Главная // Актуальные документы // ГОСТ (Государственный стандарт)СПРАВКА
Источник публикации
М.: Стандартинформ, 2016
Примечание к документу
Документ
введен в действие с 1 марта 2017 года.
Название документа
"ГОСТ EN 13299-2016. Межгосударственный стандарт. Удобрения. Определение скорости истечения"
(введен в действие Приказом Росстандарта от 22.09.2016 N 1202-ст)
"ГОСТ EN 13299-2016. Межгосударственный стандарт. Удобрения. Определение скорости истечения"
(введен в действие Приказом Росстандарта от 22.09.2016 N 1202-ст)
агентства по техническому
регулированию и метрологии
от 22 сентября 2016 г. N 1202-ст
МЕЖГОСУДАРСТВЕННЫЙ СТАНДАРТ
УДОБРЕНИЯ
ОПРЕДЕЛЕНИЕ СКОРОСТИ ИСТЕЧЕНИЯ
Fertilizers. Determination of flow rate
(EN 13299:2000, IDT)
ГОСТ EN 13299-2016
Дата введения
1 марта 2017 года
Цели, основные принципы и основной порядок проведения работ по межгосударственной стандартизации установлены в
ГОСТ 1.0-2015 "Межгосударственная система стандартизации. Основные положения" и
ГОСТ 1.2-2015 "Межгосударственная система стандартизации. Стандарты межгосударственные, правила и рекомендации по межгосударственной стандартизации. Правила разработки, принятия, обновления и отмены"
1 ПОДГОТОВЛЕН Федеральным государственным унитарным предприятием "Всероссийский научно-исследовательский институт стандартизации, материалов и технологий" (ФГУП "ВНИИ СМТ") на основе собственного перевода на русский язык англоязычной версии указанного в пункте 5 европейского регионального стандарта
2 ВНЕСЕН Межгосударственным техническим комитетом по стандартизации МТК 527 "Химия"
3 ПРИНЯТ Межгосударственным советом по стандартизации, метрологии и сертификации (протокол от 20 апреля 2016 г. N 87-П)
За принятие проголосовали:
Краткое наименование страны по МК (ИСО 3166) 004-97 | Код страны по МК (ИСО 3166) 004-97 | Сокращенное наименование национального органа по стандартизации |
Армения | AM | Минэкономики Республики Армения |
Беларусь | BY | Госстандарт Республики Беларусь |
Казахстан | KZ | Госстандарт Республики Казахстан |
Киргизия | KG | Кыргызстандарт |
Россия | RU | Росстандарт |
Таджикистан | TJ | Таджикстандарт |
Узбекистан | UZ | Узстандарт |
4
Приказом Федерального агентства по техническому регулированию и метрологии от 22 сентября 2016 г. N 1202-ст межгосударственный стандарт ГОСТ EN 13299-2016 введен в действие в качестве национального стандарта Российской Федерации с 1 марта 2017 г.
5 Настоящий стандарт идентичен европейскому региональному стандарту EN 13299:2000 "Удобрения. Определение скорости истечения" ("Fertilizers - Determination of flow rate", IDT).
Европейский стандарт разработан Европейским комитетом по стандартизации CEN/TC 260 "Удобрения и известковые материалы".
При применении настоящего стандарта рекомендуется использовать вместо ссылочных европейских региональных стандартов соответствующие им межгосударственные стандарты, сведения о которых приведены в дополнительном
приложении ДА
6 ВВЕДЕН ВПЕРВЫЕ
Информация об изменениях к настоящему стандарту публикуется в ежегодном информационном указателе "Национальные стандарты", а текст изменений и поправок - в ежемесячном информационном указателе "Национальные стандарты". В случае пересмотра (замены) или отмены настоящего стандарта соответствующее уведомление будет опубликовано в ежемесячном информационном указателе "Национальные стандарты". Соответствующая информация, уведомление и тексты размещаются также в информационной системе общего пользования - на официальном сайте Федерального агентства по техническому регулированию и метрологии в сети Интернет (www.gost.ru)
Настоящий стандарт устанавливает метод определения скорости истечения свободно текущих твердых удобрений. Метод не применим к порошкообразным материалам (< 0,5 мм) или известковым материалам.
В настоящем стандарте использованы ссылки на следующие стандарты. Для датированных ссылок применяют только указанное издание ссылочного стандарта. Для недатированных ссылок применяют последнее издание ссылочного стандарта.
EN 1236 Fertilizers - Determination of bulk density (loose) (ISO 3944:1992 modified) [Удобрения. Определение насыпной плотности (без утрамбовки)]
ISO 3310-1 Test sieves - Technical requirements and testing - Part 1: Test sieves of metal wire cloth (Сита лабораторные. Технические требования и испытания. Часть 1. Лабораторные сита из проволочной ткани)
Измеряют время, необходимое для истечения 2 кг удобрения из калиброванной воронки в сосуд, помещенный на весы.
4.1 Весы с наибольшим пределом взвешивания не менее 3,5 кг и с точностью взвешивания до +/- 1 г.
4.2 Воронка по EN 1236, изготовленная из нержавеющей стали.
Задвижка воронки должна быть такой, чтобы отверстие полностью освобождалось при открытом положении задвижки.
4.3 Приемный сосуд, способный удерживать приблизительно не менее 3 кг удобрения.
4.4 Секундомер с точностью до 0,1 с.
4.5 Сита лабораторные из проволочной сетки по ISO 3310-1 с размерами ячеек 3,55 мм и 4,0 мм.
4.6 Стеклянные шарики для калибровки воронки, соответствующие следующим требованиям:
- диаметр: (4 +/- 0,3) мм;
- форма: сферическая;
- материал: стекло плотностью 2,5 кг/дм3;
- поверхность: гладкая.
Перед использованием просеивают стеклянные шарики с помощью сита с размерами ячеек 4,00 и 3,55 мм
(4.5) и используют только те шарики, которые прошли через сито с размером ячеек 4,00 мм и остались на сите с размером ячеек 3,55 мм.
Отбирают два образца для испытания массой 3 кг +/- 100 г каждый.
6.1 Насыпают 3 кг +/- 100 г просеянных стеклянных шариков
(4.6) в закрытую воронку
(4.2). Помещают весы
(4.1) под воронкой и устанавливают на них приемный сосуд
(4.3). Одновременно полностью открывают задвижку воронки и включают секундомер.
6.2 Останавливают секундомер, когда весы показывают 2 кг, и одновременно закрывают задвижку воронки.
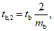
6.3 Взвешивают фактическое количество стеклянных шариков, собранных в сосуде, с точностью до 1 г. Скорректированное время истечения для 2 кг стеклянных шариков tb,2, с, вычисляют по формуле

(1)
где tb - измеренное время истечения для 2 кг стеклянных шариков, с;
mb - взвешенная масса стеклянных шариков, кг.
6.4 Полностью высыпают содержимое воронки в приемный сосуд. Закрывают воронку и возвращают все шарики в воронку.
6.5 Повторяют процедуру калибровки. Рассчитывают среднеарифметическое значение t для двух определений времени tb,2, рассмотренных для 2 кг стеклянных шариков, пропущенных через воронку.
7.1 Повторяют процедуру, описанную в
6.1 и
6.2, используя вместо просеянных стеклянных шариков один из образцов для испытаний
(раздел 5).
7.2 Взвешивают фактическое количество удобрения, собранное в сосуде, с точностью до 1 г и рассчитывают время точно для 2,0 кг, пропущенных через воронку.
7.3 Полностью высыпают содержимое воронки в приемный сосуд. Выбрасывают содержимое.
7.4 Повторяют процедуру, описанную в
7.1 - 7.3, используя второй образец для испытаний.
8.1 Расчет калибровочного коэффициента c
Калибровочный коэффициент c для воронки вычисляют по формуле

(2)
где t - измеренное время истечения, с;
10 - предполагаемая скорость истечения стеклянных шариков через предполагаемую стандартную воронку, кг/мин.
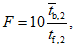
8.2 Расчет скорости истечения удобрения
Скорость истечения удобрения F, кг/мин, вычисляют по формуле

(3)
где mf - взвешенная масса удобрения, кг;
tf - измеренное время истечения удобрения, с;

- среднеарифметическое значение калибровочного коэффициента.
Для mf = 2 может быть использована упрощенная формула

(4)
где

- среднее значение времени истечения для 2 кг стеклянных шариков, пропущенных через воронку, с;
tf,2 - время истечения для 2 кг удобрений, пропущенных через воронку, с.
За результат принимают среднеарифметическое значение двух испытаний при соблюдении условий повторяемости (9.1). Если условия повторяемости не соблюдены, повторяют испытание.
9.1 Основные положения
Статистическую информацию, приведенную в настоящем стандарте, можно использовать только как руководящее указание. Значения основаны на совместных испытаниях, которые проводились на карбамиде и NPK - комплексных удобрениях.
9.2 Повторяемость
Абсолютное расхождение двух единичных результатов испытаний на идентичном анализируемом материале, полученных одним и тем же исполнителем с использованием одного и того же оборудования в течение короткого интервала времени, должно превышать значение предела повторяемости r, %, приведенного в уравнении
r = 0,0015F,
где F - среднеарифметическое значение двух результатов, в среднем не более чем один раз из 20 случаев при нормальном и правильном выполнении метода. Оба результата считают сомнительными, если значение повторяемости r больше.
9.3 Воспроизводимость
Абсолютное расхождение двух единичных и независимых результатов испытаний, полученных двумя исполнителями, работающими в различных лабораториях на различном анализируемом материале, должно превышать значение предела воспроизводимости R, %, приведенного в уравнении
R = 0,15F,
где F - среднеарифметическое значение двух результатов, в среднем не более чем один раз из 20 случаев при нормальном и правильном выполнении метода.
Протокол испытаний должен содержать:
a) всю информацию, необходимую для полной идентификации образца;
b) метод отбора проб;
c) подготовку образцов;
d) ссылку на используемый метод;
e) результаты испытания;
f) все особенности, наблюдаемые в процессе испытания;
g) все этапы методики, не указанные в настоящем стандарте или рассматриваемые как необязательные.
(справочное)
СВЕДЕНИЯ О СООТВЕТСТВИИ ССЫЛОЧНЫХ ЕВРОПЕЙСКИХ РЕГИОНАЛЬНЫХ
И МЕЖДУНАРОДНЫХ СТАНДАРТОВ МЕЖГОСУДАРСТВЕННЫМ СТАНДАРТАМ
Таблица ДА.1
Обозначение ссылочных европейских региональных и международных стандартов | Степень соответствия | Обозначение и наименование соответствующего межгосударственного стандарта |
EN 1236:1995 | IDT | |
ISO 3310-1-2000 | - | <*> |
<*> Соответствующий межгосударственный стандарт отсутствует. До его принятия рекомендуется использовать перевод на русский язык международного стандарта. Официальный перевод данного международного стандарта находится в Федеральном информационном фонде технических регламентов и стандартов. Примечание - В настоящей таблице использовано следующее условное обозначение степени соответствия стандартов: - IDT - идентичные стандарты. |