Главная // Актуальные документы // ГОСТ (Государственный стандарт)СПРАВКА
Источник публикации
М.: Стандартинформ, 2016
Примечание к документу
Документ
введен в действие с 1 марта 2017 года.
Название документа
"ГОСТ EN 15950-2016. Межгосударственный стандарт. Удобрения. Определение N-(1,2-дикарбоксиэтила)-D,L-аспаргиновой кислоты методом высокоэффективной жидкостной хроматографии"
(введен в действие Приказом Росстандарта от 08.09.2016 N 1097-ст)
"ГОСТ EN 15950-2016. Межгосударственный стандарт. Удобрения. Определение N-(1,2-дикарбоксиэтила)-D,L-аспаргиновой кислоты методом высокоэффективной жидкостной хроматографии"
(введен в действие Приказом Росстандарта от 08.09.2016 N 1097-ст)
агентства по техническому
регулированию и метрологии
от 8 сентября 2016 г. N 1097-ст
МЕЖГОСУДАРСТВЕННЫЙ СТАНДАРТ
УДОБРЕНИЯ
ОПРЕДЕЛЕНИЕ N-(1,2-ДИКАРБОКСИЭТИЛА)-D,L-АСПАРГИНОВОЙ
КИСЛОТЫ МЕТОДОМ ВЫСОКОЭФФЕКТИВНОЙ ЖИДКОСТНОЙ ХРОМАТОГРАФИИ
Fertilizers. Determination
of N-(1,2-dicarboxyethyl)-D,L-aspartic acid
using high-performance liquid chromatography
(EN 15950:2010, IDT)
ГОСТ EN 15950-2016
Дата введения
1 марта 2017 года
Цели, основные принципы и основной порядок проведения работ по межгосударственной стандартизации установлены
ГОСТ 1.0-2015 "Межгосударственная система стандартизации. Основные положения" и
ГОСТ 1.2-2015 "Межгосударственная система стандартизации. Стандарты межгосударственные, правила и рекомендации по межгосударственной стандартизации. Правила разработки, принятия, обновления и отмены"
1 ПОДГОТОВЛЕН Федеральным государственным унитарным предприятием "Всероссийский научно-исследовательский институт стандартизации материалов и технологий" (ФГУП "ВНИИ СМТ") на основе собственного перевода на русский язык англоязычной версии указанного в
пункте 5 стандарта
2 ВНЕСЕН Межгосударственным техническим комитетом по стандартизации МТК 527 "Химия"
3 ПРИНЯТ Межгосударственным советом по стандартизации, метрологии и сертификации (протокол от 29 марта 2016 г. N 86-П)
За принятие проголосовали:
Краткое наименование страны по МК (ИСО 3166) 004-97 | Код страны по МК (ИСО 3166) 004-97 | Сокращенное наименование национального органа по стандартизации |
Армения | AM | Минэкономики Республики Армения |
Беларусь | BY | Госстандарт Республики Беларусь |
Казахстан | KZ | Госстандарт Республики Казахстан |
Киргизия | KG | Кыргызстандарт |
Россия | RU | Росстандарт |
Таджикистан | TJ | Таджикстандарт |
Узбекистан | UZ | Узстандарт |
4
Приказом Федерального агентства по техническому регулированию и метрологии от 8 сентября 2016 г. N 1097-ст межгосударственный стандарт ГОСТ EN 15950-2016 введен в действие в качестве национального стандарта Российской Федерации с 1 марта 2017 г.
5 Настоящий стандарт идентичен европейскому региональному стандарту EN 15950:2010 "Удобрения. Определение N-(1,2-дикарбоксиэтила)-D,L-аспаргиновой кислоты (иминодиянтарной кислоты, IDHA) методом высокоэффективной жидкостной хроматографии (HPLC)" ("Fertilizers - Determination of N-(1,2-dicarboxyethyl)-D,L-aspartic acid (Iminodisuccinic acid, IDHA) using high-performance liquid chromatography (HPLC)", IDT).
Европейский стандарт разработан Европейским комитетом по стандартизации CEN/TC260 "Удобрения и известковые материалы".
Официальные экземпляры европейского регионального стандарта, на основе которого подготовлен настоящий межгосударственный стандарт, и европейских региональных стандартов, на которые даны ссылки, имеются в Федеральном информационном фонде технических регламентов и стандартов.
При применении настоящего стандарта рекомендуется использовать вместо ссылочных европейских региональных стандартов соответствующие им межгосударственные стандарты, сведения о которых приведены в дополнительном
приложении ДА
6 ВВЕДЕН ВПЕРВЫЕ
Информация об изменениях к настоящему стандарту публикуется в ежегодном информационном указателе "Национальные стандарты", а текст изменений и поправок - в ежемесячном информационном указателе "Национальные стандарты". В случае пересмотра (замены) или отмены настоящего стандарта соответствующее уведомление будет опубликовано в ежемесячном информационном указателе "Национальные стандарты". Соответствующая информация, уведомление и тексты размещаются также в информационной системе общего пользования - на официальном сайте Федерального агентства по техническому регулированию и метрологии в сети Интернет (www.gost.ru)
Настоящий стандарт устанавливает метод определения N-(1,2-дикарбоксиэтила)-D,L-аспаргиновой кислоты (иминодиянтарной кислоты (IDHA)) в удобрениях.
Метод применим ко всем удобрениям, содержащим IDHA как хелатообразователь, в количестве больше 0,5% (г/100 г).
В настоящем стандарте использованы ссылки на следующие стандарты. Для датированных ссылок применяют только указанное издание ссылочного документа. Для недатированных ссылок применяют последнее издание ссылочного документа (включая все его изменения).
EN 1482-2:2007 Fertilizers and liming materials - Sampling and sample preparation - Part 2: Sample preparation (Удобрения и известковые материалы. Отбор и подготовка проб. Часть 2. Подготовка проб)
EN 12944-1:1999 Fertilizers and liming materials and soil improvers - Vocabulary - Part 1: General terms (Удобрения, известковые материалы и улучшители почвы. Словарь. Часть 1. Общие термины)
EN 12944-2:1999 Fertilizers and liming materials and soil improvers - Vocabulary - Part 2: Terms relating to fertilizers (Удобрения, известковые материалы и улучшители почвы. Словарь. Часть 2. Термины, относящиеся к удобрениям)
EN ISO 3696:1995 Water for analytical laboratory use - Specification and test methods (ISO 3696:1987) (Вода для лабораторного анализа. Технические требования и методы испытаний)
В настоящем стандарте применены термины по EN 12944-1:1999 и EN 12944-2:1999.
Экстрагируют IDHA с водой и определяют с помощью ВЭЖХ с обратной фазой УФ-детектированием при 260 нм, после полного преобразования хелатообразователя в хелаты железа (III) добавлением избытка раствора нитрата железа (III) (подробную информацию см. в
разделе 8 и далее). В ВЭЖХ-хроматограмме IDHA представлена двумя основными пиками: первым, представляющим R,S-изомер (50%), и вторым, представляющим R,R- и S,S-изомеры (каждый по 25%).
Другие хелатообразователи, такие как DPTA, o,o-EDDHA или o,p-EDDHA не влияют на определение IDHA. На результат определения IDHA на некоторых видах оборудования может влиять значение EDTA, особенно с определенными колонками ВЭЖХ (см.
таблицу A.2).
Используют реактивы только известной степени чистоты.
6.1 Вода, дистиллированная или деминерализованная (степени чистоты 1 в соответствии с EN ISO 3696).
6.2 Гидросульфат тетра-n-бутиламмония (C
16H
37NO
4S) для ион-парной хроматографии.
Допускается использовать бромид или хлорид тетра-n-бутиламмония. В таких случаях необходимо устанавливать pH (см.
6.9).
6.3 Гидроксид тетра-n-бутиламмония,

.
6.4 Девятиводный нитрат железа (III), ч.д.а.
6.5 Азотная кислота,

, ч.д.а.
6.6 Соляная кислота,
c (HCl) = 1 моль/дм
3 и
c (HCl) = 0,1 моль/дм
3.
6.7 Гидроксид натрия,
c (NaOH) = 1 моль/дм
3 и
c (NaOH) = 0,1 моль/дм
3.
6.8 Буферный раствор, pH = 8,0.
Добавляют раствор бора молярной концентрацией 0,1 моль/дм3 в соляной кислоте или гидроксиде натрия до достижения pH = 8,0 в качестве борного/боратного буфера.
Примечание - Могут быть использованы готовые буферные растворы доступные на рынке. Буферный раствор не должен содержать фосфатов или хелатообразователей, таких как EDTA или другие.
В мерной колбе вместимостью 1 дм
3 растворяют 2,5 г гидросульфата тетра-n-бутиламмония
(6.2) (равно 7,36 мкмоль), 1,7 см
3 гидроксида тетра-n-бутиламмония
(6.3) и 0,04 см
3 азотной кислоты
(6.5) в воде и доводят до метки, pH данного раствора примерно 2,5.
В случаях, когда вместо гидросульфата тетра-n-бутиламмония используют бромид или хлорид тетра-n-бутиламмония, взвешивают 2,37 г или 2,05 г бромида или хлорида соответственно и доводят азотной кислотой
(6.5) приблизительно до pH 2,5.
6.10 Дериватизирующий реагент
В мерной колбе вместимостью 100 см
3 растворяют 4,4 г гидросульфата тетра-n-бутиламмония
(6.2) (равно 12,95 мкмоль) и 1,5 г девятиводного нитрата железа (III)
(6.4) в воде и доводят до метки, pH данного раствора примерно 1,5.
В случаях, когда вместо гидросульфата тетра-n-бутиламмония используют бромид или хлорид тетра-n-бутиламмония, взвешивают 4,17 г или 3,60 г бромида или хлорида соответственно и доводят азотной кислотой
(6.5) pH приблизительно до 1,5.
Лабораторное оборудование и стеклянная посуда для приготовления растворов и разбавлений.
7.1 Аналитические весы, способные взвешивать с погрешностью не более 0,1 мг.
7.2 pH-метр с электродом.
7.3 Система HPLC с детектором на диодной матрице (ДМД) или УФ-детектором.
7.4 Мембранные фильтры, микромембранные фильтры, стойкие к воздействию водных растворов, с пористостью 0,45 мкм.
8 Отбор и подготовка проб
Отбор проб не является частью метода настоящего стандарта. Рекомендуемый отбор проб представлен в
[2].
Подготовка проб должна быть проведена в соответствии с EN 1482-2.
Для измельчения образца с высоким содержанием хелатообразователей не рекомендуется использовать высокоскоростную лабораторную мельницу. Удобнее использовать ступку для измельчения образца до размера частиц менее чем 1 мм. Особое внимание необходимо уделять образцам NPK-удобрений ввиду их высокой гигроскопичности.
9.1 Параметры системы
- Аналитическая/разделительная колонка: | капиллярная кварцевая колонка с C18 или C8 обратной фазой, 5 мкм, 250 x 4,6 мм <1> |
- Длина волны детектора | 260 нм |
- Элюент | |
- Скорость потока | 0,5 см3/мин |
- Температура | постоянная от 20 °C до 40 °C |
- Время работы | 20 мин |
- Объем вводимой пробы | 20 мм3 |
--------------------------------
<1> LiChrosorb RP-18 или RP-8 5 мкм 250/4,6 мм или эквивалентный является примером подходящих, доступных к покупке продуктов. Эта информация приведена для удобства пользователей настоящего стандарта и не имеет никакого подтверждения от CEN данного продукта.
9.2 Построение графика градуировки
9.2.1 Основной раствор IDHA:

Взвешивают 338,3 мг·100/
R (где
R - это чистота тетранатриевой соли IDHA в процентах, в пересчете на 250,0 мг свободной кислоты) в стакан вместимостью 250 см
3, добавляют примерно 150 см
3 воды
(6.1) и растворяют все в ультразвуковой ванне или перемешиванием на магнитной мешалке в течение 15 мин. При использовании ультразвуковой ванны, раствор необходимо охладить до комнатной температуры перед следующим шагом.
Измеряют pH раствора. При помощи соляной кислоты
(6.6) или гидроксида натрия
(6.7) и pH-метра
(7.2) доводят pH до 8,0 +/- 0,1. Затем добавляют 20 см
3 буферного раствора
(6.8). Переносят в мерную колбу вместимостью 250 см
3, доводят объем до метки и гомогенизируют. Данный раствор должен быть использован в день его приготовления.
9.2.2 Градуировочные растворы
Объем основного раствора
(9.2.1) распределяют по шести лабораторным стаканам (вместимостью, например, 25 см
3) в соответствии с
таблицей 1, доводят объем до 10 см
3 водой
(6.1) и добавляют 3 см
3 дериватизирующего реагента
(6.10).
Гомогенизируют и фильтруют раствор при помощи микромембранных фильтров
(7.4) в виалу автодозатора.
Вводят растворы в хроматографическую систему. Строят график градуировки с помощью расчетного метода или подходящего метода вычисления на компьютере. Измеряют время удерживания и площади пиков двух изомеров IDHA для всех растворов. Рисуют график градуировки с суммой всех площадей пиков стандартных растворов по отношению к концентрации IDHA (мг/дм3) в соответствии с таблицей 1.
Таблица 1
Приготовление градуировочных растворов
Наименование параметра | Объем основного раствора, см3 | Объем воды, см3 | Содержание IDHA, мг/дм3 |
Раствор 1 | 1,00 | 9,00 | 100 |
Раствор 2 | 2,00 | 8,00 | 200 |
Раствор 3 | 4,00 | 6,00 | 400 |
Раствор 4 | 6,00 | 4,00 | 600 |
Раствор 5 | 8,00 | 2,00 | 800 |
Раствор 6 | 10,00 | 0,00 | 1000 |
9.3 Приготовление анализируемого раствора
Взвешивают количество образца, измельченного до размера частиц менее 0,25 мм с точностью до 0,1 мг в соответствии с
таблицей 2 и переносят в лабораторный стакан вместимостью 250 см
3, добавляют примерно 150 см
3 воды
(6.1) и растворяют все в ультразвуковой ванне или с помощью перемешивания на магнитной мешалке в течение 15 мин. При использовании ультразвуковой ванны, раствор необходимо охладить до комнатной температуры перед следующим шагом.
Таблица 2
Приготовление анализируемого раствора
Сумма хелатированных микроэлементов в образце, % (например, Fe, Cu, Mn, Zn, Co) | Масса части образца, г |
> 5 | 0,25 |
От 1 до 5 включ. | 1,0 |
<= 1 | 5,0 |
С помощью соляной кислоты
(6.6) или гидроксида натрия
(6.7) и pH-метра
(7.2) доводят pH раствора до 8,0 +/- 0,1. Затем добавляют 20 см
3 буферного раствора
(6.8). Переносят в мерную колбу вместимостью 250 см
3, доводят объем до метки водой
(6.1) и гомогенизируют. Фильтруют приблизительно 7 - 10 см
3 раствора с помощью микромембранных фильтров
(7.4). Данный раствор должен быть использован в день его приготовления.
Переносят 5,00 см
3 в стакан (вместимостью, например 25 см
3) и добавляют 1,5 см
3 дериватизирующего реагента
(6.10) и делают однородным. Фильтруют раствор с помощью микромембранных фильтров
(7.4) в виалу автодозатора.
В случаях, когда не применяют автодозатор, вручную вводят 20 мм3 фильтрованного раствора.
9.4 Измерения
Проводят хроматографический анализ и идентифицируют изомеры IDHA по времени удерживания наблюдаемых пиков (см.
рисунок B.2). Измеряют сумму площадей обоих пиков. Определяют концентрацию IDHA, используя график градуировки (см.
рисунок B.3).
Для обеспечения достаточной воспроизводимости концентрация IDHA в анализируемых растворах должна соответствовать пределам градуировки.
10.1 Расчет содержания IDHA в г/100 г образца
Расчет может быть выполнен вручную или с помощью компьютера, с применением параметров градуировки относительно используемого количества.
В случаях расчета с помощью компьютера и с применением количеств основного раствора по
таблице 1 концентрация IDHA в миллиграммах на кубический дециметр будет рассчитываться автоматически.
Рассчитывают массовую долю суммы R,S-, R,R- и S,S-изомеров IDHA (свободная кислота) RIDHA, г/100 г, в соответствии с формулой (1)

(1)
где A - концентрация IDHA, рассчитанная системой из калибровочного графика, мг/дм3;
E - масса образца для анализа, г.
10.2 Расчет содержания IDHA в мкмоль/100 г образца
Рассчитывают содержание IDHA

, мкмоль/100 г, в соответствии с формулой (2)

(2)
где RIDHA - массовая доля IDHA, г/100 г образца;
249,1 - молярная масса свободной кислоты IDHA.
11.1 Межлабораторные испытания
Межлабораторные испытания были проведены в 2008 г. в два этапа с участием 11 и 10 лабораторий и с использованием девяти различных образцов удобрений. Повторяемость и воспроизводимость были рассчитаны в соответствии с
[3].
Значения, полученные с помощью этих межлабораторных испытаний, не могут быть применены к концентрационным пределам и формам, которые отличаются от приведенных в
приложении A.
11.2 Повторяемость
Абсолютное расхождение между двумя результатами независимых единичных анализов, полученными одним и тем же методом на идентичных объектах испытаний в одной и той же лаборатории одним и тем же исполнителем с использованием одного и того же оборудования в течение короткого промежутка времени, будет не более чем в 5% случаев превышать значения пределов повторяемости
r, приведенные в
таблице 3.
11.3 Воспроизводимость
Абсолютное расхождение между двумя результатами независимых единичных анализов, полученными одним и тем же методом на идентичных объектах испытаний, в разных лабораториях разными исполнителями с использованием разного оборудования, будет не более чем в 5% случаев превышать значения воспроизводимости R, приведенные в таблице 3.
Таблица 3
Среднеарифметические значения,
пределы повторяемости и воспроизводимости
В процентах
Образец | | r | R |
NPK 15-10-15 | 1,77 | 0,13 | 1,11 |
NPK 10-5-15 | 2,32 | 0,27 | 1,15 |
NPK 15-15-15 | 2,03 | 0,38 | 1,56 |
NPK 15-10-20 | 2,13 | 0,12 | 1,93 |
Cu (IDHA), твердый | 40,59 | 1,91 | 9,22 |
Fe (IDHA), твердый | 37,68 | 2,79 | 16,83 |
Fe (IDHA), раствор | 11,71 | 0,86 | 2,81 |
Mn (IDHA), твердый | 41,80 | 0,96 | 5,42 |
Zn (IDHA), твердый | 40,80 | 1,51 | 11,91 |
Протокол испытаний должен содержать:
a) всю информацию, необходимую для полной идентификации образца;
b) метод анализа, используемый со ссылкой на настоящий стандарт;
c) полученные результаты анализа;
d) дату проведения отбора и подготовки проб (если известна);
e) дату окончания анализа;
f) было ли выполнено требование предела повторяемости;
g) все детали операций, не указанные в настоящем документе или рассматриваемые как дополнительные, а также сведения о любых случаях, которые имели место во время выполнения метода и которые могли повлиять на результат(ы) анализа.
(справочное)
РЕЗУЛЬТАТЫ МЕЖЛАБОРАТОРНЫХ ИСПЫТАНИЙ
Прецизионность метода была определена в 2008 г. в межлабораторных испытаниях с участием семи лабораторий и использованием трех образцов удобрений. Статистические результаты приведены в таблице A.1.
Таблица A.1
Статистические результаты межлабораторных испытаний
Наименование параметра | NPK 15-15-15 | NPK 15-10-20 | NPK 15-10-15 | NPK 10-5-15 | Cu (IDHA), твердый | Fe (IDHA), твердый | Fe (IDHA), раствор | Mn (IDHA), твердый | Zn (IDHA), твердый |
Год проведения испытаний | 2008 | 2008 | 2008 | 2008 | 2008 | 2008 | 2008 | 2008 | 2008 |
Количество задействованных лабораторий | 10 | 10 | 10 | 10 | 10 | 11 | 11 | 10 | 10 |
Количество лабораторий после исключения выбросов | 10 | 8 | 9 | 9 | 10 | 11 | 11 | 8 | 10 |
Среднеарифметическое значение, г/100 г | 2,03 | 2,13 | 1,77 | 2,32 | 40,59 | 37,68 | 11,71 | 41,80 | 40,80 |
Стандартное отклонение повторяемости Sr, г/100 г | 0,14 | 0,04 | 0,05 | 0,10 | 0,69 | 1,01 | 0,31 | 0,35 | 0,54 |
Коэффициент вариации CVr, % | 6,85 | 1,98 | 2,67 | 4,20 | 1,70 | 2,67 | 2,64 | 0,83 | 1,33 |
Предел повторяемости r (2,77Sr), г/100 г | 0,38 | 0,12 | 0,13 | 0,27 | 1,91 | 2,79 | 0,86 | 0,96 | 1,51 |
Стандартное отклонение воспроизводимости SR, % | 0,56 | 0,70 | 0,40 | 0,41 | 3,33 | 6,08 | 1,01 | 1,96 | 4,30 |
Коэффициент вариации CVR, % | 27,81 | 32,80 | 22,71 | 17,84 | 8,21 | 16,12 | 8,66 | 4,69 | 10,54 |
Предел воспроизводимости R (2,77SR), г/100 г | 1,56 | 1,93 | 1,11 | 1,15 | 9,22 | 16,83 | 2,81 | 5,42 | 11,91 |
Таблица A.2
Время удерживания IDHA-изомеров и EDTA
Лаборатория | Время удерживания |
R,S-изомер | EDTA |
01 | 7,23 | 10,69 |
02 | 7,47 | 8,18 |
03 | 13,50 | 16,55 |
04 | 12,1 | 14,3 |
05 | 7,12 | 11,32 |
06 | 10,0 | 11,1 |
07 | 7,57 | 8,85 |
09 | 11,4 | 14,3 |
10 | 10,33 | 12,05 |
(справочное)
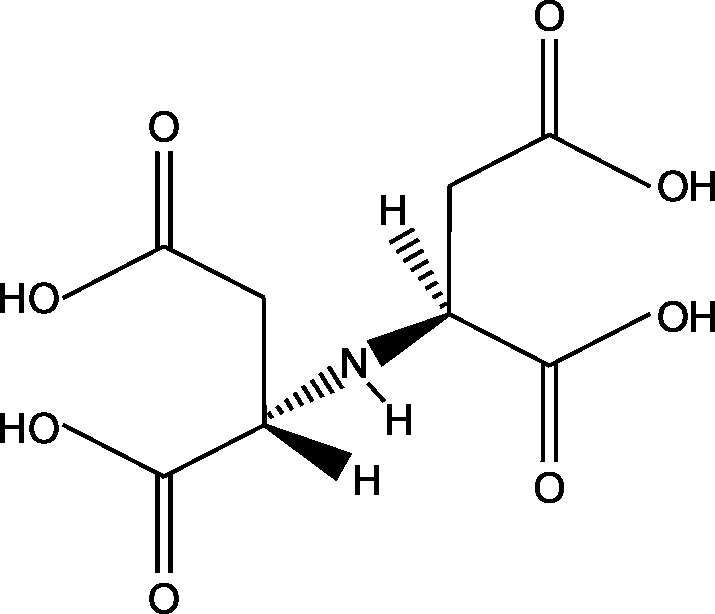
СТЕРЕОИЗОМЕРЫ IDHA, ХРОМАТОГРАММА И ГРАФИК ГРАДУИРОВКИ
a) R,S-изомер
b) S,S-изомер
c) R,R-изомер
Рисунок B.1 - Строение стереоизомеров IDHA
1 - R,S-изомер; 2 - R,R - R,S-изомеры;
3 - дериватизирующий реагент
Рисунок B.2 - Пример хроматограммы
Время удерживания может меняться в зависимости от используемого оборудования, особенно колонки. Его можно определить, используя стандартный раствор
(9.2.2).
X - концентрация (мг/дм3); Y - сумма площадей пиков·106
Рисунок B.3 - График градуировки
(справочное)
СВЕДЕНИЯ О СООТВЕТСТВИИ ССЫЛОЧНЫХ ЕВРОПЕЙСКИХ РЕГИОНАЛЬНЫХ
СТАНДАРТОВ МЕЖГОСУДАРСТВЕННЫМ СТАНДАРТАМ
Таблица ДА.1
Обозначение ссылочного европейского регионального стандарта | Степень соответствия | Обозначение и наименование соответствующего межгосударственного стандарта |
EN 1482-2:2007 | IDT | ГОСТ EN 1482-2-2013 "Удобрения и известковые материалы. Отбор проб и подготовка проб. Часть 2. Подготовка проб" |
EN 12944-1:1999 | - | |
EN 12944-2:1999 | - | |
EN ISO 3696:1995 | - | <*> |
<*> Соответствующий межгосударственный стандарт отсутствует. До его принятия рекомендуется использовать перевод на русский язык данного европейского регионального стандарта. Примечание - В настоящей таблице использовано следующее условное обозначение степени соответствия стандартов: - IDT - идентичные стандарты. |
[1] | Regulation (EC) No 2003/2003 of the European Parliament and of the Council of 13 October 2003 relating to fertilizers, Official Journal L 304, 21/11/2003. P. 0001 - 0194 and amendments [Правила (ЕС) N 2003/2003 Европейского Парламента и совета от 13 октября 2003 г., относящейся к удобрениям, официальный журнал L 304, 21/11/2003 стр. 1 - 194) и изменения] |
| EN 1482-1 | Fertilizers and liming materials - Sampling and sample preparation - Part 1: Sampling [Удобрения и известковые материалы. Отбор и подготовка проб. Часть 1. Отбор проб] |
| ISO 5725-2 | Accuracy (trueness and precision) of measurement methods and results - Part 2: Sampling [Точность (правильность и прецизионность) методов и результатов измерений. Часть 2. Отбор проб] |