Главная // Актуальные документы // ГОСТ (Государственный стандарт)СПРАВКА
Источник публикации
М.: Стандартинформ, 2016
Примечание к документу
Документ
введен в действие с 1 марта 2017 года.
Название документа
"ГОСТ 27.507-2015. Межгосударственный стандарт. Надежность в технике. Запасные части, инструменты и принадлежности. Оценка и расчет запасов"
(введен в действие Приказом Росстандарта от 09.06.2016 N 580-ст)
"ГОСТ 27.507-2015. Межгосударственный стандарт. Надежность в технике. Запасные части, инструменты и принадлежности. Оценка и расчет запасов"
(введен в действие Приказом Росстандарта от 09.06.2016 N 580-ст)
по техническому регулированию
и метрологии
от 9 июня 2016 г. N 580-ст
МЕЖГОСУДАРСТВЕННЫЙ СТАНДАРТ
НАДЕЖНОСТЬ В ТЕХНИКЕ
ЗАПАСНЫЕ ЧАСТИ, ИНСТРУМЕНТЫ И ПРИНАДЛЕЖНОСТИ
ОЦЕНКА И РАСЧЕТ ЗАПАСОВ
Reliability in technique. Spare parts, tools
and accessories. Evaluation and calculation of reserves
ГОСТ 27.507-2015
Дата введения
1 марта 2017 года
Цели, основные принципы и основной порядок проведения работ по межгосударственной стандартизации установлены
ГОСТ 1.0-92 "Межгосударственная система стандартизации. Основные положения" и
ГОСТ 1.2-2009 "Межгосударственная система стандартизации. Стандарты межгосударственные, правила и рекомендации по межгосударственной стандартизации. Правила разработки, принятия, применения, обновления и отмены"
1 РАЗРАБОТАН Обществом с ограниченной ответственностью "Институт надежности машин и технологий" (ООО "ИНМиТ")
2 ВНЕСЕН Техническим комитетом по стандартизации ТК 119 "Надежность в технике" и ФГУП "Всероссийский научно-исследовательский институт по стандартизации и сертификации в машиностроении" (ВНИИНМАШ)
3 ПРИНЯТ Межгосударственным советом по стандартизации, метрологии и сертификации (протокол от 10 декабря 2015 г. N 48)
За принятие проголосовали:
Краткое наименование страны по МК (ИСО 3166) 004-97 | Код страны по МК (ИСО 3166) 004-97 | Сокращенное наименование национального органа по стандартизации |
Азербайджан | AZ | Азгосстандарт |
Армения | AM | Армгосстандарт |
Грузия | GE | Грузстандарт |
Казахстан | KZ | Госстандарт Республики Казахстан |
Россия | RU | Росстандарт |
Таджикистан | TJ | Таджикстандарт |
4
Приказом Федерального агентства по техническому регулированию и метрологии от 9 июня 2016 г. N 580-ст межгосударственный стандарт ГОСТ 27.507-2015 введен в действие в качестве национального стандарта Российской Федерации с 1 марта 2017 г.
5 ВВЕДЕН ВПЕРВЫЕ
Информация об изменениях к настоящему стандарту публикуется в ежегодном информационном указателе "Национальные стандарты" (по состоянию на 1 января текущего года), а текст изменений и поправок - в ежемесячном информационном указателе "Национальные стандарты". В случае пересмотра (замены) или отмены настоящего стандарта соответствующее уведомление будет опубликовано в ежемесячном информационном указателе "Национальные стандарты". Соответствующая информация, уведомление и тексты размещаются также в информационной системе общего пользования - на официальном сайте Федерального агентства по техническому регулированию и метрологии в сети Интернет (www.gost.ru)
Настоящий стандарт распространяется на восстанавливаемые и обслуживаемые в условиях эксплуатации (на объектах применения, базах хранения или в ремонтных органах) технические изделия (далее - изделия), для обеспечения надежности (ремонтопригодности) которых предусматриваются одиночные и (или) групповые комплекты запасных частей, инструмента и принадлежностей (ЗИП), или двухуровневые системы ЗИП, или запасы на складах, формируемые по средним нормам расхода запасных частей.
Настоящий стандарт устанавливает методологию, порядок и типовые методики оценки показателей достаточности и суммарных затрат на запасные части, методики расчета оптимальных запасов в комплектах (системах) ЗИП, а также методику расчета начальных запасов на складах по средним нормам запасных частей.
Положения настоящего стандарта подлежат применению организациями Российской Федерации, министерств и ведомств и иными расположенными на территории Российской Федерации предприятиями и организациями независимо от форм собственности и подчиненности, имеющими отношение к разработке, производству, эксплуатации и ремонту технических изделий, а также организациями стран ТС, участвующими в разработке, согласовании и применении настоящего стандарта в соответствии с действующим законодательством.
В настоящем стандарте использованы нормативные ссылки на следующие стандарты:
ГОСТ 2.602-2013 Единая система конструкторской документации. Ремонтные документы
ГОСТ 2.603-68 Единая система конструкторской документации. Внесение изменений в эксплуатационную и ремонтную документацию
ГОСТ 27.002-89 Надежность в технике. Основные понятия. Термины и определения
ГОСТ 18322-78 Система технического обслуживания и ремонта техники. Термины и определения
Примечание - При пользовании настоящим стандартом целесообразно проверить действие ссылочных стандартов в информационной системе общего пользования - на официальном сайте Федерального агентства по техническому регулированию и метрологии в сети Интернет или по ежегодному информационному указателю "Национальные стандарты", который опубликован по состоянию на 1 января текущего года, и по выпускам ежемесячного информационного указателя "Национальные стандарты" за текущий год. Если ссылочный стандарт заменен (изменен), то при пользовании настоящим стандартом следует руководствоваться заменяющим (измененным стандартом). Если ссылочный стандарт отменен без замены, то положение, в котором дана ссылка на него, применяется в части, не затрагивающей эту ссылку.
В настоящем стандарте применены термины по
ГОСТ 27.002 и
ГОСТ 18322, а также следующие термины с соответствующими определениями:
3.1 комплект ЗИП (SPTA package): Комплект запасных частей, инструментов и принадлежностей, предназначенный для обеспечения эксплуатации (ремонта и технического обслуживания) изделия.
3.2 одиночный комплект ЗИП (SPTA local package): Комплект ЗИП, предназначенный для обеспечения эксплуатации (ремонта и технического обслуживания) одного изделия.
3.3 групповой комплект ЗИП (SPTA group package): Комплект ЗИП, предназначенный для обеспечения эксплуатации (ремонта и технического обслуживания) группы изделий.
3.4 двухуровневая система ЗИП (SPTA system): Система ЗИП, представляющая собой совокупность одного комплекта ЗИП-Г и нескольких комплектов ЗИП-О, предназначенных для обеспечения эксплуатации (ремонта и технического обслуживания) группы однотипных изделий, размещенных на одном объекте (в одном регионе).
3.5 отказ комплекта ЗИП (SPTA package failure): Событие, состоящее в том, что поступившая в ЗИП заявка на запасную часть какого-либо из предусмотренных в нем типов не удовлетворяется из-за того, что на момент поступления заявки запасные части этого типа в ЗИП отсутствуют (их запас был исчерпан ранее и еще не восстановлен).
3.6 восстанавливаемая составная часть (repairable part): Составная часть изделия, для которой проведение восстановления работоспособного состояния предусмотрено в эксплуатационной документации на изделие.
3.7 невосстанавливаемая составная часть (non-repairable part): Составная часть изделия, для которой проведение восстановления работоспособного состояния не предусмотрено в эксплуатационной документации на изделие.
3.8 интенсивность замены составных частей (substitution rate of items): Среднее число замен составных частей данного типа в обслуживаемом комплектом ЗИП изделии за единицу времени.
3.9 интенсивность спроса на запасные части (demand rate of spare parts): Среднее число заявок на запасные части данного типа, поступающих в комплект ЗИП от обслуживаемых изделий за единицу времени.
3.10 запас (reserve): Совокупность запасных частей одного типа (типономинала, типоразмера), характеризуемая начальным уровнем, суммарными затратами, стратегией пополнения и показателем достаточности.
3.11 стратегия пополнения запаса (reserve replenishment strategy): Совокупность правил, на основании которых пополняют (восстанавливают) запас в комплекте ЗИП.
Примечание - Правила регламентируют момент выдачи заявки (требования) на пополнение, длительность, источник и порядок ее реализации.
3.12 среднее время экстренной доставки запасной части (mean time to spare part extra ordinal delivery): Среднее значение времени (в единицах наработки изделия) от момента отказа комплекта ЗИП по запасу данного типа до момента внепланового (экстренного) восстановления запаса из источника пополнения (по стратегии, предусматривающей экстренные доставки).
3.13 среднее время доставки запасной части (mean time to spare part delivery): Среднее значение времени (в единицах наработки изделия) от момента изъятия запасной части из комплекта ЗИП до момента восстановления запаса из источника пополнения (по стратегии, предусматривающей восполнение запаса после изъятия каждой запасной части).
3.14 среднее время ремонта составной части (mean repair time of parts): Среднее значение времени (в единицах наработки) от момента изъятия запасной части из запаса данного типа в комплекте ЗИП до момента возвращения в этот запас отремонтированной составной части того же типа (по стратегии, предусматривающей ремонт отказавших составных частей).
3.15 показатель достаточности запаса (reserve sufficiency measure): Количественная характеристика, определяющая влияние начального уровня запаса в комплекте ЗИП на уровень надежности обслуживаемых изделий в заданных условиях и режимах их эксплуатации и при заданной (принятой) стратегии пополнения запаса.
3.16 показатель достаточности комплекта ЗИП (SPTA package sufficiency measure): Количественная характеристика, определяющая влияние начального уровня всех запасов в комплекте ЗИП на уровень надежности обслуживаемых изделий в заданных условиях и режимах их эксплуатации и при заданных (принятых) стратегиях пополнения запасов.
3.17 среднее время задержки в удовлетворении заявки на запасную часть одним запасом (комплектом ЗИП) (mean delay time to demand fulfilling for spare part by local package): Стационарное значение отношения математического ожидания суммы интервалов времени задержки в удовлетворении заявок на запасную часть, вызванных отказами комплекта ЗИП по запасу данного (любого) типа за некоторый период эксплуатации, к математическому ожиданию общего количества заявок на запасную часть этого (любого) типа, поступивших в комплект ЗИП за тот же период.
3.18 среднее время замены составной части (mean substitution time of parts): Среднее значение времени от момента установления факта отказа составной части какого-либо из предусмотренных в комплекте ЗИП типов до момента окончания процесса замены этой составной части на исправную запасную часть того же типа из комплекта ЗИП при условии, что таковая имеется там в наличии.
3.19 коэффициент готовности запаса (reserve availability factor): Вероятность того, что в произвольный момент времени при принятой стратегии пополнения запаса данного типа отказ комплекта ЗИП по нему не произойдет.
3.20 коэффициент готовности одиночного комплекта ЗИП (SPTA local package availability factor): Вероятность того, что в произвольный момент времени при принятых стратегиях пополнения запасов всех типов отказ одиночного комплекта ЗИП не произойдет.
3.21 коэффициент готовности группового комплекта ЗИП (SPTA group package availability factor): Вероятность того, что в произвольный момент времени при принятых стратегиях пополнения запасов всех типов отказ группового комплекта ЗИП относительно одного (любого) изделия в обслуживаемой группе (то есть по заявкам только от него) не произойдет.
3.22 норма расхода запасных частей на эксплуатацию (spare part service expenses rate): Среднее ожидаемое число замен составных частей одного типа в одном изделии (или в группе однотипных изделий заданного размера) за установленный период эксплуатации.
3.23 норма расхода запасных частей на плановый ремонт (spare part scheduled repair expenses rate): Среднее ожидаемое число замен составных частей одного типа в одном изделии при проведении его планового (капитального, среднего и т.п.) ремонта.
3.24 коэффициент интенсивности эксплуатации (steady state availability factor): Отношение наработки изделия за некоторый период эксплуатации к календарной длительности этого периода [или максимально допустимому (нормативному) пробегу, или числу срабатываний (включений) за этот период].
3.25 запасные части, инструменты и принадлежности (ЗИП) [spare parts, tools and accessories (SPTA)]: Совокупность запасов материальных средств, сформированная в зависимости от назначения и особенностей использования объекта и предназначенная для его функционирования, технического обслуживания и ремонта.
Примечание - Набор ЗИП комплектуется в соответствии с требованиями.
4. Обозначения и сокращения
aiо (aiг) - среднее число заявок, поступивших в комплект ЗИП-О (ЗИП-Г) на ЗЧ i-типа за период пополнения Ti;
D0 - расчетный показатель в прямой задаче оптимизации;
ciо (cг0) - затраты (стоимость, объем, масса и т.п.) на одну ЗЧ i-типа в комплекте ЗИП-О (ЗИП-Г);

- суммарные затраты на все ЗЧ в комплекте ЗИП-О (ЗИП-Г);

- значения

, используемое в качестве ограничений при решении обратной задачи оптимизации;

- суммарные затраты в С ЗИП;

- значение

, используемое в качестве ограничений при решении обратной задачи оптимизации;
iо (
iг) - номер типа запаса в комплекте ЗИП-О (ЗИП-Г) (

;

);
j - номер образца изделия в группе, обслуживаемой одним комплектом ЗИП-Г

;
Kг - коэффициент готовности изделия с учетом ограниченности запасов в комплектах ЗИП;

- значение
Kг при неограниченном ЗИП;

- требуемое значение
Kг, заданное в ТЗ на изделие;
Kг.зiо - коэффициент готовности запаса i-типа в комплекте ЗИП-О;
Kг.ЗИП-О (Kг.ЗИП-Г,j) - коэффициент готовности комплекта ЗИП-О (ЗИП-Г относительно j-образца изделия);

- требуемые значения
Kг.ЗИП, заданные в ТЗ на изделие или на комплект ЗИП;
Kи.э - коэффициент интенсивности эксплуатации;
Kт.и - коэффициент технического использования;
mi - уровень неснижаемого запаса i-типа;
kjо (kijг) - количество СЧ i-типа в изделии (в j-образце изделия);
Ljо (Ljг) - начальный уровень запаса i-типа в ЗИП-О (ЗИП-Г) (по ведомости ЗИ);

- первоначальный уровень запаса
i-типа в ЗИП-О (ЗИП-Г) (на "нулевом" шаге алгоритма оптимизации);

- уровень запаса
i-типа в ЗИП-О (ЗИП-Г) (на
l-шаге алгоритма оптимизации);
Nо (Nг) - количество типов ЗЧ в комплекте ЗИП-О (ЗИП-Г);
S - количество образцов изделий ВТ, обслуживаемых одним комплектом ЗИП-Г;
Riо (Riг) - промежуточный расчетный показатель для комплекта ЗИП-О (ЗИП-Г);

- сумма
Riо (
Riг) по всем типам ЗЧ в ЗИП-О (ЗИП-Г);

- среднее время задержки в удовлетворении заявок на ЗЧ запасом
i-типа в комплекте ЗИП-О (ЗИП-Г);

- среднее время задержки в удовлетворении заявок на ЗЧ комплектом ЗИП-О (ЗИП-Г);

- требуемые значения

, заданные в ТЗ на изделие или на комплект ЗИП;
Tiо (Tiг) - первый (основной) параметр стратегии пополнения запаса i-типа в комплекте ЗИП-О (ЗИП-Г);
Tпiо (Tпiг) - период планового пополнения запаса i-типа в комплекте ЗИП-О (ЗИП-Г);
Tдiо; Tдiг (Tрiо; Tрiг) - среднее время доставки (или ремонта) ЗЧ i-типа в комплекте ЗИП-О (ЗИП-Г);
Tз (Tв) - среднее время замены СЧ (восстановления изделия) с учетом ограниченности реальных комплектов ЗИП;

- требуемое значение
Tз (
Tв) (заданное в ТЗ на изделие);

- значения
Tз (
Tв) при неограниченном ЗИП;
Tэдiо (Tэдiг) - время экстренной доставки ЗЧ i-типа в комплект ЗИП-О (ЗИП-Г);

- условный индекс стратегии пополнения запаса
i-типа в комплекте ЗИП-О (ЗИП-Г);

- второй (дополнительный) параметр стратегии пополнения запаса
i-типа в комплекте ЗИП-О (ЗИП-Г);

- интенсивность замен СЧ
i-типа в изделии (в
j-образце изделия);

- интенсивность спроса на ЗЧ
i-типа в комплект ЗИП-О (комплект ЗИП-Г от всех изделий группы или только от
j-образца изделия);

- суммарная интенсивность спроса на ЗЧ всех типов в комплект ЗИП-О (ЗИП-Г);

- норма расхода ЗЧ
i-типа на эксплуатацию одного изделия (группы
S однотипных изделий);

- норма расхода ЗЧ
i-типа на один плановый ремонт (на
S ремонтов за планируемый период).
ЗИ - запасное имущество;
ЗИП - запасные части, имущество и принадлежности;
ЗИП-Г - групповой комплект ЗИП;
ЗИП-О - одиночный комплект ЗИП;
ЗЧ - запасная часть;
НИП - не отказывающий источник пополнения;
ОКР - опытно-конструкторская работа;
ПД - показатель достаточности (запаса или комплекта ЗИП);
ПН - показатель надежности;
ПЭВМ - персональная электронно-вычислительная машина;
СЗИП - система ЗИП;
СЧ - составная часть (изделия);
ТЗ - техническое задание;
ТО - техническое обслуживание;
ТР - текущий ремонт;
ЭД - эксплуатационная документация.
5.1. Назначение комплектов ЗИП и решаемые ими задачи
Настоящий стандарт распространяется на восстанавливаемые и обслуживаемые в условиях эксплуатации (на объектах применения, базах хранения или ремонтных органах) технические изделия, для обеспечения надежности (ремонтопригодности) которых предусматриваются одиночные и (или) групповые комплекты запасных частей, инструмента и принадлежностей (ЗИП), или двухуровневые системы ЗИП, или запасы на складах, формируемые по средним нормам расхода запасных частей. В соответствии с этим предназначением имеются две группы заинтересованных организаций в применении стандарта: поставщиков запасных частей; эксплуатирующих организаций.
5.1.1 Первая группа организаций (поставщики) отвечает за бесперебойное и гарантированное удовлетворение запросов на запасные части от эксплуатирующих организаций. При этом нет необходимости рассматривать достигаемый уровень ПН технических изделий, обслуживаемых комплектами или системой ЗИП, поскольку задача обеспечения надежности находится вне сферы их компетенции, а ЗИП является только одним из ресурсов, привлекаемых для обеспечения надежности. При наличии требований к ПД требования к ПН не являются обязательными.
5.1.2 Вторая группа организаций (эксплуатирующие организации) отвечает за поддержание заданных требований к надежности. Поскольку для решения этой задачи привлекаются разнообразные ресурсы, среди которых ЗИП является только одним из них, то требования к показателям достаточности комплектов ЗИП существенно зависят от состояния других ресурсов. Поэтому для выбора состава комплектов и системы ЗИП надо использовать требования к надежности. Требования к показателям достаточности являются не обязательными и должны рассматриваться в комплексе с требованиями к другим видам ресурсов. При этом требования к ПД не являются самостоятельными, и по их количественным значениям нельзя судить об уровне значений показателей надежности.
5.1.3 При определенных условиях решение обеих задач можно объединить, например, если другие виды ресурсов малы или мало влияют на показатели надежности или если показатели надежности не интересуют эксплуатирующую организацию, а для нее важными являются показатели эффективности. Тогда ПД выходят на первый план, и требования к ним задают, исходя из технико-экономических характеристик системы ЗИП.
5.1.4 В связи с этим в настоящем стандарте рассматриваются две группы задач оценки и расчета запасов в комплектах ЗИП: по критериям достаточности и по критериям надежности:
- оценка и расчет запасов по критериям достаточности;
- оценка и расчет запасов по критериям надежности.
5.2.1 Предприятиями промышленности разрабатывают, изготавливают и поставляют следующие основные виды комплектов ЗИП:
- одиночный комплект ЗИП (ЗИП-О);
- групповой комплект ЗИП (ЗИП-Г);
- двухуровневая и многоуровневая системы ЗИП;
- ремонтный комплект ЗИП (ЗИП-Р).
Виды комплектов ЗИП для конкретного изделия задают в ТЗ на выполнение ОКР.
В настоящем стандарте порядок формирования и методы расчетов комплекта ЗИП-Р не рассматриваются.
5.2.2 Номенклатуру и количественный состав комплектов ЗИП устанавливают (рассчитывают) при разработке изделий (для комплектов ЗИП-Р - при разработке ремонтной документации). При необходимости, если это следует из документации, состав ЗИП согласуют с заказчиком.
5.2.3 Для пополнения комплектов ЗИП составными частями, израсходованными при эксплуатации и ремонте изделий, предприятия промышленности поставляют ЗИП россыпью. Номенклатурный и количественный состав ЗИП россыпью определяет заказчик при плановом заказе в отдельной заявке.
5.2.4 Комплекты ЗИП можно делить на части.
5.2.5 Одиночный комплект ЗИП
5.2.5.1 Комплект ЗИП-О предназначен для обеспечения эксплуатации одного изделия, поддержания его в исправном состоянии проведением ТО в объеме требований эксплуатационной документации, а также устранения отказов и неисправностей в течение заданной наработки или срока службы на месте эксплуатации силами обслуживающего персонала.
5.2.5.2 Наработку или срок службы изделий, на которые рассчитывают комплект ЗИП-О, устанавливают в ТЗ на выполнение ОКР.
5.2.5.3 В зависимости от специфики изделия в состав комплекта ЗИП-О допускается включать:
- запасные части (детали и сборочные единицы) из числа наименований надежных составных частей изделия, влияющих на его работоспособность;
- инструмент, контрольно-измерительные приборы, необходимые для обеспечения эксплуатации изделия;
- принадлежности для обеспечения использования, хранения, транспортирования и обслуживания изделия;
- материалы, необходимые для устранения неисправностей и проведения ТО изделия.
5.2.5.4 Комплект ЗИП-О является неотъемлемой частью изделия и должен находиться на изделии (на месте эксплуатации изделия).
5.2.6 Групповой комплект ЗИП
5.2.6.1 Комплект ЗИП-Г предназначен для обеспечения технического обслуживания и ремонта группы однотипных изделий в течение заданной наработки или срока службы на месте эксплуатации силами эксплуатирующей организации в объеме требований эксплуатационной документации.
5.2.6.2 Количество изделий, наработка или срок службы, на которые рассчитывают комплект ЗИП-Г, должны быть установлены в документации. По совместному решению заказчика, разработчика и изготовителя кратность комплекта ЗИП-Г допускается уточнять на любом этапе разработки и серийного производства изделий.
5.2.6.3 В состав комплекта ЗИП-Г включают:
- запасные части, необходимые для обеспечения ТО и ТР группы изделий на месте эксплуатации в объеме требований эксплуатационной документации;
- заменяемые составные части изделия, имеющие ресурс меньше ресурса изделия;
- комплект инструмента, оборудования, контрольно-измерительных приборов и приспособлений, предназначенных для ТО и ТР изделий в объеме требований эксплуатационной документации;
- принадлежности и материалы.
5.2.7 Система ЗИП
5.2.7.1 Система ЗИП включает в себя комплекты ЗИП-О и ЗИП-Г, расположенные на различных уровнях иерархической структуры системы.
5.2.7.2 В двухуровневой системе на первом уровне находятся комплекты ЗИП-О, приближенные к месту эксплуатации образцов однотипных изделий. На втором уровне находятся комплекты ЗИП-Г, обеспечивающие пополнение запасов в комплектах ЗИП-О или непосредственно обслуживающие закрепленные за ними изделия по некоторым видам запасов из номенклатуры запасных частей системы ЗИП.
5.2.7.3 В многоуровневой системе на втором, третьем и более высоких уровнях иерархии системы находятся комплекты ЗИП-Г. Комплект ЗИП-Г третьего и более высоких уровней обеспечивают пополнение запасов комплектов ЗИП-Г ближайшего уровня, но может использоваться для пополнения запасов комплектов ЗИП других, более низких уровней или обслуживать заявки непосредственно от образцов изделий.
5.2.7.4 Количество изделий, обслуживаемых одним комплектом ЗИП-О; количество комплектов ЗИП-О, обслуживаемых одним комплектом ЗИП-Г; наработка или срок службы, на которые рассчитывают комплекты ЗИП-О и ЗИП-Г, должны быть установлены в ТЗ на выполнение ОКР.
5.3. Требования к обоснованию состава комплектов ЗИП, порядок их разработки и корректировки
5.3.1 Требования к обоснованию состава комплектов ЗИП
5.3.1.1 Методы расчета состава комплектов ЗИП должны соответствовать требованиям настоящего стандарта.
5.3.1.2 Номенклатура и количество запасных частей, входящих в состав комплектов ЗИП-О и ЗИП-Г, должны рассчитываться с учетом обеспечения задаваемых в ТЗ на выполнение ОКР требований по надежности изделий.
В случаях, характерных для сложных изделий, когда на изделие в целом требования по надежности не задано, состав комплектов ЗИП-О и ЗИП-Г допускается рассчитывать на основании заданного (требуемого) значения более общего показателя (показателя эффективности). Состав запасных частей при этом, наряду с заданными значениями более показателя, должен обеспечивать заданные (требуемые) значения показателей надежности восстанавливаемых (заменяемых) составных частей изделия.
5.3.1.3 Методы расчета запасных частей для эксплуатации изделий подразделяют на:
- методы расчета запасных частей, входящих в состав комплектов ЗИП-О и ЗИП-Г;
- методы расчета норм расхода запасных частей.
5.3.1.4 Методы расчета комплектов ЗИП должны обеспечивать разработку оптимальных по составу (номенклатуре и количеству) комплектов ЗИП.
При использовании критериев достаточности оптимизация должна проводиться при условии выполнения требований
5.3.1.2 и
5.3.1.3 по минимуму затрат при заданном уровне показателя достаточности ЗИП или по максимальному уровню показателя достаточности ЗИП при заданных затратах на него. В этом случае показатели надежности не рассчитываются или рассчитываются для сведения эксплуатирующих организаций.
При использовании критериев надежности оптимизация должна проводиться при условии выполнения требований
5.3.1.2 и
5.3.1.3 по минимуму затрат на начальные запасы в комплекте ЗИП при заданном уровне показателя надежности изделия или по максимальному уровню показателя надежности изделия при заданных затратах на начальные запасы в комплекте ЗИП. В этом случае показатели достаточности не рассчитываются для сведения организаций - поставщиков запасных частей.
5.3.1.5 При разработке методов расчета запасных частей должны быть учтены следующие факторы:
- сроки сохраняемости составных частей комплекта ЗИП;
- структура и особенности функционирования изделия;
- способ пополнения комплектов ЗИП;
- затраты на запасные части;
- квалификация персонала, эксплуатирующего изделия.
Примечание - Характеристики надежности составных частей изделий уточняют по статистическим данным, полученным при эксплуатации составных частей аналогов или на основе расчета по справочным данным об интенсивности отказов входящих в них сборочных единиц и деталей, а также по данным, полученным на основе специальных методик и испытаний в ходе разработки изделия.
5.3.1.6 Количество запасных частей, входящих в комплекты ЗИП-О и ЗИП-Г, необходимо рассчитывать на заданную наработку или срок службы изделия.
5.3.1.7 Номенклатуру и количественный состав принадлежностей, входящих в комплект ЗИП, определяют с учетом:
- технологии проведения работ по замене составных частей изделия на запасные из состава комплекта ЗИП и устранению неисправности изделия;
- технологии проведения работ при техническом обслуживании изделия;
- технологии подготовки изделия к использованию по назначению;
- технического ресурса инструментов и принадлежностей;
- номенклатуры контрольно-измерительной аппаратуры, необходимой для проверок и технического обслуживания изделия;
- номенклатуры контрольно-измерительной аппаратуры, установленной на изделии и периодически снимаемой для поверок органами метрологической службы;
- номенклатуры контрольно-измерительной аппаратуры, необходимой для проведения ремонта изделий.
Примечание - В номенклатуру инструментов и принадлежностей не включают инструменты и принадлежности, используемые только при ремонте изделий в ремонтных органах.
5.3.1.8 Номенклатуру и количество материалов, входящих в комплекты ЗИП, определяют с учетом обеспечения:
- материалами, используемыми при замене составных частей изделия на запасные;
- материалами, необходимыми для восстановления исправности неисправных или отказавших составных частей изделия;
- материалами, используемыми при подготовке изделия к использованию по назначению;
- материалами, необходимыми для проведения технического обслуживания комплектов ЗИП в процессе их хранения.
При определении номенклатуры и количества расходных материалов должны быть учтены:
- назначенный срок годности материалов;
- действующие ограничительные перечни по их применению и унификации.
5.3.2 Порядок разработки комплектов ЗИП
5.3.2.1 Комплекты ЗИП-О и ЗИП-Г разрабатывает головной разработчик с участием разработчиков составных частей и при необходимости предприятий-изготовителей одновременно с разработкой изделия. По согласованию с заказчиком допускается разрабатывать комплекты ЗИП предприятиям - изготовителям серийных изделий.
5.3.2.2 Требования к комплектам ЗИП-О и ЗИП-Г указывают в ТЗ на выполнение ОКР (составной части ОКР).
5.3.2.3 Разработчики составных частей изделия определяют состав соответствующих комплектов ЗИП для разрабатываемых ими составных частей и представляют по согласованной форме головному разработчику (изготовителю) для определения состава комплекта ЗИП изделия в целом.
5.3.2.4 Все виды комплектов ЗИП разрабатывают для однотипных изделий, выполняющих самостоятельные функции и имеющих индекс заказчика. По согласованному решению головного разработчика (разработчика) и заказчика допускается разрабатывать единые комплекты ЗИП для изделий нескольких модификаций.
5.3.2.5 На каждый разработанный комплект ЗИП оформляют конструкторский документ "Ведомость ЗИП". Форма ведомости ЗИП и содержание изложения должны соответствовать требованиям, установленным в стандартах на соответствующие виды изделий.
5.3.2.6 В целях обеспечения автоматизированного учета и снабжения ЗИП в ведомостях ЗИП для каждой составной части, входящей в комплект ЗИП, должен быть указан код по общесоюзному классификатору продукции (ОКП).
5.3.2.7 В ведомостях ЗИП, в составе которых имеются составные части, требующие периодической проверки, освидетельствования, связанного с проверкой параметров на специальном оборудовании, коды в ведомостях ЗИП проставляют разработчики ЗИП после включения этих составных частей в ОКП.
5.3.2.8 Ведомости ЗИП (кроме комплекта ЗИП-Р) должны быть разработаны до начала предварительных испытаний изделия.
5.3.2.9 На каждый комплект ЗИП должна быть разработана инструкция по его использованию, состав и содержание которой должны соответствовать требованиям ТЗ.
5.3.2.10 На государственные испытания вместе с опытными образцами изделия должны быть представлены одиночный и групповой комплекты ЗИП. По согласованию с заказчиком для отдельных видов изделий допускается представлять на государственные испытания вместо группового комплекта ЗИП ведомость ЗИП. Откорректированные по результатам государственных испытаний ведомости комплектов ЗИП утверждают в составе конструкторской документации.
5.3.3 Порядок корректировки состава комплектов ЗИП
5.3.3.1 Для обеспечения эксплуатации и ремонта изделий необходимыми запасными частями, инструментом, принадлежностями и материалами до снятия изделий с эксплуатации состав комплектов ЗИП периодически корректируется.
5.3.3.2 Корректировку комплектов ЗИП производит предприятие, являющееся держателем подлинников конструкторской документации, по мере накопления опыта эксплуатации и ремонта изделий.
5.3.3.3 Основанием для корректировки состава комплектов ЗИП являются:
- изменения, внесенные в рабочую конструкторскую, эксплуатационную и ремонтную документацию;
- изменение показателей надежности отдельных составных частей и изделия в целом;
- результаты исследований технического состояния изделий после различных сроков эксплуатации;
- совершенствование технологии и организации ремонта;
- анализ статистических данных о фактическом расходе запасных частей в процессе эксплуатации и ремонта изделий;
- нормы расхода запасных частей, скорректированные по данным о фактическом расходе запасных частей;
- требования заказчика с учетом обобщения предложений эксплуатирующих и ремонтных организаций по изменению состава комплектов ЗИП;
- изменения стандартов на покупные составные части ЗИП и снятие их с производства.
Предложения по корректировке состава комплектов ЗИП и расчеты по их обоснованию согласовывают с теми же организациями, с которым согласовывались проекты ведомостей комплектов ЗИП.
5.3.3.4 Первую корректировку состава комплектов ЗИП-О и ЗИП-Г проводят на основании решения по акту государственных испытаний. В дальнейшем корректировку этих комплектов производят по мере необходимости в согласованные с заказчиком сроки, но не реже одного раза в 3 - 5 лет. Корректировку состава комплектов ЗИП по отдельным номенклатурам ЗИП допускается проводить в любое время эксплуатации.
5.3.3.5 Первую корректировку состава комплекта ЗИП-Р проводят по результатам проведения опытного ремонта установленной партии изделий с использованием комплекта ЗИП-Р. В дальнейшем корректировку комплекта ЗИП-Р проводят по мере необходимости в согласованные с заказчиком сроки, но не реже одного раза в 3 - 5 лет.
5.3.3.6 При корректировке состава ЗИП изменения в подлинниках ведомостей ЗИП вносятся в соответствии с требованиями
ГОСТ 2.603.
5.4. Состав методик для оценки и расчета комплектов ЗИП
5.4.1 Включенные в настоящий стандарт методики предназначены для оценки и расчета запасов восстанавливаемых и невосстанавливаемых ЗЧ в комплектах ЗИП-О, ЗИП-Г, придаваемых техническим изделиям, или в двухуровневых системах ЗИП, состоящих из одного группового комплекта ЗИП-Г и нескольких одинаковых ЗИП-О, а также для расчета складских запасов, создаваемых по средним нормам расхода запасных частей.
Типовые структуры использования ЗИП-О и ЗИП-Г, для которых применимы методики стандарта, приведены на рисунке 1.
┌───────┐
┌────────┤ НИП │
│ ┌─────┤ ├─────────┐
│ │ └───┬───┘ │
┌─────┐ ┌───────┐ │ │ ┌───┴───┐ │
│ НИП │ │ НИП │ │ │ │ ЗИП-Г ├─┐ │
└──┬──┘ └───┬───┘ │ │ └─────┬─┘ │ │
│ │ │ └───────┐ │ │ │
│ │ │ ┌───────┼───┼───┼────┐ │
┌──┴──┐ ┌───┴───┐ ┌─┴──┴──┐ ┌─┴───┴─┐ │ ┌──┴──┴─┐
│ЗИП-О│ │ ЗИП-Г │ │ ЗИП-О │ │ ЗИП-О │ │ │ ЗИП-О │
└──┬──┘ └───┬───┘ └─┬──┬──┘ └───┬───┘ │ └─────┬─┘
│ │ │ │ │ │ │
│ ┌──────────┼───────────┐ │ ├─────────┼─────┴────┐ │
┌──┴──┐ ┌───┴───┐ ┌───┴───┐ ┌───┴───┐ ┌─┴──┴──┐ ┌───┴───┐ ┌──┴──┴─┐
│Издел│ │Изд. 1 │ │Изд. 2 │...│Изд. k │ │Изд. 1 │ │Изд. 2 │...│Изд. k │
└─────┘ └───────┘ └───────┘ └───────┘ └───────┘ └───────┘ └───────┘
1, 2 - одноуровневая структура, 3 - двухуровневая структура
Рисунок 1 - Типовые структуры ЗИП
В методиках принято, что пополнение комплектов ЗИП-О (в
структуре 1) и ЗИП-Г (в
структурах 2,
3) осуществляется со складов (баз снабжения), которые считаются НИП, то есть удовлетворяющими все заявки на ЗЧ без задержки.
5.4.2 Основными количественными характеристиками запасов в комплектах ЗИП являются ПД и суммарные затраты на ЗЧ (в стоимостных или массогабаритных единицах). При формировании комплектов ЗИП по критерию надежности для каждого вида запасов указываются ПН по данному виду запасов и суммарные затраты на ЗЧ (в стоимостных или массогабаритных единицах).
5.4.3 Под оценкой запаса какого-либо одного типа понимают определение значений показателей его достаточности [или показателей надежности однономенклатурной (однородной) подсистемы] и суммарных затрат на ЗЧ [при известном начальном уровне запаса и заданной (принятой) стратегии пополнения]. Оценка запасов в комплекте ЗИП состоит из оценок запасов каждого типа в отдельности и определения на их основе ПД (ПН) и суммарных затрат на ЗЧ по комплекту ЗИП в целом.
5.4.4 Оценку запасов в комплекте ЗИП проводят:
- при разработке комплектов ЗИП - после расчета каждого варианта комплекта с целью определения фактических значений ПД (ПН) и суммарных затрат на ЗЧ и исключения возможных ошибок расчета (контрольная оценка);
- при проверке выполнения требований ТЗ к полноте и достаточности приданных ЗИП на приемочных испытаниях опытных образцов технических изделий, а также при закупке серийных изделий;
- при корректировке комплектов ЗИП для условий эксплуатации, отличающихся от тех, для которых они разрабатывались (например, при другой интенсивности эксплуатации оборудования, другой интенсивности замен СЧ, других стратегиях пополнения запасов).
5.4.5 Под расчетом запаса одного типа понимают определение его начального уровня, удовлетворяющего заданным требованиям по ПД (ПН) для прямой задачи и ограничениям по суммарным затратам на ЗЧ (при решении обратной задачи) при заданной (принятой) стратегии пополнения.
Расчет запасов в комплекте ЗИП состоит из расчетов запасов каждого типа в отдельности и последующей оценки ПД (ПН) и суммарных затрат на ЗЧ по комплекту ЗИП в целом.
5.4.6 При разработке и корректировке комплектов ЗИП расчеты запасов в них должны проводиться по методикам, обеспечивающим оптимизацию затрат на ЗЧ (их суммарной стоимости, или массы, или объема).
В зависимости от предъявленных требований задача оптимизации запасов в комплекте ЗИП может решаться в двух постановках:
а) расчет запасов, обеспечивающих заданный уровень ПД (ПН) комплекта ЗИП при минимальных суммарных затратах на ЗЧ, - прямая задача оптимизации запасов;
б) расчет запасов, удовлетворяющих заданному ограничению по суммарным затратам на ЗЧ при максимально достижимом уровне ПД (ПН) комплекта ЗИП, - обратная задача оптимизации запасов.
5.4.7 Объем и форма представления исходных данных, необходимых для проведения расчетов по методикам настоящего стандарта, установлены в
разделе 8.
Перед началом расчетов исходные данные, как правило, должны быть согласованы между заказчиком и разработчиком ЗИП.
5.4.8 При контрольной оценке запасов процесса разработки комплекта ЗИП в качестве исходных используются данные, принимающиеся при расчете оцениваемого варианта комплекта ЗИП.
При оценке запасов на этапах испытаний опытных или серийных образцов изделий, а также в комплектах ЗИП, спроектированных ранее или покупных, номенклатуру и количество СЧ в изделии и начальные уровни запасов определяют (выписывают) из "Ведомости ЗИ", а тип и параметры стратегий пополнения запасов задают (или выбирают), исходя из целей проводимой оценки с учетом существующей (или создаваемой) системы технического обслуживания и ремонта изделий данного типа. Показатели надежности (интенсивности замен) СЧ определяют по данным текущих или предшествующих испытаний изделий данного типа или по данным эксплуатации изделий - аналогов (прототипов). Допускается рассчитывать интенсивность замен СЧ

по данным о надежности комплектующих узлов и деталей, приведенных в технической документации на них (формулярах, паспортах) или в официальных справочниках.
5.4.9 При расчете запасов в комплекте ЗИП исходные данные (если они не заданы полностью в ТЗ на разработку изделия или ЗИП) выбирают, исходя из требований, предъявляемых к уровню надежности обслуживаемого изделия и заданной (или принятой) для него системы технического обслуживания и ремонта.
При этом соотношение между требованиями к ПД ЗИП и к показателям надежности (ремонтопригодности) изделия, а также предварительная номенклатура и стратегии пополнения запасов должны соответствовать имеющейся или заданной (принятой) системе текущего ремонта изделия и его восстанавливаемых СЧ (сменных блоков, ячеек и других типовых элементов замены).
Если нормируемыми являются ПД, то расчет и оценка ПН проводятся для сведения. Если же нормируемыми являются ПН, то для сведения проводят расчет и оценку ПД.
5.4.10 Окончательную номенклатуру комплекта ЗИП-О (или ЗИП-Г) определяют по результатам расчета оптимальных запасов. Если при заданных (принятых) исходных данных рассчитанный начальный уровень запаса какого-либо типа оказывается равным нулю, но в ТЗ включено специальное требование о необходимости предусмотреть в ЗИП-О (или в ЗИП-Г) не менее одной ЗЧ каждого (или только данного типа), то запас этого типа увеличивают до единицы. Если же в ТЗ на разработку изделия (или только ЗИП) такое требование не предусмотрено, то решение об утверждении расчетного уровня Li = 0 (или об увеличении его до Li = 1) принимают по согласованию с заказчиком изделия (или комплекта ЗИП) с учетом имеющихся в ЭД на изделие (или ЗИП) указаний о порядке восстановления изделия при отказе СЧ данного типа. Если на момент проектирования ЗИП такие указания в ЭД отсутствуют, то они должны быть внесены туда после согласования с заказчиком.
5.4.11 При выборе состава комплектов ЗИП по показателям достаточности оценка достаточности и расчеты оптимальных запасов в комплектах ЗИП по методикам настоящего стандарта могут проводиться при использовании любого из двух ПД (

или
Kг.ЗИП) и любого из четырех (для ЗИП-О) или только первых трех (для ЗИП-Г) типов стратегий пополнения запасов, установленных в
разделе 7.
Оценка проверяемого на испытаниях (или ранее разработанного) комплекта ЗИП может проводиться по любому из указанных ПД и при любых стратегиях пополнения запасов независимо от того, какой ПД использовался при его проектировании и какие при этом использовались стратегии пополнения запасов.
5.4.12 Оценка суммарных затрат на ЗЧ в комплектах ЗИП может проводиться по одному или последовательно нескольким типам затрат на ЗЧ, и независимо от типа затрат на ЗЧ затраты по всем запасам должны задаваться (измеряться) в одних и тех же единицах.
5.4.13 СЧ, заменяемые согласно ЭД по выработке назначенного ресурса независимо от технического состояния, в оценках и расчетах по методикам настоящего стандарта не учитывают. Запасы таких СЧ рассчитывают по отношению расчетного значения средней наработки изделия в целом за заданный (принятый) период пополнения их в комплекте ЗИП к ресурсу СЧ, а затраты на них добавляют к суммарным затратам на запасы всех остальных типов после расчета последних.
5.4.14 Количество контрольно-измерительных приборов, инструментов, принадлежностей и материалов, входящих в комплекты ЗИП, а также запасы плавких предохранителей, крепежных изделий, монтажных проводов и других составных частей изделий, для которых не установлена (или не может быть определена) интенсивность замены (или интенсивность спроса), по методикам настоящего стандарта не оценивают и не рассчитывают. Потребность в этих элементах ЗИП определяют экспериментальным методом, исходя из назначения и условий эксплуатации изделия, для которого проектируется (оценивается) ЗИП, с учетом опыта эксплуатации его аналогов или прототипов.
5.4.15 Для оценки ПД и расчета оптимальных запасов по критерию достаточности в стандарте используют математические модели (формулы), изложенные в
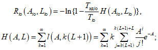
[1]. В них приняты следующие допущения и ограничения:
а) поток заявок на ЗЧ в комплекты ЗИП является простейшим, то есть случайное время между заявками распределено по экспоненциальному закону;
б) приемлемая точность вычисления ПД комплектов ЗИП в целом по характеристикам отдельных запасов обеспечивается при условии, что требуемые значения ПД комплекта удовлетворяют неравенствам:

(5.1)
или

. (5.2)
Если
ограничения (5.1) или
(5.2) для какого-либо конкретного случая не выполняются, но пересматривать требования к ПД в сторону их ужесточения (увеличения

или уменьшения

) по технико-экономическим соображениям не представляется возможным, рекомендуется разделить проектируемый комплект на два одинаковых по интенсивности спроса полукомплекта (1) и (2) и рассчитывать каждый из них самостоятельно. При этом исходные данные по полукомплектам должны удовлетворять равенствам:

, (5.3)

, (5.4)

. (5.5)
5.4.16 Для оценки ПН и расчета оптимальных запасов по критерию надежности в стандарте используют математические модели (формулы), изложенные в
[2]. В них приняты следующие допущения и ограничения:
а) поток заявок на ЗЧ в комплекты ЗИП является простейшим, то есть случайное время между заявками распределено по экспоненциальному закону;
б) при вычислении ПН изделия состав и характеристики комплектов ЗИП по отдельным запасам и по всей номенклатуре в целом учитываются путем прямого их включения в модель надежности наряду с другими видами ресурсов, в том числе схем структурного резервирования по отдельным видам СЧ или их группам.
5.4.17 Для нахождения оптимальных решений в методиках расчета запасов, принятых в настоящем стандарте, используется метод наискорейшего покоординатного спуска, реализуемый в виде алгоритма "пошаговой" оптимизации, при которой на каждом следующем "шаге" расчета добавляется только одна запасная часть и только в тот запас, увеличение которого на этом "шаге" дает наибольший прирост показателей достаточности в расчете на единицу затрат.
5.4.18 Методики настоящего стандарта могут применяться и в тех случаях, когда отсутствуют данные по затратам на ЗЧ. В этих случаях по всем запасам затраты принимаются равными единице (Ci = const = 1; i = 1,..., N), а рассчитанные запасы будут минимизированы по общему (суммарному) количеству ЗЧ в комплекте ЗИП.
5.4.19 Методики настоящего стандарта, предназначенные для ЗИП-Г, могут быть использованы также для оценки и расчета оптимальных запасов, придаваемых ремонтным органам для обеспечения ремонта восстанавливаемых составных частей изделия, так как относительно этих СЧ указанные комплекты ЗИП являются групповыми. Расчеты в этом случае следует проводить при условии, что интенсивность спроса в комплекте ЗИП ремонтного органа на ЗЧ
i-типа

определяется суммарным потоком отказов узлов (деталей) этого типа в СЧ всех типов, где они применяются, и во всех образцах изделий, обслуживаемых данным ремонтным органом.
Аналогичным образом указанные методики могут быть использованы (при соответствующей интерпретации исходных данных) для оценки или расчета запасов в ремонтных комплектах ЗИП, предназначенных для обеспечения плановых ремонтов определенного количества изделий одного типа. Однако чаще ремонтные органы обеспечиваются запасными частями не с помощью комплектов ЗИП, а путем создания складских запасов, формируемых по нормам расхода ЗЧ на ремонт.
5.4.20 При проведении расчетов ЗИП (имеющих, как правило, многовариантный характер) по методикам настоящего стандарта с целью сокращения их трудоемкости и исключения вычислительных ошибок целесообразно использовать ПЭВМ. При расчетах и оптимизации по критерию достаточности рекомендуется использовать пакеты прикладных программ [
3,
4]. При использовании критерия надежности расчеты рекомендуется проводить с помощью пакета прикладных программ
[5].
Примеры расчета оптимальных запасов в комплектах ЗИП-О, ЗИП-Г и в двухуровневой системе ЗИП на ПЭВМ с помощью пакетов прикладных программ [
3,
4,
5] приведены в
приложении А.
В случае отсутствия у пользователей ПЭВМ и (или) при небольшой номенклатуре ЗЧ (не более 50 типов) расчеты по методикам настоящего стандарта могут быть выполнены и без ПЭВМ. При этом общий алгоритм расчетов остается неизменным, а именно тем, который описан в настоящем стандарте. Однако при расчете промежуточных показателей "недостаточности" отдельных запасов
Ri по
формулам (9.4),
(9.12) и
(9.13), содержащих бесконечные суммы, суммирование следует прекращать при достижении уровня

, где

- заданная (или выбранная) точность вычисления ПД комплекта ЗИП в целом

, а
N - количество типов ЗЧ в комплекте ЗИП.
5.4.21 Регламентированные настоящим стандартом типовые методики основаны на математических моделях, приведенных в
[1],
[2], и апробированы при разработке комплектов (систем) ЗИП для технических изделий.
6. Количественные характеристики запасов в комплектах ЗИП
6.1. Показатели достаточности запасов
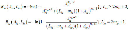
6.1.1 В качестве ПД запасов в комплекте ЗИП-О используют среднее время задержки в удовлетворении заявок на ЗЧ комплектом ЗИП-О

и коэффициент готовности ЗИП-О
Kг.ЗИП-О.
6.1.1.1 Величину

вычисляют по формуле:

. (6.1)
ПД

связан с показателями ремонтопригодности обслуживаемого изделия через среднее время замены СЧ
Tз, которое с учетом ограниченности запасов в ЗИП-О определяется выражением:

. (6.2)
Если изделие не содержит резервных устройств и все отказы в нем устраняются с использованием ЗЧ из ЗИП-О, то Tз совпадает со средним временем устранения отказов Tуст, которое, в свою очередь, является главным слагаемым среднего времени восстановления Tв.
В этом случае ПД

может быть использован в качестве поправки к
Tв изделия, вычисляемому по формуле:

. (6.3)
При наличии в изделии резервных устройств соотношение между
Tз,
Tуст и
Tв остается принципиально таким же, но не для изделия в целом, а для каждого из основных и резервных устройств (элементов схемы расчета надежности), применительно к которым и можно пользоваться
формулами (6.2) и
(6.3).
Если с использованием ЗЧ из ЗИП-О устраняются не все, а лишь определенная часть отказов, то величина Tз составляет соответствующую часть времени Tуст, а следовательно, и Tв изделия (или отдельных его элементов).
6.1.1.2 Коэффициент готовности ЗИП-О вычисляют по формуле:

. (6.4)
Если обслуживаемое комплектом ЗИП-О изделие не содержит резервных устройств (или доля заявок на ЗЧ в ЗИП-О от резервных устройств в общем потоке заявок относительно мала), то ПД Kг.ЗИП-О может быть использован для приближенного расчета коэффициента готовности изделия путем введения поправки к нему по формуле:

. (6.5)
При наличии в изделии резервных устройств (при существенной доле заявок на ЗЧ от них) пользоваться
формулой (6.5) нельзя. Учет влияния ограниченности ЗИП-О на надежность изделия следует проводить через

по
6.1.1.1.
Формулы (6.2) и
(6.3) могут быть далее использованы в моделях надежности для приближенного расчета показателей безотказности и готовности восстанавливаемых изделий. Величина погрешности приближенного расчета может быть установлена путем сравнения результатов расчета по точной и приближенной методикам.
Формула (6.2) в общем случае и
формулы (6.3),
(6.5) при указанных выше ограничениях могут быть использованы для выбора требуемого значения ПД ЗИП-О, если оно не задано в ТЗ на разработку изделия или комплекта ЗИП-О.
Для этого надо преобразовать их к виду:

, (6.6)

, (6.7)

. (6.8)
Поскольку в изделиях по различным видам запасов и видам СЧ значения

могут существенно различаться, то применять
формулы (6.6) и
(6.7) следует по каждому виду запасов и каждому виду СЧ. Необходима декомпозиция требований к надежности изделия в целом на требования к показателям ремонтопригодности по всей номенклатуре изделия. Задача декомпозиции по сложности сравнима с основной задачей расчета надежности. Поэтому использовать
формулы (6.6) и
(6.7) для нормирования ПД удается не всегда.
Для ПД
Kг.ЗИП-О и

одного и того же комплекта ЗИП-О справедливо соотношение:

. (6.9)
6.1.2 В качестве ПД запасов в комплекте ЗИП-Г используют среднее время задержки в удовлетворении заявок на ЗЧ комплектом ЗИП-Г

и коэффициент готовности ЗИП-Г относительно
j-образца из обслуживаемой группы изделий
Kг.ЗИП-Г,j.
6.1.2.1 Величину

вычисляют по формуле:

. (6.10)
Для комплекта ЗИП-Г, непосредственно обслуживающего группу изделий (
структура 2 на рисунке 1), ПД

связан с показателями ремонтопригодности обслуживаемых изделий (так же как

) через среднее время замены СЧ
Tз (см.
6.1.1.1) и может быть использован для количественной оценки влияния всегда реально существующей ограниченности запасов в ЗИП-Г на надежность этих изделий (при тех же условиях) по формулам, аналогичным
(6.2),
(6.3).
6.1.2.2 Значение Kг.ЗИП-Г,j вычисляют по формуле:

. (6.11)
Если обслуживаемые ЗИП-Г однотипные изделия не содержат резервных устройств, то ПД Kг.ЗИП-Г может быть использован в качестве поправки к коэффициенту готовности одного такого (j) изделия, вычисляемому по формуле:

. (6.12)
6.1.3 Показателями достаточности запасов в двухуровневой системе ЗИП во всех случаях являются ПД комплектов ЗИП, находящихся на первом ("нижнем") уровне системы (как правило,

или
Kг.ЗИП-О). Однако значения этих ПД должны быть рассчитаны с учетом ограниченности запасов в комплекте ЗИП-Г, находящемся на втором уровне системы (то есть с поправкой на ПД

, порядок внесения которой изложен в
разделе 11).
6.2. Суммарные затраты на запасные части
6.2.1 Суммарные затраты на ЗЧ всех типов в комплектах ЗИП-О, ЗИП-Г и в двухуровневой системе ЗИП определяют из выражений:

, (6.13)

, (6.14)

. (6.15)
6.2.2 Суммарные затраты на ЗЧ могут измеряться в единицах стоимости, объема, веса и т.д. В пределах одного конкретного расчета (оценки) затраты на ЗЧ всех типов должны задаваться в одинаковых единицах.
6.2.3 При расчете запасов в комплекте ЗИП должны учитываться только затраты на ЗЧ, а не полные затраты на комплекты ЗИП, в которые (наряду с затратами на ЗЧ) входят затраты на контрольно-измерительные приборы, инструменты и эксплуатационные материалы, так как их запасы согласно
5.4.14 не рассчитывают по методикам настоящего стандарта.
6.2.4 При необходимости в расчетах суммарных затрат на ЗЧ могут учитываться дополнительные денежные затраты на транспортировку (доставку) ЗЧ в комплекты ЗИП из различных источников пополнения. Эти затраты целесообразно нормировать, то есть определять в расчете на одну доставку i-запчасти и включать в стоимость ЗЧ соответствующего типа.
7. Стратегии пополнения запасов в комплектах ЗИП
7.1 В методиках настоящего стандарта используют четыре типа стратегий пополнения запасов в комплектах ЗИП:
- периодическое пополнение (условный индекс

) <1>;
- периодическое пополнение с экстренными доставками

;
- непрерывное пополнение

;
- пополнение по уровню неснижаемого запаса

.
--------------------------------
<1> Для обозначения типа и параметра стратегии пополнения того или иного запаса в ЗИП-О или ЗИП-Г к индексу "
i" добавляется индекс "о" или "г" (например,

,

,
Liо и т.п.).
7.2 Кроме типа (индекса

) каждая стратегия пополнения характеризуется одним (
Ti) или двумя (
Ti и

) числовыми параметрами, имеющими значения:
- при
Ti =
Tпi - период планового пополнения
i-запаса,

- параметр не используется;
- при
Ti =
Tпi - период планового пополнения
i-запаса,

- время экстренной доставки ЗЧ
i-типа;
- при
Ti =
Tдi (
Tрi) - время доставки (ремонта) ЗЧ
i-типа,

- параметр не используется;
- при
Ti =
Tдi (
Tрi) - время доставки ЗЧ
i-типа,

- уровень неснижаемого запаса
i-типа.
7.3 Каждый отдельный запас в комплекте ЗИП может пополняться в общем случае по своей отдельной стратегии, отличающейся от других как типом

, так и значениями числовых параметров (
Ti и

). В практических расчетах целесообразно запасы СЧ, имеющих примерно одинаковые характеристики (интенсивность замен, стоимость, габариты, возможность восстановления после отказа и др.), объединять в группы с одинаковой стратегией пополнения.
При выборе типа и стратегии пополнения (если они не заданы в ТЗ) следует учитывать следующие рекомендации:
7.3.1 Стратегию периодического пополнения, предусматривающую, что пополнение запасов производится с плановой периодичностью Tпi следует применять для запасов невосстанавливаемых СЧ с относительно малой интенсивностью спроса на них и небольшими затратами (стоимостью, весом). Эта стратегия должна применяться в тех случаях, когда пополнение комплекта ЗИП в интервале времени (0, Tпi) технически невозможно или связано с неоправданно большими затратами (например, для ЗИП оборудования удаленных и (или) труднодоступных объектов, ЗИП на борту морского судна, находящегося в длительном плавании, и т.п.).
7.3.2 Стратегия периодического пополнения с экстренными доставками предусматривает, что кроме планового пополнения запаса с периодичностью Tпi в случае отказа комплекта ЗИП по i-запасу может быть осуществлено экстренное пополнение за время Tэдi. При этом возможны модификации стратегии.
Формирование заявки может происходить по факту отказа комплекта ЗИП или по факту отказа изделия по данному типу СЧ. Оба варианта совпадают в нерезервированных изделиях и не совпадают при наличии структурного резервирования. Эту стратегию рекомендуется применять для тех запасов, которые при стратегии

оказываются большими затратами (например, по массогабаритным параметрам или стоимости), то есть для запасов крупногабаритных дорогих и относительно ненадежных СЧ.
Количество ЗЧ, запрашиваемых в заявке на экстренную доставку, может быть различным в различных вариантах: от одной ЗЧ до пополнения запаса до начального уровня. В заявку могут быть включены ЗЧ только того типа, который привел к отказу комплекта ЗИП (или отказу изделия), а в других случаях заявка может быть многономенклатурной.
Применять данную стратегию целесообразно, когда дополнительные финансовые затраты на реализацию экстренных доставок имеют приемлемые размеры (например, не менее чем в два раза ниже стоимости дополнительных ЗЧ, которые следовало бы заложить в ЗИП при периодическом его пополнении).
7.3.3 Стратегию непрерывного пополнения применяют для запасов восстанавливаемых СЧ, которые либо обмениваются в ЗИП более высокого уровня, либо восстанавливаются в ремонтном органе и возвращаются в тот комплект ЗИП, из которого были изъяты.
Данную стратегию следует также использовать в двухуровневых системах ЗИП для пополнения запасов в одиночных комплектах из группового комплекта ЗИП системы.
Характерным для стратегии непрерывного пополнения является то, что заявка на пополнение формируется по каждой отказавшей СЧ отдельно, а время доставки (ремонта) при этом отсчитывается от момента изъятия из комплекта ЗИП (отказа СЧ в изделии) и поэтому может быть существенно меньшим, чем Tпi при периодическом пополнении.
7.3.4 Стратегия пополнения по уровню неснижаемого запаса предусматривает, что каждый раз, когда после последнего обращения к запасу данного типа в нем остается mi запасных частей, он пополняется до начального уровня за время Tдi. Эту стратегию рекомендуется применять для запасов относительно ненадежных, но дорогих СЧ в тех случаях, когда длительные простои изделия из-за их отсутствия в ЗИП ведут к резкому снижению эффективности или недопустимым технико-экономическим потерям.
В методиках настоящего стандарта данная стратегия пополнения используется только в ЗИП-О. В моделях оценки и расчета ЗИП-Г ее использование не предусмотрено.
7.3.5 Складские запасы, формируемые по нормам расхода ЗЧ, пополняются, как правило, периодически - один раз в год, но при необходимости (по согласованию с заказчиком или по его требованию) к ним может быть применена стратегия периодического пополнения с экстренными доставками или стратегия непрерывного пополнения. При этом во всех случаях каждый i-запас на складе пополняется до средней нормы его расхода.
8. Исходные данные для оценки и расчета запасов в комплектах ЗИП
8.1 Для оценки и расчета запасов в ЗИП-О или ЗИП-Г по критерию достаточности необходимы следующие исходные данные:
а) вид показателя достаточности (

или
Kг.ЗИП), а при решении прямой задачи оптимизации - и требуемое (заданное) его значение;
б) тип затрат на ЗЧ и единица их измерения, а при решении обратной задачи - и требуемое (заданное) значение ограничений по затратам (

,

);
в) общее количество типов ЗЧ (размер номенклатуры) комплекта ЗИП (Nо, Nг);
г) параметры запасов каждого типа в виде таблицы восьмипозиционных формуляров (таблица 8.1);
Таблица 8.1
Исходные данные для оценки или расчета ЗИП
<*>
i | ki, шт., или ki = 1 |  , 1/ч, или  , 1/ч | ci, един. затрат | | Ti, ч |  , ч или шт. | Li, шт. |
| | | | | | | 8 |
1 | | | | | | | |
2 | | | | | | | |
... | | | | | | | |
N - 1 | | | | | | | |
N | | | | | | | |
<*> Для сокращения записи в обозначениях параметров индексы "о" или "г" опущены, хотя в реальных задачах они должны указываться, так как значения тех или иных одноименных параметров для ЗИП-О и ЗИП-Г могут быть различными. |
д) количество обслуживаемых комплектом ЗИП-Г образцов однотипных изделий в
структуре 2 или комплектов ЗИП-О в
структуре 3 (
S);
е) точность вычисления ПД комплектов ЗИП-О (ЗИП-Г) (

или

).
Примечания
1 При расчете запасов в ЗИП-О параметр S не используется.
2 Случай неоднотипных изделий, как редко встречающийся в практике проектирования ЗИП-Г, в настоящем стандарте не рассматривается.
3 Параметры

задают или используют только при расчетах без ПЭВМ.
8.2 В каждой строке таблицы исходных данных (см.
таблицу 8.1) последовательно записывают числовые значения следующих параметров запаса:
i - порядковый номер запаса в ЗИП. Для удобства пользователя здесь же (или левее в дополнительной графе) могут быть указаны шифр или наименование СЧ;
ki (или S kij) - количество СЧ i-типа в изделии, обслуживаемом комплектом ЗИП-О (или в группе из S изделий, обслуживаемых ЗИП-Г);

или

- интенсивность замен СЧ
i-типа (или интенсивность спроса на ЗЧ
i-типа), 1/ч;
ci - затраты на одну ЗЧ i-типа в единицах затрат (руб., м3, кг);

,
Ti,

- тип и параметры заданной (принятой) стратегии пополнения запаса
i-типа в ЗИП;
Li - начальный уровень запаса i-типа в ЗИП.
Примечание - Если в составе изделия имеются СЧ, наработка которых измеряется не в часах (например, в километрах пробега, циклах срабатывания и т.п.), то интенсивность их замены

перед внесением в таблицу исходных данных должна быть пересчитана в размерность 1/ч по формулам

или

, где

- средний пробег за 1 ч,
f[цикл/ч] - среднее число циклов срабатывания за 1 ч.
8.3 Для оценки и расчета запасов в ЗИП-О или ЗИП-Г по критерию надежности необходимы следующие исходные данные:
а) вид показателя надежности (P(t), T0 или Kг), по уровню которого выбирают комплект ЗИП, а при решении прямой задачи оптимизации - и требуемое (заданное) его значение;
б) тип затрат на ЗЧ и единица их измерения, а при решении обратной задачи - и требуемое (заданное) значение ограничений по затратам (

,

);
в) общее количество типов ЗЧ (размер номенклатуры) комплекта ЗИП (N0, Nг);
г) параметры запасов каждого типа в виде таблицы восьмипозиционных формуляров (таблица 8.2); в
графах 9 -
11 указываются среднее число запросов, нормируемый показатель надежности и тип модели надежности (схемы резервирования);
Таблица 8.2
Исходные данные для оценки или расчета ЗИП
i | ki, шт., или mi = 1 |  , 1/ч, или  , 1/ч | ci, един. затрат | | Ti, ч |  , ч или шт. | Li, шт. | Ai | ПНi | Тип модели |
| 2 | | 4 | 5 | 6 | 7 | 8 | | 10 | |
1 | | | | | | | | | | |
2 | | | | | | | | | | |
... | | | | | | | | | | |
N - 1 | | | | | | | | | | |
N | | | | | | | | | | |
д) количество обслуживаемых комплектом ЗИП-Г образцов однотипных изделий в
структуре 2 или комплектов ЗИП-О в
структуре 3 (
S);
е) наличие резервирования СЧ
i-типа (да или нет), а при наличии резервирования - схема резервирования (или тип модели надежности из типового перечня
[2]);
ж) точность вычисления ПН при использовании комплектов ЗИП-О (ЗИП-Г) (

или

).
Примечания
1 При расчете запасов в ЗИП-О параметр S не используется.
2 Случай неоднотипных изделий, как редко встречающийся в практике проектирования ЗИП-Г, в настоящем стандарте не рассматривается.
3 Параметры

задают или используют только при расчетах без ПЭВМ.
4 Тип модели состоит из указателя стратегии пополнения (

,

,

,

) порядкового номера типовой схемы резервирования (
таблица А.7 приложения А).
8.4 При оценке запасов в комплекте ЗИП значения начальных уровней запаса ni задают в качестве исходных данных (либо по данным проверяемого расчета, либо по данным "Ведомости ЗИ" оцениваемого комплекта).
8.5 Величина

, вносимая в таблицу исходных данных, определяется как сумма интенсивности замен СЧ
i-типа из-за отказов их в различных режимах работы изделий, профилактических замен при техническом обслуживании, а также из-за отказов ЗЧ при хранении их в комплекте ЗИП. При необходимости (при недостаточной глубине диагностики) должна учитываться также определенная доля ошибочных изъятий СЧ из изделия в процессе поиска причины (места) неисправности.
8.6 При подготовке исходных данных для расчета или оценки запасов в комплектах ЗИП вместо
ki и

допускается использовать обобщенный параметр - интенсивность спроса на ЗЧ
i-типа

, которую записывают в
графу 3 таблицы 8.1 (8.2), а в
графе 2 проставляют единицу
ki = 1.
Для случая ЗИП-О значение

вычисляют по формуле:

, (8.1)
а для ЗИП-Г, обслуживающего группу из S однотипных изделий, - по формуле:

. (8.2)
8.7 Для удобства расчетов данные в
таблице 8.1 (8.2) рекомендуется группировать по типу и параметрам стратегий пополнения запасов в ЗИП и по типу схемы резервирования (типу модели надежности), то есть запасы, имеющие одинаковые значения параметров

,
Ti,

и одинаковые схемы резервирования, объединяют в одну группу.
9. Методики оценки запасов в комплектах ЗИП по критерию достаточности
Перечень методик, их наименование и назначение приведены в таблице 9.1.
Таблица 9.1
Перечень методик, их наименование и назначение
N | Наименование | Назначение | Обозначение | Примечание |
1 | Оценка запасов в комплекте ЗИП-О по критерию достаточности | Оценка фактического значения ПД при известном составе комплекта ЗИП-О | | Оценивают Kг.ЗИП-О или  |
2 | Оценка запасов в комплекте ЗИП-Г по критерию достаточности | Оценка фактического значения ПД при известном составе комплекта ЗИП-Г | | Оценивают Kг.ЗИП-Г или  |
3 | Расчет оптимальных запасов в комплекте ЗИП-О по критерию ПД (прямая задача) | Оптимизация запасов в ЗИП-О по критерию достаточности (прямая задача) | | Минимизация затрат на ЗИП-О при выполнении требований к ПД |
4 | Расчет оптимальных запасов в комплекте ЗИП-О по критерию ПД (обратная задача) | Оптимизация запасов в ЗИП-О по критерию достаточности (обратная задача) | | Минимизация ПД при заданных затратах на начальные запасы в ЗИП-О |
5 | Расчет оптимальных запасов в комплекте ЗИП-Г по критерию ПД (прямая задача) | Оптимизация запасов в ЗИП-Г по критерию достаточности (прямая задача) | | Минимизация затрат на ЗИП-Г при выполнении требований к ПД |
6 | Расчет оптимальных запасов в комплекте ЗИП-Г по критерию ПД (обратная задача) | Оптимизация запасов в ЗИП-Г по критерию достаточности (обратная задача) | | Минимизация ПД при заданных затратах на начальные запасы в ЗИП-Г |
7 | Оценка запасов в двухуровневой системе ЗИП | Оценка фактического значения ПД при известном составе комплектов в системе ЗИП | | Оценивают Kг.ЗИП-О или  |
8 | Расчет оптимальных запасов в системе ЗИП по критерию ПД (прямая задача) | Оптимизация запасов в СЗИП по критерию достаточности (прямая задача) | | Минимизация затрат на СЗИП при выполнении требований к ПД |
9 | Расчет оптимальных запасов в системе ЗИП по критерию ПД (обратная задача) | Оптимизация запасов в СЗИП по критерию достаточности (обратная задача) | | Минимизация ПД при заданных затратах на начальные запасы в СЗИП |
10 | Оценка запасов в комплекте ЗИП-О по критерию надежности | Оценка фактического значения ПН при известном составе комплектов в системе ЗИП-О | | Оценивают показатели надежности с учетом ЗИП-О |
11 | Расчет запасов в комплекте ЗИП-Г по критерию надежности | Оценка фактического значения ПН при известном составе комплектов в системе ЗИП-Г | | Оценивают показатели надежности с учетом ЗИП-Г |
12 | Расчет оптимальных запасов в системе ЗИП-О по критерию надежности (прямая задача) | Оптимизация запасов в ЗИП-О по критерию надежности (прямая задача) | | Минимизация затрат на ЗИП-О при выполнении требований к ПН |
13 | Расчет оптимальных запасов в системе ЗИП-О по критерию надежности (обратная задача) | Оптимизация запасов в ЗИП-О по критерию надежности (обратная задача) | | Минимизация затрат на ЗИП-О при выполнении требований к ПН |
14 | Расчет оптимальных запасов в системе ЗИП-Г по критерию надежности (прямая задача) | Оптимизация запасов в ЗИП-Г по критерию надежности (прямая задача) | | Минимизация затрат на ЗИП-Г при выполнении требований к ПН |
15 | Расчет оптимальных запасов в системе ЗИП-Г по критерию надежности (обратная задача) | Оптимизация запасов в ЗИП-Г по критерию надежности (обратная задача) | | Минимизация затрат на ЗИП-Г при выполнении требований к ПН |
16 | Обеспечение запасными частями по нормам расхода | Расчет значений норм расхода ЗЧ на эксплуатацию одного изделия | | Значение норм расхода ЗЧ рассчитывают как средний расход |
9.1. Оценка запасов в комплекте ЗИП-О по критерию достаточности (методика 9.1)
9.1.1 Исходные данные для оценки запасов в комплекте ЗИП-О формируются в объеме, установленном в
разделе 8, применительно к конкретному изделию и заданным (выбранным) стратегиям их пополнения.
9.1.2 Среднее число поступающих в комплект ЗИП-О заявок на ЗЧ для запаса каждого типа на период пополнения (время доставки, ремонта) вычисляют по формуле:

при заданной

(9.1)
или

при заданной

. (9.2)
9.1.3 Для каждого запаса вычисляют промежуточный расчетный показатель Riо (Aiо, Liо) по следующим формулам:
а) при периодическом пополнении

:

(9.3)
б) при периодическом пополнении с экстренными доставками

:

(9.4)
в) при непрерывном пополнении

:

; (9.5)
г) при пополнении по уровню неснижаемого запаса
mi 
:

(9.6)
Примечание - При расчетах по
формуле (9.4) без использования ПЭВМ выражения во внутренней сумме
A[
Aiо,
Liо,
j*] вычисляют до того значения индекса
j* суммирования, при котором эти выражения впервые удовлетворяют неравенству:

.
При расчетах на ПЭВМ правая часть этого неравенства заменяется значением 10-7, что во всех случаях обеспечивает высокую точность вычисления ПД как отдельных запасов, так и комплектов ЗИП-О в целом.
9.1.4 Значения ПД комплекта ЗИП-О вычисляют по формулам:

; (9.7)

. (9.8)
9.1.5 Суммарные затраты на ЗЧ в оцениваемом комплекте ЗИП-О определяют по
формуле (6.13).
9.2. Оценка запасов в комплекте ЗИП-Г (методика 9.2)
Оценку проводят в следующем порядке.
9.2.1 Формируют исходные данные в объеме, установленном в
разделе 8, применительно к конкретному изделию, комплекту ЗИП-Г и заданным (выбранным) стратегиям его пополнения.
9.2.2 Для запаса каждого типа вычисляют среднее число заявок на ЗЧ этого типа, поступающих в комплект ЗИП-Г за период пополнения (время доставки, ремонта), по формулам:

при заданном

(9.9)
или

при заданном

. (9.10)
9.2.3 Последовательно вычисляют:
- среднюю суммарную интенсивность спроса на ЗЧ всех типов в комплекте ЗИП-Г по формуле:

; (9.11)
- промежуточные расчетные показатели

по следующим формулам:
а) при периодическом пополнении

:

(9.12)
б) при периодическом пополнении с экстренными доставками

:

; (9.13)
в) при непрерывном пополнении

:

. (9.14)
Примечание - При расчетах по
формулам (9.12) и
(9.13) без использования ПЭВМ выражения в квадратных скобках, содержащие бесконечные суммы, вычисляют до того значения индекса суммирования, при котором эти выражения впервые удовлетворяют неравенству:

.
При расчетах на ПЭВМ правая часть этого неравенства заменяется значением 10-7, что во всех случаях обеспечивает высокую точность вычисления ПД как отдельных запасов, так и комплектов ЗИП-Г в целом.
9.2.4 Показатель достаточности комплекта ЗИП-Г вычисляют по формуле:

. (9.15)
9.2.5 Суммарные затраты на ЗЧ в оцениваемом комплекте ЗИП-Г определяют по
формуле (6.14).
10. Методики расчета оптимальных запасов в комплектах ЗИП по критерию достаточности
10.1. Расчет оптимальных запасов в комплекте ЗИП-О по критерию ПД (методика 10.1)
10.1.1 Исходные данные для расчета оптимальных запасов в комплекте ЗИП-О формируются в объеме, установленном в
разделе 8, применительно к конкретному изделию и заданным (выбранным) стратегиям его пополнения.
При решении прямой задачи оптимизации комплекта ЗИП-О в качестве исходных данных используют требуемое значение ПД (

или

) и вид затрат, которые требуется оптимизировать (минимизировать) при достижении заданных ПД.
При решении обратной задачи в качестве исходных данных используют величину ограничений по затратам

и заданный (выбранный) ПД (

или
Kг.ЗИП-О), который требуется оптимизировать при заданных ограничениях по суммарным затратам.
10.1.2 Расчет оптимальных запасов в комплекте ЗИП-О по критерию ПД (прямая задача)
Прямую задачу оптимизации решают в следующем порядке.
10.1.2.1 По исходным данным (см.
таблицу 8.1) и заданным ПД ЗИП-О вычисляют расчетный показатель
D0 по формуле:

. (10.1)
10.1.2.2 Для удобства вычислений формируют таблицу, форма которой приведена в таблице 10.1. Таблица содержит
N0 строк и 12 граф, из которых
графы 1 -
8 - из
таблицы 8.1 и четыре новые (
графы 9 -
12).
Таблица 10.1
Дополнительная таблица для записи промежуточных результатов
расчета оптимальных запасов в комплекте ЗИП-О
по методике 10.1
i0 | ... | Li0 | Ai0 | Ri0(Ai0; Li0) | Ri0(Ai0; Li0 + 1) | |
| | | | | | |
1 | ... | | | | | |
2 | ... | | | | | |
... | ... | | | | | |
N0 - 1 | ... | | | | | |
N0 | ... | | | | | |
10.1.2.4 Для каждого запаса
i0 = 1,...,
N0 в соответствии с принятой для него стратегией пополнения (
графы 5,
6,
7 таблицы 8.1) путем итерационных вычислений по одной из
формул (9.3) -
(9.6) определяют первоначальный (нулевой) уровень запаса, то есть такое минимальной значение

, для которого промежуточный расчетный показатель

удовлетворяет неравенству:

. (10.2)
10.1.2.5 Для каждого
i0 = 1,...,
N0 найденное значение

увеличивают на единицу, определяют по
формуле (10.2) соответствующее значение
Ri0(
Ai0;
Li0 + 1) и записывают его в
графу 11 таблицы 10.1.
10.1.2.6 Для каждого
i0 = 1,...,
N0 определяют значение отношения:

(10.3)
Примечание - Расчеты, проведенные в
10.1.2.3 -
10.1.2.6, рекомендуется выполнять последовательно для запаса одного типа (по одной строке
таблицы 10.1), затем переходить к следующему запасу (строке) и т.д.
10.1.2.7 После окончания "нулевого" шага алгоритма оптимизации (то есть вычислений по
10.1.2.1 -
10.1.2.6 для всех запасов) вычисляют исходное (первоначальное) значение:

(10.4)
(то есть определяют сумму чисел, стоящих в
графе 10 таблицы 10.1) и проверяют выполнение условия

. Если условие выполняется, то совокупность значений

, записанных в
графе 8 таблицы 10.1, является искомым (оптимальным по затратам) начальным уровнем запасов в комплекте ЗИП-О.
10.1.2.8 Если

, процесс оптимизации продолжают итерационно - на каждом (
l) шаге добавляют только одну запасную часть и только одного типа (в одной строке
таблицы 10.1), а именно того, для которого на этом шаге значение

оказывается максимальным.
Процесс итерационного вычисления оптимальных запасов в комплекте ЗИП-О завершается при выполнении условия

.
Первый и каждый очередной (l) шаг алгоритма оптимизации выполняют в следующем порядке:
| | ИС МЕГАНОРМ: примечание. В официальном тексте документа, видимо, допущена опечатка: имеются в виду пункты 10.1.2.4 - 10.1.2.6, а не 10.1.4 - 10.1.6. | |
б) изменяют значения, записанные в

таблицы (кроме значения
Ai0 в
графе 9), а именно в
графе 8 количество ЗЧ увеличивают на 1

и в
графу 10 переносят значение

, которое на предыдущем шаге алгоритма стояло в
графе 11 этой строки. В освободившиеся
графы 11 и
12 строки записывают новые значения

и

, которые вычисляют, как указано в
10.1.4 -
10.1.6;
в) определяют новое значение

как сумму чисел, стоящих в
графе 10 таблицы 10.1. При этом нет необходимости снова складывать
Nо чисел, а достаточно из старого значения

вычесть значение произведения

, где
ci*о берут из
графы 4 таблицы 8.1.
10.1.2.9 Искомый оптимальный по затратам комплект ЗИП-О определяют как совокупность значений

записанных в
графе 8 таблицы 10.1 после последнего

, алгоритма оптимизации.
10.1.2.10 В соответствии с
методикой 9.1 оценки запасов в комплекте ЗИП-О проводят контрольную оценку ПД рассчитанного комплекта, принимая в
формулах (9.7) или
(9.8) сумму промежуточных расчетных показателей
Ri0 равной последней сумме чисел в
графе 10 таблицы 10.1, а именно:

. (10.5)
10.1.2.11 Суммарные затраты на ЗЧ рассчитанного комплекта ЗИП-О вычисляют по
формуле (6.13).
10.1.3 Расчет оптимальных запасов в комплекте ЗИП-О по критерию ПД (обратная задача)
Обратную задачу оптимизации комплекта ЗИП-О (то есть задачу расчета оптимальных запасов в комплекте ЗИП-О при заданном ограничении на затраты) решают в следующем порядке.
10.1.3.3 В
графе 12 таблицы 10.1 находят максимальное число

и запоминают номер строки, в которой оно находится -

. В
графы 8 и
10 этой строки записывают соответственно значения
Li*о и
Ri*о(
Ai*о; 1), в
графу 11 - значения функции
Ri*о(
Ai*о; 2), а в
графу 12 - новое значение

.
10.1.3.4 В
графе 4 этой строки находят значение
ci*о и сравнивают его с

.
Если

, то процесс формирования оптимального комплекта ЗИП-О закончен.
Если

, процесс оптимизации продолжают в порядке, аналогичном описанному в
10.1.2.8, но после каждого шага проверяют условие:

. (10.6)
10.1.3.5 Оптимизацию прекращают на

, на котором
условие (10.6) выполняется в последний раз.
Совокупность значений

, которые будут записаны в
графе 8 таблицы 10.1 на этом шаге, и будет искомым (оптимальным по ПД при заданных ограничениях на затраты) начальным уровнем запасов каждого типа в комплекте ЗИП-О.

. (10.7)
10.1.3.6 Если в ТЗ на разработку изделия (или комплекта ЗИП) было оговорено, что комплект ЗИП должен обязательно содержать ЗЧ всех типов (или определенные типы ЗЧ), то первоначальные значения

в
графе 8 таблицы 10.1 для всех
i0 = 0,...,
Nо (или только для указанных типов ЗЧ) принимают равными единице. При этом перед началом расчета необходимо проверить, что затраты на первоначальный комплект ЗЧ не превышают заданных ограничений, то есть что для него выполняется
условие (10.6). Если это условие не выполняется, требования по обязательной номенклатуре ЗЧ или по ограничениям на затраты должны быть пересмотрены.
10.2. Расчет оптимальных запасов в комплекте ЗИП-Г (методика 10.2)
10.2.1 Формируют исходные данные в объеме, установленном в
разделе 8, применительно к конкретному изделию, проектируемому ЗИП-Г и заданным (выбранным) стратегиям его пополнения.
При решении прямой задачи оптимизации комплекта ЗИП-Г в качестве исходных данных используют требуемое значение ПД

и вид затрат, которые требуется минимизировать.
При решении обратной задачи оптимизации в качестве исходных данных используют величину ограничений по затратам на ЗЧ

, в пределах которой требуется максимизировать показатель достаточности комплекта ЗИП-Г.
10.2.2 Расчет оптимальных запасов в комплекте ЗИП-Г по критерию ПД (прямая задача)
Прямую задачу оптимизации решают в следующем порядке.
10.2.2.1 В соответствии с исходными данными по запасам (
графы 1 -
3 таблицы 8.1) по
формуле (9.11) вычисляют суммарную интенсивность спроса на ЗЧ всех типов всеми изделиями в обслуживаемой ЗИП-Г группе изделий

, а затем - расчетный показатель
DГ по формуле:

. (10.8)
10.2.2.2 Формируют (аналогично
10.1.2.2) дополнительную таблицу по форме, приведенной в таблице 10.2.
Таблица 10.2
Дополнительная таблица для записи промежуточных результатов
расчетов оптимальных запасов в комплекте ЗИП-Г
по методике 10.2
iг | ... | Liг | Aiг | RiГ(Aiг; Liг) | RiГ(Aiг; Liг + 1) | |
1 | | | | | | |
1 | ... | | | | | |
2 | ... | | | | | |
... | ... | ... | ... | ... | ... | ... |
iг | | | | | | |
... | ... | ... | ... | ... | ... | ... |
Nг | | | | | | |
10.2.2.4 Для каждого
iг = 1,...,
Nг в зависимости от стратегии пополнения
i-запаса путем итерационных вычислений по одной из
формул (9.12) -
(9.14) находят первоначальный (нулевой) уровень запасов, то есть такое минимальное значение

, для которого промежуточный расчетный показатель

, вычисленный на последнем шаге итерационных расчетов, впервые удовлетворяет неравенству:

. (10.9)
Найденное значение

записывают в
графу 8 i-строки таблицы 10.2, а в
графу 10 - соответствующее ему значение

. Совокупность значений

, полученных после завершения итерационных вычислений для последнего запаса, и будет исходным вариантом проектируемого комплекта ЗИП-Г.
10.2.2.6 Вычисляют отношение разности чисел, стоящих в
графах 10 и
11, к затратам на одну ЗЧ
i-типа:

, (10.10)

, (10.11)
и проверяют выполнение неравенства:

. (10.12)
Если
неравенство (10.12) выполняется, работа алгоритма заканчивается - записанный в
графе 8 комплект ЗИП-Г является оптимальным по затратам и удовлетворяет требованиям по ПД.
ПД

этого комплекта вычисляют по формуле:

(10.13)
и сравнивают (для контроля) с заданным

.
Первый и каждый последующий
l-шаг алгоритма оптимизации выполняют в порядке, аналогичном изложенному в
10.1.2.8 для ЗИП-О, а именно:
- число

в
графе 8 этой строки увеличивают на 1, вычисляют разность значения

, подсчитанного на предыдущем шаге, и

- числа, стоящего в
графе 12 строки

, помноженного на число
ci*г из
графы 4 (стоимости одной ЗЧ), получая новое значение:

, (10.14)
Если неравенство выполнено, то работа алгоритма закончена.
- в
графу 10 записывают число, которое на (
l - 1) шаге стояло в
графе 11, а в
графу 11 записывают новое значение

, которое вычисляют по той же
формуле, что и предыдущее значение этого показателя;
- в
графу 12 записывают новое значение

.
На этом
l-шаг алгоритма заканчивается. Далее реализуется (
l + 1) шаг алгоритма, на котором все описанные выше операции повторяют, и так до тех пор, пока на

(при

) не будет выполнено
условие (10.12). Полученные на этом шаге значения

образуют искомый оптимальный комплект ЗИП-Г. После этого по
формуле (10.13) при

проводят контрольную оценку ПД рассчитанного комплекта ЗИП-Г.
10.2.2.9 Суммарные затраты на ЗЧ в рассчитанном комплекте ЗИП-Г вычисляют по
формуле (6.11).
10.2.3 Расчет оптимальных запасов в комплекте ЗИП-Г по критерию ПД (обратная задача)
Обратную задачу оптимизации (то есть задачу расчета оптимальных запасов в комплекте ЗИП-О при заданном ограничении на затраты) решают в порядке, аналогичном изложенному в
10.1.3 (для обратной задачи оптимизации ЗИП-О), но с использованием промежуточных расчетных показателей, приведенных в
10.2.2 (для прямой задачи оптимизации ЗИП-Г), и дополнительной
таблицы значений 10.2.
11. Двухуровневая система ЗИП. Оценка и расчет оптимальных запасов по критерию достаточности
11.1 Методики, описанные в
разделах 9 и
10, позволяют проводить оценку и расчет оптимальных запасов в двухуровневой системе ЗИП при следующих ограничениях, соответствующих большинству встречающихся на практике случаев:
а) все комплекты ЗИП-О в системе одинаковые (приданы однотипным изделиям, эксплуатирующимся в одинаковых условиях);
б) все запасы в ЗИП-О в системе пополняются только из ЗИП-Г и только по стратегии непрерывного пополнения (

для всех
iо = 1,...,
Nо), то есть отказавшие сменные СЧ
i-типа обмениваются в ЗИП-Г на исправные в среднем за время T
дi (которое для разных запасов может быть различным по величине).
11.2 Учет ограниченности комплекта ЗИП-Г при оценке показателей достаточности двухуровневой системы ЗИП (

или
Kг.ЗИП-О в
6.1.3) во всех случаях осуществляют путем увеличения параметров стратегий пополнения запасов в ЗИП-О, первоначально выбранных в предположении, что запасы в ЗИП-Г не ограничены, на величину

по формуле:

. (11.1)
11.3 Суммарные затраты на ЗЧ в системе ЗИП вычисляют во всех случаях по
формуле (6.15):

.
11.4 Исходные данные по системе ЗИП формируют как совокупность исходных данных по ЗИП-О и ЗИП-Г системы в объеме и порядке, предусмотренных в
разделе 8. При этом значения параметров стратегий пополнения запасов в ЗИП-Г
Tjг и

выбирают (задают) из условия, что все они пополняются из НИП (см.
рисунок 1).
11.5 Оценка показателей достаточности и расчет оптимальных запасов в двухуровневой системе ЗИП требуют, как правило, большого числа итераций и поэтому наиболее успешно могут быть реализованы на ПЭВМ.
11.6 Оценка запасов в двухуровневой системе ЗИП (методика 11.1)
Оценку запасов в двухуровневой системе ЗИП проводят в следующем порядке.
11.6.1 Формируют исходные данные в соответствии с
11.4 применительно к конкретной группе изделий, структуре обслуживающей ее СЗИП и принятыми стратегиями пополнения запасов в комплектах ЗИП-О и ЗИП-Г, образующих СЗИП.
11.6.2 По
методике 9.2 определяют ПД, входящего в СЗИП комплекта ЗИП-Г -

.
11.6.3 Корректируют параметры стратегий пополнения запасов в комплектах ЗИП-О, входящих в СЗИП, по
формуле (11.1).
11.6.4 По
методике 9.1 при скорректированных значениях T
дjо определяют ПД комплекта ЗИП-О (

или
Kг.ЗИП-О), который и будет искомым ПД СЗИП.
11.7 Расчет оптимальных запасов в системе ЗИП (методика 11.2)
Расчет оптимальных запасов в СЗИП проводят в следующем порядке.
11.7.1 Формируют исходные данные в соответствии с
11.4 применительно к конкретной группе изделий, структуре проектируемой СЗИП и заданным (выбранным) стратегиям пополнения запасов в комплектах ЗИП-О и ЗИП-Г, образующих СЗИП.
Для решения задачи прямой оптимизации, кроме того, должны быть заданы (выбраны) требуемые (приемлемые) значения ПД ЗИП-О (

или

) и ПД ЗИП-Г в СЗИП -

.
Для решения задачи обратной оптимизации должны быть заданы ограничения по затратам на ЗЧ в СЗИП -

.
11.7.2 Расчет оптимальных запасов в системе ЗИП (прямая задача)
Прямую задачу оптимизации решают в следующем порядке.
11.7.2.1 Корректируют значения параметров стратегий пополнения всех запасов в комплектах ЗИП-О из ЗИП-Г по
формуле (11.1), то есть увеличивает их на заданную (выбранную) величину

.
11.7.2.2 По
методике 10.1 рассчитывают оптимальные запасы в каждом из
S-комплектов ЗИП-О, удовлетворяющие заданному на систему значению ПД (

или

).
11.7.2.3 По
методике 10.2 рассчитывают оптимальные запасы в ЗИП-Г, удовлетворяющие заданному (выбранному) ПД

.
11.7.2.4 По
формуле (6.12) определяют суммарные затраты на ЗЧ в системе.
Примечание - Если уровни ПД

(или

) и

не заданы, то выбрать удовлетворительный по ПД и суммарным затратам вариант системы ЗИП можно только путем проведения нескольких (серии) расчетов, последовательно изменяя уровни ПД в некотором диапазоне значений (методом "направленного перебора") (для
11.7.2.1 -
11.7.2.4).
11.7.3 Расчет оптимальных запасов в системе ЗИП (обратная задача)
Обратную задачу оптимизации для двухуровневой системы ЗИП решают методом "направленного перебора". Для этого по аналогии с прототипами проектируемой системы ЗИП (или из других технико-экономических соображений) выбирают несколько (диапазон) значений ПД ЗИП-О (

или

) и ПД ЗИП-Г

и для разных вариантов этих значений поочередно решают прямую задачу оптимизации, как указано в
11.7.2, в следующем порядке.
После решения каждого варианта проверяют условие:

. (11.2)
Если
условие (11.2) выполнено и разность между

и

не превышает 10%

(или другого согласованного с заказчиком значения), то расчеты заканчивают.
Если при выполнении
условия (11.2) разность в затратах больше 10%, то требования к ПД системы повышают (уменьшают

и (или)

или увеличивают

) и проводят новый расчет оптимальных запасов, после которого снова проверяют
условие (11.2) и т.д., пока не будет получено значение

достаточно близкое к

.
Если
условие (11.2) после какого-то очередного расчета оказывается невыполненным, то требования к ПД снижают и проводят новый расчет, после которого снова проверяют
условие (11.2), и т.д., пока не будет получено значение

, удовлетворяющее заданным ограничениям.
Однако если при этом окажется, что ПД системы ЗИП снижается ниже допустимого (приемлемого для заказчика) уровня, то заданные ограничения по затратам должны быть пересмотрены.
12. Методики оценки запасов в комплектах ЗИП по критерию надежности
12.1. Оценка запасов в комплекте ЗИП-О по критерию надежности (методика 12.1)
Таблица 12.1
формуляр комплекта ЗИП-О
iо | kiо, шт. или kiо = 1 |  , 1/ч, или  , 1/ч | ci, ед. затрат | | Tiо, ч |  ч или шт. | Liо, шт. | Aiо | Riо | ПНi | Тип модели |
| 2 | 3 | 4 | 5 | 6 | 7 | | | | | |
1 | k1о | | c1о | | T1о | | L1о | A1о | | ПН1о | М1о |
... | ... | ... | ... | ... | ... | ... | ... | ... | | ... | ... |
N | kNо | | cNо | | TNо | | LNо | ANо | | ПНNо | МNо |
Для этого выполняют следующие действия.
12.1.3 По структурно-надежностной схеме (СНС) определяют тип модели надежности и записывают в
графу 12 таблицы формуляров.
12.1.4 По
таблице 8.2 определяют нормируемый показатель надежности для элементов
iо-типа и записывают в
графу 11 таблицы формуляров. В качестве нормируемого показателя надежности могут выступать вероятность безотказной работы, средняя наработка до отказа, коэффициент готовности изделия (или СЧ), коэффициент оперативной готовности.
12.1.5 Для каждого запаса вычисляют промежуточный расчетный показатель Riо(Aiо, Liо) с учетом выбранной (заданной) стратегии пополнения по следующим формулам:

(12.1)
для показателей надежности: вероятность безотказной работы, средняя наработка до отказа;

(12.2)
для коэффициента готовности изделия (или СЧ);

(12.3)
для коэффициента оперативной готовности изделия (или СЧ).
При использовании средней наработки ее вычисляют по формуле:

. (12.4)
Формулы для расчета вероятности безотказной работы, средней наработки до отказа, коэффициента готовности изделия (или СЧ), коэффициента оперативной готовности при различных стратегиях пополнения следует взять из
[2] для однофункциональных систем.
12.1.6 Задают нормативное значение ПН
0 (
P0,

или

) и вычисляют:
D = -lnПН0. (12.5)
12.1.7 Определяют сумму чисел в
графе 10:

(12.6)
и убеждаются, что не выполняется неравенство:
Rо <= D. (12.7)
12.1.8 Показатель надежности находят по одной из формул:
Pс = elnR, Kгс = elnR, Kогс = elnR. (12.8)
12.1.10 Суммарные затраты на ЗЧ в оцениваемом комплекте ЗИП-О определяют по
формуле (6.13).
12.2. Оценка запасов в комплекте ЗИП-Г по критерию надежности (методика 12.2)
Комплект ЗИП-Г непосредственно обслуживает S образцов одинаковых изделий. Показатели надежности оценивают только для одного образца из S с учетом потребления ЗЧ остальными S-1 образцами. Оценку запасов проводят в следующем порядке.
12.2.1 Формируют исходные данные в объеме, установленном в
разделе 8, применительно к конкретному изделию, комплекту ЗИП-Г и заданным (выбранным) стратегиям его пополнения.
Таблица 12.2
формуляр комплекта ЗИП-Г
iг | ki, шт. или ki = 1 |  , 1/ч, или  , 1/ч | ci, ед. затрат | | Tiг, ч |  ч или шт. | Liг, шт. | Aiг | Biг | Riг | ПНi | Тип модели |
1 | 2 | 3 | 4 | 5 | 6 | 7 | 8 | 9 | | | | |
1 | k1 | | c1 | | T1г | | L1г | A1г | B1г | R1г | ПН1 | М1 |
... | ... | ... | ... | ... | ... | ... | ... | ... | ... | ... | ... | ... |
Nг | kNг | | cNг | | TNг | | LNг | ANг | BNг | RNг | ПНNг | МNг |
Здесь
Aiг рассчитывают для одного образца изделия по формулам, приведенным в
разделе 9.
Оценку проводят в следующем порядке.
12.2.2 Среднее потребление ЗЧ остальными образцами Biг по формуле:
Biг = (S - 1) Aiг (12.9)
12.2.3 По структурно-надежностной схеме (СНС) определяют тип модели надежности и записывают в
графу 13 таблицы формуляров.
В качестве нормируемого показателя надежности могут выступать вероятность безотказной работы, средняя наработка до отказа, коэффициент готовности изделия (или СЧ), коэффициент оперативной готовности.
12.2.5 Для каждого запаса вычисляют промежуточный расчетный показатель Riг(Aiг, Liг) с учетом выбранной (заданной) стратегии пополнения по следующим формулам:

(12.10)
для показателей надежности: вероятность безотказной работы, средняя наработка до отказа;

(12.11)
для коэффициента готовности изделия (или СЧ);

(12.12)
для коэффициента оперативной готовности изделия (или СЧ).
При использовании средней наработки ее вычисляют по формуле:

. (12.13)
Формулы для расчета вероятности безотказной работы, средней наработки до отказа, коэффициента готовности изделия (или СЧ), коэффициента оперативной готовности при различных стратегиях пополнения следует взять из
[2] для многофункциональных систем.
12.2.6 Суммируют значения в
графе 11, получают значение
R и затем находят показатель надежности по одной из формул:
Pс = elnR, Kгс = elnR, Kогс = elnR. (12.14)
12.2.7 Показатель достаточности комплекта ЗИП-Г вычисляют по формуле:

. (12.15)
12.2.8 Суммарные затраты на ЗЧ в оцениваемом комплекте ЗИП-Г определяют по
формуле (6.14).
13. Методики расчета оптимальных запасов в комплектах ЗИП по критерию надежности
13.1. Расчет оптимальных запасов в комплекте ЗИП-О по критерию ПД (методика 13.1)
13.1.1 Исходные данные для расчета оптимальных запасов в комплекте ЗИП-О формируются в объеме, установленном в
разделе 8, применительно к конкретному изделию и заданным (выбранным) стратегиям его пополнения.
13.1.2 Алгоритм расчета оптимальных запасов состоит из трех укрупненных составных частей: расчета базового комплекта, оптимизации комплекта, оценки запасов в комплекте ЗИП.
13.1.3 Для расчета базового комплекта выполняют следующие действия.
13.1.3.1 Проводят подготовку исходных данных в форме таблицы формуляров (таблица 13.1), в которой заполняют первые семь граф.
Таблица 13.1
iо | kiо | | ciо | | Tiо | | Liо | Aiо | Riо (Ai, Li) | Riо(Ai, Li +1) | |
| 2 | 3 | | 5 | 6 | | | | | | |
1 | n1 | | C1 | | T1 | | L1 | A1 | | | |
... | ... | ... | ... | ... | ... | ... | ... | ... | | | |
N | nN | | CN | | TN | | LN | AN | | | |
В них указывают: порядковый номер типа запасов
iо, количество модулей
i-типа в основной аппаратуре
kiо, интенсивность отказов одного модуля

, стоимость одной запасной части
i-типа
ciо, способ пополнения запасов

, первый основной параметр
Tiо способа пополнения (период пополнения или среднее время доставки ЗЧ), второй параметр способа пополнения

(среднее время экстренной доставки при способе пополнения ПЭД, когда

, или уровень пополнения запасов при способе ПУ,

).
13.1.3.2 Задают нормативное значение ПН (
P0,

или

) и вычисляют:
13.1.3.5 Для каждого
i находят минимальное значение

, удовлетворяющее условию:

, (13.2)
где в качестве
Riо используют логарифм показателя надежности
(13.1), например:

. (13.3)
13.1.3.6 Определяют сумму чисел в
графе 10:

(13.4)
и убеждаются, что не выполняется неравенство:
13.1.4 При оптимизации комплекта ЗИП-О могут рассматриваться две задачи. При решении прямой задачи оптимизации комплекта ЗИП-О в качестве исходных данных используют требуемое значение ПН (
P0,

или

) и вид затрат, которые требуется оптимизировать (минимизировать) при достижении заданных ПН. При решении обратной задачи в качестве исходных данных используют величину ограничений по затратам

и заданный (выбранный) ПН (
P0,

или

), который требуется оптимизировать при заданных ограничениях по суммарным затратам.
13.1.5 Расчет оптимальных запасов в комплекте ЗИП-О по критерию надежности (прямая задача)
В многошаговой процедуре решения прямой задачи оптимизации выполняют следующие действия.
13.1.5.1 Для каждого
i вычисляют
Riо(
Ai,
Li) и записывают в
графу 10 таблицы формуляров.
13.1.5.2 Для каждого
i вычисляют
Riо(
Ai,
Li + 1) и записывают в
графу 11 таблицы формуляров.
13.1.5.3 Вычисляют:

(13.5а)
13.1.5.4 Выбирают максимальное число

в
графе 12 и определяют номер строки
i*, в которой оно стоит. Это значит, что выбирают такую запасную часть, которая дает наибольшее отношение приращения ПН к стоимости ЗЧ.
13.1.5.6 Вычисляют сумму значений в
графе 10. При этом можно избежать суммирования всех
N чисел в
графе 10, а из предыдущего значения суммы вычесть

, где

- значение в
графе 12 на предыдущем шаге. Иначе говоря,

, (13.6)
где l - номер шага оптимизации.
13.1.5.7 Если не выполняется
условие (13.5), то следует вернуться к
13.1.5.4. Если, напротив,
условие (13.5) выполняется, то требование к показателю надежности удовлетворено и комплект ЗИП, представленный в
графе 8 таблицы формуляров, является оптимальным.
13.1.5.8 Вычисляют суммарные затраты на оптимальный комплект по формуле:

. (13.7)
13.1.6 Оценка запасов в комплекте ЗИП-О по критерию надежности
Назначение оценки состоит в определении фактических характеристик комплекта при известных исходных данных, записанных в
графах 1 -
8 таблицы формуляров 13.1. Для этого выполняют следующие действия.
13.1.6.2 Вычисляют Riо(Ai,Li) по формулам:
Riо = -ln
Pi,
Riо = -ln
Kгi,
Riо = -ln
Kогi (13.8)
13.1.6.3 Суммируют значения в
графе 10 и находят показатель надежности по одной из формул:
Pс =
elnR,
Kгс =
elnR,
Kогс =
elnR. (13.9)
13.1.6.4 Определяют суммарные затраты на создание начальных запасов по
формуле (13.7).
Если оценка проводится сразу же после оптимизации, то все действия, кроме
13.1.6.3, уже выполнены. Поэтому остается лишь найти показатель надежности.
13.1.7 Ввиду дискретности процесса оптимизации после последнего шага в цикле
(13.1.5.4) -
(13.1.5.7) может образоваться некоторый запас по ПН:

. Это создает возможность уменьшить комплект ЗИП, не нарушая
условие (13.5), выполнив следующие действия.
13.1.7.1
Таблицу формуляров дополняют графой 13 и в нее записывают значения

.
13.1.7.2 Выделяют множество индексов
i, для которых

. Если это множество пусто, то уменьшение комплекта невозможно.
13.1.7.3 Если множество не пусто, то в нем определяют строку, в которой находится минимальное число

, и соответствующий ему номер
i**. Удаление одной ЗЧ этого типа приводит к минимальному снижению ПД при максимальном уменьшении стоимости комплекта.
13.1.7.4 Уменьшают на единицу значение
Li в
графе 8 и изменяют значения в
графах 10 -
12 строки с номером
i**.
13.1.7.5 Суммируют значения в
графе 10 и проверяют
условие (13.5). Если условие выполняется, то возвращаются к
13.1.7.3. Если же не выполняется, то аннулируются результаты последнего цикла и полученный комплект объявляется окончательным.
Вместо процедуры оптимизации может использоваться упрощенная одношаговая процедура расчета комплекта ЗИП, основанная на идее пропорционального вклада всех типов запасов в сумму R.
13.1.8 При одношаговой процедуре расчета состава комплекта ЗИП-О в качестве исходных данных используют таблицу формуляров с заполненными
графами 1 -
7. При расчете выполняют следующие действия.
13.1.8.2 Определяют вклад i-типа запасов в значение ПД по формуле:

. (13.9а)
13.1.8.3 Вычисляют минимальное число

, удовлетворяющее условию:

, (13.10)
13.1.8.5 Суммируют значения в
графе 10 и проводят контрольную проверку значения ПН по
формуле (13.9). Если контрольное значение не соответствует заданному значению, то проверяют расчет с целью устранения ошибки в вычислениях. Если соответствует, то найденный комплект

объявляется окончательным.
13.1.9 Расчет оптимальных запасов в комплекте ЗИП-О по критерию надежности (обратная задача)
Обратную задачу оптимизации комплекта ЗИП-О (то есть задачу расчета оптимальных запасов в комплекте ЗИП-О при заданном ограничении на затраты) решают в следующем порядке.
13.1.9.3 В
графе 12 таблицы 13.1 находят максимальное число

и запоминают номер строки, в которой оно находится -

. В
графы 8 и
10 этой строки записывают соответственно значения
Li*о и
Ri*о(
Ai*о;1), в
графу 11 - значения функции
Ri*о(
Ai*о; 2), а в
графу 12 - новое значение

.
13.1.9.4 В
графе 4 этой строки находят значение
ci*о и сравнивают его с

.
Если

, то процесс формирования оптимального комплекта ЗИП-О закончен.
Если

, процесс оптимизации продолжают в порядке, аналогичном описанному в
10.1.2.8, но после каждого шага проверяют условие:

. (13.11)
13.1.9.5 Оптимизацию прекращают на

, на котором
условие (13.11) выполняется в последний раз.
Совокупность значений

, которые будут записаны в
графе 8 таблицы 13.1 на этом шаге, и будет искомым (оптимальным по ПД при заданных ограничениях на затраты) начальным уровнем запасов каждого типа в комплекте ЗИП-О.

. (13.12)
13.1.9.6 Если в ТЗ на разработку изделия (или комплекта ЗИП) было оговорено, что комплект ЗИП должен обязательно содержать ЗЧ всех типов (или определенные типы ЗЧ), то первоначальные значения

в
графе 8 таблицы 13.1 для всех
i0 = 0,...,
Nо (или только для указанных типов ЗЧ) принимают равными единице. При этом перед началом расчета необходимо проверить, что затраты на первоначальный комплект ЗЧ не превышают заданных ограничений, то есть что для него выполняется
условие (13.11). Если это условие не выполняется, требования по обязательной номенклатуре ЗЧ или по ограничениям на затраты должны быть пересмотрены.
13.2. Расчет оптимальных запасов в комплекте ЗИП-Г по критерию ПД (методика 13.2)
13.2.1 Формируют исходные данные в объеме, установленном в
разделе 8, применительно к конкретному изделию, проектируемому ЗИП-Г и заданным (выбранным) стратегиям его пополнения.
При решении прямой задачи оптимизации комплекта ЗИП-Г в качестве исходных данных используют требуемое значение ПН и вид затрат, которые требуется минимизировать.
При решении обратной задачи оптимизации в качестве исходных данных используют величину ограничений по затратам на ЗЧ

, в пределах которой требуется максимизировать показатель надежности комплекта ЗИП-Г.
13.2.2 Расчет оптимальных запасов в комплекте ЗИП-Г по критерию ПН (прямая задача)
Прямую задачу оптимизации решают в следующем порядке.
13.2.2.1 В соответствии с исходными данными по запасам (
графы 1 -
3 таблицы 8.2) по
формуле (9.11) вычисляют суммарную интенсивность спроса на ЗЧ всех типов всеми изделиями в обслуживаемой ЗИП-Г группы изделий

, а затем - расчетный показатель
DГ по формуле:

. (13.13)
13.2.2.2 Формируют (аналогично
13.1.3.2) дополнительную таблицу по форме, приведенной в таблице 13.2.
Таблица 13.2
Дополнительная таблица для записи промежуточных результатов
расчетов оптимальных запасов в комплекте ЗИП-Г
по методике 13.2
iг | ... | Liг | Aiг | RiГ(Aiг; Liг) | RiГ(Aiг; Liг + 1) | |
1 | | | | | | |
1 | ... | | | | | |
2 | ... | | | | | |
... | ... | ... | ... | ... | ... | ... |
Nг | ... | | | | | |
13.2.2.4 Для каждого
iг = 1,...,
Nг в зависимости от стратегии пополнения
i-запаса путем итерационных вычислений по одной из формул
[2] находят первоначальный (нулевой) уровень запасов, то есть такое минимальное значение

, для которого промежуточный расчетный показатель

, вычисленный на последнем шаге итерационных расчетов, впервые удовлетворяет неравенству:

. (13.14)
Найденное значение

записывают в
графу 8 i-строки таблицы 10.2, а в
графу 10 - соответствующее ему значение

. Совокупность значений

, полученных после завершения итерационных вычислений для последнего запаса, и будет исходным вариантом проектируемого комплекта ЗИП-Г.
13.2.2.6 Вычисляют отношение разности чисел, стоящих в
графах 10 и
11, к затратам на одну ЗЧ
i-типа:

(13.15)

(13.16)
и проверяют выполнение неравенства:

. (13.17)
Если
неравенство (13.17) выполняется, работа алгоритма заканчивается - записанный в
графе 8 комплект ЗИП-Г является оптимальным по затратам и удовлетворяет требованиям по ПН.
ПД

этого комплекта вычисляют по
формуле (10.13) и сравнивают (для контроля) с заданным

.
13.2.2.8 Если
неравенство (13.17) не выполняется, процесс оптимизации продолжают. Оптимизацию ведут по шагам до тех пор, пока на
l-шаге впервые будет выполнено
неравенство (13.17). Первый и каждый последующий
l-шаг алгоритма оптимизации выполняют в порядке, аналогичном изложенному в
13.1.5 для ЗИП-О, а именно:
- число

в
графе 8 этой строки увеличивают на 1, вычисляют разность значения

, подсчитанного на предыдущем шаге, и

- числа, стоящего в
графе 12 строки

, помноженного на число
ci*г из
графы 4 (стоимости одной ЗЧ), получая новое значение:

(13.18)
| | ИС МЕГАНОРМ: примечание. В официальном тексте документа, видимо, допущена опечатка: имеется в виду неравенство (13.17), а не (10.17). | |
Если неравенство выполнено, то работа алгоритма закончена.
- в
графу 10 записывают число, которое на (
l - 1) шаге стояло в
графе 11, а в
графу 11 записывают новое значение

, которое вычисляют по той же
формуле, что и предыдущее значение этого показателя;
- в
графу 12 записывают новое значение

.
На этом
l-шаг алгоритма заканчивается. Далее реализуется (
l + 1) шаг алгоритма, на котором все описанные выше операции повторяют, и так до тех пор, пока на

(при

) не будет выполнено
условие (13.17). Полученные на этом шаге значения

образуют искомый оптимальный комплект ЗИП-Г. После этого по
формуле (13.9) при

проводят контрольную оценку ПН рассчитанного комплекта ЗИП-Г.
13.2.2.9 Суммарные затраты на ЗЧ в рассчитанном комплекте ЗИП-Г вычисляют по
формуле (6.14).
13.2.3 Расчет оптимальных запасов в комплекте ЗИП-Г по критерию ПН (обратная задача)
Обратную задачу оптимизации (то есть задачу расчета оптимальных запасов в комплекте ЗИП-О при заданном ограничении на затраты) решают в порядке, аналогичном изложенному в
10.1.3 (для обратной задачи оптимизации ЗИП-О), но с использованием промежуточных расчетных показателей, приведенных в
13.2.2 (для прямой задачи оптимизации ЗИП-Г), и дополнительной
таблицы значений 13.2.
14. Обеспечение запасными частями по нормам расхода
14.1 Если на предприятии (в организации) эксплуатируется большой парк однотипных изделий, текущий ремонт и техническое обслуживание которых осуществляется преимущественно (или полностью) централизованно силами регионального ремонтного органа (центра сервисного обслуживания), то обеспечение ЗЧ может осуществляться не путем придания организациям комплектов ЗИП, а за счет создания в них складских запасов, формируемых по нормам расхода ЗЧ на эксплуатацию.
14.2 Аналогично и ремонтные органы, производящие плановые (средний, капитальный) ремонты изделий, могут обеспечиваться не ремонтными комплектами ЗИП, а по нормам расхода ЗЧ на ремонт определенного вида.
14.3 Для одного изделия значения норм расхода на эксплуатацию ЗЧ на период Ti по СЧ i-типа вычисляют по формуле:

, (14.1)
а для группы из S однотипных изделий - по формуле:

. (14.2)
Во всех случаях рассчитанные значения Aэi округляют до целого в большую сторону и принимают в качестве норм расхода ЗЧ.
В расчетах по
формулам (14.1) и
(14.2) величину периода
Ti выбирают равной (или кратной) одному году эксплуатации и выражают в единицах наработки изделий (в часах, циклах работы, километрах пробега и т.д.) с учетом средней (планируемой) интенсивности их эксплуатации.
14.4 Значения норм расхода ЗЧ на ремонт (

,

) для каждого вида ЗЧ в расчете на один или несколько плановых ремонтов (или на календарный срок работы ремонтного органа с учетом его производительности) определяют экспертным методом на основе усреднения данных предшествовавших ремонтов изделий-аналогов и (или) их составных частей.
14.5 При снабжении по нормам расхода ЗЧ пополнение запасов до нормативного уровня на очередной период проводят с учетом их фактического расхода в предшествующий, то есть только по тем позициям, где запас исчерпан полностью или частично.
14.6 Нормы расхода ЗЧ устанавливают в эксплуатационных или ремонтных документах, имеющих название "Нормы расхода запасных частей" и разрабатываемых в порядке и по правилам, установленным
ГОСТ 2.602, где установлены также форма и порядок разработки "Норм расхода материалов".
Примечание - Так как нормы расхода ЗЧ на эксплуатацию (ремонт) являются средними значениями ожидаемых замен, создаваемые на их основе запасы обеспечивают своевременный (без задержки из-за отсутствия нужной ЗЧ) ремонт и (или) обслуживание изделий с вероятностью не более 0,5. То есть достаточность таких запасов существенно ниже, чем у комплектов ЗИП. Однако и затраты (стоимость, масса, объем) на запасы, сформированные по нормам расхода ЗЧ, как правило, значительно ниже затрат на комплекты ЗИП.
Поэтому обеспечение по нормам расхода ЗЧ рекомендуется использовать для изделий, эксплуатирующихся большими группами (при условии, что простой в неисправном состоянии некоторой части изделий не ведет к серьезным последствиям), а также для ремонтных органов, осуществляющих регулярные плановые ремонты большого числа однотипных изделий.
Нормы расхода ЗЧ могут быть использованы также для формирования планов производства запасных частей и составления заявок на них эксплуатирующими и ремонтными организациями.
15. Состав и форма задания требований к комплектам (системам) ЗИП
15.1 Комплекты (системы) ЗИП, придаваемые восстанавливаемым изделиям, в части общих требований к номенклатурному составу и структуре, порядку разработки, поставки и корректировки, а также упаковке, маркировки и документации на ЗИП должны соответствовать положениям настоящего стандарта.
15.2 Количество ЗЧ в комплектах (системах) ЗИП должно обеспечивать заданный уровень ПД ЗИП (или максимально достижимый уровень ПД при заданных ограничениях на затраты).
15.3 В ТЗ на опытно-конструкторские работы по созданию изделий (или в ТЗ на разработку ЗИП для него) устанавливают следующие показатели достаточности запасов в ЗИП:
а) для ЗИП-О:

- среднее время задержки в удовлетворении заявки на ЗЧ комплектом ЗИП-О;
Kг.ЗИП-О - коэффициент готовности комплекта ЗИП-О;
б) для ЗИП-Г:

- среднее время задержки в удовлетворении заявки на ЗЧ комплектом ЗИП-Г;
Kг.ЗИП-Г,j - коэффициент готовности комплекта ЗИП-Г относительно j-образца изделия в обслуживаемой группе (применяется только для ЗИП-Г, непосредственно обслуживающих группу образцов, не имеющих "собственных" ЗИП-О);
в) для двухуровневой системы ЗИП, состоящей из одного ЗИП-Г и S-комплектов ЗИП-О (ЗИП-Г + S ЗИП-О):

или
Kг.ЗИП-О - показатели достаточности комплектов ЗИП-О, находящихся на первом (нижнем) уровне системы.
15.4 Уровень требований к ПД ЗИП при нормировании во всех случаях должен быть обоснован уровнем требований к надежности "обслуживаемых" изделий и определяться, исходя из следующих соотношений:

, (15.1)

. (15.2)
15.5 В качестве интегральной технико-экономической характеристики комплекта (системы) ЗИП устанавливают в ТТЗ (ТЗ) и проверяют на испытаниях суммарные затраты на ЗЧ, которые могут измеряться в единицах стоимости, объема, массы и т.д.
Уровень ограничений по суммарным затратам на ЗЧ (если таковые устанавливают в ТЗ) определяют, исходя из технических или технико-экономических соображений (например, исходя из располагаемого объема на борту, или допустимой грузоподъемности изделия, или финансовых возможностей заказчика и т.п.).
15.6 Оценка выполнения требований к ЗИП на всех этапах разработки (модернизации) и эксплуатации изделий должна проводиться по методикам настоящего стандарта.
15.7 Типовая форма записи в ТЗ требований к комплектам ЗИП, удовлетворяющим изложенным выше (
15.1 -
15.5) рекомендациям, должна содержать следующие обязательные пункты:
1) вид комплекта (системы) ЗИП, который должен быть придан изделиям. Например: "Каждому образцу изделия должен быть придан комплект ЗИП-О", или "На каждые пять образцов изделий должен быть придан групповой ЗИП", или "В комплекте должна быть предусмотрена двухуровневая система ЗИП" и т.п.;
2) требуемый уровень ПД комплекта (системы) ЗИП и (или) ограничения по суммарным затратам на ЗЧ. Например: "...должен быть обеспечен

", или

, или "

при

" или "стоимость ЗИП не должна превышать 100 000 руб.

" и т.п.;
3) сроки представления на экспертизу проекта "Ведомости ЗИ" (с обоснованием принятых исходных данных) и испытания самого комплекта ЗИП. Например: "Проект "Ведомости ЗИ" на комплект ЗИП-О (с обоснованием принятых исходных данных) должен быть представлен в техническом проекте, а опытный образец комплекта ЗИП-О, размещенный в двухосном прицепе, - на приемочные испытания опытного образца изделия".
15.8 Если снабжение ЗЧ каких-либо изделий ВТ требуется обеспечить по нормам расхода ЗЧ на эксплуатацию или по нормам расхода ЗЧ на плановые ремонты, то в ТТЗ (ТЗ) на разработку этих изделий указывают:
1) размер группы изделий, "обслуживаемых" складским запасом (или количество обеспечиваемых им плановых ремонтов), S;
2) период пополнения запасов на складах сервисного центра (ремонтного органа) Ti в годах и планируемую интенсивность эксплуатации изделий Kи.э;
3) желательный (или обязательный) уровень разукрупнения ЗЧ (агрегаты, узлы, блоки, ячейки и т.п.) или прямой перечень заменяемых СЧ изделий на объектах эксплуатации и (или) в ремонтных органах;
4) общие требования к конструктивному исполнению, упаковке, маркировке укладочных мест, составу и содержанию документации на складское запасное имущество;
5) сроки представления на экспертизу (или испытания) проекта "Норм расхода" (с обоснованием принятых исходных данных).
(справочное)
ПРИМЕРЫ РАСЧЕТА ОПТИМАЛЬНЫХ ЗАПАСОВ В КОМПЛЕКТАХ
ЗИП-О, ЗИП-Г И В ДВУХУРОВНЕВОЙ СИСТЕМЕ ЗИП
ПО КРИТЕРИЯМ ДОСТАТОЧНОСТИ И НАДЕЖНОСТИ
Расчеты для всех приведенных ниже примеров проводились на ПЭВМ по программам, реализующим алгоритмы (математические модели), описанные в
разделах 9 -
13 настоящего стандарта, и входящим в пакеты прикладных программ [
3 -
5].
А.1 Пример 1 расчета оптимального по стоимости комплекта ЗИП-О по критерию достаточности
А.1.1 Исходные данные для расчета оптимального комплекта:
а) требуемый уровень показателя достаточности Kг.зип-о >= 0,95 (прямая задача оптимизации);
б) режим работы изделия - непрерывный, круглосуточный.
С учетом перерывов на профилактические работы и по организационным причинам средняя годовая наработка аппаратуры изделия составляет 8000 ч (Kи.э = 0,91);
в) период пополнения запасов комплекта ЗИП-О невосстанавливаемыми электрорадиоизделиями - 1 год (Tiо = 8000 ч).
Ремонт восстанавливаемых СЧ осуществляется в среднем за неделю (150 ч наработки) - для блоков питания и за две недели (300 ч) - для функциональных типовых элементов замены (ТЭЗ).
Плановое пополнение запасов относительно дорогих и недостаточно надежных восстанавливаемых СЧ (субблоков, реле) производится 1 раз в год (Tiо = 8000 ч), а в порядке экстренной доставки - в среднем за трое суток (Tэдiо = 65 ч наработки);
г) номенклатура СЧ, заменяемых из комплекта ЗИП-О, содержит 30 наименований (Nо = 30).
Формуляры исходных данных по каждому типу запаса, составленные согласно
8.2 настоящего стандарта, приведены в таблице А.1.
Таблица А.1
Исходные данные по форме
8.2
Наименование ЗЧ | iо | kiо | | ciо, руб. | | Tiо | | Liо |
0 | 1 | 2 | 3 | 4 | 5 | 6 | 7 | 8 |
Блоки питания: | | 24 | | | | | | |
БП1-СН-152 | 1 | 4 | 10 | 500 | 3 | 150 | 0 | |
БП2-ВС-560 | 2 | 5 | 56 | 15 000 | 3 | 150 | 0 | |
БП3-ВС-561 | 3 | 11 | 60 | 15 000 | 3 | 150 | 0 | |
БП4-ВС-323 | 4 | 1 | 120 | 13 000 | 3 | 150 | 0 | |
БП5-ВС-559 | 5 | 2 | 284 | 12 000 | 3 | 150 | 0 | |
БП6-ВС-0585 | 6 | 1 | 200 | 20 000 | 3 | 150 | 0 | |
Типовые элементы замены | | 78 | | | | | | |
ТЭЗ-01 | 7 | 4 | 6 | 12 000 | 3 | 300 | 0 | |
ТЭЗ-02 | 8 | 12 | 8 | 10 000 | 3 | 300 | 0 | |
ТЭЗ-03 | 9 | 8 | 7 | 12 000 | 3 | 300 | 0 | |
ТЭЗ-04 | 10 | 5 | 6 | 10 000 | 3 | 300 | 0 | |
ТЭЗ-05 | 11 | 3 | 8 | 10 000 | 3 | 300 | 0 | |
ТЭЗ-06 | 12 | 4 | 12 | 20 000 | 3 | 300 | 0 | |
ТЭЗ-07 | 13 | 2 | 18 | 15 000 | 3 | 300 | 0 | |
ТЭЗ-08 | 14 | 12 | 12 | 23 000 | 3 | 300 | 0 | |
ТЭЗ-09 | 15 | 11 | 15 | 22 000 | 3 | 300 | 0 | |
ТЭЗ-10 | 16 | 3 | 18 | 20 000 | 3 | 300 | 0 | |
ТЭЗ-11 | 17 | 12 | 18 | 22 000 | 3 | 300 | 0 | |
ТЭЗ-12 | 18 | 2 | 24 | 23 000 | 3 | 300 | 0 | |
Реле РЭС-49 | 19 | 140 | 100 | 13 000 | 2 | 8000 | 65 | |
Субблоки | | 48 | | | | | | |
ФА-1 | 20 | 10 | 180 | 25 000 | 2 | 8000 | 65 | |
ФА-2 | 21 | 2 | 180 | 25 000 | 2 | 8000 | 65 | |
ФР-1 | 22 | 18 | 180 | 25 000 | 2 | 8000 | 65 | |
ФР-2 | 23 | 18 | 180 | 25 000 | 2 | 8000 | 65 | |
Диод Д311А | 24 | 250 | 5 | 1000 | 1 | 8000 | 0 | |
Конденсаторы | | 504 | | | | | | |
К50-3А | 25 | 12 | 1,8 | 250 | 1 | 8000 | 0 | |
КМБ-Н90 | 26 | 492 | 1,5 | 500 | 1 | 8000 | 0 | |
Резисторы | | 378 | | | | | | |
ОМЛТ-0,125-820 Ом | 27 | 95 | 0,7 | 100 | 1 | 8000 | 0 | |
ОМЛТ-0,125-1,1 кОм | 28 | 212 | 0,7 | 100 | 1 | 8000 | 0 | |
ОМЛТ-0,25-680 Ом | 29 | 37 | 0,7 | 100 | 1 | 8000 | 0 | |
ОМЛТ-2,0-230 Ом | 30 | 34 | 0,7 | 200 | 1 | 8000 | 0 | |
Всего | | 1422 | | | | | | |
А.1.2 Расчет оптимального комплекта ЗИП-О (прямая задача) по критерию достаточности
А.1.2.1 Решение задачи оптимизации проводится по
методике 10.1.2, настоящего стандарта в следующем порядке.
А.1.2.2 По данным
таблицы А.1 формируются четыре группы по стратегиям пополнения и значения параметров. Результаты группировки представлены в обобщенном виде в таблице А.2.
Таблица А.2
Группы СЧ по стратегиям пополнения запасов
Параметр стратегии пополнения запасов | Номер группы СЧ с одинаковой стратегией пополнения |
1 | 2 | 3 | 4 |
Тип стратегии пополнения в данной группе  | 3 | 3 | 2 | 1 |
Номер iо первого запаса в данной группе 1...4 | 1 | 7 | 19 | 24 |
Первый параметр стратегии пополнения Tiо, ч | 150 | 300 | 8000 | 8000 |
Второй параметр стратегии пополнения  , ч | - | - | 65 | - |
А.1.2.3 Вычисляют значение

.
А.1.2.4 Расчет оптимального комплекта ЗИП-О (прямая задача) по критерию достаточности с помощью ППП РОКЗЭРСИЗ.
Проводят многошаговую процедуру оптимизации с использованием этапов
10.1.2.1 -
10.1.2.9, применяя ППП РОКЗЭРСИЗ. На последнем шаге промежуточный параметр

принимает значение 0,0506 < 0,0513. Искомый оптимальный по затратам комплект ЗИП-О определяют как совокупность значений, записанных в
графе 8 таблицы 10.1 после последнего шага алгоритма оптимизации. Результаты оптимизации (значения

) приведены в таблице А.3.
Таблица А.3
Результаты оптимизации состава комплекса по критерию
достаточности (прямая задача) с помощью ППП РОКЗЭРСИЗ
iо | СЧ | ki | ciо, тыс. руб. | Liо | Kг,ЗИП,i | Riо(Aiо; Liо) | | | Норма расхода |
1 | БП1 | 4 | 0,5 | 1 | 0,999982 | 1,800Е-05 | 2,000 | 0,500 | 0,32 |
2 | БП2 | 5 | 15 | 1 | 0,999118 | 8,824Е-04 | 75,000 | 15,000 | 2,24 |
3 | БП3 | 11 | 15 | 1 | 0,995099 | 4,913Е-03 | 165,000 | 15,000 | 5,28 |
4 | БП4 | 1 | 13 | 1 | 0,999838 | 1,620Е-04 | 13,000 | 13,000 | 0,96 |
5 | БП5 | 2 | 12 | 1 | 0,996370 | 3,636Е-03 | 24,000 | 12,000 | 4,544 |
6 | БП6 | 1 | 20 | 1 | 0,999550 | 4,501Е-04 | 20,000 | 20,000 | 1,6 |
7 | ТЭЗ-01 | 4 | 12 | 0 | 0,992800 | 7,226Е-03 | 48,000 | 0,000 | 0,192 |
8 | ТЭЗ-02 | 12 | 10 | 1 | 0,999585 | 4,148Е-04 | 120,000 | 10,000 | 0,768 |
9 | ТЭЗ-03 | 8 | 12 | 1 | 0,999859 | 1,411Е-04 | 96,000 | 12,000 | 0,448 |
10 | ТЭЗ-04 | 5 | 10 | 1 | 0,999959 | 4,050Е-05 | 50,000 | 10,000 | 0,24 |
11 | ТЭЗ-05 | 3 | 10 | 1 | 0,999974 | 2,592Е-05 | 30,000 | 10,000 | 0,192 |
12 | ТЭЗ-06 | 4 | 20 | 1 | 0,999896 | 1,037Е-04 | 80,000 | 20,000 | 0,384 |
13 | ТЭЗ-07 | 2 | 15 | 1 | 0,999942 | 5,832Е-05 | 30,000 | 15,000 | 0,288 |
14 | ТЭЗ-08 | 12 | 23 | 1 | 0,999067 | 9,336Е-04 | 276,000 | 23,000 | 1,152 |
15 | ТЭЗ-09 | 11 | 22 | 1 | 0,998775 | 1,226Е-03 | 242,000 | 22,000 | 1,32 |
16 | ТЭЗ-10 | 3 | 20 | 1 | 0,999869 | 1,312Е-04 | 60,000 | 20,000 | 0,432 |
17 | ТЭЗ-11 | 12 | 22 | 1 | 0,997900 | 2,102Е-03 | 264,000 | 22,000 | 1,728 |
18 | ТЭЗ-12 | 2 | 23 | 1 | 0,999896 | 1,037Е-04 | 46,000 | 23,000 | 0,384 |
19 | РЭС-49 | 140 | 13 | 112 | 0,995409 | 4,602Е-03 | 1820,000 | 1456,000 | 112 |
20 | ФА-1 | 10 | 25 | 14 | 0,995367 | 4,644Е-03 | 250,000 | 350,000 | 14,4 |
21 | ФА-2 | 2 | 25 | 2 | 0,994136 | 5,881Е-03 | 50,000 | 50,000 | 2,88 |
22 | ФР-1 | 18 | 25 | 25 | 0,995193 | 0,0048190 | 450,000 | 625,000 | 25,92 |
23 | ФР-2 | 18 | 25 | 25 | 0,995193 | 0,0048190 | 450,000 | 625,000 | 25,92 |
24 | Д311А | 250 | 1 | 18 | 0,999377 | 0,0006234 | 250,000 | 18,000 | 10 |
25 | К50-3А | 12 | 0,25 | 3 | 0,999993 | 0,0000066 | 3,000 | 0,750 | 0,1728 |
26 | КМБ-Н90 | 492 | 0,5 | 13 | 0,999688 | 0,0003118 | 246,000 | 6,500 | 5,904 |
27 | ОМЛТ-1 | 95 | 0,1 | 4 | 0,999959 | 0,0000406 | 9,500 | 0,400 | 0,532 |
28 | ОМЛТ-2 | 212 | 0,1 | 6 | 0,999967 | 0,0000332 | 21,200 | 0,600 | 1,1872 |
29 | ОМЛТ-3 | 37 | 0,1 | 3 | 0,997750 | 0,0022526 | 3,700 | 0,300 | 0,2072 |
30 | ОМЛТ-4 | 34 | 0,2 | 3 | 0,999990 | 0,0000097 | 6,800 | 0,600 | 0,1904 |
31 | | 1422 | 389,75 | 245 | 0,95065 | 0,050612 | 5201,200 | 3395,650 | 221,8 |
А.1.2.6 По количеству СЧ комплект ЗИП-О составляет 17,2% от основной аппаратуры, по стоимости - 65,3%. Норма расхода СЧ - 222, что составляет 90,5% количества начальных запасов в комплекте ЗИП-О. Среднее время задержки в удовлетворении заявки на ЗЧ составляет 1,83 ч.
А.1.3 Расчет оптимального комплекта ЗИП-О (прямая задача) по критерию достаточности с помощью ППП АСОНИКА-К-ЗИП
А.1.3.2 Проводят многошаговую процедуру оптимизации с использованием этапов
10.1.2.1 -
10.1.2.9, применяя ППП АСОНИКА-К-ЗИП. На последнем шаге промежуточный параметр

принимает значение 0,0506 < 0,0513. Искомый оптимальный по затратам комплект ЗИП-О определяют как совокупность значений, записанных в
графе 8 таблицы 10.1 после последнего шага алгоритма оптимизации. Результаты оптимизации (значения

) приведены в таблице А.4.
Таблица А.4
Результаты оптимизации состава комплекса по критерию
достаточности (прямая задача) с помощью ППП АСОНИКА-К-ЗИП
iо | СЧ | ki | ciо, тыс. руб. | Liо | Kг,ЗИП,i | Ri0(Ai0; Li0) | | | Норма расхода |
1 | БП1 | 4 | 0,5 | 1 | 0,999982 | 1,800Е-05 | 2,000 | 5,0 | 0,32 |
2 | БП2 | 5 | 15 | 2 | 0,999988 | 1,235Е-05 | 75,00 | 30 | 2,24 |
3 | БП3 | 11 | 15 | 2 | 0,999838 | 1,617Е-04 | 165,0 | 30 | 5,28 |
4 | БП4 | 1 | 13 | 1 | 0,999838 | 1,620Е-04 | 13,00 | 13 | 0,96 |
5 | БП5 | 2 | 12 | 2 | 0,999897 | 1,031Е-04 | 24,00 | 24 | 4,544 |
6 | БП6 | 1 | 20 | 1 | 0,999550 | 4,501Е-04 | 20,00 | 20 | 1,6 |
7 | ТЭЗ-01 | 4 | 12 | 1 | 0,999974 | 2,592Е-05 | 48,00 | 12 | 0,192 |
8 | ТЭЗ-02 | 12 | 10 | 1 | 0,999585 | 4,148Е-04 | 120,0 | 10 | 0,768 |
9 | ТЭЗ-03 | 8 | 12 | 1 | 0,999859 | 1,411Е-04 | 96,00 | 12 | 0,448 |
10 | ТЭЗ-04 | 5 | 10 | 1 | 0,999959 | 4,050Е-05 | 50,00 | 10 | 0,24 |
11 | ТЭЗ-05 | 3 | 10 | 1 | 0,999974 | 2,592Е-05 | 30,00 | 10 | 0,192 |
12 | ТЭЗ-06 | 4 | 20 | 1 | 0,999896 | 1,037Е-04 | 80,00 | 20 | 0,384 |
13 | ТЭЗ-07 | 2 | 15 | 1 | 0,999942 | 5,832Е-05 | 30,00 | 15 | 0,288 |
14 | ТЭЗ-08 | 12 | 23 | 1 | 0,999067 | 9,336Е-04 | 276,0 | 23 | 1,152 |
15 | ТЭЗ-09 | 11 | 22 | 2 | 0,999980 | 2,021Е-05 | 242,0 | 44 | 1,32 |
16 | ТЭЗ-10 | 3 | 20 | 1 | 0,999869 | 1,312Е-04 | 60,00 | 20 | 0,432 |
17 | ТЭЗ-11 | 12 | 22 | 2 | 0,999955 | 4,535Е-05 | 264,0 | 44 | 1,728 |
18 | ТЭЗ-12 | 2 | 23 | 1 | 0,999896 | 1,037Е-04 | 46,00 | 23 | 0,384 |
19 | РЭС-49 | 140 | 13 | 40 | 0,981754 | 1,841Е-02 | 1820 | 520 | 112 |
20 | ФА-1 | 10 | 25 | 9 | 0,993222 | 6,801Е-03 | 250,0 | 225 | 14,4 |
21 | ФА-2 | 2 | 25 | 4 | 0,999083 | 9,174Е-04 | 50,00 | 100 | 2,88 |
22 | ФР-1 | 18 | 25 | 14 | 0,990711 | 9,332Е-03 | 450,0 | 350 | 25,92 |
23 | ФР-2 | 18 | 25 | 14 | 0,990711 | 9,332Е-03 | 450,0 | 350 | 25,92 |
24 | Д311А | 250 | 1 | 21 | 0,999951 | 4,903Е-05 | 250,0 | 21 | 10 |
25 | К50-3А | 12 | 0,25 | 3 | 0,999993 | 6,625Е-06 | 3,000 | 0,8 | 0,1728 |
26 | КМБ-Н90 | 492 | 0,5 | 16 | 0,999989 | 1,124Е-05 | 246,0 | 8,0 | 5,904 |
27 | ОМЛТ-1 | 95 | 0,1 | 5 | 0,999997 | 3,027Е-06 | 9,500 | 0,5 | 0,532 |
28 | ОМЛТ-2 | 212 | 0,1 | 7 | 0,999996 | 4,252Е-06 | 21,20 | 0,7 | 1,1872 |
29 | ОМЛТ-3 | 37 | 0,1 | 4 | 0,999808 | 1,920Е-04 | 3,700 | 0,4 | 0,2072 |
30 | ОМЛТ-4 | 34 | 0,2 | 4 | 0,9999997 | 3,035Е-07 | 6,800 | 0,8 | 0,1904 |
31 | | 1422 | 389,75 | 164 | 0,953119 | 4,802Е-02 | 5201,2 | 1942,1 | 221,8 |
А.1.3.4 По количеству СЧ комплект ЗИП-О составляет 11,5% основной аппаратуры, по стоимости - 37,3%. Норма расхода СЧ - 222, что составляет 90,5% начальных запасов в комплекте ЗИП-О. Среднее время задержки в удовлетворении заявки на ЗЧ составляет 1,83 ч.
А.1.4 Расчет оптимального комплекта ЗИП-О (обратная задача) по критерию достаточности с помощью ППП АСОНИКА-К-ЗИП
А.1.4.1 Решение задачи оптимизации проводится по
методике 10.1.3 настоящего стандарта в следующем порядке. В качестве ограничения по стоимости комплекта ЗИП-О взято значение из
таблицы А.4 
А.1.4.4 В
графе 12 таблицы 10.1 находят максимальное число

и запоминают номер строки, в которой оно находится -

. В
графы 8 и
10 этой строки записывают соответственно значения
Li*о и
Ri*о(
Ai*о;1), в
графу 11 - значения функции
Ri*о(
Ai*о;2), а в
графу 12 - новое значение

.
А.1.4.5 В
графе 4 этой строки находят значение
ci*о и сравнивают его с

.
Если

, то процесс формирования оптимального комплекта ЗИП-О закончен.
Если

, процесс оптимизации продолжают в порядке, аналогичном описанному в
10.1.2.8, но после каждого шага проверяют
условие (10.6).
А.1.4.6 Оптимизацию прекращают на

, на котором
условие (10.6) выполняется в последний раз.
Совокупность значений

, которые будут записаны в
графе 8 таблицы 10.1 на этом шаге, и будет искомым (оптимальным по ПД при заданных ограничениях на затраты) начальным уровнем запасов каждого типа в комплекте ЗИП-О.
Суммарные затраты на него определяют как последнюю сумму, удовлетворяющую
неравенству (10.6), а обеспечиваемый при этом ПД вычисляют по
формулам (9.7) или
(9.8), суммируя
Ri0(A
i0;
Li0) по всем типам запасов.
А.1.4.7 Результаты оптимизации (значения

) приведены в таблице А.5.
Таблица А.5
Результаты оптимизации состава комплекса по критерию
достаточности (обратная задача) с помощью ППП АСОНИКА-К-ЗИП
iо | СЧ | ki | ciо, тыс. руб. | Liо | Kг,ЗИП,i | Ri0(Ai0; Li0) | | | Норма расхода |
1 | БП1 | 4 | 0,5 | 2 | 0,99999996 | 3,600Е-08 | 2,000 | 1,00 | 0,32 |
2 | БП2 | 5 | 15 | 2 | 0,9999877 | 1,235Е-05 | 75,00 | 30,0 | 2,24 |
3 | БП3 | 11 | 15 | 2 | 0,9998383 | 1,617Е-04 | 165,0 | 30,0 | 5,28 |
4 | БП4 | 1 | 13 | 2 | 0,9999990 | 9,720Е-07 | 13,00 | 26,0 | 0,96 |
5 | БП5 | 2 | 12 | 2 | 0,9998969 | 1,031Е-04 | 24,00 | 24,0 | 4,544 |
6 | БП6 | 1 | 20 | 2 | 0,9999955 | 4,5001Е-06 | 20,00 | 40,0 | 1,6 |
7 | ТЭЗ-01 | 4 | 12 | 1 | 0,999974 | 2,592Е-05 | 48,00 | 12,0 | 0,192 |
8 | ТЭЗ-02 | 12 | 10 | 2 | 0,9999960 | 3,981Е-06 | 120,0 | 20,0 | 0,768 |
9 | ТЭЗ-03 | 8 | 12 | 1 | 0,9998589 | 1,411Е-04 | 96,00 | 12,0 | 0,448 |
10 | ТЭЗ-04 | 5 | 10 | 1 | 0,9999595 | 4,050Е-05 | 50,00 | 10,0 | 0,24 |
11 | ТЭЗ-05 | 3 | 10 | 1 | 0,9999741 | 2,592Е-05 | 30,00 | 10,0 | 0,192 |
12 | ТЭЗ-06 | 4 | 20 | 1 | 0,9998963 | 1,037Е-04 | 80,00 | 20,0 | 0,384 |
13 | ТЭЗ-07 | 2 | 15 | 1 | 0,9999417 | 5,832Е-05 | 30,00 | 15,0 | 0,288 |
14 | ТЭЗ-08 | 12 | 23 | 2 | 0,9999866 | 1,344Е-05 | 276,0 | 46,0 | 1,152 |
15 | ТЭЗ-09 | 11 | 22 | 2 | 0,9999798 | 2,021Е-05 | 242,0 | 44,0 | 1,32 |
16 | ТЭЗ-10 | 3 | 20 | 1 | 0,9998688 | 1,312Е-04 | 60,00 | 20,0 | 0,432 |
17 | ТЭЗ-11 | 12 | 22 | 2 | 0,9999547 | 4,535Е-05 | 264,0 | 44,0 | 1,728 |
18 | ТЭЗ-12 | 2 | 23 | 1 | 0,9998963 | 1,037Е-04 | 46,00 | 23,0 | 0,384 |
19 | РЭС-49 | 140 | 13 | 58 | 0,989496 | 1,056Е-02 | 1820 | 754 | 112 |
20 | ФА-1 | 10 | 25 | 19 | 0,999168 | 8,323Е-04 | 250,0 | 475 | 14,4 |
21 | ФА-2 | 2 | 25 | 6 | 0,999792 | 2,080Е-04 | 50,00 | 150 | 2,88 |
22 | ФР-1 | 18 | 25 | 31 | 0,998863 | 1,138Е-03 | 450,0 | 775 | 25,92 |
23 | ФР-2 | 18 | 25 | 31 | 0,998863 | 1,0138Е-03 | 450,0 | 775 | 25,92 |
24 | Д311А | 250 | 1 | 23 | 0,9999926 | 7,444Е-06 | 250,0 | 23,00 | 10 |
25 | К50-3А | 12 | 0,25 | 4 | 0,9999998 | 1,892Е-07 | 3,000 | 1,00 | 0,1728 |
26 | КМБ-Н90 | 492 | 0,5 | 7 | 0,9999966 | 3,354Е-06 | 246,0 | 8,50 | 5,904 |
27 | ОМЛТ-1 | 95 | 0,1 | 6 | 0,9999998 | 1,983Е-07 | 9,500 | 0,60 | 0,532 |
28 | ОМЛТ-2 | 212 | 0,1 | 8 | 0,9999995 | 4,932Е-07 | 21,20 | 0,80 | 1,1872 |
29 | ОМЛТ-3 | 37 | 0,1 | 4 | 0,9998081 | 1,920Е-04 | 3,700 | 0,40 | 0,2072 |
30 | ОМЛТ-4 | 34 | 0,2 | 4 | 0,9999997 | 3,035Е-07 | 6,800 | 0,80 | 0,1904 |
31 | Всего | 1422 | | 239 | 0,98504 | 1,508Е-02 | 5201,2 | 3391,1 | 221,8 |
А.1.4.8 Стоимость начальных запасов увеличилась по сравнению с результатом решения прямой задачи на 74,6%, а коэффициент готовности комплекта ЗИП-О возрос от 0,953 до 0,985. Другие характеристики, приведенные в
таблице А.5, остались неизменными.
А.2 Пример 2 расчета оптимального по стоимости комплекта ЗИП-О по критерию надежности
В качестве изделия, которое обслуживает создаваемый комплект ЗИП-О, рассматривается то же изделие, что и в
примере А.1.
А.2.1 Оценка оптимальных комплектов ЗИП-О по критерию надежности с помощью ППП Интеллект-ЗИП
(методика 12.1)
А.2.1.1 Состав изделия и необходимые исходные данные для расчета запасов приведены в
таблице А.1. Поскольку данные о структурном резервировании в изделии отсутствуют в
таблице А.1, предполагаем, что структурное резервирование не применяется и все 1422 элемента соединены последовательно. Результаты расчетов даны в таблице А.6. Расчет ПН при отсутствии ЗИП-О является обязательным для обоснования потребности в создании комплекта ЗИП. В данном случае ВБР находится на очень низком уровне 4,8Е-97.
Таблица А.6
Результаты оценки состава комплектов ЗИП-О
по критерию надежности
iо | СЧ | ki | ciо, тыс. руб. |  тыс. руб. | P(t| Liо = 0) | Liо | Piо(t, Liо) | Liо | Piо(t, Liо) | Liо | Piо(t, Liо) |
1 | 2 | 3 | 4 | 5 | 6 | | 8 | 9 | 10 | 11 | |
1 | БП1 | 4 | 0,5 | 2,000 | 0,726149 | 1 | 0,998140 | 1 | 0,99814 | 2 | 1,000000 |
2 | БП2 | 5 | 15 | 75,00 | 0,106459 | 1 | 0,918133 | 2 | 0,99997 | 2 | 0,999965 |
3 | БП3 | 11 | 15 | 165,0 | 0,005092 | 1 | 0,648950 | 2 | 0,99958 | 2 | 0,999583 |
4 | БП4 | 1 | 13 | 13,00 | 0,382893 | 1 | 0,983751 | 1 | 0,98375 | 2 | 0,999997 |
5 | БП5 | 2 | 12 | 24,00 | 0,010631 | 1 | 0,720951 | 2 | 0,99973 | 2 | 0,999728 |
6 | БП6 | 1 | 20 | 20,00 | 0,201897 | 1 | 0,956460 | 1 | 0,95646 | 2 | 0,999987 |
7 | ТЭЗ-01 | 4 | 12 | 48,00 | 0,825307 | 0 | 0,825307 | 1 | 0,99869 | 1 | 0,998688 |
8 | ТЭЗ-02 | 12 | 10 | 120,0 | 0,463940 | 1 | 0,980016 | 1 | 0,98002 | 2 | 0,999989 |
9 | ТЭЗ-03 | 8 | 12 | 96,00 | 0,638905 | 1 | 0,993005 | 1 | 0,99301 | 1 | 0,993005 |
10 | ТЭЗ-04 | 5 | 10 | 50,00 | 0,786628 | 1 | 0,997958 | 1 | 0,99796 | 1 | 0,997958 |
11 | ТЭЗ-05 | 3 | 10 | 30,00 | 0,825307 | 1 | 0,998688 | 1 | 0,99869 | 1 | 0,998688 |
12 | ТЭЗ-06 | 4 | 20 | 80,00 | 0,681131 | 1 | 0,994834 | 1 | 0,99483 | 1 | 0,994834 |
13 | ТЭЗ-07 | 2 | 15 | 30,00 | 0,749762 | 1 | 0,997071 | 1 | 0,99707 | 1 | 0,997071 |
14 | ТЭЗ-08 | 12 | 23 | 276,0 | 0,316004 | 1 | 0,956673 | 1 | 0,95667 | 2 | 0,999962 |
15 | ТЭЗ-09 | 11 | 22 | 242,0 | 0,267135 | 1 | 0,944088 | 2 | 0,99994 | 2 | 0,999944 |
16 | ТЭЗ-10 | 3 | 20 | 60,00 | 0,649209 | 1 | 0,993487 | 1 | 0,99349 | 1 | 0,993487 |
17 | ТЭЗ-11 | 12 | 22 | 264,0 | 0,177639 | 1 | 0,908339 | 2 | 0,99988 | 2 | 0,999877 |
18 | ТЭЗ-12 | 2 | 23 | 46,00 | 0,681131 | 1 | 0,994834 | 1 | 0,99483 | 1 | 0,994834 |
19 | РЭС-49 | 140 | 13 | 1820 | 2,286Е-49 | 112 | 0,525103 | 40 | 4,0Е-15 | 58 | 1,40Е-08 |
20 | ФА-1 | 10 | 25 | 250,0 | 5,574Е-07 | 14 | 0,528121 | 9 | 0,09177 | 19 | 0,528121 |
21 | ФА-2 | 2 | 25 | 50,00 | 0,056135 | 2 | 0,450605 | 4 | 0,83501 | 6 | 0,450605 |
22 | ФР-1 | 18 | 25 | 450,0 | 5,535Е-12 | 25 | 0,480164 | 14 | 0,00792 | 31 | 0,480164 |
23 | ФР-2 | 18 | 25 | 450,0 | 5,535Е-12 | 25 | 0,480164 | 14 | 0,00792 | 31 | 0,480164 |
24 | Д311А | 250 | 1 | 250,0 | 4,540Е-05 | 18 | 0,992813 | 21 | 0,99930 | 23 | 0,999880 |
25 | К50-3А | 12 | 0,25 | 3,000 | 0,841306 | 3 | 0,999968 | 3 | 0,99997 | 4 | 0,999999 |
26 | КМБ-Н90 | 492 | 0,5 | 246,0 | 0,002729 | 13 | 0,996843 | 16 | 0,99985 | 17 | 0,999953 |
27 | ОМЛТ-1 | 95 | 0,1 | 9,500 | 0,587429 | 4 | 0,999771 | 5 | 0,99998 | 6 | 0,999998 |
28 | ОМЛТ-2 | 212 | 0,1 | 21,20 | 0,305074 | 6 | 0,999764 | 7 | 0,99997 | 8 | 0,999996 |
29 | ОМЛТ-3 | 37 | 0,1 | 3,700 | 0,812857 | 3 | 0,999935 | 4 | 1,00000 | 4 | 0,999997 |
30 | ОМЛТ-4 | 34 | 0,2 | 6,800 | 0,826628 | 3 | 0,999953 | 4 | 1,00000 | 4 | 0,999998 |
31 | | 1422 | | 5201,2 | 4,783Е-97 | 245 | 0,007401 | 164 | 1,64Е-20 | 239 | 7,53Е-10 |
А.2.1.2 Для оценки оптимальных комплектов используют результаты, приведенные в
разделах А.1.2 -
А.1.4. При расчете вероятности безотказной работы при наличии ЗИП и различных стратегиях пополнения надо применять формулы
[2] для моделей П1, ПЭД1, ПН1. Результаты оценки приведены в
графах 7 -
12 для трех вариантов комплектов ЗИП-О.
А.2.1.3 Хотя увеличение ВБР при использовании ЗИП-О весьма существенно (от 4,8Е-97 до 7,4Е-3, 1,64Е-10 и 7,53Е-10), все три значения ВБР не приемлемы для организации, эксплуатирующей изделие.
А.2.2 Расчет оптимальных комплектов ЗИП-О по критерию надежности с помощью ППП Интеллект-ЗИП при отсутствии структурного резервирования
(методика 13.1)
А.2.2.1 Поскольку комплект ЗИП-О, сформированный по критерию достаточности, ни в одном из трех вариантов не удовлетворяет требованиям к надежности P(8000) >= 0,95, требуется провести оптимизацию комплекта по критерию надежности. Для этого применяют
методику 13.1.
А.2.2.2 В качестве исходных данных используют данные
таблицы А.1.
Предполагается, что структурное резервирование не применяется и все 1422 элемента соединены последовательно.
Таблица А.7
Результаты оптимизации состава комплекта ЗИП-О
по критерию надежности
iо | СЧ |  , тыс. руб. | P(t| Liо = 0) | Liо | Kг.зип | Piо(t, Liо) |  , тыс. руб. |
1 | 2 | 3 | 4 | 5 | 6 | 7 | 8 |
1 | БП1 | 2,000 | 0,726149 | 1 | 0,999982 | 0,998140 | 0,500 |
2 | БП2 | 75,00 | 0,106459 | 2 | 0,999988 | 0,996379 | 30,000 |
3 | БП3 | 165,0 | 0,005092 | 3 | 0,999996 | 0,995848 | 45,000 |
4 | БП4 | 13,00 | 0,382893 | 2 | 0,999999 | 0,999700 | 26,000 |
5 | БП5 | 24,00 | 0,010631 | 3 | 0,999998 | 0,997650 | 36,000 |
6 | БП6 | 20,00 | 0,201897 | 2 | 0,999996 | 0,998646 | 40,000 |
7 | ТЭЗ-01 | 48,00 | 0,825307 | 2 | 1,000000 | 0,999990 | 24,000 |
8 | ТЭЗ-02 | 120,0 | 0,463940 | 2 | 0,999996 | 0,999399 | 20,000 |
9 | ТЭЗ-03 | 96,00 | 0,638905 | 2 | 0,999999 | 0,999878 | 24,000 |
10 | ТЭЗ-04 | 50,00 | 0,786628 | 1 | 0,999959 | 0,997958 | 10,000 |
11 | ТЭЗ-05 | 30,00 | 0,825307 | 1 | 0,999974 | 0,998688 | 10,000 |
12 | ТЭЗ-06 | 80,00 | 0,681131 | 2 | 1,000000 | 0,999923 | 40,000 |
13 | ТЭЗ-07 | 30,00 | 0,749762 | 1 | 0,999942 | 0,997071 | 15,000 |
14 | ТЭЗ-08 | 276,0 | 0,316004 | 2 | 0,999987 | 0,998033 | 46,000 |
15 | ТЭЗ-09 | 242,0 | 0,267135 | 2 | 0,999981 | 0,997081 | 44,000 |
16 | ТЭЗ-10 | 60,00 | 0,649209 | 2 | 0,999999 | 0,999890 | 40,000 |
17 | ТЭЗ-11 | 264,0 | 0,177639 | 3 | 0,999999 | 0,999589 | 66,000 |
18 | ТЭЗ-12 | 46,00 | 0,681131 | 2 | 1,000000 | 0,999923 | 46,000 |
| РЭС-49 | 1820 | 2,286Е-49 | 140 | 0,997085 | 0,995401 | 1820,00 |
20 | ФА-1 | 250,0 | 5,574Е-07 | 25 | 0,998646 | 0,996263 | 625,00 |
21 | ФА-2 | 50,00 | 0,056135 | 8 | 0,999594 | 0,997076 | 200,00 |
22 | ФР-1 | 450,0 | 5,535Е-12 | 40 | 0,998199 | 0,996253 | 1000,00 |
| ФР-2 | 450,0 | 5,535Е-12 | 40 | 0,998199 | 0,996253 | 1000,00 |
24 | Д311А | 250,0 | 4,540Е-05 | 20 | 0,999881 | 0,998412 | 20,000 |
25 | К50-3А | 3,000 | 0,841306 | 3 | 0,9999934 | 0,999968 | 0,750 |
26 | КМБ-Н90 | 246,0 | 0,002729 | 13 | 0,9996882 | 0,996843 | 6,500 |
27 | ОМЛТ-1 | 9,500 | 0,587429 | 4 | 0,9999594 | 0,999771 | 0,400 |
28 | ОМЛТ-2 | 21,20 | 0,305074 | 6 | 0,9999668 | 0,999764 | 0,600 |
29 | ОМЛТ-3 | 3,700 | 0,812857 | 3 | 0,9999866 | 0,999935 | 0,300 |
30 | ОМЛТ-4 | 6,800 | 0,826628 | 3 | 0,999990 | 0,999953 | 0,600 |
31 | | 5201,2 | 4,783Е-97 | 340 | 0,99102 | 0,950851 | 5236,65 |
А.2.2.4 Данный оптимальный комплект отличается от комплекта, полученного при оптимизации по критерию достаточности. Он содержит 340 запасных частей 30 наименований (на 95 запасных частей больше, чем в комплекте
таблицы А.3), обеспечивает значение ВБР, равное 0,9508. При этом коэффициент готовности комплекта ЗИП-О равен 0,991.
А.2.2.5 Хотя по количеству СЧ комплект ЗИП-О составляет лишь 24% основного оборудования, по стоимости он почти равен основному изделию (100,7%). Причем стоимость запасов пяти типов (
позиции 19 -
23) составляет 88,7% от стоимости всего комплекта ЗИП-О. Это можно объяснить тем, что в данном примере для изделия нормируется вероятность безотказной работы (ВБР не менее 0,95). Для этого показателя применение стратегии ПЭД не оправданно, так как возможность экстренной доставки не улучшает надежность. Для этих пяти типов запасов надо применять непрерывное пополнение.
А.2.2.6 Выбор стратегии пополнения зависит от того, есть ли в изделии структурное резервирование. В зависимости от того, какова схема резервирования и его кратность, изменяется оптимальный комплект ЗИП-О, необходимый для обеспечения требуемого значения ПН.
А.2.3 Расчет оптимальных комплектов ЗИП-О по критерию надежности при наличии структурного резервирования
(методика 13.1)
А.2.3.1 Исходные данные для оценки и расчета комплекта ЗИП-О следует брать из
таблицы А.3. Схема резервирования выбирается из состава тепловых схем, приведенных в таблице А.8.
Таблица А.8
N | Схема резервирования | Обозначение | Параметры |
1 | Последовательное соединение | П1, ПЭД1, НП1, ПУ1 | ki,  |
2 | Общее дублирование | П2, ПЭД2, НП1, ПУ2 | k,  , r |
3 | Общее мажорирование | П3, ПЭД3, НП3, ПУ3 | k,  , r |
4 | Дублирование в одной подсистеме | П4, ПЭД4, НП4, ПУ4 | k,  , r |
5 | Мажорирование в одной подсистеме | П5, ПЭД5, НП5, ПУ5 | k,  , r |
6 | Групповое дублирование | П6, ПЭД6, НП6, ПУ6 | k,  , r |
7 | Групповое мажорирование | П7, ПЭД7, НП7, ПУ7 | k,  , r |
8 | Последовательное соединение дублированной, мажорированной и нерезервированной подсистем | П8, ПЭД8, НП8, ПУ8 | k,  , r1, r2 |
9 | Резервирование по схеме "m из k" | П9, ПЭД9, НП9, ПУ9 | k,  , m |
10 | Последовательное соединение дублированной и двух мажорированных подсистем | П10, ПЭД10, НП10, ПУ10 | k,  , r1, r2 |
11 | Дублирование структур типа 4 | П11, ПЭД11, НП11, ПУ11 | k,  , r |
12 | Дублирование структур типа 6 | П12, ПЭД12, НП12, ПУ12 | k,  , r |
13 | дублирование структур типа 7 | П13, ПЭД13, НП13, ПУ13 | k,  , r |
14 | Дублированная система с однородными ветвями | П14, ПЭД14, НП14, ПУ14 | k,  ,...,  , r1, r2,..., rN |
15 | Дублированная система с различными неоднородными ветвями | П15, ПЭД15, НП15, ПУ15 | |
16 | Дублированная система с групповым дублированием и неоднородными ветвями | П16, ПЭД16, НП16, ПУ16 | k1, k2,  ,  , r1, r2 |
Дополнительные данные о параметрах схем резервирования приведены в таблице А.9.
Номера элементов | Количество резервных элементов | Количество основных элементов | Суммарная интенсивность отказов, ч-1 | Вклад группы в суммарную интенсивность, % |
1 - 3, 5, 7 - 8, 21 | 1 | ki - 1 | 0,002849 | 10,28 |
19 | 2 или 3 | k19 - 2 (k19 - 3) | 0,014 | 50,5 |
20, 22, 23 | 2 | ki - 2 | 0,00828 | 29,86 |
4, 6, 24 - 30 | 0 | ki | 0,002594 | 9,36 |
Из
таблицы А.9 следует, что для элементов с номерами
i = 1 - 3, 5, 7 - 18, 21 используется схема резервирования с дробной кратностью, в которой имеется один резервный элемент. Для элементов 20, 22 и 23 в схеме резервирования имеются два резервных элемента. Для элемента 19 рассматриваются два варианта, когда в схеме есть два или три резервных элемента. Всего в изделии используется
m = 25 или 26 резервных элементов, что составляет 8,7% от общего числа элементов в первых трех группах.
А.2.3.2 Результаты расчета комплекта ЗИП-О приведены в таблице А.10. Комплект ЗИП-О содержит 236 запасных частей стоимостью 3406,15 тыс. руб., что составляет 65,5% стоимости основного оборудования и обеспечивает с учетом структурного резервирования вероятность безотказной работы 0,953. Коэффициент готовности комплекта ЗИП-О равен 0,977.
Таблица А.10
Результаты оптимизации состава комплекта ЗИП-О
по критерию надежности для резервированного изделия
iо | СЧ | mi | ki - mi | Liо | | Модель | Kг.зип | Piо(t, Liо) m = 25 | Piо(t, Liо) m = 26 |
1 | 2 | 3 | 4 | 5 | 6 | 7 | 8 | 9 | 10 |
1 | БП1 | 1 | 3 | 1 | 3 | НП2 | 0,999982 | 0,999996 | 0,999996 |
2 | БП2 | 1 | 4 | 2 | 3 | НП2 | 0,999988 | 0,999978 | 0,999978 |
3 | БП3 | 1 | 10 | 2 | 3 | НП2 | 0,999838 | 0,999224 | 0,999224 |
4 | БП4 | 0 | 1 | 1 | 3 | НП1 | 0,999838 | 0,983751 | 0,983751 |
5 | БП5 | 1 | 1 | 2 | 3 | НП2 | 0,999897 | 0,999766 | 0,999766 |
6 | БП6 | 0 | 1 | 1 | 3 | НП1 | 0,999550 | 0,956460 | 0,956460 |
7 | ТЭЗ-01 | 1 | 3 | 1 | 3 | НП2 | 0,999974 | 0,999996 | 0,999996 |
8 | ТЭЗ-02 | 1 | 11 | 1 | 3 | НП2 | 0,999585 | 0,999708 | 0,999708 |
9 | ТЭЗ-03 | 1 | 7 | 1 | 3 | НП2 | 0,999859 | 0,999945 | 0,999945 |
10 | ТЭЗ-04 | 1 | 4 | 1 | 3 | НП2 | 0,999959 | 0,999992 | 0,999992 |
11 | ТЭЗ-05 | 1 | 2 | 1 | 3 | НП2 | 0,999974 | 0,999997 | 0,999997 |
12 | ТЭЗ-06 | 1 | 3 | 1 | 3 | НП2 | 0,999896 | 0,999970 | 0,999970 |
13 | ТЭЗ-07 | 1 | 1 | 1 | 3 | НП2 | 0,999942 | 0,999992 | 0,999992 |
14 | ТЭЗ-08 | 1 | 11 | 1 | 3 | НП2 | 0,999067 | 0,999016 | 0,999016 |
15 | ТЭЗ-09 | 1 | 10 | 2 | 3 | НП2 | 0,999980 | 0,999976 | 0,999976 |
16 | ТЭЗ-10 | 1 | 2 | 1 | 3 | НП2 | 0,999869 | 0,999962 | 0,999962 |
17 | ТЭЗ-11 | 1 | 11 | 2 | 3 | НП2 | 0,999955 | 0,999928 | 0,999928 |
18 | ТЭЗ-12 | 1 | 1 | 1 | 3 | НП2 | 0,999896 | 0,999980 | 0,999980 |
19 | РЭС-49 | 2 | 138 | 40 | 2 | ПЭД9 | 0,981754 | 0,964811 | 0,999343 |
20 | ФА-1 | 2 | 8 | 9 | 2 | ПЭД9 | 0,993222 | 0,999526 | 0,999526 |
21 | ФА-2 | 1 | 1 | 4 | 2 | ПЭД9 | 0,999083 | 0,998682 | 0,998682 |
22 | ФР-1 | 2 | 16 | 14 | 2 | ПЭД9 | 0,990711 | 0,998140 | 0,998140 |
23 | ФР-2 | 2 | 16 | 14 | 2 | ПЭД9 | 0,990711 | 0,998140 | 0,998140 |
24 | Д311А | 0 | 250 | 21 | 1 | П1 | 0,999951 | 0,999300 | 0,999300 |
25 | К50-3А | 0 | 12 | 3 | 1 | П1 | 0,999993 | 0,999968 | 0,999968 |
26 | КМБ-Н90 | 0 | 492 | 16 | 1 | П1 | 0,999989 | 0,999855 | 0,999855 |
27 | ОМЛТ-1 | 0 | 95 | 5 | 1 | П1 | 0,999997 | 0,999980 | 0,999980 |
28 | ОМЛТ-2 | 0 | 212 | 7 | 1 | П1 | 0,999996 | 0,999966 | 0,999966 |
29 | ОМЛТ-3 | 0 | 37 | 4 | 1 | П1 | 0,999808 | 0,999997 | 0,999997 |
30 | ОМЛТ-4 | 0 | 34 | 4 | 1 | П1 | 0,9999997 | 0,999998 | 0,999998 |
31 | | 25 | 1397 | 164 | | | 0,9531 | 0,900 | 0,932 |
А.2.3.3 Суммарная стоимость СЧ, составляющих структурный резерв, равна 1756,0 тыс. руб. Вместе со стоимостью начальных запасов комплекта ЗИП-О ресурсы обеспечения надежности имеют стоимость 5162,15 тыс. руб., что сопоставимо со стоимостью комплекта ЗИП-О при отсутствии структурного резервирования.
Суммарная стоимость начального запаса в комплекте ЗИП-О из 164 запасных частей составляет 1942,15 тыс. руб., суммарная стоимость резервных элементов равна 460 тыс. руб. Суммарная стоимость обоих ресурсов равна 2402,15 тыс. руб., что составляет 46% стоимости основных элементов. Это меньше, чем для комплекта ЗИП-О, сформированного по критерию достаточности - 65,3%
(таблица А.3). При этом коэффициенты готовности комплекта ЗИП-О практически совпадают (0,952 и 0,953), а вероятности безотказной работы существенно отличаются (0,0074 и 0,932).
Комплекты ЗИП-О, приведенные в
таблицах А.4 и
А.10, одинаковы, и поэтому показатели достаточности одинаковы. Но в системе из
таблицы А.10 есть еще структурный резерв. И хотя суммарная стоимость начальных запасов в комплекте ЗИП-О меньше, чем суммарная стоимость запасных частей и резервных элементов (37,3% против 46%), различия в значениях вероятности безотказной работы очень велики: 1,64Е-20
(таблица А.6) и 0,932
(таблица А.10).
| Головин И.Н., Чуварыгин Б.В., Шура-Бура А.Э. Расчет и оптимизация комплектов запасных элементов радиоэлектронных систем. М., 1984 |
| Черкесов Г.Н. Оценка надежности систем учетом ЗИП. СПб., 2012, 480 с. |
| Шура-Бура А.Э., Резиновский А.Я., Дзиркал Э.В. Пакет прикладных программ по расчету оптимальных комплектов запасных элементов для ремонта сложных изделий (ППП "РОКЗЭРСИЗ". Версия 4.96). Руководство по применению. М., 1997 |
| Жаднов В.В. Пакет прикладных программ АСОНИКА-К-ЗИП. Руководство по применению. М., 2012 |
| Черкесов Г.Н. Пакет прикладных программ "Интеллект - ЗИП". Руководство по применению. СПб., 2012 |
[6] | Шура-Бура А.Э. Обеспечение технических объектов запасными элементами. Справочник "Надежность технических систем". Глава 14. М., 1985 |