Главная // Актуальные документы // ГОСТ (Государственный стандарт)СПРАВКА
Источник публикации
М.: Стандартинформ, 2017
Примечание к документу
Текст данного документа приведен с учетом
поправки, опубликованной в "ИУС", N 1, 2021.
Документ
введен в действие с 1 июня 2018 года.
Название документа
"ГОСТ 34035-2016. Межгосударственный стандарт. Упаковка стеклянная. Бой для стекловарения. Общие технические условия"
(введен в действие Приказом Росстандарта от 07.09.2017 N 1031-ст)
"ГОСТ 34035-2016. Межгосударственный стандарт. Упаковка стеклянная. Бой для стекловарения. Общие технические условия"
(введен в действие Приказом Росстандарта от 07.09.2017 N 1031-ст)
Введен в действие
агентства по техническому
регулированию и метрологии
от 7 сентября 2017 г. N 1031-ст
МЕЖГОСУДАРСТВЕННЫЙ СТАНДАРТ
УПАКОВКА СТЕКЛЯННАЯ. БОЙ ДЛЯ СТЕКЛОВАРЕНИЯ
ОБЩИЕ ТЕХНИЧЕСКИЕ УСЛОВИЯ
Glass package. Cullet for glassmaking.
General specifications
ГОСТ 34035-2016
Дата введения
1 июня 2018 года
Цели, основные принципы и основной порядок проведения работ по межгосударственной стандартизации установлены в
ГОСТ 1.0-2015 "Межгосударственная система стандартизации. Основные положения" и
ГОСТ 1.2-2015 "Межгосударственная система стандартизации. Стандарты межгосударственные, правила и рекомендации по межгосударственной стандартизации. Правила разработки, принятия, обновления и отмены"
1 ПОДГОТОВЛЕН Обществом с ограниченной ответственностью "Эксперт-Стандарт" (ООО "Эксперт-Стандарт")
2 ВНЕСЕН Межгосударственным техническим комитетом по стандартизации МТК 074 "Стеклянная тара и посуда"
3 ПРИНЯТ Межгосударственным советом по стандартизации, метрологии и сертификации (протокол от 19 декабря 2016 г. N 94-П)
За принятие проголосовали:
Краткое наименование страны по МК (ИСО 3166) 004-97 | Код страны по МК (ИСО 3166) 004-97 | Сокращенное наименование национального органа по стандартизации |
Армения | AM | Минэкономики Республики Армения |
Беларусь | BY | Госстандарт Республики Беларусь |
Грузия | GE | Грузстандарт |
Казахстан | KZ | Госстандарт Республики Казахстан |
Киргизия | KG | Кыргызстандарт |
Россия | RU | Росстандарт |
Туркмения | TM | Главгосслужба "Туркменстандартлары" |
Узбекистан | UZ | Узстандарт |
4
Приказом Федерального агентства по техническому регулированию и метрологии от 7 сентября 2017 г. N 1031-ст межгосударственный стандарт ГОСТ 34035-2016 введен в действие в качестве национального стандарта Российской Федерации с 1 июня 2018 г.
5 Настоящий стандарт подготовлен на основе применения ГОСТ Р 52233-2004 <*>
--------------------------------
<*>
Приказом Федерального агентства по техническому регулированию и метрологии от 7 сентября 2017 г. N 1031-ст ГОСТ Р 52233-2004 отменен с 1 июня 2018 г.
6 ВВЕДЕН ВПЕРВЫЕ
Информация об изменениях к настоящему стандарту публикуется в ежегодном информационном указателе "Национальные стандарты", а текст изменений и поправок - в ежемесячном информационном указателе "Национальные стандарты". В случае пересмотра (замены) или отмены настоящего стандарта соответствующее уведомление будет опубликовано в ежемесячном информационном указателе "Национальные стандарты". Соответствующая информация, уведомление и тексты размещаются также в информационной системе общего пользования - на официальном сайте Федерального агентства по техническому регулированию и метрологии в сети Интернет (www.gost.ru)
Настоящий стандарт распространяется на стеклянный бой для стекловарения, собираемый и поставляемый внутри страны, а также поставляемый по импорту, с целью использования в качестве сырья для производства стеклянной упаковки.
Стандарт не распространяется на стеклянный бой, содержащий в своем составе оксиды бора, бария, свинца, стронция, фосфора, а также на стеклянный бой из декорированных, глушеных, окрашенных в массе (кроме коричневого и зеленого), закристаллизованных стекол и изделий из них.
Стандарт устанавливает требования к качеству, правилам приемки, методам контроля, транспортированию и хранению стеклянного боя для стекловарения.
Допускается использовать стеклянный бой для других целей.
В настоящем стандарте использованы нормативные ссылки на следующие межгосударственные стандарты:
ГОСТ OIML R 76-1-2011 Весы неавтоматического действия. Часть 1. Метрологические и технические требования. Испытания
ГОСТ 3306-88 Сетки с квадратными ячейками из стальной рифленой проволоки. Технические условия
Примечание - При пользовании настоящим стандартом целесообразно проверить действие ссылочных стандартов в информационной системе общего пользования - на официальном сайте Федерального агентства по техническому регулированию и метрологии в сети Интернет или по ежегодному информационному указателю "Национальные стандарты", который опубликован по состоянию на 1 января текущего года, и по выпускам ежемесячного информационного указателя "Национальные стандарты" за текущий год. Если ссылочный стандарт заменен (изменен), то при пользовании настоящим стандартом следует руководствоваться заменяющим (измененным) стандартом. Если ссылочный стандарт отменен без замены, то положение, в котором дана ссылка на него, применяется в части, не затрагивающей эту ссылку.
В настоящем стандарте применен следующий термин с соответствующим определением:
3.1 стеклянный бой для стекловарения: Бой стекла, образующийся в основном, при производстве и использовании стеклянной упаковки и листового стекла.
4. Технические требования
4.1 Характеристики
4.1.1 Стеклянный бой должен соответствовать требованиям настоящего стандарта.
Допускается поставлять стеклянный бой с характеристиками, отличающимися от требований настоящего стандарта, по согласованию с потребителем по договорам (контрактам) на поставку.
4.1.2 Стеклянный бой подразделяют на 1-й и 2-й сорта.
4.1.3 Стеклянный бой подразделяют визуально по цвету, согласно таблице 1.
Условное обозначение стеклянного боя | Цвет стеклянного боя |
БС | Бесцветный (полубелый) |
ЗС | Зеленый |
КС | Коричневый |
4.1.4 В поставляемой партии стеклянного боя допускается содержание боя других цветов в количестве, указанном в таблице 2.
Цвет основного стеклянного боя | Цвет стеклянного боя другого цвета | 1-й сорт не более, % | 2-й сорт не более, % |
Бесцветный (полубелый) | КС + ЗС | 0,5 | 4,0 |
Зеленый-1 | БС | 10,0 | 20,0 |
Зеленый-2 | КС | 5,0 | 10,0 |
Коричневый | БС + ЗС | 5,0 | 10,0 |
4.1.5 Размеры кусков стеклянного боя для стекловарения 1-го сорта должны быть от 10 до 50 мм. Допускается содержание в партии боя 1-го сорта кусков размером более 50 мм не более 5%, размером менее 10 мм - не более 1%.
Размеры кусков боя 2-го сорта не нормируют, масса отдельных кусков боя не должна быть более 2 кг.
4.1.6 Допускаемое количество примесей в партии стеклянного боя приведено в таблице 3.
Группа примесей | Наименование примесей | Допускаемое количество примесей в стеклянном бое, % |
1-го сорта | 2-го сорта |
1 | Триплекс, опаловое стекло, стекло, армированное металлической сеткой; автомобильные стекла с пленкой, стеклокерамика, металлические предметы и пробки, тугоплавкие стекла, зеркала, керамика, фарфор, шлак, уголь, кирпич, камень, щебень, бетон, асфальт, куски керамзита, резина, пластик | Не допускаются | Не более 2 |
2 | Корковые пробки, бумага, этикетки и другие органические примеси | Не более 0,5 | Не более 10 |
3 | Песок, глина и другие нерастворимые примеси | Не более 0,2 | Не более 5 |
Обозначение стеклянного боя при заказе партии должно содержать:
- условное обозначение боя по цвету;
- сорт боя;
- обозначение настоящего стандарта.
Пример условного обозначения:
Бесцветный (полубелый) бой 1-го сорта:
БС-1, ГОСТ 34035-2016.
5.1 Стеклянный бой поставляют партиями.
5.2 Партией считают количество стеклянного боя одного цвета
(таблица 1) и одного сорта (
таблицы 2,
3). Партия должна сопровождаться документом содержащим:
- наименование страны и организации, поставляющей бой;
- юридический или фактический адреса организации, поставляющей бой;
- условное обозначение боя для стекловарения с указанием количества примесей;
- массу партии;
- дату отгрузки.
В сопроводительном документе допускается другая информация, подтверждающая качество стеклянного боя.
5.3 Для контроля качества стеклянного боя на соответствие требованиям настоящего стандарта, от партии произвольно из разных мест отбирают объединенную пробу в количестве 5%, но не менее 20 кг. Допускается по согласованию с заказчиком отбирать пробу стеклобоя в меньшем количестве, но позволяющую получить объективные результаты контроля качества.
5.4 Партию стеклянного боя считают соответствующей требованиям настоящего стандарта, если объединенная проба удовлетворяет требованиям настоящего стандарта по показателям
4.1.2 -
4.1.6.
5.5 При несоответствии результатов контроля требованиям настоящего стандарта хотя бы по одному из показателей проводят повторный контроль по этому же показателю на удвоенном количестве стеклянного боя, взятого от той же партии.
Результаты повторного контроля распространяются на всю партию.
6.1 Методы отбора и подготовки проб
6.1.1 Точечные пробы стеклянного боя отбирают совком или лопатой из каждой транспортной единицы (вагон, машина и т.п.) в четырех углах и не менее чем в двух точках по любой диагонали с любой глубины.
6.1.2 Все отобранные точечные пробы стеклянного боя объединяют в одну пробу, перемешивают и проводят контроль на соответствие требованиям настоящего стандарта.
6.2.1 Приборы и приспособления:
- весы неавтоматического действия среднего класса точности по
ГОСТ OIML R 76-1 с максимальной нагрузкой не более 100 кг;
6.2.2 Проведение контроля по определению качества и количества примесей в стеклянном бое.
Объединенную пробу P взвешивают, отбирают примеси боя другого цвета. Оставшийся стеклянный бой еще раз взвешивают.
Количество стеклянного боя другого цвета X1, %, вычисляют по формуле

(1)
где P - масса стеклянного боя объединенной пробы, кг;
P1 - масса стеклянного боя без примесей боя другого цвета, кг.
6.2.3 Из оставшейся пробы стеклянного боя без примесей другого цвета
P1 отбирают примеси группы 1 по
4.1.6 (
P2), оставшуюся пробу стеклянного боя (
X2), еще раз взвешивают.
Количество примесей группы 1 в бое X2, %, вычисляют по формуле

(2)
где P1 - масса стеклянного боя без примесей боя другого цвета, кг;
P2 - масса стеклянного боя без примесей боя другого цвета и примесей группы 1, кг;
P - масса объединенной пробы стеклянного боя, кг.
6.2.4 Из оставшейся пробы стеклянного боя
P2 отбирают примеси группы 2 по
4.1.6 и оставшийся стеклянный бой еще раз взвешивают.
Количество примесей группы 2 в стеклянном бое X3, %, вычисляют по формуле

(3)
где P2 - масса стеклянного боя без примесей боя другого цвета и примесей группы 1, кг;
P3 - масса стеклянного боя без примесей боя другого цвета и примесей групп 1 и 2, кг;
P - масса объединенной пробы стеклянного боя, кг.
6.2.5 Оставшуюся пробу стеклянного боя промывают водой, высушивают при температуре не выше 100 °C и взвешивают.
Количество примесей
X4, %, группы 3 по
4.1.6 вычисляют по формуле

(4)
где P3 - масса стеклянного боя без примесей боя другого цвета и примесей групп 1 и 2, кг;
P4 - масса стеклянного боя без примесей боя другого цвета и примесей групп 1 - 3, кг;
P - масса объединенной пробы стеклянного боя кг.
6.2.6 Проведение контроля на соответствие требованиям
4.1.5.
Оставшуюся пробу стеклянного боя P4 просеивают через сита с сетками N 50 и N 10. Взвешивают остаток стеклянного боя на сите N 50 и бой, прошедший через сито N 10.
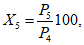
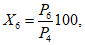
Количество кусков стеклянного боя X5, %, размером свыше 50 мм вычисляют по формуле

(5)
где P5 - масса стеклянного боя, не прошедшего через сито N 50, кг;
P4 - масса стеклянного боя без примесей боя другого цвета и примесей групп 1 - 3, кг.
Количество кусков стеклянного боя X6, %, размером менее 10 мм вычисляют по формуле

(6)
где P6 - масса стеклянного боя, прошедшего через сито N 10, кг;
P4 - масса стеклянного боя без примесей других марок и примесей групп 1 - 3, кг.
7. Транспортирование и хранение
7.1 Стеклянный бой транспортируют всеми видами транспорта в соответствии с правилами перевозок, действующими на данном виде транспорта. Перед загрузкой транспортные средства должны быть чистыми и сухими.
Допускается по согласованию с потребителем применять крытые вагоны для транспортирования стеклянного боя.
7.2 Стеклянный бой хранят на специальных площадках с твердым покрытием и/или в отдельных отсеках, исключающих его загрязнение или смешивание по цвету и сорту.