Главная // Актуальные документы // ГОСТ (Государственный стандарт)СПРАВКА
Источник публикации
М.: Стандартинформ, 2016
Примечание к документу
Документ
введен в действие с 1 января 2017 года.
Название документа
"ГОСТ 33599-2015. Межгосударственный стандарт. Волокно углеродное. Определение плотности высокомодульных углеродных волокон"
(введен в действие Приказом Росстандарта от 13.11.2015 N 1778-ст)
"ГОСТ 33599-2015. Межгосударственный стандарт. Волокно углеродное. Определение плотности высокомодульных углеродных волокон"
(введен в действие Приказом Росстандарта от 13.11.2015 N 1778-ст)
по техническому регулированию
и метрологии
от 13 ноября 2015 г. N 1778-ст
МЕЖГОСУДАРСТВЕННЫЙ СТАНДАРТ
ВОЛОКНО УГЛЕРОДНОЕ
ОПРЕДЕЛЕНИЕ ПЛОТНОСТИ ВЫСОКОМОДУЛЬНЫХ УГЛЕРОДНЫХ ВОЛОКОН
Carbon fiber. Determination of density of high-modulus
carbon fibers
ГОСТ 33599-2015
Дата введения
1 января 2017 года
Цели, основные принципы и порядок проведения работ по межгосударственной стандартизации установлены
ГОСТ 1.0-92 "Межгосударственная система стандартизации. Основные положения" и
ГОСТ 1.2-2009 "Межгосударственная система стандартизации. Стандарты межгосударственные, правила и рекомендации по межгосударственной стандартизации. Правила разработки, принятия, применения, обновления и отмены"
1 ПОДГОТОВЛЕН Объединением юридических лиц "Союз производителей композитов" совместно с Открытым акционерным обществом "НПО Стеклопластик" и Обществом с ограниченной ответственностью "Центр исследований и разработок "Инновации будущего" на основе аутентичного перевода на русский язык указанного в
пункте 5 стандарта, который выполнен ТК 497
2 ВНЕСЕН Техническим комитетом по стандартизации ТК 497 "Композиты, конструкции и изделия из них"
3 ПРИНЯТ Межгосударственным советом по стандартизации, метрологии и сертификации (протокол от 27 октября 2015 г. N 81-П)
За принятие проголосовали:
Краткое наименование страны по МК (ИСО 3166) 004-97 | Код страны по МК (ИСО 3166) 004-97 | Сокращенное наименование национального органа по стандартизации |
Армения | AM | Минэкономики Республики Армения |
Беларусь | BY | Госстандарт Республики Беларусь |
Киргизия | KG | Кыргызстандарт |
Россия | RU | Росстандарт |
Украина | UA | Минэкономразвития Украины |
4
Приказом Федерального агентства по техническому регулированию и метрологии от 13 ноября 2015 г. N 1778-ст межгосударственный стандарт ГОСТ 33599-2015 введен в действие в качестве национального стандарта Российской Федерации с 1 января 2017 г.
5 Настоящий стандарт модифицирован по отношению к стандарту ASTM D3800M-11 Standard Test Method for Density of High-Modulus Fibers (Стандартный метод испытаний плотности высокомодульных волокон) путем исключения разделов 3, 5, 6, 9, 11, 16, 17 стандарта ASTM, а также путем изменения содержания положений, элементов и структуры для приведения текста стандарта в соответствие с требованиями
ГОСТ 1.5.
Содержание исключенных разделов 3, 5, 6, 9, 11, 16, 17 приведено в дополнительном
приложении ДА.
Разъяснения причин исключения требований приведено в примечаниях в
приложении ДА.
Текст измененных положений, элементов выделен в стандарте одиночной вертикальной полужирной линией на полях слева (четные страницы) или справа (нечетные страницы) от соответствующего текста.
Содержание измененных положений, элементов стандарта ASTM приведено в дополнительном
приложении ДБ.
Разъяснение причин изменения положений, элементов приведено в примечаниях в
приложении ДБ.
Перечень модификаций разного типа приведен в дополнительном
приложении ДВ.
Сравнение структуры стандарта ASTM со структурой настоящего стандарта приведено в дополнительном
приложении ДГ.
Разъяснение причин изменения структуры приведено в
примечании в приложении ДГ.
Официальные экземпляры стандарта ASTM, на основе которого разработан настоящий межгосударственный стандарт, имеются в Федеральном информационном фонде технических регламентов и стандартов.
Перевод с английского языка (en).
Степень соответствия - модифицированная (MOD)
6 ВВЕДЕН ВПЕРВЫЕ
Информация об изменениях к настоящему стандарту публикуется в ежегодном информационном указателе "Национальные стандарты", а текст изменений и поправок - в ежемесячном информационном указателе "Национальные стандарты". В случае пересмотра (замены) или отмены настоящего стандарта соответствующее уведомление будет опубликовано в ежемесячном информационном указателе "Национальные стандарты". Соответствующая информация, уведомление и тексты размещаются также в информационной системе общего пользования - на официальном сайте Федерального агентства по техническому регулированию и метрологии в сети Интернет
Настоящий стандарт распространяется на углеродные волокна и устанавливает два метода (А и Б) определения их плотности. |
В настоящем стандарте использованы нормативные ссылки на следующие межгосударственные стандарты:
ГОСТ 12423-2013 (ISO 291:2008) Пластмассы. Условия кондиционирования и испытания образцов (проб)
ГОСТ 14359-69 Пластмассы. Методы механических испытаний. Общие требования
ГОСТ 25336-82 Посуда и оборудование лабораторные стеклянные. Типы, основные параметры и размеры
Примечание - При пользовании настоящим стандартом целесообразно проверить действие ссылочных стандартов в информационной системе общего пользования - на официальном сайте Федерального агентства по техническому регулированию и метрологии в сети Интернет или по ежегодному информационному указателю "Национальные стандарты", который опубликован по состоянию на 1 января текущего года, и по выпускам ежемесячного информационного указателя "Национальные стандарты" за текущий год. Если ссылочный стандарт заменен (изменен), то при пользовании настоящим стандартом следует руководствоваться заменяющим (измененным) стандартом. Если ссылочный стандарт отменен без замены, то положение, в котором дана ссылка на него, применяется в части, не затрагивающей эту ссылку.
Сущность метода А заключается в сравнении масс одинаковых объемов образца и жидкости известной плотности (рабочая жидкость). Сущность метода Б заключается в том, что смешивают две рабочие жидкости с разными плотностями, в одну из которых помещают образец. Смешивание выполняют до тех пор, пока образец не достигает равновесного положения. Плотность образца определяют по полученной плотности жидкости. |
4.1.1 Термометр с диапазоном измерения от 0 °C до 50 °C с ценой деления 0,1 °C.
4.1.2 Мешалка пропеллерного типа.
4.1.3 Секундомер или часы.
4.2.1 Весы аналитические с погрешностью измерения не более 0,001 г.
4.2.3 Столик подъемный лабораторный (далее - столик).
4.2.4 Проволока-подвеска из никелевой или нержавеющей стали диаметром 0,4 мм.
4.2.5 Эксикатор вакуумный по
ГОСТ 25336 с насосом, обеспечивающим разрежение не менее 75 кПа.
4.2.6 Эталон плотности из боросиликатного стекла плотностью 2,2 г/см
3.
4.2.8 Жидкости рабочие, обеспечивающие полное смачивание образца, а также имеющие меньшую плотность по сравнению с образцом.
Примечание - При неполном смачивании образца в рабочую жидкость вводят смачивающие и обезжиривающие вещества.
4.2.9 Подкладки антивибрационные.
4.3.2 Жидкости рабочие. Одна из рабочих жидкостей должна иметь меньшую плотность по сравнению с образцом, другая -

, например трихлорэтилен и дибромэтан (плотностью 1,464 и 2,477 г/см
3).
4.3.3 Пикнометр стеклянный по
ГОСТ 22524 вместимостью 50 см
3.
4.4.1 Вода дистиллированная по
ГОСТ 6709 (для метода А).
Примечания
1 В случае если с помощью воды невозможно точно определить плотность волокна, применяют реагенты, перечисленные в
4.4.2 -
4.4.6.
2 Реагенты токсичны.
4.4.3 Метанол (метиловый спирт) по
ГОСТ 2222.
5 Подготовка к проведению испытаний
5.1.1 Для определения плотности используют не менее трех образцов, если иное не установлено в нормативных документах или технической документации на изделие.
5.1.2 Масса образца - от 0,5 до 5,0 г.
5.1.3 Проводят расшлихтовку образцов, а также удаляют аппрет.
5.2 Проведение кондиционирования
5.2.1 Образцы кондиционируют при стандартной атмосфере 23/50 по
ГОСТ 12423.
5.2.2 Реактивы выдерживают при температуре (23 +/- 1) °C в течение 24 ч.
5.3 Калибровка эталона плотности
5.3.1 Устанавливают оборудование в соответствии с
рисунком 1 или
2.
5.3.2 Стаканчик (см. 4.2.7) заполняют дистиллированной водой (см. 4.4.1). Объем воды должен быть от 3/4 до 7/8 объема стаканчика. 5.3.3 Устанавливают стаканчик на опущенный столик (см. 4.2.3) и обнуляют весы. К весам прикрепляют проволоку-подвеску (см. 4.2.4) и взвешивают. Записывают массу M1 в граммах. 5.3.4 Поднимают столик до полного погружения проволоки-подвески в воду. Взвешивают проволоку-подвеску и записывают массу M2 в граммах. 5.3.5 Опускают столик, снимают проволоку-подвеску, промывают ее в ацетоне и высушивают. 5.3.6 Прикрепляют эталон (см. 4.2.6) к проволоке-подвеске и взвешивают. Записывают массу M3 в граммах. 5.3.7 Поднимают столик до полного погружения проволоки-подвески в воду. Взвешивают проволоку-подвеску и эталон и записывают массу M4 в граммах. 5.3.8 Опускают столик, снимают эталон и проволоку-подвеску, промывают их ацетоном и высушивают. 5.3.9 С помощью термометра (см. 4.1.1) измеряют температуру воды с точностью +/- 0,1 °C. Записывают плотность воды в зависимости от ее температуры. |
5.4 Определение плотности рабочей жидкости
Повторяют операции по 5.3. В качестве рабочей жидкости применяют воду с добавлением поверхностно-активного вещества, например, метанола или 1,2-дихлорбензола. Примечание - Плотность рабочей жидкости определяют каждый раз перед определением плотности образца. |
6.1 Испытания проводят при стандартной атмосфере 23/50 по ГОСТ 12423. 6.2 Метод А (метод гидростатического взвешивания) Устанавливают оборудование в соответствии с рисунком 1 или 2. При необходимости используют антивибрационные подкладки (см. 4.2.9), а также экран (см. 4.2.10), ограждающий от потоков воздуха. 6.2.2 Определение плотности образца 6.2.2.1 Подготавливают образец согласно 5.1 и 5.2. 6.2.2.2 Повторяют операции по 5.3.1 - 5.3.5. В качестве рабочей жидкости применяют жидкость по 5.4. 6.2.2.3 Прикрепляют образец к проволоке-подвеске и взвешивают. Записывают массу M5 в граммах. 6.2.2.4 Опускают столик и снимают образец с проволоки-подвески. Снимают проволоку-подвеску с крючка весов, вымачивают ее в рабочей жидкости и вакуумируют. 6.2.2.5 Повторно подвешивают проволоку-подвеску к крючку весов, а образец - к проволоке-подвеске. Поднимают столик до полного погружения проволоки-подвески в рабочую жидкость. Взвешивают проволоку-подвеску и образец и записывают массу M6 в граммах. |

1 - весы (см.
4.2.1);
2 - стойка для весов (см.
4.2.2);
3 - проволока-подвеска (см.
4.2.4);
4 - стаканчик
для взвешивания (см.
4.2.7);
5 - столик (см.
4.2.3)
Рисунок 1 - Схема установки оборудования
1 - весы (см.
4.2.1);
2 - крючок весов;
3 - проволока-подвеска (см.
4.2.4);
4 - образец;
5 - мостик; 6 - пластина для взвешивания
Рисунок 2 - Альтернативная схема установки оборудования
6.3.1 В стаканчике для взвешивания (см. 4.3.1) смешивают две рабочие жидкости разной плотности (см. 4.3.2) до тех пор, пока плотность полученной рабочей жидкости не будет меньше плотности образца. Для смешивания рабочих жидкостей используют мешалку. 6.3.2 Подготавливают образец по 5.1, 5.2 и завязывают его в свободный узел. 6.3.3 Помещают образец в рабочую жидкость по 6.3.1. 6.3.4 Стаканчик с образцом и рабочей жидкостью помещают в эксикатор (см. 4.2.5) и создают разрежение не менее 1,33 кПа или до того момента, пока рабочая жидкость не закипит. Поддерживают разрежение не менее 2 мин. 6.3.5 После вакуумирования стаканчик с рабочей жидкостью и образцом вынимают и выдерживают при температуре (23 +/- 1) °C до тех пор, пока образец не окажется во взвешенном состоянии посередине стаканчика. Выдерживают в течение 5 мин. 6.3.6 Небольшими порциями в стаканчик добавляют рабочую жидкость с большей плотностью. Осторожно взбалтывают содержимое стаканчика после каждого добавления жидкости. Смешивание выполняют до тех пор, пока образец не перестанет перемещаться. 6.3.7 Если в течение 5 мин образец тонет, то повторяют операции по 6.3.6, если всплывает, то повторяют операции по 6.3.6, с жидкостью меньшей плотности до тех пор, пока образец не перестанет перемещаться. 6.3.8 Пикнометром (см. 4.3.3) измеряют полученную плотность рабочей жидкости. |
7.1 Плотность образца волокна

, г/см
3, вычисляют по формуле

, (1)
где M5 - масса проволоки-подвески и образца, г;
M1 - масса проволоки-подвески, г;

- плотность рабочей жидкости, г/см
3;
M6 - масса проволоки-подвески и образца, погруженных в рабочую жидкость, г;
M2 - масса проволоки-подвески, погруженной в рабочую жидкость, г.
7.2 Плотность рабочей жидкости

, г/см
3, вычисляют по формуле

. (2)
где M3 - масса проволоки-подвески и эталона, г;
M1 - масса проволоки-подвески, г;
M4 - масса проволоки-подвески и эталона, погруженных в рабочую жидкость, г;
M2 - масса проволоки-подвески, погруженной в рабочую жидкость, г;

- плотность эталона, г/см
3.
7.3 Плотность эталона

, г/см
3, вычисляют по формуле

. (3)
где M3 - масса проволоки-подвески и эталона, г;
M1 - масса проволоки-подвески, г;

- плотность воды, в зависимости от температуры, г/см
3;
M4 - масса проволоки-подвески и эталона, погруженных в воду, г;
M2 - масса проволоки-подвески, погруженной в воду, г.
7.4 Среднеарифметическое значение плотности образца

(г/см
3), вычисляют по ГОСТ 14359
(пункт 4.3).
7.5 Стандартное отклонение плотности образца

(г/см
3) вычисляют по ГОСТ 14359
(пункт 4.4).
Результаты проведения испытаний оформляют в виде протокола, который должен содержать: - ссылку на настоящий стандарт; - описание испытуемого волокна, включая: тип, происхождение, код предприятия-изготовителя, обработку поверхности; - метод испытаний; - условия проведения испытаний; - аппаратуру и реагенты, применяемые при испытаниях; - плотность образца, среднеарифметическое значение и стандартное отклонение; - дату проведения испытания. |
(справочное)
СОДЕРЖАНИЕ ИСКЛЮЧЕННЫХ РАЗДЕЛОВ
ДА.1
3 Терминология
3.1 Определения. В разделе "Терминология" стандарта ASTM D3878 указаны определения терминов, которые относятся к композитным материалам. В разделе "Терминология" стандарта ASTM E12 приведены определения терминов, относящихся к плотности. В руководстве ASTM E177 указаны определения терминов, относящихся к статистике. В случае расхождения в определениях терминов, стандарт ASTM D3878 имеет приоритет перед другими стандартами.
3.2 Условные обозначения:
3.2.1

- плотность эталона плотности;
3.2.2

- плотность жидкости;
3.2.3

- плотность волокна;
3.2.4

- плотность измеренных волокон, которые содержат шлихту;
3.2.5

- плотность измеренной жидкости, в состав которой входят поверхностно-активные вещества (ПАВ);
3.2.6

- плотность ПАВ;
3.2.7

- плотность шлихты;
3.2.8

- плотность воды;
3.2.9 s - стандартное отклонение;
3.2.10 M1 - вес проволочной подвески в воздухе;
3.2.11 M2 - вес проволочной подвески в жидкости (до точки погружения);
3.2.12 M3 - вес проволочной подвески и вес предмета, плотность которого предстоит установить (в воздухе);
3.2.13 M4 - вес проволочной подвески и вес предмета, плотность которого предстоит установить (в жидкости);
3.2.14 M3 - M1 - вес предмета, касательно плотности, которую предстоит установить, в воздухе;
3.2.15 M4 - M2 - вес предмета, касательно плотности, которую предстоит установить, в жидкости.
Примечание - Раздел исключен, так как носит справочный характер.
ДА.2
5 Значение и применение
5.1 Плотность волокон практически полезна при оценке новых материалов на уровне научно-исследовательских и опытно-конструкторских работ (НИОКР), а также является одним из свойств материала, которое, как правило, указывают в спецификациях на волокно.
5.2 Плотность волокон используют для определения прочности волокон и их модуля упругости как для пучка волокон, так и для отдельного волокна.
В основу указанных свойств положена нагрузка или уклон модуля упругости по полезной площади материала. Плотность волокон применяют наряду с линейной массой конкретного волокна для того, чтобы получить аппроксимацию экспоненциальным распределением по полезной площади жгута волокон. Площадь жгута волокон при делении на усредненное количество волокон в одном жгуте образует аппроксимацию экспоненциальным распределением по полезной площади отдельного волокна.
5.3 Плотность волокон используют в качестве свойства элемента его состава при определении объема армирования и объема пустот из расчета массы армирования и плотности слоистого материала.
Примечание - Данный раздел исключен, т.к. носит поясняющий характер.
ДА.3
6 Мешающие воздействия
6.1 Общая информация (все методы)
6.1.1 Температура. Температура жидкости должна быть постоянной в пределах +/- 1 °C, ввиду изменения плотности жидкости в зависимости от температуры.
6.1.2 Смачивание образца (воздушный мешок). Данная методика испытаний в значительной степени зависит от силы Архимеда любой воздушный мешок, образовавшийся в образце, будет оказывать влияние на изменение фиксируемой плотности и не позволит получить истинную плотность материала. Необходимо убедиться визуальным осмотром в отсутствии воздушных мешков (пузырьков) в образце.
6.1.3 Однородность смеси. Плотность жидкости должна быть постоянной, что должно обеспечиваться соответствующим перемешиванием.
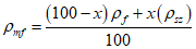
6.1.4 Снятие шлихты. При неснятии шлихты сохраняется систематическая погрешность. В данном случае измеренная плотность волокон является сочетанием плотности волокон и шлихты. Расчет воздействия, которое оказывает шлихта на плотность материала, оценивают по формуле

, (1)
где x - это масса шлихты от общей массы измеренного волокна, %.
6.1.5 Воздействие, которое оказывает плотность ПАВ. Введение ПАВ в жидкость может приводить к систематической погрешности, если такое введение не учитывают. Воздействие ПАВ определяют по формуле

, (2)
где x - это масса ПАВ от общей массы измеренной жидкости, %.
6.2 Метод A:
6.2.1 Точка погружения. Расстояние, на которое образец опускается в жидкость, а также общий уровень жидкости должны быть аналогичными в течение всего испытания по методу A. Размер образца не должен различаться более чем на несколько грамм при переходе от одного образца к другому.
Примечание - Данный раздел исключен, т.к. носит справочный характер.
ДА.4
9 Опасные факторы
9.1 Данная методика испытаний должна использоваться только лаборантами, которые прошли общее обучение по безопасности работы с химическими реагентами.
См. полезный источник сведений в Prudent Practices in the Laboratory: Handling and Disposal of Chemicals, National Academy Press, 1995, 448 pp., ISBN 0-309-05229-7.
(Внимание! В дополнение к другим предупреждениям необходимо ознакомиться с паспортами безопасности используемых веществ, в т.ч. реагентам, а также на образец для испытаний, для получения конкретных рекомендаций по безопасности и работе с веществом).
Примечание - Данный раздел исключен, т.к. носит поясняющий характер.
ДА.5
11 Калибровка и поверка
11.1 Все средства измерений должны быть калиброваны. Документация о калибровке должна быть в наличии для проведения проверок.
Примечание - Данный раздел исключен, т.к. носит поясняющий характер.
ДА.6
16 Точность и систематическая погрешность
16.1 Точность. Данные, необходимые для разработки свидетельства о точности измерений, а также информация о систематической погрешности для данной методики испытаний отсутствуют. В настоящее время комитетом D30 запланировано проведение испытаний на основе исследовательского циклического метода применительно к данной методике испытаний для установления точности.
Примечание - Данный раздел исключен, т.к. в нем отсутствуют требования к точности, не указаны нормы по погрешности и ее составляющих данного метода испытаний.
ДА.7
17 Ключевые слова
17.1 Сила Архимеда; гидростатический метод; плотность; плотность волокна.
Примечание - Данный раздел исключен, т.к. его положения размещены в других структурных элементах настоящего стандарта.
(справочное)
СОДЕРЖАНИЕ ИЗМЕНЕННЫХ ПОЛОЖЕНИЙ, ЭЛЕМЕНТОВ
СТАНДАРТА ASTM D3800M-11
ДБ.1
1 Область применения
1.1 Данная методика испытаний описывает определение плотности высокомодульных волокон. Методика применима к непрерывным и дискретным волокнам.
1.2 Значения, указанные в единицах СИ, рассматривают в качестве стандартных. Другие единицы измерения в данный стандарт не включены.
1.3 Использование данного стандарта может сопровождаться применением опасных материалов и оборудования, а также проведением опасных операций. Данный стандарт не предполагает освещения всех положений безопасности, если таковые имеются, которые сопряжены с его использованием. Организация мероприятий по обеспечению надлежащей безопасности и гигиены труда и определение применимости нормативных ограничений перед использованием данного стандарта является ответственностью пользователя данного стандарта.
Для получения дополнительных сведений см. раздел 9.
Примечание - Редакция раздела изменена для приведения в соответствие с требованиями ГОСТ 1.5
(подраздел 3.7).
ДБ.2
4 Сводная информация по методу испытаний
4.1 Процедура A. Гидростатический метод (сила Архимеда).
4.1.1 Образец взвешивают в воздухе и взвешивают в жидкости, которая полностью заполняет образец и которая имеет меньшую плотность.
4.1.2 Разность в весе образца в двух средах является выталкивающей силой жидкости. Данная сила подлежит преобразованию: относительно веса образца в воздухе, который делят на объем образца и получают его плотность.
4.2 Процедура B. Метод погружения-выталкивания на поверхность.
4.2.1 Образец помещают в контейнер, внутри которого содержится жидкость, которая полностью заполняет образец и которая имеет меньшую плотность.
Далее медленно добавляют в контейнер жидкость, которая имеет более высокую плотность, чем образец, и которая смешивается с первой жидкостью, при этом постоянно и осторожно помешивая, пока образец не примет взвешенное состояние в данной смеси жидкостей.
4.2.2 Плотность получившейся смеси жидкостей определяют гидрометром или пикнометром. Плотность образца равна плотности жидкости, в которой образец находится во взвешенном состоянии.
Примечание - Редакция раздела изменена для приведения в соответствие с требованиями ГОСТ 1.5
(пункт 7.9.5).
ДБ.3
13.1.3 Стандартизация иммерсионной жидкости - наполняют сухой и чистый контейнер на 3/4 - 7/8 (водой с добавлением ПАВ, метанола или 1,2-дихлорбензола, к примеру) и оставляют до достижения температурного равновесия. Взвешивают проволочную подвеску. Фиксируют значение M1 в граммах. Поднимают лабораторный подъемный столик до точки погружения проволочной подвески и фиксируют вес M2 в граммах. Промывают подвеску ацетоном и высушивают на воздухе.
Прикрепляют подвеску к стеклянному эталону и выполняют взвешивание. Фиксируют полученное значение M3 в граммах. Поднимают лабораторный столик до точки погружения и взвешивают.
Фиксируют значение M4 в граммах. Снимают проволочную подвеску с эталоном и промывают их ацетоном. Данное действие надлежит выполнять в начале любого ряда определений плотности.
Примечание - Редакция раздела изменена для приведения в соответствие с требованиями ГОСТ 1.5
(подраздел 4.8).
ДБ.4
13.1 Процедура A. Гидростатический метод (сила Архимеда).
13.1.1 Узел оборудования:
13.1.1.1 Узел аппаратуры указан на рисунке 1 или 2. Стойку для весов надежно скрепляют с поверхностью стола, весы опираются на стойку непосредственно над отверстием, предусмотренным для системы подвеса. Контейнер размещают под иммерсионной жидкостью на лабораторном подъемном столике, под крючком для подвешивания.
13.1.1.2 Во избежание потоков воздуха между нижней частью весов и верхней частью стойки применяют экран. При наблюдении чрезмерного уровня вибрации во время взвешивания необходимо использовать антивибрационные подкладки.
13.1.4 Плотность нити. Проводят отбор соответствующей представительной длины нити, массой не менее 0,15 г. Оборачивают образец и выполняют скрутку жгутов или нитей волокон для избежания размотки. Взвешивают проволочную подвеску, фиксируют значение M1 в граммах. Поднимают лабораторный подъемный столик до точки погружения проволочной подвески и фиксируют вес M2 в граммах. Промывают подвеску ацетоном и высушивают на воздухе.
Прикрепляют образец к проволочной подвеске и взвешивают. Фиксируют значение M3 в граммах.
Снимают проволочную подвеску, и смачивают в жидкости, и производят вакуумирование.
Повторно помещают образец и проволочную подвеску на весы. Поднимают лабораторный столик до точки погружения и проводят взвешивание. Фиксируют значение M4 в граммах.
Снимают проволочную подвеску и эталон и промывают их ацетоном.
13.2 Процедура B. Метод погружения-выталкивания на поверхность:
13.2.1 В контейнере соответствующего типа готовят смесь двух смешивающихся жидкостей, при тщательном перемешивании которых получается жидкость с плотностью менее плотности испытуемого волокна.
13.2.2 Отрезают примерно 150 мм материала, который будет испытан, а также завязывают на свободный узел типа "клеверный лист".
13.2.3 Помещают образец в раствор, подготовленный по
13.2.1.
13.2.4 Помещают контейнер с образцом и жидкостью в вакуумный эксикатор и доводят давление разреженности до уровня примерно 10 мм рт.ст. или до того момента, пока раствор не начнет кипеть. Выдерживают разреженность не менее 2 мин или до момента удаления всех пузырьков воздуха на поверхности волокна.
13.2.5 Извлекают контейнер из вакуумного эксикатора и оставляют его охлаждаться до комнатной температуры. Образец должен находиться вблизи дна контейнера.
| | ИС МЕГАНОРМ: примечание. В официальном тексте документа, видимо, допущена опечатка: п. 8.2.1 отсутствует. | |
13.2.6 Небольшими порциями добавляют жидкость с большим удельным весом, которую используют для подготовки смеси по 8.2.1. После каждого добавления жидкости осторожно взбалтывают содержимое контейнера. Продолжают вводить жидкость с большей плотностью, пока образец волокна не окажется во взвешенном состоянии.
13.2.7 Если в течение 5 мин волокно тонет, то повторяют операцию по
13.2.6. Если волокно всплывает, то повторяют действия, указанные в
13.2.6, но с жидкостью меньшей плотности. Если волокно остается неподвижным, то приступают к действию, указанному в
13.2.8.
13.2.8 Определяют плотность жидкости гидрометром, который имеет соответствующие пределы измерений. К примеру, если у жидкости плотность равна 1,5 г/мл, то используют гидрометр диапазоном измерений 1,4 - 1,6 г/мл. Более точные результаты можно получить на основании данных гидрометров, которые имеют узкий диапазон измерений. Снимают показания с гидрометра с точностью до сотых долей и проводят интерполяцию по тысячным долям. Показанием гидрометра является плотность волокна.
Примечание - Редакция раздела изменена для приведения в соответствие с требованиями ГОСТ 1.5
(пункт 7.9.8).
ДБ.5
15 Протокол
15.1 Протокол испытаний содержит следующие параметры:
15.1.1 фиксацию тех пунктов, которые находятся вне зоны ведения конкретной лаборатории испытаний, к примеру, подробной информации о материале, должно проводить лицо-инициатор испытания;
15.1.2 полную маркировку материала согласно Руководству ASTM D6308, в т.ч. тип волокна, обработки поверхности, а также указание изготовителя волокна;
15.1.3 данную методику испытаний (D3800 и процедуры с A по C);
15.1.4 полные данные о параметрах испытаний, в т.ч. температуру испытаний в градусах Цельсия и тип использованной(ых) иммерсионной(ых) жидкости(ей);
15.1.5 каждое измеренное значение плотности и среднее значение (г/мл). Меру степени вариации в плотности, например стандартное отклонение.
Примечание - Редакция раздела изменена для приведения в соответствие с требованиями ГОСТ 1.5
(пункт 7.9.10).
(справочное)
ПЕРЕЧЕНЬ МОДИФИКАЦИЙ РАЗНОГО ТИПА
Таблица ДВ.1
Структурный элемент (раздел, подраздел, пункт, подпункт, таблица, приложение) | Модификация |
| Дополнить стандартами: |
" ГОСТ 12423-2013 (ISO 291:2008) Пластмассы. Условия кондиционирования и испытания образцов (проб)"; |
" ГОСТ 14359-69 Пластмассы. Методы механических испытаний. Общие требования"; |
|
" ГОСТ 25336-82 Посуда и оборудование лабораторные стеклянные. Типы, основные параметры и размеры" |
| Дополнить: "4.1.3 Секундомер или часы" |
| Дополнить: "с диапазоном измерения от 0 °C до 50 °C" |
| Заменить: "Контейнер" на "Стаканчик для взвешивания" |
| Заменить: "Контейнер" на "Стаканчик для взвешивания" |
| Дополнить: |
| Дополнить: |
| Дополнить: |
| Дополнить пунктом: "5.1.3 Проводят расшлихтовку образцов, а также удаляют аппрет" |
| Дополнить пунктом: "6.1 Испытания проводят при стандартной атмосфере 23/50 по ГОСТ 12423" |
| Дополнить пунктом: "7.4 Среднеарифметическое значение плотности образца  (г/мл) вычисляют по ГОСТ 14359 (пункт 4.3)" |
| Дополнить пунктом: "7.5 Стандартное отклонение плотности образца  (г/мл) вычисляют по ГОСТ 14359 (пункт 4.4)" |
(справочное)
СРАВНЕНИЕ СТРУКТУРЫ СТАНДАРТА ASTM СО СТРУКТУРОЙ
МЕЖГОСУДАРСТВЕННОГО СТАНДАРТА
Таблица ДГ.1
Структура стандарта ASTM D3800M-11 | Структура межгосударственного стандарта |
Раздел | Подраздел | Пункт | Подпункт | Раздел | Подраздел | Пункт | Подпункт |
1 | 1.1 | - | - | | - | - | - |
1.2 | - | - | - | - | - |
1.3 | - | - | - | - | - |
2 | 2.1 | - | - | | - | - | - |
3 | 3.1 - 3.2 | - | - | - | - | - | - |
4 | 4.1 | - | - | | - | - | - |
4.2 | - | - | - | - | - |
4.3 | - | - | - | - | - |
5 | 5.1 - 5.3 | - | - | - | - | - | - |
6 | 6.1 | 6.1.1 - 6.1.5 | - | - | - | - | - |
6.2 | 6.2.1 | - | - | - | - |
7 | 7.1 | 7.1.1 | - | | | | - |
7.1.2 | - | | - |
- | - | | - |
7.2 | 7.2.1 | - | | | - |
7.2.2 | - | | - |
7.2.3 | - | | - |
7.2.4 | - | | - |
7.2.5 | - | | - |
7.2.6 | - | | - |
7.2.7 | - | - | - |
7.2.8 | - | | - |
7.2.9 | - | | - |
- | - | | - |
- | - | | - |
7.3 | 7.3.1 | - | | | - |
7.3.2 | - | | - |
7.3.3 | - | | - |
8 | 8.1 | 8.1.1 | - | | | - |
8.1.2 | - | | - |
8.1.3 | - | | - |
8.1.4 | - | | |
8.1.5 | - | | |
8.1.6 | - | | |
9 | 9.1 | - | - | - | - | - | - |
| | ИС МЕГАНОРМ: примечание. В официальном тексте документа, видимо, допущена опечатка: имеется в виду пункт 5.2.2, а не 5.2.3. | |
|
10 | 10.1 | - | - | | | | - |
10.2 | - | - | | - |
- | - | - | | - |
11 | 11.1 | - | - | - | - |
12 | 12.1 | - | - | | | - |
12.2 | - | - | - | - | - |
13 | - | - | - | | | - | - |
13.1 | 13.1.1 | 13.1.1.1 | | | - |
| 13.1.1.2 | | - |
13.1.2 | - | | | | - |
13.1.3 | - | | - | - |
13.1.4 | - | | | | - |
13.2 | 13.2.1 - 13.2.8 | - | | | - |
14 | 14.1 | - | - | | | - | - |
14.2 | - | - | | - | - |
14.3 | - | - | | - | - |
- | - | - | | - | - |
- | - | - | | - | - |
15 | 15.1 - 15.5 | - | - | | - | - | - |
16 | 16.1 | - | - | - | - | - | - |
17 | 17.1 | - | - | - | - | - | - |
1 Содержание пункта 7.2.7 стандарта ASTM перенесено в пункт 4.2.5 межгосударственного стандарта. 2 Пункты 13.1.2 и 13.1.3 стандарта ASTM соответствуют подразделам 5.3 и 5.4 межгосударственного стандарта. |