы теплоограждающими конструкциями, эти конструкции относят к ограждениям помещения, а при расчете площади ограждения учитывается площадь поверхности теплоограждающих конструкций без тамбуров.
2 В случае определения коэффициента теплопередачи ограждений отдельного помещения подвижного состава к ограждениям этого помещения относят те конструкции, которые отделяют его внутреннее пространство от внешней среды с отличающимися (в штатных условиях эксплуатации) значениями температуры воздуха (то есть конструкции, через которые идут потери тепла как во внутреннюю (в соседние помещения), так и в наружную по отношению к подвижному составу среду). Если в штатных условиях эксплуатации в соседних помещениях подвижного состава температурный режим соответствует температурному режиму внутри отдельного помещения, то в испытаниях по определению коэффициента теплопередачи в них обеспечивается та же температура, что и в отдельном помещении, в противном случае обеспечивается та же температура, что и снаружи подвижного состава.
3.4 коэффициент теплопередачи ограждения помещения средний Kср, Вт/(м2·°C): Показатель, характеризующий совокупность теплотехнических свойств ограждений помещения, численно равный среднему количеству теплоты, передаваемому через единицу площади ограждения помещения в единицу времени при разности внутренней и наружной температур воздуха в один градус Цельсия.
3.5 тепловой поток (проходящий через ограждение помещения) Q, Вт: Количество теплоты, проходящее через ограждение помещения в единицу времени.
3.6 коэффициент герметичности температурный

, 1/(ч·°C): Показатель, численно равный количеству инфильтрационного воздуха, поступающего в единицу объема помещения через неплотности его ограждений в единицу времени при разности температур внутреннего и наружного воздуха, равной одному градусу Цельсия.
3.7 установившийся (стабильный) температурный режим: Состояние воздушной среды помещения, при котором средняя внутренняя температура изменяется не более чем на +/- 0,5 °C в час, при условии поддержания постоянной тепловой мощности нагревателей, установленных внутри помещения.
Примечание - В этот период отсутствует непрерывное изменение средней температуры воздуха в одном направлении (повышение или снижение).
4. Метод испытаний по определению показателя "средний коэффициент теплопередачи ограждений помещений"
4.1.1 Метод определения среднего коэффициента теплопередачи ограждения помещения Kср, Вт/(м2·°C), основан на определении теплового потока, передаваемого через единицу площади ограждения под действием теплообмена, вызванного разностью температур воздуха внутри и снаружи помещения.
4.1.2 При определении среднего коэффициента теплопередачи осуществляют:
- определение температур наружного

и внутреннего

воздуха, °C, после прогрева помещения подвижного состава и установления стабильного температурного режима;
- определение среднего теплового потока Qср, Вт, проходящего через ограждение помещения в период установившегося теплового режима, исходя из расхода тепловой энергии, выделяемой электронагревателями;
- определение площади ограждения F, м2;
- последующий расчет среднего коэффициента теплопередачи ограждения помещения Kср, Вт/(м2·°C), по формуле

. (1)
4.1.3 Средний тепловой поток (тепловая мощность)
Qср определяется по электрической мощности, потребляемой электронагревателями (см.
4.4.3).
Объектом испытаний является железнодорожный подвижной состав, для помещений которого определяют теплотехнические характеристики ограждения. Испытаниям подлежит один образец железнодорожного подвижного состава.
4.3. Условия проведения испытаний
4.3.1 Подвижной состав (объект испытаний) неподвижно устанавливают в закрытом помещении. Влияние солнечных лучей на подвижной состав в период измерений должно быть исключено.
4.3.2 Значения температуры наружного воздуха <1> - (15 +/- 5) °C. Температура наружного воздуха за весь период испытаний не должна изменяться более чем на +/- 2 °C. В установившемся режиме в течение часа измерений, принимаемых в расчет, температура не должна изменяться более чем на +/- 0,5 °C. Скорость движения воздуха в этот период - не более 3 м/с.
--------------------------------
<1> Температура воздуха за пределами нагреваемого помещения
(4.3.4), для ограждений которого определяются теплотехнические характеристики, является наружной температурой.
4.3.3 В процессе испытаний осуществляется нагрев воздуха в помещении подвижного состава. По состоянию внутренней среды помещения процесс нагрева разделяется на два этапа:
- прогрев воздуха до достижения (установления) стабильного температурного режима, включая двухчасовой период подтверждения реализации условия стабильности (подготовительный этап);
- поддержание в помещении подвижного состава стабильного температурного режима (основной этап испытаний по определению среднего коэффициента теплопередачи).
4.3.4 Прогрев помещений (кабина, салон для пассажиров, служебные и бытовые помещения) производят автономными электронагревательными устройствами, которые не должны быть излучающими (или должны иметь экраны инфракрасного излучения). Для обеспечения принудительной конвекции при нагреве воздуха применяют устройства вентиляции. Электронагреватели и вентиляторы или электронагревательные устройства с функцией вентиляции (тепловентиляторы) размещаются таким образом, чтобы поток теплого воздуха не был напрямую направлен на прогрев стенки, а распределение температур по объему помещения было максимально равномерным. Должна поддерживаться постоянная мощность систем нагрева и вентиляции.
4.3.5 Перепад между температурой в помещении (в установившемся режиме) и температурой наружного воздуха (25 +/- 5) °C.
4.3.6 Все окна, двери помещения подвижного состава должны быть закрыты, электрооборудование и устройство кондиционирования воздуха выключены. Отверстия для забора воздуха извне и выпуска отводимого воздуха должны быть плотно закрыты (без дополнительной теплоизоляции). Межвагонные проходы без дверей блокируются временной панелью. Панель должна быть теплоизолирована [коэффициент теплопередачи менее 0,5 Вт/(м
2·°C)], герметизирована и надежно закреплена на подвижном составе.
4.4. Требования к средствам измерений, испытательному оборудованию
4.4.1 Применяемые средства измерения должны соответствовать требованиям национального законодательства об обеспечении единства измерений <2>.
--------------------------------
<2> На территории Российской Федерации действуют: Федеральный
закон от 26 июня 2008 г. N 102-ФЗ "Об обеспечении единства измерений" и Правила по метрологии
ПР 50.2.006-94 "Государственная система обеспечения единства измерений. Порядок проведения проверки средств измерений".
4.4.2 Измерение температуры воздуха производят средствами измерений температуры с пределами погрешности +/- 0,25 °C. Средства измерений температуры должны обеспечивать возможность одновременного измерения температуры в точках, указанных в
4.5.4.
4.4.3 Измерение потребляемой нагревателями электрической мощности проводится ваттметром (иными средствами измерения мощности) с погрешностью не более 2%. Могут использоваться средства измерения силы электрического тока и напряжения в цепи питания электронагревателей для последующего расчета потребляемой мощности, допускается определение средней потребляемой электрической мощности по показаниям счетчиков расхода электроэнергии за период измерения при условии обеспечения требуемой точности.
4.4.4 Линейные размеры измеряют рулеткой по
ГОСТ 7502 класса точности 3.
4.4.5 Для регистрации времени измерений используют секундомер (часы-секундомер, хронограф), обеспечивающие измерение времени в течение не менее 24 ч с погрешностью +/- 1 с, а также средства измерений температуры, скорости движения воздуха с функцией фиксации времени.
4.4.6 Скорость движения воздуха измеряют термоанемометром (анемометром) с погрешностью не более 0,2 м/с.
4.4.7 Испытательное оборудование (панель, иное средство герметизации открытых проходов) должно быть аттестовано в соответствии с требованиями национальных стандартов и нормативных документов, действующих на территории государства, принявшего стандарт <1>.
--------------------------------
<1> На территории Российской Федерации действует
ГОСТ Р 8.568-97 "Государственная система обеспечения единства измерений. Аттестация испытательного оборудования. Основные положения".
4.4.8 Вспомогательное оборудование (электронагреватели, вентиляторы, тепловентиляторы) подвергают периодической проверке технического состояния в соответствии с указаниями, содержащимися в инструкциях по эксплуатации этого оборудования или в паспортах на них.
4.5. Порядок проведения испытаний на этапе прогрева до выхода на стабильный температурный режим
4.5.1 Устанавливают подвижной состав по
4.3.1.
4.5.2 Проводят измерения, необходимые для расчета площади наружной поверхности ограждения помещения подвижного состава, м
2 (стен, крыши, днища, торцевых частей).
Для отдельных специальных форм кузова методика расчета площади поверхности ограждения определяется на основе данных конструкторской документации.
4.5.3 В помещении объекта испытаний устанавливают электронагреватели, вентиляторы (тепловентиляторы) в соответствии с
4.3.4.
4.5.4 Внутри помещения подвижного состава и снаружи устанавливают средства измерений температуры воздуха (подключают термоизмерительную аппаратуру и термодатчики).
Размещение термодатчиков или иных средств измерения внутри помещения объемом до 15 м3 осуществляется не менее чем в 9 точках, внутри помещения объемом более 15 м3 - не менее чем в 18 точках, равномерно распределенных по объему помещения.
Термодатчики измерительной аппаратуры (иные средства измерения температуры воздуха) снаружи устанавливают с двух боковых сторон от объекта испытаний.
Расположение точек измерения температуры воздуха представлено в
приложении А.
Проверяют соблюдение условий по
4.3.2. Измерение скорости движения наружного воздуха проводят с двух боковых сторон от объекта испытаний (по одной точке на расстоянии 200 мм от каждой стороны) на высоте 1,5 м от уровня пола помещения объекта испытания.
4.5.5 Подключают ваттметр или электросчетчик для измерения мощности
Q, Вт, потребляемой электронагревателями (или средства измерения силы электрического тока
I, А, и напряжения
U, В, в цепи питания электронагревателей для последующего расчета мощности
Q).
4.5.6 Закрывают все вентиляционные и технологические отверстия, окна, двери в помещении подвижного состава в соответствии с
4.3.6, включают установленные электронагреватели, вентиляторы (тепловентиляторы) и начинают прогрев помещения в соответствии с
4.3.4.
4.5.7 Продолжительность подготовительного прогрева помещения объемом до 15 м
3 составляет не менее 8 ч, а помещения объемом более 15 м
3 - не менее 12 ч.
4.5.8 В период подготовительного прогрева через равные промежутки времени продолжительностью не более 30 мин. проводят измерения следующих показателей:
- температуры воздуха в помещении объекта испытаний t
вн, °C, одновременно во всех точках, указанных в
4.5.4;
- температуры наружного воздуха t
нар, °C, одновременно во всех точках, указанных в
4.5.4.
4.5.9 Для записи результатов измерений рекомендуется использовать форму, приведенную в
приложении Б.
4.6. Порядок проведения испытаний на этапе поддержания стабильного температурного режима
4.6.1 Подготовительный этап заканчивается при выполнении требований
4.5.7 и при условии установления в помещении объекта испытаний стабильного температурного режима. При этом в течение последних 2 ч подготовительного этапа отсутствует непрерывное повышение (снижение) средней температуры воздуха в помещении подвижного состава, а ее колебание не превышает +/- 0,5 °C в час. Фиксируют время установления стабильного температурного режима в помещении объекта испытаний (начало и окончание первых 2 ч стабильного температурного режима).
4.6.2 На следующем (основном) этапе испытаний в течение одного часа (то есть третьего часа от начала стабильного температурного режима) через каждые 5 мин. проводят измерения показателей, указанных в
4.5.8, через каждые 10 мин. показателей, указанных в
4.5.5, а также не менее двух раз (в начале и в конце основного этапа испытаний) проводят измерение скорости движения наружного воздуха.
4.6.3 Результаты измерений сохраняют, используя форму, приведенную в
приложении Б.
4.7. Обработка результатов испытаний
4.7.1 По результатам измерений в соответствии с
4.6.2 вычисляют средние значения температуры воздуха внутри помещения подвижного состава и температуры наружного воздуха, средний перепад между температурой воздуха в помещении подвижного состава и температурой наружного воздуха, среднее значение теплового потока в установившемся (стабильном) температурном режиме.
4.7.1.1 Средняя температура воздуха в помещении

, °C:

(2)
m - число точек измерения;
tвнji - температура воздуха в j-й точке помещения в i-й момент времени измерений;
i - порядковый номер измерений по времени (в
m точках) с указанной в
4.6.2 периодичностью;
n - число измерений по времени (в
m точках) с указанной в
4.6.2 периодичностью.
4.7.1.2 Средняя температура наружного воздуха

, °C:

(3)
где
tн1
i,
tн2
i - температура наружного воздуха в двух точках по
4.5.4 в
i-й момент времени;
i - порядковый номер измерений по времени (в 2 точках) с указанной в
4.6.2 периодичностью;
n - число измерений по времени (в 2 точках) с указанной в
4.6.2 периодичностью.
4.7.1.3 Средний перепад между температурой воздуха в помещении объекта испытаний и температурой наружного воздуха

, °C, вычисляют, подставляя величины, полученные в
4.7.1.1 и
4.7.1.2:

. (4)
4.7.1.4 Средний тепловой поток, проходящий через ограждение помещения подвижного состава в стабильном температурном режиме, Вт:

, (5)
где Qi - мощность нагревателей, измеренная в i-й момент времени, Вт;
i - порядковый номер измерений по времени с указанной в
4.6.2 периодичностью;
n - число измерений по времени с указанной в
4.6.2 периодичностью.
Допускается рассчитывать мощность по измеренным значениям силы тока Ii, А, и напряжения Ui, В, в цепи питания электронагревателей (при отсутствии реактивной составляющей нагрузки):

, (6)
где
i - порядковый номер измерений по времени с указанной в
4.6.2 периодичностью;
n - число измерений по времени с указанной в
4.6.2 периодичностью.
4.7.2 Рассчитывают средний коэффициент теплопередачи ограждения
Kср, Вт/(м
2 °C), подставляя в формулу (7) расчетные значения наружной площади ограждения
(4.5.2), среднего теплового потока
(4.7.1.4) и разности внутренней и наружной температур воздуха
(4.7.1.3):

. (7)
4.7.3 Результаты расчетов сохраняют, используя форму, приведенную в
приложении В.
4.8. Оценка погрешности испытаний (точность метода определения среднего коэффициента теплопередачи ограждений помещения)
Точность определения среднего коэффициента теплопередачи ограждений помещения зависит от точности результатов прямых измерений напряжения
U и силы тока
I (или мощности нагревателей
Q), разницы (перепада) температур

, площади ограждения
F.
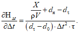
Значение погрешности косвенного измерения среднего коэффициента теплопередачи (Вт/м2·°C) определяют по формуле

, (8)
где

,

,

,

- частные производные функции
Kср, вычисленные при значении переменных, соответствующих значениям
Uср,
Iср,

,
F, определяемые по
приложению Г;

,

,

,

- погрешности результатов измерения величин
U,
I,

,
F, определяемые по
приложению Г.
Результат косвенного измерения коэффициента теплопередачи
Kср с вероятностью 0,95 находится в пределах

, где
Kср изм - значение, полученное при обработке результатов измерений.
5. Метод испытаний по определению показателя "температурный коэффициент герметичности помещений"
5.1.1 Метод определения температурного коэффициента герметичности помещения

, 1/(ч·°C), основан на определении количества инфильтрационного воздуха, поступающего в единицу объема этого помещения в единицу времени под действием естественного воздухообмена, вызванного разностью температур воздуха,

, °C, и влагосодержания снаружи и внутри помещения.
5.1.2 При определении температурного коэффициента герметичности осуществляют:
- измерение влагосодержания воздуха (или определение влагосодержания по измеренной абсолютной влажности) после прогрева помещения и установления стабильного температурного режима:
а) снаружи помещения подвижного состава d0, кг/кгсух.возд.;
б) внутри помещения подвижного состава
dн, кг/кг
сух.возд., и

, кг/кг
сух.возд. (
dн и

- влагосодержания до и после увлажнения воздуха);
- определение количества поступившей в помещение объекта испытаний влаги
X, кг, за время увлажнения воздуха

, ч;
- измерение объема помещения объекта испытаний
V, м
3, и определение плотности находящегося в нем сухого воздуха

, кг/м
3;
- последующий расчет коэффициента герметичности помещения

по формуле

(9)
5.1.3 Образец для испытаний - по
4.2.
5.2. Условия проведения испытаний
5.2.1 Значения показателей состояния наружного воздуха - по
4.3.3, подготовка помещений - по
4.3.6.
5.2.2 В процессе испытаний осуществляется нагрев воздуха в помещении подвижного состава. По состоянию внутренней среды помещения процесс испытаний разделяется на два этапа:
- прогрев воздуха в помещении объекта испытаний до установления стабильного температурного режима (подготовительный этап);
- поддержание в помещении объекта испытаний стабильного температурного режима и увлажнение воздуха (основной этап испытаний по определению коэффициента герметичности).
В связи с идентичностью условий проведения испытаний в части нагрева помещения до установления стабильного температурного режима по
4.3.2 испытания по определению температурного коэффициента герметичности помещения допускается проводить сразу после испытаний по определению коэффициента теплопередачи ограждений помещений. В этом случае сразу приступают к основному этапу испытаний (увлажнение воздуха и измерение по
5.5).
5.2.4 Испытания проводятся при относительной влажности наружного воздуха не более 60%.
5.2.5 Основной этап испытаний (увлажнение воздуха) осуществляется при условии, что внутри помещения подвижного состава влагосодержание
d, кг/кг
сух.возд., не превышает значение, при котором на внутренней поверхности кузова начинается конденсация влаги.
5.3. Требования к средствам измерений и оборудованию
5.3.1 Применяемые средства измерения должны соответствовать требованиям национального законодательства об обеспечении единства измерений <1>.
--------------------------------
<1> На территории Российской Федерации действуют: Федеральный
закон от 26 июня 2008 г. N 102-ФЗ "Об обеспечении единства измерений" и Правила по метрологии
ПР 50.2.006-94 "Государственная система обеспечения единства измерений. Порядок проведения проверки средств измерений".
5.3.2 Измерение температуры воздуха производят средствами измерений температуры с пределами погрешности +/- 0,25 °C. Средства измерения температуры должны обеспечивать возможность одновременного измерения температуры в точках, указанных в
5.4.4.
5.3.3 Измерение абсолютной влажности (влагосодержания) производят с помощью термогигрометров [иных приборов, предназначенных для измерения влажности (влагосодержания) в помещениях] с погрешностью по абсолютной влажности не более 0,1·10-3 кг/м3 (по влагосодержанию - не более 0,1·10-3 кг/кгсух.возд.).
5.3.4 Линейные размеры измеряют рулеткой по
4.4.4.
5.3.5 Регистрацию времени измерений производят секундомером по
4.4.5.
5.3.6 Вспомогательное оборудование [электронагреватели, вентиляторы (тепловентиляторы), увлажнители воздуха] подвергают периодической проверке технического состояния в соответствии с указаниями, содержащимися в инструкциях по эксплуатации этого оборудования или в паспортах на них.
5.3.7 Объем жидкости, используемый на увлажнение воздуха, определяют с помощью мерного цилиндра 250 см
3 по
ГОСТ 1770 класса точности 2.
5.3.8 Давление воздуха измеряют барометром с погрешностью не более 500 Па.
5.3.9 Скорость движения воздуха измеряют термоанемометром (анемометром) с погрешностью не более 0,2 м/с.
5.4. Порядок проведения подготовительного этапа испытаний по определению температурного коэффициента герметичности помещения
5.4.1 Порядок установки подвижного состава - по
4.3.1.
5.4.2 Проводят измерения, необходимые для расчета объема помещения (по внешней ограждающей поверхности) V, м3.
5.4.3 Закрывают все вентиляционные и технологические отверстия, окна, двери испытываемого помещения.
5.4.4 Внутри помещения и снаружи устанавливают средства измерения температуры воздуха и влажности (или влагосодержания).
Измерение температуры, абсолютной влажности (влагосодержания) осуществляется:
- снаружи помещения с двух боковых сторон от объекта (по одной точке, расположенной в 200 мм от каждой стороны) на высоте 1,5 м от уровня пола помещения объекта испытания;
- в помещении объекта испытаний на уровне 1,5 м от пола (при объеме до 15 м3 - не менее чем в 2 точках, при объеме более 15 м3 - не менее чем в 3 точках, равномерно распределенных по объему помещения, с порядковыми номерами j = 1, 2, ...m).
Устанавливают средство измерения давления воздуха.
5.4.5 В помещении объекта устанавливают и включают электронагреватели.
5.4.6 Продолжительность прогрева помещения составляет не менее 8 ч для помещений объемом до 15 м3 и не менее 12 ч для помещений объемом более 15 м3. В этот период ведут измерения (через равные промежутки времени продолжительностью не более 30 мин.) и запись температуры воздуха в помещении объекта испытаний с целью определения момента выхода на стабильный режим.
5.4.7 Подготовительный период заканчивается при установлении в помещении объекта испытаний стабильного температурного режима по
4.6.1.
5.5. Порядок проведения основного этапа испытаний по определению температурного коэффициента герметичности помещения
5.5.1 Измеряют абсолютную влажность воздуха
f0, кг/м
3 (влагосодержание
d0, кг/кг
сух.возд.), снаружи (в закрытом помещении) в двух точках по
5.4.4 не менее двух раз (в начале и в конце основного этапа испытаний), относительную влажность наружного воздуха

, %, с целью оценки соответствия
5.2.4, скорость движения воздуха снаружи помещения с целью оценки соответствия
4.3.2 и температуру наружного воздуха
tо, °C. Одновременно с измерением влажности измеряют давление воздуха
P, Па.
5.5.2 Проводят измерение абсолютной влажности
fн, кг/м
3 (влагосодержания
dн, кг/кг
сух.возд.), воздуха, а также температуры
tн, °C, в помещении объекта испытаний в точках по
5.4.4 в установившемся режиме перед началом увлажнения воздуха (начальный момент основного этапа испытаний и начальное состояние воздуха).
5.5.3 Начинают увлажнение воздуха (электроувлажнителями распылительного типа или иными средствами увлажнения воздуха).
Фиксируют время начала увлажнения воздуха.
5.5.4 В процессе увлажнения воздуха измеряют абсолютную влажность (влагосодержание) и температуру воздуха в помещении объекта испытаний в точках по
5.4.4 для помещений:
- объемом до 15 м3 - через каждые 5 мин. в течение 30 мин.;
- объемом более 15 м3 - через каждые 10 мин. в течение 60 мин.
Проверяется соблюдение условия, изложенного в
5.2.5. График определения значения влагосодержания, при котором начинается конденсация влаги на внутренней поверхности кузова (в зависимости от температуры наружного воздуха), приведен в приложении Д
(рисунок Д.1).
Последние значения абсолютной влажности воздуха

, кг/м
3 (влагосодержания

, кг/кг
сух.возд.), принимают в расчет по
формуле (11).
5.5.5 В конце испытаний определяют объем воды, который был израсходован на увлажнение воздуха Gисп, см3.
5.5.6 Для записи результатов измерений рекомендуется использовать форму, приведенную в
приложении Е.
5.6. Обработка результатов испытаний
5.6.1 Влагосодержание воздуха dн, кг/кгсух.возд., в помещении объекта испытаний перед началом увлажнения определяют по формуле

(10)
где
j - номер точки измерения по
5.4.4;
fнj - абсолютная влажность, кг/м3 (dнj - влагосодержание, кг/кгсух.возд.), в j-й точке измерения в начальный момент времени (перед увлажнением воздуха);

- плотность сухого воздуха перед началом увлажнения по
формуле (17), кг
сух.возд./м
3;
m - число точек измерения.
Влагосодержание воздуха в помещении объекта испытаний в конце испытаний

определяют по формуле

(11)
где j - номер точки измерения;

- абсолютная влажность, кг/м
3 (

- влагосодержание, кг/кг
сух.возд.), в
j-й точке измерения в конце увлажнения воздуха;

- плотность сухого воздуха (внутреннего) в конце увлажнения по
формуле (18), кг
сух.возд./м
3;
m - число точек измерения.
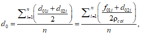
Влагосодержание воздуха d0, кг/кгсух.возд., снаружи определяют по формуле

(12)
где
f01i,
f02i - абсолютная влажность наружного воздуха (
d01i,
d02i влагосодержание) в двух точках по
5.4.4 в
i-й момент времени;
i - порядковый номер измерений по времени (в двух точках) с периодичностью по
5.5.1;
n - число измерений по времени с периодичностью по
5.5.1;

- плотность сухого воздуха (наружного) в
i-й момент времени основного этапа испытаний по
формуле (19), кг
сух.возд./м
3.
5.6.2 Поступление влаги в помещение X, кг, определяют по формуле

, (13)
где Gисп - объем воды, использованной на увлажнение воздуха, см3;

- плотность воды, определяемая по
таблице Д.1 приложения Д (при измеренном в этот момент значении температуры воздуха), кг/м
3.
5.6.3 Средний перепад между температурой воздуха в помещении объекта испытаний и температурой наружного воздуха

, °C, вычисляют по формуле:

. (14)
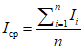
5.6.3.1 Среднюю температуру воздуха в помещении

, °C, определяют по формуле

(15)
где
j - номер точки измерения (в соответствии с
5.4.4);
m - число точек измерения;
tвнij - температура воздуха в j-й точке помещения в i-й момент времени измерений;
i - порядковый номер измерений по времени с указанной в
5.5.4 периодичностью;
n - число измерений по времени с указанной в
5.5.4 периодичностью.
5.6.3.2 Среднюю температуру наружного воздуха

, °C, определяют по формуле

(16)
где
tн1i,
tн2i - температура наружного воздуха в двух точках по
5.4.4 в
i-й момент времени;
i - порядковый номер измерений по времени (в двух точках) с периодичностью по
5.5.1;
n - число измерений по времени (в двух точках) с периодичностью по
5.5.1.
5.6.4 Плотность сухого воздуха внутри помещения объекта испытаний перед началом увлажнения

, кг/м
3, определяют по формуле

, (17)
где P1 - давление воздуха перед началом увлажнения, Па;

- температура средняя из измерений в m точках внутреннего объема помещения перед началом увлажнения, °C;
R = 287 Дж/(кг·К) - универсальная газовая постоянная для сухого воздуха.
Плотность сухого воздуха внутри помещения объекта испытаний в конце увлажнения

, кг/м
3, определяют по формуле
| | ИС МЕГАНОРМ: примечание. Формула дана в соответствии с официальным текстом документа. | |

(18)
где Pn - давление воздуха в конце увлажнения, Па;

- температура средняя из измерений в
m точках внутреннего объема помещения в конце увлажнения, °C;
Плотность сухого наружного воздуха в
i-й момент времени основного этапа испытаний

, кг/м
3, определяют по формуле

, (19)
где Pi - давление воздуха в i-й момент времени основного этапа испытаний, Па;

- температура средняя из измерений в двух точках снаружи помещения в
i-й момент времени, °C.
Среднюю плотность сухого воздуха внутри помещения объекта испытаний

, кг/м
3, определяют по формуле

(20)
5.6.5 Коэффициент герметичности (температурный) определяют по
формуле (9).
5.6.6 Исходные данные и результаты расчета температурного коэффициента герметичности рекомендуется сохранять по форме, приведенной в
приложении Ж.
5.7. Оценка погрешности испытаний (точность метода определения температурного коэффициента герметичности помещения)
Точность определения температурного коэффициента герметичности помещения зависит от точности результатов прямых измерений влагосодержания
dн,

,
d0 объема помещения
V, температуры воздуха
t, времени испарения жидкости

, количества испарившейся в процессе испытания влаги
X и плотности воздуха

.
Значение погрешности косвенного измерения температурного коэффициента герметичности

, 1/(ч·°C), определяют по формуле

, (21)
где

,

,

,

,

,

,

,

- частные производные функции

, определяемые по
приложению И;

,

,

,

,

,

,

,

- погрешности результатов измерения величин
X,

,
V,
dн,

,
d0,

,
t, определяемые по
приложению И.
Результат косвенного измерения температурного коэффициента герметичности

с вероятностью 0,95 находится в пределах

, где

- значение, полученное при обработке результатов измерений.
6. Оформление результатов испытаний
Результаты испытаний оформляют в виде протокола, который должен содержать следующую информацию:
- основание для проведения испытаний (N договора, дата заключения, с кем заключен или номер иного документа и его реквизиты);
- наименование объекта испытаний, его заводской (бортовой) номер, дата выпуска;
- наименование завода-изготовителя объекта испытаний;
- вид и цель испытаний;
- наименования определяемых при испытаниях показателей, нормативные значения показателей и сведения о документе, содержащем эти значения (требования);
- наименование настоящего стандарта (со ссылками на используемые разделы и пункты); обозначение и (или) наименование иного документа, содержащего методику проведения испытаний;
- место и дата проведения испытаний;
- перечень средств измерений, испытательного оборудования, использованных для проведения испытаний (наименование, завод-изготовитель, заводской или инвентарный номер, сведения о соответствии требованиям
4.4.1,
4.4.7,
5.3.1);
- условия проведения испытаний (режимы работы и скорость движения подвижного состава, режимы работы системы кондиционирования, параметры наружной среды и внутренней среды помещений);
- расположение (схему) точек измерения температуры воздуха, расположение применяемых нагревательных устройств, вентиляторов, увлажнителей, геометрические параметры помещения подвижного состава (объекта испытаний);
- результаты испытаний с указанием фактических значений показателей, полученных при проведении испытаний, на основании которых выполняют оценку соответствия подвижного состава нормативным требованиям;
- наименование организации, проводящей испытания;
- дату составления протокола.
7. Требования безопасности при проведении испытаний
7.1 К проведению испытаний допускают работников, прошедших обучение, инструктажи и проверку знаний требований охраны труда по
ГОСТ 12.0.004. Во время проведения испытаний работники должны соблюдать требования охраны труда и правила внутреннего трудового распорядка, установленные в организации, на территории которой проводятся испытания.
7.2 По электробезопасности применяемое электрооборудование должно относиться к 1 классу защиты от поражения электрическим током по
ГОСТ 12.2.007.0. Работы с использованием вспомогательного оборудования (см.
4.4.8,
5.3.6) проводят при выполнении требований безопасности, указанных в руководстве по его эксплуатации.
7.3 При проведении испытаний не допускается:
- проводить какие-либо работы, не предусмотренные порядком проведения испытаний (
раздел 4,
5);
- лицам, не участвующим в испытаниях, находиться в помещениях испытываемого подвижного состава.
7.4 При установке оборудования и проведении измерений обеспечивают освещенность не менее 200 лк.
(обязательное)
РАЗМЕЩЕНИЕ ТОЧЕК ИЗМЕРЕНИЯ ТЕМПЕРАТУРЫ ВОЗДУХА
(УСТАНОВКИ ДАТЧИКОВ ТЕМПЕРАТУРЫ)

- точки измерения температуры воздуха в помещении (t
вн). Цифры от 1 до 9 на схеме обозначают номера точек измерения

- точки измерения температуры наружного воздуха (t
нар)
Рисунок А.1 - Схема размещения точек измерения температуры
в помещении объемом более 15 м3, мм

- точки измерения температуры воздуха в помещении (t
вн). Цифры от 1 до 18 на схеме обозначают номера точек измерения

- точки измерения температуры наружного воздуха (t
нар)
Рисунок А.2 - Схема размещения точек измерения температуры
в помещении объемом более 15 м3, мм
(рекомендуемое)
ФОРМА ЗАПИСИ РЕЗУЛЬТАТОВ ИЗМЕРЕНИЙ
В ИСПЫТАНИЯХ ПО ОПРЕДЕЛЕНИЮ СРЕДНЕГО КОЭФФИЦИЕНТА
ТЕПЛОПЕРЕДАЧИ ОГРАЖДЕНИЙ ПОМЕЩЕНИЯ
Таблица Б.1
Результаты измерения температуры воздуха
в помещении объемом до 15 м3
Время измерения, (ч/мин) | Наружная температура, °C | Скорость движения воздуха, м/сек | Температура воздуха в помещении (точки 1 - 9) tвнj, °C |
tн1 | tн2 | | | 1 | 2 | 3 | 4 | 5 | 6 | 7 | 8 | 9 | Средний результат  , °C |
| | | | | | | | | | | | | | |
Таблица Б.2
Результаты измерения температуры воздуха
в помещении объемом более 15 м3
Время измерения, (ч/мин) | Наружная температура, °C | Скорость движения воздуха, м/сек | Температура воздуха в помещении tвнj, °C |
Правая сторона |
1 пояс (точки 4, 10, 16) | 2 пояс (точки 5, 11, 17) | 3 пояс (точки 6, 12, 18) | |
tн1 | tн2 | | | 150 мм от потолка 4 | 1500 мм от пола 10 | 150 мм от пола 16 | 150 мм от потолка 5 | 1500 мм от пола 11 | 150 мм от пола 17 | 150 мм от потолка 6 | 1500 мм от пола 12 | 150 мм от пола 18 | Средний результат  , °C |
| | | | | | | | | | | | | | |
Левая сторона |
| | | 1 пояс (точки 1, 7, 13) | 2 пояс (точки 2, 8, 14) | 3 пояс (точки 3, 9, 15) | |
| | | 150 мм от потолка 1 | 1500 мм от пола 7 | 150 мм от пола 13 | 150 мм от потолка 2 | 1500 мм от пола 8 | 150 мм от пола 14 | 150 мм от потолка 3 | 1500 мм от пола 9 | 150 мм от пола 15 | Средний результат  , °C |
| | | | | | | | | | | | |
Таблица Б.3
Результаты измерения силы тока и напряжения в цепи питания
электрообогревателей (или мощности электрообогревателей)
Время измерения, (ч/мин) | Сила тока I, А | Напряжение U, В | Мощность электрообогревателей Q, Вт |
Единичное измерение | Средний результат | Единичное измерение | Средний результат | Единичное измерение | Средний результат |
| | | | | | |
Примечание - Значения измеренных величин ( I и U или Q) вносятся в соответствующие графы таблицы Б.3 (в зависимости от применяемых по 4.4.3 средств измерений) |
(рекомендуемое)
ФОРМА ЗАПИСИ РЕЗУЛЬТАТОВ РАСЧЕТА
СРЕДНЕГО КОЭФФИЦИЕНТА ТЕПЛОПЕРЕДАЧИ ОГРАЖДЕНИЙ ПОМЕЩЕНИЯ
Таблица В.1
Результаты определения среднего коэффициента
теплопередачи ограждения помещения
Средняя температура воздуха в помещении, в котором установлен объект испытаний (наружная)  , °C, | Средняя температура воздуха в помещении объекта испытаний (внутренняя)  , °C, | Перепад температур воздуха  , °C, | Площадь ограждений помещения F, м2 | Потребляемая мощность электронагревателями Qср, Вт, | Средний коэффициент теплопередачи ограждений Kср, Вт/(м2x°C), |
| | | | | |
(справочное)
ВЫЧИСЛЕНИЕ ПОГРЕШНОСТИ ИЗМЕРЕНИЙ ПО ОПРЕДЕЛЕНИЮ
СРЕДНЕГО КОЭФФИЦИЕНТА ТЕПЛОПЕРЕДАЧИ ОГРАЖДЕНИЙ ПОМЕЩЕНИЯ
Г.1 Доверительные границы случайной погрешности измерений

(без учета знака) определяют как произведения средних квадратических отклонений
S результатов измерений величин
U,
I (или
Q),

, линейных составляющих (
a,
b) площади
F и коэффициента Стьюдента
k, соответствующего доверительной вероятности 0,95 и числу измерений
n, определяемого по
ГОСТ 8.207.
Доверительные границы случайной погрешности измерений:
- напряжения тока на нагревателе

; (Г.1)
- силы тока через нагреватель

; (Г.2)
- мощности нагревателей [вместо
(Г.1) и (Г.2)]

; (Г.3)
- перепада между температурой воздуха в испытываемом помещении и температурой наружного воздуха

; (Г.4)
- линейных составляющих (a, b) площади ограждения F

. (Г.5)
Доверительные границы случайной погрешности определения площади
F - по
Г.5.
Г.2 Среднее квадратическое отклонение результата измерения напряжения U вычисляют по формуле

, (Г.6)
где

- случайная погрешность измерения напряжений;
SСИ - систематическая погрешность средства измерения.
Случайную погрешность измерения напряжений

вычисляют по формуле

, (Г.7)
где
i - порядковый номер измерений по времени с указанной в
5.5.4 периодичностью;
n - число измерений по времени с указанной в
5.5.4 периодичностью.
Uср - среднее арифметическое измеренных значений напряжения, В, вычисляемое по формуле

, (Г.8)
где Ui - напряжение в цепи питания электрообогревателей в i-м измерении по времени (в стабильном температурном режиме), В.
Г.3 Среднее квадратическое отклонение результата измерения силы тока I вычисляют по формуле

, (Г.9)
где

- случайная погрешность измерений силы тока;
SСИ - систематическая погрешность средства измерения.
Случайную погрешность измерений силы тока

вычисляют по формуле

, (Г.10)
где n - число измерений по времени в стабильном температурном режиме;
Iср - среднее арифметическое измеренных значений силы тока, вычисляемое по формуле

, (Г.11)
где Ii - ток в цепи питания электрообогревателей в i-м измерении (в стабильном температурном режиме), А.
Г.4 Среднее квадратическое отклонение результата измерения перепада между температурой воздуха в помещении объекта испытаний и температурой наружного воздуха вычисляют по формуле

, (Г.12)
где

- случайная погрешность измерений перепада температур воздуха;
SСИ - систематическая погрешность средства измерения температуры.
Случайную погрешность измерений перепада температур воздуха

вычисляют по формуле

, (Г.13)
где n - число измерений по времени в стабильном температурном режиме;

- среднее арифметическое измеренных значений перепадов температур воздуха, вычисляемое по формуле

, (Г.14)
где

- перепад между температурой воздуха в помещении объекта испытаний и температурой наружного воздуха в
i-м временном измерении (в стабильном температурном режиме), °C, определяемый по формуле

, (Г.15)
где а)

- средняя температура воздуха в помещении в
i-м временном измерении (в стабильном температурном режиме), вычисляемая по формуле

, (Г.16)
tвнj - температура воздуха в j-й точке помещения в i-м временном измерении;
m - число точек измерения в i-м временном измерении;
б)

- средняя наружная температура воздуха в
i-м временном измерении (в стабильном температурном режиме), вычисляемая по формуле

, (Г.17)
tн1, tн2 - температура наружного воздуха в точках 1 и 2 при в i-м временном измерении.
Г.5 Погрешность определения площади зависит от погрешности измерения линейных составляющих (
a,
b) площади поверхности ограждения. Доверительные границы случайной погрешности определения площади:

, (Г.18)
где

,

- по (Г.5).
Г.6 Частные производные функции
Kср, вычисленные при значении переменных, соответствующих значениям
Uср,
Iср,

,
F, определяют по формулам (Г.19) -
(Г.22):

, (Г.19)

, (Г.20)

, (Г.21)

. (Г.22)
(справочное)
ОПРЕДЕЛЕНИЕ ЗНАЧЕНИЯ ВЛАГОСОДЕРЖАНИЯ, ПРИ КОТОРОМ НАЧИНАЕТСЯ
КОНДЕНСАЦИЯ ВЛАГИ НА ВНУТРЕННЕЙ ПОВЕРХНОСТИ КУЗОВА.
ОПРЕДЕЛЕНИЕ ПЛОТНОСТИ ВОДЫ ПРИ РАЗЛИЧНОЙ ТЕМПЕРАТУРЕ
Д.1 Значение влагосодержания, при котором начинается конденсация влаги на внутренней поверхности кузова, определяют в соответствии с рисунком Д.1.
Рисунок Д.1 - Определение значения влагосодержания,
при котором начинается конденсация влаги на внутренней
поверхности кузова, по значениям температуры наружного
воздуха <1> и барометрического давления
--------------------------------
<1> В качестве предельного значения температуры наружной поверхности кузова принимается измеренное значение температуры наружного воздуха.
Д.2 Значение плотности воды

при различной температуре определяют по таблице Д.1.
Температура, °C |  , 10 3 кг/м 3 |
1 | 0,99993 |
2 | 0,99997 |
3 | 0,99999 |
4 | 1,00000 |
5 | 0,99999 |
6 | 0,99997 |
7 | 0,99993 |
8 | 0,99988 |
10 | 0.99973 |
11 | 0,99963 |
12 | 0,99952 |
13 | 0,99940 |
14 | 0,99927 |
15 | 0,99913 |
16 | 0,99897 |
17 | 0,99880 |
18 | 0,99862 |
19 | 0,99843 |
20 | 0,99823 |
21 | 0,99802 |
22 | 0,99780 |
23 | 0,99757 |
24 | 0,99732 |
25 | 0,99707 |
26 | 0,99681 |
27 | 0,99652 |
28 | 0,99622 |
29 | 0,99592 |
30 | 0,99561 |
31 | 0,99521 |
32 | 0,99479 |
33 | 0,99436 |
34 | 0,99394 |
35 | 0,99350 |
40 | 0,99118 |
50 | 0,98804 |
60 | 0,98318 |
70 | 0,97771 |
80 | 0,97269 |
90 | 0,96534 |
(рекомендуемое)
ФОРМА ЗАПИСИ РЕЗУЛЬТАТОВ ИЗМЕРЕНИЙ В ИСПЫТАНИЯХ
ПО ОПРЕДЕЛЕНИЮ ТЕМПЕРАТУРНОГО КОЭФФИЦИЕНТА
ГЕРМЕТИЧНОСТИ ПОМЕЩЕНИЯ
Таблица Е.1
Время измерения | Состояние наружного воздуха | Состояние воздуха внутри помещения подвижного состава |
Влажность абсолютная (влагосодержание <*>) | Температура | Скорость движения | Влажность относительная | Давление | Влажность абсолютная (влагосодержание <*>) | Температура | Объем поступившей влаги |
ч мин с | кг/м3 (кг/кгсух.возд.) | °C | м/сек | % | Па | кг/м3 (кг/кгсух.возд.) | °C | см3 |
| f0(d0) | t0 | | | Pj | | | Gисп |
f01(d01) | f02(d02) | t01 | t02 | | | | | | j = 1 | j = 2 | j = 3 | ... | j = m | j = 1 | j = 2 | j = 3 | ... | j = m |
| | | | | | | | | | | | | | | | | | | | |
| | | | | | | | | | | | | | | | | | | |
| | | | | | | | | | | | |
| | | | | | | | | | | | |
| | | | | | | | | | | | |
... | | | | | | | | | | | | |
| | | | | | | | | | | | | | | | | | | | |
<*> Значения измеренных величин ( f) или ( d) вносятся в соответствующие графы таблицы Е.1 (в зависимости от применяемых средств измерений). |
(рекомендуемое)
ФОРМА ЗАПИСИ РЕЗУЛЬТАТОВ РАСЧЕТА
ТЕМПЕРАТУРНОГО КОЭФФИЦИЕНТА ГЕРМЕТИЧНОСТИ ПОМЕЩЕНИЯ
Таблица Ж.1
Результаты определения
температурного коэффициента герметичности помещения
Влагосодержание воздуха снаружи помещения | Влагосодержание воздуха внутри помещения | Время испарения (период увлажнения - основной этап испытаний) | Масса испарившейся жидкости | Объем помещения | Плотность сухого воздуха | Разность температур воздуха снаружи и внутри помещения | Температурный коэффициент герметичности |
до начала увлажнения воздуха | в конце периода увлажнения воздуха |
кг/кгсух.возд. | кг/кгсух.возд. | кг/кгсух.возд. | ч | кг | м3 | кг/м3 | °C | 1/(ч К) |
d0 | dн | | | X | V | | | |
| | | | | | | | |
(справочное)
ВЫЧИСЛЕНИЕ ПОГРЕШНОСТИ ИЗМЕРЕНИЙ ПО ОПРЕДЕЛЕНИЮ
ТЕМПЕРАТУРНОГО КОЭФФИЦИЕНТА ГЕРМЕТИЧНОСТИ ПОМЕЩЕНИЙ
И.1 Доверительные границы случайной погрешности измерений

(без учета знака) определяют как произведения средних квадратических отклонений результатов измерений
S и коэффициента Стьюдента
k, соответствующего доверительной вероятности 0,95 и числу измерений
n, определяемого по
ГОСТ 8.207.
И.2 Среднее квадратическое отклонение результата измерения перепада между температурой воздуха в помещении объекта испытаний и температурой наружного воздуха вычисляют по формуле

, (И.1)
где

- случайная погрешность измерений перепада температур воздуха;
SСИ - систематическая погрешность средства измерения.
Случайную погрешность измерений перепада температур воздуха

вычисляют по формуле

, (И.2)
где
i - порядковый номер измерений по времени с указанной в
5.5.4 периодичностью;
n - число измерений по времени с указанной в
5.5.4 периодичностью;

- среднее арифметическое измеренных значений перепадов температур воздуха, вычисляемое по формуле

, (И.3)
где

- перепад между температурой воздуха в помещении объекта испытаний и температурой наружного воздуха в
i-м измерении (на этапе влажностных испытаний), °C, определяемый по формуле

, (И.4)
где а) - средняя температура воздуха в помещении в i-м временном измерении (на этапе влажностных испытаний), вычисляемая по формуле

, (И.5)
tвнj - температура воздуха в j-й точке помещения в i-м временном измерении;
m - число точек измерения в i-м временном измерении;
б) - средняя наружная температура воздуха в i-м временном измерении (на этапе влажностных испытаний), вычисляемая по формуле

, (И.6)
tн1, tн2 - температура наружного воздуха в точках 1 и 2 в i-м временном измерении.
И.3 Среднее квадратическое отклонение результата измерения влагосодержания вычисляют по формуле

, (И.7)
где Sd - случайная погрешность измерений влагосодержания;
SСИ - систематическая погрешность средства измерения.
И.3.1 Случайную погрешность измерений влагосодержания воздуха в помещении в начальный момент влажностных испытаний dн вычисляют по формуле

, (И.8)
где j - номер точки измерения;
m - число точек измерения;
dнср - среднее арифметическое измеренных значений влагосодержания, вычисляемое по формуле:

, (И.9)
где dнj - влагосодержание в j-й точке измерений (в начале влажностных испытаний).
И.3.2 Случайную погрешность измерений влагосодержания воздуха в помещении в конечный момент влажностных испытаний

вычисляют по формуле

, (И.10)
где j - номер точки измерения;
m - число точек измерения;

- среднее арифметическое измеренных значений влагосодержания, вычисляемое по формуле

, (И.11)
где

- влагосодержание в
j-й точке измерений (в конце влажностных испытаний).
И.3.3 Случайную погрешность измерений влагосодержания наружного воздуха d0 вычисляют по формуле

, (И.12)
где i - номер измерения по времени;
n - число измерений по времени;
d0ср - среднее арифметическое измеренных значений влагосодержания, вычисляемое по формуле

, (И.13)
где d0i - влагосодержание в i-й момент времени влажностных испытаний, определяемое по формуле

, (И.14)
где d01i и d02i - влагосодержание наружного воздуха в точках 1 и 2 в i-й момент времени.
И.4 Погрешность определения объема зависит от погрешности измерения линейных составляющих (a, b и c) объема помещения. Доверительные границы случайной погрешности определения объема:

(И.15)
где

;

;

;

,
S(
b),
S(
c) - средние квадратические отклонения результатов измерения.
И.5 Погрешность определения плотности воздуха

, кг/м
3, зависит от погрешности измерения абсолютного давления
P, Па, и абсолютной температуры
T, К.
Доверительные границы случайной погрешности определения плотности:

, (И.16)
где

;

;

;

.
Среднее квадратическое отклонение результата измерения давления вычисляют по формуле:

, (И.17)
где SP - случайная погрешность измерений;
SСИ - систематическая погрешность средства измерения.
И.5.1 Случайную погрешность измерений давления воздуха вычисляют по формуле

, (И.18)
где i - номер измерения по времени;
n - число измерений по времени.
Pср - среднее арифметическое измеренных значений давления, вычисляемое по формуле

, (И.19)
где Pi - давление в i-й момент времени.
И.5.2 Случайную погрешность измерений температуры воздуха T, К, вычисляют по формуле

, (И.20)
где

,

,
R - универсальная газовая постоянная, R = 287 Дж/(кг·К).
И.6 Погрешность измерения количества испарившейся влаги принимается равной 2%.
И.7 Погрешность измерения времени определяется погрешностью средства измерения.
И.8 Частные производные функции

определяют по формулам (И.21) -
(И.28):

, (И.21)
| | ИС МЕГАНОРМ: примечание. Формула дана в соответствии с официальным текстом документа. | |

(И.22)

, (И.23)

, (И.24)

(И.25)

(И.26)

(И.27)

(И.28)