Главная // Актуальные документы // ГОСТ (Государственный стандарт)СПРАВКА
Источник публикации
М.: Стандартинформ, 2016
Примечание к документу
Документ
введен в действие с 1 января 2017 года.
Название документа
"ГОСТ 33509-2015 (EN 15443:2011). Межгосударственный стандарт. Топливо твердое из бытовых отходов. Методы подготовки лабораторной пробы"
(введен в действие Приказом Росстандарта от 28.10.2015 N 1653-ст)
"ГОСТ 33509-2015 (EN 15443:2011). Межгосударственный стандарт. Топливо твердое из бытовых отходов. Методы подготовки лабораторной пробы"
(введен в действие Приказом Росстандарта от 28.10.2015 N 1653-ст)
по техническому регулированию
и метрологии
от 28 октября 2015 г. N 1653-ст
МЕЖГОСУДАРСТВЕННЫЙ СТАНДАРТ
ТОПЛИВО ТВЕРДОЕ ИЗ БЫТОВЫХ ОТХОДОВ
МЕТОДЫ ПОДГОТОВКИ ЛАБОРАТОРНОЙ ПРОБЫ
Solid recovered fuel. Methods for laboratory sample
preparation
(EN 15443:2011, MOD)
ГОСТ 33509-2015
(EN 15443:2011)
Дата введения
1 января 2017 года
Цели, основные принципы и основной порядок проведения работ по межгосударственной стандартизации установлены
ГОСТ 1.0-92 "Межгосударственная система стандартизации. Основные положения" и
ГОСТ 1.2-2009 "Межгосударственная система стандартизации. Стандарты межгосударственные, правила и рекомендации по межгосударственной стандартизации. Правила разработки, принятия, применения, обновления и отмены"
1 ПОДГОТОВЛЕН Федеральным государственным унитарным предприятием "Всероссийский научно-исследовательский институт стандартизации, материалов и технологий" (ФГУП "ВНИИ СМТ") на основе собственного аутентичного перевода на русский язык европейского регионального стандарта, указанного в
пункте 5
2 ВНЕСЕН Федеральным агентством по техническому регулированию и метрологии (Росстандарт)
3 ПРИНЯТ Межгосударственным советом по стандартизации, метрологии и сертификации (протокол от 29 сентября 2015 г. N 80-П)
За принятие проголосовали:
Краткое наименование страны по МК (ИСО 3166) 004-97 | Код страны по МК (ИСО 3166) 004-97 | Сокращенное наименование национального органа по стандартизации |
Беларусь | BY | Госстандарт Республики Беларусь |
Киргизия | KG | Кыргызстандарт |
Россия | RU | Росстандарт |
Таджикистан | TJ | Таджикстандарт |
4
Приказом Федерального агентства по техническому регулированию и метрологии от 28 октября 2015 г. N 1653-ст межгосударственный стандарт ГОСТ 33509-2015 введен в действие в качестве национального стандарта Российской Федерации с 1 января 2017 г.
5 Настоящий стандарт является модифицированным по отношению к европейскому региональному стандарту EN 15443:2011 Solid recovered fuels - Methods for the preparation of the laboratory sample (Топливо твердое из бытовых отходов. Методы подготовки лабораторной пробы) путем изменения отдельных фраз (слов, значений показателей, ссылок), которые выделены в тексте курсивом.
Европейский региональный стандарт EN 15443:2011 разработан Европейским комитетом по стандартизации (CEN) ТК 343 "Топливо твердое из бытовых отходов".
Перевод с английского языка (en).
Степень соответствия - модифицированная (MOD)
6 ВВЕДЕН ВПЕРВЫЕ
Информация об изменениях к настоящему стандарту публикуется в ежегодном информационном указателе "Национальные стандарты", а текст изменений и поправок - в ежемесячном информационном указателе "Национальные стандарты". В случае пересмотра (замены) или отмены настоящего стандарта соответствующее уведомление будет опубликовано в ежемесячном информационном указателе "Национальные стандарты". Соответствующая информация, уведомление и тексты размещаются также в информационной системе общего пользования - на официальном сайте Федерального агентства по техническому регулированию и метрологии в сети Интернет
Твердое топливо из бытовых отходов - основной источник возобновляемой энергии. Настоящий стандарт необходим для производства, продажи и использования твердого топлива из бытовых отходов. Для отбора и приготовления проб топлива могут быть использованы следующие стандарты:
ГОСТ 33509-2015 Топливо твердое из бытовых отходов. Методы подготовки лабораторной пробы
При создании этих стандартов были использованы существующая практика и имеющиеся научные разработки.
На рисунке 1 показаны связи между важными элементами программы испытания.
┌─────────────────────┐
│ Программа испытания │
└──────────┬──────────┘
\/
┌───────────────────────────────┐
│ Подготовка и применение плана │
┌────┤ отбора проб ├──┐ ┌───────────────────────────────┐
│ └───────────────┬───────────────┘ │ │ │
│ \/ │ │ │
│Группа ┌─────────────────────────┐ │ │Группа подготовки │
│отбора │ Определение плана отбора│ │ │пробы │
│проб │ проб │ │ │ │
│ └────────────┬────────────┘ │ │ │
│ \/ │ │ │
│ ┌─────────────────────────┐ │ │ │
│ │ Отбор образца топлива в │ │ │ ┌──────────────────────────┐ │
│ │ соответствии с планом ├─────┼─┼─>│ Если необходимо провести │ │
│ │ отбора проб │ │ │ │ предварительную обработку│ │
│ └────────────┬────────────┘ │ │ │для получения лабораторной│ │
│ \/ │ │ │ пробы │ │
│ ┌─────────────────────────┐ │ │ └──────────┬───────────────┘ │
│ │ Лабораторная проба │<────┼─┼─────────────┘ │
│ └────────────┬────────────┘ │ │ │
│ \/ │ │ │
│ ┌─────────────────────────┐ │ │ │
│ │ Подготовка отбора проб │ │ │ │
│ └────────────┬────────────┘ │ │ │
│ \/ │ └───────────────────────────────┘
│ ┌─────────────────────────┐ │
│ │ Запись отбора проб ├─────┼───────────────┐
│ └────────────┬────────────┘ │ │
│ \/ │ │
│ ┌─────────────────────┐ │ │
│ │ Хранение │ │ │
│ └──────────┬──────────┘ │ │
│ \/ │ │
│ ┌──────────────────────────────┐ │ │
│ │Транспортирование лабораторной│ │ │
│ │ пробы в лабораторию │ │ │
│ └──────────────┬───────────────┘ │ │
│ \/ │ │
│ ┌─────────────────────┐ │ │
└─────────┤ Хранение ├───────┘ │
┌─────────┤ ├───────┐ │
│Группа └──────────┬──────────┘ │ │
│испытаний \/ │ │
│ ┌─────────────────────────┐ │ │
│ │ Приготовление проб для │ │ │
│ ┌───┤ испытания │ │ │
│ │ └────────────┬────────────┘ │ │
│ │ \/ │ │
│ │ ┌─────────────────────┐ │ │
│ │ │ Экстракция │ │ │
│ │ └──────────┬──────────┘ │ │
│ │ \/ │ │
│ │ ┌─────────────────────────┐ │ │
│ │ │ Испытания/квалификация │ │ │
│ │ └────────────┬────────────┘ │ │
│ │ \/ │ │
│ │ ┌─────────────────────────┐ │ │
│ │ │ Экстракция │ │ │
│ │ └────────────┬────────────┘ │ │
│ │ \/ │ │
│ │ ┌─────────────────────────┐ │ │
│ └──>│ Процесс записи всех │<────┼───────────────┘
└───────┤ измерений ├─────┘
└────────────┬────────────┘
\/
┌───────────────────────────┐
│ Общая запись измерений │
└───────────────────────────┘
Рисунок 1 - Связи между существенными элементами программы
испытания
Принятая технология приготовления пробы зависит от сочетания различных характеристик материала и обстоятельств, возникающих в месте отбора проб. Определяющими факторами являются:
- тип твердого топлива из бытовых отходов;
- физические характеристики конкретного твердого топлива из бытовых отходов;
- степень гетерогенности (например, однородное топливо, смешанное топливо, перемешанное топливо).
Настоящий стандарт описывает методы сокращения объединенной пробы до лабораторной пробы, лабораторной пробы - до аналитической пробы, и используется при испытаниях твердого топлива из бытовых отходов.
Методы, приведенные в настоящем стандарте, используют для приготовления проб, для определения насыпной массы, прочности, гранулометрического состава, влаги, зольности, показателей плавкости золы, теплоты сгорания, химического состава и примесей.
Методы не предназначены для получения очень больших проб, необходимых для определения свойств топлива к зашлаковыванию.
В настоящем стандарте использованы нормативные ссылки на следующие стандарты:
ГОСТ OIML R 76-1-2011 Государственная система обеспечения единства измерений. Весы неавтоматического действия. Часть 1. Метрологические и технические требования. Испытания
ГОСТ 33512.3-2015 Топливо твердое из бытовых отходов. Определение содержания влаги высушиванием. Часть 3: Влага аналитическая
Примечание - При пользовании настоящим стандартом целесообразно проверить действие ссылочных стандартов в информационной системе общего пользования - на официальном сайте Федерального агентства по техническому регулированию и метрологии в сети Интернет или по ежегодному информационному указателю "Национальные стандарты", который опубликован по состоянию на 1 января текущего года, и по выпускам ежемесячного информационного указателя "Национальные стандарты" за текущий год. Если ссылочный стандарт заменен (изменен), то при пользовании настоящим стандартом следует руководствоваться заменяющим (измененным) стандартом. Если ссылочный стандарт отменен без замены, то положение, в котором дана ссылка на него, применяется в части, не затрагивающей эту ссылку.
В настоящем стандарте применены термины и определения по
ГОСТ 33564, а также следующие термины с соответствующими определениями:
3.1 партия (lot): Определенное количество топлива, для которого установлены качественные показатели.
3.2 точечная проба (increment): Порция твердого топлива из бытовых отходов, отобранная в ходе одной операции прибором для отбора проб.
3.3 проба (sample): Количество топлива, представительное для большей массы, для которой определяется качество.
3.4 общая проба (combined sample): Проба, содержащая все разовые пробы, отобранные из партии или части партии.
Примечание - Разовая проба может быть сокращена путем деления перед добавлением в объединенную пробу.
3.5 аналитическая проба для определения влаги (moisture analysis sample): Специально отбираемая для определения влаги лабораторная проба.
3.6 часть пробы (sub-sample): Порция пробы.
3.7 лабораторная проба (laboratory sample): Общая проба или ее часть, точечная проба или ее часть, а также любая другая проба, отправленная в лабораторию для испытаний.
Примечания
1 После обработки (сокращения, смешивания, измельчения или комбинации этих операций) лабораторная проба становится пробой для анализа. Если не требуется предварительной обработки, то лабораторная проба представляет собой пробу для анализа. Навеска пробы отбирается от пробы для испытаний.
2 Лабораторная проба является финальной пробой с точки зрения отбора проб и начальной с точки зрения лабораторных испытаний.
3 Несколько лабораторных проб могут быть подготовлены совместно и отправлены в разные лаборатории или в одну лабораторию для разных целей. Когда несколько лабораторных проб направляют в одну лабораторию для разных целей, их рассматривают и документируют как одну пробу.
3.8 аналитическая проба (general analysis sample): Часть лабораторной пробы, измельченная до размера частиц 1 мм и менее, используемая для определения химического и физического анализов.
3.9 навеска пробы (test portion): Часть лабораторной пробы, равная количеству материала, требуемого для выполнения одного испытания.
3.10 сокращение пробы (sample division): Сокращение массы пробы или ее части.
3.11 измельчение пробы (particle size reduction): Уменьшение максимального размера частиц пробы или ее части.
3.12 максимальный размер
d95 (nominal top size): Размер ячейки сита по
[1], через который пройдет 95% ее массы.
4. Принципы сокращения проб
Главной целью подготовки пробы является ее сокращение до одной или более исследуемых частей, которые в основном меньше, чем исходная проба. Главный принцип сокращения пробы в том, что состав отобранной пробы не может быть изменен в ходе каждой стадии пробоподготовки. Каждая сокращенная проба должна характеризовать исходную пробу. Для достижения этой цели каждая частица пробы должна иметь равную вероятность попасть в часть пробы, сохраняемую после уменьшения массы в ходе сокращения. Кроме того, следует свести к минимуму потерю влаги и других летучих веществ, если эти вещества определяют или они влияют на определяемые параметры. При пробоподготовке используются два основных метода:
- сокращение массы пробы разделением;
- измельчение пробы.
Для сыпучих материалов обычно принимается принцип кубического закона, который должен применяться для каждого шага сокращения пробы.

, (1)
где m - масса, оставляемая после каждого шага сокращения пробы, г;
d95 - максимальный размер частиц, мм;

- константа на протяжении всего процесса подготовки пробы для конкретного материала, г/мм
3.
Значение и размерность постоянной

устанавливаются номинальным размером частиц
d95 и массой пробы
m перед подготовкой пробы.
Пример - проба твердого топлива из бытовых отходов 10 кг имеет d95, равное 50 мм. Для анализа требуется 5 г.
Тогда из уравнения (1) m = 10000 г, деленное на d95 = 50 мм в кубе, дает
. Использование этого значения в уравнении (1) для сокращения пробы приводит к максимальному размеру частиц рабочей части пробы 3,97 мм (корень кубический из 5,0 г, деленный на 0,08 г/мм3). Ниже в таблице приведены цифры.
m, г | , г/мм3 | d95, мм |
10000 | 0,08 | 50 |
5 | 0,08 | 3,97 |
Таблица 1а представляет конечное значение коэффициента сокращения пробы до минимальной массы, при сокращении выбирается максимальный размер частиц. Коэффициент сокращения максимального размера частиц может быть рассчитан путем деления текущего максимального размера частиц на ожидаемый максимальный размер частиц после сокращения.
Таблица 1а
Общие значения ожидаемых коэффициентов сокращения
минимального размера пробы
Выбранный коэффициент сокращения максимального размера частиц | Коэффициент сокращения для минимального размера пробы |
1,5 | 3,4 |
2 | 8 |
3 | 27 |
4 | 64 |
5 | 125 |
6 | 216 |
7 | 343 |
8 | 512 |
9 | 729 |
10 | 1000 |
20 | 8000 |
30 | 27000 |
Таблица 1б представляет конечное значение коэффициента сокращения пробы до минимального номинального размера частиц пробы, при сокращении выбирается определенная масса пробы. Коэффициент сокращения минимального размера пробы может быть рассчитан путем деления текущего минимального размера пробы на ожидаемый минимальный размер пробы после сокращения.
Таблица 1б
Общие значения ожидаемых коэффициентов сокращения
максимального размера частиц пробы
Ожидаемый коэффициент сокращения для минимального размера пробы | Необходимый коэффициент сокращения максимального размера частиц |
2 | 1,3 |
3 | 1,4 |
4 | 1,6 |
5 | 1,7 |
10 | 2,2 |
20 | 2,7 |
50 | 3,7 |
80 | 4,3 |
100 | 4,6 |
200 | 5,8 |
500 | 7,9 |
1000 | 10,0 |
Формула (1) может быть использована для расчета точных значений для каждой конкретной ситуации.
Однако многие материалы оказываются далеки от зернистой формы. Следовательно, для твердого топлива из бытовых отходов можно сделать корректировку для незернистых материалов.
Следует соблюдать осторожность для предотвращения потери малых частиц и летучих компонентов (таких как влага и ртуть) в процессе размола и других операций.
Если требуется часть пробы для определения влаги, при последующем измельчении пробы должна использоваться процедура, не противоречащая требованиям
[2],
[3] или
ГОСТ 33512.3. Рекомендуется определять содержание влаги в отобранном материале, приводя отдельный анализ (т.к. существует риск изменения содержания влаги при сокращении пробы).
Если требуется часть пробы для определения ртути, то пробоподготовка производится в соответствии с
[4]. Если необходимо определить содержание ртути в материале, рекомендуется отобрать отдельную пробу, чтобы сократить риск снижения концентрации ртути в пробе при пробоподготовке.
При работе с материалами, которые должны быть испытаны на содержание влаги и ртути, следует соблюдать осторожность при любом значительном нагревании и риске высушивания или потери ртути.
5. Требования к оборудованию
5.1. Оборудование для сокращения массы
5.1.1 Сократитель
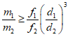
Сократитель должен иметь не менее 16 прорезей с прилегающими канавками для направления материала в различные емкости, а ширина прорезей должна быть не меньше 3 номинальных верхних размеров материала, который необходимо сократить (см. рисунок 2).
1 - проба; 2 - прорезь размером по крайней мере в 3 раза

максимального размера материала
Рисунок 2 - Образец сократителя пробы
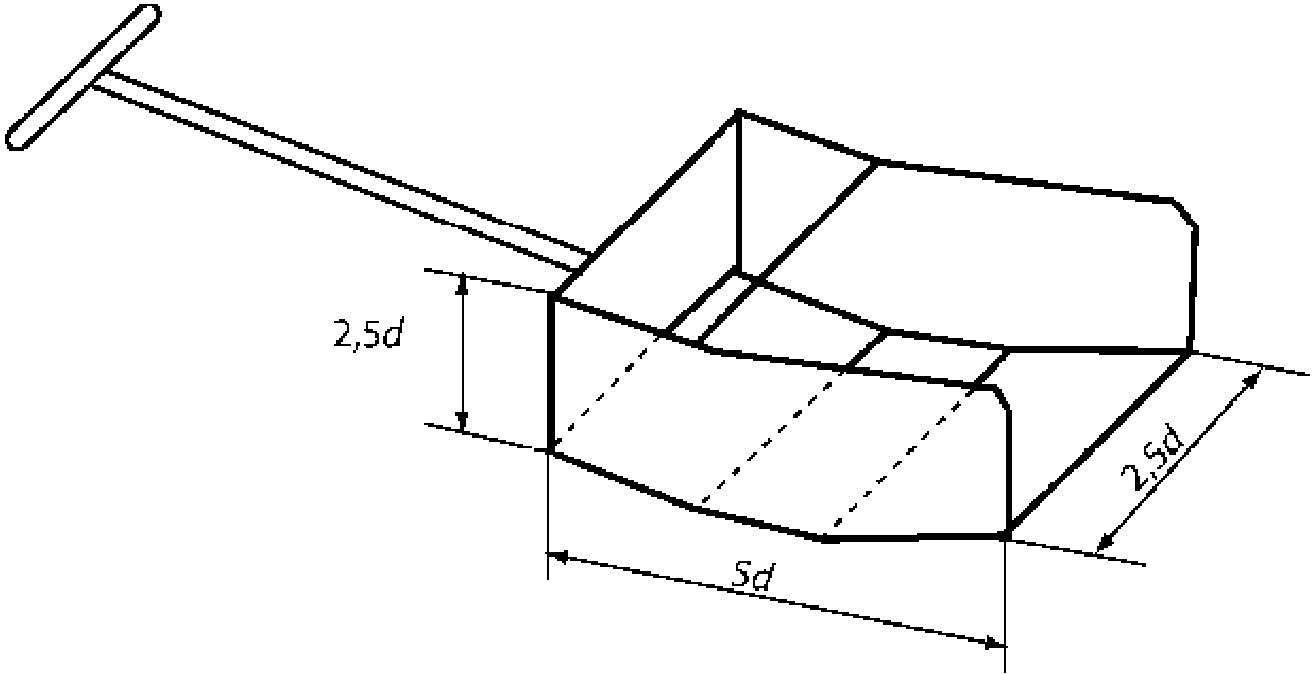
5.1.2 Вращающийся делитель пробы
Вращающийся делитель пробы имеет приводной механизм, обеспечивающий, по крайней мере, 20 оборотов до тех пор, пока проба не будет разделена. На рисунке 3 приведен образец вращающегося разделителя.
1 - подающий механизм; 2 - воронка;
3 - вращающийся приемник; 4 - разделитель проб
Рисунок 3 - Образец ротационного делителя
Производители всегда должны следовать инструкции эксплуатации. Внутренние размеры оборудования, куда подается проба, должны быть, по крайней мере, в 3 раза шире номинального основного размера обрабатываемого материала.
5.1.3 Лопаты и совки
Лопата или совок, используемые для ручного сокращения массы, должны иметь плоское дно, достаточно высоко поднятые края для предотвращения скатывания частиц и должны быть не менее чем в 3 раза шире номинального основного размера обрабатываемого материала. На рисунках 4 и
5 приведены образцы лопаты и совка.
d - номинальный основной размер
Рисунок 4 - Образец лопаты
l - длина совка; A - A - ширина совка
Рисунок 5 - Образец совка
5.2. Оборудование для измельчения пробы
5.2.1 Мельница грубой резки или древесная дробилка
Мельницы для грубой резки используются для резки материалов длиной от 10 до 30 мм (в зависимости от вида твердого топлива из бытовых отходов или анализа, который должен быть выполнен). Оборудование должно иметь минимальный осушающий эффект как при нагревании материала, так и при продувке воздуха через него. Оборудование должно обеспечивать предотвращение потери пыли или загрязнение материала частицами металла и должно легко чиститься. Мельница для измельчения без экранов может подходить для малых количеств.
5.2.2 Мельница для мелкой резки
Мельница используется для уменьшения максимального размера материалов, используемых как твердое топливо из бытовых отходов размером от 10 до 30 мм до размера менее 1 мм (в зависимости от твердого топлива из бытовых отходов и анализа, который должен быть выполнен). Мельницы должны быть снабжены экранами с прорезями различных размеров и соответствующими ситами для контроля максимального размера измельченного материала. Допускается использование другого оборудования при условии, что оно не забивается обрабатываемым материалом. Не следует использовать мельницы, срезающие верхние части стеблей, содержащие значительное количество элементов, которые должны быть определены в ходе анализа.
Примечание - Рабочая камера мельницы может быть использована без специального удаления пыли, если установлены пылевые фильтры (подобно рукавному фильтру) между мельницей и контейнером, в которые направляется проба. Указанные мельницы пригодны для окончательного измельчения жестких, деревянных материалов после предыдущего измельчения.
5.2.3 Молотковая дробилка
Молотковая дробилка - оборудование, оснащенное вращающимися молотками для измельчения материала. Молотковые дробилки используются для измельчения частиц до размера меньше 30 мм. Использование молотковых дробилок для измельчения пробы вызывает риск потери влаги и мелкой фракции. Использование молотковых дробилок допускается в определенных условиях. Многие типы твердого топлива из бытовых отходов содержат пластик и металл и, следовательно, делают использование шредера необходимым.
Проволочное сито с размером отверстий 1,00 мм используется для проверки максимального размера анализируемых образцов. Проволочное сито с размером отверстий 0,250 мм, если используется необходимая проба с таким максимальным размером.
Для целей подготовки проб применяются весы с точностью 0,1% от массы пробы или навески по
ГОСТ OIML R 76-1.
На рисунке 6 приведен перечень общих процедур, которые должны соблюдаться при пробоподготовке в соответствии с настоящим стандартом.
┌───────────────────────────────┐
│ Шаг 1: │
│ сбор необходимой информации │
│ об отбираемом материале │
└───────────────┬───────────────┘
│
\/
┌───────────────────────────────┐
│ Шаг 2: │
│ создание плана подготовки проб│
└───────────────┬───────────────┘
│
\/
┌───────────────────────────────┐
│ Шаг 3: │
│ выполнение подготовки проб │
└───────────────────────────────┘
Рисунок 6 - Общая процедура подготовки проб
6.2. Шаг 1: сбор необходимой информации об отбираемом материале
В первом шаге подготовки пробы следует собрать информацию об отбираемом материале:
а) минимальную массу пробы по плану отбора проб;
б) действительную массу пробы m0;
в) максимальный размер частиц пробы;
г) коэффициент формы пробы;
д) требуемые количества материала фракций каждого размера и ограничения по методам их пробоподготовки. Пробоподготовка обеспечивает получения проб для ряда испытаний, выполняемых на пробе. Некоторые из этих испытаний не требуют проведения процедур измельчения или высушивания пробы. Другие испытания требуют очень мелкой гомогенизации проб до очень маленького размера частиц. План подготовки проб должен учитывать все эти требования.
6.3. Шаг 2: создание плана подготовки пробы
6.3.1 Общий порядок
Разработка плана подготовки пробы - наиболее критический этап в ходе приготовления проб. Пробоподготовка - это совокупность процессов сокращения массы пробы, измельчения и разделения пробы. Уровень подготовки на месте проб твердого топлива из бытовых отходов зависит от доступности оборудования и предпочтений заказчика.
Разделение пробы или сокращение массы пробы. Сокращением массы пробы является ее уменьшение до необходимой массы. Целью разделения пробы является получение нескольких проб из одной исходной пробы. В ходе разделения пробы или сокращения ее массы очень важно, чтобы была сохранена часть пробы минимального размера для обеспечения представительности общей пробы. В
разделе 6 приведены доступные методы сокращения массы пробы.
Измельчение пробы. Целью измельчения пробы является уменьшение максимального размера частиц для сокращения минимального размера части пробы без потери представительности. В ходе измельчения важно, чтобы весь материал был вовлечен в процесс. Потеря материала вызывает существенные ошибки при измерении этих материалов и, возможно, сопутствующих металлов.
Для создания плана подготовки пробы необходимо, чтобы он содержал, по крайней мере, информацию, представленную в
таблице 2. Информация в этой
таблице должна быть полной.
Таблица 2 используется в качестве плана пробоподготовки. В ней приведены все действия, которые должны быть осуществлены в ходе всех процессов пробоподготовки. Фактическая структура
таблицы 2 должна быть скорректирована для целей конкретного плана отбора твердого топлива из бытовых отходов и выбора оборудования из имеющегося в лаборатории. Это означает, что, например, ряд шагов может быть опущен или добавлен в случае, когда максимальный размер частиц меньше чем, например, 30 мм, или результаты максимального размера частиц при грубом измельчении отличаются от 30 мм. Информация, используемая в таблице 2, такая как методики, коэффициенты формы, максимальный размер частиц и шаги измельчения, должна быть определена. Определение изменений коэффициента формы указано в
6.3.2. Определение методик и оборудования сокращения массы пробы и измельчения описаны в
разделе 7. В
приложении В приведен пример создания плана пробоподготовки. В
разделе 7 описаны методы сокращения массы пробы до измельчения. В
разделе 9 описано, как выполняется план пробоподготовки таблицы 2.
Таблица 2
Шаг | Описание | Метод сокращения | Используемые методика и оборудование | Масса до сокращения | Масса после сокращения | Максимальный размер частиц до измельчения | Максимальный размер частиц после сокращения | Коэффициент формы до сокращения | Коэффициент формы после сокращения | Масса, оставленная для анализа | Целевой продукт на этом этапе сокращения |
1 | Разделение общей пробы на части для последующей пробоподготовки и части необработанного материала | Сокращение массы | - | - | - | - | - | - | - | - | Определение насыпной массы, прочности гранул, гранулометрического состава и т.д. |
2 | Измельчение размера частиц пробы для последующего сокращения массы пробы и/или возможного разделения | Измельчение частиц пробы до размера < 30 мм | - | - | - | - | 30 мм | - | - | - | - |
3 | Сокращение и/или разделение пробы для последующего измельчения и/или разделения | Сокращение массы | - | - | - | 30 мм | 30 мм | - | - | - | Части пробы для определения гранулометрического состава, прочности на истирание, влаги |
4 | Разделение оставшейся части пробы на часть пробы для дальнейшей пробоподготовки и часть пробы для анализа | Измельчение частиц пробы до размера < 1,0 мм | - | - | - | 30 мм | 1,0 мм | - | 1,0 | - | - |
5 | Разделение оставшегося материала пробы на требуемые рабочие части пробы | Сокращение массы | - | - | - | 1,0 мм | 1,0 мм | 1,0 | 1,0 | - | Части пробы для определения зольности, теплоты сгорания, химических анализов и т.д. |
6 | Измельчение пробы для возможности разделения | Измельчение частиц пробы до размера < 0,25 мм | - | - | - | 1,0 мм | 0,25 мм | 1,0 | 1,0 | - | - |
7 | Разделение оставшегося материала пробы на требуемые рабочие части пробы | Сокращение массы | - | - | - | 0,25 мм | 0,25 мм | 1,0 | 1,0 | - | Части проб для анализов, требующих частиц размером < 0,25 мм |
Примечание - Масса может быть удержана только на этапе сокращения массы, но не измельчения. |
План подготовки пробы может быть использован многократно для определенного продукта, пока остается неизменным физический состав твердого топлива из бытовых отходов.
6.3.2 Сохранение минимального количества пробы или ее части
В ходе сокращения массы пробы каждая частица пробы до сокращения должна иметь равную возможность попасть в часть пробы, оставляемую после сокращения. Для негранулированных материалов с коэффициентом формы значительно меньше 1,0 следует произвести корректировку для определения коэффициента формы. В
приложении А приведен порядок проведения этой корректировки.
Каждый шаг пробоподготовки должен соответствовать следующей формуле:

, (2)
где m1 - масса пробы до сокращения, г;
m2 - масса пробы после сокращения, г;
f1 - коэффициент формы до сокращения пробы;
f2 - коэффициент формы после сокращения пробы;
d1 - максимальный размер частиц пробы до измельчения, мм;
d2 - максимальный размер частиц пробы после измельчения, мм.
Для гранулированных материалов коэффициенты формы
f1 и
f2 близки к единице. В этом случае следует принять указанные коэффициенты равными 1. Для материалов, форма которых далека от гранул, коэффициент формы необходимо определить. Определение коэффициента формы проводится по
ГОСТ 33626. Коэффициент формы меняется с уменьшением размера частиц пробы. Коэффициент формы увеличивается до единицы в процессе измельчения. В
приложении А приведен порядок прогнозирования роста коэффициента формы после измельчения частиц пробы. Для каждого шага измельчения должны быть определены новые коэффициент формы и максимальный размер частиц для того, чтобы установить, удовлетворяет ли данный шаг
формуле (2). Коэффициент формы можно всегда принимать равным 1,00. Это потребует дополнительного измельчения пробы, но упрощает процедуру и не влияет на прецизионность.
6.4. Шаг 3: выполнение плана подготовки пробы
На третьем шаге выполняется подготовка пробы по плану.
В ходе процесса фактического приготовления пробы в любом случае должны быть выполнены следующие процедуры:
- тщательная гомогенизация материала пробы на каждом этапе;
- проверка отсутствия потерь материала;
- максимальное сокращение потери компонентов пробы. Для того чтобы избежать повреждения мельницы, можно удалить тяжелые материалы, такие как металл (сталь), но следует это зафиксировать. Протокол включает в себя массу (в процентах) и типы материалов, удаленных из пробы;
- после каждого этапа пробоподготовки масса пробы должна быть достаточной для выполнения испытаний.
7. Методы сокращения массы пробы
Количество материала, остающееся после сокращения, должно быть больше минимально необходимого количества материала в пробе.
При проведении процедуры сокращения пробы могут быть использованы следующие методы:
а) Придание пробе конической формы и квартование. Метод используется для таких материалов, как опилки, древесная щепа, которые могут быть отобраны лопатой. Он подходит для сокращения проб из этих материалов вплоть до 1 кг. Размещают объединенные пробы на твердой чистой поверхности. Собирают пробу в конус, размещая каждую порцию на поверхности предыдущей, чтобы биотопливо ссыпалось со всех сторон конуса, было случайно распределенным, и различные по размеру частицы оказались хорошо перемешаны. Повторяют этот процесс три раза, каждый раз формируя новый конус. Разравнивают третий конус, вставив лопату вертикально в верх конуса для формирования плоского навала, который имеет форму круга и толщину не более, чем лопасть лопаты. Квартуют плоский навал вдоль двух диагоналей под прямым углом, заглубляя лопату вертикально в навал (для этой операции используют поперечный лист металла, если он есть в наличии). Отбрасывают одну пару противоположных четвертей. Повторяют придание пробе конической формы и процесс квартования до того, пока не будет получена проба требуемого размера (см. рисунок 7).
Примечание - Данный метод применим только в случае непригодности остальных
методов б) -
е).
Рисунок 7 - Квартование
б) Сокращение на сократителе проб. Этот способ используется для материалов, которые могут быть пропущены через сократитель без его закупоривания. Он не подходит для материалов, содержащих удлиненные частицы, или для влажных материалов. Хрупкие материалы следует обработать осторожно вручную, чтобы избежать их измельчения. Помещают всю объединенную пробу в контейнер разделителя так, чтобы она распределилась по всему контейнеру случайным образом. Помещают два контейнера под сократителем. Выгружают содержимое контейнера в центр сократителя. Выгружать твердое топливо из бытовых отходов следует достаточно медленно, чтобы не произошло закупоривания. При выгрузке не перемещают контейнер для исключения потерь. Следует исключить из пробы материал, который попал в один из контейнеров. Повторяют процесс до тех пор, пока не будет получена выборка нужного размера. На
рисунке 2 приведен образец сократителя пробы.
в) Сокращение квартованием с применением пластин. Этот метод может быть использован, когда объединенную пробу нужно разделить на малое число лабораторных проб. Размещают общую пробу на чистой твердой поверхности и гомогенизируют ее, перемешивая совком. На поверхности материала размечают полосы, длина которых должна быть не менее чем 10:1. Помещают вертикальную пластину на каждом конце полосы. Формируют лабораторную пробу отбором, по крайней мере, 20 порций из мест, равномерно расположенных по всей длине полосы. Каждую порцию отбирают, используя две пластины, держа их вертикально к полосе и удаляя весь материал между пластинами. Две пластины располагают на одинаковом расстоянии друг от друга каждый раз так, чтобы каждая отбираемая порция содержала одинаковое количество материала. Расстояние между пластинами должно выбираться так, чтобы было обеспечено получение лабораторной пробы требуемого размера. На рисунке 8 приведено квартование с применением пластин.

1 - разовая проба; 2 - рамка для отбора проб;
3 - конечные пластины
Рисунок 8 - Сокращение квартованием с применением пластин
г) Длинный штабель. Данный метод используется для всех материалов и может быть удобным, когда объединенная проба должна быть разделена на несколько лабораторных проб. Формирование массы пробы производится аналогично методу квартования полос, как в методе перемешивания полос и сокращения с использованием пластин. Лабораторные пробы должны иметь требуемую массу. Емкости для отбора проб располагают вблизи полос. Используют лопату для отбора такого размера, чтобы каждая лабораторная проба составляла, по крайней мере, 20 заполненных лопат. Если каждая лабораторная проба имеет массу m, кг, то лопата не должна иметь вместимость более чем m/20 кг. Материал отбирают в одной части полосы, не оставляя мелкие частицы, и загружают в емкость количество материала достаточное для лабораторной пробы.
д) Ручное сокращение. Данный метод используется для гранул и другого твердого топлива из бытовых отходов с частицами малого размера, которые могут быть обработаны при помощи совка. Располагают общую пробу на чистой твердой поверхности и гомогенизируют ее, перемешивая совком. Используя совок, формируют объединенную пробу в прямоугольник высотой, не превышающей трех максимальных размеров материала, и намечают на поверхности прямоугольника с помощью совка минимум 20 порций. Используют совок и режущую пластину для отбора проб от каждой из 20 порций, вставляя совок до дна навала, и отбирают порции для формирования требуемой лабораторной пробы (см. рисунок 9).
а) Распределение измельченной пробы в прямоугольнике
с максимальной толщиной, не превышающей максимальный размер
частиц более чем в три раза
б) Разделение на 20 равных частей, например, на пять равных
частей в длину и на четыре равные части в ширину
в) Зачерпывание случайных проб из каждой из 20 частей,
совок вставляют до дна слоя пробы. Объединяют 20 зачерпов
в отдельную пробу
г) Детальное изображение отбора разовой пробы в одной
из 20 частей с использованием режущей пластины, показанной
Рисунок 9 - Ручное сокращение пробы
е) Вращающийся разделитель. Вращающийся разделитель проб используют с помощью механического метода сокращения массы пробы. Ротационный разделитель проб имеет питающее устройство, приспособленное таким образом, чтобы разделитель совершал, по крайней мере, 20 оборотов, пока проба не будет разделена. На
рисунке 3 приведен образец ротационного делителя.
8. Методы сокращения лабораторной пробы до части пробы и аналитической пробы
В
разделе 8 описаны шаги, которые должны быть проведены в ходе пробоподготовки.
8.2. Начальное разделение пробы
Если масса лабораторной пробы превышает минимально необходимую массу, то лабораторная проба может быть разделена с использованием одного из методов, описанных в
разделе 7.
8.3. Определение исходной массы
Перед любым процессом пробоподготовки, во время которого может произойти потеря влаги или пыли, определяют массу лабораторной пробы взвешиванием на весах по
ГОСТ OIML R 76-1 с точностью взвешивания не более 0,1%. Записывают эту массу как
mпр1, г.
8.4. Предварительное высушивание
Предварительное высушивание влажных проб проводят для минимизации потери влаги в последующих процессах разделения проб, для облегчения процессов подготовки проб и для минимизации биологической активности. Пробу высушивают нагреванием в сушильном шкафу до температуры не более 40 °C.
Примечание - Если содержание влаги исходного образца несущественно, например, если определяется только гранулометрический состав или специально отбирается "аналитическая проба для определения содержания влаги", вычисление потери влаги может быть опущено. В этом случае нет необходимости достигать полного равновесия с температурой и влажностью в лаборатории.
Все пробы (включая те, что высушены нагреванием) должны помещаться в лоток с глубиной слоя не более нескольких частиц. Пробы выдерживают в лаборатории, по крайней мере, 24 ч, пока они не достигнут равновесия с температурой и влажностью в лаборатории.
Для крупных материалов выдержки в течение 24 ч в лабораторных условиях для достижения равновесия содержание влаги во всех частицах недостаточно. Контроль за содержанием влаги в этом случае осуществляют путем взвешивания пробы или части пробы на электронных весах в течение периода их пребывания в лаборатории.
Пробу помещают в грубый измельчитель с ситом с отверстиями 30 мм. Сокращение может быть произведено путем альтернативного метода, описанного в
разделе 7.
Примечание - Для предотвращения потери влаги в процессе дробления, который следует проводить на минимальной скорости.
Если требуется информация о потере влаги в ходе предварительного высушивания, необходимо определить массу пробы после предварительного высушивания по
[2],
[3] или
ГОСТ 33512.3 и вычислить разницу. Используют те же весы, что и при взвешивании по
8.2, определение массы пробы производится после полного завершения процесса предварительного высушивания, фиксируют эту массу как
mпр2, г.
Вычисляют потерю влаги Mp, %, в ходе предварительного высушивания:

, (3)
где mпр1 - исходная масса пробы;
mпр2 - масса пробы после предварительного высушивания.
Результат записывают с точностью до 0,1%.
8.5. Грубое измельчение (сокращение размера частиц до 30 мм)
Если материал содержит частицы, остающиеся на 30-миллиметровом сите, то:
- используют сито с ячейками диаметром 30 мм для разделения пробы на крупную (остаток на сите с ячейками диаметром 30 мм) и мелкую фракции (прохождение через сито с ячейками диаметром 30 мм). Засоряющие пробу материалы, например, крупные частицы металла и камни, должны быть удалены из пробы перед грубым измельчением для защиты мельницы от повреждений. Некоторые материалы могут быть удалены с помощью магнита. Эти материалы должны быть взвешены, и данные занесены в протокол испытаний (см.
раздел 10);
- измельчают крупную фракцию, используя крупную мельницу для разрезания так, чтобы крупная фракция проходила через сито с ячейками диаметром 30 мм. Для некоторых типов твердого топлива из бытовых отходов перед измельчением может быть необходима предварительная обработка замораживанием. Пробу помещают в ведро, устойчивое к заморозке, и обрабатывают сухим льдом (ледяным диоксидом углерода) или жидким азотом. Сразу высыпают пробу из ведра в работающую режущую мельницу (измельчитель).
ВНИМАНИЕ! Будьте осторожны при использовании сухого льда и жидкого азота.
Примечание - В зависимости от материала могут использоваться другие мельницы, отличные от мельницы для грубого разрезания;
- гомогенизируют пробу крупной и мелкой фракций.
Вышеупомянутые процедуры могут быть использованы для сокращения размера частиц менее 30 мм с использованием соответствующих мельниц для разрезания и сит.
Примечание - Размалывая пробу на мельнице с ситом, можно получить частицы требуемого размера с одновременной гомогенизацией пробы.
8.6. Сокращение массы материала с размером частиц менее 30 мм
Для сокращения массы пробы может быть использован один из ручных методов, описанных ниже. Массы проб, полученные при сокращении, должны удовлетворять требованиям, установленным в
таблице 1а.
Для взвешивания используют весы точностью до 0,1% массы.
Определяют массы контейнеров, в которые должна быть помещена проба до начала разделения.
Метод сокращения массы должен быть выбран по
разделу 7.
Следует сразу заполнить контейнер. Если часть пробы требуется для определения содержания влаги или другого испытания, то потеря влаги недопустима.
Определяют массу каждой части пробы и записывают эту массу как mч.пр1.
Если часть пробы используется как исследуемая часть, она должна быть массой не менее чем минимальная масса, указанная в соответствующем методе испытания.
8.7. Измельчение материала с размером частиц от 30 до 1 мм и менее
Когда требуется проба материала с максимальным размером частиц около 1 мм, измельчение проводят в мельнице для разрезания. Если необходимо, процесс проводят в несколько этапов с использованием более мелких сит на каждом этапе, завершая ситом с требуемым размером ячейки.
Размол или резка до номинального размера 1 мм могут вызвать проблемы из-за некоторых трудноразмалываемых материалов и выделения большого количества тепла при измельчении. Мелкие частицы требуют большего количества энергии для измельчения, чем более крупные частицы. Нагрев влияет на состав пробы и может вызвать потерю веществ (например, ртути). В этом случае размол или резка материала пробы должны проводиться в криогенных условиях (замороженном состоянии). При температуре пробы выше 70 °C измельчение должно быть выполнено в криогенных условиях.
Мельницы или резаки должны быть пригодны для размола и резки при низких температурах. Охлаждение должно проводиться либо при помощи сухого льда (-79 °C), либо жидкого азота (-196 °C). Пробу смешивают или погружают в хладагент. В некоторых случаях необходимо охладить мельницу или резак так же, как и охлаждающую среду для сохранения достаточно низкой температуры.
Другим методом предотвращения повышения температуры является понижение пропускной способности мельницы или резака. Этот метод также может быть применен, если температура материала не повышается более чем на 70 °C.
Примечания
1 В зависимости от материала может быть использована мельница, отличная от режущей мельницы.
2 При измельчении всей пробы через мельницу с ситом получаем частицы необходимого размера, а также одновременно гомогенизируем пробу.
Пример - Если проба должна быть сокращена сперва рассевом на 5-миллиметровом сите и затем - на 1-миллиметровом сите, необходимо:
- использовать 5-миллиметровое сито для разделения пробы на крупную фракцию (оставшуюся на 5-миллиметровом сите) и мелкую фракцию (прошедшую через 5-миллиметровое сито);
- размолоть крупную фракцию, используя мельницу, оборудованную 5-миллиметровым ситом;
- гомогенизировать пробы крупной и мелкой фракции;
- использовать 1-миллиметровое сито для разделения пробы на крупную фракцию (оставшуюся на 1-миллиметровом сите) и мелкую фракцию (прошедшую через 1-миллиметровое сито);
- размолоть крупную фракцию, используя мельницу, оборудованную 1-миллиметровым ситом;
- гомогенизировать пробы крупной и мелкой фракции.
При измельчении материала, содержащего гранулы или очень длинные частицы, возможно их застревание в мельнице или сите. Поэтому после окончания размалывания мельницу очищают. Выделенные частицы перетирают вручную до тех пор, пока они не пройдут через сито, и добавляют материал к пробе.
Пробу разравнивают в лотке не более чем в несколько миллиметров глубиной, оставляют ее по крайней мере на 4 ч для достижения равновесия с температурой и влажностью лаборатории.
Проба, подготовленная методом, описанным в данном пункте, может быть использована как аналитическая проба, в этом случае ее масса должна быть рассчитана по
таблице 2.
Материал, который был подвергнут операциям измельчения, описанным в данном пункте, не может быть использован для определения общей влаги в топливе.
8.8. Сокращение массы материала с размером частиц до 1 мм
Гомогенизировать материал в емкости перемешиванием шпателем для отбора требуемого количества.
При возможности засорения пробы (песок и пр.) необходимо провести разделение пробы с использованием разделителя. Размер пробы, отобранной для дальнейшего размалывания, должен быть достаточно большим, чтобы обеспечить репрезентативность.
8.9. Сокращение массы материала с размером частиц от 1 до 0,25 мм
Когда требуется проба с максимальным размером частиц 0,25 мм, используют мельницу для уменьшения части материала пробы до необходимого размера. Перемалывание материала осуществляется малыми порциями для предотвращения увеличения генерации тепла (каждая порция рассеивается на 0,25 мм сите).
Примечание - В зависимости от материала могут использоваться другие мельницы, отличные от мельницы для измельчения удлиненных частиц.
9. Хранение и маркировка пробы
Пробы хранят в плотно закрытых контейнерах. Каждая проба должна быть маркирована уникальным идентификационным кодом, содержащим код пробы, из которой она была получена.
Протокол испытаний должен содержать, как минимум, следующую информацию:
- ссылку на настоящий стандарт;
- дату получения лабораторией образцов и даты проведения испытаний (начало и конец);
- полную идентификацию лабораторной пробы;
- план пробоподготовки;
- идентификацию используемых оборудования и инструментов;
- вес лабораторной пробы и материалов, исключенных из пробы в процессе пробоподготовки, например, камни или металлы (взвешенные и записанные);
- любые отклонения от метода испытаний и причины этих отклонений вместе со всеми обстоятельствами, которые повлияли на результат.
Результаты испытаний твердого топлива из бытовых отходов обычно используют в рамках правового регулирования или во исполнение договорных обязательств. В таких ситуациях необходимо знать значения неопределенностей результатов испытаний.
Данные по неопределенности были получены в рамках исследования, результаты которого можно найти в [
5,
6].
Результаты данных исследований не могут быть применены в качестве нормативных данных по двум причинам:
1) правильность измерений твердого топлива из бытовых отходов не может быть определена однозначно из-за его различного состава;
2) стандартные образцы должны быть подготовлены для твердого топлива из бытовых отходов каждого типа.
Таким образом, данные по точности испытаний твердого топлива из бытовых отходов отражены только в
приложении Г.
(обязательное)
ОПРЕДЕЛЕНИЕ ИЗМЕНЕНИЯ КОЭФФИЦИЕНТА ФОРМЫ ЧАСТИЦ
А.1 Введение
В данном приложении определяется изменение коэффициента формы частиц в процессе измельчения.
Изменение коэффициента формы частиц существенно влияет на минимальный размер пробы для материалов, у которых этот коэффициент меньше 1,0. Эта корректировка будет необходима только для твердого топлива из бытовых отходов с большим размером частиц.
А.2 Общие положения
В А.3 описано как изменяется коэффициент формы частиц в зависимости от процесса измельчения.
А.3 Методика
| | ИС МЕГАНОРМ: примечание. В официальном тексте документа, видимо, допущена опечатка: пункт А.4 отсутствует. | |
В А.4 описана методика прогнозирования изменения коэффициента формы после измельчения. В
таблице А.1 приводится прогноз коэффициента формы частиц после измельчения, основанный на коэффициенте формы до измельчения, общем коэффициенте формы частиц и на количестве этапов уменьшения размера частиц в процессе измельчения. Реальный анализ коэффициента формы выполняется в соответствии с
приложением Б.
Необходимо учитывать, что:
а) в
таблице А.1 приведены не все возможные результаты, и поэтому в некоторых случаях промежуточные значения должны оцениваться путем округления;
| | ИС МЕГАНОРМ: примечание. В официальном тексте документа, видимо, допущена опечатка: имеется в виду таблица А.1, а не таблица 2. | |
б) значения в
таблице установлены для частиц с конкретными размерами, которые служат моделью для конкретного типа частиц (плоские или удлиненные). В действительности, важен не только тип частиц, но и их реальные размеры. Для плоских частиц длина и ширина, например, всегда считаются равными, что не всегда соответствует действительности. Данное предположение обычно не является проблемой, т.к. состав твердого топлива из бытовых отходов часто настолько гетерогенен, что можно только примерно оценить размеры частиц. Значения для смешанной/средней формы частиц в
таблице 2 были рассчитаны путем приближения значений для крайних форм;
в) для коэффициента формы f = 0,25 не были включены смешанные/средние типы формы, а для коэффициента формы f = 0,50 - 1 не были учтены различия между типами формы. Влияние типа формы снижается при увеличении коэффициента формы и поэтому не имеет значения при больших значениях последнего.
Таблица А.1
Коэффициент формы частиц после измельчения
Коэффициент формы частиц до измельчения, f0 | Общая форма частиц | Число измельчений d95 (n) |
2 | 3 | 4 | 5 | 6 | 7 | 8 | 9 | 10 | 20 | 30 | 40 | 50 | 100 |
0,01 | Плоская | 0,02 | 0,03 | 0,04 | 0,05 | 0,06 | 0,07 | 0,08 | 0,09 | 0,10 | 0,20 | 0,30 | 0,40 | 0,50 | 1,00 |
Смешанная/средняя | 0,03 | 0,06 | 0,10 | 0,15 | 0,21 | 0,28 | 0,36 | 0,45 | 0,55 | 0,60 | 0,65 | 0,70 | 0,75 | 1,00 |
Удлиненная/игольчатая | 0,04 | 0,09 | 0,16 | 0,25 | 0,36 | 0,49 | 0,64 | 0,81 | 1,00 | 1,00 | 1,00 | 1,00 | 1,00 | 1,00 |
0,02 | Плоская | 0,04 | 0,06 | 0,08 | 0,10 | 0,12 | 0,14 | 0,16 | 0,18 | 0,20 | 0,40 | 0,60 | 0,80 | 1,00 | 1,00 |
Смешанная/средняя | 0,06 | 0,12 | 0,20 | 0,30 | 0,42 | 0,56 | 0,58 | 0,59 | 0,60 | 0,70 | 0,80 | 0,90 | 1,00 | 1,00 |
Удлиненная/игольчатая | 0,08 | 0,18 | 0,32 | 0,50 | 0,72 | 0,98 | 1,00 | 1,00 | 1,00 | 1,00 | 1,00 | 1,00 | 1,00 | 1,00 |
0,04 | Плоская | 0,08 | 0,12 | 0,16 | 0,20 | 0,24 | 0,28 | 0,32 | 0,36 | 0,40 | 0,80 | 1,00 | 1,00 | 1,00 | 1,00 |
Смешанная/средняя | 0,12 | 0,24 | 0,40 | 0,60 | 0,62 | 0,64 | 0,66 | 0,68 | 0,70 | 0,90 | 1,00 | 1,00 | 1,00 | 1,00 |
Удлиненная/игольчатая | 0,16 | 0,36 | 0,64 | 1,00 | 1,00 | 1,00 | 1,00 | 1,00 | 1,00 | 1,00 | 1,00 | 1,00 | 1,00 | 1,00 |
0,05 | Плоская | 0,10 | 0,15 | 0,20 | 0,25 | 0,30 | 0,35 | 0,40 | 0,45 | 0,50 | 1,00 | 1,00 | 1,00 | 1,00 | 1,00 |
Смешанная/средняя | 0,15 | 0,30 | 0,50 | 0,63 | 0,65 | 0,68 | 0,70 | 0,73 | 0,75 | 1,00 | 1,00 | 1,00 | 1,00 | 1,00 |
Удлиненная/игольчатая | 0,20 | 0,45 | 0,80 | 1,00 | 1,00 | 1,00 | 1,00 | 1,00 | 1,00 | 1,00 | 1,00 | 1,00 | 1,00 | 1,00 |
0,10 | Плоская | 0,20 | 0,30 | 0,40 | 0,50 | 0,60 | 0,70 | 0,80 | 0,90 | 1,00 | 1,00 | 1,00 | 1,00 | 1,00 | 1,00 |
Смешанная/средняя | 0,30 | 0,60 | 0,70 | 0,75 | 0,80 | 0,85 | 0,90 | 0,95 | 1,00 | 1,00 | 1,00 | 1,00 | 1,00 | 1,00 |
Удлиненная/игольчатая | 0,40 | 0,90 | 1,00 | 1,00 | 1,00 | 1,00 | 1,00 | 1,00 | 1,00 | 1,00 | 1,00 | 1,00 | 1,00 | 1,00 |
0,15 | Плоская | 0,30 | 0,45 | 0,60 | 0,75 | 0,90 | 1,00 | 1,00 | 1,00 | 1,00 | 1,00 | 1,00 | 1,00 | 1,00 | 1,00 |
Смешанная/средняя | 0,45 | 0,72 | 0,80 | 0,87 | 0,95 | 1,00 | 1,00 | 1,00 | 1,00 | 1,00 | 1,00 | 1,00 | 1,00 | 1,00 |
Удлиненная/игольчатая | 0,60 | 1,00 | 1,00 | 1,00 | 1,00 | 1,00 | 1,00 | 1,00 | 1,00 | 1,00 | 1,00 | 1,00 | 1,00 | 1,00 |
0,20 | Плоская | 0,40 | 0,60 | 0,80 | 1,00 | 1,00 | 1,00 | 1,00 | 1,00 | 1,00 | 1,00 | 1,00 | 1,00 | 1,00 | 1,00 |
Смешанная/средняя | 0,60 | 0,80 | 0,90 | 1,00 | 1,00 | 1,00 | 1,00 | 1,00 | 1,00 | 1,00 | 1,00 | 1,00 | 1,00 | 1,00 |
Удлиненная/игольчатая | 0,80 | 1,00 | 1,00 | 1,00 | 1,00 | 1,00 | 1,00 | 1,00 | 1,00 | 1,00 | 1,00 | 1,00 | 1,00 | 1,00 |
0,25 | Плоская | 0,50 | 0,75 | 1,00 | 1,00 | 1,00 | 1,00 | 1,00 | 1,00 | 1,00 | 1,00 | 1,00 | 1,00 | 1,00 | 1,00 |
Удлиненная/игольчатая | 1,00 | 1,00 | 1,00 | 1,00 | 1,00 | 1,00 | 1,00 | 1,00 | 1,00 | 1,00 | 1,00 | 1,00 | 1,00 | 1,00 |
0,50 | Все формы | 1,00 | 1,00 | 1,00 | 1,00 | 1,00 | 1,00 | 1,00 | 1,00 | 1,00 | 1,00 | 1,00 | 1,00 | 1,00 | 1,00 |
0,75 | 1,00 | 1,00 | 1,00 | 1,00 | 1,00 | 1,00 | 1,00 | 1,00 | 1,00 | 1,00 | 1,00 | 1,00 | 1,00 | 1,00 |
1 | 1,00 | 1,00 | 1,00 | 1,00 | 1,00 | 1,00 | 1,00 | 1,00 | 1,00 | 1,00 | 1,00 | 1,00 | 1,00 | 1,00 |
(обязательное)
ОПРЕДЕЛЕНИЕ КОЭФФИЦИЕНТА ФОРМЫ ЧАСТИЦ
Б.1 Введение
Данное приложение устанавливает метод определения коэффициента формы частиц.
Изменение коэффициента формы частиц существенно влияет на минимальный размер пробы для материалов, у которых этот коэффициент меньше 1,0. Корректировка необходима только для твердого топлива из бытовых отходов и пуха с большим размером частиц.
Б.2 Методика
Если тип твердого топлива из бытовых отходов - пух, коэффициент формы частиц s корректирует минимальный размер пробы, т.к. материалы не зернистые и часто состоят из плоских кусков. Для твердого топлива из бытовых отходов в виде пеллетов, которые практически гранулированы, этот метод не предусматривает поправки (для твердого топлива из бытовых отходов в виде пеллетов значение s равно 1,0).
Для материалов типа пуха для определения коэффициента формы частиц s используется следующее уравнение

, (Б.1)
где s - коэффициент формы частиц, мм3/мм3;
V95 - максимальный объем частиц пуха (масса фракции частиц меньше V95 95%), мм3 (где V = lbh);
d95,l - максимальная длина частиц пуха (масса фракции частиц меньше d95,l 95%), мм.
Коэффициент формы не постоянен и зависит от типа материала.
(справочное)
ПРИМЕРЫ ПРИГОТОВЛЕНИЯ ПРОБ
В.1 Введение
В данном приложении приведены два примера применения данного стандарта.
В.2 Пример 1: пеллеты
Перерабатывающий завод, использующий несколько типов отходов, остатков от промышленности, выпускает пеллеты с максимальным размером частиц 20 мм. Так как компоненты в продуктах уже обработаны в процессе измельчения, большинство частиц внутри пеллетов могут считаться гранулами. Коэффициент формы при этом около 1,0. Насыпная плотность 300 кг/м3 и реальная плотность частиц 0,9 г/см3. Коэффициент распределения 1,00, так как частицы равномерно распределяются по размеру. CV и p можно принять равными 0,1. Тогда минимальный размер пробы 3,4 кг или 11,3 л. Для определения хлора требуется материал с максимальным размером частиц 1,0 мм.
В таблице В.1 описаны план подготовки проб и необходимые мероприятия.
Таблица В.1
План приготовления проб
Шаг | Описание | Методы сокращения | Используемое оборудование | Масса до сокращения | Масса после сокращения | Максимальный размер до сокращения | Максимальный размер после сокращения | Коэффициент формы до сокращения | Коэффициент формы после сокращения | Масса, необходимая для анализа | Целевой продукт на этом этапе сокращения |
1 | Расщепление объединенной пробы на часть пробы для последующей подготовки и часть необработанной пробы | Сокращение массы | - | 4,4 кг | 3,4 кг | 20 мм | 20 мм | 1,0 | 1,0 | 1 кг | Определение насыпной массы, прочности гранул, гранулометрического состава и т.д. |
2 | Измельчение с целью добиться дальнейшего уменьшения массы и/или сделать возможным разделение | Измельчение до 30 мм и менее | - | - | - | - | - | - | - | - | - |
3 | Сокращение и/или расщепление пробы с целью последующего измельчения и/или с целью сделать возможным разделение | Сокращение массы | - | - | - | - | - | - | - | - | Часть пробы для определения гранулометрического состава, устойчивости к истиранию, содержания влаги и т.д. |
4 | Разделение оставшейся части пробы на часть для дальнейшей подготовки и для анализа | Измельчение до 1,0 мм и менее | Режущая мельница | 4,4 кг | 4,4 кг | 20 мм | 1,0 мм | 1,0 | 1,0 | - | - |
5 | Разделение оставшейся части материала пробы на требуемые для испытаний порции | Сокращение массы | Инкрементный метод | 4,4 кг | 1,0 г | 1,0 мм | 1,0 мм | 1,0 | 1,0 | 1,0 г | Часть пробы для определения зольности, теплоты сгорания, химического анализа и т.д. |
6 | Измельчение с целью сделать возможным дальнейшее разделение | Измельчение до 0,25 мм и менее | - | - | - | - | - | - | - | - | - |
7 | Разделение оставшейся части материала пробы на требуемые для испытаний порции | Сокращение массы | - | - | - | - | - | - | - | - | Часть пробы для анализов, для которых требуется материал с частицами 0,25 мм и менее |
Примечание - Масса может удерживаться только в процессе этапа по сокращению массы, а не в ходе этапа измельчения. |
В.3 Пример 2: пух
Перерабатывающий завод, разделяющий муниципальные твердые бытовые отходы и производящий твердое топливо из бытовых отходов, которое отделяют от бумажно-пластиковой фракции переменным обдувом. Реальный размер этих фракций довольно большой (> 500 мм), твердое топливо из бытовых отходов дробится мельницей до окончательного продукта с максимальным размером частиц 300 мм. Так как компоненты продуктов в основном очень плоские, средний коэффициент формы 0,05. Насыпная плотность 90 кг/м3, а реальная плотность частиц - 0,9 кг/м3. Коэффициент распределения 0,25, так как частицы равномерно распределены по размеру. CV и p можно принять равными 0,1. Тогда минимальный размер пробы 403 кг или 1590 л. Для определения насыпной массы требуется минимум 40 кг неизмельченной пробы. Измельчитель производителя твердого топлива из бытовых отходов может уменьшать реальный размер частиц до 30 мм. Для определения ртути необходим материал с максимальным размером частиц 1,0 мм.
В таблице В.2 приведен план приготовления пробы и необходимые мероприятия.
Таблица В.2
План приготовления пробы
Шаг | Описание | Методы сокращения | Используемое оборудование | Масса до сокращения | Масса после сокращения | Максимальный размер до сокращения | Максимальный размер после сокращения | Коэффициент формы до сокращения | Коэффициент формы после сокращения | Масса, необходимая для анализа | Целевой продукт на этом этапе сокращения |
1 | Расщепление объединенной пробы на часть пробы для последующей подготовки и часть необработанной пробы | Сокращение массы | - | 183 кг | 143 кг | 300 мм | 300 мм | 0,05 | 0,05 | 40 кг | Определение насыпной массы, прочности гранул, гранулометрического состава и т.д. |
2 | Измельчение с целью добиться дальнейшего уменьшения массы и/или сделать возможным разделение | Измельчение до 30 мм и менее | Измельчитель | 143 кг | 143 кг | 300 мм | 30 мм | 0,05 | 0,5 | - | - |
3 | Сокращение и/или расщепление пробы с целью последующего измельчения и/или с целью сделать возможным разделение | Сокращение массы | - | 143 кг | 1,43 кг | 30 мм | 30 мм | 0,5 | 0,5 | - | Часть пробы для определения гранулометрического состава, устойчивости к истиранию, содержания влаги и т.д. |
4 | Разделение оставшейся части пробы на часть для дальнейшей подготовки и для анализа | Измельчение до 1,0 мм и менее | Режущая мельница | 1,43 кг | 1,43 кг | 30 мм | 1,0 мм | 0,5 | 1,0 | - | - |
5 | Разделение оставшейся части материала пробы на требуемые для испытаний порции | Сокращение массы | Инкрементный метод | 1,43 кг | 1,0 г | 1,0 мм | 1,0 мм | 1,0 | 1,0 | 1,0 г | Часть пробы для определения зольности, теплоты сгорания, химического анализа и т.д. |
6 | Измельчение с целью сделать возможным дальнейшее разделение | Измельчение до 0,25 мм и менее | - | - | - | - | - | - | - | - | - |
7 | Разделение оставшейся части материала пробы на требуемые для испытаний порции | Сокращение массы | - | - | - | - | - | - | - | - | Часть пробы для анализов, для которых требуется материал с частицами 0,25 мм и менее |
Примечание - Масса может удерживаться только в процессе этапа по сокращению массы, а не в ходе этапа измельчения. |
В.4 Большие куски твердого топлива из бытовых отходов. Измельчение и разделение частей проб
В случае наличия больших кусков в материале твердого топлива из бытовых отходов (например, измельченные шины 20 мм и спилы деревьев 500 мм) требуется их измельчение вплоть до размера гранул 0,5 мм. Следовательно, в таких случаях необходим отбор большого количества пробы (например, от 20 до 30 кг топлива из измельченных шин).
Примечание - Данный процесс пробоподготовки сложнее описанных в настоящем стандарте, поэтому требует взвешивание каждой фракции на каждом этапе процесса.
Для измельчения и сокращения проб применяют следующие этапы:
1 Получение представительной пробы и ее взвешивание. Большие куски могут содержать металлические гвозди, которые удаляются при помощи пилы.
2 Измельчение пробы с помощью шредера с применением не менее трех последовательных сит для получения пробы с размером частиц не более 10 мм.
Для измельченных шин применяют шредер с емкостью 200 кг/ч и последовательные сита 40, 20 и 10 мм. Измельчитель должен быть оборудован системой вентиляции, включая фильтр для сбора легкой фракции (волокон). Вентиляция может провоцировать поток воздуха, проходящий через измельчитель, что приводит к охлаждению системы. Металлические стержни, проходящие сквозь сита, возвращают в шредер. В результате получают пробу с размером частиц не более 10 мм.
3 Квартование пробы с размером частиц 10 мм до получения пробы весом 2,5 кг, взвешивание полученной пробы.
Примечание - Остальные фракции взвешивают и помещают на хранение.
4 Измельчение пробы с помощью того же шредера с использованием не менее двух сит, последнее из которых полностью задерживает частицы.
Примечание - Для измельченных шин обычно применяют сита с размером отверстий 6 мм и "твердого" сита (т.е. без отверстий или с отверстиями не более 0,5 мм, через которые проходит воздух или азот). Шредер оснащают системой вентиляции, включающей фильтр для улавливания волокон.
5 Квартование пробы до получения пробы весом 0,7 кг, взвешивание полученной пробы.
Примечание - Для измельченных шин проба весом 0,7 кг соответствует примерно 0,5 кг каучука. Остальные фракции взвешивают и помещают на хранение.
6 Отделение металлической фракции при помощи магнита.
Примечание - Процедуру проводят, распределив материал пробы тонким слоем на плоской поверхности и проводя магнитом над ней. Для измельченных шин это приводит к получению "резиновой фракции" и "металлической фракции". Обе фракции взвешивают.
7 Очистка легкой фракции, собранной на различных этапах, путем ее просеивания.
Примечание - Для измельченных шин это приводит к получению резинового порошка, который считают частью "резиновой фракции", и "волокнистой фракции". Обе фракции взвешивают.
8 Погружение порошкообразной пробы в жидкий азот и ее измельчение до 0,5 мм.
Примечание - Затем порошок можно разделить при помощи роторного сепаратора на части пробы, необходимые для определения требуемых компонентов. Получаемые пробы взвешивают.
9 Хранение и отправка необходимых проб для требуемых испытаний.
10 Подготовка отчета по данной пробоподготовке, включая взвешивания на различных этапах.
(справочное)
ДАННЫЕ ПО ТОЧНОСТИ ПРОБОПОДГОТОВКИ
Г.1 Введение
Точность можно разделить на правильность, повторяемость, воспроизводимость и надежность метода. Для получения данных по точности методов испытаний твердого топлива из бытовых отходов было проведено исследование. Данные по точности, описанные в настоящем приложении, отражают объединенные результаты процесса пробоподготовки, расщепления и испытания. В рамках проведенного исследования не было возможности отдельно оценить точность пробоподготовки. Подготовка каждой пробы, ее расщепление и испытание выполнялись в одной лаборатории.
Г.2 Область применения
Приложение содержит справочные данные по точности пробоподготовки при испытании твердого топлива из бытовых отходов.
Г.3 Правильность
Правильность представляет собой степень близости среднего значения, полученного на основании большой серии результатов испытаний, к принятому опорному значению. Для определения правильности необходима информация о точном составе твердого топлива из бытовых отходов до подготовки пробы. Состав отходов неизвестен по определению, а произвести достаточно большую партию (300 - 1500 т) синтетических отходов невозможно.
Г.4 Повторяемость и воспроизводимость
Проведенное исследование не включало специальных испытаний, аттестацию и надежность методов для подготовки лабораторной пробы. Проведенное исследование для
ГОСТ 33626 по методам отбора проб твердого топлива из бытовых отходов включает в себя испытания на повторяемость методов. Воспроизводимость не исследована.
В проведенном исследовании повторяемость была определена для 5 типов твердого топлива из бытовых отходов. Эти 5 типов были отобраны по 5 проб каждый из разных стран ЕС:
1) мягкие пеллеты из твердых бытовых отходов;
2) мягкие пеллеты из промышленных твердых отходов;
3) твердые пеллеты, полученные из промышленных и крупногабаритных отходов;
4) отходы добычи полезных ископаемых и индустриальные отходы;
5) мягкие пеллеты из промышленных твердых отходов (с низкой зольностью).
В таблице Г.1 представлены данные по повторяемости при измерениях твердого топлива из бытовых отходов. Измерения включают в себя пробоподготовку, расщепление и анализ. Значения для таллия не определены, потому что его содержание было ниже предела определения.
Таблица Г.1
Повторяемость и воспроизводимость
Параметр | Статистический параметр | Средний показатель, % | Верхний предел при 90%-ном доверительном интервале |
Сухое вещество | Относительная повторяемость | 0,3 | 0,6 |
Низшая теплота сгорания | То же | 4 | 8 |
Хлор | То же | 20 | 50 |
Сурьма | То же | 30 | 70 |
Мышьяк | То же | 10 | 20 |
Свинец | То же | 20 | 40 |
Кадмий | То же | 40 | 70 |
Хром | То же | 20 | 60 |
Кобальт | То же | 20 | 40 |
Медь | То же | 100 | 200 |
Марганец | То же | 10 | 20 |
Никель | То же | 40 | 100 |
Ртуть | То же | 30 | 70 |
Таллий | То же | Нет данных | Нет данных |
Ванадий | То же | 20 | 30 |
При параметре повторяемости и воспроизводимости больше 25% следует повторно отобрать пробы и провести повторные определения для той же партии.
Г.5 Надежность
Г.5.1 Общие положения
Надежностью метода называют степень устойчивости результатов испытания данным методом к воздействию внешних факторов. На методы подготовки пробы влияют 2 важных параметра: тип твердого топлива из бытовых отходов и уровень измельчения пробы.
Г.5.2 Тип твердого топлива из бытовых отходов
Тип твердого топлива из бытовых отходов оказывает огромное влияние на точность измерений. Твердое топливо из бытовых отходов с маленьким размером частиц и высокой гомогенизацией состава по объему показывают хорошие результаты по повторяемости и воспроизводимости. Твердое топливо из бытовых отходов с большим размером частиц и гетерогенным составом по объему показывает низкую повторяемость и воспроизводимость при определении микроэлементов, таких как медь, никель и ртуть. Невысокая надежность метода для твердого топлива из бытовых отходов вызвана несовершенным способом пробоподготовки для работы с разнородными материалами. Для одного и того же параметра в
таблице Г.1 наблюдается большой разброс показателей повторяемости и воспроизводимости. Такой существенный диапазон показателей вызван в основном различиями в типах испытываемого твердого топлива из бытовых отходов.
Г.5.3 Степень измельчения частиц пробы
Степень измельчения частиц пробы оказывает значительное влияние на пробу. Сокращение представительной пробы возможно лишь в том случае, если номинальный верхний размер ее частиц достаточно измельчен. Достаточная степень измельчения зависит в основном от коэффициента p. Коэффициент p характеризует фракцию частиц пробы, которые влияют на определяемое свойство. Коэффициент индивидуален для каждого состава твердого топлива из бытовых отходов и каждого свойства. Если принимаемый коэффициент p слишком большой, результаты полученных испытаний могут не попадать под нормальное распределение и иметь большое количество выбросов. Обычно коэффициент p принимают равным 0,1. Этого достаточно для объемных свойств, таких как низшая теплота сгорания, содержание углерода, водорода, зольность. Однако для определения в твердом топливе из бытовых отходов тяжелых металлов, таких как ртуть и кадмий, такое значение недостаточно. При необходимости принятия меньшего коэффициента p пробу следует измельчить.
Настоящий стандарт не описывает коэффициент, однако он входит в показатель

, используемый в
формуле (1).
| ЕН 15415-1:2011 | Топливо твердое из бытовых отходов. Определение гранулометрического состава. Часть 1. Ситовый метод для мелких частиц |
EN 15415-1:2011 | Solid recovered fuels - Determination of particle size distribution - Part 1: Screen method for small dimension particles |
| СЕН/ТС 15414-1:2006 | Топливо твердое из бытовых отходов. Определение содержания влаги высушиванием. Часть 1. Общая влага. Стандартный метод |
CEN/TS 15414-1:2006 | Solid recovered fuels - Determination of moisture content using the oven dry method - Part 1: Determination of total moisture by a reference method |
| СЕН/ТС 15414-2:2006 | Топливо твердое из бытовых отходов. Определение содержания влаги высушиванием. Часть 2. Общая влага. Ускоренный метод |
CEN/TS 15414-2:2006 | Solid recovered fuels - Determination of moisture content using the oven dry method - Part 2: Determination of total moisture by a simplified method |
| EN 15297 | CEN EN 15297 Solid biofuels - Determination of minor elements - As, Cd, Co, Cr, Cu, Hg, Mn, Mo, Ni, Pb, Sb, V and Zn Твердое биотопливо - Определение незначительных элементов - Как, Cd, Co, Cr, медь, Hg, Миннесота, Миссури, Ni, Свинец, Сб, V и Цинк |
| QUOVADIS Deliverable 4.2 - 2005 - Results of ruggedness testing of the sampling procedures. EU Project number: EIE 2003 031 - Grant Agreement EIE/031/S07.38597, Tauw BV, Deventer, 2005. |
| QUOVADIS Deliverable 4.3 - 2005 - Report on the validation of the sampling procedures including recommendations to TC 343 for the eventual revision of the TS before its upgrade to a European standard (EN). EU-Project number EIE 2003 031 - Grant Agreement EIE/031/S07.38597, Tauw BV, Deventer 2005 |