Главная // Актуальные документы // ГОСТ (Государственный стандарт)СПРАВКА
Источник публикации
М.: Стандартинформ, 2016
Примечание к документу
Документ
введен в действие с 1 января 2018 года.
Название документа
"ГОСТ ISO 6571-2016. Межгосударственный стандарт. Пряности, приправы и травы. Определение содержания эфирных масел (метод гидродистилляции)"
(введен в действие Приказом Росстандарта от 30.08.2016 N 980-ст)
"ГОСТ ISO 6571-2016. Межгосударственный стандарт. Пряности, приправы и травы. Определение содержания эфирных масел (метод гидродистилляции)"
(введен в действие Приказом Росстандарта от 30.08.2016 N 980-ст)
агентства по техническому
регулированию и метрологии
от 30 августа 2016 г. N 980-ст
МЕЖГОСУДАРСТВЕННЫЙ СТАНДАРТ
ПРЯНОСТИ, ПРИПРАВЫ И ТРАВЫ
ОПРЕДЕЛЕНИЕ СОДЕРЖАНИЯ ЭФИРНЫХ МАСЕЛ
(МЕТОД ГИДРОДИСТИЛЛЯЦИИ)
Spices, condiments and herbs. Determination of volatile
oil content (hydrodistillation method)
(ISO 6571:2008, IDT)
ГОСТ ISO 6571-2016
Дата введения
1 января 2018 года
Цели, основные принципы и основной порядок проведения работ по межгосударственной стандартизации установлены
ГОСТ 1.0-2015 "Межгосударственная система стандартизации. Основные положения" и
ГОСТ 1.2-2015 "Межгосударственная система стандартизации. Стандарты межгосударственные, правила и рекомендации по межгосударственной стандартизации. Правила разработки, принятия, обновления и отмены"
1 ПОДГОТОВЛЕН Открытым акционерным обществом "Всероссийский научно-исследовательский институт сертификации" (ОАО "ВНИИС") на основе официального перевода на русский язык англоязычной версии указанного в
пункте 5 стандарта, который выполнен ФГУП "Стандартинформ"
2 ВНЕСЕН Федеральным агентством по техническому регулированию и метрологии
3 ПРИНЯТ Межгосударственным советом по стандартизации, метрологии и сертификации (протокол от 28.06.2016 г. N 49)
За принятие проголосовали:
Краткое наименование страны по МК (ИСО 3166) 004-97 | Код страны по МК (ИСО 3166) 004-97 | Сокращенное наименование национального органа по стандартизации |
Армения | AM | Минэкономики Республики Армения |
Казахстан | KZ | Госстандарт Республики Казахстан |
Киргизия | KG | Кыргызстандарт |
Россия | RU | Росстандарт |
Украина | UA | Минэкономразвития Украины |
4
Приказом Федерального агентства по техническому регулированию и метрологии от 30 августа 2016 г. N 980-ст межгосударственный стандарт ГОСТ ISO 6571-2016 введен в действие в качестве национального стандарта Российской Федерации с 1 января 2018 г.
5 Настоящий стандарт идентичен международному стандарту ISO 6571:2008 "Пряности, приправы и травы. Определение содержания эфирных масел (метод гидродистилляции)" ["Spices, condiments and herbs - Determination of volatile oil content (hydrodistillation method)", IDT].
Международный стандарт разработан Подкомитетом ISO TC 34/SC 7 "Пряности, кулинарные травы и приправы" Технического комитета по стандартизации ISO/TC 34 "Пищевые продукты" Международной организации по стандартизации (ISO).
При применении настоящего стандарта рекомендуется использовать вместо ссылочных международных стандартов соответствующие им межгосударственные стандарты, сведения о которых приведены в дополнительном
приложении ДА
6 ВВЕДЕН ВПЕРВЫЕ
7 Некоторые элементы настоящего стандарта могут являться объектом патентных прав
Информация об изменениях к настоящему стандарту публикуется в ежегодном информационном указателе "Национальные стандарты", а текст изменений и поправок - в ежемесячном информационном указателе "Национальные стандарты". В случае пересмотра (замены) или отмены настоящего стандарта соответствующее уведомление будет опубликовано в ежемесячном информационном указателе "Национальные стандарты". Соответствующая информация, уведомление и тексты размещаются также в информационной системе общего пользования - на официальном сайте Федерального агентства по техническому регулированию и метрологии в сети Интернет (www.gost.ru)
Настоящий стандарт устанавливает метод определения содержания эфирных масел в пряностях, приправах и травах.
Для применения настоящего стандарта необходимы следующие ссылочные документы. Для датированных ссылок применяют только указанное издание. Для недатированных ссылок применяют последнее издание ссылочного документа (включая все его изменения).
ISO 939, Spices and condiments - Determination of moisture content - Entrainment method (Пряности и приправы. Определение содержания влаги. Метод уноса)
ISO 2825, Spices and condiments - Preparation of a ground sample for analysis (Пряности и приправы. Приготовление измельченной пробы для анализа)
В настоящем стандарте применены следующие термины с соответствующими определениями.
3.1 содержание эфирных масел (volatile oil content): Все вещества, перегоняемые водяным паром в условиях, установленных в настоящем стандарте.
Примечание - Содержание эфирных масел выражается в кубических сантиметрах на 100 г сухого продукта.
Перегоняют водную суспензию продукта. Дистиллят собирают в градуированную пробирку с измеренным объемом ксилола для улавливания эфирного масла. Затем проводят разделение органической и водной фаз и измеряют общий объем органической фазы. Содержание эфирного масла вычисляют по разнице общего объема органической фазы и объема ксилола.
Используют реактивы только признанного аналитического качества и только дистиллированную воду или воду эквивалентной чистоты.
5.2.1 Ацетон (для жировых остатков).
5.2.2 Жидкое моющее средство (используемое при концентрации, рекомендованной изготовителем) или раствор серной кислоты и бихромата калия (см. предупреждение), приготовленный постепенным добавлением при постоянном помешивании одного объема концентрированной серной кислоты к одному объему насыщенного раствора бихромата калия; смесь после охлаждения пропускают через пористый стеклянный фильтр.
ПРЕДУПРЕЖДЕНИЕ - Следует избегать любого контакта этого раствора с кожей и слизистыми оболочками.
Используют следующее лабораторное оборудование.
6.1 Аппарат для дистилляции, изготовленный из высокопрочного стекла с низким коэффициентом теплового расширения <1>.
--------------------------------
<1> Аппарат соответствует типу аппаратов, описанных в издании European Pharmacopoeia (т. 5.89), 2.8.12.
Аппарат состоит из следующих компонентов, соединенных стеклянными шлифами.
6.1.1 Круглодонная колба, с цилиндрической горловиной, вместимостью 500 см
3 или 1000 см
3, в соответствии с анализируемым продуктом (см.
приложение A).
6.1.2 Система конденсации, включающая следующие компоненты, соединенные вместе (см.
рисунок 1):
a) вертикальная трубка (AC), в основании которой притертое соединение, соответствующее размеру колбы по
6.1.1;
b) изогнутая трубка (CDE);
c) вертикальный шариковый холодильник (FG);
d) устройство, состоящее из трубки с боковым ответвлением (K) и снабженное притертой пробкой (K'), грушевидное расширение (J), градуированная трубка с ценой деления 0,05 см3 (JL), сферическое расширение (L) и трехходовой кран (M), присоединенный к вертикальной трубке (AC) с помощью наклонной трубки (O), снабженной предохранительной трубкой (N), в верхней части которой, при необходимости, устанавливают конденсационную емкость по 6.1.3.
6.1.3 Конденсационная емкость (см.
рисунок 2), которая может присоединяться к боковому ответвлению (K) или к предохранительной трубке (N) (см.
6.1.2).
6.2 Бумага фильтровальная, диаметром 110 мм.
6.3 Пипетка, вместимостью 1 см
3.
6.4 Нагревающее устройство.
Следует выбрать такой метод нагревания, чтобы избежать перегрева колбы по
6.1.1. Рекомендуется использовать устройство регулирования температуры.
6.5 Гранулы, способствующие равномерному кипению, или стеклянные шарики.
6.6 Цилиндр мерный, вместимостью 500 см
3.
6.7 Весы аналитические.
A, C, D, E, F, G, J, K, K', L, M, N, O - см.
6.1.2;
b - вместимость 3 см
3;

- 35°
Рисунок 1 - Система конденсации
Рисунок 2 - Конденсационная емкость
В лабораторию должна быть отправлена представительная проба. Проба не должна быть повреждена или изменена при транспортировке или хранении.
Отбор проб не является частью метода, установленного в настоящем стандарте. Рекомендуемый метод отбора проб приводится в
[1].
8 Порядок проведения анализа
Примечание - Предполагается установить параметры анализа в стандарте, определяющем требования к каждому виду пряностей или приправ. Данные параметры приведены в
приложении A.
8.1 Подготовка аппаратуры
Тщательно промывают систему конденсации (см.
6.1.2). Плотно притирают стеклянную пробку (K') на боковом ответвлении (K), а конденсационную емкость
(6.1.3) устанавливают на предохранительную трубку (N). Переворачивают аппарат вверх дном, заполняют моющим раствором (см.
5.2) и оставляют в таком положении на ночь. После промывания очень тщательно ополаскивают аппарат водой.
8.2 Приготовление пробы для анализа
Если пробу для анализа необходимо измельчить (см.
приложение A), размалывают достаточное количество лабораторной пробы непосредственно перед добавлением в круглодонную колбу до определенной степени тонкости для данного вида продукта (см. ISO 2825). При проведении этой процедуры следует убедиться в том, что температура пробы для анализа не повышается.
Размер ячейки сита для пробы должен быть установлен в международном стандарте на данный вид пряности.
Взвешивают, с точностью до 0,01 г, на фильтровальную бумагу (см.
6.2) определенное количество пробы для анализа (см.
приложение A).
8.4 Определение
8.4.1 Определение объема ксилола
С помощью мерного цилиндра (см.
6.6) переносят определенное количество воды (см.
приложение A) в колбу (см.
6.1.1) и добавляют гранулы, способствующие равномерному кипению, или стеклянные шарики (см.
6.5). Присоединяют колбу к системе конденсации (см.
6.1.2) и наполняют градуированную трубку с ценой деления 0,05 см
3 (JL), колбу накопителя (L) и наклонную трубку (O) водой через боковое ответвление (K). С помощью пипетки (см.
6.3) добавляют 1 см
3 ксилола (см.
5.1) через боковое ответвление. Конденсационную емкость (см.
6.1.3) наполовину заполняют водой и соединяют с системой конденсации. Нагревают колбу и регулируют скорость дистилляции до 2 см
3/мин или 3 см
3/мин, если нет других указаний. Перегоняют в течение 30 мин, а затем убирают источник нагревания (см.
6.4). С помощью трехходового крана (M) пропускают ксилол в трубку (JL) таким образом, чтобы верхний уровень совпал с нулевым делением шкалы. Оставляют охладиться в течение, по крайней мере, 10 мин и измеряют объем ксилола.
8.4.2 Определение объема органической фазы (эфирные масла и ксилол)
Переносят фильтровальную бумагу (см.
6.2) с пробой для анализа (см.
8.3) в колбу (см.
6.1.1) и снова соединяют колбу с системой конденсации. Нагревают колбу и регулируют скорость дистилляции до 2 см
3/мин или 3 см
3/мин, если нет других указаний. Продолжают перегонку в течение определенного времени (см.
приложение A). (Записывают время дистилляции для включения в протокол анализа).
Убирают источник нагревания (см.
6.4) и оставляют охладиться. Спустя 10 мин определяют объем органической фазы (смесь эфирного масла и ксилола), собранной в градуированной трубке.
8.4.3 Определение содержания влаги
Определяют содержание влаги с помощью метода, установленного в ISO 939.
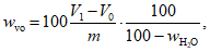
Содержание эфирного масла, wvo, выражаемое в см3 на 100 г сухого продукта, вычисляют по следующей формуле

(1)
где
V0 - объем ксилола, определенный по
8.4.1, см
3;
V1 - общий объем эфирного масла и ксилола, определенный по
8.4.2, см
3;
m - масса пробы для анализа, г;

- массовая доля влаги, %, определенная по
8.4.3.
Подробности межлабораторных испытаний, касающиеся прецизионности метода, приведены в
приложении B. Значения, полученные в результате этих межлабораторных испытаний, могут быть неприменимы к средним значениям содержаний эфирного масла и матрицам, отличным от указанных в настоящем стандарте.
10.1 Повторяемость
Абсолютное расхождение между результатами двух независимых анализов, полученными за короткий промежуток времени с использованием одного и того же метода, одного и того же анализируемого образца в одной и той же лаборатории одним и тем же оператором на одинаковом оборудовании, не более чем в 5% случаев будет превышать пределы повторяемости r, указанные в таблице 1.
Таблица 1
Пределы повторяемости
Проба | Среднее значение содержания эфирного масла  , см 3/100 г | Предел повторяемости r, см3/100 г |
Душица, растертая | 1,907 | 0,176 |
Гвоздика, молотая | 13,956 | 1,960 |
Перец черный, молотый | 2,624 | 0,331 |
10.2 Воспроизводимость
Абсолютное расхождение между результатами двух независимых анализов, полученными с использованием одного и того же метода, одного и того же анализируемого образца в разных лабораториях разными операторами на разном оборудовании, не более чем в 5% случаев будет превышать пределы воспроизводимости R, указанные в таблице 2.
Таблица 2
Пределы воспроизводимости
Проба | Среднее значение содержания эфирного масла  , см 3/100 г | Предел воспроизводимости R, см3/100 г |
Душица, цельная/лист | 1,907 | 0,536 |
Гвоздика, молотая | 13,956 | 3,662 |
Перец черный, молотый | 2,624 | 0,796 |
Протокол анализа должен содержать следующую информацию:
a) всю информацию, необходимую для полной идентификации пробы;
b) применяемый метод анализа со ссылкой на настоящий стандарт;
c) время дистилляции, в часах;
d) полученные результаты анализа и единицы, в которых они выражены;
e) дату окончания проведения анализа;
f) выполнено ли требование к пределу повторяемости;
g) все рабочие подробности, не указанные в настоящем стандарте, или считающиеся необязательными, вместе с деталями любых ситуаций, возникших при выполнении метода, которые могут повлиять на результаты анализа.
(обязательное)
АНАЛИЗА ДЛЯ РАЗЛИЧНЫХ ПРЯНОСТЕЙ, ПРИПРАВ И ТРАВ
Пряность | Масса пробы для анализа, г | Форма для дистилляции | Объем воды, см3 | Время дистилляции, ч |
Анисовое семя | 25 | Молотое | 500 | 4 |
Базилик душистый | 50 | Цельный/лист | 500 | 5 |
Пупавка благородная | 30 | Цельная/лист | 300 | 3 |
Пупавка обыкновенная | 50 | Цельная/лист | 500 (0,5 моль/дм2 HCl) | 4 |
Тмин | 20 | Цельный | 300 | 4 |
Кардамон | 20 | Цельный | 400 | 5 |
Кассия | 40 | Молотая | 400 | 5 |
Кервель | 40 | Цельный/лист | 600 | 5 |
Корица | 40 | Молотая | 400 | 5 |
Гвоздика | 4 | Молотая | 400 | 4 |
Кориандр | 40 | Молотый | 400 | 4 |
Куминовое семя | 25 | Молотое | 500 | 4 |
Порошок карри | 25 | Молотый | 500 | 4 |
Укроп | 25 | Измельченный | 500 | 4 |
Фенхель | 25 | Молотый | 300 | 4 |
Чеснок | 25 | Измельченный | 500 | 4 |
Имбирь | 30 | Молотый | 500 | 4 |
Можжевельник | 25 | Измельченный | 500 | 5 |
Мускатный цвет | 15 | Молотый | 400 | 4 |
Майоран сладкий | 40 | Цельный/лист | 600 | 4 |
Майоран дикий | 40 | Цельный/лист | 600 | 5 |
Мята | 40 | Цельная/лист | 600 | 4 |
Смесь трав | 40 | Цельный/лист | 600 | 4 |
Смесь пряностей | 40 | Молотая | 600 | 5 |
Мускатный орех | 15 | Молотый | 400 | 4 |
Душица | 40 | Цельный/лист | 600 | 4 |
Петрушка | 40 | Цельная/лист | 600 | 5 |
Мята болотная | 40 | Цельная/лист | 600 | 5 |
Перец | 40 | Молотый | 400 | 4 |
Мята перечная | 50 | Цельная/лист | 500 | 2 |
Пряность для маринадов | 25 | Молотая | 500 | 4 |
Душистый перец | 30 | Молотый | 500 | 5 |
Розмарин | 40 | Цельный/лист | 600 | 5 |
Шалфей | 40 | Цельный/лист | 600 | 5 |
Чабер | 40 | Цельный/лист | 600 | 5 |
Эстрагон | 40 | Цельный/лист | 600 | 5 |
Тимьян | 40 | Цельный/лист | 600 | 5 |
Куркума | 40 | Молотая | 400 | 5 |
(справочное)
РЕЗУЛЬТАТЫ МЕЖЛАБОРАТОРНЫХ ИСПЫТАНИЙ
Прецизионность метода установлена в результате межлабораторных испытаний, проведенных DIN в 1999 г. на следующих образцах: душица растертая; гвоздика молотая и перец черный молотый. Испытания проводились в соответствии с
[2] и
[3].
Таблица B.1
Статистические результаты
Пробы | Душица растертая | Гвоздика молотая | Перец черный молотый |
Число результатов отдельных испытаний в каждой лаборатории | 5 | 5 | 5 |
Число участвующих лабораторий | 14 | 14 | 14 |
Число исключенных лабораторий | 1 | 1 | - |
Число принятых результатов | 13 | 13 | 14 |
Среднее значение, см3/100 г | 1,907 | 13,956 | 2,624 |
Среднеквадратичное отклонение повторяемости sr | 0,062 | 0,692 | 0,117 |
Предел повторяемости r | 0,176 | 1,960 | 0,331 |
Среднеквадратичное отклонение воспроизводимости sR | 0,189 | 1,294 | 0,281 |
Предел воспроизводимости R | 0,536 | 3,662 | 0,796 |
(справочное)
СВЕДЕНИЯ О СООТВЕТСТВИИ ССЫЛОЧНЫХ МЕЖДУНАРОДНЫХ СТАНДАРТОВ
ССЫЛОЧНЫМ МЕЖГОСУДАРСТВЕННЫМ СТАНДАРТАМ
Таблица ДА.1
Обозначение ссылочного международного стандарта | Степень соответствия | Обозначение и наименование соответствующего межгосударственного стандарта |
ISO 939 | MOD | ГОСТ 28879-90 (ИСО 939-80) "Пряности и приправы. Определение влаги методом отгонки" |
ISO 2825 | IDT | |
Примечание - В настоящей таблице использованы следующие условные обозначения степени соответствия стандартов: - IDT - идентичный стандарт; - MOD - модифицированный стандарт. |
| ISO 948, Spices and condiments - Sampling |
| ISO 5725-1, Accuracy (trueness and precision) of measurement methods and results - Part 1: General principles and definitions [Точность (правильность и прецизионность) методов и результатов измерений. Часть 1. Общие принципы и определения] |
| ISO 5725-2, Accuracy (trueness and precision) of measurement methods and results - Part 2: Basic method for the determination of repeatability and reproducibility of a standard measurement method [Точность (правильность и прецизионность) методов и результатов измерений. Часть 2. Основной метод определения повторяемости и воспроизводимости стандартного метода измерения] |