Главная // Актуальные документы // ГОСТ (Государственный стандарт)СПРАВКА
Источник публикации
М.: Стандартинформ, 2016
Примечание к документу
Документ
введен в действие с 1 марта 2017 года.
Название документа
"ГОСТ EN 13368-2-2016. Межгосударственный стандарт. Удобрения. Определение хелатообразователей методом ионной хроматографии. Часть 2. Определение железа, хелатированного o,o-EDDHA, o,o-EDDHMA и HBED, методом ионной парной хроматографии"
(введен в действие Приказом Росстандарта от 27.09.2016 N 1226-ст)
"ГОСТ EN 13368-2-2016. Межгосударственный стандарт. Удобрения. Определение хелатообразователей методом ионной хроматографии. Часть 2. Определение железа, хелатированного o,o-EDDHA, o,o-EDDHMA и HBED, методом ионной парной хроматографии"
(введен в действие Приказом Росстандарта от 27.09.2016 N 1226-ст)
агентства по техническому
регулированию и метрологии
от 27 сентября 2016 г. N 1226-ст
МЕЖГОСУДАРСТВЕННЫЙ СТАНДАРТ
УДОБРЕНИЯ
ОПРЕДЕЛЕНИЕ ХЕЛАТООБРАЗОВАТЕЛЕЙ МЕТОДОМ ИОННОЙ ХРОМАТОГРАФИИ
ЧАСТЬ 2
ОПРЕДЕЛЕНИЕ ЖЕЛЕЗА, ХЕЛАТИРОВАННОГО
o,o-EDDHA, o,o-EDDHMA И HBED,
МЕТОДОМ ИОННОЙ ПАРНОЙ ХРОМАТОГРАФИИ
Fertilizers. Determination of chelating agents
in fertilizers by ion chromatography. Part 2.
Determination of the Fe chelated by o,o-EDDHA, o,o-EDDHMA
and HBED by ion pair chromatography
(EN 13368-2:2012, IDT)
ГОСТ EN 13368-2-2016
Дата введения
1 марта 2017 года
Цели, основные принципы и основной порядок проведения работ по межгосударственной стандартизации установлены в
ГОСТ 1.0-2015 "Межгосударственная система стандартизации. Основные положения" и
ГОСТ 1.2-2015 "Межгосударственная система стандартизации. Стандарты межгосударственные, правила и рекомендации по межгосударственной стандартизации. Правила разработки, принятия, обновления и отмены"
1 ПОДГОТОВЛЕН Федеральным государственным унитарным предприятием "Всероссийский научно-исследовательский институт стандартизации, материалов и технологий" (ФГУП "ВНИИ СМТ") на основе собственного перевода на русский язык англоязычной версии указанного в пункте 5 европейского регионального стандарта
2 ВНЕСЕН Межгосударственным техническим комитетом по стандартизации МТК 527 "Химия"
3 ПРИНЯТ Межгосударственным советом по стандартизации, метрологии и сертификации (протокол от 20 апреля 2016 г. N 87-П)
За принятие проголосовали:
Краткое наименование страны по МК (ИСО 3166) 004-97 | Код страны по МК (ИСО 3166) 004-97 | Сокращенное наименование национального органа по стандартизации |
Армения | AM | Минэкономики Республики Армения |
Беларусь | BY | Госстандарт Республики Беларусь |
Казахстан | KZ | Госстандарт Республики Казахстан |
Киргизия | KG | Кыргызстандарт |
Россия | RU | Росстандарт |
Таджикистан | TJ | Таджикстандарт |
Узбекистан | UZ | Узстандарт |
4
Приказом Федерального агентства по техническому регулированию и метрологии от 27 сентября 2016 г. N 1226-ст межгосударственный стандарт ГОСТ EN 13368-2-2016 введен в действие в качестве национального стандарта Российской Федерации с 1 марта 2017 г.
5 Настоящий стандарт идентичен европейскому региональному стандарту EN 13368-2:2012 "Удобрения. Определение хелатообразователей в удобрениях методом ионной хроматографии. Часть 2. Определение содержания железа, хелатированного o,o-EDDHA, o,o-EDDHMA и HBED, методом ионной парной хроматографии" ("Fertilizers - Determination of chelating agents in fertilizers by ion chromatography - Part 2: Determination of the Fe chelated by o,o-EDDHA, o,o-EDDHMA and HBED by ion pair chromatography", IDT).
Европейский региональный стандарт разработан Европейским комитетом по стандартизации CEN/TC 260 "Удобрения и известковые материалы".
При применении настоящего стандарта рекомендуется использовать вместо ссылочных европейских региональных стандартов соответствующие им межгосударственные стандарты, сведения о которых приведены в дополнительном
приложении ДА
6 ВВЕДЕН ВПЕРВЫЕ
Информация об изменениях к настоящему стандарту публикуется в ежегодном информационном указателе "Национальные стандарты", а текст изменений и поправок - в ежемесячном информационном указателе "Национальные стандарты". В случае пересмотра (замены) или отмены настоящего стандарта соответствующее уведомление будет опубликовано в ежемесячном информационном указателе "Национальные стандарты". Соответствующая информация, уведомление и тексты размещаются также в информационной системе общего пользования - на официальном сайте Федерального агентства по техническому регулированию и метрологии в сети Интернет (www.gost.ru)
Настоящий стандарт устанавливает метод хроматографического определения железа, хелатированного каждым отдельным орто(гидрокси)-орто(гидрокси) изомером хелатообразователей [o,o] EDDHA, [o,o] EDDHMA и HBED в удобрениях, содержащих одно или более этих веществ, за исключением смеси [o,o] EDDHMA и HBED. Метод позволяет идентифицировать и определить общее содержание водорастворимой части хелатов железа этих хелатообразователей. С помощью данного метода невозможно определить свободную форму хелатообразователей.
Данный метод применим к EC-удобрениям, на которые распространяется Правило (EC) N 2003/2003
[4]. Он применим для определения массовой доли металла, хелатированного не менее чем на 0,625%.
Примечания
1 Вещества EDDHA (этилендиамин-N,N'-ди[(гидроксифенил) уксусная кислота] и EDDHMA (этилендиамин-N,N'-ди[(гидроксиметилфенил) уксусная кислота] существуют в нескольких различных изомерных формах. Позиционные изомеры для гидроксильных или метильных групп (в орто-, мета- и парапозициях) такие же, как и стереоизомеры (мезо- и dl-рацемические формы). Как мезо-, так и dl-рацемические формы орто, орто-EDDHA и орто, орто-EDDHMA являются позиционными изомерами EDDHMA по отношению к гидроксильным группам. Так как пара-, мета- и ортометил позиционные изомеры EDDHMA, показывают одинаковую стабильность, они могут быть сгруппированы: в методе, описанном здесь, пара-, мета- и ортометил позиционные изомеры [
o,
o] EDDHMA рассматриваются вместе. HBED (N,N'-бис(2-гидроксибензил)-этилендиамин-N,N'-диуксусная кислота) не существует в изомерных формах.
2 В настоящее время аналитически чистые стандартные растворы существуют только для орто, орто-EDDHA, орто, орто-EDDHMA и HBED. Остальные вещества недоступны, как стандартные растворы, влияние их возможного присутствия в образцах (в отношении чувствительности и селективности данного метода) не изучено.
3 Мезо- и dl-рацемические формы [o,o] EDDHA и [o,o] EDDHMA данным методом могут быть определены раздельно.
В настоящем стандарте использованы нормативные ссылки на следующие стандарты. Для датированных ссылок применяют только указанное издание ссылочного документа. Для недатированных ссылок применяют последнее издание ссылочного документа (включая все изменения и поправки).
EN 12944-1:1999 Fertilizers and liming materials and soil improvers - Vocabulary - Part 1: General terms (Удобрения, известковые материалы и улучшители почвы. Словарь. Часть 1. Основные термины)
EN 12944-2:1999 Fertilizers and liming materials and soil improvers - Vocabulary - Part 2: General terms (Удобрения, известковые материалы и улучшители почвы. Словарь. Часть 2. Термины, относящиеся к удобрениям)
EN 1482-2:2007 Fertilizers and liming materials - Sampling and sample preparation - Part 2: Sample preparation (Удобрения и известковые материалы. Отбор и подготовка проб. Часть 2. Подготовка проб)
EN ISO 3696:1995 Water for analytical laboratory use - Specification and test methods (ISO 3696:1987) (Вода для лабораторного анализа. Технические требования и методы испытаний)
В настоящем стандарте применены термины по EN 12944-1 и EN 12944-2.
Хелаты железа разделяют и определяют изократически методом ионной парной высокоэффективной жидкостной хроматографии. При добавлении хелата железа (аниона) к полярной жидкости (элюенту), содержащей большой катион, формируется ионная пара. Неполярная твердая фаза (неподвижная фаза) удерживает эту ионную пару. Степень удерживания зависит от размера молекул и кислотности неподвижной фазы. Затем каждый хелат железа дает характерное время удерживания, зависящее от хелатообразователя, отделяющего его от других веществ, присутствующих в образце. Разделение проводят на обратной фазе кварцевой колонки с водным раствором ТВА+ (тетрабутиламмоний) и ацетонитрилом, как элюентом. Определение основано на фотометрии при длине волны 280 нм.
Примечание - Для дополнительной информации см.
[5],
[6] и
[7].
Влияющие факторы не обнаружены. Хелаты железа с HBEP, EDDHSA, EDTA, DTPA, CDTA, HEEDTA, p,p-EDDHA, o,p-EDDHA, так же как и хелатообразователи, не мешают определению, так как их отделяют от Fe-[o,o] EDDHA, Fe-[o,o] EDDHMA или Fe-HBED. Fe-[o,o] EDDHA не влияет на определение Fe-[o,o] EDDHMA или Fe-HBED. В случаях, когда в одном образце присутствуют Fe-[o,o] EDDHMA и Fe-HBED, может произойти перекрывание пиков мезоизомера Fe-[o,o] EDDHMA и Fe-HBED в зависимости от используемой колонки. Использование другой колонки того же типа может решить эту проблему.
Примечание - Полные наименования сокращений хелатообразователей, используемых в настоящем стандарте, приведены в
приложении C.
Используют реактивы только аналитической степени чистоты. Вода, используемая для приготовления элюентов, стандартных растворов и растворов образцов, должна соответствовать степени чистоты 1 по EN ISO 3696, ее следует дегазировать и очистить от органических примесей. При использовании для приготовления стандартных растворов реактивов с заявленной чистотой P менее 99% необходимо сделать поправку для получения требуемой концентрации раствора.
Если существует какое-либо сомнение в чистоте стандартного раствора, необходимо ее определить.
Примечание - Для такого определения можно использовать титриметрический метод. Основной метод с использованием автоматического титратора приведен в приложении B. Также может быть использован ручной титратор.
6.2 Натрия гидроксид, раствор
c (NaOH) = 0,1 моль/дм
3: растворяют в воде 4 г гранулированного NaOH в мерной колбе вместимостью 1 дм
3. Доводят до метки и перемешивают.
Примечание - Следует избегать попадания CO
2 из воздуха. В противном случае растворение хелатообразователей может быть неполным (см.
6.6,
6.7 и
6.8).
6.3 Кислота соляная, раствор
c (HCl) = 1 моль/дм
3: растворяют 88 см
3 соляной кислоты (35% HCl) в 1000 см
3 воды.
6.4 Кислота соляная, раствор
c (HCl) = 0,1 моль/дм
3: растворяют 50 см
3 соляной кислоты
(6.3) в 500 см
3 воды.
6.5 Железа нитрат, раствор

: растворяют 0,7594 г нонагидрата нитрата железа [Fe(NO
3)
3·9H
2O] в 100 см
3 воды. Проверяют (например, с помощью AAS), что концентрация Fe в данном растворе - (1050 +/- 30) мг/дм
3.
Примечание - Учитывая, что Fe(NO3)3·9H2O способен поглощать влагу, его добавляют в раствор с известной концентрацией.
6.6 Fe-[
o,
o] EDDHA, раствор

: растворяют 0,3221 г (см.
6.1) этилендиамин-N,N'-ди[(орто-гидроксифенил) уксусной кислоты] в 350 см
3 воды и 27 см
3 NaOH
(6.2) в лабораторном стакане вместимостью 500 см
3. Добавляют 50 см
3 раствора железа нитрата
(6.5) к раствору хелатообразователей и перемешивают в течение 5 мин.
Доводят уровень pH раствора до 7,0, используя раствор натрия гидроксида
(6.2). Оставляют раствор на ночь в темноте, чтобы произошло осаждение избытка железа в виде оксида. Фильтруют количественно через бумажный фильтр и доводят до объема 500 см
3 в мерной колбе водой. Стандартный раствор, полученный данным путем, можно хранить в темноте один год.
6.7 Fe-[
o,
o] EDDHMA, раствор

: растворяют 0,3471 г (см.
6.1) этилендиамин-N,N'-ди[(орто-гидрокси-пара-метилфенил) уксусной кислоты] в 350 см
3 воды и 27 см
3 натрия гидроксида
(6.2) в лабораторном стакане вместимостью 500 см
3. Добавляют 50 см
3 раствора железа нитрата
(6.5) к раствору хелатообразователей и перемешивают в течение 5 мин.
Доводят уровень pH раствора до 7,0, используя раствор натрия гидроксида
(6.2). Оставляют раствор на ночь в темноте, чтобы произошло осаждение избытка железа в виде оксида. Фильтруют количественно через бумажный фильтр и доводят до объема 500 см
3 в мерной колбе водой. Стандартный раствор, полученный данным путем, можно хранить в темноте один год.
6.8 Fe-HBED, раствор

: растворяют 0,3471 г (см.
6.1) N,N'-бис(2-гидроксибензил)-этилендиамин-N,N'-диуксусной кислоты (HBED) или 0,3797 г HBED·HCl, если его используют, в 350 см
3 воды и 27 см
3 натрия гидроксида
(6.2) в лабораторном стакане вместимостью 500 см
3. Добавляют 50 см
3 раствора железа нитрата
(6.5) к раствору хелатообразователей и перемешивают в течение 5 мин.
Доводят уровень pH раствора до 5,0, используя раствор соляной кислоты
(6.4) или раствор натрия гидроксида
(6.2). Оставляют раствор на ночь в темноте, чтобы произошло осаждение избытка железа в виде оксида. Фильтруют количественно через бумажный фильтр и доводят до объема 500 см
3 в мерной колбе водой. Стандартный раствор, полученный данным путем, можно хранить в темноте один год.
6.9 Элюент для определения
а) Добавляют 20 см
3 TBAOH (массовая доля 40% раствора гидроксида тетрабутиламмония в воде) к 600 см
3 воды. Доводят уровень pH до 6,0 раствором соляной кислоты (
6.3 и
6.4). Добавляют 300 см
3 ацетонитрила (степень чистоты для HPLC) и доводят водой до метки в мерной колбе вместимостью 1 дм
3. Фильтруют с помощью мембранного фильтра
[7.4, перечисление b)] пористостью 0,2 мкм и дегазируют.
Примечание - Можно использовать TBACl или TBABr при условии, что уровень pH доведут до 6,0 раствором NaOH или HCl.
Используют обычное лабораторное оборудование, посуду и следующее:
7.1 Магнитная мешалка с магнитами.
7.2 Хроматограф, оборудованный:
a) изократическим насосом, доставляющим элюент (5.8) при скорости потока 1,5 см3/мин;
b) нагнетательным клапаном с петлевым дозатором 50 мм3;
c) колонкой C18; внутренний диаметр: 3,9 мм; длина колонки: 150 мм; dp = 5 мкм <1>;
--------------------------------
<1> Колонка SYMMETRYTM C18 производства WATERS, каталожный N WAT 054205, или эквивалентная являются примерами подходящей продукции, доступной на коммерческой основе. Данная информация приведена для удобства пользователей настоящего стандарта и не свидетельствует о поддержке CEN данного продукта.
d) защитной колонкой C18 (рекомендуется использовать);
e) UV/VIS-детектором с фильтром 280 нм;
f) интегратором.
7.3 Весы, способные взвешивать с точностью до 0,1 мг.
7.4 Мембранный фильтр, включающий:
a) микромембранные фильтры, стойкие к водным растворам, пористостью 0,45 мкм;
b) микромембранные фильтры, стойкие к органическим растворам (например, микромембранные фильтры из полиамида 66), пористостью 0,2 мкм.
8 Отбор и подготовка проб
Отбор пробы не является частью метода, установленного в настоящем стандарте. Рекомендованный метод отбора пробы приведен в
[1].
Подготовку пробы проводят в соответствии с EN 1482-2.
Для измельчения образца с высоким содержанием хелатообразователей не рекомендуется использовать высокоскоростную лабораторную дробилку. Удобнее использовать ступку для измельчения образца до размера частиц менее чем 1 мм.
9.1 Приготовление раствора образца
Взвешивают с точностью до 0,1 мг 200 мг хелата железа в стакане вместимостью 250 см3. Добавляют 200 см3 воды. Перемешивают в магнитной мешалке в течение 30 мин. Доводят до метки в мерной колбе вместимостью 100 см3 водой и перемешивают.
Для образцов с содержанием хелатированного железа более 6% используют мерную колбу вместимостью 500 см3.
Жидкие образцы взвешивают в количестве, равном 200 г твердых образцов.
9.2 Приготовление градуировочных растворов
Отбирают пипеткой объем стандартного раствора Fe-[
o,
o] EDDHA
(6.6), или Fe-[
o,
o] EDDHMA
(6.7), или Fe-HBED
(6.8) V (см
3) (см. таблицу 1) в шесть мерных колб вместимостью 100 см
3. Доводят до метки водой и перемешивают.
Таблица 1
Состав градуировочных растворов
Раствор | V, см3 | Концентрация Fe в рацемическом хелате, мг/дм3 | Концентрация Fe в мезохелате, мг/дм3 | Концентрация общего Fe в хелате, мг/дм3 |
1 | 5 | 2,5 | 2,5 | 5,0 |
2 | 10 | 5,0 | 5,0 | 10,0 |
3 | 20 | 10,0 | 10,0 | 20,0 |
4 | 30 | 15,0 | 15,0 | 30,0 |
5 | 40 | 20,0 | 20,0 | 40,0 |
6 | 50 | 25,0 | 25,0 | 50,0 |
Примечания
1 Т.к. стандартные растворы хелатов должны содержать 50% мезо- и 50% dl-рацемических оптических изомеров, концентрацию общего хелата железа рассчитывают как сумму концентраций, представленных в
таблице 1.
2 Т.к. HBED не имеет оптических изомеров, используют его полные концентрации.
9.3 Хроматографический анализ
Непосредственно перед впрыском все растворы должны быть отфильтрованы с помощью мембранного фильтра
[7.4, перечисление а)] пористостью 0,45 мкм. Впрыскивают стандартный раствор (8.2) в хроматографическую систему
(7.2). Измеряют время удерживания и площади пиков двух изомеров Fe-[
o,
o] EDDHA или Fe-[
o,
o] EDDHMA (мезо- и dl-рацемический) или Fe-HBED для всех растворов. Для каждого соответствующего хелата железа строят два градуировочных графика со значениями площадей пиков стандартных растворов в зависимости от концентрации железа (мг/дм
3) в виде соответствующего изомера хелатообразователя. Для Fe-HBED нужен только один график. См.
рисунки 1 -
4.
1 - dl-рацемический Fe-[o,o] EDDHA; 2 - мезо Fe-[o,o] EDDHA;
X - время, мин
Рисунок 1 - Типичная хроматограмма стандартного раствора
Fe-[o,o] EDDHA с содержанием железа 25 мг/дм3/дм3
1 - dl-рацемический Fe-[o,o] EDDHA; 2 - мезо Fe-[o,o] EDDHA;
3 - орто-гидрокси-пара-гидрокси изомер; 4 - пара-гидрокси
пара-гидрокси изомер продукта; X - время, мин
Рисунок 2 - Типичная хроматограмма
промышленного продукта Fe-[o,o] EDDHA
1 - dl-рацемический Fe-[o,o] EDDHMA;
2 - мезо Fe-[o,o] EDDHMA; 3 и 4 - метилпозиционные изомеры
Fe-[o,o] EDDHMA; X - время, мин
Рисунок 3 - Типичная хроматограмма
промышленного продукта Fe-[o,o] EDDHMA
X - время, мин;
Y - значения спектральной поглощательной способности
Рисунок 4 - Типичная хроматограмма
промышленного образца Fe-HBED
Примечания
2 Статистически значимый отрицательный отрезок прямой может быть вызван загрязнением колонки осадком оксида железа. В этом случае колонку необходимо заменить или очистить.
Впрыскивают раствор образца
(9.1). Определяют хелатообразователь по времени удерживания полученных пиков (см.
рисунки 2,
3 и
4). Измеряют площади пиков изомеров для каждого хелатообразователя. Определяют концентрацию хелатированного железа (мг Fe/дм
3) для каждого оптического изомера, используя соответствующий градуировочный график.
На
рисунке 3 представлена типичная хроматограмма промышленного продукта, содержащего Fe-[
o,
o] EDDHMA. Помимо мезо- и dl-рацемических изомеров пара-метилорто-гидроксил Fe-[
o,
o] EDDHMA найдены два других изомера (пики 3 и 4), относящиеся к другим метилпозиционным изомерам. Поскольку они имеют похожую стабильность с пара-метилизомерами (см.
примечание 1 в разделе 1), их площадь должна быть добавлена к ближайшей (1 или 2) площади пика.
При перекрытии корректируют базовую линию в расчете (рисунок 5).
X - время, мин;
Y - значения спектральной поглощательной способности
Рисунок 5 - Пример коррекции базовой линии
10 Обработка результатов (железо в хелатах железа)
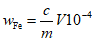
10.1 Железо, хелатированное [o,o] EDDHA или [o,o] EDDHMA
Массовую долю образца железа

, %, хелатированного [
o,
o] EDDHA или [
o,
o] EDDHMA, в удобрении вычисляют по формуле

, (1)
где crac и cm - концентрации железа в железе, хелатированном рацемическими или мезоизомерами, определяемые соответственно по градуировочным графикам, мг/дм3;
m - масса образца, взятого для анализов, г;
V - объем раствора образца
(9.1), см
3.
Если образец содержит железо, хелатированное и Fe-[o,o] EDDHA, и Fe-[o,o] EDDHMA, добавляют полученные результаты для каждого хелатообразователя.
10.2 Железо, хелатированное HBED
Массовую долю образца железа

, %, хелатированного HBED, в удобрении вычисляют по формуле

, (2)
где c - концентрация железа в железе, хелатированном HBED, определяемая по градуировочным графикам, мг/дм3;
m - масса образца, взятого для анализов, г;
V - объем раствора образца
(9.1), см
3.
11.1 Межлабораторные испытания
Межлабораторные испытания были проведены в 2003 г. 14 лабораториями на семи различных образцах (два стандартных раствора, два удобрения, содержащие [
o,
o] EDDHMA, и три удобрения, содержащие [
o,
o] EDDHA, как хелатообразователи). Результаты испытаний, приведенные в CEN/TR 15106, обобщены в
A.1. Повторяемость и воспроизводимость рассчитаны в соответствии с ISO 5725-2.
Новые межлабораторные испытания были проведены в 2010 г. 10 лабораториями на трех различных образцах (один жидкий раствор и два твердых удобрения, содержащие HBED, как хелатообразователь). Результаты испытаний обобщены в
A.2. Повторяемость и воспроизводимость рассчитаны в соответствии с ISO 5725-2.
Результаты, полученные с помощью этих межлабораторных испытаний, не могут быть применимы к концентрационным диапазонам и матрицам, которые отличаются от тех, которые приведены в
A.1 и
A.2.
Абсолютное расхождение двух результатов независимых испытаний, полученных одним и тем же методом на идентичном анализируемом материале в одной лаборатории одним и тем же лаборантом с использованием одного и того же оборудования в течение короткого интервала времени, будет не более чем в 5% случаев превышать значения г, приведенные в таблице 2.
Таблица 2
Средние значения, пределы повторяемости и воспроизводимости
Образец | Среднее значение | Предел повторяемости, r | Предел воспроизводимости R |
Растворы стандартов |
EDDHA | 24,91 мг/дм3 | 0,29 мг/дм3 | 1,81 мг/дм3 |
EDDHMA | 25,42 мг/дм3 | 0,26 мг/дм3 | 2,07 мг/дм3 |
Раствор промышленных удобрений |
HBED | 42,20 мг/дм3 | 0,21 мг/дм3 | 0,36 мг/дм3 |
Промышленные удобрения (измеряется в концентрациях Fe) |
EDDHA-1 | 3,08 г/100 г | 0,05 г/100 г | 0,38 г/100 г |
EDDHA-2 | 4,98 г/100 г | 0,09 г/100 г | 0,43 г/100 г |
EDDHA-3 | 3,80 г/100 г | 0,07 г/100 г | 0,36 г/100 г |
EDDHMA-1 | 4,84 г/100 г | 0,12 г/100 г | 0,69 г/100 г |
EDDHMA-2 | 4,22 г/100 г | 0,04 г/100 г | 0,62 г/100 г |
HBED-1 | 10,57 г/100 г | 0,24 г/100 г | 0,36 г/100 г |
HBED-2 | 6,56 г/100 г | 0,21 г/100 г | 0,28 г/100 г |
Абсолютное расхождение двух результатов независимых единичных испытаний, полученных одним и тем же методом на идентичном анализируемом материале в разных лабораториях разными лаборантами на разном оборудовании, будет не более чем в 5% случаев превышать значения
R, приведенные в
таблице 2.
Протокол испытаний должен содержать:
a) всю информацию, необходимую для полной идентификации образца;
b) используемый метод испытания со ссылкой на настоящий стандарт;
c) полученные результаты анализа, представленные в процентном содержании железа, хелатированного [o,o] EDDHA, [o,o] EDDHMA или HBED, в удобрении;
d) дату отбора проб и процедуру отбора проб (если известна);
e) дату окончания анализа;
f) выполнено ли требование предела повторяемости;
g) все детали методики, не указанные в настоящем стандарте или рассматриваемые как необязательные, а также данные о любых отклонениях от метода настоящего стандарта, которые могли повлиять на результаты анализа.
(справочное)
СТАТИСТИЧЕСКИЕ РЕЗУЛЬТАТЫ МЕЖЛАБОРАТОРНЫХ ИСПЫТАНИЙ
A.1 Статистические результаты межлабораторных испытаний, проведенных в 2003 г.
A.1.1 Образцы для испытаний
Семь различных образцов были предоставлены всем лабораториям. Пять образцов были хелатами промышленного железа в твердой форме, три содержали Fe-[o,o] EDDHA и два содержали Fe-[o,o] EDDHMA. Два других образца были растворами, приготовленными из стандартов, промышленных источников, один содержал Fe-[o,o] EDDHA и другой содержал Fe-[o,o] EDDHMA.
A.1.2 Проведение межлабораторных испытаний
Образцы для испытаний были разосланы в шестнадцать лабораторий восьми стран, но только четырнадцать из них представили результаты.
Участвующим лабораториям было предложено выполнить два повторных определения каждого образца. Значения результатов двух повторных определений каждого образца были записаны с точностью два знака после запятой.
Замечания и комментарии по результатам испытаний были зарегистрированы.
A.1.3 Результаты испытаний и статистическая интерпретация
Статистические расчеты были проведены по всем результатам в соответствии с ISO 5725-2.
Параметры повторяемости и воспроизводимости были оценены для каждого образца (среднеарифметическое значение, стандартное отклонение повторяемости, стандартное отклонение воспроизводимости, повторяемость, воспроизводимость, относительное стандартное отклонение повторяемости и относительное стандартное отклонение воспроизводимости).
В таблице A.1 представлены статистические результаты межлабораторных испытаний.
Таблица A.1
Статистические результаты межлабораторных испытаний
Наименование параметра | Растворы образца | Хелаты промышленного железа (твердая форма) |
Образец | EDDHA | EDDHMA | EDDHA-1 | EDDHA-2 | EDDHA-3 | EDDHMA-1 | EDDHMA-2 |
Число лабораторий | 14 | 12 | 14 | 14 | 14 | 12 | 12 |
Число выбросов | 0 | 2 | 0 | 1 | 0 | 0 | 1 |
Число лабораторий после исключения выбросов | 14 | 10 | 14 | 13 | 14 | 12 | 11 |
Среднеарифметическое значение (концентрации Fe) | 24,91 мг/дм3 | 25,42 мг/дм3 | 3,08 мг/дм3 | 4,98 мг/дм3 | 3,80 мг/дм3 | 4,84 мг/дм3 | 4,22 мг/дм3 |
Предел повторяемости r (концентрации Fe) | 0,29 мг/дм3 | 0,26 мг/дм3 | 0,05 мг/дм3 | 0,09 мг/дм3 | 0,07 мг/дм3 | 0,12 мг/дм3 | 0,04 мг/дм3 |
RSDr, % | 0,42 | 0,37 | 0,57 | 0,65 | 0,61 | 0,89 | 0,38 |
Стандартное отклонение повторяемости sr (концентрации Fe) | 0,10 мг/дм3 | 0,09 мг/дм3 | 0,02 мг/дм3 | 0,03 мг/дм3 | 0,02 мг/дм3 | 0,04 мг/дм3 | 0,02 мг/дм3 |
Предел воспроизводимости R (концентрации Fe) | 1,81 мг/дм3 | 2,07 мг/дм3 | 0,38 мг/дм3 | 0,43 мг/дм3 | 0,36 мг/дм3 | 0,69 мг/дм3 | 0,62 мг/дм3 |
RSDR, % | 2,60 | 2,90 | 4,39 | 3,05 | 3,35 | 5,12 | 5,24 |
Стандартное отклонение воспроизводимости SR (концентрации Fe) | 0,65 мг/дм3 | 0,74 мг/дм3 | 0,14 мг/дм3 | 0,15 мг/дм3 | 0,13 мг/дм3 | 0,25 мг/дм3 | 0,22 мг/дм3 |
Коэффициент Хорвитца R | 9,9 | 9,8 | 3,4 | 3,1 | 3,3 | 3,2 | 3,2 |
R-индекс коэффициента Хорвитца | 0,26 | 0,30 | 1,30 | 0,97 | 1,02 | 1,62 | 1,63 |
Примечание - В настоящей таблице использованы следующие условные обозначения: RSDr - относительное стандартное отклонение повторяемости; RSDR - относительное стандартное отклонение воспроизводимости. |
A.2 Результаты межлабораторных испытаний, проведенных в 2010 г.
A.2.1 Образцы для испытаний
Три различных образца Fe-HBED были предоставлены всем лабораториям. Два образца были хелатами промышленного железа в твердой форме. Другой образец был раствором, приготовленным растворением промышленного удобрения.
A.2.2 Проведение межлабораторных испытаний
Образцы для испытаний были разосланы в десять лабораторий пяти стран, и все они представили результаты.
Участвующим лабораториям было предложено выполнить три повторных определения каждого образца. Значения результатов трех повторных определений каждого образца были записаны с точностью два знака после запятой.
Замечания и комментарии по результатам испытаний были зарегистрированы.
A.2.3 Результаты испытаний и статистическая интерпретация
Статистические расчеты были проведены по всем результатам в соответствии с ISO 5725-2.
Параметры повторяемости и воспроизводимости были оценены для каждого образца (среднеарифметическое значение, стандартное отклонение повторяемости, стандартное отклонение воспроизводимости, повторяемость, воспроизводимость, относительное стандартное отклонение повторяемости и относительное стандартное отклонение воспроизводимости).
В таблице A.2 представлены статистические результаты межлабораторных испытаний.
Таблица A.2
Статистические результаты межлабораторных испытаний
Наименование параметра | Раствор промышленного удобрения | Хелаты промышленного железа (твердая форма) |
Образец | HBED | HBED-1 | HBED-2 |
Число лабораторий | 10 | 10 | 10 |
Число выбросов | 3 | 1 | 2 |
Число лабораторий после исключения выбросов | 7 | 9 | 8 |
Среднеарифметическое значение (концентрации Fe) | 42,20 мг/дм3 | 10,57 г/100 г | 6,56 г/100 г |
Предел повторяемости r (концентрации Fe) | 0,21 мг/дм3 | 0,24 г/100 г | 0,21 г/100 г |
RSDr, % | 0,18 | 0,81 | 1,14 |
Стандартное отклонение повторяемости sr (концентрации Fe) | 0,08 мг/дм3 | 0,09 г/100 г | 0,08 г/100 г |
Предел воспроизводимости R (концентрации Fe) | 0,36 мг/дм3 | 0,36 г/100 г | 0,28 г/100 г |
RSDR, % | 0,31 | 1,21 | 1,52 |
Стандартное отклонение воспроизводимости SR (концентрации Fe) | 0,13 мг/дм3 | 0,13 г/100 г | 0,10 г/100 г |
R-индекс коэффициента Хорвитца | 0,03 | 0,43 | 0,50 |
Примечание - В настоящей таблице использованы следующие условные обозначения: RSDr - относительное стандартное отклонение повторяемости; RSDR - относительное стандартное отклонение воспроизводимости. |
(справочное)
ОСНОВНОЙ МЕТОД ОПРЕДЕЛЕНИЯ ТИТРИМЕТРИЧЕСКОЙ ЧИСТОТЫ
ХЕЛАТООБРАЗОВАТЕЛЕЙ ПРИ ИСПОЛЬЗОВАНИИ ФОТОМЕТРИЧЕСКОГО
АВТОМАТИЧЕСКОГО ТИТРАТОРА
Растворы хелатообразователей концентрацией приблизительно 1,00·10-4 моль/дм3 готовят растворением рассчитанного количества хелатообразователя в необходимом количестве раствора NaOH. Доводят уровень pH до 6,0 добавлением 2,00·10-3 моль/дм3 MES буфера [2-(N-морфолино)этансульфоновой кислоты) и доводят объем до 50 см3 или 100 см3.
Анализируемый раствор помещают в термостатированный реакционный сосуд с рубашкой (емкостью 100 см3 или 150 см3), с герметично установленной крышкой, с впуском и выпуском газа из трубок, с присоединенным стеклянным электродом для измерения pH, фотометрическим детектором и двумя поршневыми бюретками (выступающий конец при этом устанавливают ниже поверхности раствора), и магнитной мешалкой. При фотометрическом титровании добавляют стандартный раствор железа (III) концентрацией 4,47·10-4 моль/дм3 к хелатообразователю, пока при длине волны 480 нм не изменится оптическая плотность. Конечную точку титрования рассчитывают по двум пересекающимся прямым отрезкам.
(справочное)
ПОЛНЫЕ НАИМЕНОВАНИЯ ХЕЛАТООБРАЗОВАТЕЛЕЙ
EDTA - | этилендиаминтетрауксусная кислота | |
| C10H16O8N2 | N CAS 60-00-4 |
HEDTA - | гидроксиэтилендиаминтриуксусная кислота |
| C10H18O7N2 | N CAS 150-39-0 |
DTPA - | диэтилентриаминпентауксусная кислота |
| C14H23O10N3 | N CAS 67-43-6 |
[o,o] EDDHA - | этилендиамин-N,N'-ди-[(орто-гидроксифенил) уксусная кислота] |
| C18H20O6N2 | N CAS 1170-02-1 |
[o,o] EDDHMA - | этилендиамин-N,N'-ди-[(орто-гидроксиметилфенил) уксусная кислота] |
| C20H24N2O6 | N CAS 641632-90-8 |
EDDHSA | этилендиамин-N,N'-ди-[(2-гидрокси-5-о-сульфофенил) уксусная кислота] и продукты ее конденсации |
| C18H20O12N2S2 + n*(C12H14O8N2S) | N CAS 57368-07-7 и 642045-40-7 |
NTA - | нитрилотриуксусная кислота |
| C6H9O6N | N CAS 139-13-9 |
CDTA - | 1,2-циклогексилендиаминтетрауксусная кислота |
| C14H22O8N2 | N CAS 482-54-2 |
HBED - | N,N'-бис(2-гидроксибензил)-этилендиамин-N,N'-диуксусная кислота |
| C20H24O6N2 | N CAS 35998-29-9 |
HBEP - | N,N'-бис(2-гидроксибензил)-этилендиамин-N,N'-дипропионовая кислота |
| C22H28N2O6 | N CAS 788792-49-4 |
[o,p] EDDHA - | этилендиамин-N-[(орто-гидроксифенил) уксусная кислота]-N'-[(пара-гидроксифенил) уксусная кислота] |
| C18H20O6N2 | N CAS 475475-49-1 |
(справочное)
СВЕДЕНИЯ О СООТВЕТСТВИИ ССЫЛОЧНЫХ ЕВРОПЕЙСКИХ РЕГИОНАЛЬНЫХ
СТАНДАРТОВ МЕЖГОСУДАРСТВЕННЫМ СТАНДАРТАМ
Таблица ДА.1
Обозначение ссылочных европейских региональных стандартов | Степень соответствия | Обозначение и наименование соответствующего межгосударственного стандарта |
EN 1482-2:2007 | IDT | ГОСТ EN 1482-2-2013 "Удобрения и известковые материалы. Отбор и подготовка проб. Часть 2. Подготовка проб" |
EN ISO 3696:1995 | - | |
EN 12944-1:2000 | - | |
EN 12944-2:2000 | - | <*> |
<*> Соответствующий межгосударственный стандарт отсутствует. До его утверждения рекомендуется использовать перевод на русский язык данного европейского стандарта. Примечание - В настоящей таблице использовано следующее условное обозначение степени соответствия стандартов: - IDT - идентичные стандарты. |
| EN 1482-1:2007 | Fertilizers and liming materials - Sampling and sample preparation - Part 1: Sampling [EN 1482-1 Точность (правильность и прецизионность) методов и результатов измерений. Часть 1. Общие принципы и определения] |
[2] | CEN/TR 15106 | Fertilizers - Determination of chelating agents EDDHA and EDDHMA by ion pair chromatography - Comparison of non-standardized Lucena method with EN 13368-2:2001 [Удобрения. Определение хелатообразователей EDDHA и EDDHMA методом ионной парной хроматографии. Сравнение нестандартизированного метода Лусена с EN 13368-2:2001] |
[3] | ISO 5725-2:1994 | Accuracy (trueness and precision) of measurement methods and results - Part 2: Basic method for the determination of repeatability and reproducibility of a standard measurement method [Точность (правильность и прецизионность) методов и результатов измерений. Часть 2. Основной метод определения повторяемости и воспроизводимости стандартного метода измерения] |
| | Regulation (EC) N 2003/2003 of the European Parliament and of the Council of 13 October 2003 relating to fertilisers, Official Journal L 304, 21/11/2003, pp. 1 - 194 [Регламент (EC) N 2003/2003 Европейского парламента и Совета от 13 октября 2003 г., относящийся к удобрениям, официальный журнал L 304, 21/11/2003, с. 1 - 194] |
| | Lucena, J.J.; P. Barak and L. Hernandez-Apaolaza. 1966. Isocratic ion-pair high-perfomance liquid chromatographic method for the determination of various iron (III) chelates; J. Chromatography A, 727, pp. 253 - 264 [Дж.Дж. Лусена, П. Барак и Л. Хернандес-Апаолаза, 1996 г. Метод определения различных хелатов железа (III) изократической ион-парной высокоэффективной жидкостной хроматографией; журнал "Хроматография А", 727, с. 253 - 264] |
| | Hernandez-Apaolaza, L.; P. Barac and J.J. Lucena, 1997. Chromatographic determination of commercial Fe (III) chelates of ethylenediaminetetracetic acid, ethylenediaminedi(o-hydroxyphenylacetic) acid and ethylenediaminedi(o-hydroxy-p-methylphenylacetic) acid; J. Chromatography A, 789, pp. 453 - 460 [Л. Хернандес-Апаолаза, П. Барак и Дж.Дж. Лусена, 1997 г. Хроматографическое определение хелатов промышленного Fe (III) этилендиаминтетрауксусной кислотой, этилендиаминди(о-гидроксифенилуксусной) кислотой и этилендиаминди(о-гидрокси-р-метилфенилуксусной) кислотой; журнал "Хроматография А", 789, с. 453 - 460] |
| | Lopez Rayo, S., Hernandez, D. and Lucena, J.J. 2009. Chemical Evaluation of HBED/Fe3+ and the Novel HJB/Fe3 Chelates as Fertilizers to Alleviate Iron Chlorosis; Journal of Agricultural and Food Chemistry 57, pp. 8504 - 8513 [С. Райо Лопез, Д. Хернандес и Дж.Дж. Лусена, 2009 г. Химическое определение хелатов HBED/Fe3+ и впервые полученного HJB/ Fe3 как удобрений для облегчения железного хлороза; Журнал сельскохозяйственной и пищевой химии 57, с. 8504 - 8513] |