Главная // Актуальные документы // ГОСТ (Государственный стандарт)СПРАВКА
Источник публикации
М.: Стандартинформ, 2017
Примечание к документу
Документ включен в
Перечень международных и региональных (межгосударственных) стандартов, а в случае их отсутствия - национальных (государственных) стандартов, содержащих правила и методы исследований (испытаний) и измерений, в том числе правила отбора образцов, необходимые для применения и исполнения требований технического
регламента Таможенного союза "О требованиях к автомобильному и авиационному бензину, дизельному и судовому топливу, топливу для реактивных двигателей и мазуту" (ТР ТС 013/2011) и осуществления оценки соответствия объектов технического регулирования (
Решение Коллегии Евразийской экономической комиссии от 15.08.2023 N 114).
Документ
введен в действие с 1 июля 2018 года.
Название документа
"ГОСТ ISO 14596-2016. Межгосударственный стандарт. Нефтепродукты. Определение содержания серы методом рентгенофлуоресцентной спектрометрии с дисперсией по длине волны"
(введен в действие Приказом Росстандарта от 04.04.2017 N 246-ст)
"ГОСТ ISO 14596-2016. Межгосударственный стандарт. Нефтепродукты. Определение содержания серы методом рентгенофлуоресцентной спектрометрии с дисперсией по длине волны"
(введен в действие Приказом Росстандарта от 04.04.2017 N 246-ст)
агентства по техническому
регулированию и метрологии
от 4 апреля 2017 г. N 246-ст
МЕЖГОСУДАРСТВЕННЫЙ СТАНДАРТ
НЕФТЕПРОДУКТЫ
ОПРЕДЕЛЕНИЕ СОДЕРЖАНИЯ СЕРЫ МЕТОДОМ РЕНТГЕНОФЛУОРЕСЦЕНТНОЙ
СПЕКТРОМЕТРИИ С ДИСПЕРСИЕЙ ПО ДЛИНЕ ВОЛНЫ
Petroleum products. Determination of sulfur
content by method of wavelength-dispersive
X-ray fluorescence spectrometry
(ISO 14596:2007, Petroleum products - Determination
of sulfur content - Wavelength-dispersive
X-ray fluorescence spectrometry, IDT)
ГОСТ ISO 14596-2016
Дата введения
1 июля 2018 года
Цели, основные принципы и основной порядок проведения работ по межгосударственной стандартизации установлены в
ГОСТ 1.0-2015 "Межгосударственная система стандартизации. Основные положения" и
ГОСТ 1.2-2015 "Межгосударственная система стандартизации. Стандарты межгосударственные, правила и рекомендации по межгосударственной стандартизации. Правила разработки, принятия, обновления и отмены"
1 ПОДГОТОВЛЕН Межгосударственным техническим комитетом по стандартизации МТК 31 "Нефтяные топлива и смазочные материалы", Открытым акционерным обществом "Всероссийский научно-исследовательский институт по переработке нефти" (ОАО "ВНИИ НП") на основе собственного перевода на русский язык англоязычной версии международного стандарта, указанного в
пункте 5
2 ВНЕСЕН Федеральным агентством по техническому регулированию и метрологии
3 ПРИНЯТ Межгосударственным советом по стандартизации, метрологии и сертификации (протокол от 22 ноября 2016 г. N 93-П)
За принятие проголосовали:
Краткое наименование страны по МК (ИСО 3166) 004-97 | Код страны по МК (ИСО 3166) 004-97 | Сокращенное наименование национального органа по стандартизации |
Армения | AM | Минэкономики Республики Армения |
Беларусь | BY | Госстандарт Республики Беларусь |
Киргизия | KG | Кыргызстандарт |
Россия | RU | Росстандарт |
Таджикистан | TJ | Таджикстандарт |
Узбекистан | UZ | Узстандарт |
4
Приказом Федерального агентства по техническому регулированию и метрологии от 4 апреля 2017 г. N 246-ст межгосударственный стандарт ГОСТ ISO 14596-2016 введен в действие в качестве национального стандарта Российской Федерации с 1 июля 2018 г.
5 Настоящий стандарт идентичен международному стандарту ISO 14596:2007 "Нефтепродукты. Определение содержания серы. Рентгенофлуоресцентная спектрометрия с дисперсией по длине волны" ("Petroleum products - Determination of sulfur content - Wavelength-dispersive X-ray fluorescence spectrometry", IDT).
Стандарт разработан техническим комитетом ISO/TC 28, Petroleum products and lubricants (Нефтепродукты и смазочные материалы).
Наименование настоящего стандарта изменено относительно наименования указанного международного стандарта для приведения в соответствие с ГОСТ 1.5
(подраздел 3.6).
При применении настоящего стандарта рекомендуется использовать вместо ссылочных международных стандартов соответствующие им межгосударственные стандарты, сведения о которых приведены в дополнительном
приложении ДА
6 ВВЕДЕН ВПЕРВЫЕ
Информация об изменениях к настоящему стандарту публикуется в ежегодном информационном указателе "Национальные стандарты", а текст изменений и поправок - в ежемесячном информационном указателе "Национальные стандарты". В случае пересмотра (замены) или отмены настоящего стандарта соответствующее уведомление будет опубликовано в ежемесячном информационном указателе "Национальные стандарты". Соответствующая информация, уведомление и тексты размещаются также в информационной системе общего пользования - на официальном сайте Федерального агентства по техническому регулированию и метрологии в сети Интернет (www.gost.ru)
Предупреждение - Применение настоящего стандарта связано с использованием опасных веществ, процедур и оборудования. Настоящий стандарт не ставит своей целью решить все вопросы безопасности, связанные с его использованием. Пользователь настоящего стандарта несет ответственность за установление соответствующих мер безопасности и охраны здоровья персонала и определяет целесообразность применения законодательных ограничений перед применением настоящего стандарта.
Настоящий стандарт устанавливает метод определения содержания серы в диапазоне от 0,001% масс. до 2,500% масс. в жидких нефтепродуктах, присадках к нефтепродуктам, полутвердых и твердых нефтепродуктах, которые переходят в жидкое состояние при умеренном нагревании или растворяются в органических растворителях (см.
4.1) с незначительным или точно известным содержанием серы. Более высокое содержание серы можно определить с помощью разбавления. При соблюдении настоящего метода другие элементы, содержащиеся в предполагаемой концентрации в образце, не влияют на результат данного анализа.
Примечание 1 - В настоящем стандарте термин "% масс." используют для обозначения массовой доли вещества.
Высокие содержания фосфора или хлора (обычно выше 3% масс.) могут вызвать отклонения в результате анализа за счет разного поглощения

и

. В этих случаях необходимо провести исследование для определения значимости потенциальных помех.
При наличии больших количеств молибдена (обычно свыше 50 мг/кг и до 100 мг/кг) может возникнуть повышенное фоновое излучение и спектральное перекрытие с сигналом серы. В этих случаях необходимо тщательно изучить спектральные области, например исследовать значимость этого потенциального источника помех.
В настоящем стандарте использованы нормативные ссылки на следующие международные стандарты:
ISO 3170, Petroleum liquids - Manual sampling (Жидкие нефтепродукты. Ручной отбор проб)
ISO 3171, Petroleum liquids - Automatic pipeline sampling (Жидкие нефтепродукты. Автоматический отбор проб из трубопровода)
Навеску образца для испытания и раствор циркония в качестве внутреннего стандарта смешивают в заданном массовом соотношении, помещают в кювету для образца и подвергают первичному излучению рентгеновской трубки.
Измеряют скорости счета импульсов от

флуоресценции при длине волны 0,5373 нм, от

флуоресценции при длине волны 0,6070 нм и скорость счета импульсов фонового излучения при длине волны 0,545 нм и вычисляют отношение результирующих скоростей счета. Содержание серы в образце определяют по калибровочной кривой, полученной на основе калибровочных стандартных растворов серы.
Примечание 2 - В настоящем стандарте используют обозначение рентгеновской линии по Сигбану

; рентгеновскую линию по системе IUPAC обозначают S K-L
2,3.
4.1 Белое масло (легкое парафиновое масло) высокой степени чистоты с содержанием серы не более 1 мг/кг.
4.2 Образцы с известным с точностью до 0,01% масс. содержанием серы, используемые для приготовления первичных стандартных растворов.
Можно использовать соединения, приведенные в 4.2.1 -
4.2.3, номинальные значения содержания серы в них приведены ниже. Если чистота этих соединений менее 99%, то необходимо применять сертифицированные материалы или должна быть точно известна природа всех примесей и их содержание с точностью до 0,01% масс.
4.2.1 Дибензотиофен (DBT) с номинальным содержанием серы 17,399% масс.
4.2.2 Дибутилсульфид (DBS) с номинальным содержанием серы 21,915% масс.
4.2.3 Тионафтен (бензотиофен) (TNA) с номинальным содержанием серы 23,890% масс.
4.3 Сертифицированные эталонные вещества с известным содержанием серы. Используют вещества от национального органа по стандартизации или от аккредитованного поставщика.
Раствор октоата циркония с содержанием циркония в диапазоне от 12% масс. до 18% масс. или другое маслорастворимое соединение циркония, не содержащее серу, растворенное в белом масле
(4.1), с массовой долей циркония в том же диапазоне.
Растворяют раствор циркония A
(4.4) в белом масле
(4.1) для получения содержания циркония примерно 1% масс.
5.1 Рентгенофлуоресцентный спектрометр (WDXRF) с дисперсией по длине волны
Можно использовать любой рентгенофлуоресцентный спектрометр WDXRF, соответствующий требованиям, приведенным в таблице 1. Устанавливают и настраивают спектрометр в соответствии с инструкциями изготовителя.
Таблица 1
Общие требования к спектрометру
Компонент | Требование |
Анод | Родий, скандий или хром |
| 30 - 50 |
| 30 - 70 |
Коллиматор | Крупнозернистый |
Кристалл-анализатор | Германий, пентаэритрит или графит |
Оптический контур | Гелий |
Окошко кюветы | Пленка из полиэфира или полипропилена толщиной 2 - 6 мкм, не содержащая серу |
Детектор | Газовый проточно-пропорциональный счетчик с высокоамплитудным анализатором |
<A> Можно использовать системы с малой мощностью, если подтверждено соответствие требованиям, приведенным в 8.3 и разделе 12. |
5.2 Аналитические весы
Аналитические весы, обеспечивающие взвешивание с точностью до 0,1 мг.
Гомогенизатор, не вызывающий аэрацию, с высокой скоростью сдвига или магнитная нагреваемая мешалка или ультразвуковой смеситель.
Колбы конической формы с узким горлом вместимостью 50 см
3, изготовленные из боросиликатного стекла, с притертыми пробками. Для исходных растворов используют колбы

вместимости (см.
7.2).
6.1 Если нет других указаний, пробы отбирают по процедурам, приведенным в ISO 3170 и ISO 3171.
6.2 Испытуемый образец отбирают от пробы после ее тщательного перемешивания и деления. Вязкие образцы нагревают до температуры, при которой образец переходит в жидкое состояние и, при необходимости, гомогенизируют с помощью гомогенизатора
(5.3).
Примечание 3 - В настоящем стандарте термин "образец" включает в себя также растворы, приготовленные из присадок, полутвердых и твердых нефтепродуктов, предварительно нагретых и/или разбавленных.
7.1 Общие положения
Для приготовления исходных растворов серы соответствующего диапазона используют сертифицированные эталонные материалы (см.
4.3), или первичные стандартные растворы, приготовленные из соединений серы (см.
4.2), растворенных в белом масле.
7.2 Приготовление исходных растворов
Для приготовления исходных растворов с содержанием серы приблизительно 2,50% масс. и 0,10% масс., вычисляемым с точностью до 0,001% масс., взвешивают определенное количество соединения серы по
4.2 или сертифицированного эталонного материала по
4.3 с точностью до 0,1 мг и растворяют его в белом масле при температуре окружающей среды. Тщательно перемешивают содержимое гомогенизатором
(5.3).
Для приготовления исходных растворов к 100 г белого масла добавляют соединение серы приблизительно в следующем количестве:
DBT
(4.2.1): 16,75 г (2,50% масс.) и 0,50 г (0,10% масс.);
DBS
(4.2.2): 12,85 г (2,50% масс.) и 0,45 г (0,10% масс.);
TNA
(4.2.3): 11,65 г (2,50% масс.) и 0,40 г (0,10% масс.).
Для перемешивания содержимого колбы используют магнитную мешалку или перемешивающее устройство с покрытием из стекла или из политетрафторэтилена.
Вычисляют точное содержание серы wS,2 (% масс.) с точностью до третьего десятичного знака по количеству белого масла и используемого соединения серы по формуле (1)

, (1)
где mC - масса соединения серы, г;
wS,1 - содержание серы в серосодержащем соединении, % масс.;
mo - масса белого масла, г.
7.3 Приготовление стандартных растворов
7.3.1 Диапазон высоких концентраций (0,1% масс. - 2,5% масс.)
Готовят приблизительно по 25 г стандартных растворов с содержанием серы приблизительно 2,0% масс.; 1,5% масс.; 1,0% масс.; 0,7% масс. и 0,4% масс. Для этого в колбы вместимостью 50 см
3 (5.4) взвешивают соответствующее количество исходного раствора с содержанием серы 2,5% масс. с точностью до 0,1 мг. Добавляют белое масло
(4.1) таким образом, чтобы масса раствора была приблизительно 25 г и снова взвешивают с точностью до 0,1 мг. Вычисляют содержание серы в стандартном растворе
wS,3 с точностью до 0,001% масс. по формуле (2)

, (2)
где m2 - масса колбы с исходным раствором, г;
m1 - масса колбы, г;
wS,2 - содержание серы в исходном растворе, % масс.;
m3 - масса колбы с исходным раствором и белым маслом, г.
7.3.2 Диапазон низких концентраций (0,001% масс. - 0,1% масс.)
Стандартные растворы с содержанием серы приблизительно 0,075% масс.; 0,05% масс.; 0,025% масс.; 0,010% масс.; 0,005% масс. и 0,001% масс. готовят аналогично процедуре по
7.3.1, используя исходный раствор с содержанием серы 0,10% масс.
(7.2). Вычисляют содержание серы по
формуле (2) с точностью до 0,0001% масс.
7.4 Приготовление калибровочных растворов
7.4.1 Диапазон высоких концентраций (0,1% масс. - 2,5% масс.)
Взвешивают в отдельные колбы
(5.4) по (20,00 +/- 0,01) г стандартных растворов по
7.3.1 и двух исходных растворов по
7.2 и добавляют по (5,00 +/- 0,01) г раствора циркония A. Тщательно перемешивают содержимое колб гомогенизатором
(5.3) при температуре окружающей среды от 18 °C до 28 °C.
7.4.2 Диапазон низких концентраций (0,001% масс. - 0,1% масс.)
Взвешивают в отдельные колбы по (20,00 +/- 0,01) г исходного раствора с низким содержанием серы
(7.2) и стандартных растворов
(7.3.2) и добавляют по (2,00 +/- 0,01) г раствора циркония B
(4.5). Тщательно перемешивают гомогенизатором
(5.3) при температуре окружающей среды от 18 °C до 28 °C.
7.5 Хранение стандартных растворов
Хранят сертифицированные эталонные стандарты в соответствии с инструкциями сертифицирующей организации и используют в пределах установленного срока годности.
Хранят стандартные растворы, приготовленные из белого масла и соединений серы, в темных склянках с притертыми пробками в прохладном темном месте.
Примечание 4 - Срок хранения приготовленных стандартных растворов в вышеуказанных условиях - не более 6 месяцев.
8.1 Общие положения
После установки и проверки спектрометра
(5.1) тщательно продувают оптический контур гелием.
8.2 Калибровочная кривая для диапазона высоких концентраций (0,1% масс. - 2,5% масс.)
Переносят каждый калибровочный раствор
(7.4.1) в кювету для образца в порядке возрастания содержания серы и помещают в спектрометр для воздействия первичного облучения.
Измеряют скорости счета импульсов
IS и
IZr флуоресцентного излучения, испускаемого

(0,5373 нм) и

(0,6070 нм).
Вычисляют соотношение суммарного счета импульсов R по формуле (3)

, (3)
где R - соотношение суммарного счета импульсов для соответствующего определения;
IS - скорость счета импульсов

флуоресценции при длине волны 0,5373 нм;
IZr - скорость счета импульсов

флуоресценции при длине волны 0,6070 нм.
Для построения калибровочной кривой на графике откладывают соотношение счета импульсов R в зависимости от содержания серы в калибровочном растворе; калибровочную кривую рассчитывают и сохраняют с использованием линейной модели по формуле (4)
R(x) = a + bx, (4)
где R(x) - соотношение суммарного счета импульсов, вычисленных компьютером с помощью регрессии для содержания серы x;
a, b - параметры, вычисленные с помощью регрессии;
x - содержание серы в соответствующем калибровочном растворе, % масс.
Вычисление регрессии можно выполнять отдельно или с помощью вычислительного устройства спектрометра.
8.3 Калибровочная кривая для диапазона низких концентраций (0,0010% масс. - 0,1% масс.)
Для калибровочных растворов диапазона низких концентраций
(7.4.2) проводят испытание по
8.2 и измеряют фоновое излучение
IB при 0,545 нм, т.к. окошко кюветы для образца ослабляет флуоресцентное излучение (см.
таблицу 1). Для испытаний калибровочных растворов и нефтепродуктов с низким содержанием серы
(9.2) используют тонкую пленку толщиной приблизительно 2 мкм (полиэфир) или приблизительно 4 мкм (полипропилен). Установка спектрометра должна быть такой, чтобы в течение всего периода измерения для линии

считывалось не менее 50000 одиночных импульсов.
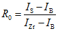
Вычисляют чистое соотношение счета импульсов R0 по формуле (5)

, (5)
где R0 - чистое соотношение результирующего счета импульсов соответствующего определения;
IS - скорость счета импульсов

флуоресценции при длине волны 0,5373 м;
IB - скорость счета импульсов фонового излучения при длине волны 0,545 нм;
IZr - скорость счета импульсов

флуоресценции при длине волны 0,6070 нм.
Для построения калибровочной кривой наносят на график значение чистого соотношения счета импульсов в зависимости от соответствующего содержания серы в калибровочном растворе; затем вычисляют калибровочную кривую и сохраняют в виде линейной модели по формуле (6)
R0(x) = a + bx, (6)
где R0(x) - чистое соотношение результирующего счета импульсов, вычисленного компьютером из расчета регрессии для содержания серы x;
a, b - параметры из расчета регрессии;
x - содержание серы в соответствующем калибровочном растворе, % масс.
Вычисление регрессии можно выполнять самостоятельно или с помощью вычислительного устройства спектрометра.
8.4 Проверка
Перед проведением измерений (калибровки и/или измерения) следует ежедневно проверять правильность работы спектрометра по спецификациям изготовителя для обеспечения оптимального режима работы и соответствующего наивысшего качества измерений.
Примечание 5 - Многие современные системы WDXRF используют мониторинг и коррекцию дрейфа показаний, чтобы гарантировать выдачу системой точных показаний на протяжении длительного времени без проведения повторной калибровки.
Проверки рабочих характеристик спектрометра должны проводиться регулярно, поскольку они дают ценную информацию о стабильности показаний спектрометра.
Регулярно не реже одного раза в 3 мес при обычном использовании проверяют не менее двух точек на калибровочных кривых с использованием образцов контроля качества с известным содержанием серы. При использовании новой партии пленки сразу проводят проверку. Если результат проверки отличается более чем на 0,71 от воспроизводимости метода, установленного в настоящем стандарте (см.
12.2), выполняют повторную калибровку.
Рекомендуется провести анализ контрольной карты.
При испытании некоторых продуктов, таких как нефтяные остатки, бывает необходимо изменить условия, приведенные в 9.2 и
9.3, т.е. повысить максимальную температуру от 100 °C до 120 °C для обеспечения гомогенности образца. Это изменение должно быть указано в протоколе испытаний
[раздел 13, перечисление e)].
9.2 Образцы с содержанием серы от 0,1% масс. до 2,5% масс.
Взвешивают (20,00 +/- 0,01) г анализируемого образца (см.
примечание в разделе 6) в колбу
(5.4) и добавляют (5,00 +/- 0,01) г раствора циркония A
(4.4). Тщательно гомогенизируют, при необходимости нагревают образец до температуры не выше 80 °C. После охлаждения образца до температуры 18 °C - 28 °C, проводят процедуры по
8.2 и вычисляют соотношение суммарного счета импульсов
R.
9.3 Образцы с содержанием серы от 0,0010% масс. до 0,1% масс.
Взвешивают (20,00 +/- 0,01) г анализируемого образца (см.
примечание 3 в разделе 6) в колбу
(5.4) и добавляют (2,00 +/- 0,01) г раствора циркония B
(4.5). Тщательно гомогенизируют, при необходимости нагревают образец до температуры не выше 80 °C. После охлаждения образца до температуры 18 °C - 28 °C проводят процедуры по
8.3 и вычисляют чистое соотношение результирующего счета
R0.
Определяют содержание серы по калибровочным кривым, построенным по
8.2 или
8.3. При содержании серы более 2,5% масс. образец разбавляют белым маслом и повторяют процедуру по
9.2.
Примечание 6 - Многие современные приборы содержат микропроцессор, который сохраняет калибровочную кривую и обеспечивает снятие цифровых значений.
11 Оформление результатов
Записывают содержание серы в диапазоне от 0,0010% масс. до 0,0099% масс., округляя с точностью до 0,0001% масс.; при содержании серы в диапазоне от 0,010% масс. до 0,0999% масс. - с точностью до 0,0001% масс. и при содержании серы в диапазоне от 0,10% масс. до 2,50% масс. - с точностью до 0,01% масс.
12.1 Повторяемость
Расхождение результатов двух испытаний, полученных одним и тем же оператором на одной и той же аппаратуре при постоянных рабочих условиях на идентичном испытуемом материале в течение длительного времени при нормальном и правильном выполнении метода, может превышать значения, указанные в
таблице 2, только в одном случае из 20.
Расхождение результатов двух единичных и независимых испытаний, полученных разными операторами, работающими в разных лабораториях, на идентичном испытуемом материале в течение длительного времени при нормальном и правильном выполнении метода, может превышать значения, указанные в таблице 2, только в одном случае из 20.
Таблица 2
Показатели прецизионности
Содержание серы, % масс. | Повторяемость (сходимость) r | Воспроизводимость R |
0,0010 - 0,0029 | 0,0003 | 0,0005 |
0,0030 - 0,0049 | 0,0006 | 0,0010 |
0,0050 - 0,0099 | 0,0010 | 0,0020 |
0,010 - 0,0299 | 0,002 | 0,003 |
0,030 - 0,0499 | 0,003 | 0,005 |
0,050 - 0,0999 | 0,005 | 0,010 |
0,10 - 0,99 | 0,01 | 0,02 |
1,00 - 2,50 | 0,02 | 0,04 |
Протокол испытаний должен содержать:
a) обозначение настоящего стандарта;
b) тип и идентификацию испытуемого продукта;
c) используемую процедуру отбора проб (см.
раздел 6);
e) отклонение от установленной процедуры (см.
9.1);
f) дату проведения испытаний.
(справочное)
СВЕДЕНИЯ О СООТВЕТСТВИИ ССЫЛОЧНЫХ МЕЖДУНАРОДНЫХ
СТАНДАРТОВ ССЫЛОЧНЫМ МЕЖГОСУДАРСТВЕННЫМ СТАНДАРТАМ
Таблица ДА.1
Обозначение ссылочного международного стандарта | Степень соответствия | Обозначение и наименование соответствующего межгосударственного стандарта |
ISO 3170:2004 | NEQ | |
ISO 3171:1988 | - | |
<*> Соответствующий межгосударственный стандарт отсутствует. До его принятия рекомендуется использовать перевод на русский язык данного международного стандарта. Примечание - В настоящей таблице использовано следующее условное обозначение степени соответствия стандартов: - NEQ - неэквивалентные стандарты. |