Главная // Актуальные документы // ГОСТ (Государственный стандарт)СПРАВКА
Источник публикации
М.: Стандартинформ, 2017
Примечание к документу
Документ
введен в действие с 01.06.2018.
Название документа
"ГОСТ 34038-2016. Межгосударственный стандарт. Упаковка стеклянная. Флаконы. Допускаемые отклонения от номинальных размеров"
(введен в действие Приказом Росстандарта от 07.09.2017 N 1033-ст)
"ГОСТ 34038-2016. Межгосударственный стандарт. Упаковка стеклянная. Флаконы. Допускаемые отклонения от номинальных размеров"
(введен в действие Приказом Росстандарта от 07.09.2017 N 1033-ст)
Введен в действие
по техническому регулированию
и метрологии
от 7 сентября 2017 г. N 1033-ст
МЕЖГОСУДАРСТВЕННЫЙ СТАНДАРТ
УПАКОВКА СТЕКЛЯННАЯ. ФЛАКОНЫ
ДОПУСКАЕМЫЕ ОТКЛОНЕНИЯ ОТ НОМИНАЛЬНЫХ РАЗМЕРОВ
Glass packaging. Flacons. Standard tolerances
from nominal dimensions
(ISO 12818:2013, NEQ)
ГОСТ 34038-2016
Дата введения
1 июня 2018 года
Цели, основные принципы и основной порядок проведения работ по межгосударственной стандартизации установлены в
ГОСТ 1.0-2015 "Межгосударственная система стандартизации. Основные положения" и
ГОСТ 1.2-2015 "Межгосударственная система стандартизации. Стандарты межгосударственные, правила, рекомендации по межгосударственной стандартизации. Правила разработки, принятия, обновления и отмены"
1 РАЗРАБОТАН Обществом с ограниченной ответственностью "Эксперт-Стандарт" (ООО "Эксперт-Стандарт")
2 ВНЕСЕН Межгосударственным техническим комитетом по стандартизации МТК 074 "Стеклянная тара и посуда"
3 ПРИНЯТ Межгосударственным советом по стандартизации, метрологии и сертификации (протокол от 19 декабря 2016 г. N 94-П)
За принятие проголосовали:
Краткое наименование страны по МК (ИСО 3166) 004-97 | Код страны по МК (ИСО 3166) 004-97 | Сокращенное наименование национального органа по стандартизации |
Армения | AM | Минэкономики Республики Армения |
Грузия | GE | Грузстандарт |
Казахстан | KZ | Госстандарт Республики Казахстан |
Киргизия | KG | Кыргызстандарт |
Россия | RU | Росстандарт |
Узбекистан | UZ | Узстандарт |
4
Приказом Федерального агентства по техническому регулированию и метрологии от 7 сентября 2017 г. N 1033-ст межгосударственный стандарт ГОСТ 34038-2016 введен в действие в качестве национального стандарта Российской Федерации с 1 июня 2018 г.
5 Настоящий стандарт разработан с учетом основных нормативных положений международного стандарта ISO 12818:2013 "Упаковка стеклянная. Стандартные отклонения для флаконов" ("Glass packaging - Standard tolerances for flaconnages", NEQ).
Международный стандарт разработан Техническими комитетами CEN/TC 261 "Упаковка" и ISO/TC 63 "Тара стеклянная", при параллельном его одобрении комитетами - членами ИСО
6 ВВЕДЕН ВПЕРВЫЕ
Информация об изменениях к настоящему стандарту публикуется в ежегодном информационном указателе "Национальные стандарты", а текст изменений и поправок - в ежемесячном информационном указателе "Национальные стандарты". В случае пересмотра (замены) или отмены настоящего стандарта соответствующее уведомление будет опубликовано в ежемесячном информационном указателе "Национальные стандарты". Соответствующая информация, уведомление и тексты размещаются также в информационной системе общего пользования - на официальном сайте Федерального агентства по техническому регулированию и метрологии в сети Интернет (www.gost.ru)
Настоящий стандарт устанавливает допускаемые отклонения от номинальных размеров стеклянной упаковки (флаконов), используемой для фармацевтической, парфюмерно-косметической и химической продукции по следующим показателям:
- параметры полной вместимости;
- высота;
- диаметр и ширина;
- вертикальность оси.
Стандарт не распространяется на стеклянную упаковку вместимостью менее 1 мл и на упаковку для пищевых продуктов.
2 Группы стеклянной упаковки
Стеклянную упаковку подразделяют на:
- группа 1 - флаконы для лекарственных средств и емкости всех видов для медицинской продукции.
В эту группу входят, например, емкости для инъекций, бутылки для вливания раствора, бутылки для микстуры от кашля и другие бутылки и банки (банки для мази) для фармацевтической продукции;
- группа 2 - флаконы для парфюмерно-косметической продукции.
В эту группу входят все бутылки и аналогичные емкости, используемые для косметической продукции, например, лака для ногтей, тоника для волос, духов, а также банок для крема и другой аналогичной продукции.
- группа 3 - флаконы для химической продукции.
В эту группу входят, например, бутылки для чернил, лака, клея, химикатов, пятновыводителя, полироли для мебели, веществ для уничтожения вредителей, спиртового денатурата и другой аналогичной продукции.
3 Отклонения параметров полной вместимости флакона
3.1 Допускаемые отклонения параметров флаконов, обеспечивающих заданную полную вместимость, не должны превышать указанные в
таблице 1.
Полная вместимость, мл, C | Отклонение, +/- мл, Tc |
Диаметр | |
Св. 1 до 3 включ. | 0,6 | 0,7 |
Св. 3 до 8 включ. | 0,7 | 0,8 |
Св. 8 до 13 включ. | 0,8 | 1 |
Св. 13 до 18 включ. | 0,9 | 1,1 |
Св. 18 до 24 включ. | 1 | 1,2 |
Св. 24 до 30 включ. | 1,1 | 1,3 |
Св. 30 до 36 включ. | 1,2 | 1,4 |
Св. 36 до 41 включ. | 1,3 | 1,6 |
Св. 41 до 47 включ. | 1,4 | 1,7 |
Св. 47 до 52 включ. | 1,5 | 1,8 |
Св. 52 до 57 включ. | 1,6 | 1,9 |
Св. 57 до 63 включ. | 1,7 | 2 |
Св. 63 до 69 включ. | 1,8 | 2,2 |
Св. 69 до 75 включ. | 1,9 | 2,3 |
Св. 75 до 81 включ. | 2 | 2,4 |
Св. 81 до 86 включ. | 2,1 | 2,5 |
Св. 86 до 92 включ. | 2,2 | 2,6 |
Св. 92 до 98 включ. | 2,3 | 2,8 |
Св. 98 до 104 включ. | 2,4 | 2,9 |
Св. 104 до 110 включ. | 2,5 | 3 |
Св. 110 до 116 включ. | 2,6 | 3,1 |
Св. 116 до 122 включ. | 2,7 | 3,2 |
Св. 122 до 128 включ. | 2,8 | 3,4 |
Св. 128 до 134 включ. | 2,9 | 3,5 |
Св. 134 до 140 включ. | 3 | 3,6 |
Св. 140 до 146 включ. | 3,1 | 3,7 |
Св. 146 до 152 включ. | 3,2 | 3,8 |
Св. 152 до 158 включ. | 3,3 | 4 |
Св. 158 до 164 включ. | 3,4 | 4,1 |
Св. 164 до 171 включ. | 3,5 | 4,2 |
Св. 171 до 178 включ. | 3,6 | 4,3 |
Св. 178 до 185 включ. | 3,7 | 4,4 |
Св. 185 до 191 включ. | 3,8 | 4,5 |
Св. 191 до 198 включ. | 3,9 | 4,7 |
Св. 198 до 205 включ. | 4 | 4,8 |
Св. 205 до 211 включ. | 4,1 | 4,9 |
Св. 211 до 218 включ. | 4,2 | 5 |
Св. 218 до 225 включ. | 4,3 | 5,2 |
Св. 225 до 232 включ. | 4,4 | 5,3 |
Св. 232 до 239 включ. | 4,5 | 5,4 |
Св. 239 до 246 включ. | 4,6 | 5,5 |
Св. 246 до 253 включ. | 4,7 | 5,6 |
Св. 253 до 260 включ. | 4,8 | 5,8 |
Св. 260 до 267 включ. | 4,9 | 5,9 |
Св. 267 до 274 включ. | 5 | 6 |
Св. 274 до 282 включ. | 5,1 | 6,1 |
Св. 282 до 289 включ. | 5,2 | 6,2 |
Св. 289 до 297 включ. | 5,3 | 6,4 |
Св. 297 до 305 включ. | 5,4 | 6,5 |
Св. 305 до 313 включ. | 5,5 | 6,6 |
Св. 313 до 321 включ. | 5,6 | 6,7 |
Св. 321 до 329 включ. | 5,7 | 6,8 |
Св. 329 до 337 включ. | 5,8 | 7 |
Св. 337 до 345 включ. | 5,9 | 7,1 |
Св. 345 до 354 включ. | 6 | 7,2 |
Св. 354 до 362 включ. | 6,1 | 7,3 |
Св. 362 до 370 включ. | 6,2 | 7,4 |
Св. 370 до 379 включ. | 6,3 | 7,6 |
Св. 379 до 388 включ. | 6,4 | 7,7 |
Св. 388 до 397 включ. | 6,5 | 7,8 |
Св. 397 до 406 включ. | 6,6 | 7,9 |
Св. 406 до 415 включ. | 6,7 | 8 |
Св. 415 до 425 включ. | 6,8 | 8,2 |
Св. 425 до 435 включ. | 6,9 | 8,3 |
Св. 435 до 454 включ. | - | - |
Св. 454 до 464 включ. | 7,2 | 8,6 |
Св. 464 до 474 включ. | 7,3 | 8,8 |
Св. 474 до 484 включ. | 7,4 | 8,9 |
Св. 484 до 495 включ. | 7,5 | 9 |
Св. 495 до 507 включ. | 7,6 | 9,1 |
Св. 507 до 519 включ. | 7,7 | 9,2 |
Св. 519 до 530 включ. | 7,8 | 9,4 |
Св. 530 до 541 включ. | 7,9 | 9,5 |
Св. 541 до 554 включ. | 8 | 9,6 |
Св. 554 до 568 включ. | 8,1 | 9,7 |
Св. 568 до 580 включ. | 8,2 | 9,8 |
Св. 580 до 595 включ. | 8,3 | 9,9 |
Св. 595 до 609 включ. | 8,4 | 10 |
Св. 609 до 624 включ. | 8,5 | 10,2 |
Св. 624 до 640 включ. | 8,6 | 10,3 |
Св. 640 до 655 включ. | 8,7 | 10,4 |
Св. 655 до 673 включ. | 8,8 | 10,6 |
Св. 673 до 691 включ. | 8,9 | 10,7 |
Св. 691 до 712 включ. | 9 | 10,8 |
Св. 712 до 736 включ. | 9,1 | 10,9 |
Св. 736 до 760 включ. | 9,2 | 11 |
Св. 760 до 790 включ. | 9,3 | 11,2 |
Св. 790 до 820 включ. | 9,4 | 11,3 |
Св. 820 до 850 включ. | 9,5 | 11,4 |
Св. 850 до 880 включ. | 9,6 | 11,5 |
Св. 880 до 910 включ. | 9,7 | 11,6 |
Св. 910 до 940 включ. | 9,8 | 11,8 |
Св. 940 до 970 включ. | 9,9 | 11,9 |
Св. 970 до 1050 включ. | 10 | 12 |
<*> Кроме специальных профилей. |
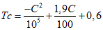
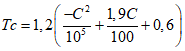
3.2 Допускаемые отклонения (Tc) параметров, обеспечивающих заданную полную вместимость флаконов, мл, не должны превышать вычисленных по следующим формулам:
- для круглых флаконов:
C <= 1000 мл,

, (1)
C > 1000 мл,

, (2)
- для некруглых флаконов:
C <= 1000 мл,

, (3)
C > 1000 мл,

, (4)
где C - полная вместимость.
4 Отклонение высоты флакона
4.1 Допускаемое отклонение высоты флакона не должно превышать указанное в
таблице 2.
Высота, H, мм | Отклонение, Th, мм |
+/- |
Св. 4 до 35 включ. | 0,5 |
Св. 35 до 65 включ. | 0,6 |
Св. 65 до 90 включ. | 0,7 |
Св. 90 до 115 включ. | 0,8 |
Св. 115 до 140 включ. | 0,9 |
Св. 140 до 165 включ. | 1,0 |
Св. 165 до 190 включ. | 1,1 |
Св. 190 до 215 включ. | 1,2 |
Св. 215 до 240 включ. | 1,3 |
Св. 240 до 265 включ. | 1,4 |
Св. 265 до 290 включ. | 1,5 |
Св. 290 до 315 включ. | 1,6 |
Св. 315 до 340 включ. | 1,7 |
Св. 340 до 365 включ. | 1,8 |
Рисунок 1 - Высота флакона
4.2 Допускаемое отклонение высоты флакона (Th), мм, не должно превышать вычисленного по следующей формуле:
Th = 0,004 H + 0,4, (5)
где H - высота флакона, мм.
5 Отклонения размеров диаметра и ширины флакона
5.1 Допускаемые отклонения размеров диаметра флакона не должны превышать указанных в
таблице 3, а ширины - указанных в примечании к
рисунку 2.
Примечание - Для некруглых флаконов: отклонение
L = отклонению
D + 0,1, где
D (см.
таблицу 3), отклонение
E = отклонению
L.
Рисунок 2 - Диаметр и ширина флакона
Диаметр, мм | Отклонение Td, мм |
+/- |
До 18 включ. | 0,5 |
Св. 18 до 30 включ. | 0,6 |
Св. 30 до 44 включ. | 0,7 |
Св. 44 до 54 включ. | 0,8 |
Св. 54 до 60 включ. | 0,9 |
Св. 60 до 70 включ. | 1,0 |
Св. 70 до 75 включ. | 1,1 |
Св. 75 до 82 включ. | 1,2 |
Св. 82 до 90 включ. | 1,3 |
Св. 90 до 97 включ. | 1,4 |
Св. 97 до 105 включ. | 1,5 |
Св. 105 до 110 включ. | 1,6 |
Св. 110 до 118 включ. | 1,7 |
Св. 118 до 125 включ. | 1,8 |
Св. 125 до 132 включ. | 1,9 |
Св. 132 до 140 включ. | 2,0 |
Св. 140 до 148 включ. | 2,1 |
Св. 148 до 155 включ. | 2,2 |
Св. 155 до 162 включ. | 2,3 |
Св. 162 до 169 включ. | 2,4 |
Св. 169 до 175 включ. | 2,5 |
Св. 175 до 182 включ. | 2,6 |
5.2 Допускаемые отклонения (Te) и (Tl), мм, не должны превышать вычисленных по следующим формулам:
- для круглых флаконов:
если E <= 50, то Te = 0,008E + 0,4, (6)
если E > 50, то Te = 0,014E + 0,1, (7)
- для некруглых флаконов:
если L <= 50, то Tl = 0,008L + 0,5, (8)
если L > 50, то Tl = 0,014L + 0,2. (9)
6 Отклонения вертикальности оси флакона
6.1 Допускаемые отклонения вертикальности оси флакона не должны превышать указанных в
таблице 4.
Высота, H, мм | |
+/- |
До 20 включ. | 0,5 |
Св. 20 до 40 включ. | 0,7 |
Св. 40 до 60 включ. | 0,9 |
Св. 60 до 80 включ. | 1,1 |
Св. 80 до 100 включ. | 1,3 |
Св. 100 до 120 включ. | 1,6 |
Св. 120 до 140 включ. | 1,8 |
Св. 140 до 160 включ. | 2,1 |
Св. 160 до 180 включ. | 2,3 |
Св. 180 до 200 включ. | 2,6 |
Св. 200 до 220 включ. | 2,9 |
Св. 220 до 240 включ. | 3,1 |
Св. 240 до 260 включ. | 3,4 |
Св. 260 до 280 включ. | 3,6 |
Св. 280 до 300 включ. | |
<a> Допуск на отклонение вертикальности. |
a - допуск на отклонение вертикальности
Рисунок 3 - Вертикальность
6.2 Допускаемое отклонение вертикальности оси флакона (Tv), мм, вычисляют по следующим формулам:
если H <= 100 : Tv = 0,3 + 0,01H, (10)
если H > 100 : Tv = 1,3%·H, (11)
где H - высота флакона, мм.
УДК 621.798.147:001.4:006.354 | | NEQ |
Ключевые слова: упаковка стеклянная, параметры, размеры, отклонения, полная вместимость, высота, диаметр, ширина, вертикальность |