Главная // Актуальные документы // ГОСТ (Государственный стандарт)СПРАВКА
Источник публикации
М.: Стандартинформ, 2016
Примечание к документу
Документ
введен в действие с 1 сентября 2016 года.
Название документа
"ГОСТ 33419-2015. Межгосударственный стандарт. Методы испытаний химической продукции, представляющей опасность для окружающей среды. Определение поверхностного натяжения водных растворов"
(введен в действие Приказом Росстандарта от 21.10.2015 N 1608-ст)
"ГОСТ 33419-2015. Межгосударственный стандарт. Методы испытаний химической продукции, представляющей опасность для окружающей среды. Определение поверхностного натяжения водных растворов"
(введен в действие Приказом Росстандарта от 21.10.2015 N 1608-ст)
агентства по техническому
регулированию и метрологии
от 21 октября 2015 г. N 1608-ст
МЕЖГОСУДАРСТВЕННЫЙ СТАНДАРТ
МЕТОДЫ ИСПЫТАНИЙ ХИМИЧЕСКОЙ ПРОДУКЦИИ,
ПРЕДСТАВЛЯЮЩЕЙ ОПАСНОСТЬ ДЛЯ ОКРУЖАЮЩЕЙ СРЕДЫ
ОПРЕДЕЛЕНИЕ ПОВЕРХНОСТНОГО НАТЯЖЕНИЯ ВОДНЫХ РАСТВОРОВ
Testing of chemicals of environmental hazard.
Determination of the surface tension of aqueous solutions
(OECD, Test No. 115:1995, MOD)
ГОСТ 33419-2015
Группа Т58
Дата введения
1 сентября 2016 года
Цели, основные принципы и основной порядок проведения работ по межгосударственной стандартизации установлены
ГОСТ 1.0-92 "Межгосударственная система стандартизации. Основные положения" и
ГОСТ 1.2-2009 "Межгосударственная система стандартизации. Стандарты межгосударственные, правила и рекомендации по межгосударственной стандартизации. Правила разработки, принятия, применения, обновления и отмены".
1 ПОДГОТОВЛЕН Межгосударственным техническим комитетом по стандартизации 339 "Безопасность сырья, материалов и веществ" на основе собственного аутентичного перевода на русский язык международного документа, указанного в
пункте 5
2 ВНЕСЕН Федеральным агентством по техническому регулированию и метрологии (Росстандарт)
3 ПРИНЯТ Межгосударственным советом по стандартизации, метрологии и сертификации (протокол от 22 июля 2015 г. N 78-П)
За принятие проголосовали:
Краткое наименование страны по МК (ИСО 3166) 004-97 | Код страны по МК (ИСО 3166) 004-97 | Сокращенное наименование национального органа по стандартизации |
Армения | AM | Минэкономики Республики Армения |
Беларусь | BY | Госстандарт Республики Беларусь |
Казахстан | KZ | Госстандарт Республики Казахстан |
Киргизия | KG | Кыргызстандарт |
Россия | RU | Росстандарт |
Таджикистан | TJ | Таджикстандарт |
4
Приказом Федерального агентства по техническому регулированию и метрологии от 21 октября 2015 г. N 1608-ст межгосударственный стандарт ГОСТ 33419-2015 введен в действие в качестве национального стандарта Российской Федерации с 1 сентября 2016 г.
5 Настоящий стандарт модифицирован по отношению к международному документу OECD, Test N 115:1995 Surface Tension of Aqueous Solutions (ОЭСР, Тест N 115:1995 Поверхностное натяжение водных растворов) путем изменения структуры. Сравнение структуры международного документа со структурой настоящего стандарта приведено в дополнительном
приложении ДА.
Наименование настоящего стандарта изменено относительно наименования международного документа для приведения в соответствие с ГОСТ 1.5
(пункт 3.5).
Перевод с английского языка (en).
Степень соответствия - модифицированная (MOD)
6 ВВЕДЕН ВПЕРВЫЕ
Информация об изменениях к настоящему стандарту публикуется в ежегодном информационном указателе "Национальные стандарты", а текст изменений и поправок - в ежемесячном информационных указателе "Национальные стандарты". В случае пересмотра (замены) или отмены настоящего стандарта соответствующее уведомление будет опубликовано в ежемесячном информационном указателе "Национальные стандарты". Соответствующая информация, уведомление и тексты размещаются также в информационной системе общего пользования - на официальном сайте Федерального агентства по техническому регулированию и метрологии в сети Интернет (www.gost.ru).
1.1 Настоящий стандарт устанавливает метод определения поверхностного натяжения водных растворов различных химических веществ.
1.2 Метод, представленный в настоящем стандарте, может использоваться для большинства химических веществ независимо от степени их чистоты.
В настоящем стандарте применен термин с соответствующим определением:
2.1 поверхностное натяжение (Surface tension): Свободная поверхностная энтальпия единицы площади поверхности жидкости.
Примечание - Единицей измерения поверхностного натяжения в системе СИ является ньютон на метр, Н/м. На практике используют производную единицу измерения мН/м = 10-3 Н/м. В устаревшей системе единиц СГС 10-3 Н/м = 1 дин/см.
Использование стандартных веществ во всех случаях при испытании нового вещества не требуется. Использование стандартных веществ необходимо для периодической калибровки и верификации оборудования и возможности сопоставления результатов в случае применения разных методов. Перечень стандартных веществ с широким диапазоном значений поверхностного натяжения приведен в
[4].
4.1 Методы определения поверхностного натяжения основаны на измерении силы, которую необходимо приложить в вертикальном направлении к скобе (или кольцу), находящейся на поверхности жидкости, для ее отделения от поверхности, или к пластине, грань которой контактирует с поверхностью жидкости, для вытягивания образующейся пленки.
4.2 Испытание не требуется проводить для веществ с растворимостью менее 1 мг/л. Измерение поверхностного натяжения с использованием кольцевого тензиометра возможно только для водных растворов с динамической вязкостью менее 200 мПа·с.
5.1 Информация об исследуемом веществе
Для исследуемого вещества должны быть известны его структурная формула, растворимость в воде, устойчивость к гидролизу и критическая концентрация мицеллообразования.
Полное описание метода представлено в ИСО 304:1985
[2].
Полное описание метода представлено в ИСО 304:1985
[2].
Полное описание метода представлено в ИСО 304:1985
[2].
5.5 Гармонизированный метод с кольцом (метод ОЭСР)
Данный метод основан на ИСО 304-1985
[2], DIN 53914
[5], ASTM-D-1590
[6] и ASTM-D-1331
[7].
5.6.1 Для проведения испытания используют доступные виды тензиометров. Тензиометры состоят из следующих элементов:
- подвижный столик для пробы;
- система для измерения силы;
- измерительный элемент (кольцо);
- измерительный сосуд.
5.6.2 Подвижный столик для пробы используется в качестве опоры для измерительного сосуда. Вместе с системой для измерения силы он размещается на подставке.
5.6.3 Система для измерения силы располагается выше столика для пробы. Погрешность измерения силы не должна превышать +/- 10
6 Н, что соответствует пределу погрешности +/- 0,1 мг при измерении массы. В большинстве доступных тензиометров измерительная шкала откалибрована в мН/м, и поверхностное натяжение следует считывать с точностью 0,1 мН/м.
5.6.4 Кольцо обычно изготавливают из платиново-иридиевой проволоки толщиной примерно 0,4 мм и средним периметром примерно 60 мм. Кольцо подвешивается горизонтально с помощью металлического штифта и проволочного монтажного кронштейна для установления соединения с системой для измерения силы (рисунок 1). Если кольцо не находится в горизонтальном положении, то может быть получен ошибочный результат
[8].
1 - штифт; 2 - поддерживающий кронштейн; 3 - кольцо
Рисунок 1 - Система для измерения силы
(все размеры выражены в мм)
5.6.5 Измерительный сосуд, содержащий исследуемый раствор, представляет собой стеклянный сосуд с системой контроля температуры. Сосуд должен быть сконструирован таким образом, чтобы во время испытания температура исследуемого раствора и газовой фазы, находящейся над его поверхностью, оставалась постоянной и исследуемый раствор не испарялся. Подходящими являются цилиндрические стеклянные сосуды с внутренним диаметром не менее 45 мм.
5.7 Подготовка оборудования
5.7.1 Очистка
5.7.1.1 Измерительный сосуд следует тщательно очистить. При необходимости его промывают горячей сульфохромовой смесью, а затем концентрированной фосфорной кислотой (с массовой долей H
3PO
4 83 - 98%), тщательно промывают проточной водой и окончательно промывают бидистиллированной водой до получения нейтральной реакции. Затем высушивают или промывают исследуемым раствором.
5.7.1.2 Кольцо сначала тщательно промывают водой для удаления любых растворимых в воде веществ, кратковременно погружают в сульфохромовую смесь, промывают бидистиллированной водой до получения нейтральной реакции и затем нагревают над пламенем метанола.
5.7.1.3 Вещества, которые не растворяются или не разрушаются под действием сульфохромовой смеси или фосфорной кислоты, например силиконы, удаляют с помощью подходящего органического растворителя.
5.7.2 Нивелирование прибора
Прибор следует уравновесить, например, с помощью спиртового уровня в основании тензиометра или настройкой регулировочных винтов. Кольцо устанавливают на прибор так, чтобы оно было параллельно поверхности жидкости. Поверхность жидкости в данном случае можно использовать как зеркало. До погружения кольца в жидкость показание тензиометра устанавливают на ноль. Калибровку проводят с использованием массы или воды.
5.7.3 Калибровка по массе
Рейтер известной массы в диапазоне от 0,1 до 1,0 г помещают на кольцо. Поправочный коэффициент

, на который умножают все показания прибора, определяют по соотношению:

, (1)
где

, (2)
где m - масса рейтера, г;
g - ускорение свободного падения (981 см·с-2 на уровне моря);
b - средний периметр кольца, см;

- показание тензиометра после помещения рейтера на кольцо, мН/м.
5.7.4 Калибровка с использованием воды
Калибровка с использованием чистой воды выполняется быстрее, чем калибровка по известной массе, но имеется опасность изменения поверхностного натяжения воды (72,3 мН/м при 23 °C) под действием следовых количеств примесей, например, поверхностно-активных веществ. Поправочный коэффициент

определяется по соотношению:

, (3)
где

- значение поверхностного натяжения воды в соответствии с литературными данными, мН/м;

- измеренное значение поверхностного натяжения воды, мН/м.
Оба показателя определяются при одной и той же температуре.
5.8.1 Готовят раствор исследуемого вещества в дистиллированной воде. Концентрация раствора должна составлять 90% от концентрации насыщения, но если такая концентрация превышает 1 г/л, то в испытании используют концентрацию 1 г/л.
5.8.2 Измерению может помешать загрязнение пылью и парами других веществ. В связи с этим измерение следует проводить под защитным колпаком.
5.9 Условия проведения испытания
Измерение проводится при температуре примерно 20 °C. Температуру контролируют с точностью +/- 0,5 °C.
Исследуемый раствор переносят в измерительный сосуд, не допуская образования пены. Следует зарегистрировать время с момента переноса исследуемого раствора в измерительный сосуд. Измерительный сосуд помещают на подвижный столик. Измерительный сосуд поднимают до тех пор, пока кольцо не будет погружено ниже поверхности исследуемого раствора. Затем поверхность столика постепенно и равномерно опускают со скоростью примерно 0,5 см/мин для отделения кольца от поверхности до достижения максимальной силы. Показание силы считывают на тензиометре. Слой жидкости, соединенный с кольцом, не должен отделяться от кольца. После окончания первого измерения испытания повторяют до достижения постоянного значения поверхностного натяжения.
7 Данные и отчет о проведении испытания
7.1.1 Для расчета поверхностного натяжения значение, считанное с прибора в мН/м, сначала умножают на поправочный коэффициент

или

в зависимости от использованной методики калибровки. Полученное значение следует рассматривать как приблизительное и требующее поправки. Эмпирическим путем были установлены поправочные коэффициенты, зависящие от размеров кольца, плотности жидкости и ее поверхностного натяжения (таблицы Харкинса - Джордана)
[9]. Поскольку определение поправочного коэффициента для каждого отдельного испытания по таблицам Харкинса - Джордана является трудоемким, то следует использовать упрощенную методику, применимую к водным растворам. Она состоит в принятии скорректированных значений поверхностного натяжения из таблицы 1, приведенной ниже. Следует использовать интерполяцию для показаний в диапазоне табличных данных. Таблица составлена на основе корректировки Харкинса - Джордана. Таблица аналогична таблице, представленной в DIN 53914
[5] для воды и водных растворов (плотность

) и для промышленно доступного кольца, имеющего средний радиус кольца 9,55 мм и радиус проволоки кольца 0,185 мм. В таблице 1 приведены скорректированные значения измерений, установленные после калибровки по массе или воде.
Таблица 1
Корректировка измеряемого поверхностного натяжения
Значение, установленное при испытании  , мН/м | Скорректированное значение  , мН/м |
Калибровка по воде | Калибровка по массе |
20 | 18,1 | 16,9 |
22 | 20,1 | 18,7 |
24 | 22,1 | 20,6 |
26 | 24,1 | 22,4 |
28 | 26,1 | 24,3 |
30 | 28,1 | 26,2 |
32 | 30,1 | 28,1 |
34 | 32,1 | 29,9 |
36 | 34,1 | 31,8 |
38 | 36,1 | 33,7 |
40 | 38,2 | 35,6 |
42 | 40,3 | 37,6 |
44 | 42,3 | 39,5 |
46 | 44,4 | 41,4 |
48 | 46,5 | 43,4 |
50 | 48,6 | 45,3 |
52 | 50,7 | 47,3 |
54 | 52,8 | 49,3 |
56 | 54,9 | 51,2 |
58 | 57,0 | 53,2 |
60 | 59,1 | 55,2 |
62 | 61,3 | 57,2 |
64 | 63,4 | 59,2 |
66 | 65,5 | 61,2 |
68 | 67,7 | 63,2 |
70 | 69,9 | 65,2 |
72 | 72,0 | 67,2 |
74 | - | 69,2 |
76 | - | 71,2 |
78 | - | 73,2 |
Примечание - Только для водных растворов,  , R = 9,55 мм (средний радиус кольца), r = 0,185 мм (радиус проволоки кольца). |
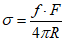
7.1.2 В альтернативном случае без предварительной калибровки поверхностное натяжение следует рассчитывать по следующему соотношению:

, (4)
где F - сила, измеренная на динамометре в момент отрыва кольца;
R - радиус кольца;
f - поправочный коэффициент
[9],
[10].
7.2 Отчет о проведении испытания
Отчет об испытании должен содержать следующую информацию:
- метод испытания;
- тип воды или раствора, используемого для проведения испытания;
- информация об исследуемом веществе (химическая идентификация, примеси);
- результаты измерения: индивидуальные показания, их среднее арифметическое значение и среднее скорректированное значение;
- концентрация тестируемого раствора;
- температура проведения испытания;
- время с момента приготовления раствора до проведения измерения;
- описание зависимости измеренного поверхностного натяжения от времени после переноса раствора в измерительный сосуд;
- вся информация и примечания, имеющие значение для интерпретации результатов, в частности, в отношении примесей и физического состояния вещества.
(справочное)
СРАВНЕНИЕ СТРУКТУРЫ МЕЖДУНАРОДНОГО ДОКУМЕНТА
СО СТРУКТУРОЙ НАСТОЯЩЕГО СТАНДАРТА
Таблица ДА.1
Структура международного документа | Структура межгосударственного стандарта |
Раздел 1 | - |
Раздел 2 | |
Раздел 3 | |
Раздел 4 | |
Раздел 5 | |
Раздел 6 | |
Раздел 7 | |
Раздел 8 | |
Раздел 9 | |
Раздел 10 | |
Раздел 11 | |
Раздел 12 | |
Раздел 13 | |
Раздел 14 | |
Раздел 15 | |
Раздел 16 | |
Раздел 17 | |
Раздел 18 | |
Раздел 19 | |
Раздел 20 | |
Раздел 21 | |
Раздел 22 | |
Раздел 23 | |
Раздел 24 | |
Раздел 25 | |
Раздел 26 | |
Раздел 27 | |
Литература | |
[1] | | Official Journal of the European Communities L 383 A, 47-53 (1992) (Официальный журнал европейской комиссии) |
| ISO 304:1985 | Surface-active agents - Determination of surface tension by drawing up liquid films (Вещества поверхностно-активные. Определение поверхностного натяжения путем вытягивания жидких пленок) |
[3] | | Weissberger R., ed. (1959). Technique of Organic Chemistry, Vol. I, Part I, Physical Methods of Organic Chemistry, Chapter XIV, 3rd ed., Interscience Publ., New York (Методы органической химии. Часть 1. Физические методы органической химии) |
| | Pure Appl. Chem. 91976, 48, 511 (Теоретическая прикладная химия) |
| DIN 53914:1997 |  von Tensiden; Bestimmung der  (Испытание поверхностно-активных веществ, определение поверхностного натяжения) |
| ASTM D 1590:1977 | Test Methods for Surface Tension of Water and Waste Water (Методы испытаний поверхностного натяжения воды и сточных вод) |
| ASTM D 1331:2001 | Standard Test Methods for Surface and Interfacial Tension of Solutions of Surface-Active Agents (Стандартные методы испытаний поверхностного и межфазного натяжения в растворах поверхностно-активных веществ) |
| | Gaonkar and Neuman (1984). J. Colloid. Interface Sci., 98, 112 |
| | Harkins W.D. and Jordan H.F. (1930). J. Amer. Chem. Soc., 52, 1751 |
| | Fox H.W. and Chrismann C.H. (1952). J. Phys. Chem., 56, 284 |