Главная // Актуальные документы // ГОСТ (Государственный стандарт)СПРАВКА
Источник публикации
М.: Стандартинформ, 2016
Примечание к документу
Текст данного документа приведен с учетом
поправки, опубликованной в "ИУС", N 4, 2020.
Документ
введен в действие с 1 июля 2017 года.
Название документа
"ГОСТ ISO 16649-1-2015. Межгосударственный стандарт. Микробиология пищевой продукции и кормов. Горизонтальный метод подсчета бета-глюкуронидаза-положительных Escherichia coli (кишечная палочка). Часть 1. Методика подсчета колоний при температуре 44 °C с применением мембран и 5-бром-4-хлор-3-индолил бета-D-глюкуронида"
(введен в действие Приказом Росстандарта от 25.08.2016 N 944-ст)
"ГОСТ ISO 16649-1-2015. Межгосударственный стандарт. Микробиология пищевой продукции и кормов. Горизонтальный метод подсчета бета-глюкуронидаза-положительных Escherichia coli (кишечная палочка). Часть 1. Методика подсчета колоний при температуре 44 °C с применением мембран и 5-бром-4-хлор-3-индолил бета-D-глюкуронида"
(введен в действие Приказом Росстандарта от 25.08.2016 N 944-ст)
по техническому регулированию
и метрологии
от 25 августа 2016 г. N 944-ст
МЕЖГОСУДАРСТВЕННЫЙ СТАНДАРТ
МИКРОБИОЛОГИЯ ПИЩЕВОЙ ПРОДУКЦИИ И КОРМОВ
ГОРИЗОНТАЛЬНЫЙ МЕТОД ПОДСЧЕТА
БЕТА-ГЛЮКУРОНИДАЗА-ПОЛОЖИТЕЛЬНЫХ ESCHERICHIA COLI
(КИШЕЧНАЯ ПАЛОЧКА)
ЧАСТЬ 1
МЕТОДИКА ПОДСЧЕТА КОЛОНИЙ ПРИ ТЕМПЕРАТУРЕ 44 °C
С ПРИМЕНЕНИЕМ МЕМБРАН И 5-БРОМ-4-ХЛОР-3-ИНДОЛИЛ
БЕТА-D-ГЛЮКУРОНИДА
Microbiology of food and animal feeding stuffs. Horizontal
method for the enumeration of

Escherichia coli. Part 1. Colony-count technique at 44 °C
using membranes and 5-bromo-4-chloro-3-indolyl

(ISO 16649-1:2001, IDT)
ГОСТ ISO 16649-1-2015
Дата введения
1 июля 2017 года
Цели, основные принципы и основной порядок проведения работ по межгосударственной стандартизации установлены
ГОСТ 1.0-2015 "Межгосударственная система стандартизации. Основные положения" и
ГОСТ 1.2-2015 "Межгосударственная система стандартизации. Стандарты межгосударственные, правила и рекомендации по межгосударственной стандартизации. Правила разработки, принятия, обновления и отмены"
1 ПОДГОТОВЛЕН Республиканским унитарным предприятием "Белорусский государственный институт метрологии" (БелГИМ) на основе собственного перевода на русский язык англоязычной версии международного стандарта, указанного в
пункте 5
2 ВНЕСЕН Государственным комитетом по стандартизации Республики Беларусь
3 ПРИНЯТ Межгосударственным советом по стандартизации, метрологии и сертификации по переписке (протокол от 30 января 2015 г. N 74-П)
За принятие проголосовали:
Краткое наименование страны по МК (ИСО 3166) 004-97 | Код страны по МК (ИСО 3166) 004-97 | Сокращенное наименование национального органа по стандартизации |
Армения | AM | Минэкономики Республики Армения |
Беларусь | BY | Госстандарт Республики Беларусь |
Казахстан | KZ | Госстандарт Республики Казахстан |
Киргизия | KG | Кыргызстандарт |
Молдова | MD | Молдова-Стандарт |
Россия | RU | Росстандарт |
Таджикистан | TJ | Таджикстандарт |
Узбекистан | UZ | Узстандарт |
4
Приказом Федерального агентства по техническому регулированию и метрологии от 25 августа 2016 г. N 944-ст межгосударственный стандарт ГОСТ ISO 16649-1-2015 введен в действие в качестве национального стандарта Российской Федерации с 1 июля 2017 г.
5 Настоящий стандарт идентичен международному стандарту ISO 16649-1:2001 "Микробиология пищевых продуктов и кормов для животных. Горизонтальный метод подсчета бета-глюкуронидаза-положительных Escherichia coli (кишечная палочка). Часть 1. Методика подсчета колоний при температуре 44 °C с применением мембран и 5-бром-4-хлор-3-индолил бета-
D-глюкуронида" ("Microbiology of food and animal feeding stuffs - Horizontal method for the enumeration of в-glucuronidase-positive Escherichia coli - Part 1: Colony-count technique at 44 °C using membranes and 5-bromo-4-chloro-3-indolyl

", IDT).
Международный стандарт разработан подкомитетом SC 9 "Микробиология" Технического комитета по стандартизации ISO/TC 34 "Пищевые продукты" Международной организации по стандартизации (ISO).
Официальные экземпляры международного стандарта, на основе которого подготовлен настоящий государственный стандарт, и международных стандартов, на которые даны ссылки, имеются в Федеральном агентстве по техническому регулированию и метрологии.
При применении настоящего стандарта рекомендуется использовать вместо ссылочных международных стандартов соответствующие им межгосударственные стандарты,
сведения о которых приведены в дополнительном приложении ДА
6 ВВЕДЕН ВПЕРВЫЕ
Информация об изменениях к настоящему стандарту публикуется в ежегодном информационном указателе "Национальные стандарты", а текст изменений и поправок - в ежемесячном информационном указателе "Национальные стандарты". В случае пересмотра (замены) или отмены настоящего стандарта соответствующее уведомление будет опубликовано в ежемесячном информационном указателе "Национальные стандарты". Соответствующая информация, уведомление и тексты размещаются также в информационной системе общего пользования - на официальном сайте Федерального агентства по техническому регулированию и метрологии в сети Интернет (www.gost.ru)
Международный стандарт ISO 16649 состоит из следующих частей под общим наименованием "Микробиология пищевых продуктов и кормов для животных. Горизонтальный метод подсчета бета-глюкуронидаза-положительных Escherichia coli (кишечная палочка)":
- часть 1. Методика подсчета колоний при температуре 44 °C с применением мембран и 5-бром-4-хлор-3-индолил бета-D-глюкуронида;
- часть 2. Методика подсчета колоний при температуре 44 °C с применением 5-бром-4-хлор-3-индолил бета-D-глюкуронида;
- часть 3. Метод наиболее вероятного числа с применением 5-бром-4-хлор-3-индолил бета-D-глюкуронида.
Ввиду большого разнообразия пищевой продукции и кормов данный горизонтальный метод может не подходить во всех отношениях к определенным продуктам. В этом случае могут использоваться другие методы, являющиеся специфическими для этих продуктов, если это абсолютно необходимо с точки зрения обоснованных технических причин. Тем не менее необходимо предпринять все усилия, чтобы применить данный горизонтальный метод.
Во время следующего пересмотра настоящего стандарта будет учитываться вся информация, имеющаяся на тот момент, в отношении степени соблюдения данного горизонтального метода, а также причины отклонений от этого метода для определенных продуктов.
Гармонизация методов испытаний не может быть немедленной, и для определенных групп продуктов уже могут существовать международные стандарты и (или) национальные стандарты, которые не соответствуют данному горизонтальному методу. Надеемся, что во время пересмотра эти стандарты будут изменяться для обеспечения соответствия настоящему стандарту; в результате останутся только те отклонения от данного горизонтального метода, необходимость которых будет оправдана обоснованными техническими причинами.
В настоящем стандарте описаны два горизонтальных метода (ISO 16649-1 и ISO 16649-2) для подсчета бета-глюкуронидаза-положительных Escherichia coli (кишечная палочка).
Пользователь может выбрать либо ISO 16649-1, либо ISO 16649-2. Каждая часть предназначена для общего применения. Однако необходимо использовать ISO 16649-1 для пищевой продукции, которая может содержать микроорганизмы, подвергшиеся шоковому воздействию.
В настоящем стандарте приводится горизонтальный метод подсчета бета-глюкуронидаза-положительных Escherichia coli в продуктах, предназначенных для потребления человеком в пищу, или в кормах для животных. В нем используется методика подсчета колоний после восстановления, с использованием мембран и инкубации при температуре 44 °C на плотной питательной среде, содержащей хромогенный компонент для обнаружения фермента бета-глюкуронидазы.
ПРЕДУПРЕЖДЕНИЕ - Штаммы Escherichia coli, которые не растут при температуре 44 °C, в частности бета-глюкуронидаза-отрицательные, такие как Escherichia coli O 157, не будут обнаружены.
В настоящем стандарте использованы ссылки на межгосударственные стандарты, которые являются обязательными. Для датированных ссылок применяют только указанное издание. Для недатированных ссылок применяют последнее издание ссылочного стандарта (включая все его изменения).
ISO 6887-1:1999 Microbiology of food and animal feeding stuffs. Preparation of test samples, initial suspension and decimal dilutions for microbiological examination. Part 1: General rules for the preparation of the initial suspension and decimal dilutions (Микробиология пищевых продуктов и кормов для животных. Подготовка образцов для испытания, исходной суспензии и десятичных разведений для микробиологических исследований. Часть 1. Общие правила подготовки исходной суспензии и десятичных разведений)
ISO 7218:2007 Microbiology of food and animal feeding stuffs. General rules for microbiological examinations. (Микробиология пищевых продуктов и кормов для животных. Общие требования и рекомендации по микробиологическим исследованиям)
В настоящем стандарте применены следующие термины с соответствующими определениями:
3.1 бета-глюкуронидаза-положительные Escherichia coli (

Escherichia coli): Бактерии, которые при температуре 44 °C образуют типичные колонии синего цвета на среде с триптоном, солями желчных кислот и
X-глюкуронидом (TBX) в условиях, описанных в настоящем стандарте.
3.2 подсчет бета-глюкуронидаза-положительных Escherichia coli (enumeration of

Escherichia coli): Определение количества колониеобразующих единиц (КОЕ) бета-глюкуронидаза-положительных Escherichia coli на кубический сантиметр или грамм образца, когда испытание и вычисления проводятся в соответствии с настоящим стандартом.
4.1 Заданное количество исследуемого образца или исходной суспензии засевают на целлюлозные мембраны, выложенные на модифицированном минеральном агаре с глутаматом натрия (MMGA), и затем инкубируют при (37 +/- 1) °C в течение 4 ч.
При таких же условиях, используя десятичные разведения исследуемого образца или исходной суспензии, засевают по две чашки Петри для каждого разведения.
4.2 Для получения изолированных колоний микроорганизмов, мембраны после стадии восстановления на MMGA агаре переносят на агар с триптоном, солями желчных кислот и X-глюкуронидом (TBX), а затем инкубируют при температуре (44 +/- 1) °C в течение 18 - 24 ч.
4.3 Количество колониеобразующих единиц (КОЕ) бета-глюкуронидаза-положительных Escherichia coli на грамм или кубический сантиметр образца вычисляют исходя из количества типичных колоний (КОЕ) (см.
пункт 10).
5 Разбавитель и питательная среда
См. действующую лабораторную практику в ISO 7218.
5.1 Разбавитель
См. ISO 6887-1 или соответствующий стандарт, касающийся исследуемого продукта.
5.2 Питательная среда
5.2.1 Среда для восстановления: модифицированный минеральный агар с глутаматом натрия (MMGA).
5.2.1.1 Состав
Глутамат натрия | 6,35 г |
Лактоза | 10,0 г |
Формиат натрия | 0,25 г |
L-(-)-Цистин | 0,02 г |
L-(-)-Аспарагиновая кислота | 0,02 г |
L-(+)-Аргинин | 0,024 г |
Тиамин | 0,001 г |
Никотиновая кислота | 0,001 г |
Пантотеновая кислота | 0,001 г |
Гептагидрат сульфата магния (MgSO4·7H2O) | 0,100 г |
Железоаммониевый (III) цитрат <a> | 0,010 г |
Дигидрат кальция хлорид (CaCl2·2H2O) | 0,010 г |
Калий фосфорнокислый двузамещенный (K2HPO4) | 0,900 г |
Хлорид аммония | 2,5 г |
Агар | |
Вода | 1000 см3 |
<a> Содержание железа не менее 15% (массовая доля). <b> В зависимости от прочности агарового геля. Примечание - Используемые реактивы должны быть признанного аналитического качества и пригодными для микробиологических исследований. |
5.2.1.2 Подготовка
Растворить хлорид аммония в воде. Добавить другие компоненты и нагреть до кипения. При необходимости отрегулировать pH таким образом, чтобы после стерилизации он составлял (6,7 +/- 0,2) при температуре 25 °C. Разлить по 500 см
3 в подходящие флаконы
(6.10). Провести стерилизацию в автоклаве
(6.1) при температуре 115 °C в течение 10 мин.
5.2.1.3 Подготовка чашек Петри с агаром
Вливают 12 - 15 см
3 среды в стерильные чашки Петри
(6.11) и дают застыть. Подсушивают чашки с агаром (см. ISO 7218). Чашки можно хранить при температуре (3 +/- 2) °C в течение пяти дней.
Поверхность агара должна быть достаточно сухой, чтобы позволить излишней влаге исчезнуть в течение 15 мин после распределения инокулята (1 см3).
5.2.2 Селективная среда: среда с триптоном, солями желчных кислот и X-глюкуронидом (TBX)
5.2.2.1 Состав
Ферментативный гидролизат казеина | 20,0 г |
Соли желчных кислот N 3 | 1,5 г |
5-Бром-4-хлор-3-индолил-бета-D-глюкуроновая кислота (BCIG) | |
Диметилсульфоксид (DMSO) <b> | 3 см3 |
Агар | |
Вода | 1000 см3 |
<a> Например, 0,075 г соли циклогексиламмония. <b> Диметилсульфоксид вреден при вдыхании и контакте. При работе с ним рекомендуется использовать вытяжной шкаф. Ввиду токсичности можно использовать рекомендованный изготовителем разбавитель. <c> В зависимости от прочности агарового геля. Примечание - Используемые реактивы должны быть признанного аналитического качества и пригодными для микробиологических исследований. |
5.2.2.2 Подготовка
Растворяют BCIG в диметилсульфоксиде или в рекомендованном изготовителем разбавителе. Растворяют все компоненты в воде и нагревают до кипения.
При необходимости отрегулировать pH таким образом, чтобы после стерилизации он составлял (7,2 +/- 0,2) при температуре 25 °C. Разливают по 500 см
3 в подходящие флаконы
(6.10). Проводят стерилизацию в автоклаве
(6.1), при температуре 121 °C в течение 15 мин.
5.2.2.3 Подготовка чашек Петри
Производят действия, приведенные в
5.2.1.3.
6 Оборудование и стеклянная посуда
Обычное микробиологическое лабораторное оборудование (см. ISO 7218).
6.1 Устройство для суховоздушной стерилизации (сухожаровой шкаф) или стерилизации паром (автоклав).
6.2 Инкубаторы, способные поддерживать температуру (37 +/- 1) °C и (44 +/- 1) °C.
6.3 Шкаф сушильный или вентилируемая печь, способные поддерживать температуру от (25 +/- 1) °C до (50 +/- 1) °C, или ламинарный шкаф с потоком воздуха.
6.4 Холодильник (для хранения готовых сред), способный поддерживать температуру (3 +/- 2) °C.
6.5 Мембраны стерильные и неингибирующие, произведенные из ацетилцеллюлозы или смешанных эфиров целлюлозы, с размером пор от 0,45 до 1,2 мкм и диаметром 85 мм.
6.6 Щипцы тупоконечные, стерильные, длиной приблизительно 12 см.
6.7 pH-метр, способный проводить измерения с точностью до +/- 0,1 ед. pH.
Минимальный порог измерения должен составлять 0,01 ед. pH. pH-метр должен быть оснащен устройством либо ручного, либо автоматического выравнивания температуры.
6.8 Пипетки с одной меткой (выдувные), номинальной вместимостью 1 см
3, с ценой деления 0,1 см
3.
6.9 Цилиндры мерные необходимой вместимости для приготовления сред.
6.10 Пробирки, бутылки или колбы необходимой вместимости для стерилизации и хранения питательных сред.
6.11 Чашки Петри, диаметром приблизительно 90 мм.
6.12 Шпатели из стекла или пластика; например изогнутые стеклянные палочки диаметром 3,5 мм и длиной 20 см с изгибом под прямым углом на расстоянии примерно 3 см от одного края и с отрезанными концами, запаянные посредством нагревания.
Очень важно, чтобы лаборатория получила представительную, не поврежденную, и не измененную во время транспортировки или хранения пробу.
Отбор проб не является частью метода, описанного в настоящем стандарте. Если соответствующий стандарт отсутствует, рекомендуется, чтобы заинтересованные стороны пришли к определенному соглашению по данному вопросу.
8 Подготовка анализируемой пробы
Подготавливают анализируемую пробу в соответствии со стандартом, подходящим для рассматриваемого продукта. Если соответствующий стандарт отсутствует, рекомендуется, чтобы заинтересованные стороны пришли к определенному соглашению по данному вопросу.
9.1 Исследуемая часть пробы, исходная суспензия и разведения
См. ISO 6887-1 и любой соответствующий стандарт, подходящий для рассматриваемого продукта.
9.2 Восстановление
9.2.1 В асептических условиях, используя стерильные щипцы
(6.6), помещают мембрану
(6.5) на сухую поверхность питательной среды MMGA каждой из двух подготовленных чашек Петри (согласно
5.2.1.3), принимая меры по предотвращению образования пузырьков воздуха под мембранами. При необходимости аккуратно разглаживают мембраны стерильным шпателем
(6.12).
Используя стерильную пипетку
(6.8), добавляют 1 см
3 исследуемой пробы или исходной суспензии в центр каждой мембраны. Используя стерильный шпатель, равномерно распределяют инокулят по всей поверхности мембраны, избегая утечки за ее пределы.
9.2.2 При необходимости повторяют процедуру, как описано в
9.2.1, с последующими десятичными разведениями, используя другую стерильную пипетку и другой стерильный шпатель для каждого разведения.
9.2.3 Оставляют засеянные чашки Петри в горизонтальном положении при комнатной температуре приблизительно на 15 мин, пока инокулят не просочится через мембрану в агар. Инкубируют чашки с посевами в течение (4 +/- 1) ч в инкубаторе
(6.2) при температуре (37 +/- 1) °C в таком положении, чтобы поверхность мембраны/агара находилась сверху.
9.3 Перемещение на селективную среду и инкубация
9.3.1 После восстановления, используя стерильные щипцы
(6.6), переместить мембраны со среды MMGA (среда для восстановления) на чашки Петри со средой TBX
(5.2.2.3).
ПРЕДУПРЕЖДЕНИЕ - Влажная мембрана прилипает к поверхности агара. Избегайте образования пузырьков воздуха. Не используйте шпатель.
9.3.2 Инкубируют чашки Петри в течение 18 - 24 ч в инкубаторе
(6.2), при температуре (44 +/- 1) °C, в таком положении, чтобы поверхность мембраны/агара находилась сверху. Не укладывать друг на друга более трех чашек.
9.4 Подсчет колоний (КОЕ)
После заданного периода инкубации
(9.3.2) подсчитывают колонии (КОЕ) бета-глюкуронидаза-положительных Escherichia coli в каждой чашке, содержащей менее 150 типичных колоний (КОЕ) и менее 300 общих (типичных и нетипичных) колоний (КОЕ).
Чашки, не содержащие типичных колоний (КОЕ), должны быть учтены при вычислениях, приведенных в
пункте 10.
10.1 Общие положения
В ходе вычисления, приведенного в
10.2, принимаются во внимание случаи, наиболее часто встречающиеся при проведении испытаний в соответствии с надлежащей лабораторной практикой.
Могут возникнуть некоторые особые, маловероятные случаи (например, сильно отличающиеся количества колоний (КОЕ) между двумя чашками из одного разведения или пропорции, сильно отличающиеся от пропорции коэффициента разведения между чашками из двух последовательных разведений). В таком случае результаты подсчета должны быть переданы компетентному микробиологу для изучения, толкования и возможного отклонения.
Для того чтобы результат был достоверным, как правило, необходимо подсчитать количество типичных колоний (КОЕ), по крайней мере в одной чашке, содержащей не менее 15 типичных колоний (КОЕ).
Рассчитывают N количество колоний (КОЕ) бета-глюкуронидаза-положительных Escherichia coli, присутствующих в исследуемой пробе, на кубический сантиметр или на грамм как средневзвешенное для двух последовательных разведений, используя следующую формулу

, (1)
где

- сумма колоний КОЕ, подсчитанных на всех чашках, выбранных для подсчета из двух последовательных разведений, хотя бы одна из которых содержит не менее 15 типичных колоний (КОЕ);
V - объем инокулята, внесенного в каждую чашку, см3;
n1 - количество чашек, выбранных для подсчета из первого разведения;
n2 - количество чашек, выбранных для подсчета из второго разведения;
d - коэффициент разведения, соответствующий первому выбранному разведению [d = 1, если исследовался неразведенный жидкий продукт].
Округляют результаты до двух значащих цифр (см. ISO 7218).
За результат принимают количество бета-глюкуронидаза-положительных Escherichia coli на кубический сантиметр (жидкие продукты) или на грамм (другие продукты), выраженное как целое число, округленное до двух значащих цифр (если ниже 100), или как число между 1,0 и 9,9, умноженное на 10 в соответствующей степени.
10.3 Расчет малых количеств
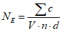
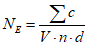
10.3.1 Если в двух чашках [с исследуемой пробой (жидкие продукты) или исходной суспензией (другие продукты) или первым засеянным разведением] содержится менее 15 типичных колоний (КОЕ), следует рассчитать NE, количество колоний (КОЕ) бета-глюкуронидаза-положительных Escherichia coli, присутствующих в исследуемой пробе, как среднеарифметическое значение для двух параллельных чашек, используя следующую формулу

, (2)
где

- сумма типичных колоний КОЕ, подсчитанных на двух чашках;
V - объем инокулята, внесенного в каждую чашку, см3;
n - количество анализируемых чашек (n = 2 в данном случае);
d - коэффициент разведения, соответствующий первому выбранному разведению [d = 1 в случае (жидкие продукты), когда исследовался неразведенный жидкий продукт].
Округляют результаты до двух значащих цифр (см. ISO 7218). Выражают результаты следующим образом:
- рассчитанное количество бета-глюкуронидаза-положительных Escherichia coli на кубический сантиметр (жидкие продукты) или на грамм (другие продукты) NE = Y.
10.3.2 Если в двух чашках [с исследуемой пробой (жидкие продукты) или исходной суспензией (другие продукты) или первым засеянным разведением] не содержатся типичные колонии КОЕ, выражают результаты следующим образом:
- менее 1/d бета-глюкуронидаза-положительных Escherichia coli на кубический сантиметр (жидкие продукты) или на грамм (другие продукты), где d - коэффициент разведения исходной суспензии или первого засеянного разведения [d = 1, если исследовался неразведенный жидкий продукт].
10.3.3 Если для двух чашек с посевами из первого разведения d1 общее количество типичных и нетипичных колоний (КОЕ) превышает 300 с видимыми типичными колониями (КОЕ) и если для двух чашек с посевами из последующего разведения d2, содержащих менее 300 колоний, не могут быть подсчитаны типичные колоний (КОЕ), результат выражают следующим образом:
- менее 1/d2 и более 1/d1 бета-глюкуронидаза-положительных Escherichia coli на кубический сантиметр (жидкие продукты) или на грамм (другие продукты), где d1 и d2 - коэффициенты разведения, соответствующие первому и второму выбранным разведениям.
10.3.4 Если для двух чашек с посевами из первого разведения d1 общее количество типичных и нетипичных колоний (КОЕ) превышает 300 без видимых типичных колоний (КОЕ) и если для двух чашек с посевами из последующего разведения d2, содержащих менее 300 колоний, не могут быть подсчитаны типичные колонии (КОЕ), выражают результаты следующим образом:
- менее 1/d2 колоний (КОЕ) бета-глюкуронидаза-положительных Escherichia coli на кубический сантиметр (жидкие продукты) или на грамм (другие продукты), где d2 - коэффициент разведения, соответствующий второму разведению.
10.4 Метод подсчета
10.4.1 В случае, когда количество типичных колоний (КОЕ) превышает 150 для двух чашек с посевами из первого разведения d1, а количество типичных колоний (КОЕ) для двух чашек с посевами из последующего разведения d2 не превышает 15:
- если количество типичных колоний (КОЕ) в каждой из двух чашек с посевами из разведения
d1 находится в диапазоне от 167 до 150 (верхняя часть доверительного интервала средневзвешенного значения равного 150 КОЕ), следует использовать метод расчета для общего случая
(10.2);
- если количество типичных колоний (КОЕ) в каждой из двух чашек из разведения
d1 превышает 167 (верхний предел доверительного интервала средневзвешенного значения равного 150 КОЕ), следует принять во внимание только результат подсчетов разведения
d2 и произвести подсчет малых количеств
(10.3).
10.4.2 Если в ходе подсчета типичных колоний (КОЕ) в каждой чашке из всех засеянных разведений получено число, превышающее 150, выражают результат следующим образом:
- более 150/d КОЕ бета-глюкуронидаза-положительных Escherichia coli на кубический сантиметр (жидкие продукты) или на грамм (другие продукты), где d - коэффициент разведения, соответствующий последнему выбранному разведению.
10.4.3 Если только в двух чашках с посевами из наименьшего разведения (самая высокая концентрация) содержится менее 150 типичных колоний КОЕ, следует рассчитать количество N бета-глюкуронидаза-положительных Escherichia coli, присутствующих в исследуемой пробе, как среднеарифметическое число колоний, подсчитанных в двух чашках, используя следующее уравнение

, (3)
где

- сумма типичных колоний (КОЕ), подсчитанных в двух чашках, в одной из которых содержится не менее 15 типичных колоний (КОЕ);
V - объем инокулята, внесенного в каждую чашку, см3;
n - количество анализируемых чашек (n = 2 в данном случае);
d - коэффициент разведения, соответствующий выбранному разведению.
Округляют результаты до двух значащих цифр после запятой (см. ISO 7218).
10.5 Границы доверительного интервала
См. ISO 7218.
В протоколе испытания необходимо указать:
- всю информацию, необходимую для полной идентификации пробы;
- использованный метод отбора проб, если известен;
- использованный метод испытания со ссылкой на настоящий стандарт;
- все рабочие детали, не указанные в настоящем стандарте или рассматриваемые как необязательные, вместе с деталями обо всех особых случаях, которые могли оказать влияние на результат(ы);
- полученный(ые) результат(ы), четко указывающий(ие) на использованный для его выражения метод;
- окончательный результат с учетом повторяемости, если она оценивалась.
(справочное)
СВЕДЕНИЯ О СООТВЕТСТВИИ ССЫЛОЧНЫХ МЕЖДУНАРОДНЫХ СТАНДАРТОВ
МЕЖГОСУДАРСТВЕННЫМ СТАНДАРТАМ
Таблица ДА.1
Обозначение ссылочного международного стандарта | Степень соответствия | Обозначение и наименование соответствующего межгосударственного стандарта |
ISO 6887-1:1999 | - | <*> |
ISO 7218:2007 | IDT | ГОСТ ISO 7218-2011 "Микробиология пищевых продуктов и кормов для животных. Общие требования к выполнению микробиологических исследований" |
<*> Соответствующий межгосударственный стандарт отсутствует. До его принятия рекомендуется использовать официальный перевод на русский язык данного международного стандарта. Перевод данного международного стандарта находится в Федеральном информационном фонде технических регламентов и стандартов. Примечание - В настоящей таблице использовано следующее условное обозначение степени соответствия стандарта: - IDT - идентичный стандарт. |
[1] | BLAZKO N. Evaluation of the  substrate  in a 24 hour direct plating method for Escherichia coli. J. Food Protection, 51, p. 402. (БЛАЗКО Н. Оценка субстрата 5-бром-4-хлор-3-индолил-бета-D-глюкуронида для фермента бета-глюкуронидазы методом прямого 24-часового посева на чашках Петри для Escherichia coli. J. Food Protection, 51, c. 402) |
[2] | Damare J.M., Campbell D.F. and Johnson R.W. Simplified direct plating method for enhanced recovery of Escherichia coli in food. Journal of Food Science, 50, 1985, pp. 1736 - 1737, 1746 (Дамаре ДЖ. М., Кэмбелл Д.Ф. и Джонсон Р.В. Упрощенный метод прямого посева на чашках Петри для ускоренного восстановления Escherichia coli в пищевых продуктах. Journal of Food Science, 50, 1985 г, с. 1736 - 1737, 1746) |
[3] | Delisle G.L. and Ley A. Rapid detection of Escherichia coli in urine samples by a new chromogenic  assay. J. Clin. Microbiol., 27, 1989, pp. 778 - 779 (Делизл Г.Л. и Ли А. Ускоренное обнаружение Escherichia coli в пробах мочи посредством нового хромогенного количественного анализа бета-глюкуронидазы. J. Clin. Microbiol, 27, 1989 г., с. 778 - 779) |
[4] | Kilian M. and Bulow P. Rapid diagnosis of Enterobacteriaceae. Detection of bacterial glycosidases. Acta Pathol. Microbiol. Scand., Sect. B, 84, 1976, pp. 245 - 251. (Кильян М. и Булоу П. Ускоренная диагностика энтеробактерий. Обнаружение бактериальных глюкозидаз. Acta Pathol. Microbiol. Scand., раздел B, 84, 1976 г. с. 245 - 251) |
[5] | Kilian M. and Bulow P. Rapid identification of Enterobacteriaceae. Use of a  detecting agar medium (PGUA agar) for the identification of Escherichia coli in primary cultures of urine samples. Acta Pathol. Microbiol. Scand., Sect. B, 87, 1979, pp. 271 - 276. (Кильян М. и Булоу П. Ускоренная идентификация энтеробактерий. Использование агаризованной среды для обнаружения бета-глюкуронидазы (агар PGUA) для идентификации Escherichia coli в первичных культурах проб мочи. Acta Pathol. Microbiol. Scand, раздел B, 87, 1979 г. с. 271 - 276) |
[6] | Ley A.N., Bowers R.J. and Wolfe S.  , a novel chromogenic reagent for the specific detection and enumeration of Escherichia coli in environmental sample. Canadian Journal of Microbiology, 34, 1988, pp. 690 - 693 (Ли А.Н., Бауэрс Р. ДЖ. и УЛЬФ С. Индоксил-бета-D-глюкуронид, новый хромогенный реагент для специфического обнаружения и подсчета Escherichia coli в пробе из окружающей среды. Canadian Journal of Microbiology, 34, 1988 г., с. 690 - 693) |
[7] | Manafi M. and Kneifel W. A combined chromogenic-fluorogenic medium for the simultaneous detection of total coliforms and E. coli in water. Zentralbl. Hyg., 189, 1989, pp. 225 - 234 (Манафи М. и Нифель В. Комбинированная хромогенно-флуорогенная среда для одновременного обнаружения общего содержания бактерий группы кишечной палочки и Escherichia coli в воде. Zentralbl. Hyg., 189, 1989 г., с. 225 - 234) |
[8] | Ogden I.D. and Watt A.J. An evaluation of fluorogenic and chromogenic assays for the direct enumeration of Escherichia coli. Letters in Applied Microbiology, 13, 1991, pp. 212 - 215 (Огден И.Д. и Ватт А. ДЖ. Оценка флуорогенного и хромогенного анализов для прямого подсчета Escherichia coli. Letters in Applied Microbiology, 13, 1991 г., с. 212 - 215) |
[9] | Restaino L., Frampton E.W. and Lyon R.H. Use of chromogenic substrate  (X-GLUC) for enumeration of Escherichia coli on 24 hours from ground beef. J. Food Protection, 53 (6), 1990, pp. 508 - 510 (Рестэйно Л., Фрэмптон И.В. и Лайон Р.Х. Использование хромогенного субстрата 5-бром-4-хлор-3-индолил-бета-D-глюкуронида (X-GLUC) для подсчета Escherichia coli в течение 24 ч в говяжьем фарше. J. Food Protection, 53 (6), 1990 г., с. 508 - 510) |
[10] | Watkins W.D., Rippey S.C., Clavet C.R. Kelly-Reitz D.J. and Burkhardt W. Novel compound for identifying Escherichia coli. Applied Enviromental Microbiology, 54, 1988, pp. 1874 - 1875 (Уоткинс В.Д., Риппи С.К., Клавет К.Р. Келли-Ритз Д. ДЖ. и Берхард В. Новые соединения для идентификации Escherichia coli. Applied Environmental Microbiology, 54, 1988 г, с. 1874 - 1875) |