Главная // Актуальные документы // ГОСТ (Государственный стандарт)СПРАВКА
Источник публикации
М.: Стандартинформ, 2017
Примечание к документу
Документ
введен в действие с 1 декабря 2017 года.
Название документа
"ГОСТ ISO 16000-3-2016. Межгосударственный стандарт. Воздух замкнутых помещений. Часть 3. Определение содержания формальдегида и других карбонильных соединений в воздухе замкнутых помещений и в воздухе испытательной камеры. Метод активного отбора проб"
(введен в действие Приказом Росстандарта от 09.02.2017 N 37-ст)
"ГОСТ ISO 16000-3-2016. Межгосударственный стандарт. Воздух замкнутых помещений. Часть 3. Определение содержания формальдегида и других карбонильных соединений в воздухе замкнутых помещений и в воздухе испытательной камеры. Метод активного отбора проб"
(введен в действие Приказом Росстандарта от 09.02.2017 N 37-ст)
агентства по техническому
регулированию и метрологии
от 9 февраля 2017 г. N 37-ст
МЕЖГОСУДАРСТВЕННЫЙ СТАНДАРТ
ВОЗДУХ ЗАМКНУТЫХ ПОМЕЩЕНИЙ
ЧАСТЬ 3
ОПРЕДЕЛЕНИЕ СОДЕРЖАНИЯ ФОРМАЛЬДЕГИДА И ДРУГИХ КАРБОНИЛЬНЫХ
СОЕДИНЕНИЙ В ВОЗДУХЕ ЗАМКНУТЫХ ПОМЕЩЕНИЙ И В ВОЗДУХЕ
ИСПЫТАТЕЛЬНОЙ КАМЕРЫ. МЕТОД АКТИВНОГО ОТБОРА ПРОБ
Indoor air. Part 3. Determination of formaldehyde and other
carbonyl compounds in indoor air and test chamber air.
Active sampling method
(ISO 16000-3:2011, IDT)
ГОСТ ISO 16000-3-2016
Группа Т58
Дата введения
1 декабря 2017 года
Цели, основные принципы и основной порядок проведения работ по межгосударственной стандартизации установлены в
ГОСТ 1.0-2015 "Межгосударственная система стандартизации. Основные положения" и
ГОСТ 1.2-2015 "Межгосударственная система стандартизации. Стандарты межгосударственные, правила и рекомендации по межгосударственной стандартизации. Правила разработки, принятия, обновления и отмены".
1 ПОДГОТОВЛЕН Открытым акционерным обществом "Научно-исследовательский центр контроля и диагностики технических систем" (АО "НИЦ КД") на основе собственного перевода на русский язык англоязычной версии международного стандарта, указанного в
пункте 5
2 ВНЕСЕН Федеральным агентством по техническому регулированию и метрологии
3 ПРИНЯТ Межгосударственным советом по стандартизации, метрологии и сертификации (протокол от 22 ноября 2016 г. N 93-П)
За принятие проголосовали:
Краткое наименование страны по МК (ИСО 3166) 004-97 | Код страны по МК (ИСО 3166) 004-97 | Сокращенное наименование национального органа по стандартизации |
Армения | AM | Минэкономики Республики Армения |
Беларусь | BY | Госстандарт Республики Беларусь |
Грузия | GE | Грузстандарт |
Киргизия | KG | Кыргызстандарт |
Россия | RU | Росстандарт |
Таджикистан | TJ | Таджикстандарт |
4
Приказом Федерального агентства по техническому регулированию и метрологии от 9 февраля 2017 г. N 37-ст межгосударственный стандарт ГОСТ ISO 16000-3-2016 введен в действие в качестве национального стандарта Российской Федерации с 1 декабря 2017 г.
5 Настоящий стандарт идентичен международному стандарту ISO 16000-3:2011 "Воздух замкнутых помещений. Часть 3. Определение содержания формальдегида и других карбонильных соединений в воздухе замкнутых помещений и в воздухе испытательной камеры. Метод активного отбора проб" ("Indoor air - Part 3. Determination of formaldehyde and other carbonyl compounds in indoor air and test chamber air - Active sampling method", IDT).
Международный стандарт разработан подкомитетом ISO/ТС 146/SC 6 "Воздух замкнутых помещений" технического комитета по стандартизации ISO/TC 146 "Качество воздуха" Международной организации по стандартизации (ISO).
Официальные экземпляры международного стандарта, на основе которого подготовлен настоящий межгосударственный стандарт, и международных стандартов, на которые даны ссылки, имеются в Федеральном агентстве по техническому регулированию и метрологии.
Сведения о соответствии ссылочных международных стандартов межгосударственным стандартам приведены в дополнительном
приложении ДА
6 ВВЕДЕН ВПЕРВЫЕ
Информация об изменениях к настоящему стандарту публикуется в ежегодном информационном указателе "Национальные стандарты", а текст изменений и поправок - в ежемесячном информационном указателе "Национальные стандарты". В случае пересмотра (замены) или отмены настоящего стандарта соответствующее уведомление будет опубликовано в ежемесячном информационном указателе "Национальные стандарты". Соответствующая информация, уведомление и тексты также размещаются в информационной системе общего пользования - на официальном сайте Федерального агентства по техническому регулированию и метрологии в сети Интернет (www.gost.ru)
Настоящий стандарт предназначен для использования при анализе воздуха замкнутых помещений при отборе проб согласно ISO 16000-2. Стандарт применяют при определении содержания формальдегида и других карбонильных соединений. Стандарт был проверен в отношении 14 альдегидов и кетонов. Формальдегид представляет собой простейшее карбонильное соединение, состоящее из одного атома углерода, одного атома кислорода и двух атомов водорода. В чистом виде в мономолекулярном состоянии это бесцветный, с резким запахом, химически активный газ. Формальдегид применяют при производстве карбамидоформальдегидных полимеров, клеев и изоляционных пеноматериалов. Основным источником формальдегида в воздухе замкнутых помещений является выделение древесно-стружечными плитами и изоляционными материалами, применяемыми при строительстве.
Отбор проб для определения содержания формальдегида проводят путем прокачки воздуха через химически активную среду, что приводит к образованию производного с меньшим давлением пара, которое эффективнее удерживается в пробоотборном устройстве и предпочтительнее для анализа. В настоящем стандарте установлена
методика определения формальдегида и других карбонильных соединений, в основе которой лежит реакция этих соединений с 2,4-динитрофенилгидразином, нанесенным на сорбент, для превращения их в соответствующие гидразоны, которые могут быть извлечены, а их содержание измерено с высокой чувствительностью, прецизионностью и точностью.
Методику, приведенную в настоящем стандарте, также применяют для определения других карбонильных соединений, выделяемых в воздух растворителями, связующими материалами, косметическими средствами и другими источниками.
В основе методики отбора проб, приведенной в настоящем стандарте, лежит метод TO-11A
[12].
При применении методики, установленной в настоящем стандарте, следует учитывать, что формальдегид и некоторые другие карбонильные соединения являются высокотоксичными веществами
[15].
Подробные методики измерения ЛОС также приведены в ISO 16017-1
[7], ISO 16017-2
[8] и ISO 12219
[2] -
[6].
ПРЕДУПРЕЖДЕНИЕ - Лица, применяющие настоящий стандарт, должны быть ознакомлены со стандартной лабораторной практикой. В настоящем стандарте не приведены все требования безопасности, которые следует соблюдать при его применении. Пользователь настоящего стандарта несет ответственность за разработку соответствующих мер безопасности и охраны здоровья с учетом требований законодательных актов.
Настоящий стандарт устанавливает метод определения формальдегида (HCHO) и других карбонильных соединений (альдегидов и кетонов) <1> в воздухе. Метод, применяемый для определения формальдегида, после соответствующей модификации используют для детектирования и количественного определения 12 других ароматических, а также насыщенных и ненасыщенных алифатических карбонильных соединений. Метод применяют для определения формальдегида и других карбонильных соединений в диапазоне значений массовой концентрации приблизительно от 1 мкг/м3 до 1 мг/м3. С помощью метода, приведенного в стандарте, получают усредненную по времени пробу. Метод может быть использован как при долгосрочном (от 1 до 24 ч), так и при краткосрочном (от 5 до 60 мин) отборе проб воздуха для определения содержания в нем формальдегида.
--------------------------------
<1> В настоящем стандарте приведены распространенные названия соединений вместо наименований по номенклатуре ИЮПАК, приведенных в скобках:
ацетальдегид (этаналь); | формальдегид (метаналь); | о-толуиловый альдегид (2-метилбензальдегид); |
ацетон (пропан-2-он); | изовалериановый альдегид (3-метилбутаналь); | п-толуиловый альдегид (4-метилбензальдегид); |
масляный альдегид (бутаналь); | пропионовый альдегид (пропаналь); | валеральдегид (пентаналь) |
капроновый альдегид (гексаналь); | м-толуиловый альдегид (3-метилбензальдегид); | |
Настоящий стандарт устанавливает методику отбора и анализа проб воздуха для определения содержания в нем формальдегида и других карбонильных соединений путем улавливания их из воздуха с помощью картриджей, с нанесенным 2,4-динитрофенилгидразином (ДНФГ) и последующим анализом методом высокоэффективной жидкостной хроматографии (ВЭЖХ) с ультрафиолетовым (УФ) детектором
[12],
[16].
Метод, приведенный в настоящем стандарте, применяют для определения следующих карбонильных соединений:
ацетальдегид | 2,5-диметилбензальдегид | м-толуиловый альдегид |
ацетон | формальдегид | о-толуиловый альдегид |
бензальдегид | изовалериановый альдегид | п-толуиловый альдегид |
масляный альдегид | пропионовый альдегид | валеральдегид |
гексаналь | | |
В настоящем стандарте использована нормативная ссылка на следующий стандарт:
ISO/IEC 17025, General requirements for the competence of testing and calibration laboratories (Общие требования к компетентности испытательных и калибровочных лабораторий)
Метод, установленный в настоящем стандарте, включает прокачивание воздуха через картридж, содержащий силикагель с нанесенным ДНФГ. Метод основан на специфической реакции карбонильной группы анализируемого соединения с ДНФГ в присутствии кислоты, с образованием стабильных производных (см.
рисунок 1). Исходные альдегиды и кетоны определяют по их ДНФГ-производным методом ВЭЖХ с использованием УФ детектора или детектора на основе диодной матрицы. Другие карбонильные соединения могут быть определены указанными методами детектирования согласно
9.3.5.
Настоящий стандарт содержит указания по подготовке картриджей для отбора проб на основе серийно выпускаемых картриджей для хроматографии, содержащих силикагель, путем введения в каждый картридж подкисленного ДНФГ. Рекомендуется применять серийно выпускаемые картриджи, содержащие силикагель с нанесенным ДНФГ, поскольку они более унифицированы и имеют низкий уровень холостых показаний. Однако перед использованием необходимо проверить их на соответствие требованиям настоящего стандарта. Другим преимуществом серийно выпускаемых картриджей является то, что они содержат силикагель с большим размером частиц, что приводит к меньшему падению давления воздуха в картридже. Такие картриджи с небольшим падением давления могут оказаться полезными для отбора проб воздуха в зоне дыхания с помощью насосов, работающих от элемента питания.
R, R' - H, алкильная группа, ароматическая группа
Рисунок 1 - Схема реакции карбонильных соединений с ДНФГ
4. Ограничения и мешающие вещества
4.1 Общие положения
Расход при проведении отбора проб, установленный в настоящем стандарте, подтвержден при скорости отбора проб не более 1,5 л/мин. Данное ограничение расхода объясняется высоким падением давления (более 8 кПа при расходе 1,0 л/мин) через подготовленный пользователем картридж с силикагелем, размер частиц которого составляет диапазон от 55 до 105 мкм. Такие картриджи несовместимы с насосами, работающими от элемента питания и используемыми для отбора проб воздуха в зоне дыхания (например, для целей обеспечения промышленной гигиены).
Для отбора и анализа проб воздуха и определения в них содержания формальдегида применяют методику отбора на твердый сорбент. Мешающими веществами в этом методе считают некоторые изомеры альдегидов или кетонов, которые невозможно разделить с помощью ВЭЖХ при анализе других альдегидов и кетонов. Мешающими веществами также являются органические соединения, имеющие такое же время удерживания и значительное поглощение при длине волны 360 нм, как и ДНФГ-производное формальдегида. Влияние мешающих веществ можно устранить путем изменения условий разделения (например, с использованием других колонок ВЭЖХ или изменения состава подвижной фазы).
Часто возникает проблема загрязнения ДНФГ формальдегидом. В таких случаях ДНФГ очищают путем многократной перекристаллизации из ацетонитрила, чистого в УФ области спектра. Перекристаллизацию проводят при температуре от 40 °C до 60 °C путем медленного выпаривания растворителя для получения кристаллов максимального размера. Содержание примесей карбонильных соединений в ДНФГ предварительно определяют методом ВЭЖХ, и оно должно быть не более 0,15 мкг на картридж.
Картриджи для отбора проб с нанесенным ДНФГ не следует подвергать воздействию прямых солнечных лучей во избежание появления побочных пиков
[17].
Данную методику не используют для точного количественного определения акролеина и кротонового альдегида. Неточные результаты количественного определения этих соединений могут быть обусловлены появлением нескольких пиков их производных и нестабильностью отношений пиков
[18].
Диоксид азота (NO
2) вступает в реакцию с ДНФГ. Высокое содержание NO
2 (например, при использовании газовых плит) может привести к появлению проблем, заключающихся в том, что время удерживания его ДНФГ-производного может совпасть со временем удерживания ДНФГ-производного формальдегида в зависимости от колонки ВЭЖХ и параметров анализа
[13],
[14],
[19].
4.2 Мешающее влияние озона
Следует предпринимать специальные меры, если в зоне отбора проб ожидается высокий уровень содержания озона в воздухе (например, от офисной копировальной техники). Наличие озона приводит к занижению результата определения содержания анализируемых веществ, так как в картридже он вступает в реакцию как с ДНФГ, так и с его производными (гидразонами)
[20]. Степень мешающего влияния зависит от изменений содержания озона и карбонильных соединений во времени, а также от продолжительности отбора проб. Отрицательное мешающее влияние озона наблюдалось даже при значениях массовой концентрации формальдегида и озона, соответствующих чистому атмосферному воздуху (2 и 80 мкг/м
3 соответственно)
[19]. В ходе анализа о присутствии озона в пробе можно судить по появлению новых соединений, время удерживания которых меньше времени удерживания гидразона формальдегида. На
рисунке 2 приведены примеры хроматограммы воздуха, обогащенного формальдегидом, с озоном и без озона.
Наиболее простым решением для уменьшения мешающего влияния озона является его удаление до того, как отбираемый воздух достигнет картриджа. Это может быть обеспечено с помощью озоновой ловушки или скруббера для удаления озона, установленного перед картриджем. Используют серийно выпускаемые озоновые ловушки и скрубберы. Также озоновую ловушку можно изготовить из медной трубки длиной 1 м, внешним диаметром 0,64 см и внутренним диаметром 0,46 см, которую заполняют насыщенным водным раствором иодида калия, оставляют на несколько минут (например, 5 мин), затем раствор сливают и трубку высушивают в потоке чистого воздуха или азота в течение приблизительно 1 ч. Пропускная способность такого устройства для удаления озона составляет приблизительно 200 мкг/м
3 в час. Анализируемые альдегиды (формальдегид, ацетальдегид, пропионовый альдегид, бензальдегид и
п-толуиловый альдегид), введенные в поток отбираемого воздуха в динамическом режиме, проходили через озоновую ловушку практически без потерь
[21]. Серийно выпускаемые озоновые скрубберы, представляющие собой картридж, заполненный гранулированным иодидом калия массой от 300 до 500 мг, также являются эффективными для удаления озона
[22].

A - относительное поглощение; t - время; A - с озоном;
B - без озона
1 - неизвестное соединение; 2 - ДНФГ;
3 - формальдегид; 4 - ацетальдегид
Рисунок 2 - Примеры хроматограмм для формальдегида в потоке
воздуха с озоном и без озона
5. Требования безопасности
5.1 ДНФГ является взрывоопасным в сухом состоянии, поэтому с ним следует обращаться с особой осторожностью. Он также является токсичным веществом (полулетальная доза при проверке на крысах LD50 = 654 мг/кг), проявляет мутагенное действие при проведении некоторых опытов и является раздражителем для глаз и кожи.
5.2 Хлорная кислота массовой долей менее 68% является стабильной и не окисляется при комнатной температуре. Однако она легко подвергается дегидратации при температуре более 160 °C, что может привести к взрыву при ее контакте со спиртами, древесиной, целлюлозой и другими окисляемыми материалами. Ее следует хранить в прохладном сухом месте и использовать с особой осторожностью только в вытяжном шкафу.
Кроме обычного лабораторного оборудования используют следующую аппаратуру.
6.1 Отбор проб
6.1.1 Картридж для отбора проб, заполненный силикагелем с нанесенным ДНФГ, подготовленный в соответствии с
разделом 8 или серийно выпускаемый.
Картридж должен содержать не менее 350 мг силикагеля, а массовая доля нанесенного на него ДНФГ должна быть не менее 0,29%. Отношение диаметра слоя силикагеля к его толщине должно быть не более 1:1. Допустимая нагрузка картриджа для определения формальдегида должна быть не менее 75 мкг, а эффективность улавливания - не менее 95% при расходе воздуха 1,5 л/мин. Серийно выпускают картриджи для отбора проб с низкими уровнями холостых показаний и высокими характеристиками.
Примечание - При расходе воздуха 1,5 л/мин наблюдалось, что падение давления в подготовленном пользователем картридже приблизительно равно 19 кПа. Некоторые серийно выпускаемые картриджи с предварительно нанесенным ДНФГ характеризуются меньшим падением давления, что позволяет использовать для отбора проб в зоне дыхания насосы, работающие от элемента питания.
6.1.2 Насос для отбора проб воздуха, обеспечивающий точный и прецизионный расход в диапазоне 1,0 - 1,5 л/мин.
6.1.3 Регулятор потока, расходомер, регулятор расхода или аналогичное устройство для измерения и регулирования расхода воздуха через картридж для отбора проб в диапазоне 0,50 - 1,20 л/мин.
6.1.4 Калибратор расхода, например ротаметр, мыльно-пенный пузырьковый расходомер или барабанный газовый счетчик с жидкостным затвором.
6.2 Подготовка проб
6.2.1 Контейнеры для картриджей, трубки из боросиликатного стекла (длиной от 20 до 125 мм) с навинчивающимися крышками из полипропилена или другие контейнеры, подходящие для транспортирования загруженных картриджей.
6.2.2 Полиэтиленовые перчатки для переноса картриджей с силикагелем.
6.2.3 Контейнеры для транспортирования, металлические коробки (вместимостью 4 л) с герметичной крышкой или другие подходящие контейнеры с воздушно-пузырчатой полиэтиленовой пленкой или другим пригодным наполнителем для фиксации и смягчения удара запечатанных контейнеров с картриджами.
Примечание - Для хранения картриджей с пробами используют термосклеенный пластиковый мешок с прослойками из фольги, поставляемый в комплекте с серийно выпускаемыми картриджами с нанесенным ДНФГ.
6.2.4 Устройство для нанесения ДНФГ на картриджи. Стойка для шприцев представляет собой пластину из алюминия (размерами 0,16 x 36 x 53 см) с четырьмя регулируемыми ножками. Пластина с круглыми отверстиями (число отверстий - 5 x 9), диаметр которых немного больше диаметра шприцев вместимостью 10 мл, симметрично расположенными от центра пластины, позволяет провести очистку, нанесение ДНФГ и (или) элюирование пробы для 45 картриджей (см.
рисунок 3).
6.2.5 Устройство для сушки картриджей с устройствами для ввода газа и многочисленными штуцерами для стандартных шприцев (см. рисунок 3).
Примечание - Оборудование, указанное в
6.2.4 и
6.2.5, необходимо только в том случае, если пользователь самостоятельно изготавливает картриджи с нанесенным ДНФГ.
a) устройство для нанесения ДНФГ; b) устройство для сушки
картриджей; 1 - стеклянный шприц вместимостью 10 мл;
2 - стойка для шприцев; 3 - картриджи; 4 - стакан для слива;
5 - поток газообразного N2; 6 - штуцер для шприцев;
7 - стаканчик для отходов
Рисунок 3 - Устройства для нанесения ДНФГ и сушки картриджей
для отбора проб
6.3 Анализ проб
6.3.1 Система ВЭЖХ состоит из:
a) емкости с подвижной фазой и устройством по удалению газов (например, мембрана под низким давлением);
b) насоса высокого давления;
c) инжекторного крана (автоматического дозирующего устройства с объемом петли 25 мкл или другим подходящим объемом петли);
d) колонки с обращенной фазой C-18 (например, длиной 25 см, внутренним диаметром 4,6 мм, размером частиц наполнителя 5 мкм);
e) УФ детектора или детектора на основе диодной матрицы, работающего на длине волны 360 нм;
f) системы обработки данных или электроизмерительного самопишущего прибора.
ДНФГ-производное формальдегида определяют методом ВЭЖХ с обращенной фазой в изократическом режиме подачи элюента на основе показаний УФ детектора поглощения, работающего на длине волны 360 нм. Картриджи с холостой пробой десорбируют и анализируют аналогичным образом. Формальдегид и другие карбонильные соединения в пробе идентифицируют и определяют количественно путем сравнения их времени удерживания и высоты или площади пиков, полученных при анализе пробы и при анализе градуировочных растворов.
Примечания
1) Для этих целей подходит большинство серийно выпускаемых аналитических систем ВЭЖХ.
2) Термостат колонки должен обеспечивать постоянную рабочую температуру, что позволяет улучшить воспроизводимость.
6.3.2 Шприцы и пипетки
6.3.2.1 Инжекторные шприцы ВЭЖХ вместимостью, не менее чем в четыре раза превышающей объем петли (см.
6.3.1).
6.3.2.2 Шприцы вместимостью 10 мл, используемые для нанесения ДНФГ на картриджи (допускается использовать шприцы из полипропилена).
6.3.2.3 Штуцеры и заглушки, используемые для соединения картриджей с системой отбора проб и закрывания подготовленных картриджей.
6.3.2.4 Автоматический пипеточный дозатор, работающий по принципу прямого вытеснения, для многократного дозирования, с переменным объемом в диапазоне 0 - 10 мл (далее - пипеточный дозатор) ISO 8655-2
[1].
Во время анализа, если не указано иное, необходимо использовать только реактивы общепринятого качества, например, особо чистые, чистые для анализа или чистые для ВЭЖХ, и дистиллированную или деминерализованную воду или воду эквивалентной чистоты.
7.1 ДНФГ, перед использованием перекристаллизованный по крайней мере два раза из ацетонитрила, чистого в УФ области спектра.
7.2 Ацетонитрил, чистый в УФ области спектра (каждая порция растворителя должна быть проверена перед использованием).
7.3 Хлорная кислота, раствор с массовой долей 60%,

, чистая для анализа (высшего качества).
7.4 Соляная кислота, раствор с массовой долей от 36,5% до 38%,

, чистая для анализа (высшего качества).
7.5 Соляная кислота, 2 моль/л, чистая для анализа (высшего качества).
7.6 Формальдегид, раствор с массовой долей 37%, чистый для анализа (высшего качества).
7.7 Альдегиды и кетоны высокой степени чистоты, используемые для приготовления градуировочных образцов ДНФГ-производных (не обязательно).
7.8 Этанол или метанол для ВЭЖХ.
7.9 Азот высокой степени чистоты.
7.10 Древесный уголь гранулированный (высшего качества).
7.11 Гелий высокой степени чистоты (высшего качества).
8. Подготовка реактивов и картриджей
8.1 Очистка 2,4-динитрофенилгидразина
С проблемой загрязнения ДНФГ формальдегидом сталкиваются довольно часто. Очистку ДНФГ
(7.1) проводят путем многократной перекристаллизации из ацетонитрила
(7.2), чистого в УФ области спектра. Перекристаллизацию проводят при температуре от 40 °C до 60 °C путем медленного выпаривания растворителя для получения кристаллов максимального размера. Содержание примесей карбонильных соединений в ДНФГ, которое определяют до анализа методом ВЭЖХ, не должно превышать 0,15 мкг на картридж и на индивидуальное соединение.
Пересыщенный раствор ДНФГ приготавливают путем кипячения раствора, содержащего избыток ДНФГ в 200 мл ацетонитрила, в течение приблизительно 1 ч. Затем отделяют и сливают жидкость над осадком в химический стакан с крышкой, стоящий на горячей плитке, и постепенно охлаждают до 40 °C - 60 °C. Выдерживают раствор при этой температуре (40 °C) до тех пор, пока не испарится 95% объема растворителя. Раствор фильтруют, а оставшиеся кристаллы дважды промывают ацетонитрилом объемом, превышающим видимый объем кристаллов в три раза. Кристаллы переносят в другой чистый химический стакан, добавляют 200 мл ацетонитрила, нагревают до кипения и снова дают кристаллам вырасти при охлаждении до температуры 40 °C - 60 °C, пока не испарится 95% объема растворителя. Повторяют процесс промывания кристаллов. Берут аликвоту раствора и разбавляют в десятикратном объеме ацетонитрилом, затем подкисляют 1 мл 3,8 моль/л хлорной кислоты
(7.3) на 100 мл раствора ДНФГ и проводят анализ методом ВЭЖХ в соответствии с
9.3.4.
ПРЕДУПРЕЖДЕНИЕ - Очистку ДНФГ необходимо проводить при включенной вентиляции с обязательным использованием средств защиты от взрыва (экран).
Примечание - Кислота необходима для катализа реакции карбонильных соединений с ДНФГ. Для этих целей используют наиболее сильные неорганические кислоты, такие как хлорная, серная, фосфорная или соляная. В редких случаях использование соляной и серной кислот может привести к неблагоприятным последствиям.
Приемлемым считают такой уровень содержания примесей гидразона формальдегида в перекристаллизованном ДНФГ, при котором значение массовой концентрации менее 0,025 мкг/мл или массовая доля примесей в ДНФГ менее 0,02%.
Если уровень содержания примесей является неприемлемым для конкретных условий отбора проб, то перекристаллизацию проводят повторно. Очищенные кристаллы переносят в стеклянную колбу, добавляют 200 мл ацетонитрила, закрывают пробкой, слегка встряхивают и дают отстояться в течение 12 ч. Проводят анализ жидкости над осадком на хроматографе методом ВЭЖХ в соответствии с
9.3.4. Если уровень содержания примесей является неприемлемым, то забирают пипеткой весь раствор над осадком, затем к оставшимся очищенным кристаллам добавляют 25 мл ацетонитрила. Повторяют промывание кристаллов ацетонитрилом порциями по 20 мл; после каждого добавления порции ацетонитрила образующуюся над осадком жидкость анализируют методом ВЭЖХ до тех пор, пока не будет подтвержден приемлемый уровень содержания в ней примесей.
Если уровень содержания примесей является приемлемым, добавляют 25 мл ацетонитрила, закрывают колбу пробкой, встряхивают и оставляют для дальнейшего использования. Полученный насыщенный раствор над очищенными кристаллами является основным исходным раствором ДНФГ. Сохраняют минимальный объем насыщенного раствора, необходимый для ежедневного использования, что позволяет свести к минимуму потери очищенного реактива при необходимости повторного промывания кристаллов для уменьшения уровня содержания примесей в случае предъявления более жестких требований к степени чистоты. Необходимый для проведения анализа объем основного исходного насыщенного раствора ДНФГ отбирают чистой пипеткой. Не следует отливать исходный раствор непосредственно из колбы.
8.2 Приготовление ДНФГ-производного формальдегида
К части перекристаллизованного ДНФГ
(8.1) добавляют достаточное количество соляной кислоты (2 моль/л)
(7.5) для получения почти насыщенного раствора. Добавляют к этому раствору формальдегид
(7.6) в мольном избытке по отношению к ДНФГ. Фильтруют осадок ДНФГ-производного формальдегида, промывают его соляной кислотой (2 моль/л) и водой, после чего оставляют на воздухе до высыхания.
Проверяют степень чистоты ДНФГ-производного формальдегида путем определения его точки плавления (от 165 °C до 166 °C) или анализа методом ВЭЖХ. Если уровень содержания примесей является неприемлемым, то производное перекристаллизовывают из этанола
(7.8). Повторяют проверку степени чистоты и перекристаллизацию до тех пор, пока не будет достигнут приемлемый уровень чистоты (например, массовая доля основного компонента 99%).
ДНФГ-производное формальдегида хранят охлажденным (при температуре 4 °C) в защищенном от света месте. Оно должно быть стабильным в течение, по крайней мере, 6 мес. Хранение в атмосфере азота
(7.9) или аргона продлевает срок годности ДНФГ-производного.
Температуры точек плавления ДНФГ-производных некоторых карбонильных соединений приведены в
приложении B.
ДНФГ-производные формальдегида и других карбонильных соединений
(7.7), используемые в качестве стандартных образцов, выпускаются серийно как в виде чистых кристаллов, так и в виде индивидуальных или смешанных исходных растворов в ацетонитриле.
8.3 Приготовление исходных растворов ДНФГ-производного формальдегида
Исходный раствор ДНФГ-производного формальдегида приготавливают путем растворения точно известного количества производного в ацетонитриле
(7.2). Из исходного раствора готовят рабочий градуировочный раствор. Содержание ДНФГ-производного формальдегида в градуировочных растворах должно соответствовать ожидаемому диапазону значений его массовой концентрации в реальных пробах.
Исходные растворы с массовой концентрацией приблизительно 100 мг/л могут быть приготовлены путем растворения 10 мг твердого производного в 100 мл ацетонитрила. Эти растворы используют для приготовления градуировочных растворов, содержащих соответствующие производные в диапазоне значений массовой концентрации от 0,5 до 20 мкг/мл.
Все стандартные растворы хранят в защищенном от света месте в герметично закрытых сосудах в холодильнике. Перед использованием растворы выдерживают при комнатной температуре до достижения теплового равновесия. По истечении четырех недель растворы должны быть заменены на свежие.
8.4 Подготовка картриджей с нанесенным на силикагель ДНФГ
8.4.1 Общие положения
Процедуру проводят в лаборатории с очень низким содержанием альдегидов в воздухе. Всю стеклянную и пластиковую лабораторную посуду тщательно очищают и промывают в деионизированной воде и ацетонитриле, не содержащем альдегиды
(7.2). Контакт реактивов с воздухом в лаборатории должен быть минимальным. При работе с картриджами следует надевать полиэтиленовые перчатки.
8.4.2 Раствор для нанесения ДНФГ
С помощью пипетки вносят 30 мл насыщенного исходного раствора ДНФГ в мерную колбу вместимостью 1000 мл, добавляют 500 мл ацетонитрила
(7.2) и подкисляют 1,0 мл концентрированной соляной кислоты
(7.5).
Воздух над подкисленным раствором пропускают через картридж с силикагелем с нанесенным ДНФГ для сведения к минимуму внесения загрязнений. Колбу встряхивают, затем раствор доводят до метки ацетонитрилом. Колбу закрывают, переворачивают, встряхивают несколько раз до тех пор, пока раствор не станет однородным. Переносят подкисленный раствор в пипеточный дозатор со шкалой от 0 до 10 мл.
Из дозатора медленно сливают от 10 до 20 мл раствора в сливной стакан. Вводят аликвоту раствора в виалу и проверяют уровень содержания примесей в подкисленном растворе методом ВЭЖХ в соответствии с
9.3.4. Массовая концентрация формальдегида в растворе должна быть не более 0,025 мкг/мл.
8.4.3 Нанесение ДНФГ на силикагель в картридже
Картридж вынимают из упаковки, подсоединяют короткий конец картриджа
(6.1.1) к шприцу вместимостью 10 мл, который помещают в устройство для нанесения ДНФГ
(6.2.4), как показано на
рисунке 3. С помощью пипеточного дозатора
(6.3.2.4) в каждый шприц вводят 10 мл ацетонитрила
(7.2). Жидкость должна стечь самотеком.
Пузырьки воздуха, появившиеся между шприцем и картриджем с силикагелем, удаляют с помощью ацетонитрила из шприца.
Настраивают пипеточный дозатор, содержащий подкисленный раствор для нанесения ДНФГ, для введения по 7 мл в каждый картридж. Как только на выходе картриджа прекратится поток ацетонитрила, добавляют в каждый шприц по 7 мл раствора для нанесения ДНФГ. Раствор для нанесения ДНФГ стекает через картридж самотеком до тех пор, пока не прекратится поток на другом конце картриджа. Избыток жидкости на выходном отверстии каждого картриджа удаляют с помощью фильтровальной бумаги.
Проводят сборку устройства для сушки картриджей, как показано на
рисунке 3b. На каждый штуцер устанавливают предварительно подготовленный картридж с нанесенным ДНФГ (например, скруббер или "защитный" картридж). Такие "защитные" картриджи предназначены для удаления следов формальдегида, который может присутствовать в подаваемом азоте
(7.9). Их подготавливают путем сушки нескольких, заново пропитанных картриджей в соответствии с инструкциями, приведенными ниже, и используют для обеспечения чистоты остальных картриджей.
Устанавливают переходник для картриджей (расширенный на конус с обоих концов, с внешним диаметром от 0,64 до 2,5 см, выполненный из фторуглеродной трубки, внутренним диаметром немного меньше внешнего диаметра входного отверстия картриджа) на длинный конец картриджа скруббера.
Отсоединяют картриджи от шприцев и подсоединяют короткие концы картриджей к свободным концам переходников, уже присоединенных к картриджам скруббера.
Через каждый картридж пропускают азот
(7.9) при расходе 300 - 400 мл/мин. Промывают внешние поверхности и выходные концы картриджей ацетонитрилом с помощью пипетки Пастера. По истечении 15 мин подачу азота прекращают, удаляют остатки ацетонитрила с внешних поверхностей картриджей и отсоединяют просушенные картриджи. Оба конца загруженных картриджей закрывают стандартными полипропиленовыми заглушками от шприцев и помещают закрытые картриджи в трубки из боросиликатного стекла с навинчивающимися крышками из полипропилена
(6.2.1).
На каждый индивидуальный стеклянный контейнер для хранения картриджа наносят номер серии и партии и хранят всю партию в холодильнике до момента использования.
Установлено, что содержимое загруженных картриджей остается стабильным в течение не менее 6 мес при хранении при температуре 4 °C в защищенном от света месте.
Проводят сборку системы отбора проб и убеждаются в том, что насос
(6.1.2) обеспечивает постоянный расход в течение всего периода отбора проб. Загруженные картриджи
(6.1.1) могут сохранять свои характеристики при отборе проб, если температура окружающей среды выше 10 °C. При необходимости устанавливают скруббер или ловушку для озона (см.
4.2).
Перед началом отбора проб проверяют герметичность системы. Закрывают входной (короткий) конец картриджа так, чтобы на выходе насоса не было потока воздуха. При этом расходомер не должен фиксировать поток воздуха через систему отбора проб.
Во время необслуживаемых или продолжительных периодов отбора проб для поддержания постоянного потока воздуха рекомендуется использовать регулятор потока
(6.1.3) или насос с функцией компенсации расхода при отборе проб в зоне дыхания. Регулятор потока настраивают таким образом, чтобы значение потока было не менее чем на 20% ниже установленного максимального значения расхода воздуха через картридж.
Примечание - Силикагель в картридже удерживается между двумя мелкопористыми фильтрами. Поток воздуха в ходе отбора проб может изменяться из-за оседания частиц аэрозоля на переднем фильтре. Изменение потока может быть значительным при отборе проб воздуха с большим содержанием взвешенных частиц.
Устанавливают систему отбора проб (включая картридж для холостой пробы) и проверяют расход воздуха при значении, близком к ожидаемому. Обычно расход воздуха устанавливают в диапазоне 0,5 - 1,2 л/мин. Общее число молей карбонильных соединений в объеме отобранного воздуха не должно превышать количество ДНФГ в картридже (2 мг или 0,01 моль; от 1 до 2 мг в случае применения серийно выпускаемых предварительно загруженных картриджей). Обычно ориентировочная оценка массы аналита в пробе должна составлять не более 75% массы ДНФГ, загруженного в картридж [от 100 до 200 мкг в случае HCHO с учетом мешающих веществ (см.
раздел 4)]. Градуировку проводят с использованием мыльно-пенного пузырькового расходомера или барабанного газового счетчика
(6.1.4) с жидкостным затвором, подсоединенного к выходу потока, при условии герметичности системы.
Примечание - Метод градуировки, не требующий герметичности системы после насоса, приведен в
[10].
Для определения объема пробы фиксируют и записывают значение расхода в начале и в конце периода отбора проб. Если период отбора проб более 2 ч, то расход измеряют несколько раз в течение отбора проб. Для наблюдения за расходом без вмешательства в процесс отбора проб в систему устанавливают ротаметр. Также допускается использовать насос для отбора проб с прямым измерением и непрерывной регистрацией значений расхода.
Перед началом отбора проб загруженный картридж достают из герметичного металлического или другого подходящего контейнера для транспортирования. Перед подсоединением к побудителю расхода (аспиратору, насосу) картридж выдерживают при комнатной температуре до достижения теплового равновесия, не вынимая его из стеклянного контейнера.
Этой же процедуре подвергают серийно выпускаемые предварительно загруженные картриджи.
Надев полиэтиленовые перчатки
(6.2.2), вынимают заглушку картриджа и подсоединяют его к побудителю расхода при помощи переходника. Картридж подсоединяют таким образом, чтобы его короткий конец оказался входным концом для пробы.
Подсоединение серийно выпускаемых картриджей с предварительно нанесенным ДНФГ проводят в соответствии с инструкциями изготовителя. Некоторые серийно выпускаемые картриджи представляют собой герметичные стеклянные трубки. В этом случае необходимо отломить концы трубки с предварительным использованием стеклореза. Подсоединяют конец картриджа с меньшим количеством сорбента к линии отбора проб так, чтобы большее количество сорбента находилось на входном отверстии для пробы воздуха. Соблюдают осторожность при обращении с отломанными концами трубки.
Включают насос и устанавливают требуемое значение расхода. Обычно расход через один картридж составляет 1,0 л/мин, а в случае двух картриджей, соединенных последовательно, - 0,8 л/мин. Проводят отбор проб в течение установленного периода времени, при этом периодически фиксируют значения параметров отбора проб.
Если при отборе проб температура окружающей среды ниже 10 °C, то обеспечивают, чтобы картридж для отбора проб находился при более высокой температуре. При проведении отбора проб в разных погодных условиях - в холодные, влажные и сухие зимние месяцы, в жаркие и влажные летние месяцы - значительного влияния относительной влажности воздуха на результаты отбора проб отмечено не было.
По окончании отбора проб выключают насос. Непосредственно перед его выключением проверяют расход воздуха. Если значения расхода воздуха в начале и конце периода отбора проб отличаются более чем на 15%, то пробу маркируют как сомнительную.
Сразу же после отбора проб картридж отсоединяют от системы отбора проб (надев полиэтиленовые перчатки), закрывают его пробками и помещают обратно в маркированный контейнер. Заклеивают контейнер фторопластовой лентой
(6.2.3) и помещают в металлический контейнер, содержащий слой гранулированного древесного угля
(7.10) толщиной от 2 до 5 см, или в другой подходящий контейнер с поглотителем. При необходимости для хранения картриджа с пробой используют термосклеенный пластиковый мешок с прослойками из фольги. До проведения анализа картридж с пробой хранят в холодильнике. Время хранения картриджа в холодильнике не должно превышать 30 дней.
Если для проведения анализа пробу необходимо транспортировать в аналитическую лабораторию, то время хранения картриджа с пробой без холодильника должно быть сведено к минимуму и не превышать двух дней.
Средний расход отбора проб вычисляют по формуле

(1)
где

- средний расход, мл/мин;

- значения расхода в начале, конце и в промежуточных точках в период отбора проб;
n - число точек усреднения.
Общий объем воздуха вычисляют по формуле

(2)
где Vm - общий объем воздуха, отобранный при известных температуре и давлении в процессе отбора пробы, л;
t2 - время конца отбора проб;
t1 - время начала отбора проб;
t2 - t1 - продолжительность отбора проб, мин;

- средний расход, мл/мин.
9.2 Холостые пробы
Для каждой серии проб необходимо провести анализ не менее одной холостой пробы, полученной в условиях отбора проб. Если серия включает в себя 10 - 20 проб, то число холостых проб должно быть не менее 10% общего числа проб. Для определения необходимого числа холостых проб следует фиксировать общее число проб внутри серии или временного интервала. На месте отбора проб с картриджами для отбора холостых проб обращаются так же, как с картриджами для отбора реальных проб, за исключением самого процесса отбора проб. Отбор холостых проб должен соответствовать требованиям, приведенным в
9.1. Желательно также провести анализ оставленных в лаборатории картриджей с холостыми пробами для установления различий между загрязнением, которое может быть внесено в месте отбора проб и в лаборатории.
9.3 Анализ проб
9.3.1 Подготовка проб
Пробы транспортируют в лабораторию в подходящем контейнере, содержащем слой гранулированного древесного угля
(7.10) толщиной от 2 до 5 см, и хранят их до проведения анализа в холодильнике. Пробы также можно хранить в индивидуальных контейнерах. Промежуток времени между отбором и анализом проб должен быть не более 30 дней.
9.3.2 Десорбция проб
Картридж с пробой коротким концом (входным отверстием) подсоединяют к чистому шприцу.
Для предотвращения попадания нерастворимых частиц в элюат направление потока жидкости во время десорбции должно совпадать с направлением потока воздуха во время отбора проб. Если элюат фильтруется перед проведением анализа методом ВЭЖХ, то можно проводить обратную десорбцию. Для каждой серии проб проводят анализ отфильтрованного чистого экстракта для подтверждения того, что на фильтре нет загрязнений.
Шприц с подсоединенным картриджем помещают на стойку для шприцев. Проводят десорбцию ДНФГ-производных карбонильных соединений и не вступившего в реакцию ДНФГ, давая стечь 5 мл ацетонитрила
(7.2) из шприца самотеком через картридж в градуированную пробирку или мерную колбу вместимостью 5 мл. В зависимости от используемого для отбора проб картриджа возможен ввод других объемов ацетонитрила.
Примечание - Свободный объем сухого картриджа с силикагелем составляет немного более 1 мл. Поток элюата может прекратиться до того, как весь ацетонитрил вытечет из шприца в картридж из-за наличия пузырьков воздуха между фильтром картриджа и шприцем. В этом случае пузырьки воздуха удаляют посредством ввода ацетонитрила в шприц с помощью длинной пипетки Пастера.
Раствор доводят ацетонитрилом до метки 5 мл. Колбу маркируют так же, как и пробу. Аликвоту вводят пипеткой в виалу с фторуглеродной ПТФЭ мембраной. Аликвоту анализируют на содержание ДНФГ-производных карбонильных соединений методом ВЭЖХ. В качестве резерва возможен отбор второй аликвоты, которую хранят в холодильнике до тех пор, пока не будет завершен анализ и получены пригодные результаты анализа первой аликвоты. При необходимости вторую аликвоту используют для проведения проверочного анализа.
При использовании для отбора проб стеклянных герметичных трубок, содержащих два слоя сорбента с нанесенным ДНФГ, отламывают конец трубки, находящийся ближе ко второму слою сорбента (выходной конец). Осторожно удаляют пружину (пружинное кольцо) и пробку из стекловаты, удерживающие слой сорбента. Высыпают сорбент в чистую стеклянную виалу вместимостью 4 мл с фторопластовой (ПТФЭ) мембраной или крышкой. Виалу маркируют как резервную часть пробы. Осторожно вынимают вторую пробку из стекловаты и высыпают оставшийся сорбент в другую виалу вместимостью 4 мл. Виалу маркируют как основную часть пробы. В каждую виалу пипеткой добавляют 3 мл ацетонитрила, закрывают и оставляют на 30 мин, в течение которых виалы периодически встряхивают.
Градуировочные растворы готовят путем растворения ДНФГ-производного формальдегида (см.
8.3) в ацетонитриле
(7.2). Готовят индивидуальные исходные растворы с массовой концентрацией 100 мг/л путем растворения 10 мг твердого производного в 100 мл подвижной фазы. По два раза проводят анализ каждого градуировочного раствора (не менее пяти различных значений массовой концентрации) и составляют таблицу зависимости значений выходных сигналов, соответствующих площади хроматографических пиков, от введенной массы соответствующего вещества [либо, что более удобно, от введенной массы ДНФГ-производного формальдегида при фиксированном объеме петли (см.
рисунки 4 и
5)]. В процессе градуировки выполняют операции, соответствующие операциям, проводимым при анализе пробы и установленным в
9.3.4. Во избежание эффекта памяти хроматографа анализ начинают с раствора с наименьшей массовой концентрацией. При использовании УФ детектора или детектора на основе диодной матрицы должна быть получена линейная зависимость выходного сигнала при введении растворов с массовой концентрацией в диапазоне 0,05 - 20 мкг/мл при вводимом объеме 25 мкл. Полученные результаты используют для построения градуировочного графика (см.
рисунок 6). Градуировочную характеристику (зависимость выходного сигнала, соответствующего площади пика, от значения массовой концентрации), полученную методом наименьших квадратов, считают линейной, если коэффициент корреляции не менее 0,999. Значения времени удерживания для каждого аналита не должны отличаться друг от друга более чем на 2%.
После установления линейной градуировочной характеристики проводят ежедневную проверку ее стабильности с помощью градуировочного раствора со значением массовой концентрации, близким к ожидаемому значению каждого компонента, но не менее чем в 10 раз превышающим предел обнаружения. Определяемое при ежедневной проверке относительное изменение выходного сигнала не должно превышать 10% для аналитов массовой концентрацией не менее 1 мкг/мл и 20% - для аналитов массовой концентрацией приблизительно 0,5 мкг/мл. Если наблюдается более значительное изменение, необходимо провести повторную градуировку или построение нового градуировочного графика на основе свежеприготовленных градуировочных растворов.
где t - время, мин;
1 - ввод.
Условия хроматографирования:
колонка: C-18 с обращенной фазой;
подвижная фаза: с объемным отношением 60% ацетонитрила и 40% воды;
детектор: УФ детектор, работающий на длине волны 360 нм;
расход: 1 мл/мин;
время удерживания: для ДНФГ-производного формальдегида приблизительно 7 мин;
объем введенной пробы: 25 мкл.
Рисунок 4 - Пример хроматограммы ДНФГ-производного
формальдегида
где t - время, мин;
1 - ввод.
Условия хроматографирования:
колонка: C-18 с обращенной фазой (с внутренним диаметром 4,6 мм, длиной 25 см или эквивалентная);
подвижная фаза: с объемным отношением 60% ацетонитрила и 40% воды;
детектор: УФ детектор, работающий на длине волны 360 нм;
температура: 25 °C;
расход: 1 мл/мин;
время удерживания: для ДНФГ-производного приблизительно 7 мин;
объем введенной пробы: 25 мкл.
Массовая концентрация, мкг/мл | Площадь пика, условные единицы |
0,61 | 226541 |
1,23 | 452166 |
6,16 | 2257271 |
12,32 | 4711408 |
18,48 | 6953812 |
Рисунок 5 - Примеры хроматограмм ДНФГ-производного
формальдегида при его различных массовых концентрациях
где A - площадь пика, условные единицы;

- массовая концентрация ДНФГ-производного формальдегида, мкг/мл.
Условия хроматографирования:
коэффициент корреляции: 0,9999;
колонка: C-18 с обращенной фазой;
подвижная фаза: с объемным отношением 60% ацетонитрила и 40% воды;
детектор: УФ детектор, работающий на длине волны 360 нм;
расход: 1 мл/мин;
время удерживания: для ДНФГ-производного формальдегида приблизительно 7 мин;
объем введенной пробы: 25 мкл.
Рисунок 6 - Пример градуировочного графика для формальдегида
9.3.4 Анализ на содержание формальдегида методом ВЭЖХ
Проводят сборку и градуировку системы ВЭЖХ в соответствии с
9.3.3. Типичные параметры для системы представлены ниже.
Достаточное разрешение ДНФГ-производного формальдегида и возможных мешающих составов может обеспечить октадецилсилановая колонка (100 мм x 5 мм в диаметре, 10 мкм частицах) с подвижной фазой 70% метанола и 30% воды. В изократическом режиме можно использовать любые подвижные фазы (см. ISO 16000-4).
В качестве альтернативы подходит изократическая подвижная фаза, состоящая из смеси 60% ацетонитрила и 40% воды. Рабочие параметры:
колонка: C-18, внутренним диаметром 4,6 мм, длиной 25 см или эквивалентная; контролировать температуру колонки не обязательно;
подвижная фаза: 60% ацетонитрила и 40% воды (объемное отношение), изократическая;
детектор: УФ детектор, работающий на длине волны 360 нм;
расход: 1,0 мл/мин;
время удерживания: для ДНФГ-производного формальдегида 7 мин - с использованием одной колонки C-18, 3 мин - с использованием двух колонок C-18;
объем вводимой пробы: 25 мкл.
Перед каждым анализом проверяют базовую линию детектора для обеспечения стабильных условий.
Приготавливают подвижную фазу для ВЭЖХ путем смешивания 600 мл ацетонитрила и 400 мл воды либо устанавливают соответствующие параметры для градиентного элюирования. Полученную смесь фильтруют через мембранный фильтр из полиэфира с размером пор 0,22 мкм в устройстве фильтрования под вакуумом, изготовленном только из стекла или фторопласта. Дегазируют отфильтрованную подвижную фазу путем продувки с использованием гелия
(7.11) от 10 до 15 мин (100 мл/мин) или путем нагревания до 60 °C от 5 до 10 мин в лабораторной конической колбе, накрытой часовым стеклом. Для предотвращения образования пузырьков газа в ячейке детектора после него устанавливают постоянный ограничитель сопротивления (350 кПа) или короткую (15 - 30 см) трубку из фторопласта внутренним диаметром 0,25 мм.
Примечание - Вместо дегазирования подвижной фазы (смеси ацетонитрила и воды) путем продувки гелием или нагреванием в лабораторной практике применяют сверхзвуковую деаэрацию или деаэрацию в оперативном режиме через мембрану под низким давлением.
Подвижную фазу наливают в емкость для растворителя и устанавливают расход 1,0 мл/мин. Перед первым анализом насос должен проработать 20 - 30 мин. Детектор включают, по крайней мере, за 30 мин до проведения первого анализа. Выходной сигнал детектора регистрируют с помощью электроизмерительных самопишущих приборов или аналогичного устройства вывода.
Для систем с ручным вводом проб набирают в чистый инжекционный шприц не менее 100 мкл пробы для ввода в хроматограф. Заполняют петлю крана-дозатора подвижной фазой (кран-дозатор должен быть установлен в положение "загрузка"), вводя дополнительную пробу с помощью шприца. Чтобы начать хроматографирование, кран-дозатор переводят в положение "ввод пробы". Одновременно с вводом активируют систему обработки данных, включают и отмечают точку ввода на диаграммной ленте электроизмерительного самопишущего прибора. Приблизительно через 1 мин переводят кран-дозатор из положения "ввод пробы" в положение "загрузка", ополаскивают или промывают шприц и дозирующую петлю смесью ацетонитрил - вода для подготовки к анализу следующей пробы.
Не допускается вводить растворитель в петлю крана-дозатора, когда кран находится в положении "ввод пробы".
После элюирования ДНФГ-производного формальдегида (см.
рисунок 4) прекращают регистрацию данных и вычисляют массовую концентрацию компонентов в соответствии с
разделом 10. Система может быть использована для дальнейшего анализа проб после того, как будет достигнуто устойчивое положение базовой линии.
Примечание - После нескольких анализов загрязнение колонки (если обнаружено, например, по установленному увеличению давления при каждом последующем вводе пробы при заданном значении расхода и составе растворителя) может быть устранено промыванием ее 100%-ным ацетонитрилом объемом, превосходящим объем колонки в несколько раз. Подобную защиту можно обеспечить, используя форколонки.
Если значение массовой концентрации аналита выходит за пределы линейного участка градуировочной характеристики системы, пробу разбавляют подвижной фазой или вводят в хроматограф меньший объем пробы. Если время удерживания, полученное при предыдущих вводах пробы, не воспроизводится (предельно допустимое отклонение +/- 10%), то соотношение ацетонитрил - вода может быть увеличено или уменьшено для получения соответствующего времени удерживания. Если время удерживания слишком велико, то соотношение увеличивают; если слишком мало - соотношение уменьшают. При необходимости замены растворителя проводят повторную градуировку перед вводом пробы (см.
9.3.3).
Примечание - Приведенные условия хроматографирования должны быть оптимизированы для определения формальдегида. Аналитику рекомендуется провести исследования с имеющейся системой ВЭЖХ для оптимизации условий хроматографирования для решения конкретной аналитической задачи. Также могут быть использованы ВЭЖХ системы с автоматическим вводом пробы и сбором данных.
Полученную хроматограмму исследуют на предмет мешающего влияния озона в соответствии с
4.2 и
рисунком 2.
9.3.5 Анализ других альдегидов и кетонов методом ВЭЖХ
9.3.5.1 Общие положения
Оптимизация условий хроматографирования посредством использования двух колонок C-18, соединенных последовательно, и градиентного режима подачи элюента позволяет проводить анализ других альдегидов и кетонов, отобранных из воздуха. В частности, условия хроматографирования оптимизируют для разделения ацетона, пропионового альдегида и некоторых других альдегидов с более высокой молекулярной массой при продолжительности анализа приблизительно 1 ч.
Состав подвижной фазы периодически изменяют по линейной градиентной программе для получения максимального разделения C3, C4 и бензальдегида в соответствующей области хроматограммы. Для этой цели разработана следующая градиентная программа: в момент ввода пробы изменяют объемное отношение растворов с 60% ацетонитрила и 40% воды до 75% ацетонитрила и 25% воды в течение 36 мин; до 100% ацетонитрила - в течение 20 мин; 100% ацетонитрила - в течение 5 мин; меняют направление линейного градиентного программирования со 100% ацетонитрила до 60% ацетонитрила и 40% воды в течение 1 мин; поддерживают объемное отношение 60% ацетонитрила и 40% воды в течение 15 мин.
9.3.5.2 Анализ проб на другие карбонильные соединения
Проводят сборку и градуировку системы ВЭЖХ в соответствии с
9.3.3. Рабочие параметры:
колонка: две колонки C-18, соединенные последовательно;
подвижная фаза: ацетонитрил и вода; линейный градиентный режим;
детектор: УФ детектор, работающий на длине волны 360 нм;
расход: 1,0 мл/мин;
градиентная программа: по
9.3.4.
Условия хроматографирования, приведенные выше, были оптимизированы для градиентных систем ВЭЖХ с УФ детектором или детектором на основе диодной матрицы, автоматическим пробоотборным устройством с объемом дозирующей петли 25 мкл, двумя колонками C-18 (4,6 x 250 мм) и электроизмерительным самопишущим прибором или электронным интегратором. Аналитику рекомендуется провести исследования на имеющейся системе ВЭЖХ с целью оптимизации условий хроматографирования для решения конкретной аналитической задачи. Оптимизация необходима, по крайней мере, для разделения акролеина, ацетона и пропионового альдегида.
Примечание - Изготовители колонок обычно приводят рекомендации по оптимальным условиям разделения ДНФГ-производных для колонок с обращенной фазой. Эти рекомендации могут исключать необходимость использования двух колонок без ухудшения разделения карбонильных соединений.
Карбонильные соединения в пробе определяют качественно и количественно путем сравнения их времени удерживания и площади пиков с аналогичными показателями для образцов сравнения ДНФГ-производных. Формальдегид, ацетальдегид, ацетон, пропионовый альдегид, кротоновый альдегид, бензальдегид и
о-,
м-,
п-толуиловые альдегиды определяют с высокой степенью достоверности. Определение масляного альдегида является менее надежным из-за его совместного элюирования с изобутиральдегидом и метилэтилкетоном при установленных выше условиях хроматографирования. Однако акролеин и кротоновый альдегид могут быть количественно определены с приемлемой точностью после специальных мер предосторожности
[11]. Типичная хроматограмма, полученная ВЭЖХ системой с градиентным элюированием, приведена на
рисунке 7.
Массовую концентрацию индивидуальных карбонильных соединений определяют по
9.3.4.
где t - время, мин.
Идентификация пиков |
Номер | Соединение | Массовая концентрация, мкг/мл |
1 | Формальдегид | 1,140 |
2 | Ацетальдегид | 1,000 |
3 | Акролеин | 1,000 |
4 | Ацетон | 1,000 |
5 | Пропионовый альдегид | 1,000 |
6 | Кротоновый альдегид | 1,000 |
7 | | 1,000 |
8 | Бензальдегид | 1,000 |
9 | Изовалеральдегид | 0,450 |
10 | Валеральдегид | 0,450 |
11 | о-Толуиловый альдегид | 0,515 |
12 | м-Толуиловый альдегид | 0,505 |
13 | п-Толуиловый альдегид | 0,510 |
14 | Гексаналь | 1,000 |
15 | 2,5-Диметилбензальдегид | 0,510 |
<a> Идентификация масляного альдегида менее точная, потому что цеолит уже содержит изомасляный альдегид и метилэтилкетон (2-бутанон) при установленных хроматографических условиях. Поэтому в этом случае должна быть применена специальная программа, которая определяет масляный альдегид в присутствии любого из последних потенциально мешающих соединений. |
Рисунок 7 - Пример хроматографического разделения
ДНФГ-производных 15 карбонильных соединений
10. Вычисление результатов измерений
Общую скорректированную массу аналита (ДНФГ-производного), извлеченного из картриджа, md для каждой пробы вычисляют по формуле
md = ms - mb, (3)
где ms - нескорректированная масса ДНФГ-производного на картридж с пробой, мкг:

(4)
mb - масса аналита в картридже с холостой пробой, мкг:

(5)
As - площадь пика аналита, элюированного из картриджа с пробой, условные единицы;

- массовая концентрация аналита в градуировочном растворе для ежедневной градуировки, мкг/мл;
Astd - площадь пика аналита в градуировочном растворе для ежедневной градуировки, условные единицы;
Vs - общий объем элюата, полученного для картриджа с пробой, мл;
ds - коэффициент разбавления элюата пробы:
ds = 1, если пробу не разбавляли повторно,
ds = Vd/Va, если пробу разбавляли для того, чтобы выходной сигнал находился в области линейности детектора,
где Vd - объем после разбавления, мл,
Va - объем аликвоты, используемый при разбавлении, мл;
Ab - площадь пика аналита, элюированного из картриджа с холостой пробой, условные единицы;
Vb - общий объем элюата, полученного для картриджа с холостой пробой, мл;
db - коэффициент разбавления холостой пробы, равный 1,0.
Массовую концентрацию карбонильного соединения

, нг/л, в пробе вычисляют по формуле

(6)
где Mc - молекулярная масса карбонильного соединения (для формальдегида равна 30 г/моль);
Mder - молекулярная масса ДНФГ-производного (для формальдегида равна 210 г/моль);
Vm - общий объем пробы воздуха замкнутого помещения, отобранной по
9.1, л.
Примечание - Не рекомендуется использовать миллиардные и миллионные доли. Однако для удобства некоторых пользователей предоставлена следующая информация.
Преобразование содержания карбонильного соединения

в миллиардные доли (10
-9) объемной фракции проводят по формуле

(7)
где

- концентрация карбонильного соединения при стандартных условиях в миллиардных долях (10
-9) объемной фракции;

- массовая концентрация карбонильного соединения в пробе, вычисленная с использованием объема воздуха
Vs, приведенного к температуре 25 °C и давлению 101,3 кПа, нг/л;
24,3 - молярный объем идеального газа, приведенный к температуре 25 °C, нл/нмоль.
Общий скорректированный объем пробы воздуха Vs, л, приведенный к температуре 25 °C и давлению 101,3 кПа, вычисляют по формуле

(8)
где Vm - общий объем пробы в условиях замкнутого помещения, л;

- среднее атмосферное давление внутри замкнутого помещения, кПа;

- средняя температура окружающей среды в замкнутом помещении, °C.
Если необходимо выразить содержание аналита в миллионных долях (млн-1) при стандартных условиях окружающей среды (температуре 25 °C и давлении 101,3 кПа) для сопоставления с образцами сравнения, состав которых установлен в тех же величинах, отобранный объем не следует приводить к стандартным условиям.
11. Критерии эффективности и контроль качества результатов
измерений
11.1 Общие положения
В настоящем разделе установлены меры, необходимые для обеспечения контроля качества результатов измерений, и руководство по соответствию критериям эффективности, которые должны быть выполнены.
Пользователь настоящего стандарта должен выполнять требования ISO 17025.
11.2 Стандартные рабочие процедуры
Пользователь стандарта должен разработать стандартные рабочие процедуры для следующих видов деятельности в лаборатории: сборка, градуировка и применение системы отбора проб с указанием изготовителя и модели используемого оборудования; подготовка, очистка, хранение и обработка реактивов, используемых при отборе проб, и самих проб; сборка, градуировка и применение системы ВЭЖХ с указанием марки и модели используемого оборудования; способ регистрации и обработки данных с указанием используемых аппаратных и программных средств ЭВМ.
Описание стандартных рабочих процедур должно включать в себя поэтапные инструкции и быть доступным и понятным для персонала, работающего в лаборатории. Стандартные рабочие процедуры должны соответствовать требованиям настоящего стандарта.
11.3 Эффективность системы ВЭЖХ
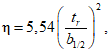
Эффективность системы ВЭЖХ определяется эффективностью колонки

(число теоретических тарелок), которую вычисляют по формуле

(9)
где tr - время удерживания аналита, сек;
b1/2 - ширина пика на половине высоты по одному компоненту, сек.
Эффективность колонки должна быть не менее 5000 теоретических тарелок.
Относительное стандартное отклонение выходного сигнала при повторных каждодневных вводах проб в систему ВЭЖХ не должно быть более +/- 10% для градуировочных растворов с массовой концентрацией аналита не менее 1 мкг/мл. При массовой концентрации некоторых карбонильных соединений не более 0,5 мкг/мл прецизионность повторных анализов может увеличиться до 20%. Прецизионность времени удерживания должна быть в пределах +/- 7% в любой день проведения анализа.
11.4 Потеря пробы
Потеря пробы наблюдается при превышении допустимой нагрузки сорбента или если объемный расход превышает максимально допустимый для используемой системы отбора проб. Потерю пробы можно предотвратить путем установки двух картриджей для отбора проб, соединенных последовательно, с последующим анализом содержимого каждого из них либо путем установки двухсекционного картриджа с сорбентом с последующим анализом обеих секций. Если количество аналита в резервной секции более 15% количества аналита в основной секции, делают предположение о "проскоке" и точность полученных результатов подвергают сомнению.
11.5 План измерений
План измерения должен устанавливать требования к уровню качества, определенные заказчиком.
Рекомендуется проводить повторный отбор проб. Одна или более проба может быть запакована для более позднего анализа при желании. Степень восстановления пробы должна быть подробно задокументирована.
Необходимо учитывать важные критерии, в том числе при выборе подрядчика или лаборатории для проведения измерений, которые должны включать следующие вопросы:
- Существует ли в лаборатории система контроля качества (например, в соответствии с ISO 17025)?
- Какие процедуры калибровки используются, как часто и в какой степени?
- Какие методы используют для определения формальдегида и других карбонильных соединений?
- Необходимы ли сравнительные измерения?
- Как определяют неопределенность (например, в соответствии с ISO 98-3
[9])?
- Участвует ли лаборатория в межлабораторных испытаниях?
12. Прецизионность и неопределенность
Так же, как и при анализе других соединений, на прецизионность и неопределенность результата определения содержания формальдегида в воздухе замкнутых помещений влияют два фактора: воспроизводимость аналитической процедуры и изменение во времени содержания аналита в воздухе. Считается, что последний фактор имеет гораздо большее влияние, чем первый, хотя трудно количественно оценить влияние изменения интенсивности источника и условий вентиляции.
Общая информация о значениях погрешностей, относящихся к аналитической процедуре, приведена в
приложении A.
Протокол испытаний должен содержать следующую информацию:
a) цель измерений;
b) описание местоположения отбора проб;
c) время и дату;
d) условия при отборе проб (температура, давление, относительная влажность);
e) метод испытаний в соответствии с настоящим стандартом;
f) описание процедуры отбора проб;
g) полное описание аналитического анализа;
h) предел обнаружения аналитического метода;
i) концентрации идентифицированных соединений, соответствующие им числа CAS, а также принципы расчета и калибровки;
j) все операционные детали, не установленные в настоящем стандарте или считающиеся дополнительными, вместе с деталями любых аварийных ситуаций, которые могут влиять на результат(ы) испытаний;
k) неопределенность полученных результатов.
(справочное)
ПРЕЦИЗИОННОСТЬ И НЕОПРЕДЕЛЕННОСТЬ
Была проведена оценка методики, аналогичной методике анализа, приведенной в настоящем стандарте. Прецизионность, относящаяся к аналитической процедуре, должна быть в пределах +/- 10% при массовой концентрации аналита не менее 1 мкг/мл. При массовой концентрации не более 0,5 мкг/мл прецизионность при повторных анализах некоторых карбонильных соединений может увеличиться до 25%.
В ходе круговых испытаний
[11],
[23],
[24] была проведена оценка метода с использованием картриджей с силикагелем (с размером частиц от 55 до 105 мкм) с нанесенным ДНФГ, аналогичного методу, установленному в настоящем стандарте. Результаты проведенной оценки, приведенные ниже, могут быть использованы для оценивания эффективности использования данного метода для анализа воздуха замкнутых помещений.
Две различные лаборатории использовали картриджи для проведения более 1500 измерений содержания формальдегида и других карбонильных соединений в воздухе окружающей среды в рамках программы исследований, проводимой в 14 городах США
[23],
[24]. Прецизионность 45 повторных вводов градуировочного раствора ДНФГ-производного формальдегида в систему ВЭЖХ в течение 2 мес, выраженная как относительное стандартное отклонение, составила 0,85%. По результатам трехкратного анализа каждой из 12 идентичных проб картриджей с нанесенным ДНФГ были получены значения содержания формальдегида, которые согласуются между собой в пределах относительного стандартного отклонения 10,9%.
В круговых испытаниях принимали участие 16 лабораторий США, Канады и Европы. При этих испытаниях был проведен анализ 250 картриджей с холостыми пробами, трех наборов по 30 картриджей с тремя значениями содержания вводимых ДНФГ-производных и 13 серий картриджей, экспонированных в среде с выхлопными газами автомобилей
[11],
[23],
[24]. Картриджи, соответствующие требованиям
4.2, были подготовлены одной лабораторией. Все пробы были случайным образом распределены между лабораториями, участвующими в круговых испытаниях. Результаты круговых испытаний обобщены и приведены в таблице A.1.
Примечание - В ходе круговых испытаний не применялась стандартизованная методика анализа методом ВЭЖХ. Участники испытаний использовали те методики, основанные на ВЭЖХ, которые они используют на практике в своих лабораториях.
Таблица A.1
Результаты круговых испытаний
Тип пробы | Формальдегид | Ацетальдегид | Пропионовый альдегид | Бензальдегид |
Картриджи с холостой пробой: | | | | |
альдегид, мкг | 0,13 | 0,18 | 0,12 | 0,06 |
CV, % | 46 | 70 | 47 | 44 |
n | 33 | 33 | 23 | 8 |
| | | | |
степень извлечения, % (CV, %) | | | | |
низкий | 89,0 (6,02) | 92,6 (13,8) | 106,7 (32,6) | 114,7 (36,1) |
средний | 97,2 (3,56) | 97,8 (7,98) | 100,9 (13,2) | 123,5 (10,4) |
высокий | 97,5 (2,15) | 102,2 (6,93) | 100,1 (6,77) | 120,0 (8,21) |
n | 12 | 13 | 12 | 14 |
Пробы воздуха окружающей среды с выхлопными газами автомобилей: | | | | |
альдегид, мг | 5,93 | 7,99 | 0,52 | 0,29 |
CV, % | 12,6 | 16,5 | 26,4 | 19,4 |
n | 31 | 32 | 32 | 17 |
Примечание - В исследованиях принимали участие 16 лабораторий. Значения были получены на основе ряда данных после удаления из него резко отличающихся значений. Обозначения, принятые в таблице: CV - относительное стандартное отклонение; n - число измерений. <a> Низкий, средний и высокий уровни содержания введенного в картридж альдегида составляли приблизительно 0,5; 5 и 10 мкг соответственно. |
Абсолютная величина разности, выраженная в процентах, между результатами двух серий измерений (отбор проб из одного и того же места), проведенных по исследовательской программе США в 1988 г., составила для формальдегида 11,8% (
n = 405), ацетальдегида - 14,5% (
n = 386) и ацетона - 16,7% (
n = 346)
[23],
[24]. В результате анализа парных проб, отобранных в рамках данной программы и проанализированных различными лабораториями, относительное стандартное отклонение составило 0,07, коэффициент корреляции - 0,98, неопределенность - минус 0,05 для формальдегида
[23]. Соответствующие значения для ацетальдегида составили 0,12; 0,95 и минус 0,50, а для ацетона - 0,15; 0,95 и минус 0,54
[24]. Анализ картриджей после введения в них ДНФГ, проводимый одной лабораторией в течение года, показал, что средняя неопределенность составила 6,2% для формальдегида
(n = 14) и 13,8% для ацетальдегида
(n = 13). Анализ 30 картриджей после введения в них ДНФГ, проводимый одной лабораторией в рамках данной программы, показал, что средняя неопределенность составила 1,0% (в диапазоне от минус 49% до плюс 28%) для формальдегида и 5,1% (в диапазоне от минус 38% до минус 39%) для ацетальдегида.
(справочное)
ТОЧКИ ПЛАВЛЕНИЯ ДНФГ-ПРОИЗВОДНЫХ КАРБОНИЛЬНЫХ СОЕДИНЕНИЙ
Таблица B.1
Точки плавления ДНФГ-производных карбонильных соединений
Наименование карбонильного соединения | Точка плавления <a> ДНФГ-производного [17], °C |
Ацетальдегид | От 152 до 153 включ. (168,5 [25], 168 [26]) |
Ацетон | От 125 до 127 включ. (128 [25], 128 [26]) |
Бензальдегид | От 240 до 242 включ. (235 [26]) |
Масляный альдегид | От 119 до 120 включ. (122 [26]) |
Кротоновый альдегид | От 191 до 192 включ. (190 [26]) |
2,5-диметилбензальдегид | От 216,5 до 219,5 включ. |
Формальдегид | |
Гексанальдегид | От 106 до 107 включ. |
Изовалеральдегид | От 121,5 до 123,5 включ. |
Пропионовый альдегид | От 144 до 145 включ. (155 [26]) |
о-Толуиловый альдегид | От 193 до 194 включ. (от 193 до 194 [26]) |
м-Толуиловый альдегид | |
п-Толуиловый альдегид | От 234 до 236 включ. (234 [26]) |
Валеральдегид | От 108 до 108,5 включ. (98 [26]) |
<a> Точки плавления определены для американского управления по охране окружающей среды независимой аттестованной лабораторией, Radian International, Остин, Техас. Опубликованные справочные значения приведены в круглых скобках. |
(справочное)
СВЕДЕНИЯ О СООТВЕТСТВИИ ССЫЛОЧНЫХ МЕЖДУНАРОДНЫХ СТАНДАРТОВ
МЕЖГОСУДАРСТВЕННЫМ СТАНДАРТАМ
Таблица ДА.1
Обозначение ссылочного международного стандарта | Степень соответствия | Обозначение и наименование соответствующего межгосударственного стандарта |
ISO/IEC 17025:2005 | IDT | |
Примечание - В настоящей таблице использовано следующее условное обозначение степени соответствия стандарта: - IDT - идентичный стандарт. |
| ISO 8655-2 | Piston-operated volumetric apparatus - Part 2: Piston pipettes (Устройства мерные, приводимые в действие поршнем. Часть 2. Пипетки, приводимые в действие поршнем) |
| ISO 12219-1 | Indoor air - Road vehicles - Part 1: Whole vehicle test chamber - Specification and method for the determination of volatile organic compounds in car interiors |
[3] | ISO 12219-2 | Indoor air of road vehicles - Part 2: Screening method for the determination of the emissions of volatile organic compounds from vehicle interior parts and materials - Bag method |
[4] | ISO 12219-3 | Indoor air of road vehicles - Part 3: Screening method for the determination of the emissions of volatile organic compounds from vehicle interior parts and materials - Micro-chamber method |
[5] | ISO 12219-4 | Indoor air of road vehicles - Part 4: Determination of the emissions of volatile organic compounds from car trim components - Small chamber method (Воздух внутреннего пространства автотранспортных средств. Часть 4. Метод определения выделений летучих органических соединений материалами внутренней отделки и деталей салона. Метод с применением небольшой камеры) |
| | Indoor air of road vehicles - Part 5: Screening method for the determination of emissions of volatile organic compounds (VOC) from car trim components - Static chamber method (Воздух внутреннего пространства автотранспортных средств. Часть 5. Скрининговый метод для определения выделения летучих органических соединений материалами внутренней отделки и деталей салона. Метод с применением стационарной камеры) |
| ISO 16017-1 | Indoor, ambient and workplace air - Sampling and analysis of volatile organic compounds by sorbent tube/thermal desorption/capillary gas chromatography - Part 1: Pumped sampling |
| ISO 16017-2 | Indoor, ambient and workplace air - Sampling and analysis of volatile organic compounds by sorbent tube/thermal desorption/capillary gas chromatography - Part 2: Diffusive sampling |
| ISO/IEC Guide 98-3 | Uncertainty of measurement - Part 3: Guide to the expression of uncertainty in measurement (GUM:1995) |
| EN 1232 | Workplace atmospheres - Pumps for personal sampling of chemical agents - Requirements and test methods |
| ASTM D5197-09e 1 | Standard test method for determination of formaldehyde and other carbonyl compounds in air (active sampler methodology) |
| | Compendium Method TO-11A, Determination of formaldehyde in ambient air using adsorbent cartridge followed by high performance liquid chromatography (HPLC) [active sampling methodology]. Cincinnati, OH: US Environmental Protection Agency, 1999. 56 p. (EPA-625/R-96-010b.) Available (viewed 2011-03-16) at: http://www.epa.qov/ttnamti1/files/ambient/airtox/to-11ar.pdf |
| VDI 3862, Sheet 2 | Gaseous emission measurement - Measurement of aliphatic and aromatic aldehydes and ketones by DNPH method - Impinger method (Чистота воздуха. Измерение содержания алифатических и ароматических альдегидов и кетонов методом с использованием ДНФГ. Метод с использованием импинджера) |
| VDI 3862 Sheet 3 | Gaseous emission measurement - Measurement of aliphatic and aromatic aldehydes and ketones by DNPH method - Cartridges method (Чистота воздуха. Измерение содержания алифатических и ароматических альдегидов и кетонов методом с использованием ДНФГ. Метод с использованием картриджа) |
| Air quality guidelines for Europe, 2nd edition. Copenhagen: WHO Regional Office for Europe, 2000. 273 p. (WHO Regional Publications: European Series No. 91.) Revised values see: www.who.dk/envhlth/pdf/airqual.pdf. See also: Air quality guidelines. Global update 2005. Particulate matter, ozone, nitrogen dioxide and sulfur dioxide. Copenhagen: WHO Regional Office for Europe, 2006 |
| Tejada S.B. Evaluation of silica gel cartridges coated in situ with acidified 2,4-dinitrophenylhydrazine for sampling aldehydes and ketones in air. Int. J. Environ. Anal. Chem. 1986, 26, pp. 167 - 185 |
| Grosjean D. Ambient levels of formaldehyde, acetaldehyde, and formic acid in southern California: Results of a one-year base-line study. Environ. Sci. Technol. 1991, 25, pp. 710 - 715 |
| Clark W.L., Biller W.F., Tejada S.B., Siegl W.O., Rosenhamer D., Newkirk M.S., Crowley R.J. Round robin analysis of alcohol and carbonyl synthetic exhaust samples. SAE Trans. 1994, 103, pp. 1123 - 1129 |
| Sirju A.P., Shepson P.B. Laboratory and field investigation of the DNPH cartridge technique for the measurement of atmospheric carbonyl compounds. Environ. Sci. Technol. 1995, 29, pp. 384 - 392 |
| Arnts R.R., Tejada S.B. 2,4-Dinitrophenylhydrazine - coated silica gel cartridge method for determination of formaldehyde in air: Identification of an ozone interference. Environ. Sci. Technol. 1989, 23, pp. 1428 - 1430 |
| Merrill Jr. R.G., Dayton D-P., O'Hara P.L., Jongleux R.F. Effects of ozone removal on the measurement of carbonyl compounds in ambient air: Field experience using Method TO-11. In: Measurement of toxic and related air pollutants, Vol. 1, pp. 51 - 60. Pittsburgh, PA: Air & Waste Management Association, 1991 (Publication VIP-21) |
| Kleindienst T.E., Corse E.W., Blanchard F.T., Lonneman W.A. Evaluation of the performance of DNPH-coated silica gel and C18 cartridges in the measurement of formaldehyde in the presence and absence of ozone. Environ. Sci. Technol. 1998, 32, pp. 124 - 130 |
| McAllister R.A., Epperson D.L., Jongleux R.F. 1989 Urban air toxics monitoring program: Aldehyde results, Research Triangle Park, NC: US Environmental Protection Agency, 1991. 157 p. (USEPA Report No. 450/4-91/006.) Available (viewed 2011-03-16) at: http://nepis.epa.qov/Exe/ZyPURL.cqi?Dockey=2000NEHB.txt |
| Radian Corp. 1990 Urban air toxics monitoring program: Carbonyl results. Research Triangle Park, NC: US Environmental Protection Agency, 1991. 131 p. (US EPA Report No. 450/4-91/025.) Available (viewed 2011-03-16) at: http://nepis.epa.qov/Exe/ZyPURL.cqi?Dockey=2000NFVF.txt |
| Haynes W.M., editor. CRC handbook of chemistry and physics, 91st edition. Boca Raton, FL: CRC Press, 2010. 2610 p. |
| Becker H.G.O., Beckert R. Organikum: Organisch-chemisches Grundpraktikum [Organicum: Basic course in organic chemistry], 22nd edition. Weinheim: Wiley-VCH, 2004. 852 p. |
--------------------------------