Главная // Актуальные документы // ГОСТ (Государственный стандарт)
СПРАВКА
Источник публикации
М.: Стандартинформ, 2017
Примечание к документу
Документ введен в действие с 01.09.2017.
Название документа
"ГОСТ IEC 60027-7-2016. Межгосударственный стандарт. Обозначения буквенные, применяемые в электротехнике. Часть 7. Производство, передача и распространение электроэнергии"
(введен в действие Приказом Росстандарта от 11.04.2017 N 268-ст)

"ГОСТ IEC 60027-7-2016. Межгосударственный стандарт. Обозначения буквенные, применяемые в электротехнике. Часть 7. Производство, передача и распространение электроэнергии"
(введен в действие Приказом Росстандарта от 11.04.2017 N 268-ст)


Содержание


Введен в действие
Приказом Федерального агентства
по техническому регулированию
и метрологии
от 11 апреля 2017 г. N 268-ст
МЕЖГОСУДАРСТВЕННЫЙ СТАНДАРТ
ОБОЗНАЧЕНИЯ БУКВЕННЫЕ, ПРИМЕНЯЕМЫЕ В ЭЛЕКТРОТЕХНИКЕ
ЧАСТЬ 7
ПРОИЗВОДСТВО, ПЕРЕДАЧА И РАСПРОСТРАНЕНИЕ ЭЛЕКТРОЭНЕРГИИ
Letter symbols to be used in electrical technology. Part 7.
Power generation, transmission and distribution
(IEC 60027-7:2010, IDT)
ГОСТ IEC 60027-7-2016
МКС 01.060
Дата введения
1 сентября 2017 года
Предисловие
Цели, основные принципы и основной порядок проведения работ по межгосударственной стандартизации установлены в ГОСТ 1.0-2015 "Межгосударственная система стандартизации. Основные положения" и ГОСТ 1.2-2015 "Межгосударственная система стандартизации. Стандарты межгосударственные, правила и рекомендации по межгосударственной стандартизации. Правила разработки, принятия, обновления и отмены"
Сведения о стандарте
1 ПОДГОТОВЛЕН Акционерным обществом "Всероссийский научно-исследовательский институт сертификации" (АО "ВНИИС") на основе собственного перевода на русский язык англоязычной версии стандарта, указанного в пункте 5
2 ВНЕСЕН Федеральным агентством по техническому регулированию и метрологии
3 ПРИНЯТ Межгосударственным советом по стандартизации, метрологии и сертификации (протокол от 27 сентября 2016 г. N 91-П)
За принятие проголосовали:
Краткое наименование страны по МК (ИСО 3166) 004-97
Код страны по МК (ИСО 3166) 004-97
Сокращенное наименование национального органа по стандартизации
Армения
AM
Минэкономики Республики Армения
Беларусь
BY
Госстандарт Республики Беларусь
Киргизия
KG
Кыргызстандарт
Россия
RU
Росстандарт
Казахстан
KZ
Госстандарт Республики Казахстан
4 Приказом Федерального агентства по техническому регулированию и метрологии от 11 апреля 2017 г. N 268-ст межгосударственный стандарт ГОСТ IEC 60027-7-2016 введен в действие в качестве национального стандарта Российской Федерации с 1 сентября 2017 г.
5 Настоящий стандарт идентичен международному стандарту IEC 60027-7:2010 "Обозначения буквенные, применяемые в электротехнике. Часть 7. Производство, передача и распределение электроэнергии" ("Letter symbols to be used in electrical technology - Part 7: Power generation, transmission and distribution", IDT).
При применении настоящего стандарта рекомендуется использовать вместо ссылочных международных стандартов соответствующие им межгосударственные стандарты, сведения о которых приведены в дополнительном приложении ДА
6 ВВЕДЕН ВПЕРВЫЕ
Информация об изменениях к настоящему стандарту публикуется в ежегодном информационном указателе "Национальные стандарты" (по состоянию на 1 января текущего года), а текст изменений и поправок - в ежемесячном информационном указателе "Национальные стандарты". В случае пересмотра (замены) или отмены настоящего стандарта соответствующее уведомление будет опубликовано в ежемесячном информационном указателе "Национальные стандарты". Соответствующая информация, уведомление и тексты размещаются также в информационной системе общего пользования - на официальном сайте Федерального агентства по техническому регулированию и метрологии в сети Интернет (www.gost.ru)
1 Область применения
Настоящий стандарт применим к производству, передаче и распространению электроэнергии. В нем приведены наименования и буквенные обозначения величин и единиц. В дополнение предоставляются правила указания множественных подстрочных обозначений и их порядок.
Настоящий стандарт является дополнением к IEC 60027-1. Таким образом, буквенные обозначения, уже приведенные в IEC 60027-1, повторяются, только если они имеют особое значение в области производства, передачи и распространения электроэнергии или если они используются в этой области со специальными подстрочными обозначениями.
Руководство по использованию строчных и прописных букв приводится в IEC 60027-1, 2.1, руководство по представлению сложных величин дано в IEC 60027-1, 1.6. Следовательно, во многих случаях указано U вместо , .
2 Нормативные ссылки
Для применения настоящего стандарта необходимы следующие ссылочные документы. Для датированных ссылок применяют только указанное издание ссылочного документа, для недатированных ссылок применяют последнее издание ссылочного документа (включая все его изменения).
IEC 60027-1-1:1992, Letter symbols to be used in electrical technology - Part 1: General (Буквенные обозначения, применяемые в электротехнике. Часть 1. Общая)
Поправка 1: 1997;
Поправка 2: 2005
IEC 60027-2:2005, Letter symbols to be used in electrical technology - Part 2: Telecommunications and electronics (Обозначения буквенные, применяемые в электротехнике. Часть 2. Электросвязь и электроника)
IEC 60038:2009, IEC standard voltages (Напряжения стандартные по МЭК)
IEC 60050-121:1998, International Electrotechnical Vocabulary - Part 121: Electromagnetism (Международный электротехнический словарь. Часть 121. Электромагнетизм)
Поправка 1 (2002)
IEC 60050-131:2002, International Electrotechnical Vocabulary - Part 131: Circuit theory (Международный электротехнический словарь. Часть 131. Теория цепей)
Поправка 1 (2008)
IEC 60050-141:2004, International Electrotechnical Vocabulary - Part 141: Polyphase systems and circuits (Международный электротехнический словарь. Часть 141. Многофазные системы и цепи)
IEC 60050-151:2001, International Electrotechnical Vocabulary - Part 151: Electrical and magnetic devices (Международный электротехнический словарь. Часть 151. Электрические и магнитные устройства)
IEC 60050-195:1998, International Electrotechnical Vocabulary - Part 195: Earthing and protection against electric shock (Международный электротехнический словарь. Часть 195. Заземление и защита от электрического удара)
Поправка 1 (1998)
IEC 60050-411:1996, International Electrotechnical Vocabulary - Chapter 411: Rotating machines (Международный электротехнический словарь. Глава 411. Вращающиеся машины)
Поправка 1 (2007)
IEC 60050-421:1990 International electrotechnical vocabulary - Chapter 421: power transformers and reactors (Международный электротехнический словарь. Глава 421. Силовые трансформаторы и реакторы)
IEC 60050-441:1984, International Electrotechnical Vocabulary - Chapter 441: Switchgear, controlgear and fuses (Международный электротехнический словарь. Глава 441. Коммутационная аппаратура, аппаратура управления и предохранители)
Поправка 1 (2000)
IEC 60050-442:1998, International Electrotechnical Vocabulary - Part 442: Electrical accessories (Международный электротехнический словарь. Глава 442. Электрические аксессуары)
IEC 60050-448:1995, International Electrotechnical Vocabulary - Chapter 448: Power system protection (Международный электротехнический словарь. Глава 448. Защита энергетических систем)
IEC 60050-466:1990, International electrotechnical vocabulary - Chapter 466: Overhead lines (Международный электротехнический словарь. Глава 466. Воздушные линии передачи)
IEC 60050-601:1985, International Electrotechnical Vocabulary - Chapter 601: Generation, transmission and distribution of electricity. General (Международный электротехнический словарь. Глава 601. Производство, передача и распределение электроэнергии. Общие положения)
Поправка 1 (1998)
IEC 60050-603:1986, International Electrotechnical Vocabulary - Part 603: Chapter 603: Generation, transmission and distribution of electricity. Power system planning and management (Международный электротехнический словарь. Глава 603. Производство, передача и распределение электроэнергии. Планирование развития и управление работой энергетических систем)
Поправка 1 (1998)
IEC 60050-811:1991, International electrotechnical vocabulary - Chapter 811: Electric traction (Международный электротехнический словарь. Глава 811. Тяга электрическая)
IEC 60909-0:2001, Short-circuit currents in three-phase a.c. systems - Part 0: Calculation of currents (Токи короткого замыкания в системах трехфазного переменного тока. Часть 0. Расчет токов)
IEC/TR 60909-1:2002, Short-circuit currents in three-phase a.c. systems - Part 1. Factors for the calculation of short-circuit currents according to IEC 60909-0 (Токи короткого замыкания в трехфазных системах переменного тока. Часть 1. Коэффициенты для расчета токов короткого замыкания в соответствии с IEC 60909-0)
IEC/TR 60909-2:2008, Short-circuit currents in three-phase a.c. systems - Part 2: Data of electrical equipment for short-circuit current calculations (Токи короткого замыкания в трехфазных системах переменного тока. Часть 2. Электрооборудование. Данные для расчетов тока короткого замыкания)
IEC/TR 60909-3:2003, Short-circuit currents in three-phase a.c. systems - Part 3: Currents during two separate simultaneous line-to-earth short circuits and partial short-circuit currents flowing through earth (Токи короткого замыкания в трехфазных системах переменного тока. Часть 3. Токи во время двух одновременных раздельных однофазных коротких замыканий (фаза - земля) и ответвленные токи короткого замыкания на землю)
IEC 62428:2008, Electric power engineering - Modal components in three-phase a.c. systems - Quantities and transformations (Электроэнергетическая техника. Модальные компоненты трехфазных систем переменного тока. Количества и преобразования)
IEC 80000-6:2008, Quantities and units - Part 6: Electromagnetism (Величины и единицы. Часть 6. Электромагнетизм)
3 Буквенные обозначения для постоянного тока, трехфазного постоянного тока и прочих показателей сети
Таблица 1
Номер
Величины
Единицы
IEV <*> и/или IEC (IEC)
Наименование величины
Основное обозначение
Резервное обозначение
Примечания
Единица измерения, связанная с СИ
Примечания
Наименование
Обозначение
101
Емкостное сопротивление фазы относительно земли
CLi
CLiE
i = 1, 2, 3 в трехфазных сетях переменного тока
Фарад
F
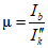
102
Емкостное сопротивление фазы
CLiLk
CLik
i, k = 1, 2, 3, i /= k в трехфазных сетях переменного тока
103
131-14-29
60027-2
Гибридная матрица
H
Названия и обозначения элементов приведены в IEC 60027-2
Единица, Ом, сименс
1, , S
104
Электрический ток
I
Основной символ I используется в трехфазных системах переменного тока, если все три тока одинаковы или примерно одинаковы
Ампер
A
105
441-17-06
441-17-07
60909-0
Номинальный ток отключения, ток отключения
Ib
Ia
Ток первого выключающего полюса коммутационного устройства (выключателя) или ток перегорания
Ампер
A
106
Емкостной ток зарядки
IC
, где - угловая частота, C - емкость прямой последовательности и Un - номинальное напряжение для трехфазной линии переменного тока
Ампер
A
107
Емкостной ток короткого замыкания на землю
ICe
ICe - емкостной единичный ток короткого замыкания на землю в сети с изолированной нейтралью
Ампер
A
108
131-11-22
Постоянный ток
Id
IDC
Среднее значение, например, в случае линии постоянного тока.
Для классификатора DC см.
IEC 60050-151, 151-15-02
Ампер
A
109
442-01-23
Короткое замыкание на землю
Ie
Ампер
A
110
Ток возбуждения (активизации)
IF
If
Ток в обмотке ротора механизма
Ампер
A
111
Ток возбуждения без нагрузки
I0F
If0
Ампер
A
112
60909-0
Установившийся ток короткого замыкания в месте короткого замыкания
Ik
Ik3
Установившийся ток короткого замыкания - это эффективное (среднее квадратичное) значение от трехфазного тока короткого замыкания в месте короткого замыкания в системе, который остается после окончания переходного процесса. Токи короткого замыкания с подстрочным значением k в заземленных или заземленных через небольшое сопротивление сетях.
(IEV 601-02-25, IEV 601-02-26)
Ампер
A
113
60909-1
Переходный ток короткого замыкания в месте короткого замыкания
114
60909-0
Сверхпереходный ток короткого замыкания в месте короткого замыкания
Начальное значение симметричного сверхпереходного тока K3 в месте K3 - это среднее квадратическое от части переменного тока возможного трехфазного тока K3
Ампер
A
115
121-11-13 MOD
Ток тяговой линии
ILi
i = 1, 2, 3 в трехфазных сетях переменного тока
Ампер
A
116
411-48-16
60909-0
Ток при заторможенном роторе
ILR
Ian
ILR - наивысшее эффективное значение тока асинхронного электродвигателя с заторможенным ротором в наиболее неблагоприятной позиции питаемого номинальным напряжением и частотой вращения ротора
Ампер
A
117
Ток намагничивания
Im
Ip
Im - ток намагничивания механизма, реактора, трансформера и т.д.
IEC 60027-1, таблица 6, параграф m, mag
Ампер
A
118
60909-0
Ударный ток короткого замыкания в месте короткого замыкания
ip3
Ударный ток K3 - это наибольшее мгновенное значение предполагаемого трехфазного тока K3
Ампер
A
119
Допустимый длительный ток термической стойкости
Iper
Id
Ампер
A
120
411-48-23 MOD
Ударный ток короткого замыкания генератора
ipG
Максимальное значение, достигаемое током в обмотке ротора через полцикла после того, как обмотка неожиданно замкнулась накоротко, когда условия являются таковыми, что начальное значение любого непериодического компонента тока максимально
Ампер
A
121
421-04-05
Номинальный ток
Ir
Номинальный ток, заданный изготовителем электрического оборудования для генератора, мотора, трансформатора, реактора и т.д. Если необходима дополнительная информация - см. 6.3
Ампер
A
122
Номинальный ток трансформатора тока
IrCT
Ампер
A
123
411-54-07
Номинальный ток возбуждения
IrF
Ifr
Ампер
A
124
60909-0
Номинальный ток генератора
IrG
Ампер
A
125
Остаточный ток замыкания на землю
Irsd
IRest
Ток в месте повреждения резонансной заземленной сети (см. IEV <*> 601-02-27)
Ампер
A
126
60909-0
Номинальный ток высоковольтной стороны трансформатора
IrTHV
Используйте IrTMV или IrTLV, соответственно, для средневольтной и низковольтной стороны
Ампер
A
127
448-11-30
Ток включения
Irush
Ток включения трансформатора
Ампер
A
128
Номинальный ток обмотки
IrW, Irw
Обмотка трансформатора с высоковольтной стороны (W) или низковольтной стороны (w). В случае трехобмоточного трансформатора см. пункт 253
Ампер
A
129
60909-0
Термический эквивалент тока короткого замыкания
Ith
Эффективное значение тока, имеющего такой же термический эффект и ту же длительность, что и ток короткого замыкания, который может содержать постоянную составляющую и может убывать во времени
,
где - это переходный ток короткого замыкания в месте короткого замыкания (пункт 113), m - это фактор термального эффекта периодической составляющей в токе короткого замыкания (пункт 229) и n - фактор термального эффекта переменной составляющей в токе короткого замыкания (пункт 232)
Ампер
A
130
Токи в терминалах трехфазных трансформаторов переменного тока с двумя обмотками
IU, IV, IW
Обозначения для высоковольтной стороны: U, V, W
Ампер
A
Iu, Iv, Iw
Обозначения для низковольтной стороны: u, v, w
131
Токи в терминалах третичной обмотки трехфазных трансформаторов переменного тока
Ix, Iy, Iz
Обозначения x, y, z необходимо использовать в случае, если обмотка трансформатора в соединении треугольником
Ампер
A
132
Ток в обмотке
IWi, Iwi
i = 1, 2, 3 в трехфазных системах переменного тока
Например, индекс W для высоковольтной стороны и индекс w для низковольтной стороны (см. пункт 252)
Ампер
A
133
Ток гармонической составляющей
Iv
v = (2), 3, (4), 5, ... /= 1; fv = vf
Ампер
A
134
131-11-42
Активная мощность
P
В трехфазных сетях переменного тока с симметричными напряжением и токами:
Ватт
W
В практике больше используются kW или MW
135
Источник питания переменного тока
Pd
PDC
Pd = UdId,
где Ud - линейное напряжение линии переменного тока (пункт 149) и Id - постоянный ток в том же месте (пункт 108)
Ватт
W
136
121-12-11
Потери в диэлектрике
Pdiel
Ватт
W
137
421-06-03
Полная потеря нагрузки в обмотке трансформатора при номинальном токе
PkrT
В случае двухобмоточного трехфазного трансформатора одна сторона коротко замкнута и другая сторона питается номинальным током этой стороны основного отвода
Ватт
W
138
Волновое сопротивление линии
Pnat
Волновое сопротивление трехфазной линии переменного тока в случае с Un
,
где Un - номинальная величина линейного напряжения (пункт 159) и ZW = ZW1 - волновое сопротивление линии в положительно-последовательной системе (пункт 186)
Ватт
W
139
Номинальная механическая мощность двигателя
PrM
Для трехфазного асинхронного двигателя:
,
где UrM - номинальное напряжение, IrM - номинальный ток, - разность фаз и - эффективность двигателя
Ватт
W
140
131-11-43
80000-6, 6-61
Неактивная мощность
Q~, Q'
,
где S - полная мощность (пункт 142) и P - активная мощность (пункт 134)
Вольт-ампер
VA
141
131-11-44
Реактивная мощность
Q
Должно быть использовано только в трехфазных сетях переменного тока с симметричным синусоидальным напряжением и токами:
,
где S - полная мощность (пункт 142) и разность фаз с за начальную фазу напряжения и за начальную фазу тока (IEC 80000-6, 6-48)
Вольт-ампер
VA
В практике чаще используются наименования var, kvar, Mvar
142
131-11-41
Полная мощность
S
В симметричной трехфазной сети переменного тока:
,
где U - линейное напряжение (пункт 147) и I - линейный ток (пункт 104)
Вольт-ампер
VA
В практике чаще используются наименования kvar, MVA
143
601-01-14
60909-0
Мощность короткого замыкания
Полная мощность короткого замыкания в симметричных трехфазных системах переменного тока определяется как:
,
где Un - номинальное межфазное напряжение (пункт 159) и - сверхпереходный ток короткого замыкания (пункт 114)
Вольт-ампер
VA
В практике чаще используются наименования MVA
144
60909-0
Мощность короткого замыкания в трехфазных питающих сетях переменного тока в точке соединения Q
,
где UnQ - номинальное межфазное напряжение и - сверхпереходный ток короткого замыкания в точке соединения Q
Вольт-ампер
VA
В практике чаще используются наименования MVA
145
Номинальная полная мощность
Sr
Примеры для электрического оборудования: SrG, SrT (см. подстрочные индексы в 6.3)
Вольт-ампер
VA
В практике чаще используются наименования kvar, MVA
146
62428
Матрица перехода
T
TS - матрица перехода для симметричных компонентов в ненормализованной форме (см. пункт 256)
Единица
1
147
121-11-27
Напряжение, электрическое напряжение
U
U является общим символом, без дальнейших указаний: линейное напряжение
Вольт
V
148
195-05-11
Напряжение прикосновения
UB
Вольт
V
149
Постоянное напряжение, напряжение постоянного тока
Ud
UDC
Среднее значение, например в случае вставки постоянного тока.
Для определения обозначения DC см. IEC 60050, 151-15-02
Вольт
V
150
60909-3
Разность потенциалов заземления
UE
Вольт
V
151
Напряжение возбуждения, напряжение индуктора
UF
Uf
Напряжение в обмотке механизма
Вольт
V
152
411-54-06
Номинальное значение потолочного напряжения
UFmax
Ufmax
Вольт
V
153
195-05-03
Напряжение линейного проводника
ULi
ULiE
i = 1, 2, 3 в трехфазных сетях переменного тока
Вольт
V
154
195-05-01
141-03-06
Линейное напряжение
ULiLk
ULik
i, k = 1, 2, 3 с i /= k в трехфазных сетях переменного тока
Вольт
V
155
195-05-02
Напряжение фаза-нейтраль
ULin
i = 1, 2, 3 в трехфазных сетях переменного тока с нейтральным кондуктором (низковольтные сети)
Вольт
V
156
421-09-01
60038
Наивысшее напряжение оборудования
Um
Наивысшее эффективное значение линейного напряжения, постоянно допустимое для оборудования
Вольт
V
157
601-01-23
601-01-24
Наивысшее и наименьшее напряжение сети
Umax
Umin
UNmax
UNmin
IEV. Наивысшее и наименьшее напряжение сети
Вольт
V
158
601-01-32
Нулевая точка или нулевой провод проводника относительно земли
UNE
IEV. Напряжение смещения нейтрали
Вольт
V
159
442-01-04
601-01-21
Номинальное напряжение сети
Номинальное напряжение системы
Номинальное напряжение линии
Un
Номинальное напряжение сети всегда линейное
Вольт
V
160
411-49-01
Синхронная электродвижущая сила
UP
Up
Напряжение, которое будет сгенерировано в обмотке ротора при разомкнутой цепи, в отсутствие насыщения потоком, соответствующим току возбуждения для рассматриваемых условий
Вольт
V
161
442-01-03
Номинальное напряжение
Ur
Линейное напряжение электрического оборудования, генератора, двигателя, трансформатора, реактора и т.д. При необходимости с дополнительным индексом из 6.3
Вольт
V
162
411-54-08
Номинальное напряжение возбуждения
UrF
Ufr
См. 6.6
Вольт
V
163
421-04-01
Номинальное напряжение обмотки
UrW
Urw
Вольт
V
164
195-05-12
Напряжение шага, ступенчатое напряжение
US
UStep
Вольт
V
165
131-12-22
Напряжение источника питания
Us
Uq
Вольт
V
166
411-49-13
Переходная ЭДС по продольной оси
Вольт
V
167
411-49-14
Переходная ЭДС по поперечной оси
Вольт
V
168
411-19-11
Сверхпереходная ЭДС по продольной оси
Вольт
V
169
411-19-12
Сверхпереходная ЭДС по поперечной оси
Вольт
V
170
411-50-07
Синхронное реактивное сопротивление по продольной оси
Xd
Ом
171
411-50-08
Синхронное реактивное сопротивление по поперечной оси
Xq
Ом
172
411-50-09
Переходное сопротивление по продольной оси
Ом
173
411-50-10
Переходное сопротивление по поперечной оси
Ом
174
411-50-11
60909-0
Сверхпереходное сопротивление по продольной оси
- эффективное сопротивление синхронного механизма в момент трехфазного короткого замыкания. Для вычисления токов короткого замыкания должно использоваться предельное значение 
Ом
175
411-50-12
Сверхпереходное сопротивление по поперечной оси
Ом
176
Взаимное реактивное сопротивление
Xm
Ом
177
Индуктивное собственное сопротивление
Xs
Ом
178
Реактивное сопротивление утечки
Xl
Ом
179
131-14-25
60027-2
Матрица полной проводимости
Y
A
Наименования и символы для элементов приведены в IEC 60027-2
Сименс
S
180
Проводимость системы нулевой последовательности линии передачи
Сименс на метр
S/m
181
Проводимость системы положительной последовательности линии передачи
Сименс на метр
S/m
182
Проводимость системы отрицательной последовательности линии передачи
Сименс на метр
S/m
183
131-14-24
Матрица сопротивлений
Z
Наименования и символы для элементов приведены в IEC 60027-2
Ом
184
Сверхпроводимое сопротивление генератора
ом
185
Волновое сопротивление линии в системе нулевой последовательности
ZW0
Ом
186
603-02-23
Волновое сопротивление линии в системе положительной последовательности
ZW1
ZW
Ом
187
448-11-29 MOD
Полное сопротивление нулевой последовательности линии передачи
Ом на метр
На практике обычно используется 
188
448-11-27 MOD
Полное сопротивление положительной последовательности линии передачи
Ом на метр
На практике обычно используется 
189
448-11-28 MOD
Полное сопротивление отрицательной последовательности линии передачи
Ом на метр
На практике обычно используется 
190
Угол проводимости
при 
Радиан
Rad/рад
191
Угол полного сопротивления
при 
Радиан
Rad/рад
192
Нагрузочный угол
Нагрузочный угол между и синхронной машины
Радиан
Rad/рад
193
Угол между и 
Радиан
Rad/рад
194
60909-3
Глубина проникновения в землю
Глубина проникновения в землю в случае бесконечной длины линии - это
,
где - круговая частота,
- магнитная постоянная (IEC 60050-121, 121-11-14) и
- сопротивление земли (пункт 195)
Метры
m/м
195
60909-3
Характерное сопротивление земли
Ом на метр
<*> IEV-International Electrotechnical Vocabulary - Международный электротехнический словарь.
4 Буквенные символы для обозначения пространства и времени
Таблица 2
Номер
Величины
Единицы
IEV <*> и/или IEC (IEC)
Наименование величины
Основное обозначение
Резервное обозначение
Примечания
Единица измерения, связанная с SI
Примечания
Наименование
Обозначение
196
Диаметр линейного проводника
DL
dL
Видимый диаметр скрученного многопроволочного кабеля см. в IEC 581-03-51
Метр
м
197
Расстояние
d
a
Расстояние между двумя линейными проводниками dLiLk
Метр
м
198
466-05-13 MOD
Изоляционный промежуток между фазой и землей
dLEmin
Метр
м
199
Падение напряжения линейного проводника воздушной ЛЭП
f
fmax - максимальное значение в случае горизонтального пролета между двумя башнями (падение середины пролета), см. в IEC 466-03-09
Метр
м
200
702-01-07 MOD
Собственная частота
fe
Герц
Hz
201
Инерционная постоянная
H
H = Tm/2
Секунды
с
202
Эффективная высота линейного проводника воздушной ЛЭП над землей
h
he
h = hmax - 0,7fmax
Метр
м
203
Длина линии
l
L
Воздушная линия (ЛЭП) или кабель
Метр
м
Обычно в километрах
204
Эффективное сечение
q
A
Эффективное сечение линейного проводника qL
Квадратный метр
м2
205
Радиус
r
rL
Радиус линейного проводника
Метр
м
206
60909-0
Приведенный радиус расщепленного провода
rB
,
где n - количество проводов в расщепленном проводе; rL - см. пункт 205; rT - см. пункт 207
Метр
м
207
466-10-22
466-10-23
466-10-24
Радиус проводов в расщепленной фазе
rT
Расщепленная фаза из двух проводов:
rT = a/2.
Расщепленная фаза из трех проводов:
.
Расщепленная фаза из четырех проводов:
,
где a - расстояние между двумя проводами
Метр
м
208
Расстояние между центрами тяжести поверхностей i и k
Sik
Метр
м
209
411-48-15 MOD
Предполагаемая продолжительность ускорения
TA
Продолжительность времени, которое требуется для приведения вращающихся частей механизма из состояния отдыха к номинальной скорости, если ускоряющий момент был постоянным и равным отношению номинальной активной мощности к номинальной угловой скорости
Секунда
с
210
411-48-28
Переходная постоянная времени по продольной оси при замкнутой накоротко обмотке якоря
Это относится к синхронной машине
Секунда
с
211
411-48-27
Переходная постоянная времени по продольной оси при разомкнутой обмотке якоря
Это относится к синхронной машине
Секунда
с
212
411-48-30
Сверхпереходная постоянная времени по продольной оси при замкнутой накоротко обмотке якоря
Это относится к синхронной машине
Секунда
с
213
411-48-29
Сверхпереходная постоянная времени по продольной оси при разомкнутой обмотке якоря
Это относится к синхронной машине
Секунда
с
214
411-48-26
Апериодическая постоянная времени, постоянная времени тока постоянного напряжения
Ta
TDC
Это относится к синхронной машине
Секунда
с
215
60909-0
Длительность короткого замыкания
Tk
Секунда
с
216
Электромеханическая постоянная времени
Tm
Tm = 2H,
где H - постоянная инерции (см. п. 201)
Секунда
с
217
411-48-35
Сверхпереходная постоянная времени по поперечной оси при замкнутой накоротко обмотке якоря
Это относится к синхронной машине
Секунда
с
218
60909-0
Минимальная задержка
tmin
Tk min
Это самый короткий промежуток времени между началом короткого замыкания и размыканием первого полюса для открытия переключателя
Секунда
с
219
Угловая частота собственных колебаний
, где fe соответствует п. 200
Секунда к мощности в -1
с-1
<*> IEV - International Electrotechnical Vocabulary - Международный электротехнический словарь.
5 Буквенные обозначения числовых значений и коэффициентов величин
Таблица 3
Номер
Величины
Единицы
IEV <*> и/или IEC (IEC)
Наименование величины
Основное обозначение
Резервное обозначение
Примечания
Единица измерения, связанная с SI
Примечания
Наименование
Обозначение
220
Коэффициент преломления
b
Для волны, бегущей по линии, отличается для напряжения и тока
Единица
1
221
60909-0
Коэффициент напряжения
c
Фактор эквивалентного напряжения в месте короткого замыкания
Единица
1
222
Постоянная затухания
d
Единица
1
223
Фактор повышения сопротивления эффектом близости
FP
R~ = FSFPR=
Единица
1
224
Фактор повышения сопротивления скин-эффектом
FS
R~ = FSFPR=
Единица
1
225
60909-0
Поправочный коэффициент импеданса
K
Для импеданса электрического оборудования при расчете токов короткого замыкания с эквивалентным источником напряжения в месте короткого замыкания используйте IEC 60909-0
Единица
1
226
Коэффициент перенапряжения
k
uo - подстрочный индекс "o", см. пункт 277
Ub - надстрочный индекс "b", см. пункт 335 (вместо Ub иногда используется Um)
Единица
1
227
Число линий
L
Относится к трехфазным сетям переменного тока
Единица
1
228
Число контуров
M
Относится к трехфазным сетям переменного тока
Единица
1
229
60909-0
Фактор теплового (термального) эффекта постоянного компонента тока короткого замыкания
m
Единица
1
230
Число узлов
N
Относится к трехфазным сетям переменного тока
Единица
1
231
Число проводов в расщепленной фазе
n
Относится к высоковольтным воздушным ЛЭП в трехфазных сетях переменного тока
Единица
1
232
60909-0
Фактор теплового (термального) эффекта переменного компонента тока короткого замыкания
n
Единица
1
233
60027-1
Число пар полюсов
p
Относится к синхронным и асинхронным машинам трехфазного переменного тока
Единица
1
234
131-15-32
Коэффициент рассогласования комплексного тока
Применяется к волнам, бегущим по линии
Единица
1
235
131-15-33
Коэффициент рассогласования комплексного напряжения
Применяется к волнам, бегущим по линии
Единица
1
236
60909-3
Коэффициент уменьшения
r
Применяется в случае вмешательства
Единица
1
237
Относительное сопротивление короткого замыкания в трансформаторе
rT
Это относительная величина в случае двухобмоточного трансформатора трехфазного переменного тока с опорными значениями и IrT, см. также пункт 243
Единица
1
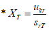
238
Относительное реактивное сопротивление короткого замыкания в трансформаторе
XT
Это относительное значение в случае двухобмоточного трансформатора трехфазного переменного тока с опорными значениями и IrT, см. также пункт 244
Единица
1
239
Относительное полное сопротивление короткого замыкания в трансформаторе
ZT
Это относительное значение в случае двухобмоточного трансформатора трехфазного переменного тока с опорными величинами и IrT, см. также пункт 242
Единица
1
240
Коэффициент усиления напряжения трансформатора
t
Единица
1
241
421-04-02
436-01-15
442-01-03
Номинальный коэффициент усиления напряжения трансформатора
trT
trT = UrTHV/UrTLV >= 1,
где UrTHV - расчетное напряжение высоковольтной стороны и UrTLV - расчетное напряжение низковольтной стороны трансформатора. Номинальный коэффициент усиления напряжения может отличаться от коэффициента трансформации (см. пункт 246)
Единица
1
242
60909-0
Номинальное напряжение короткого замыкания трансформатора
uk
В случае двухобмоточного трансформатора ukr (IEV 421-07-01) номинальная величина с опорными значениями: и IrT, см. также пункт 239, значение uk равно значению ZT
Единица
1
243
60909-0
Резистивный элемент номинального напряжения короткого замыкания трансформатора
uR
Для номинальной величины: URr, см. также пункт 237, значение UR равно значению rT
Единица
1
244
60909-0
Реактивный элемент номинального напряжения короткого замыкания трансформатора
uX
Для номинального значения: uXr см. также пункт 238, значение uX равно значению xT
Единица
1
245
Коэффициент расстройки
v
Относится к резонансным заземленным нейтральным сетям (см. в IEV 195-04-09)
Единица
1
246
Коэффициент трансформации
w
n
w = WHV/WLV
Единица
1
247
195-05-14
604-03-06
Фактор замыкания на землю
Единица
1
248
60909-0
Фактор для расчета пика тока короткого замыкания
В случае с трехфазным постоянным током короткого замыкания:
,
где ip - пик короткого замыкания (см. пункт 118) и - сверхпереходный ток короткого замыкания (см. пункт 114)
Единица
1
249
60909-0
Фактор для расчета установившегося тока короткого замыкания
Для одной синхронной машины:
, , ,
где IrG - номинальный ток и IkG - установившийся ток короткого замыкания генератора
Единица
1
250
60909-0
Фактор для расчета симметричного тока короткого замыкания
,
где Ib - ток отключения (см. пункт 105) и - сверхпереходный ток короткого замыкания (см. пункт 114)
Единица
1
<*> IEV - International Electrotechnical Vocabulary - Международный электротехнический словарь.
6 Подстрочные и надстрочные индексы
6.1 Подстрочные индексы для натуральных величин и компонентов трехфазных систем переменного тока
Таблица 4
Номер пункта
Значение
Основное обозначение
Резервное обозначение
Пример использования
Примечания
251
Линейные провода
L1, L2, L3
UL1, UL2, UL3
252
Обмотки
W1, W2, W3
IW1, IW2, IW3
Обмотки электрического оборудования, например обмотки трансформатора в дельта-связи, см. пункт 253
253
Обмотки
1W1, 1W2, 1W3
2W1, 2W2, 2W3
3W1, 3W2, 3W3
1, 2, 3 в начале обозначают HV - высоковольтную, MV - средневольтную, LV - низковольтную стороны трансформатора.
1, 2, 3 в конце обозначения значат три обмотки с трех сторон трансформатора. В случае трехфазного трансформатора переменного тока
254
Нейтраль
N
IN
Относится к низковольтным сетям
255
Источник
s
q
Us, us
256
Система прямой последовательности
1
(1)
Симметричные компоненты (IEC 62428)
(1), (2), (0) использованы в IEC 60909-0
Система обратной последовательности
2
(2)
Система нулевой последовательности
0
(0)
257
Продольная ось
d
dq0 - компоненты
258
Поперечная ось
q
259
Компонент Кларк
- компоненты
260
Компонент Кларк
261
Вектор поля
s
Вектор поля в невращающейся системе координат
262
Вектор поля
r
Вектор поля в невращающейся системе координат
263
Активный компонент
P
264
Неактивный компонент
Q
6.2 Подстрочные интервалы для рабочих условий
Таблица 5
Номер пункта
Значение
Основное обозначение
Резервное обозначение
Пример использования
Примечания
265
Основные
a...z
Используйте прописные буквы для любых рабочих условий
266
Возбужденный
a
Ia
Применимо к предохранителям
267
Разрывной
b
Ib
Ток отключения выключателя цепи. См. пункт 105
268
Короткое замыкание на землю
e
ICe
В сетях с изолированной нейтралью или дугогасящей катушкой. См. пункт 107 и также пункт 125
269
Наведенный
in
Uin
Наведенный потенциал
270
Трехфазное короткое замыкание
k
k3
Ik,
В случае трехфазного короткого замыкания дополнительный подстрочный индекс 3 не обязателен (IEC 60909-0). См. пункты 112 - 114
271
Короткое замыкание между фазой и землей
k1
IEC 60909
IEV 195-04-12
272
Междуфазное короткое замыкание
k2
IEC 60909-0
273
Междуфазное короткое замыкание с соединением на землю
k2E
- ток, текущий через землю в случае междуфазного короткого замыкания с соединением на землю (IEC 60909-0)
274
Максимум
max
m
Umax, Um
Um - максимально разрешенное постоянное напряжение электрического оборудования
275
Минимум
min
276
Номинальный
n
nom
277
Перегрузка
o
uo
Мгновенное значение электрического перенапряжения
278
Пик
p
Ip
279
Номинальный
r
280
Насыщенный
sat
Xd sat
281
Термический
th
Ith
282
Без нагрузки
0
I0M
Ток двигателя на холостом ходу
6.3 Подстрочные интервалы для электрического оборудования
Таблица 6
Номер пункта
Значение
Основное обозначение
Резервное обозначение
Пример использования
Примечания
283
Общие
A...Z
UrT2HV
Используйте прописные буквы для электрического оборудования или частей электрического оборудования
284
Асинхронный двигатель
ASM
IM
Индукционный двигатель
285
Расщепленная фаза
B
IEV 466-10-22, IEV 466-10-23, IEV 466-10-24
286
Трансформатор тока
CT
ICT
287
Генератор
G
UrG
IEV 151-13-35
288
Генератор постоянного тока
G -
289
Генератор переменного тока
G ~
290
Трехфазный генератор переменного тока
G3 ~
291
Линия передачи с газовой изоляцией
GIL
IEV 601-03-06
292
Коммутационная станция с газовой изоляцией
GIS
293
Высоковольтная линия постоянного тока
HVDC
PHVDC
IEV 601-04-01
294
Инвертор
IN
IEV 151-13-46
295
Воздушная линия, кабель
L
реактивное сопротивление на участок длины в системе позитивной последовательности:
296
Линейный провод
L1, L2, L3
IL1, IL2, IL3
297
Двигатель
M
IrM
298
Двигатель постоянного тока
M -
DCM
299
Двигатель переменного тока
M ~
ACM
300
Трехфазный двигатель переменного тока
M3 ~
301
Машина
MA
rMA
IEV 151-13-39, электрическая машина
302
Сеть
N
303
Нулевой проводник
N
В низковольтных сетях
304
Заземляющий проводник
PE
В низковольтных сетях,
IEV 195-02-09
305
Совмещенный нулевой рабочий и защитный провод
PEN
В низковольтных сетях,
IEV 195-02-12
306
Электрическая станция
PS
Фиксируемая мощность высоковольтной стороны единицы трансформатора на электрической станции IEV 603-01-01
307
Проводник заземления
Q
dQ1L1
Если существует более одного проводника заземления используйте:
Q1, Q2, ... Qn
308
Реактор
R
Re
309
Ротор
R
310
Вентиль
RF
IEV 151-13-45
311
Статор
S
Статор в электрической машине или турбине
IEV 811-14-01
312
Оболочка или экранирование
S
Sh, Si
IS1, IS2, IS3
Пример - Токи в случае трех одножильных кабелей.
313
Синхронный генератор
SG
314
Синхронный двигатель
SM
315
Синхронная машина
SMA
316
Синхронный автотрансформатор сдвига фаз
SPH
IEV 151-13-47
317
Трансформатор
T
SrT
318
Единица трансформатора
UT
BT
UrUTLV
319
Трансформатор напряжения
VT
UrVT
320
Обмотка
W
6.4 Подстрочные индексы для расположений, расчетных точек и мест повреждения
Таблица 7
Номер пункта
Значение
Основное обозначение
Резервное обозначение
Пример использования
Примечания
321
Расположения станций
A...Z
Станция A
Расположения станций или их частей
322
Земля
E
G
G - земля (обозначение США)
323
Место повреждения, место короткого замыкания
F
В случае нескольких мест повреждения F1, F2, F3, ... Fn
324
Высоковольтная сторона
HV
OS
UrTHV
325
Низковольтная сторона
LV
NS
UrTLV
326
Средневольтная сторона
MV
MS
UrTMV
327
Нейтральная точка
N
UN
IEV 601-02-22 MOD, нейтральная точка в системе полилиний
328
Точка присоединения, полюс
P
K
IEV 601-03-11, полюс оборудования
329
Точка присоединения сети
Q
Q1, Q2, Qn
Пример - Сила короткого замыкания в точке присоединения Q сети.
330
Контроль земля
RE
BE
331
Точки соединения трехфазного оборудования переменного тока
U, V, W
u, v, w
или
x, y, z
Генератор, двигатель, трансформатор, реактор и так далее в трехфазных сетях переменного тока, если необходимо с добавлениями
332
Нейтральная точка звезды
Y
UY
Общая точка двухполюсных элементов (обмоток) в соединении звездой
333
Прямая последовательность, положительная последовательность, нулевая последовательность
01
01
00
В случае симметричных компонентов соответственно пункту 256
6.5 Надстрочные индексы
Таблица 8
Номер пункта
Значение
Основное обозначение
Резервное обозначение
Пример использования
Примечания
334
Перед
a
n
335
После
b
v
Ток генератора перед коротким замыканием
336
В длину
'
337
Переходный
'
338
Сверхпереходный
"
339
Сравнительный, относительный
* Перед символом
Относительные величины используются так же как величины на единицу для сетевых расчетов
6.6 Множественные подстрочные индексы и их последовательность
Таблица 9
Номер пункта
Положение
Значение
Пункт
Примечания
340
1
Натуральные величины или модальные компоненты
U1 (система прямой последовательности)
341
2
Рабочие условия
U1k1 (во время короткого замыкания между фазой и землей)
342
3
Электрическое оборудование
U1k1T4 (в четвертом трансформаторе)
343
4
Положение
U1k1T4 HV (на высоковольтной стороне)
344
5
Дополнительное обозначение
-
<*> (наивысшее значение)
- наивысшее значение в системе прямой последовательности, во время короткого замыкания между фазой и землей, на высоковольтной стороне трансформатора номер четыре. Если необходимо, вставьте небольшие пространства между различными подстрочными индексами.
Приложение ДА
(справочное)
СВЕДЕНИЯ О СООТВЕТСТВИИ ССЫЛОЧНЫХ МЕЖДУНАРОДНЫХ СТАНДАРТОВ
МЕЖГОСУДАРСТВЕННЫМ СТАНДАРТАМ
Таблица ДА.1
Обозначение международного стандарта
Степень соответствия
Обозначение и наименование соответствующего межгосударственного стандарта
IEC 60027-1-1:1992
-
IEC 60027-2:2005
IDT
ГОСТ IEC 60027-2-2015 "Обозначения буквенные, применяемые в электронике. Часть 2. Электросвязь и электроника"
IEC 60038:2009
-
IEC 60050-121:1998
-
IEC 60050-131:2002
-
IEC 60050-141:2004
-
IEC 60050-151:2001
IDT
ГОСТ IEC 60050-151-2014 "Международный электротехнический словарь. Часть 151. Электрические и магнитные устройства"
IEC 60050-195:1998
-
IEC 60050-411:1996
IDT
ГОСТ IEC 60050-411-2015 "Международный электротехнический словарь. Часть 411. Машины вращающиеся"
IEC 60050-421:1990
-
IEC 60050-441:1984
IDT
ГОСТ IEC 60050-441-2015 "Международный электротехнический словарь. Часть 441. Аппаратура коммутационная, аппаратура управления и плавкие предохранители"
IEC 60050-442:1998
IDT
ГОСТ IEC 60050-442-2015 "Международный электротехнический словарь. Часть 442. Электрические аксессуары"
IEC 60050-448:1995
-
IEC 60050-466:1990
-
IEC 60050-601:1985
-
IEC 60050-603: 1986
-
IEC 60050-811:1991
-
IEC 60909-0:2001
NEQ
ГОСТ 28249-93 "Короткие замыкания в электроустановках. Методы расчета в электроустановках переменного тока напряжением до 1 кВ"
IEC/TR 60909-1:2002
-
IEC/TR 60909-2:2008
-
IEC/TR 60909-3:2003
-
IEC 62428:2008
-
IEC 80000-6:2008
-
<*> Соответствующий межгосударственный стандарт отсутствует.
Примечание - В настоящей таблице использованы следующие условные обозначения степени соответствия стандартов:
- IDT - идентичные стандарты;
- NEQ - неэквивалентные стандарты.
Библиография
IEC 60050 (все части), International Electrotechnical Vocabulary (Международный электротехнический словарь)
УДК 621.313.3:006.354
МКС 01.060
IDT
Ключевые слова: обозначения буквенные, электротехника, электроэнергия, производство, передача, распространение, ток, величина, оборудование