Главная // Актуальные документы // ГОСТ (Государственный стандарт)СПРАВКА
Источник публикации
М.: Стандартинформ, 2016
Примечание к документу
Документ
введен в действие с 1 марта 2017 года.
Название документа
"ГОСТ 8.653.3-2016. Межгосударственный стандарт. Государственная система обеспечения единства измерений. Методы определения дзета-потенциала. Часть 3. Электроакустические и акустические методы"
(введен в действие Приказом Росстандарта от 21.10.2016 N 1468-ст)
"ГОСТ 8.653.3-2016. Межгосударственный стандарт. Государственная система обеспечения единства измерений. Методы определения дзета-потенциала. Часть 3. Электроакустические и акустические методы"
(введен в действие Приказом Росстандарта от 21.10.2016 N 1468-ст)
агентства по техническому
регулированию и метрологии
от 21 октября 2016 г. N 1468-ст
МЕЖГОСУДАРСТВЕННЫЙ СТАНДАРТ
ГОСУДАРСТВЕННАЯ СИСТЕМА ОБЕСПЕЧЕНИЯ ЕДИНСТВА ИЗМЕРЕНИЙ
МЕТОДЫ ОПРЕДЕЛЕНИЯ ДЗЕТА-ПОТЕНЦИАЛА
ЧАСТЬ 3
ЭЛЕКТРОАКУСТИЧЕСКИЕ И АКУСТИЧЕСКИЕ МЕТОДЫ
State system for ensuring the uniformity of measurements.
Methods for zeta-potential determination. Part 3.
Electroacoustic and acoustic methods
(ISO 13099-1:2012, NEQ)
ГОСТ 8.653.3-2016
Группа Т84.5
Дата введения
1 марта 2017 года
Цели, основные принципы и основной порядок проведения работ по межгосударственной стандартизации установлены в
ГОСТ 1.0-2015 "Межгосударственная система стандартизации. Основные положения" и
ГОСТ 1.2-2015 "Межгосударственная система стандартизации. Стандарты межгосударственные, правила и рекомендации по межгосударственной стандартизации. Правила разработки, принятия, обновления и отмены"
1 РАЗРАБОТАН Федеральным государственным унитарным предприятием "Всероссийский научно-исследовательский институт физико-технических и радиотехнических измерений" (ФГУП "ВНИИФТРИ")
2 ВНЕСЕН Федеральным агентством по техническому регулированию и метрологии
3 ПРИНЯТ Межгосударственным советом по стандартизации, метрологии и сертификации (протокол от 29 января 2016 г. N 84-П)
За принятие проголосовали:
Краткое наименование страны по МК (ИСО 3166) 004-97 | Код страны по МК (ИСО 3166) 004-97 | Сокращенное наименование национального органа по стандартизации |
Армения | AM | Минэкономики Республики Армения |
Беларусь | BY | Госстандарт Республики Беларусь |
Казахстан | KZ | Госстандарт Республики Казахстан |
Киргизия | KG | Кыргызстандарт |
Россия | RU | Росстандарт |
Таджикистан | TJ | Таджикстандарт |
4
Приказом Федерального агентства по техническому регулированию и метрологии от 21 октября 2016 г. N 1468-ст межгосударственный стандарт ГОСТ 8.653.3-2016 введен в действие в качестве межгосударственного стандарта Российской Федерации с 1 марта 2017 г.
5 В настоящем стандарте учтены основные нормативные положения международного стандарта ISO 13099-1:2012 "Коллоидные системы. Методы определения дзета-потенциала. Часть 1. Электроакустические и электрокинетические методы" ("Colloidal systems - Methods for zeta-potential determination - Part 1: Electroacoustic and electrokinetic phenomena", NEQ)
6 ВВЕДЕН ВПЕРВЫЕ
Информация об изменениях к настоящему стандарту публикуется в ежегодном информационном указателе "Национальные стандарты", а текст изменений и поправок - в ежемесячном информационном указателе "Национальные стандарты". В случае пересмотра (замены) или отмены настоящего стандарта соответствующее уведомление будет опубликовано в ежемесячном информационном указателе "Национальные стандарты". Соответствующая информация, уведомление и тексты размещаются также в информационной системе общего пользования - на официальном сайте Федерального агентства по техническому регулированию и метрологии в сети Интернет (www.gost.ru)
Дзета-потенциал - параметр, который может использоваться для определения долгосрочной стабильности суспензий и эмульсий и изучения поверхностной морфологии и адсорбции на частицах и других поверхностях в контакте с жидкостью. Дзета-потенциал не является непосредственно измеряемой величиной. Его можно определить, используя соответствующие теоретические модели, из экспериментально определенных параметров, таких как электрофоретическая подвижность. Цель настоящего стандарта состоит в описании электроакустических методов измерения электрофоретической подвижности и вычисления на этой основе дзета-потенциала.
Настоящий стандарт распространяется на электроакустические и акустические методы определения дзета-потенциала в гетерогенных системах, таких как дисперсные системы, эмульсии, пористые тела с жидкой дисперсионной средой.
Метод реализуется при условии однородного распределения поверхностного заряда вдоль границы раздела.
Форма частиц или геометрия пор может быть любая. Важным параметром для количественного описания результата является соотношение радиуса кривизны поверхности и дебаевской длины экранирования. Жидкость дисперсионной среды может быть как водной, так и неводной, с различными значениями электрической проводимости, диэлектрической проницаемости, различным химическим составом. Материал частиц может быть как проводящим электрический ток, так и непроводящим. Двойные слои могут быть изолированными или перекрывающимися с различной толщиной перекрытия.
2 Термины, определения и обозначения
2.1 Термины и определения
В настоящем стандарте применены следующие термины с соответствующими определениями:
2.1.1 двойной электрический слой; ДЭС (electric double layer): Пространственное распределение электрических зарядов, которое появляется на и в непосредственной близости от поверхности объекта, когда он находится в контакте с жидкостью.
2.1.2 приближение Дебая-Хюккеля (Debye-Huckel approximation): Модель, предполагающая небольшие электрические потенциалы в двойном электрическом слое.
2.1.3
длина Дебая 
, нм (Debye length): Характерная длина двойного электрического слоя в растворе электролита.
2.1.4 коэффициент диффузии D (diffusion coefficient): Среднеквадратичное смещение частицы в единицу времени.
2.1.5 число Духина Du (Dukhin number): Безразмерное число, которое характеризует вклад поверхностной проводимости в электрокинетических и электроакустических явлениях, а также в проводимость и диэлектрическую проницаемость гетерогенных систем.
2.1.6
динамическая вязкость 
, Па·с (dynamic viscosity): Соотношение между приложенным напряжением сдвига и скоростью сдвига жидкости.
Примечания
1 В настоящем стандарте динамическую вязкость используют в качестве меры сопротивления жидкости, которое деформируется путем напряжения сдвига.
2 Динамическая вязкость определяет динамические свойства несжимаемой ньютоновской жидкости.
2.1.7
поверхностная плотность электрического заряда 
, Кл/м
2 (electric surface charge density): Заряд на границе раздела сред на единицу площади за счет специфической адсорбции ионов из объема жидкости или за счет диссоциации поверхностных соединений.
2.1.8
поверхностный потенциал 
, В (electric surface potential): Разность потенциалов на поверхности и в объеме жидкости.
2.1.9
электрокинетический потенциал, дзета-потенциал,
, В (electrokinetic potential, zete-potential,

): Разность между электрическими потенциалами в плоскости скольжения и в объеме жидкости.
2.1.10 модель Гуи-Чепмена-Штерна (Gouy-Chapman-Stern model): Модель, описывающая двойной электрический слой.
2.1.11 изоэлектрическая точка (isoelectric point): Условие состояния жидкой среды, описываемое обычно значением pH, которое соответствует нулевому дзета-потенциалу дисперсных частиц.
2.1.12 плоскость скольжения, плоскость сдвига (slipping plane): Абстрактная плоскость в непосредственной близости от границы раздела жидкость/твердое тело, где жидкость начинает скользить по отношению к поверхности под воздействием напряжения сдвига.
2.1.13
потенциал Штерна 
, В (Stern potential): Электрический потенциал на внешней границе слоя специфически адсорбированных ионов.
2.1.14 электрофорез (electrophoresis): Движение заряженных коллоидных частиц или полиэлектролитов, погруженных в жидкость, под действием внешнего электрического поля.
2.1.15
электрофоретическая подвижность 
, м
2/(В·с) (electrophoretic mobility): Электрофоретическая скорость в единицу напряженности электрического поля.
Примечание - Электрофоретическая подвижность положительная, если частицы перемещаются к более низкому потенциалу (отрицательный электрод), и отрицательная в противоположном случае.
2.1.16 электрический ток колеблющейся дисперсной системы CVI, ICVI, А (colloid vibration current): Переменный ток, генерируемый между двумя электродами, помещенными в дисперсную систему, находящуюся под воздействием звукового поля.
2.1.17 потенциал колеблющейся дисперсной системы CVU, В (colloid vibration potential): Переменное электрическое напряжение, возникающее между двумя электродами, помещенными в дисперсную среду, находящуюся под воздействием звукового поля.
2.1.18 электрокинетическая звуковая амплитуда ESA, AESA, Па (electrokinetic sonic amplitude): Амплитуда, создаваемая с помощью переменного электрического поля с напряженностью E в дисперсной среде.
2.1.19 электрический ток колебаний ионов IVI, А (ion vibration current): Переменный электрический ток, вызванный различными амплитудами смещения в звуковой волне за счет разницы эффективной массы или коэффициента трения между анионами и катионами.
2.1.20 электрический ток в колеблющемся потоке SVI, А (streaming vibration current): Электрический ток, возникающий при прохождении потока флюидов через пористое тело при распространении через него ультразвуковой волны.
Примечание - Аналогичный эффект может наблюдаться при непористой поверхности, когда звук отражается под углом, отличным от 90°.
2.2 Обозначения
В настоящем стандарте применяют следующие обозначения:
a - радиус частицы, м;
c - концентрация электролита, моль/м3;
Cdl - емкость двойного слоя, Ф;
сi - концентрация ионов i-го типа, моль/м3;
D+ - коэффициент диффузии катионов, м2/с;
Deff - эффективный коэффициент диффузии электролита, м2/с;
Du - число Духина;
D- - коэффициент диффузии анионов, м2/с;
e - элементарный электрический заряд, Кл;
F - постоянная Фарадея, Кл/моль, F = 96485,33 Кл/моль;
- поверхностная проводимость, См;
kB - постоянная Больцмана, Дж/К, kB = 1,3806488·10-23 Дж/К;
Km - проводимость дисперсионной среды, См/м;
Ks - проводимость дисперсной среды, См/м;
m - параметр, характеризующий вклад электроосмотического потока в поверхностную проводимость;
NА - число Авогадро, моль-1, NА = 6,02214129·1023 моль-1;
R - универсальная газовая постоянная, Дж/(моль·К);
R = 8,3144621 Дж/(моль·К);
r - расстояние от центра частицы, м;
T - абсолютная температура, К;
X - расстояние от поверхности частицы, м;
Z - акустический импеданс, Па·с/м3;

- валентности катионов и анионов;
zi - валентность i-го вида ионов;

- диэлектрическая постоянная, Ф/м,

= 8,854187817·10
-12 Ф/м;

- относительная диэлектрическая проницаемость среды;

- относительная диэлектрическая проницаемость частицы;
- электрокинетический потенциал, дзета-потенциал, В;

- динамическая вязкость, Па·с;

- обратная длина Дебая, м
-1;

- электрофоретическая подвижность, м
2/В·с;

- динамическая электрофоретическая подвижность, м
2/(В·с);

- плотность среды, кг/м
3;

- плотность частиц, кг/м
3;

- плотность дисперсной среды, кг/м
3;

- поверхностная плотность заряда, Кл/м
2;

- плотность электрического заряда диффузного слоя, Кл/м
2;

- объемная доля частиц;

- критическая объемная доля частиц;
- потенциал Штерна, В;

- электрический потенциал в двойном слое, В;

- коэффициент аэродинамического сопротивления;
- частота вращения, с
-1;

- критическая частота гидродинамической релаксации, с
-1;

- частота релаксации Максвелла-Вагнера, с
-1.
3 Теория: основные положения
Дзета-потенциал является расчетной величиной, получаемой в результате количественной обработки экспериментальных данных в рамках известных теоретических моделей. Существует множество различных теорий, которые действительны для определенных условий и для определенной группы реальных дисперсных систем. Теории делятся на две группы: элементарные и модифицированные.
Элементарные теории для непроводящих твердых тел являются общими для всех электрокинетических явлений
[1]. В них рассматривается только один параметр двойного электрического слоя (ДЭС) - дзета-потенциал, определяемый из экспериментальных данных. Элементарные теории имеют границы применимости. Вне этих границ их применение приводит к существенной погрешности расчета значений дзета-потенциала.
В настоящем стандарте модифицированные теории рассмотрены в
приложении D. Теории содержат дополнительные параметры ДЭС, например длину Дебая (см.
приложение A), поверхностную проводимость, потенциал Штерна [
2 -
4].
4 Элементарные теории, приближение Смолуховского для электроакустики
В электроакустической теории используют термины, связанные с электрофоретической подвижностью

. В случае движения частиц, колеблющихся с высокой частотой, за электрофоретическую подвижность принимают динамическую электрофоретическую подвижность

.
Уравнение Смолуховского имеет следующий вид:

(1)
где

- относительная диэлектрическая проницаемость среды;

- диэлектрическая постоянная Ф/м;
- дзета-потенциал, В;

- динамическая вязкость, Па·с.
Взаимосвязь между динамической электрофоретической подвижностью

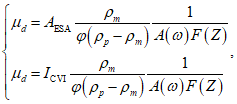
и экспериментальными электроакустическими данными не так проста как в случае электрокинетических явлений. Электроакустическая теория О'Брайана справедлива для концентрированных и разбавленных гетерогенных систем.
Согласно теории О'Брайана
[5], средняя динамическая электрофоретическая подвижность

рассчитывается путем решения системы уравнений:

(2)
где AESA - электрокинетическая звуковая амплитуда, Па;
ICVI - электрический ток колеблющейся дисперсной системы, А;

- передаточная функция средства измерения, определяемая экспериментально;
F(Z) - функция акустических импедансов преобразователя и исследуемой дисперсной среды;

- плотность среды, кг/м
3;

- плотности частиц, кг/м
3;

- объемная доля частиц.
Согласно теории О'Брайана, полная функциональная зависимость ключевых параметров электроакустики, таких как дзета-потенциал, размер частиц и частота, вводится с помощью динамической электрофоретической подвижности. Для всех рассмотренных случаев коэффициент пропорциональности между электроакустическим сигналом и динамической электрофоретической подвижностью не зависит от размера частиц и дзета-потенциала. Эта особенность делает динамическую электрофоретическую подвижность основным параметром электроакустической теории.
Существуют два варианта динамической теории электрофоретической подвижности.
Первый - в приближении Смолуховского. ДЭС тонкий и можно пренебречь поверхностной проводимостью. Это выражено с помощью следующих двух условий.
Первое условие - ДЭС должен быть мал по сравнению с характерным размером гетерогенной системы (см.
приложение A):

(3)
где

- обратная длина Дебая, м
-1;
a - радиус частицы, м.
Многие водные дисперсные системы удовлетворяют этому условию. Это условие не распространяется на наночастицы в водных растворах с низкой ионной силой и на большинство органических жидкостей.
Второе условие заключается в незначительном вкладе поверхностной проводимости (см.
приложение B):
Du << 1. (4)
Теория О'Брайана для динамической электрофоретической подвижности применима для разбавленных систем с незначительным взаимодействием между частицами
[5], причем только для сферических частиц, но без ограничений по размеру. Главным условием является то, что размер частиц должен быть мал по сравнению с длиной волны звука. Она более ограничена по сравнению с теорией Смолуховского для электрофореза, которая применима для любой формы частиц и концентраций.
Второй вариант - теория О'Брайана в приближении Смолуховского для динамической электрофоретической подвижности, которая почти аналогична теории Смолуховского для электрофореза, что достигается за счет ограничения рассматриваемого диапазона частот. Если частота достаточно низка, динамическая электрофоретическая подвижность

идентична статической электрофоретической подвижности

. Эта теория применима только для электрического тока колеблющейся коллоидной системы
[6],
[7].
Теория О'Брайана для динамической электрофоретической подвижности
Теория О'Брайана справедлива только в разбавленных дисперсных системах. Динамическая электрофоретическая подвижность

распределяется следующим уравнением:

(5)
где

- относительная диэлектрическая проницаемость среды;

- диэлектрическая постоянная, Ф/м;

- динамическая вязкость, Па·с;
- дзета-потенциал, В;

(6)

(7)

(8)

(9)
где a - радиус частицы, м;

- относительная диэлектрическая проницаемость частицы;

- плотность частицы, кг/м
3;

- плотность среды, кг/м
3;
- частота вращения, с
-1;

- частота релаксации Максвелла-Вагнера, с
-1.
Частотная зависимость динамической электрофоретической подвижности определена двумя факторами:
s2 и
(j - мнимая единица). Коэффициент G(
s) отражает частотную зависимость, обусловленную инерционными эффектами взаимодействия, фактор

характеризует влияние поляризации Максвелла-Вагнера ДЭС [
8 -
10].
Для водных дисперсных сред коэффициент инерции G(
s) играет более важную роль, чем коэффициент поляризации ДЭС
. Коэффициент инерции резко уменьшает величину динамической подвижности частиц большего размера на высоких частотах. Коэффициент инерции уменьшает амплитуду и скорость движения частиц по отношению к внешней движущей силе. Это вызывает фазовый сдвиг динамической электрофоретической подвижности. Максимальное значение фазового сдвига равно 45°.
При низкой частоте, когда коэффициенты G(
s) и

приблизительно равны соответственно 1 и 0,5, ни один из них не является определяющим. Это означает, что при низкой частоте динамическая электрофоретическая подвижность зависит только от тех факторов, которые принимаются во внимание в теории Смолуховского для электрофореза.
4.2 Приближение Смолуховского для динамической электрофоретической подвижности
Теория
[6],
[7] справедлива для частиц любого размера, любой формы и любой концентрации, включая высококонцентрированные системы, наряду с ограничениями Смолуховского в некотором частотном диапазоне.
Критическая частота гидродинамической релаксации

определяет диапазон инерции частиц и влияние коэффициента G(
s). Этот коэффициент становится незначительным, когда частота

удовлетворяет условию

(10)
где

- динамическая вязкость, Па·с;

- плотность среды, кг/м
3;
a - радиус частицы, м.
Критическая частота электрической поляризации ДЭС

определяет диапазон частот, где становится незначительной функция

:

(11)
где Km - проводимость дисперсионной среды, См/м;

- относительная диэлектрическая проницаемость среды;

- диэлектрическая постоянная, Ф/м.
Выражение для динамической электрофоретической подвижности в этом приближении было получено только для тока колеблющейся дисперсной системы и имеет вид:

(12)
где

- относительная диэлектрическая проницаемость среды;

- диэлектрическая постоянная, Ф/м;

- динамическая вязкость, Па·с;
- дзета-потенциал, В;

- плотность частицы, кг/м
3;

- плотность среды, кг/м
3;

- плотность дисперсной среды, кг/м
3;
Ks - проводимость дисперсной среды, См/м;
Km - проводимость дисперсионной среды, См/м.
5 Модифицированные теории
Применение модифицированных теорий является более сложной задачей, потому что используются другие параметры ДЭС. С другой стороны, применение этих теорий позволяет более подробно описать электрические свойства поверхностей. Двумя наиболее важными параметрами являются длина Дебая

и число Духина
Du [11]. Описание расчета числа Духина
Du приведено в
приложении B. Описание расчета длины Дебая

приведено в
приложении C.
Существуют две аналитические теории электрофореза: упрощенная теория Духина-Семенихина (см.
приложение D) и теория О'Брайана (см.
приложение D).
| | ИС МЕГАНОРМ: примечание. В официальном тексте документа, видимо, допущена опечатка: пункт D.6 отсутствует. | |
Перекрытие ДЭС является еще одним фактором, который усложняет теоретическую интерпретацию. Этот фактор становится важным для неполярных суспензий. В случае неполярных суспензий перекрытие ДЭС может проявиться даже при низких объемных долях частиц, как описано в
A.4 приложения A. Описание теории, в которой принимается во внимание этот фактор для электрофореза, приведено в D.6
приложения D.
(справочное)
МОДЕЛИ ДВОЙНОГО ЭЛЕКТРИЧЕСКОГО СЛОЯ
A.1 Основные положения
Двойной электрический слой (ДЭС) представляет собой пространственное распределение электрических зарядов, которое появляется в непосредственной близости от поверхности объекта, когда он находится в контакте с жидкостью. Этим объектом могут быть твердые частицы, пузырьки газа, капля жидкости и пористое тело. Данная структура состоит из двух параллельных слоев электрических зарядов. Один слой (положительный или отрицательный) совпадает с поверхностью объекта и называется электрически заряженной поверхностью. Другой слой находится в окружающей частицу среде, которая экранирует первый слой. Этот слой называется диффузным, так как он образуется под действием электрической силы и теплового движения свободных ионов в окружающей частицу среде.
ДЭС играет очень важную роль в реальных системах. Например, молоко существует только потому, что капли жира покрыты ДЭС, что предотвращает их коагуляцию в масло. ДЭС существуют практически во всех гетерогенных системах на основе жидкости, например в крови, краске, чернилах, керамических суспензиях, цементных растворах и т.д.
Самая ранняя модель ДЭС принадлежит Гельмгольцу
[12], которая математически описывает ДЭС как простой конденсатор, основанный на физической модели, в которой один слой ионов адсорбируется на поверхности с компенсацией противоположного заряда в растворе. Позже Гуи и Чепмен [
13 -
14] добились значительного улучшения модели с помощью введения диффузной модели ДЭС, в которой электрический потенциал экспоненциально убывает при удалении от поверхности в объем жидкости. Модель Гуи-Чепмена не выполняется для многозарядных ДЭС. Для того чтобы решить эту проблему, Штерн
[15] предложил ввести дополнительный слой, прилегающий к поверхности, который называется слоем Штерна. На сегодняшний день комбинированная модель Гуи-Чепмена-Штерна применяется наиболее часто.
В модели Гуи-Чепмена-Штерна существуют следующие приближения [
11,
16 -
18]:
- ионы рассматриваются как эффективные точечные заряды;
- единственные значимые взаимодействия в диффузном слое - кулоновские;
- диэлектрическая проницаемость остается постоянной на всей площади двойного электрического слоя;
- динамическая вязкость окружающей частицу жидкости постоянна вне плоскости скольжения.
Существуют более новые теоретические разработки, в которых критически рассматриваются указанные приближения модели Гуи-Чепмена-Штерна.
Рисунок A.1 иллюстрирует межфазный ДЭС
[11]. Причиной формирования устойчивого двойного слоя служит взаимодействие зарядоопределяющих ионов с поверхностью. Этот процесс приводит к накоплению поверхностного электрического заряда, создающего электростатическое поле, которое влияет на ионы в объеме жидкости. Это электростатическое поле в сочетании с тепловым движением ионов экранирует поверхностный электрический заряд. Суммарный электрический заряд в экранирующем диффузном слое равен по величине суммарному поверхностному заряду, но имеет противоположный знак. В результате структура электрически нейтральна. Некоторые из противоположно заряженных ионов вблизи поверхности могут специфически адсорбироваться и способствуют формированию слоя Штерна. Внешнюю часть экранирующего слоя обычно называют диффузным слоем.
1 - слой Штерна; 2 - область заряженных частиц;
3 - заряженный диффузный слой; 4 - плоскость Штерна;
5 - плоскость скольжения; 6 - длина Дебая
Рисунок A.1 - Структурная схема двойного электрического слоя
согласно модели Гуи-Чепмена-Штерна
Диффузный слой или, по крайней мере, его часть может перемещаться под действием касательного напряжения. Вводится понятие плоскости скольжения, которая разделяет окружающую частицу среду на подвижную часть и часть, связанную с поверхностью. Электрический потенциал в этой плоскости называется электрокинетическим или дзета-потенциалом.
Электрический потенциал на внешней границе слоя Штерна называют потенциалом Штерна

. Разность потенциалов между жидкостью (флюидом) и поверхностью называется потенциалом поверхности

.
Экспериментально показано, что плоскость скольжения расположена очень близко к внешней плоскости Гельмгольца, определяющей потенциал Штерна. Слой между этой плоскостью и границей раздела обычно называют "неподвижным слоем". Обе плоскости являются условными. Это означает, что величина дзета-потенциала

меньше или равна потенциалу Штерна
.
Основные модели геометрического представления ДЭС приведены в A.2 -
A.4.
A.2 Плоские поверхности
Толщина ДЭС характеризуется так называемой длиной Дебая

и определяется по формуле:

(A.1)
где F - постоянная Фарадея, Кл/моль;
ci - молярная концентрация i-го вида ионов, моль/м3;
zi - максимальная валентность i-го вида ионов;

- относительная диэлектрическая проницаемость жидкости;

- диэлектрическая постоянная, Ф/м;
R - универсальная газовая постоянная, Дж/(моль·К);
T - абсолютная температура, К.
Если количество анионов равно количеству катионов в электролите (симметричный электролит), то существует простая зависимость между плотностью электрического заряда в диффузном слое

и потенциалом Штерна

, а именно:

(A.2)
где

- относительная диэлектрическая проницаемость жидкости;

- диэлектрическая постоянная, Ф/м;
c - концентрация электролита, моль/м3;
R - универсальная газовая постоянная, Дж/(моль·К);
T - абсолютная температура, К;
F - постоянная Фарадея, Кл/моль;
- потенциал Штерна, В.
Если диффузный слой рассматривается у поверхности,
формула A.2 может быть использована для связи поверхностного заряда с поверхностным потенциалом.
В некоторых случаях используется понятие дифференциальной емкости ДЭС Cdl. Для плоской поверхности и симметричного электролита дифференциальная емкость ДЭС Cdl определяется по формуле:

(A.3)
где

- относительная диэлектрическая проницаемость жидкости;

- диэлектрическая постоянная, Ф/м;

- обратная длина Дебая, м
-1;
F - постоянная Фарадея, Кл/моль;
- потенциал Штерна, В;
R - универсальная газовая постоянная, Дж/(моль·К);
T - абсолютная температура, К.
Для симметричного электролита электрический потенциал

на расстоянии
x от плоской поверхности в ДЭС, определяется по формуле:
| | ИС МЕГАНОРМ: примечание. Формула дана в соответствии с официальным текстом документа. | |

(A.4)
где z - валентность иона;
F - постоянная Фарадея, Кл/моль;

- электрический потенциал в двойном слое, В;

- потенциал Штерна, В;
R - универсальная газовая постоянная, Дж/(моль·К);
T - абсолютная температура, К.
Соотношение между плотностью электрического заряда и потенциала диффузного слоя для асимметричного электролита определяется по формуле:

(A.5)
где

- потенциал Штерна, В;

- относительная диэлектрическая проницаемость жидкости;

- диэлектрическая постоянная, Ф/м;
c - концентрация электролита, моль/м3;
R - универсальная газовая постоянная, Дж/(моль·К);
T - абсолютная температура, К;

- количество катионов и анионов, произведенных при диссоциации одной молекулы электролита, моль;

- безразмерный потенциал, определяемый по формуле:

(A.6)
A.3 Изолированный сферический двойной электрический слой
Для плоского ДЭС существует только один геометрический параметр, а именно длина Дебая

. В случае сферического ДЭС существует дополнительный геометрический параметр - радиус частицы
a. Произведение двух параметров

является безразмерной величиной, которая играет важную роль в области дисперсных систем. В зависимости от значения

существует две асимптотические модели ДЭС.
Модель тонкого ДЭС соответствует дисперсным системам, в которых размеры ДЭС намного меньше радиуса частицы:

(A.7)
Подавляющее большинство водных дисперсных систем удовлетворяют этому условию, за исключением наночастиц с размерами меньше 100 нм в условиях низкой ионной силы раствора. Если предположить, что ионная сила превышает 10
-3 моль/л, что соответствует большинству природных водных систем, условие

выполняется практически для всех частиц, имеющих размер больше 100 нм.
Модель ДЭС больших размеров соответствует системам, где ДЭС намного больше радиуса частиц:

(A.8)
Условию (A.8) удовлетворяют многие водные нанодисперсные системы, имеющие низкую ионную силу, и подавляющее число дисперсных систем в углеводородных средах, также имеющих низкую ионную силу. Эти два асимптотических случая позволяют представить, примерно, структуру ДЭС вокруг сферических частиц. Изображения моделей ДЭС показаны на
рисунке A.2:

- длина Дебая,
2a - диаметр частицы.
Рисунок A.2 - Изображение моделей тонкого ДЭС (а) и ДЭС
больших размеров (б)
Основное аналитическое решение существует только для низких значений потенциала (приближение Дебая-Хюккеля):

(A.9)
где R - универсальная газовая постоянная, Дж/(моль·К);

- потенциал Штерна, В;
T - абсолютная температура, К;
F - постоянная Фарадея, Кл/моль.
В этом случае выражение для электрического потенциала

в сферическом ДЭС на расстоянии
r от центра частицы:

(A.10)
где

- потенциал Штерна, В;
a - радиус частицы, м;
r - расстояние от центра частицы, м;

- обратная длина Дебая, м
-1.
Тогда соотношение между плотностью электрического заряда в диффузном слое и потенциалом Штерна:

(A.11)
где

- относительная диэлектрическая проницаемость жидкости;

- диэлектрическая постоянная, Ф/м;

- обратная длина Дебая, м
-1;

- потенциал Штерна, В;
a - радиус частицы, м.
Приближение Дебая-Хюккеля справедливо для любого значения

, но охватывает только изолированные двойные слои.
Плотность электрического заряда в диффузном слое для значений

выражается формулой
[19],
[21]:

(A.12)
где

- относительная диэлектрическая проницаемость жидкости;

- диэлектрическая постоянная, Ф/м;
F - постоянная Фарадея, Кл/моль;

- обратная длина Дебая, м
-1;

- нормированное значение потенциала, В;
c - концентрация электролита, моль/м3;
a - радиус частицы, м;
z - валентность ионов.
A.4 Перекрытие двойных слоев
Приближение Дебая-Хюккеля не учитывает вероятность перекрытия двойных слоев в концентрированных дисперсных системах, то есть с высокой объемной долей частиц. Оценка значения критической объемной доли частиц

, при котором длина Дебая равна кратчайшему расстоянию между частицами, выражается формулой
[7]:

(A.13)
где

- обратная длина Дебая, м
-1;
a - радиус частицы, м.
Эта зависимость показана на рисунке A.3.
Рисунок A.3 - Зависимость критической объемной доли частиц
от параметра

Для

(тонких ДЭС) ДЭС рассматривается как изолированный объект, вплоть до объемных долей частиц, равных 0,4. Модель изолированного ДЭС является некорректной для малого

(ДЭС больших размеров), так как перекрытие ДЭС в таком случае происходит даже в очень разбавленных суспензиях.
В том случае, когда ДЭС сильно перекрываются, они теряют свою первоначальную экспоненциальную диффузную структуру, область наложения становится все более и более однородной. Можно представить, что заряженные частицы просто экранируют с однородным облаком противоположно заряженных ионов. Эта модель носит название "гомогенной"
[22].
Эта модель описывает упрощенную связь между плотностью электрического заряда диффузного слоя

и дзета-потенциалом

сферических частиц в дисперсных системах, особенно для монодисперсных систем:

(A.14)
где R - универсальная газовая постоянная, Дж/(моль·К);
T - абсолютная температура, К;
F - постоянная Фарадея, Кл/моль;

- объемная доля частиц;

- относительная диэлектрическая проницаемость жидкости;
a - радиус частицы, м;

- обратная длина Дебая, м
-1;

- дзета-потенциал, В.
Формула (A.14) отражает различие между "тонкими ДЭС" и "перекрывающимися ДЭС". В случае модели "тонкого ДЭС" как поверхностный заряд, так и дзета-потенциал являются поверхностными свойствами, независимо от объемной доли частиц. В случае "перекрывающихся ДЭС" поверхностный заряд является истинным параметром свойства поверхности. Электрокинетический потенциал может привести к ошибочным выводам, поскольку он зависит еще и от объемной доли, а не просто от поверхностного заряда. Таким образом, при работе с концентрированными дисперсными системами с ДЭС больших размеров должны быть представлены оба параметра, и дзета-потенциал, и поверхностный заряд.
(справочное)
ПОВЕРХНОСТНАЯ ПРОВОДИМОСТЬ
B.1 Основные положения
Поверхностной проводимостью называется избыточная электрическая проводимость, которая имеет место в дисперсных системах в связи с наличием двойного электрического слоя. Избыточные заряды в них двигаются под действием электрических полей, приложенных по касательной к поверхности. Это явление определяется термином "поверхностная проводимость

", которая аналогична объемной удельной проводимости
Km. Поверхностная проводимость

является избыточной величиной, описываемой как поверхностная концентрация определенного типа.
Движение зарядов диффузного слоя, расположенных за пределами плоскости сдвига, приводит к появлению поверхностной проводимости, называемой "бикермановская поверхностная проводимость"
[23]. Кроме того, данная проводимость может возникнуть и за счет проводимости неподвижного слоя. Она может включать в себя составляющие, обусловленные, с одной стороны, специфической адсорбцией заряда, а с другой - частью заряда диффузного слоя, который может находиться за плоскостью скольжения.
Предполагается, что заряд на твердой поверхности неподвижный.
B.2 Расчет числа Духина
В данном разделе рассмотрены системы, где размер двойного слоя мал по сравнению с радиусом частиц, то есть

. Проводимость в диффузной части двойного слоя за пределами плоскости сдвига складывается из двух составляющих
[23]: проводимости, вызванной движением зарядов по отношению к жидкости, и проводимости, вызванной за счет электроосмотического потока жидкости за пределы плоскости сдвига, что приводит к дополнительной подвижности зарядов и, следовательно, к дополнительному вкладу в
. Для расчета

можно использовать уравнение Бикермана, в котором

выражена как функция параметров электролита и двойного слоя. Для симметричного электролита использовано выражение

(B.1)
где e - элементарный электрический заряд, Кл;
NA - число Авогадро, моль-1;
z - валентность иона;
c - концентрация электролита, моль/м3;
kB - постоянная Больцмана, Дж/К;
T - абсолютная температура, К;
D+ - коэффициент диффузии катионов, м2/с;
D- - коэффициент диффузии анионов, м2/с;
- дзета-потенциал, В;

- вычисляется по формуле

.
Параметры

отражают относительный вклад электроосмоса в поверхностную проводимость:

(B.2)
где

- обратная длина Дебая, м
-1;
T - абсолютная температура, К;
e - элементарный электрический заряд, Кл;

- относительная диэлектрическая проницаемость жидкости;

- диэлектрическая постоянная, Ф/м;

- коэффициент диффузии катионов и анионов, м
2/с;

- динамическая вязкость, Па·с.
Мера относительной величины поверхностной проводимости выражается безразмерным числом Духина Du, которое связывает поверхностную и объемную проводимости соотношением:

(B.3)
где

- поверхностная проводимость, См;
Km - проводимость дисперсионной среды, См/м;
a - локальный радиус кривизны поверхности, м.
Для бикермановской проводимости Du можно записать в явном виде. Для симметричного электролита коэффициенты диффузии катионов и анионов одинаковы, поэтому m+ = m- = m, и тогда:

(B.4)
где

- обратная длина Дебая, м
-1;
a - радиус частицы, м;
z - валентность иона;
m - выражена формулой

,
где

- обратная длина Дебая, м
-1;
T - абсолютная температура, К;
e - элементарный электрический заряд, Кл;

- относительная диэлектрическая проницаемость жидкости;

- диэлектрическая постоянная, Ф/м;
Deff - коэффициент диффузии электролита, м2/с;

- динамическая вязкость, Па·с.
Формула (B.4) для числа Духина отражает лишь поверхностную проводимость в диффузном слое за пределами плоскости сдвига.
Поверхностная проводимость в неподвижном слое увеличивает число Духина. Это обстоятельство требует прямого измерения проводимости, потому что не существует в явном виде уравнения, которое включало бы в себя число Духина и параметры двойного слоя. По теории Максвелла-Вагнера-О'Конски [
8 -
10], проводимость дисперсных сред с непроводящими сферическими частицами K
s рассчитывают по формуле:

(B.5)
где

- объемная доля частиц;
Du - число Духина.
(справочное)
Этот параметр является оценкой толщины ДЭС в соответствии с
приложением A. Он важен для понимания агрегативной устойчивости и взаимодействия частиц и используется для оценки среднего расстояния между приближающимися друг к другу частицами в жидкости перед тем, как электростатическое взаимодействие между ними становится существенным.
Длина Дебая определяется расчетным методом или экспериментально. Расчет длины Дебая производится по
формуле (A.1) при известных концентрации образца и валентности всех видов ионов.
Экспериментальный метод определения длины Дебая, основанный на измерении проводимости, был предложен Духиным и Гетцем. Расчет производится по следующей формуле
[7]:

(C.1)
где

- относительная диэлектрическая проницаемость жидкости;

- диэлектрическая постоянная, Ф/м;
Deff - эффективный коэффициент диффузии электролита;
Km - проводимость дисперсной среды, См/м.
Основной вклад в суммарную неопределенность при расчете

вносит неизвестный эффективный коэффициент диффузии
Deff. Этот параметр варьируется в ограниченном диапазоне. Например, коэффициенты диффузии большинства ионов в водных растворах схожи и имеют значения, которые при комнатной температуре находятся в диапазоне от 0,6·10
-9 м
2/с до 2·10
-9 м
2/с. При этом неопределенность составляет несколько десятков процентов.
В случае неводных систем используется теория Фуосса
[24] для связи коэффициента диффузии и электрической проницаемости жидкости.
(справочное)
МОДИФИЦИРОВАННАЯ ЭЛЕКТРОАКУСТИЧЕСКАЯ ТЕОРИЯ
D.1 Основные положения
Электроакустические методы определения дзета-потенциала применяются для концентрированных дисперсных систем. При этом учитываются гидродинамические и электродинамические взаимодействия между частицами. Для неконцентрированных дисперсных систем применяется теория О'Брайана, которая определяет связь между измеряемым электроакустическим сигналом и динамической электрофоретической подвижностью.
| | ИС МЕГАНОРМ: примечание. В официальном тексте документа, видимо, допущена опечатка: пункт 4.3 отсутствует. Возможно, имеется в виду раздел 4. | |
Тем не менее, существует только одна элементарная электроакустическая теория, связывающая электрофоретическую подвижность с дзета-потенциалом, применяемая для концентрированных сред, - это электроакустическая теория О'Брайана в приближении Смолуховского (см.
4.3). Она имеет ограниченный диапазон применения.
D.2 Расширенная электроакустическая теория для звуковой амплитуды
После того как была предложена
[25] первая версия электрокинетической теории звуковой амплитуды, в предположении изолированных тонких ДЭС, начали проводиться исследования, экспериментально подтверждающие теорию [
26 -
27].
D.3 Расширенная электроакустическая теория для тока колеблющейся дисперсной системы
В предположении изолированных тонких ДЭС в этой теории [
6 -
7] применяется ячеечная модель для описания гидродинамического и электродинамического взаимодействий частиц. В ней учитывается поверхностная проводимость и поляризация ДЭС Максвелла-Вагнера.
D.4 Расширенная электроакустическая теория для перекрывающихся ДЭС, коллоидных и неполярных дисперсных систем
Эта теория
[22] учитывает перекрывающиеся ДЭС, которые образуются в концентрированных нанодисперсных системах в связи с малым размером частиц и в неполярных дисперсных системах в связи с ДЭС больших размеров.
Данная теория предполагает, что диффузные части двойного слоя отдельных частиц однородно распространяются в межчастичном пространстве. Дисперсная система может быть смоделирована как система заряженных частиц, движущихся в однородном облаке противоположно заряженных ионов. Такая теория называется гомогенным приближением.
Данная аналитическая модель описана формулой (D.1) для динамической электрофоретической подвижности:

(D.1)
где

- поверхностная плотность заряда, Кл/м
2;

;
a - радиус частицы, м;

- динамическая вязкость, Па·с;

- коэффициент аэродинамического сопротивления, введенный в соответствии с законом Стокса

и отражающий гидродинамическое взаимодействие частиц;

- плотность частицы, кг/м
3;

- плотность дисперсной среды, кг/м
3;

- плотность среды, кг/м
3;

- объемная доля частиц;

- частота вращения, с
-1.
Это приближение дает возможность прямого измерения электрокинетического заряда в нанодисперсных и неполярных дисперсных системах без использования длины Дебая.
(справочное)
РАВНОВЕСНОЕ РАЗБАВЛЕНИЕ И ДРУГИЕ МОДИФИКАЦИИ ОБРАЗЦА
Сравнение различных методов определения дзета-потенциала осложняется тем фактом, что дзета-потенциал зависит не только от свойств частиц, но также от химического равновесия между поверхностью частиц и жидкостью. Любое изменение химического и ионного состава жидкости влияет на это равновесие и, следовательно, на величину дзета-потенциала.
Это создает проблему для методов, которые требуют сильного разбавления образца. Подготовку образца должны проводить таким методом, чтобы дзета-потенциал исходной системы и разбавленной пробы не изменялся.
При разбавлении не только поверхности частиц должны оставаться идентичными в исходном и разбавленном растворе, но и жидкости. Это условие сложно выполняется, если в процессе используется как разбавление, так и стабилизация поверхностно-активного вещества в образце.
При приготовлении образца следует применять так называемый способ равновесного разбавления, в котором использована та же самая жидкость, что и в исходной системе, в качестве разбавителя. После разбавления единственным параметром, который изменяется, является концентрация частиц. Пробоподготовка на основе равновесного разбавления позволяет сохранить значения дзета-потенциала в исходном и разбавленном растворе.
Существуют два подхода к подготовке жидкости, используемой для разбавления. Первый подход заключается в извлечении жидкости после осаждения частиц путем седиментации или центрифугирования и подходит для субмикронных частиц с достаточно высокой концентрацией и менее применим для наночастиц. Другой подход связан с применением диализа и больше подходит для нано- и биодисперсных систем. Использование диализных мембран связано с тем, что они пропускают ионы и молекулы и не пропускают дисперсные частицы
[6].
В некоторых случаях может возникнуть необходимость приготовления более концентрированных проб. Это может быть достигнуто путем первоначального отделения частиц от жидкости и повторного диспергирования их в той же жидкости, но при более высокой объемной доле частиц.
| Smoluchowski, M. Handbuch der Electrizitat und des Magnetismus [Handbook of electricity and magnetism]. Leipzig: Barth, Vol. 2, 1921 |
| Lyklema, J. Fundamentals of interface and colloid science. Academic Press, Vol. 2, 1995, pp. 3 - 208 |
[3] | Hunter, R.J. Foundations of colloid science. Oxford: Oxford University Press, 1989 |
| Dukhin, S.S., Derjaguin, B.V. Electrokinetic Phenomena. New York, NY: Wiley, 1974 |
| O'Brien, R.W. Electro-acoustic effects in a dilute suspension of spherical particles. J. Fluid Mech. 1988, 190, pp. 71 - 86 |
| Dukhin, A.S., Shilov, V.N., Ohshima, H., Goetz, P.J. Electroacoustics phenomena in concentrated dispersions: New theory and CVI experiment. Langmuir 1999, 15, pp. 6692 - 6706 |
| Dukhin, A.S., Goetz, P.J. Ultrasound for characterizing colloids. Elsevier, 2002 |
| Maxwell, J.C. Electricity and magnetism. Oxford: Clarendon Press, Vol. 1, 1892 |
[9] | Wagner K.W.  der dielektrischen  auf Grund Maxwellscher Vorstellungen [Explanation of the dielectric aftereffect processes on the basis of Maxwellian concepts]. Arch. Elektrotech. 1914, 2, p. 371 |
| Dukhin, S.S., Shilov, V.N. Dielectric phenomena and the double layer in dispersed systems and polyelectrolytes. New York, NY: Wiley, 1974 |
| Long, R.P., Ross, S. The effect of the overlap of double layers on electrophoretic mobilities of polydisperse suspensions. J. Colloid Interface Sci. 1968, 26, pp. 434 - 445 |
| Helmholtz H. Pogg. Ann. 1853, LXXXIX, p. 211 |
| Gouy, L.G. Sur la constitution de la charge  la surface d'un  [On the distribution of electric charge at the surface of an electrolyte]. Compt. Rend. Hebdo.  Acad. Sci. 1909, 149, pp. 354 - 357 |
| Chapman, D.L. A contribution to the theory of electrocapillarity. Philos. Mag. 1913, 6 (25), p. 475 |
| Stern, O. Zur Theorie der Electrolytischen Doppelshicht [On the theory of the electrolytic blocking layer]. Z. Electrochem. 1924, 30, p. 508 |
| Delgado, A.V.,  , F., Hunter, R.J., Koopal, I.K., Lyklema, J. Measurement and interpretation of electrokinetic phenomena (IUPAC Technical Report). Pure Appl. Chem. 2005, 77, pp. 1753 - 1805; J. Colloid Interface Sci 2007, 309, pp. 194 - 224 |
[17] | O'Brien, R.W., White, L.R. Electrophoretic mobility of a spherical colloidal particle. J. Chem. Soc. Faraday Trans. II 1978, 74, pp. 1607 - 1624 |
|  , E. Die Kataphorese der Kugel [The cataphoresis of spheres]. Phys. Z. 1924, 25, p. 204 |
| Loeb, A.L., Overbeek, J.TH.G., Wiersema, P.H. The electrical double layer around a spherical colloid particle. Cambridge, MA: MIT Press, 1961 |
[20] | Overbeek, J.TH.G., Verhoeckx, G.J., De Bruyn, P.L., Lekkerkerker, H.N.W. On understanding microemulsions II: Thermodynamics of droplet-type microemulsions. J. Colloid Interface Sci. 1987, 119, p. 422 |
| Dukhin, S.S., Semenikhin, N.M., Shapinskaya, L.M., eds. Dokl. Phys. Chem. 1970, 193, p. 540 |
| Shilov, V.N., Borkovskaya, Y.B., Dukhin, A.S. Electroacoustic theory for concentrated colloids with overlapped DLs at arbitrary  . Application to nanocolloids and nonaqueous colloids. J. Colloid Interface Sci. 2004, 277, pp. 347 - 358 |
| Bikerman, J.J. Electrokinetic equations and surface conductance: A survey of the diffuse double layer theory of colloidal solutions. Trans. Faraday Soc. 1940, 36, p. 154 - 160 |
| Fuoss, R.M. Ionic association III: The equilibrium between ion pairs and free ions. J. Am. Chem. Soc. 1958, 80, pp. 5059 - 5060 |
| Rider, P.F., O'Brien, R.W. The dynamic mobility of particles in a non-dilute suspension. J. Fluid Meeh. 1993, 257, pp. 607 - 636 |
| Ennis, J.P., Shugai, A.A., Carnie, S.L. Dynamic mobility of two spherical particles with thick double layers. J. Colloid Interface Sci. 2000, 223, pp. 21 - 36 |
| Ennis, J.P., Shugai, A.A., Carnie, S.L. Dynamic mobility of particles with thick double layers in a nondilute suspension. J. Colloid Interface Sci. 2000, 223, pp. 37 - 53 |