Главная // Актуальные документы // ГОСТ (Государственный стандарт)СПРАВКА
Источник публикации
М.: Стандартинформ, 2016
Примечание к документу
Документ включен в
Перечень стандартов, содержащих правила и методы исследований (испытаний) и измерений, в том числе правила отбора образцов, необходимые для применения и исполнения требований технического
регламента Таможенного союза "О безопасности молока и молочной продукции" (ТР ТС 033/2013) и осуществления оценки соответствия объектов технического регулирования (
Решение Коллегии Евразийской экономической комиссии от 26.05.2014 N 80).
Документ
введен в действие с 1 июля 2017 года.
Название документа
"ГОСТ ISO 22160-2015. Межгосударственный стандарт. Молоко и молочные напитки. Определение активности щелочной фосфатазы. Метод с применением фотоактивной ферментной системы (EPAS)"
(введен в действие Приказом Росстандарта от 15.09.2016 N 1136-ст)
"ГОСТ ISO 22160-2015. Межгосударственный стандарт. Молоко и молочные напитки. Определение активности щелочной фосфатазы. Метод с применением фотоактивной ферментной системы (EPAS)"
(введен в действие Приказом Росстандарта от 15.09.2016 N 1136-ст)
по техническому регулированию
и метрологии
от 15 сентября 2016 г. N 1136-ст
МЕЖГОСУДАРСТВЕННЫЙ СТАНДАРТ
МОЛОКО И МОЛОЧНЫЕ НАПИТКИ
ОПРЕДЕЛЕНИЕ АКТИВНОСТИ ЩЕЛОЧНОЙ ФОСФАТАЗЫ
МЕТОД С ПРИМЕНЕНИЕМ ФОТОАКТИВНОЙ ФЕРМЕНТНОЙ СИСТЕМЫ (EPAS)
Milk and milk-based drinks. Determination
of alkaline phosphatase activity. Enzymatic
photo-activated system (EPAS) method
(ISO 22160:2007, IDT)
ГОСТ ISO 22160-2015
Дата введения
1 июля 2017 года
Цели, основные принципы и основной порядок проведения работ по межгосударственной стандартизации установлены в
ГОСТ 1.0-2015 "Межгосударственная система стандартизации. Основные положения" и
ГОСТ 1.2-2015 "Межгосударственная система стандартизации. Стандарты межгосударственные, правила и рекомендации по межгосударственной стандартизации. Правила разработки, принятия, обновления и отмены"
1 ПОДГОТОВЛЕН Научно-производственным республиканским унитарным предприятием "Белорусский государственный институт стандартизации и сертификации" (БелГИСС)
2 ВНЕСЕН Государственным комитетом по стандартизации Республики Беларусь
3 ПРИНЯТ Межгосударственным советом по стандартизации, метрологии и сертификации по переписке (протокол от 27 февраля 2015 г. N 75-П)
За принятие проголосовали:
Краткое наименование страны по МК (ISO 3166) 004-97 | Код страны по МК (ISO 3166) 004-97 | Сокращенное наименование национального органа по стандартизации |
Армения | AM | Минэкономики Республики Армения |
Киргизия | KG | Кыргызстандарт |
Молдова | MD | Молдова-Стандарт |
Россия | RU | Росстандарт |
Таджикистан | TJ | Таджикстандарт |
Украина | UA | Минэкономразвития Украины |
4
Приказом Федерального агентства по техническому регулированию и метрологии от 15 сентября 2016 г. N 1136-ст межгосударственный стандарт ГОСТ ISO 22160-2015 введен в действие в качестве национального стандарта Российской Федерации с 1 июля 2017 г.
5 Настоящий стандарт идентичен международному стандарту ISO 22160:2007 "Молоко и молочные напитки. Определение действия щелочной фосфатазы. Метод с применением энзиматических фотоактивированных систем" ("Milk and milk-based drinks - Determination of alkaline phosphatase activity - Enzymatic photo-activated system (EPAS) method", IDT)
Международный стандарт разработан подкомитетом SC 5 "Молоко и молочные продукты" Технического комитета по стандартизации ISO/TC 34 "Пищевые продукты" Международной организации по стандартизации (ISO) и Международной молочной федерацией (IDF) совместно с Международной ассоциацией химиков-аналитиков (AOAC International).
Официальные экземпляры международного стандарта, на основе которого подготовлен настоящий межгосударственный стандарт, и международных стандартов, на которые даны ссылки, имеются в Федеральном информационном фонде технических регламентов и стандартов
6 ВВЕДЕН ВПЕРВЫЕ
Информация об изменениях к настоящему стандарту публикуется в ежегодном информационном указателе "Национальные стандарты", а текст изменений и поправок - в ежемесячном информационном указателе "Национальные стандарты". В случае пересмотра (замены) или отмены настоящего стандарта соответствующее уведомление будет опубликовано в ежемесячном информационном указателе "Национальные стандарты". Соответствующая информация, уведомление и тексты размещаются также в информационной системе общего пользования - на официальном сайте Федерального агентства по техническому регулированию и метрологии в сети Интернет (www.gost.ru)
Настоящий стандарт устанавливает метод определения активности щелочной фосфатазы в пастеризованном цельном молоке, частично обезжиренном молоке, обезжиренном молоке, сливках и ароматизированном молоке с применением хемилюминесцентного (EPAS) метода.
Метод применяется для молока и молочных напитков из коровьего молока, молока овец, буйволиц и коз.
Метод применяется для жидких проб, в которых после их подготовки (разбавления) активность щелочной фосфатазы составляет меньше 7000 миллиединиц на литр.
Примечание - Было проведено успешное совместное исследование с цельным коровьим молоком, молоком овец, буйволиц и коз, а также обезжиренным коровьим молоком (< 0,5% жирности), 20%-ными сливками и 2%-ным молочно-шоколадным напитком).
В настоящем стандарте применены следующие термины с соответствующими определениями:
2.1 активность щелочной фосфатазы; ALP (alkaline phosphatase activity): Активность щелочной фосфатазы, содержащейся в продукте, определяемая в порядке, установленном в настоящем стандарте.
Примечание - Активность щелочной фосфатазы выражается в миллиединицах активности фермента на литр (мЕд/л) (
[4],
[5]).
2.2 единица активности щелочной фосфатазы (unit of alkaline phosphatase activity): Количество фермента щелочной фосфатазы, которое катализирует преобразование 1 мкмоль стабильного ароматического субстрата за минуту.
Активность щелочной фосфатазы измеряют посредством фотоактивации гидролизованного продукта с последующим инструментальным измерением фотоактивации. В присутствии щелочной фосфатазы стабильный ароматический субстрат диоксетан-фосфата гидролизуют при температуре (35 +/- 1) °C для получения фотоактивированного (хемилюминесцентного) продукта. Фотоактивацию продукта усиливают с помощью макромолекулярного повышающего компонента. Реакцию гидролиза останавливают после определенного времени инкубации (3 мин). Количество образовавшегося хемилюминесцентного продукта измеряют и преобразуют в ферментные единицы с помощью люминометра. Градуировка люминометра основана на использовании таблеток с известной ферментной активностью.
В ходе анализа используют реактивы только признанной аналитической чистоты, если не установлены другие требования, и дистиллированную, деминерализованную воду или воду эквивалентной чистоты.
4.1 Субстрат нехемилюминесцентного эфира диоксетана [0,2 моль/л 3-(2'-спироадамантанан)-4-метокси-4-(3"-фосфат фенил-1,2 диоксетана динатриевой соли в DEAE-буфере с 1% флуорозина] имеется в продаже [например, жидкий реактив Charm AP

<1>].
--------------------------------
<1> Реактивы, указанные в разделе 4, и оборудование, указанное в
5.1, доступны у I Charm Sciences Inc., 659 Andover St., Lawrence, MA 01843, USA (США). Они являются примерами подходящих продуктов, доступных в продаже. Эта информация приводится для удобства пользователей настоящего стандарта и не является рекламой указанных продуктов со стороны ISO или IDF. Могут быть использованы эквивалентные продукты, если они обеспечивают получение аналогичных результатов.
Рекомендуется хранить субстрат при температуре 0 °C - 7 °C. При хранении в пластиковых пробирках янтарного цвета и при температуре 4 °C субстрат остается стабильным в течение 6 мес. При хранении при температуре 30 °C субстрат сохраняет стабильность только в течение 24 ч.
При испытаниях используемый субстрат хранят при температуре 0 °C - 7 °C или во льду.
4.2 Останавливающий раствор
Останавливающий раствор подготавливают, смешивая одинаковое количество 0,15 моль/л 2-амино-2-метил-1-пропанола и 0,02% бензалкония хлорида с pH 10,7. До использования останавливающий раствор должен находиться при комнатной температуре 18 °C - 24 °C. Для проверки стабильности раствора, использованного при градуировке, если не используют термозонд, фиксируют и поддерживают температуру в пределах 0,5 °C.
Примечание - Останавливающий раствор используют для остановки ферментного гидролиза субстрата эфира диоксетана
(4.1).
Имеющийся в продаже останавливающий раствор имеет срок годности 1 год при хранении при температуре 4 °C или 2 мес при хранении при комнатной температуре. При ежедневном использовании его рекомендуется хранить при комнатной температуре.
4.3 Рабочие градуировочные средства, например градуировочные таблетки (сухое пастеризованное молоко с измеренным содержанием фосфатазы в виде таблеток для регидратации в молоке) с активностью фосфатазы 875 +/- 26 мкЕд/л. Таблетки регидратируют в трех различных объемах напитка на основе молока, не содержащего активной фосфатазы, или в отрицательной пробе для испытания
(7.2) для создания стандартной градуировочной кривой.
Имеющиеся в продаже градуировочные таблетки хранят при температуре 4 °C в течение 2 лет.
4.3.1 Градуировочные средства для жидких неокрашенных молочных продуктов
В каждой из трех пробирок
(5.9) вместимостью 50 мл с отметками A
1, B
1 и C
1 соответственно растворяют одну градуировочную таблетку в 100 мкл дистиллированной воды.
В пробирку A
1 добавляют 20 мл, в пробирку B
1 - 5 мл, в пробирку C
1 - 2,5 мл жидкого молочного продукта белого цвета (не содержащего активной фосфатазы) или отрицательную пробу для испытания
(7.2). Получают градуировочные стандарты A
1, B
1 и C
1 с активностью фосфатазы A
1 = 44 мЕд/л, B
1 = 175 мЕд/л и C
1 = 350 мЕд/л соответственно. Пробирки закрывают колпачками и энергично встряхивают их содержимое. Для регидратации содержимого пробирки выдерживают ее в холодильнике в течение 10 мин. Тщательно перемешивают перед применением.
4.3.2 Градуировочные средства для сливок и ароматизированного молока
В каждой из трех пробирок
(5.9) вместимостью 50 мл с отметками A
2, B
2 и C
2 соответственно растворяют по одной градуировочной таблетке в 100 мкл дистиллированной воды.
В пробирку A
2 добавляют 10 мл, в пробирку B
2 - 5 мл, в пробирку C
2 - 2,5 мл сливок или ароматизированного молока (не содержащих активной фосфатазы) или отрицательную пробу для испытания
(7.2). Получают градуировочные стандарты A
2, B
2 и C
2 с активностью фосфатазы A
2 = 88 мЕд/л, B
2 = 175 мЕд/л и C
2 = 350 мЕд/л соответственно. Пробирки закрывают колпачками и энергично встряхивают их содержимое. Для регидратации содержимого пробирки выдерживают ее в холодильнике в течение 10 мин. Тщательно перемешивают перед применением.
4.4 Положительная контрольная проба
В качестве положительной контрольной пробы используют лиофилизированную щелочную фосфатазу в колбе янтарного цвета вместимостью 15 мл. Положительную контрольную пробу регидратируют с 10 мл молочного напитка, не содержащего активной фосфатазы, или подготовленной для испытания отрицательной пробой
(7.2). Регидратированная положительная контрольная проба содержит 450 мЕд/л фермента фосфатазы.
Контрольную пробу оставляют на 10 мин для регидратации. Энергично встряхивают перед использованием.
Регидратированная положительная проба стабильна при хранении при температуре 0 °C - 7 °C в течение 48 ч. Положительная контрольная проба, регидратированная с жидким молоком, стабильна в течение 2 мес в замороженном виде при температуре минус 15 °C или ниже. Положительную контрольную пробу оттаивают в воде при комнатной температуре. Контрольную пробу энергично встряхивают, чтобы гомогенизировать перед использованием. Запрещается повторное замораживание положительной контрольной пробы.
Для проведения измерений используют стандартное лабораторное оборудование, а также оборудование, указанное ниже.
5.1 Люминометр, способный работать на длине волны 540 нм, с линейными выходными данными, преобразуемыми внутренним программным обеспечением в активность фермента [например, Charm Luminometer

модели NovaLum, Luminator K или T]. Необходимо для пробирки к моделям NovaLum и Lum-T. NovaLum и Lum-T использовать адаптер в поддерживающем положении. Датчик температуры, обеспечиваемый NovaLum, используют для измерения температуры останавливающего раствора
(4.2).
Измерения должны быть оптимизированы в соответствии с рекомендациями изготовителя для используемого оборудования.
5.2 Мини-пробирки, одноразовые, сделанные из нелюминесцентного пластика, с колпачками, вместимостью 2 мл.
5.3 Пипетка с фиксированным объемом, вместимостью 100 мкл.
5.4 Дозатор с фиксированным объемом, способный дозировать 1,0 мл. Перед применением необходимо убедиться, что объем дозированной воды составляет (1,00 +/- 0,05) г.
5.5 Мерные колбы с одной меткой, вместимостью 100 мл.
5.6 Аналитические весы, способные взвешивать с точностью до 1 мг.
5.7 Блок инкубатора или термостат для сушки, способные работать при температуре (35 +/- 1) °C и (63 +/- 0,2) °C с ячейками размером мини-пробирки.
5.8 Водяная баня, регулируемая, способная поддерживать температуру (63 +/- 0,2) °C и (95 +/- 2) °C.
5.9 Пробирки, вместимостью 50 мл, диаметром 13 мм и длиной 100 мм, с герметичными крышками.
5.10 Принтер с соединительными кабелями для распечатки результатов.
В лабораторию должна быть доставлена представительная проба. Во время транспортирования и хранения не допускается какое-либо ее изменение или порча.
Отбор проб не является частью метода, установленного в настоящем стандарте. Рекомендуемый метод отбора проб приведен в ISO 707 | IDF 50.
7 Подготовка пробы для испытания
7.1 Пробы для испытания
Перед использованием пробы для испытания тщательно перемешивают. Температура в помещении должна быть в пределах 18 °C - 24 °C.
Пробы, предназначенные для испытания, должны быть охлаждены при температуре 0 °C - 7 °C или законсервированы во льду.
7.1.2 Пастеризованные пробы
Используют пробы для испытания, полученные в необходимом количестве, по мере необходимости.
Пипеткой вносят 1 мл пробы для испытания в мерную колбу объемом 100 мл с одной меткой
(5.5) (или соответствующее количество, чтобы активность после разбавления составляла менее 7000 мЕд/л). Доводят до метки молоком, не содержащим щелочной фосфатазы
(7.2). Тщательно перемешивают.
7.1.4 Ароматизированные молочные и сливочные продукты
Используют пробы для испытания, полученные в необходимом количестве. Пробы для испытания вязких продуктов могут потребовать точного определения вносимого пипеткой объема с использованием массы (100 мкл = 100 мг). После внесения пробы протирают кончик пипетки. Возможно, для точного дозирования понадобятся пипетки с другой модификацией отверстия (с более широким отверстием).
7.2 Молоко без щелочной фосфатазы
Молоко в количестве 35 мл, не содержащее щелочной фосфатазы (отрицательная проба для испытания), или необходимый объем рабочей части пробы (
7.1.2,
7.1.3 или
7.1.4) подготавливают путем нагревания в пробирке на водяной бане
(5.8) при температуре 95 °C. Рабочую часть пробы после нагревания до 95 °C выдерживают при этой температуре в течение 1 мин. Затем быстро охлаждают.
Отрицательная проба используется в качестве 0 (нулевого) градуировочного раствора и должна иметь среднее значение менее 5 мЕд/л (или менее 15 мЕд/л с ароматизированными молочными продуктами и сливочными продуктами) в соответствующим образом отградуированном канале люминометра. При температуре 4 °C отрицательные пробы можно хранить в течение 48 ч.
Жидкое молоко может храниться до 6 мес, если его хранят в замороженном виде при температуре минус 15 °C или ниже. Оттаивают отрицательную пробу в воде при комнатной температуре. Пробу энергично встряхивают, чтобы сделать ее однородной перед использованием. Повторно не замораживают.
Следует отметить, что некоторые молочные продукты, такие, например, как овечье молоко, будут осаждаться и расслаиваться, если отрицательная проба для испытания была подготовлена при температуре 95 °C в течение 1 мин. В этом случае требуется более низкая температура в течение длительного времени, например 63 °C в течение 30 мин.
8.1.1 Строят градуировочную кривую для каждого типа продукта, который будут испытывать. Начинают с установки фона люминометра (
Bg) на 100 и коррекции (
Cr) на 100.
При осуществлении настроек применяют руководство по эксплуатации люминометра. Градуировочные кривые являются стабильными, и их следует запускать, если используют новые партии/номера партий субстрата эфира диоксетана
(4.1) и останавливающий раствор
(4.2). Графическое представление для градуировки приведено в
приложении A.
Примечание - Режим градуировки, согласно некоторым руководствам по эксплуатации люминометра, представлен с применением этапов по
8.1.1 -
8.2.2 (меню градуировки представляет собой пункт 8 в главном меню). Выбирают градуировку щелочной фосфатазы. Выбирают канал для градуировки. Выбирают градуировку. Выбирают для градуировки рабочую часть пробы, например молоко, сливки или шоколад (ароматизированный молочный продукт) или другое. Люминометр подсказывает пользователю следующие этапы.
8.1.2 При испытании используют три пробирки с градуировочными пробами. Используют пипетку с фиксированным объемом
(5.3), снабженную наконечником для внесения 100 мкл субстрата эфира диоксетана
(4.1) на дно трех мини-пробирок
(5.2).
8.1.3 Для рабочих частей проб, полученных по
7.1.2 -
7.1.4, пипеткой с фиксированным объемом
(5.3) и чистым наконечником добавляют 100 мкл отрицательной пробы для испытания
(7.2) в каждую пробирку. Содержимое пробы помещают на дно пробирки, чтобы обеспечить контакт всей пробы с субстратом. Содержимое пробирок смешивают, поместив их в штатив, возвратно-поступательными движениями примерно 10 раз в течение 5 с.
8.1.4 Мини-пробирки
(8.1.3) помещают на 3 мин в блок инкубатора
(5.7), установленного на температуру 35 °C. В конце инкубации к содержимому всех мини-пробирок с помощью дозатора с фиксированным объемом
(5.4) в течение 15 с добавляют 1,0 мл останавливающего раствора
(4.2).
8.1.5 Мини-пробирки вынимают из инкубатора. Каждую пробирку накрывают колпачком и энергично встряхивают в течение 5 с. Если необходимо, отвинчивают колпачок и крепят пробирку к адаптеру люминометра. Пробирку вставляют в люминометр. При завершении подсчета (звуковой сигнал) показания люминометра
(5.1) считывают и записывают. Повторяют с каждой пробиркой. Чтобы избежать загрязнения следующей пробирки, к жидким растворам с адаптером не прикасаются. Если раствор контактирует с пробиркой, ее промывают водой и сушат перед повторным использованием. Рассчитывают среднее отрицательное значение (
N). Определение, описанное в
8.1.2 -
8.1.5, повторяют, если одно любое значение более чем на 30% отличается от среднего значения.
8.1.6 Для рабочих частей проб, полученных по
7.1.2 -
7.1.3, трижды повторяют каждый этап по
8.1.2 -
8.1.5 с градуировочным раствором
C1 (4.3.1). Для рабочей части пробы, полученной по
7.1.4, трижды повторяют каждый этап по
8.1.2 -
8.1.5 с градуировочным раствором
C2 (4.3.2). Рассчитывают среднее значение (
Cx) градуировочного раствора
C1 или
C2. Данное определение повторяют, если одно любое значение более чем на 30% отличается от среднего значения.
8.1.7 Рассчитывают корректирующее значение
Cr, используя среднее градуировочное значение
Cx (см.
8.1.6) и среднее отрицательное значение
N (см.
8.1.5) в
формуле (1). Вводят
Cr в люминометр. Пользуются руководством по эксплуатации люминометра в случае, когда необходимо узнать, как изменить коррекцию люминометра по отношению к новому числу корректирующего значения
Cr:
Cr = (
Cx -
N) x 0,286. (1)
Примечание - Автоматизированные люминометры напечатают N и Cx и автоматически рассчитают и отрегулируют значения Cr и Bg.
8.1.8 Рассчитывают фоновое значение с использованием
Cr и среднего отрицательного значения
N в
формуле (2) и вводят значение
Bg в люминометр. Пользуются руководством по эксплуатации люминометра в случае, когда необходимо узнать, как изменить фоновый режим люминометра по отношению к новому числу фонового значения
Bg:
Bg = [
N/
Cr/100] + 100. (2)
Примечание - Автоматизированные люминометры напечатают N и Cx и автоматически рассчитают и отрегулируют значения Cr и Bg.
8.1.9 Трижды повторяют этапы по
8.1.2 -
8.1.5 с отрицательной пробой для испытания
(7.2). Проверяют, составляют ли любые два средних значения для молока (в мЕд/л) менее 5 мЕд/л или для ароматизированного молочного продукта и сливок менее 15 мЕд/л. Если средние значения выходят за пределы диапазона, переходят к этапу по
8.1.1.
8.1.10 Повторяют этап по
8.1.6 с градуировочными растворами
C1 и
C2. Средний считывающий допустимый диапазон составляет 320 мЕд/л и 400 мЕд/л для градуировочного раствора
C (
C1 или
C2). Данное определение повторяют, если одно любое значение более чем на 30% отличается от среднего значения. Если среднее значение выходит за пределы диапазона, переходят к этапу по
8.1.1.
8.1.11 Выполняют градуировку (
8.1.2 -
8.1.5), заменяя в этапе по
8.1.3 рабочий градуировочный раствор
A (
A1 или
A2 в зависимости от рабочей части пробы, указанной в
4.3) отрицательной пробой. Определяют среднее значение для градуировочного раствора
A1 или
A2. Данное определение повторяют, если одно любое значение отличается более чем на 40% от среднего значения.
8.1.12 Выполняют градуировку
(8.1.6), заменяя рабочий градуировочный раствор
B (
B1 или
B2 в зависимости от рабочей части пробы, указанной в
4.3) градуировочным раствором
C на этапе по
8.1.6. Определяют среднее значение для градуировочного раствора B. Данное определение повторяют, если одно любое значение более чем на 30% отличается от среднего значения.
8.1.13 Среднее значение для рабочего градуировочного раствора
A1 должно быть между 32 мЕд/л и 55 мЕд/л, а для рабочего градуировочного раствора
A2 - между 45 и 110 мЕд/л. Среднее значение для рабочего градуировочного раствора
B (
B1 или
B2) должно быть от 145 мЕд/л до 205 мЕд/л.
Если оба градуировочных раствора находятся между указанным диапазоном, переходят к этапу по
8.3. Если любой из градуировочных растворов находится вне указанного диапазона, переходят к этапам по
8.2.1 и
8.2.2.
8.2 Регулировка градуировки
8.2.1 Регулировка градуировки для градуировочных растворов
A и
B
Примечание - Автоматическая градуировка выполнит данные расчеты и регулировки и быстрое повторное испытание
(8.2.2).
8.2.1.1 В случаях, когда среднее значение и средние значения градуировочного раствора A1, A2 или B немного больше или меньше (в пределах 10 мЕд/л), чем заданные диапазоны, можно увеличить или уменьшить фон, что приведет среднее значение в диапазон, не вызывая выпадения из диапазона среднего значения других градуировочных растворов (например, увеличение фона приведет к тому, что это количество вычитается из среднего значения каждого градуировочного раствора, снижение фона приведет к соответствующему увеличению среднего значения каждого градуировочного раствора). В этом случае изменяют фон люминометра на эту новую настройку фона в соответствии с формулами.
a) Когда градуировочный раствор A1 находится вне диапазона, используют формулу
32 <= (
A1m -
NA1) <= 55, (3)
где NA1 - численное значение регулировки для приведения среднего значения градуировочного раствора A1 в диапазон;
A1m - среднее значение градуировочного раствора A
1 (рассчитанное по
8.1.11);
32 - нижнее предельное значение градуировочного раствора A1;
55 - верхнее предельное значение градуировочного раствора A1.
b) Когда градуировочный раствор A2 находится вне диапазона, используют формулу
45 <= (
A2m -
NA2) <= 110, (4)
где NA2 - численное значение регулировки для приведения среднего значения градуировочного раствора A2 в диапазон;
A2m - среднее значение градуировочного раствора A2;
45 - нижнее предельное значение градуировочного раствора A2;
110 - верхнее предельное значение градуировочного раствора A2.
c) Когда градуировочные растворы B1 или B2 находятся вне диапазона, используют формулу
145 <= (
Bm -
NB) <= 205, (5)
где NB - численное значение регулировки для приведения среднего значения градуировочных растворов B1 и B2 в диапазон;
Bm - среднее значение градуировочных растворов B1 и B2;
145 - нижнее предельное значение градуировочных растворов B1 и B2;
205 - верхнее предельное значение градуировочных растворов B1 и B2.
После определения
NAB по
формуле (3),
(4) или
(5) проверяют, используя
формулы (6) и
(7), будет ли другой градуировочный раствор
X [градуировочный раствор
B1 или
B2, если была использована
формула (3) или
(4), или градуировочный раствор
A1 или
A2, если была использована
формула (5)], находиться в диапазоне
и
где Rx1 - нижний предел значения другого градуировочного раствора X;
Rx2 - верхний предел значения другого градуировочного раствора X;
Xpro - прогнозируемое значение градуировочного раствора X после регулировки NAB;
Xm - среднее значение градуировочного раствора
X (рассчитанное в
8.1.11 или
8.1.12);
NAB - численное значение регулировки
A1,
A2,
B1 или
B2, рассчитанное по
формуле (3),
(4) или
(5).
Если градуировочный раствор X находится в указанном диапазоне, регулируют фоновое значение люминометра со значением NAB с целью приведения градуировочного раствора в диапазон в соответствии с формулой
Bg1 = Bg - NAB, (8)
где Bg1 - новое фоновое значение люминометра;
Bg - имеющее фоновое значение люминометра.
8.2.1.2 В случаях, когда среднее значение одного градуировочного раствора значительно выходит за указанный диапазон (более 10 единиц), полученное среднее значение соответствующего градуировочного раствора делят на его заданные значения (A1 = 44 мЕд/л или A2 = 88 мЕд/л и B1 и B2 = 175 мЕд/л).
Усредняют полученные два коэффициента для градуировочных растворов
A и
B с целью определения среднего коэффициента коррекции, как показано в
таблице 1.
Таблица 1
Соотношение градуировочного раствора
Градуировочный раствор | Заданное значение | Среднее значение | Соотношение (среднее/заданное) |
A1 | 44 | A1m | RA1 = A1m/44 |
A2 | 88 | A2m | RA2 = A2m/88 |
B1 или B2 | 175 | B1m или B2m | RB = B1m или B2m/175 |
Среднее соотношение (Rm) | Rm = [(RA1 или RA2) + RB]/2 |
Используя
формулу (9), умножают полученное среднее соотношение для градуировочных растворов
A и
B на коррекцию люминометра
где Cr1 - новая коррекция люминометра;
Cr - рассчитанная коррекция люминометра (см.
8.1.7);
Rm - среднее соотношение градуировочных растворов
A и
B (см.
таблицу 1).
Полученную новую коррекцию люминометра меняют на его новое значение Cr1.
8.2.1.3 В случаях, когда среднее значение значительно меньше (менее 10 единиц) по сравнению с заданным значением, а другое среднее значение градуировочного раствора значительно больше (более 10 единиц), чем заданное значение, определяют разность между средним значением градуировочного раствора (A1 = 44 мЕд/л или A2 = 88 мЕд/л).
Данное значение добавляют к фоновому значению люминометра; если значение меньше заданного значения, то разность является отрицательной и расчет должен привести к снижению фона.
a) Новое фоновое значение Bg2 рассчитывают для градуировочного раствора A1, используя формулу
Bg2 = Bg + (A1m - 44), (10)
где
Bg - рассчитанное фоновое значение люминометра (см.
8.1.8);
Bg2 - новое фоновое значение люминометра;
A1m - среднее значение градуировочного раствора A
1 (см.
8.1.11);
44 - заданное значение градуировочного раствора A1.
b) Рассчитывают новое фоновое значение Bg3 для градуировочного раствора A2, используя формулу
Bg3 = Bg + (A2m - 88), (11)
где
Bg - рассчитанное фоновое значение люминометра (см.
8.1.8);
Bg2 - новое фоновое значение люминометра;
A2m - среднее значение градуировочного раствора
A2 (см.
8.1.11);
88 - заданное значение градуировочного раствора A2.
c) Фон люминометра настраивают согласно расчету. Проводят повторный анализ градуировочного раствора B и определяют среднее значение [Bm(1 или 2)]. Затем делят полученное среднее значение на заданное значение (B1 и B2 = 175 мЕд/л). Умножают данное соотношение на коррекцию люминометра в соответствии с формулой

, (12)
где
Cr - рассчитанная коррекция люминометра (см.
8.1.7);
Cr2 - новая коррекция люминометра;
Bm(1 или 2) - среднее значение градуировочного раствора B1 или B2, измеренное при повторном анализе;
175 - заданное значение градуировочного раствора B1 или B2.
8.2.2 Повторяют этапы по
8.1.11 -
8.1.13. Средние показания люминометра должны быть между 32 мЕд/л и 55 мЕд/л для рабочего градуировочного раствора
A1 и между 45 и 110 мЕд/л для рабочего градуировочного раствора
A2. Определение повторяют, если любое значение больше или меньше, чем на 40% от среднего значения.
Среднее значение для рабочего градуировочного раствора B (один из двух - B1 или B2) должно быть между 145 мЕд/л и 205 мЕд/л. Если одно значение более чем на 30% отличается от среднего значения, определение повторяют.
Если оба средних значения градуировочного раствора находятся в диапазоне, переходят к этапу по
8.3.3.
Если среднее значение одного из градуировочных растворов все еще выходит за пределы диапазона, переходят к этапу по
8.1.1.
8.3 Контрольные испытания и проверка градуировки
8.3.1 Испытание отрицательной контрольной пробы
Испытание отрицательной контрольной пробы проводят в соответствии с процедурой определения
(8.4) без добавления рабочей части пробы
(8.4.2). Отрицательные контрольные испытания проводят ежедневно для проверки градуировки люминометра и действия реагента. Система считается проверенной (отрицательный результат), если полученные уровни щелочной фосфатазы составляют менее 5 мЕд/л в соответствующем отградуированном канале люминометра.
8.3.2 Испытание положительной контрольной пробы
Положительную контрольную пробу регидратируют
(4.4) с предварительно испытанным молоком (молочным напитком), показывающим среднюю активность щелочной фосфатазы менее 5 мЕд/л (менее 15 мЕд/л с ароматизированными молочными продуктами или сливочными продуктами) или подготовленной отрицательной пробой
(7.2).
Испытание положительной контрольной пробы проводят ежедневно для проверки градуировки люминометра и эффективности реактива. Если установленное значение превышает 585 мЕд/л или составляет менее 300 мЕд/л, повторяют с другой регидратированной положительной контрольной пробой. Если полученное значение по-прежнему находится вне диапазона, выполняют повторную градуировку люминометра (см.
8.1).
8.3.3 Проверка градуировки
После выполнения этапов градуировки по
8.1 и
8.2 приступают к испытанию отрицательной контрольной пробы
(8.3.1) и трижды проводят определение положительной контрольной пробы
(8.3.2) для проверки результата градуировки.
Отрицательная контрольная проба должна выдавать значение менее 5 мЕд/л, а испытание среднего значения положительной контрольной пробы (
N = 3) должно быть в диапазоне 380 мЕд/л - 510 мЕд/л. Если значение отрицательной контрольной пробы выходит за пределы диапазона, используют свежий субстрат
(4.1) и повторяют испытание. Если значение положительной контрольной пробы находится вне диапазона или любое значение превышает 5855 мЕд/л или составляет менее 300 мЕд/л, проверяют температуру останавливающего раствора
(4.2) и повторяют испытание с другой регидратированной положительной контрольной пробой. Если полученное значение по-прежнему находится вне диапазона, выполняют повторную градуировку люминометра (см.
8.1.1).
Примечание - Тройное определение положительной контрольной пробы используют для проверки градуировки. После проверки градуировки ежедневно выполняют только одно определение в заданном диапазоне (см.
8.3).
Когда градуировочные растворы и контрольные пробы находятся в диапазоне, приступают к определению
(8.4). В люминометре
(5.1) могут быть установлены до 10 отдельных градуировочных каналов для различных молочных продуктов. Рабочие части проб (
7.1.2 и
7.1.4) следует рассматривать в соответствующем канале, отградуированном под данную рабочую часть пробы. Сырое молоко
(7.1.3) следует рассматривать в канале, отградуированном для пробы для испытания, используемой в качестве растворителя
(7.2).
8.4.1 Ограничивают количество пробирок в испытании до четырех. С помощью пипетки с фиксированным объемом
(5.3) добавляют 100 мкл субстрата эфира диоксетана
(4.1) в испытательные мини-пробирки
(5.2), которые промаркированы в верхней половине.
8.4.2 К содержимому мини-пробирок
(8.4.1) пипеткой с фиксированным объемом
(5.3) с новым наконечником добавляют 100 мкл подготовленной рабочей части пробы (
7.1.1 -
7.1.4).
8.4.3 Содержимое пробирок перемешивают, поместив их в штатив, возвратно-поступательными движениями примерно 10 раз в течение 5 с. Мини-пробирки и их содержимое
(8.4.2) размещают в блоке инкубатора
(5.7) при температуре 35 °C.
8.4.4 Выбирают соответствующий канал люминометра, отградуированный для рабочей пробы для анализа. Через 3 мин в течение 15 с добавляют дозатором с фиксированным объемом
(5.4) 1,0 мл останавливающий раствор
(4.2).
8.4.5 Вынимают мини-пробирки из инкубатора. Закрывают каждую пробирку колпачком. Энергично встряхивают каждую пробирку в течение 5 с. Снимают колпачки и прикрепляют адаптер люминометра, если это необходимо. Помещают каждую пробирку в люминометр
(5.1). Начинают анализ люминометром и записывают показания после звуковых сигналов люминометра. Повторяют подсчет с каждой пробиркой. Разводят любую пробу для испытания со значением выше 7000 мЕд/л и проводят испытание повторно.
Примечание - При остановке ферментной реакции определение светоотдачи в течение 3 мин будет стабильным при температуре 18 °C - 24 °C. Показания люминометра выражают в миллиединицах активности фермента на литр.
8.5 Контроль термостойкой микробной щелочной фосфатазы
Если определение
(8.4) дает положительный результат (>= 350 мЕд/л обычно указывает на неправильно пастеризованные пробы), то действуют следующим образом. В мини-пробирку добавляют 1 мл другой рабочей части пробы (
7.1.1 -
7.1.4) и нагревают ее в инкубаторе
(5.7) или водяной бане
(5.8) при 63 °C. Выдерживают при этой температуре в течение 30 мин, а затем быстро охлаждают. Определяют любую остаточную активность фосфатазы, как указано в
8.4.
Любая остаточная активность обусловлена наличием термостойкой микробной щелочной фосфатазы. Если определение нагретой пробы для анализа составляет примерно 30% от его первоначального определения, то вся активность фосфатазы является микробной.
9 Расчет и представление результатов
9.1 Общие сведения
Результаты рассчитывают с использованием встроенного в люминометр
(5.1) программного обеспечения. Расчеты с использованием показаний с других люминометров можно осуществлять вручную с помощью калькулятора.
Если результаты будут рассчитаны вручную, поступают согласно
9.2.
Записывают значение ОСЕ (относительных световых единиц) рабочих градуировочных растворов
A,
B и
C (4.3) и отрицательной пробы
(7.2) и средние полученные результаты (
8.1.1 -
8.1.13).
Рассчитывают активность щелочной фосфатазы с использованием линейной регрессии относительных световых единиц отрицательной контрольной пробы и градуировочных растворов A, B и C, а также взаимодействующую заданную активность щелочной фосфатазы в миллиединицах на литр (например, отрицательная контрольная проба = 5 мЕд/л, A1 = 44 мЕд/л или A2 = 88 мЕд/л, B1 и B2 = 175 мЕд/л и C1 и C2 = 350 мЕд/л).
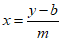
Среднее значение ОСЕ используют в качестве координаты y, а заданное значение в миллиединицах на литр - в качестве координаты x. Рассчитывают угловой коэффициент m и y-отсекаемый отрезок b из лучшего подбора прямой по формуле
y = mx + b, (13)
где x - активность щелочной фосфатазы пробы, мЕд/л;
m - числовое значение углового коэффициента кривой регрессии;
y - числовое значение ОСЕ люминометра;
b - числовое значение отсекаемого отрезка для получения значения x.
С применением рассчитанных значений m и b определение единицы активности фермента рабочей части пробы можно выполнять, используя измеренные значения ОСЕ как значение y и рассчитывая x, мЕд/л, с помощью формулы

. (14)
9.3 Выражение результатов
Результаты испытания выражают с точностью до целых чисел в миллиединицах на литр.
10.1 Межлабораторное испытание
Подробности межлабораторного испытания на прецизионность метода приведены в
приложении B. Значения повторяемости и воспроизводимости выражены для 95%-ного уровня вероятности и не могут быть применимы к интервалам концентрации и матрицам, кроме приведенных.
Пределы повторяемости и воспроизводимости, указанные в
10.2 и
10.3, применяются при (средних) уровнях активности фермента фосфатазы приблизительно 50 мЕд/л и 100 мЕд/л в диапазоне от 350 мЕд/л до 2500 мЕд/л.
Абсолютная разность между двумя отдельными единичными результатами испытаний, полученными с применением одного и того же метода на идентичном анализируемом материале в той же лаборатории одним и тем же оператором с использованием одного и того же оборудования в течение короткого промежутка времени, не должна превышать более чем в 5% случаев следующие значения:
- для уровней фермента 350 - 2500 мЕд/л - 21% от среднеарифметического значения;
- для уровней фермента примерно 100 мЕд/л - 30 мЕд/л;
- для уровней фермента примерно 50 мЕд/л - 18 мЕд/л;
- для уровней фермента из отрицательных проб - 6 мЕд/л.
Абсолютная разность между двумя единичными результатами испытаний, полученными с применением одного и того же метода на идентичном анализируемом материале в разных лабораториях с различными операторами, использующими различное оборудование, не должна превышать более чем в 5% случаев следующие значения:
- для уровней фермента 350 - 2500 мЕд/л - 41% от среднеарифметического значения;
- для уровней фермента примерно 100 мЕд/л - 50 мЕд/л;
- для уровней фермента примерно 50 мЕд/л - 34 мЕд/л;
- для уровней фермента из отрицательных проб - 14 мЕд/л.
Протокол испытаний должен содержать следующие данные:
a) всю информацию, необходимую для полной идентификации пробы;
b) метод отбора проб, если он известен;
c) применяемый метод испытания со ссылкой на настоящий стандарт;
d) любые особенности, не указанные в настоящем стандарте или рассматриваемые как дополнительные, а также сведения о любых происшествиях, которые могли повлиять на результат(ы) испытаний;
e) результат(ы) испытаний или, если проводилась проверка повторяемости, то окончательный полученный результат.
(справочное)
ГРАФИЧЕСКОЕ ПРЕДСТАВЛЕНИЕ ПРОЦЕССА
(справочное)
РЕЗУЛЬТАТЫ МЕЖЛАБОРАТОРНЫХ ИСПЫТАНИЙ
Значения для пределов повторяемости и воспроизводимости были получены по результатам межлабораторного испытания, выполненного в соответствии с ISO 5725-1 и ISO 5725-2 с участием 15 лабораторий из 8 стран (Австралия, Канада, Франция, Ирландия, Израиль, Новая Зеландия, Великобритания и США) и завершенного в апреле 2005 года.
Примечание - Результаты были согласованы предварительно перед исследованием и межлабораторным исследованием в 2003 и 2004 годах по молочным напиткам из коровьего молока, которые будут опубликованы в бюллетене IDF.
В данном исследовании оценивали несколько видов молока (коровы, козы, овцы и буйволицы), а также обезжиренное (< 0,5% жира) коровье молоко, 20%-ные сливки и шоколад с 2% молока (везде указаны массовые доли). Полученные результаты были проанализированы в соответствии с ISO 5725-2 с целью представления в
таблице B.3 точных данных, отраженных в
таблицах B.1 и
B.2, для средних значений уровня ферментов. Стандартные отклонения
sr и
sR для отрицательных значений и коэффициент вариации средних значений на каждом изученном уровне фермента CV(r) и CV(R) представлены в
таблице B.4.
| | ИС МЕГАНОРМ: примечание. В официальном тексте документа, видимо, допущена опечатка: пункт [7] в Библиографии отсутствует. | |
Выраженные пределы повторяемости и воспроизводимости (см.
раздел 10) представляют собой среднее значение
r и значения
R для нескольких матриц и среднее значение
r и значение
R в качестве среднеарифметического значения. Результаты опубликованы в [7]. Предел метода обнаружения, рассчитанный из общего среднего значения 3
sR, составляет 20 мЕд/л.
Таблица B.1
Значения повторяемости
r для заданных уровней фермента,
полученные в ходе испытания 2005 года
Продукт на основе молока | Заданный уровень фермента <a>, мЕд/л |
Отрицательный | 50 | 100 | 350 | 500 |
Цельное коровье молоко | 14,1 | 16,0 | 37,8 | 126,1 | 95,4 |
Цельное козье молоко | 5,7 | 13,5 | 22,8 | 56,6 | 68,6 |
Цельное овечье молоко | 0,6 | 18,0 | 28,2 | 81,4 | 76,3 |
Цельное молоко буйволицы | 1,5 | 12,5 | 21,0 | 49,1 | 158,7 |
Обезжиренное коровье молоко | 2,9 | 12,4 | 14,3 | 40,8 | 88,2 |
20%-ные сливки | 5,1 | 15,8 | 22,9 | 43,9 | 48,8 |
Ароматизированный (шоколад с 2% молока) | 9,3 | 36,0 | 62,2 | 60,9 | 150,6 |
Среднее значение r | 5,6 | 17,7 | 29,9 | 65,5 | 98,1 |
<a> Абсолютная разность идентичных образцов, испытанных в одной и той же лаборатории в течение короткого периода времени, не должна превышать заявленное значение более чем на 5%. |
Таблица B.2
Значения воспроизводимости
R для заданных уровней фермента,
полученные в ходе испытания 2005 года
Продукт на основе молока | Заданный уровень фермента <a>, мЕд/л |
Отрицательный | 50 | 100 | 350 | 500 |
Цельное коровье молоко | 40,8 | 40,3 | 45,9 | 156,6 | 194,7 |
Цельное козье молоко | 19,0 | 26,1 | 53,1 | 138,6 | 171,9 |
Цельное овечье молоко | 6,8 | 51,3 | 61,2 | 194,2 | 225,0 |
Цельное молоко буйволицы | 3,5 | 20,5 | 30,0 | 100,7 | 217,6 |
Обезжиренное коровье молоко | 3,0 | 22,4 | 38,6 | 81,0 | 127,8 |
20%-ные сливки | 13,3 | 26,6 | 38,0 | 112,5 | 179,4 |
Ароматизированный (шоколад с 2% молока) | 10,5 | 51,2 | 84,5 | 131,5 | 244,3 |
Среднее значение r | 13,8 | 34,1 | 50,2 | 130,7 | 194,4 |
<a> Абсолютная разность идентичных образцов, испытанных в одной и той же лаборатории в течение короткого периода времени, не должна превышать заявленное значение более чем на 5%. |
Таблица B.3
Средние значения фермента
для каждого изученного уровня в каждой матрице
Продукт на основе молока | Заданный уровень фермента, мЕд/л |
Отрицательный | 50 | 100 | 350 | 500 |
Цельное коровье молоко | 17 | 58 | 110 | 325 | 451 |
Цельное козье молоко | 5 | 39 | 92 | 340 | 486 |
Цельное овечье молоко | 1 | 43 | 80 | 335 | 475 |
Цельное молоко буйволицы | 1 | 48 | 90 | 330 | 529 |
Обезжиренное коровье молоко | 1 | 53 | 100 | 288 | 371 |
20%-ные сливки | 6 | 61 | 111 | 337 | 475 |
Ароматизированный (шоколад с 2% молока) | 2 | 53 | 117 | 307 | 412 |
Среднее значение | 4,7 | 50,7 | 100,0 | 323,2 | 456,8 |
Таблица B.4
Коэффициенты изменения средних значений фермента
CV(r) и CV(R) (за исключением отрицательных проб)
Продукт на основе молока | Заданный уровень фермента, мЕд/л |
Отрицательный | 50 | 100 | 350 | 500 |
sr, мЕд/л | sR, мЕд/л | CV(r), % | CV(R), % | CV(r), % | CV(R), % | CV(r), % | CV(R), % | CV(r), % | CV(R), % |
Цельное коровье молоко | 5,1 | 14,6 | 9,8 | 24,8 | 12,3 | 14,9 | 13,8 | 17,2 | 7,6 | 15,4 |
Цельное козье молоко | 2,0 | 6,8 | 12.4 | 24,1 | 8,8 | 20,6 | 5,9 | 14,6 | 5,0 | 12,6 |
Цельное овечье молоко | 0,2 | 2,4 | 15,0 | 42,7 | 12,5 | 27,2 | 8,7 | 20,7 | 5,7 | 16,9 |
Цельное молоко буйволицы | 0,5 | 1,2 | 9,2 | 15,1 | 8,3 | 11,9 | 5,3 | 10,9 | 10,7 | 14,7 |
Обезжиренное коровье молоко | 1,0 | 1,1 | 8,2 | 15,3 | 5,1 | 13,8 | 5,1 | 10,0 | 8,5 | 12,3 |
20%-ные сливки | 1,8 | 4,8 | 9,2 | 15,5 | 7,4 | 12,2 | 4,7 | 11,9 | 3,7 | 13,5 |
Ароматизированный (шоколад с 2% молока) | 3,3 | 3,7 | 24,2 | 34,5 | 19,0 | 25,9 | 7,1 | 15,3 | 13,1 | 21,2 |
Среднее значение | 2,0 | 4,9 | 12,6 | 24,6 | 10,5 | 18,1 | 7,2 | 14,4 | 7,8 | 15,2 |
[1] | | Milk and milk products - Guidance on sampling (Молоко и молочные продукты. Руководство по отбору проб) |
[2] | ISO 5725-1:1994 | Accuracy (trueness and precision) of measurement methods and results - Part 1: General principles and definitions (Точность (правильность и прецизионность) методов и результатов измерений. Часть 1. Основные положения и определения) |
[3] | ISO 5725-2:1994 | Accuracy (trueness and precision) of measurement methods and results - Part 2: Basic method for the determination of repeatability and reproducibility of a standard measurement method (Точность (правильность и прецизионность) методов и результатов измерений. Часть 2. Основной метод определения повторяемости и воспроизводимости стандартного метода измерений) |
| ISO 11816-2:2003 | IDF 155-2:2003 | Milk and milk products - Determination of alkaline phosphatase activity - Part 1: Fluorimetric method for milk and milk-based drinks (Молоко и молочные продукты. Определение активности щелочной фосфатазы. Часть 2. Флуориметрический метод для сыра) |
| International Union of Biochemistry Nomenclature. J. Am. Med. Assoc., 260, 1988, p. 73 (Еженедельный американский международный медицинский журнал) |
[6] | J. AOAC International, 89, 2006, p. 1061 (Журнал AOAC International) |
--------------------------------