Главная // Актуальные документы // ГОСТ (Государственный стандарт)СПРАВКА
Источник публикации
М.: Стандартинформ, 2016
Примечание к документу
Документ
введен в действие с 1 января 2018 года.
Название документа
"ГОСТ ISO 7359-2016. Межгосударственный стандарт. Масла эфирные. Метод газовой хроматографии на насадочных колонках. Общие требования"
(введен в действие Приказом Росстандарта от 15.09.2016 N 1135-ст)
"ГОСТ ISO 7359-2016. Межгосударственный стандарт. Масла эфирные. Метод газовой хроматографии на насадочных колонках. Общие требования"
(введен в действие Приказом Росстандарта от 15.09.2016 N 1135-ст)
агентства по техническому
регулированию и метрологии
от 15 сентября 2016 г. N 1135-ст
МЕЖГОСУДАРСТВЕННЫЙ СТАНДАРТ
МАСЛА ЭФИРНЫЕ
МЕТОД ГАЗОВОЙ ХРОМАТОГРАФИИ НА НАСАДОЧНЫХ КОЛОНКАХ
ОБЩИЕ ТРЕБОВАНИЯ
Essential oils. Gas chromatography on packed columns.
General requirements
(ISO 7359:1985, Essential oils - Analysis by gas
chromatography on packed columns - General method, IDT)
ГОСТ ISO 7359-2016
Дата введения
1 января 2018 года
Цели, основные принципы и основной порядок проведения работ по межгосударственной стандартизации установлены в
ГОСТ 1.0-2015 "Межгосударственная система стандартизации. Основные положения" и
ГОСТ 1.2-2015 "Межгосударственная система стандартизации. Стандарты межгосударственные, правила и рекомендации по межгосударственной стандартизации. Правила разработки, принятия, обновления и отмены"
1 ПОДГОТОВЛЕН Автономной некоммерческой организацией "ПАРФЮМТЕСТ" (АНО "ПАРФЮМТЕСТ") на основе собственного перевода на русский язык англоязычной версии стандарта, указанного в
пункте 5
2 ВНЕСЕН Федеральным агентством по техническому регулированию и метрологии
3 ПРИНЯТ Межгосударственным советом по стандартизации, метрологии и сертификации (протокол от 28 июня 2016 г. N 49)
За принятие проголосовали:
Краткое наименование страны по MK (ИСО 3166) 004-97 | Код страны по MK (ИСО 3166) 004-97 | Сокращенное наименование национального органа по стандартизации |
Армения | AM | Минэкономики Республики Армения |
Беларусь | BY | Госстандарт Республики Беларусь |
Казахстан | KZ | Госстандарт Республики Казахстан |
Киргизия | KG | Кыргызстандарт |
Россия | RU | Росстандарт |
4
Приказом Федерального агентства по техническому регулированию и метрологии от 15 сентября 2016 г. N 1135-ст межгосударственный стандарт ГОСТ ISO 7359-2016 введен в действие в качестве национального стандарта Российской Федерации с 1 января 2018 г.
5 Настоящий стандарт идентичен международному стандарту ISO 7359:1985 "Масла эфирные. Анализ методом газовой хроматографии на насадочных колонках. Общий метод" ("Essential oils - Analysis by gas chromatography on packed columns - General method", IDT).
Международный стандарт разработан Техническим комитетом по стандартизации ISO/TC 54 "Эфирные масла" Международной организации по стандартизации (ISO).
При применении настоящего стандарта рекомендуется использовать вместо ссылочных международных стандартов соответствующие им межгосударственные стандарты, сведения о которых приведены в дополнительном
приложении ДА.
Наименование настоящего стандарта изменено относительно наименования указанного международного стандарта для приведения в соответствие с ГОСТ 1.5
(подраздел 3.6)
6 ВВЕДЕН ВПЕРВЫЕ
Информация о введении в действие (прекращении действия) настоящего стандарта и изменений к нему на территории указанных выше государств публикуется в указателях национальных (государственных) стандартов, издаваемых в этих государствах, а также в сети Интернет на сайтах соответствующих национальных органов по стандартизации.
В случае пересмотра, изменения или отмены настоящего стандарта соответствующая информация также будет опубликована в сети Интернет на сайте Межгосударственного совета по стандартизации, метрологии и сертификации и в каталоге "Межгосударственные стандарты"
В связи с тем, что описание методов анализа эфирных масел с помощью газовой хроматографии очень обширно, было принято решение выделить, с одной стороны, общие методы, предоставляющие информацию об общих параметрах, оборудовании, продуктах, методиках, расчетных формулах и т.д., и, с другой стороны, - стандарты с краткими указаниями по определению специфических компонентов конкретных эфирных масел с необходимыми для данного случая рекомендациями (далее - стандарт на соответствующее эфирное масло).
В соответствующих стандартах на эфирные масла даны ссылки не только на настоящий стандарт по хроматографическому методу анализа на насадочных колонках, но и на ISO 7609 по анализу на капиллярных колонках.
Настоящий стандарт устанавливает общие требования к методу газовой хроматографии эфирных масел на насадочных колонках для определения содержания специфических компонентов и оценки характерного профиля эфирных масел.
В настоящем стандарте использованы нормативные ссылки на следующие стандарты, которые являются обязательными. Для датированных ссылок применяют только указанное издание ссылочного документа, для недатированных ссылок применяют последнее издание ссылочного документа (включая все его изменения).
ISO 356:1996 Essential oils - Preparation of test samples (Масла эфирные. Подготовка образцов для испытаний)
ISO 7609:1985 Essential oils - Analysis by gas chromatography on capillary columns. General method (Масла эфирные. Анализ методом газовой хроматографии на капиллярных колонках. Общий метод)
Сущность метода заключается в анализе эфирного масла методом газовой хроматографии на колонке, заполненной материалом, подходящим для анализа конкретного эфирного масла в условиях, установленных настоящим стандартом.
При необходимости идентификацию компонентов проводят посредством определения индексов удерживания.
Количественное определение специфических компонентов эфирного масла проводят посредством измерения площадей пиков.
Необходимо использовать только реактивы аналитической степени чистоты.
4.1 Газ-носитель: водород <1>, гелий или азот, в зависимости от вида используемого детектора. Если применяют детектор, использующий другой газ-носитель, то это необходимо отразить в протоколе испытаний.
--------------------------------
<1> При использовании этого газа необходимо строгое соблюдение правил безопасности.
4.1.1 Вспомогательные газы: любые газы, подходящие для используемого детектора.
4.2 Вещество для проверки химической инертности колонки: линалилацетат, с массовой долей основного вещества не менее 98%.
4.3 Вещества для определения эффективности колонки <1>
--------------------------------
<1> Для определения эффективности колонки могут быть использованы другие вещества; они должны быть указаны в соответствующем стандарте.
4.3.1 Линалоол, с массовой долей основного вещества не менее 99%, определяемой хроматографически.
4.3.2 Метан, с массовой долей основного вещества не менее 99%, определяемой хроматографически.
4.4 Образцы сравнения
, соответствующие определяемым или обнаруживаемым компонентам. Информация о выборе образцов сравнения должна быть указана в стандарте на соответствующее эфирное масло.
Внутренний стандарт должен быть указан в стандарте на соответствующее эфирное масло.
Внутренний стандарт должен элюироваться в непосредственной близости от определяемого компонента, и его пик на хроматограмме не должен накладываться на пики других компонентов эфирного масла.
4.6 Нормальные алканы
, с массовой долей основного вещества не менее 95%, определяемой хромаграфически. Ряд нормальных алканов, указанных в стандарте на соответствующее эфирное масло, зависит от индексов удерживания компонентов, определяемых в выбранных условиях, установленных настоящим стандартом.
Примечание - Нормальные алканы используют при необходимости для определения индексов удерживания.
Готовят смесь, содержащую в приблизительно равных соотношениях:
- лимонен;
- ацетофенон;
- линалоол;
- линалилацетат;
- нафталин;
- коричный спирт.
Все эти компоненты должны иметь массовую долю основного вещества не менее 95%, определяемую хроматографически.
Примечание - Допускается использовать другие компоненты для приготовления контрольной смеси. Информация об использовании других компонентов приведена в стандарте на соответствующее эфирное масло.
5.1 Хроматограф, оснащенный подходящим детектором с возможностью программирования температуры.
Системы ввода проб и детектирования должны быть оснащены устройствами независимого регулирования соответствующих температур.
5.2 Колонка, изготовленная из инертного материала (например, стекло или нержавеющая сталь), с внутренним диаметром от 2 до 4 мм и длиной от 2 до 4 м.
Носитель должен быть максимально инертным, например, силанизированный и промытый кислотой цеолит. Необходимо использовать определенный размер частиц, установленный в стандарте на соответствующее эфирное масло.
Тип неподвижной фазы должен быть указан в соответствующем стандарте. В настоящее время часто используют следующие неподвижные фазы: неполярные фазы, такие как диметилполисилоксаны, и полярные фазы, такие как полиэтиленгликоль. Отношение массы неподвижной фазы к массе носителя выражают в граммах неподвижной фазы на 100 г носителя.
Состав насадки для заполнения колонки должен быть указан в соответствующем стандарте.
Примечание - Если используют насадку без неподвижной фазы, то он должен быть необходимым образом охарактеризован.
5.3 Записывающее устройство и интегратор, технические характеристики которых должны быть совместимы с остальным оборудованием.
6 Подготовка пробы для анализа
Метод подготовки пробы для анализа приведен - по ISO 356.
Если проба для введения должна подвергнуться специальной обработке, то это должно быть отмечено в стандарте на соответствующее эфирное масло.
Температуры термостата, системы ввода пробы и детектора должны быть указаны в стандарте на соответствующее эфирное масло.
7.2 Скорость потока газа-носителя
Регулирование скорости потока проводят с целью достижения необходимой эффективности колонки (см.
8.2).
7.3 Скорости потоков вспомогательных газов
Оптимальные скорости потоков вспомогательных газов, обеспечивающие оптимальный отклик детектора, устанавливают в соответствии с инструкцией изготовителя.
8.1 Испытание на химическую инертность
Вводят пробу линалилацетата при соблюдении условий проведения анализа (см.
7.1).
На хроматограмме должен быть получен только один пик (следует принять во внимание чистоту линалилацетата).
8.2 Эффективность колонки
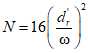
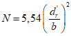
Эффективность колонки определяют измерением пика линалоола в условиях постоянной температуры 130 °C. Число теоретических тарелок N, которое должно быть не менее 3000, рассчитывают по одной из следующих формул (см. рисунок 1)

, (1)

, (2)
где

- исправленное расстояние удерживания (расстояние удерживания пика линалоола за вычетом расстояния удерживания пика воздуха или пика метана при температуре 130 °C, сравнимого с пиком воздуха), мм;

- расстояние между двумя точками пересечения базовой линии с двумя касательными в точках перегиба пика линалоола, мм;
b - ширина пика определяемого вещества (линалоола) на половине высоты пика, мм.
Скорость подачи диаграммной ленты записывающего устройства должна быть такой, чтобы

была не менее 10 мм.
Скорость подачи диаграммной ленты записывающего устройства должна быть такой, чтобы b была не менее 5 мм.
8.3 Разрешающая способность и степень разделения
Для определения разрешающей способности и/или степени разделения вводят необходимое количество контрольной смеси (см.
4.7) при соблюдении условий проведения анализа.
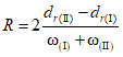
8.3.1 Определение разрешения (см. рисунок 2)
Разрешение R двух смежных потоков пиков I и II вычисляют по формуле

, (3)
где dr(I) - расстояние удерживания пика I, мм;
dr(II) - расстояние удерживания пика II, мм;

- ширина основания пика I, мм;

- ширина основания пика II, мм.
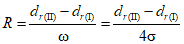
Если

, то
R вычисляют по формуле

, (4)
где

- стандартное отклонение (см.
рисунок 1).
Если расстояние между двумя пиками

, то разрешение равно единице (см.
рисунок 2). Если два пика не полностью разделяются, то касательные в точках перегиба двух пиков пересекаются в точке C. Для полного разделения пиков расстояние между ними должно равняться

, (5)
откуда R = 1,5 (см. рисунок 3).
Рисунок 3
8.3.2 Определение степени разделения пиков (см. рисунок 4)
Рисунок 4
Проводят прямую, соединяющую вершины двух пиков по касательной. От базовой линии проводят перпендикуляр через минимум между двумя пиками. Измеряют расстояние h по перпендикуляру между базовой линией и точкой пересечения с прямой, связывающей вершины двух пиков.
Измеряют расстояние v по перпендикуляру от базовой линии до минимума между двумя пиками.
Степень разделения p, выраженную в процентах, вычисляют по формуле

. (6)
8.3.3 Контроль степени разделения при программировании температуры
Работы проводят в следующих условиях:
- колонки с диметилполисилоксаном или полиэтиленгликолем;
- программируемая температура в диапазоне от 80 °C до 220 °C при скорости от 2 до 3 °C/мин.
Скорость газа-носителя должна допускать элюирование всех компонентов контрольной смеси (см.
4.7) и нормальных алканов (см.
4.6), необходимых для определения индексов удерживания, до конца программы.
8.3.3.1 Вводят необходимое количество контрольной смеси (см.
4.7).
На полученной хроматограмме:
a) в случае использования колонки с диметилполисилоксаном пики лимонена и ацетофенона должны быть разделены не менее, чем на 95% (см.
8.3.2);
b) в случае использования колонки с полиэтиленгликолем (
Mr = 20000) пики линалоола и линалилацетата должны быть разделены не менее чем на 95% (см.
8.3.2).
Если в стандарте на соответствующее эфирное масло указано, что необходимо использовать другую насадку, то в этом стандарте должны быть также установлены требования к ней.
8.3.3.2 Вводят необходимое количество контрольной смеси и рассчитывают индексы удерживания
(раздел 9) компонентов анализируемой смеси.
При использовании колонки с диметилполисилоксаном используют алканы от C10 до C16.
При использовании колонки с полиэтиленгликолем (Mr = 20000) используют алканы от C11 до C24.
Индексы удерживания, рассчитанные в соответствии с требованиями
раздела 9, характеризуют полярность колонки в зависимости от различных структурных особенностей анализируемых компонентов.
Результаты, полученные на различных колонках с одинаковой насадкой, могут быть сравнимы, если индексы удерживания компонентов исследуемой смеси лишь незначительно различаются на разных колонках.
9 Определение индексов удерживания
Если необходимо определить индексы удерживания, то готовят смесь из нормальных алканов в заданной пропорции, включая
н-пентан. Нормальные алканы выбирают в соответствии с рядом ожидаемых индексов удерживания. После стабилизации температуры колонки вводят определенное количество подготовленной смеси и ведут анализ в условиях по
10.1.1. Получают хроматограмму B.
9.1 Измерение индексов удерживания
Сравнивают хроматограммы A (см.
10.1.1) и B (см.
раздел 9) и отмечают на хроматограмме B пики, соответствующие нормальным алканам.
Соответствующие измерения проводят по хроматограмме B.
9.1.1 Изотермические условия
9.1.1.1 Если используют детектор по теплопроводности, то рассчитывают разницу между расстояниями удерживания для вершин рассматриваемого пика и пика воздуха. Эту разницу обозначают

и выражают в миллиметрах.
Рассчитывают разницу между расстояниями удерживания для вершин пика воздуха и пика нормального алкана, выходящего непосредственно перед рассматриваемым пиком. Эту разницу обозначают

и выражают в миллиметрах.
Рассчитывают разницу между расстояниями удерживания вершин пика воздуха и пика нормального алкана, появляющегося сразу после рассматриваемого пика. Эту разницу обозначают

и выражают в миллиметрах.
9.1.1.2 Если используют пламенно-ионизационный детектор, то рассчитывают разницу между расстояниями удерживания вершин рассматриваемого пика и пика метана. Эту разницу обозначают

и выражают в миллиметрах.
Рассчитывают разницу между расстояниями удерживания вершин пика метана и пика нормального алкана, выходящего перед рассматриваемым пиком. Эту разницу обозначают

и выражают в миллиметрах.
Рассчитывают разницу между расстояниями удерживания вершин пика метана и пика нормального алкана, появляющегося после рассматриваемого пика. Эту разницу обозначают

и выражают в миллиметрах.
9.1.2 Проведение анализа с использованием линейного программирования температуры от момента ввода пробы
Измеряют расстояние по базовой линии между вершиной пика, для которого определяют индекс удерживания, и вершиной пика нормального алкана (
n-атомов углерода), появляющегося перед рассматриваемым пиком. Это расстояние обозначают

и выражают в миллиметрах.
Измеряют расстояние по базовой линии между вершинами соседних пиков нормальных алканов (имеющих
n и
n + 1 атомов углерода, появляющихся до и после рассматриваемого пика). Это расстояние обозначают

, и выражают в миллиметрах.
9.2 Вычисление индекса удерживания
9.2.1 Изотермические условия
Индекс удерживания l вычисляют по формуле

, (7)
где

- расстояние между вершиной пика, индекс удерживания которого рассчитывают, и вершиной пика воздуха или метана (см.
9.1.1), мм;

- расстояние между вершиной пика нормального алкана с
n-атомами углерода и вершиной пика воздуха или метана (см.
9.1.1), мм;

- расстояние между вершиной пика нормального алкана с
n + 1 атомами углерода и вершиной пика метана (см.
9.1.1), мм.
Примечание - Формула верна только в случае выполнения условия

.
9.2.2 Проведение анализа с использованием линейного программирования температуры от момента ввода пробы
Расчет верен только для компонентов, имеющих времена удерживания, которые входят в линейную зону программирования температуры.
Индекс удерживания Y вычисляют по формуле

, (8)
где

- расстояние между вершиной пика, индекс которого определяют, и вершиной пика нормального алкана с
n-атомами углерода (см.
9.1.2), мм;

- расстояние между вершиной пика нормального алкана с
n-атомами углерода и вершиной пика нормального алкана с
n + 1 атомами углерода (см.
9.1.2), мм.
Примечание - Если используют различные программы температур, то индекс удерживания рассчитать невозможно.
10.1.1 Хроматограмма эфирного масла
Регистрируют хроматограмму эфирного масла как указано в стандарте на соответствующее эфирное масло.
Температура и сопутствующие условия должны быть такими же, как и при определении эффективности колонки (см.
8.2).
Для определения некоторых компонентов эфирных масел соответствующий стандарт может рекомендовать использование изотермических условий при определенной температуре. В таких случаях скорость потока должна контролироваться так, чтобы разделение соответствовало требованиям стандарта на соответствующее эфирное масло.
После стабилизации температуры колонки вводится соответствующее количество пробы. Получают хроматограмму A.
10.2 Метод внутреннего стандарта
В одних и тех же рабочих условиях записывают хроматограммы эфирного масла и смеси этого масла с внутренним стандартом (см.
4.5). Проверяют, отделяются ли на хроматограмме определяемые компоненты от других компонентов эфирного масла и что пик внутреннего стандарта не накладывается ни на какие пики компонентов масла.
10.2.1 Определение градуировочного коэффициента
Если для количественного определения следует установить фактор отклика данного компонента относительно внутреннего стандарта, то взвешивают необходимые количества внутреннего стандарта (см.
4.5) и образца сравнения (см.
4.4), чтобы соответствующие площади пиков были приблизительно равными.
Если используют растворитель, то он должен быть указан в соответствующем стандарте.
После стабилизации температуры колонки вводят необходимое количество данной смеси и анализ выполняют в условиях, оговоренных в
10.1.1.
Таким образом получают хроматограмму F.
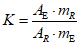
Градуировочный коэффициент относительно внутреннего стандарта, K, вычисляют по формуле

, (9)
где AR - площадь пика, соответствующая определяемому веществу, отклик для которого рассчитывают, единицы интегратора;
AE - площадь пика, соответствующая внутреннему стандарту, единицы интегратора;
mR - масса определяемого вещества, мг;
mE - масса внутреннего стандарта, мг.
Если в стандарте на соответствующее эфирное масло предусмотрено использование внутреннего стандарта, то готовят смесь из необходимого количества (не менее 0,001 г) эфирного масла и внутреннего стандарта. Необходимо такое количество внутреннего стандарта, чтобы площадь пика определяемого компонента и внутреннего стандарта были приблизительно равны.
После стабилизации температуры колонки вводят подходящее количество этой смеси и проводят анализ в условиях, указанных в
10.1.1. Получают хроматограмму C.
Если использование метода внутреннего стандарта для конкретного определения невозможно, то используют метод добавок.
Для этого вводят необходимое количество эфирного масла и регистрируют хроматограмму D, на которой X - определяемый компонент, а Y - компонент, дающий пик, близкий к пику X на полученной хроматограмме.
Затем готовят смесь из
m, г, эфирного масла и
mR, г, образца сравнения (см.
4.4), массой не более 0,001 г, соответствующую определяемому компоненту
X.
Вводят данную смесь в хроматограф.
Таким образом получают хроматограмму E.
10.4 Метод внутренней нормализации
Данный метод не является методом количественного определения, но допускает грубую оценку отношения концентраций различных компонентов, элюированных из смеси, путем сравнения площадей их пиков, но не позволяет найти их массовые доли.
11.1 Метод внутреннего стандарта
Массовую долю определяемого компонента cX, выраженную в процентах, вычисляют по формуле

, (10)
где
AX - площадь пика, соответствующая определяемому компоненту (см.
10.2.2), единицы интегратора;
AE - площадь пика, соответствующая внутреннему стандарту (см.
10.2.2), единицы интегратора;
m - масса эфирного масла, мг;
mE - масса внутреннего стандарта, мг;
K - отклик определяемого компонента относительно внутреннего стандарта (см.
10.2.1).
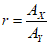
Массовую долю определяемого компонента cX, выраженную в процентах, вычисляют по формуле

(11)
для r' > r,
где
mR - масса стандартного вещества, г
(4.4);
m - масса эфирного масла, г;
и

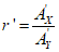
, (12)
где
AX - площадь пика, соответствующая компоненту
X на хроматограмме D
(10.3);
AY - площадь пика, соответствующая компоненту Y, близко расположенному к X на хроматограмме D;
и

, (13)
где

- площадь пика, соответствующая компоненту
X на хроматограмме E (см.
10.3).

- площадь пика, соответствующая компоненту
Y, близко расположенному к
X на хроматограмме E.
11.3 Метод внутренней нормализации
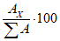
Когда порция пробы полностью испаряется (эфирное масло без осадка) в выбранных условиях и получаемая хроматограмма не содержит большого числа малых пиков, то массовую долю определяемого компонента cX, выраженную в процентах, вычисляют по формуле

, (14)
где AX - площадь пика, соответствующая определяемому компоненту, единицы интегратора;

- сумма площадей всех пиков, единицы интегратора.
11.4 Результаты и повторяемость
За значение фактора отклика K и результат измерений массовой доли определяемого компонента cX принимают среднее арифметическое значение нескольких (не менее трех) определений, осуществленных на той же пробе. Допускаемое расхождение между значениями параллельных определений, отнесенные к средним арифметическим не должны отличаться более, чем на несколько процентов (в основном 2,5%). Конкретные значения отклонения и число параллельных определений должны быть установлены в соответствующих методиках или в стандарте на соответствующее эфирное масло.
Протокол испытаний должен включать следующую информацию:
a) информацию об идентификации образца;
b) ссылку на настоящий стандарт;
c) тип используемого оборудования;
d) характеристики колонки (материал, насадка, температура);
e) характеристики системы ввода проб (тип и температура);
f) характеристики детектора (тип и температура);
g) информацию о газе-носителе и скорости потока;
h) характеристики записывающего устройства (максимальная высота сигнала, скорость записи, быстродействие);
i) полученные результаты.
Приложение ДА
(справочное)
СВЕДЕНИЯ О СООТВЕТСТВИИ ССЫЛОЧНЫХ МЕЖДУНАРОДНЫХ СТАНДАРТОВ
МЕЖГОСУДАРСТВЕННЫМ СТАНДАРТАМ
Таблица ДА.1
Обозначение ссылочного международного стандарта | Степень соответствия | Обозначение и наименование соответствующего межгосударственного стандарта |
ISO 356:1996 | IDT | ГОСТ ISO 356-2014 "Масла эфирные. Подготовка проб для испытаний" |
ISO 7609:1985 | IDT | ГОСТ ISO 7609-2014 "Масла эфирные. Анализ методом газовой хроматографии на капиллярных колонках. Общий метод" |
Примечание - В настоящей таблице использовано следующее условное обозначение степени соответствия стандартов: - IDT - идентичные стандарты. |