Главная // Актуальные документы // ГОСТ (Государственный стандарт)СПРАВКА
Источник публикации
М.: Стандартинформ, 2017
Примечание к документу
Документ
введен в действие с 01.01.2018.
Название документа
"ГОСТ 33970-2016 (EN 16480:2016). Межгосударственный стандарт. Энергетическая эффективность. Насосы центробежные для воды. Определение минимально необходимых значений коэффициента полезного действия и индекса энергетической эффективности"
(введен в действие Приказом Росстандарта от 02.06.2017 N 491-ст)
"ГОСТ 33970-2016 (EN 16480:2016). Межгосударственный стандарт. Энергетическая эффективность. Насосы центробежные для воды. Определение минимально необходимых значений коэффициента полезного действия и индекса энергетической эффективности"
(введен в действие Приказом Росстандарта от 02.06.2017 N 491-ст)
по техническому регулированию
и метрологии
от 2 июня 2017 г. N 491-ст
МЕЖГОСУДАРСТВЕННЫЙ СТАНДАРТ
ЭНЕРГЕТИЧЕСКАЯ ЭФФЕКТИВНОСТЬ
НАСОСЫ ЦЕНТРОБЕЖНЫЕ ДЛЯ ВОДЫ
ОПРЕДЕЛЕНИЕ МИНИМАЛЬНО НЕОБХОДИМЫХ ЗНАЧЕНИЙ КОЭФФИЦИЕНТА
ПОЛЕЗНОГО ДЕЙСТВИЯ И ИНДЕКСА ЭНЕРГЕТИЧЕСКОЙ ЭФФЕКТИВНОСТИ
Energy effectiveness. Centrifugal pumps for water.
Evaluation of the minimal required efficiency and index
of energy effectiveness
(EN 16480:2016, Pumps - Minimum required efficiency
of rotodynamic water pumps, MOD)
ГОСТ 33970-2016
(EN 16480:2016)
Дата введения
1 января 2018 года
Цели, основные принципы и основной порядок проведения работ по межгосударственной стандартизации установлены в
ГОСТ 1.0-2015 "Межгосударственная система стандартизации. Основные положения" и
ГОСТ 1.2-2015 "Межгосударственная система стандартизации. Стандарты межгосударственные, правила и рекомендации по межгосударственной стандартизации. Правила разработки, принятия, обновления и отмены"
1 ПОДГОТОВЛЕН Российской ассоциацией производителей насосов (РАПН) на основе собственного перевода на русский язык англоязычной версии стандарта, указанного в
пункте 5
2 ВНЕСЕН Межгосударственным техническим комитетом по стандартизации МТК 245 "Насосы"
3 ПРИНЯТ Межгосударственным советом по стандартизации, метрологии и сертификации (протокол от 27 сентября 2016 г. N 91-П)
За принятие проголосовали:
Краткое наименование страны по МК (ИСО 3166) 004-97 | Код страны по МК (ИСО 3166) 004-97 | Сокращенное наименование национального органа по стандартизации |
Армения | AM | Минэкономики Республики Армения |
Беларусь | BY | Госстандарт Республики Беларусь |
Киргизия | KG | Кыргызстандарт |
Россия | RU | Росстандарт |
Таджикистан | TJ | Таджикстандарт |
Узбекистан | UZ | Узстандарт |
4
Приказом Федерального агентства по техническому регулированию и метрологии от 2 июня 2017 г. N 491-ст межгосударственный стандарт ГОСТ 33970-2016 (EN 16480:2016) введен в действие в качестве национального стандарта Российской Федерации с 1 января 2018 г.
5 Настоящий стандарт является модифицированным по отношению к европейскому стандарту EN 16480:2016 "Насосы - Минимальный требуемый КПД центробежных насосов для воды" ("Pumps - Minimum required efficiency of rotodynamic water pumps", MOD) путем переноса в
библиографию из раздела 2 ряда ссылок на международные и европейские стандарты, не принятые в системе ГОСТ, и удаления приложения ZA, смысловая информация которого перенесена во
введение. Прочие модификации в тексте стандарта выделены курсивом.
Наименование настоящего стандарта изменено по отношению к наименованию указанного европейского стандарта в соответствии с устоявшейся в отечественной практике терминологией.
Европейский стандарт разработан техническим комитетом по стандартизации CEN TC 197 "Насосы" Европейского комитета по стандартизации (CEN).
Официальные экземпляры международного стандарта, на основе которого подготовлен настоящий межгосударственный стандарт, и международных стандартов, на которые даны ссылки, имеются в Федеральном агентстве по техническому регулированию и метрологии.
Сведения о соответствии ссылочных межгосударственных стандартов международным стандартам, использованным в качестве ссылочных в применяемом международном стандарте, приведены в дополнительном
приложении ДА
6 ВВЕДЕН ВПЕРВЫЕ
Информация об изменениях к настоящему стандарту публикуется в ежегодном информационном указателе "Национальные стандарты", а текст изменений и поправок - в ежемесячном информационном указателе "Национальные стандарты". В случае пересмотра (замены) или отмены настоящего стандарта соответствующее уведомление будет опубликовано в ежемесячном информационном указателе "Национальные стандарты". Соответствующая информация, уведомление и тексты размещаются также в информационной системе общего пользования - на официальном сайте Федерального агентства по техническому регулированию и метрологии в сети Интернет (www.gost.ru)
Европейский стандарт EN 16480 подготовлен техническим комитетом CEN TC 197 "Насосы" в соответствии с мандатом, выданным Европейской комиссией и Европейской ассоциацией свободной торговли на разработку нормативного документа, подтверждающего соответствие продукции обязательным требованиям
Директивы 2009/125/ЕС (устанавливает правила определения обязательных требований в отношении продукции, потребляющей энергию) и Регламента ЕС 547/2012 (устанавливает обязательные требования, предъявляемые непосредственно к центробежным насосам, перекачивающим воду).
Настоящий стандарт разработан в связи с подготовкой Евразийской экономической комиссией технического
регламента Евразийского союза ТР ЕАЭС "О требованиях к энергетической эффективности электрических энергопотребляющих устройств", основанного на вышеперечисленных европейских документах, в обеспечение его требований, предъявляемых в отношении наиболее распространенных типов центробежных насосов, перекачивающих воду.
Настоящий стандарт устанавливает методы определения и подтверждения значения индекса энергетической эффективности отдельных групп центробежных насосов, используемых для перекачивания чистой воды (включая те, которые являются компонентами другого оборудования), с проточной частью, выполненной из любых материалов, со следующими ограничениями:
По техническим характеристикам:
- рабочее давление в корпусе до 16 атм (консольные насосы);
- рабочее давление в корпусе до 25 атм (многоступенчатые насосы);
- диапазон рабочей температуры перекачиваемой воды от минус 10 °C до +120 °C.
По конструктивным типам:
- консольные и линейные насосы (с расчетным давлением в корпусе до 16 атм);
- вертикальные многоступенчатые насосы (с расчетным давлением в корпусе до 25 атм);
- погружные скважинные многоступенчатые (при работе на воде с температурой от 0 °C до 90 °C);
- насосы специальных конструкций (см.
5.5.4).
Подробное описание групп насосов и их технических параметров, подпадающих под действие настоящего стандарта, приведено в
приложении A.
Примечание - Большинство насосов, подпадающих под действие настоящего стандарта, представляют собой продукцию массового производства. Насосы больших размеров, характеристики которых близки к граничным значениям указанных диапазонов применения, имеют более низкие объемы выпуска.
Схема применения настоящего стандарта представлена на
рисунке 1.
Рисунок 1 - Схема применения настоящего стандарта
В настоящем стандарте использована нормативная ссылка на следующий межгосударственный стандарт:
Примечание - При пользовании настоящим стандартом целесообразно проверить действие ссылочных стандартов (классификаторов) на территории государства по соответствующему указателю стандартов (и классификаторов), составленному по состоянию на 1 января текущего года, и по соответствующим информационным указателям, опубликованным в текущем году. Если ссылочный документ заменен (изменен), то при пользовании настоящим стандартом следует руководствоваться замененным (измененным) стандартом. Если ссылочный документ отменен без замены, то положение, в котором дана ссылка на него, применяется в части, не затрагивающей эту ссылку.
В настоящем стандарте используются величины, определения, буквенные обозначения и единицы измерения, используемые в
ГОСТ ISO 9906, а также те, которые приводятся в
подразделе 3.2. В отличие от
ГОСТ ISO 9906 подраздел 3.2 содержит специальные определения терминов наряду со связанными с ними буквенными обозначениями, которые приведены в
[1].
В
таблице 1 представлен перечень буквенных обозначений физических величин, используемых в настоящем стандарте. В
таблице 2 представлен список подстрочных индексов с расшифровкой значения. Используемые в настоящем стандарте определения и буквенные обозначения физических величин в большинстве своем соответствуют использованным в
ГОСТ ISO 9906. Физические величины, определения и буквенные обозначения, используемые в
ГОСТ ISO 9906, но не являющиеся необходимыми для использования в настоящем стандарте, не входят в
подраздел 3.2 и
таблицы 1 и
2, в то время как перечисленные структурные элементы настоящего стандарта содержат некоторые величины, определения и буквенные обозначения, не используемые в
ГОСТ ISO 9906.
В настоящем стандарте размерность физических величин, входящих во все формулы, приведена в соответствии с Международной системой единиц измерения СИ.
3.2 Определения физических величин
3.2.1 число Рейнольдса: Безразмерное число, определяющее характер течения жидкости и гидравлические потери.
Примечание - Число Рейнольдса вычисляется по формуле

, (3.1)
где Dimp - внешний диаметр рабочего колеса, м;
u - окружная скорость на диаметре Dimp, м/с;

- кинематическая вязкость перекачиваемой жидкости, м
2/с.
3.2.2 объемная подача: Объем жидкости, нагнетаемый насосом в трубопровод из напорного патрубка в единицу времени.
Примечания
1 Центробежному насосу присущи следующие виды потерь подачи:
- на обеспечение работоспособности разгрузочного устройства от осевых сил;
- на охлаждение собственных подшипников;
- на систему обеспечения работоспособности уплотнений различного типа.
2 Внутренние утечки в насосе не должны учитываться при определении значения объемной подачи. Использование части расхода жидкости через насос на такие цели, как охлаждение подшипников двигателя, охлаждение редуктора (подшипников, масляного радиатора) и т.д., наоборот, должно учитываться при определении значения объемной подачи.
3 Какой из перечисленных типов расхода и каким образом должен быть принят во внимание, зависит от расположения точки забора такого расхода и зоны измерения расхода основного потока.
3.2.3 входная мощность двигателя: Мощность, потребляемая приводным двигателем насоса.
3.2.4 КПД насоса: Отношение полезной (гидравлической) мощности насоса к мощности, подведенной к его валу.
Примечание - КПД насоса определяется по формуле

, (3.2)
где P - мощность на валу насоса, Вт;
Pu - полезная (гидравлическая) мощность насоса, Вт.
3.2.5 КПД двигателя: Отношение мощности на валу насоса к входной мощности двигателя.
Примечание - КПД двигателя определяется по формуле

, (3.3)
где Pgr - мощность на входе двигателя, Вт.
3.2.6 КПД агрегата: Отношение полезной (гидравлической) мощности насоса к входной мощности двигателя.
Примечание - КПД агрегата определяется по формуле

, (3.4)
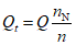
3.2.7 коэффициент быстроходности: Размерное число, характеризующее тип рабочего колеса (радиальное, диагональное, осевое) динамических насосов.
Примечания
1 Коэффициент быстроходности определяется по формуле
<1>

, (3.5)
где nN - частота вращения вала насоса, об/мин;
QBEP - объемная подача (м3/с) в точке достижения максимального КПД;
HBEP - напор насоса (м) в точке достижения максимального КПД.
--------------------------------
<1> В отечественном насосостроении коэффициент быстроходности принято вычислять с дополнительным множителем 3,65 в числителе дроби, представленной в формуле (3.5).
2 Для многоступенчатых насосов HBEP - напор ступени, который получается после деления общего напора насоса в точке максимального КПД на число ступеней - i.
3.2.8 минимальный индекс энергоэффективности; MEI: Безразмерная величина, которая определяет минимальные уровни КПД насоса, достижение которых на соответствующих подачах определяет соответствие насоса предъявляемым требованиям энергоэффективности.
3.3 Буквенные обозначения, единицы измерения и индексы
В
таблице 1 перечислены буквенные обозначения и единицы измерения применяемых физических величин, параметров и численных характеристик.
Таблица 1
Применяемые буквенные обозначения и единицы измерения
Обозначение | Величины | Единица измерения |
A | Площадь | м2 |
C | Константа | - |
D | Диаметр | м |
e | Погрешность измерения (относительная величина) | - |
f | Частота | с-1, Гц |
g | Ускорение свободного падения | м/с2 |
H | Общий напор насоса | м |
k | Количество считываний показаний приборов или выборок (партий) насосов | - |
m | Масса | кг |
M | Количество насосов в выборке (партии) | - |
n | Частота вращения | с-1, мин-1 |
N | Количество считываний показаний приборов | - |
ns | Коэффициент быстроходности насоса | мин-1 |
p | Давление | Па |
p | Вероятность | - |
P | Мощность | ватт |
Q | Объемная подача | м3/с |
s | Средняя квадратическая погрешность результатов измерений в выборке | Соответствует размерности физической величины |
t | Фактор допустимого отклонения (относительная величина) | - |
t | Время | с |
t | Квантиль распределения Стьюдента | - |
T | Крутящий момент | Н·м |
u | Окружная скорость | м/с |
U | Средняя скорость | м/с |
U | Электрическое напряжение | В |
v | Локальная скорость | м/с |
V | Объем | м3 |
x | Любая физическая величина | Соответствует размерности физической величины |
y | Любая физическая величина | Соответствует размерности физической величины |
z | Высота над эталонной или базовой плоскостью | м |
z | Количество изготовленных насосов | - |
| КПД | - |
| Температура | °C |
| Кинематическая вязкость | м2/с |
| Плотность | кг/м3 |
| Угловая скорость | рад/с |
| Среднее квадратическое отклонение выборки | Соответствует размерности физической величины |
| | ИС МЕГАНОРМ: примечание. В официальном тексте документа, видимо, допущена опечатка: имеется в виду приложение A, а не Б. | |
Список применяемых сокращений в отношении типов насосов, подпадающих под действие настоящего стандарта, приведен в
приложении Б.
В
таблице 2 представлены применяемые подстрочные индексы с расшифровкой значения.
Таблица 2
Применяемые подстрочные индексы
Обозначение | Значение |
1 | вход |
2 | выход |
abs | абсолютный |
amb | окружающее (окружающей среды), барометрическое |
annual | ежегодный |
curve | на соответствующей характеристике |
BEP | в точке максимального КПД |
dr | двигатель |
D | дата |
exp | вычисленная экспериментальным путем величина |
gr | комбинированный, агрегатный |
G | гарантированный |
h | гидравлический |
H | общий напор насоса |
i | числовой индекс |
j | числовой индекс |
imp | рабочее колесо |
man | производство |
max | максимальный допустимый |
mean | среднее значение типоразмера насоса |
min, requ | требуемый минимум |
N | Номинальный |
OL | перегрузка |
pd | определенный заранее |
P | мощность |
PL | недогрузка |
Q | объемная подача |
r | случайный |
s | конкретный, систематический |
sync | синхронный |
tot | общий |
true | фактическое значение |
T | крутящий момент |
t | преобразованный |
u | полезный |
v | пар (давление) |
x | в количестве x |
y % | для вероятности в y % |
| КПД |
3.4.1 Оценка соответствия
В настоящем стандарте описаны критерии, которые должны выполняться при проведении оценки соответствия типоразмера насоса определенному значению минимального индекса энергоэффективности (MEI). Иначе говоря, производитель насоса должен доказать с помощью соответствующих методов оценки то, что его насосное оборудование имеет значения КПД на определенных подачах не ниже тех, которые определяются в настоящем стандарте. Как правило, эти значения сравниваются со средними значениями, полученными в результате испытания ряда насосов данного типоразмера с неподрезанным рабочим колесом.
Осредненные значения КПД, полученные в результате испытаний, и их доверительные интервалы должны сравниваться с номинальными величинами минимально необходимого КПД. Полученные значения зависят от параметров (см.
раздел 4), значения которых частично также являются результатами испытаний и могут быть определены только в рамках диапазона допустимых отклонений. Поэтому так называемые специфические пороговые значения КПД определяются и используются в рамках процедуры подтверждения соответствия только для сравнения с осредненными значениями КПД, полученными в результате проведения испытаний.
3.4.2 Подтверждение соответствия
После выполнения производителем оценки энергоэффективности типоразмера насоса на основании выполнения описанных в настоящем стандарте критериев независимая организация может проверить результат этой оценки. В этом случае испытания и подтверждение полученных в результате испытаний значений должны быть выполнены согласно
разделу 7. Решение должно быть принято согласно процедуре, описанной в
разделе 6.
3.4.3 Независимая организация
Организации, назначенные согласно решению уполномоченных органов ответственными за соблюдение выполнения установленных норм по энергоэффективности, должны осуществлять проверку обоснованности указанных производителями значений минимального индекса энергоэффективности (MEI). Эти организации, как правило, называются независимыми, какова бы ни была их организационно-правовая форма.
3.4.4 Минимальный индекс энергоэффективности (MEI)
| | ИС МЕГАНОРМ: примечание. В официальном тексте документа, видимо, допущена опечатка: имеется в виду п. 4.4, а не 4.5. | |
Минимальный индекс энергоэффективности (MEI) является средством определения параметров энергоэффективности типоразмера насоса. Чем выше величина минимального индекса энергоэффективности (MEI), тем выше КПД типоразмера и тем ниже его энергопотребление. Верхний предел величин минимального индекса энергоэффективности (MEI), как правило, известен из общедоступных источников информации и зависит только от физических и технологических ограничений. (Для получения более подробной информации см.
4.5 и
приложение B.)
3.4.5 Номинальная величина минимально необходимого КПД
В настоящем стандарте определены критерии, которым должен соответствовать определенный типоразмер насоса, для случая подтверждения соответствия указанному значению минимального индекса энергоэффективности (MEI). Критерии основаны на номинальных значениях минимально необходимого КПД, которые определены в
разделе 4 настоящего стандарта. Эти номинальные значения зависят от определенных осредненных параметров типоразмера насоса (номинальная частота вращения вала, подача в точке максимального КПД и коэффициента быстроходности) и минимального индекса энергоэффективности (MEI) и сравниваются со средним измеренным КПД типоразмера. Для одного типоразмера различные номинальные значения минимально необходимого КПД определяются не только в точке максимального КПД, но и на режимах, соответствующих недогрузке и перегрузке по подаче.
3.4.6 Специфические пороговые значения КПД
Специфические пороговые значения КПД

рассчитываются из значения минимально необходимого КПД путем вычитания значения полного допустимого отклонения.
3.4.7 Типоразмер насоса
Насосы одного и того же типа, выпускаемые одним и тем же производителем, обычно подразделяются на определенное число типоразмеров. Каждый типоразмер характеризуется определенными параметрами (например, номинальный диаметр напорного фланца и номинальный диаметр рабочего колеса с односторонним всасыванием для многоступенчатых насосов, номинальный внешний диаметр корпуса многоступенчатых погружных насосов). На полях рабочих характеристик, приводимых в каталогах производителя, каждый типоразмер охватывает определенный диапазон величин Q и H. Насос одного типоразмера может работать в любой точке соответствующего поля за счет адаптации своей рабочей характеристики H = f(Q) с помощью подрезки рабочего колеса, т.е. подрезая внешний диаметр рабочего колеса до соответствующего размера. Верхняя граница поля рабочих характеристик соответствует напорной характеристике насоса данного типоразмера с полным (неподрезанным) диаметром рабочего колеса.
3.4.8 Полный диаметр рабочего колеса
Максимальный внешний диаметр рабочего колеса, для которого в каталогах производителя для соответствующего типоразмера приведены технические характеристики, называется полным диаметром рабочего колеса.
В случае, когда рабочее колесо имеет выходную кромку, не параллельную оси вращения, в качестве полного диаметра рассматривается среднее арифметическое максимальных внешних диаметров по покрывному и корневому диску рабочего колеса. Напорная характеристика, полученная для полного диаметра, определяет верхнюю границу поля рабочей характеристики соответствующего типоразмера насоса. Осредненные значения рабочих параметров насосов одного типоразмера с неподрезанным рабочим колесом, как правило, принимаются и используются в качестве действительных значений. Поэтому в рамках применения настоящего стандарта насосы, выбранные в качестве тестовой партии из числа насосов одного типоразмера, должны быть испытаны с соответствующим данному типоразмеру полным диаметром.
3.4.9 Рабочая точка максимального КПД
Для отдельно взятого центробежного насоса, работающего с постоянной частотой вращения или приводимого в действие электродвигателем при условии поддержания постоянной частоты тока, существует одна специфическая величина подачи
Q, при которой КПД насоса достигает максимального значения. Эта точка называется точкой максимального КПД. Соответствующие характеристики (например, подача
Q, напор насоса
H, КПД

) в этой точке обозначаются подстрочным индексом BEP.
3.4.10 Режим недогрузки
Для отдельно взятого центробежного насоса, работающего с постоянной частотой вращения или приводимого в действие электродвигателем при условии поддержания постоянной частоты тока, диапазон точек на рабочей характеристике, при котором Q < QBEP, называется режимом недогрузки. В настоящем стандарте рабочие параметры насоса при его работе в указанном диапазоне обозначены подстрочным индексом PL.
3.4.11 Режим перегрузки
Для отдельно взятого центробежного насоса, работающего с постоянной частотой вращения или приводимого в действие электродвигателем при условии поддержания постоянной частоты тока, диапазон точек на рабочей характеристике, при котором Q > QBEP, называется режимом перегрузки. В настоящем стандарте рабочие параметры насоса при его работе в указанном диапазоне обозначены подстрочным индексом OL. Такое обозначение эксплуатационного режима не означает, что двигатель или вал перегружены. Насос по-прежнему работает в допустимых условиях.
3.4.12 Коэффициент быстроходности
Коэффициент быстроходности отдельно взятого насоса или средняя быстроходность типоразмера насоса является величиной, которая характеризует форму рабочего колеса (радиальное, диагональное, осевое) насоса или типоразмера насосов. Численная величина быстроходности насоса определяется
формулой, приведенной в 3.2.7, с использованием специальных единиц для указанных в этой формуле величин. Как описано в
разделе 4, коэффициент быстроходности - один из параметров, от которых зависят номинальные величины минимально необходимого КПД.
3.4.13 Средние значения гидравлических характеристик типоразмера насосов
Предполагается, что насосы одного типоразмера, подпадающего под действие настоящего стандарта, изготавливаются производителем в достаточно большом объеме (за исключением насосов с более высокой входной мощностью). Типоразмер насосов, который должен быть определен согласно требованиям настоящего стандарта, состоит из общего количества насосов, которые когда-либо были изготовлены соответствующим производителем в течение определенного периода времени или находятся на стадии изготовления.
Гидравлические параметры насоса, особенно КПД, которые используются для оценки энергоэффективности его типоразмера, должны рассматриваться и использоваться в настоящем стандарте в качестве среднего арифметического соответствующих параметров всех насосов одного типоразмера с неподрезанным рабочим колесом.
Осреднение значений рабочих параметров необходимо из-за того, что они демонстрируют определенный разброс в пределах типоразмера, который является результатом отклонений в геометрии проточной части отдельно взятого насоса.
В случае большого количества насосов и в связи со случайным характером обусловленного производственными процессами разброса можно полагать, что отдельные показатели гидравлических параметров насосов одного типоразмера демонстрируют нормальное (Гауссово) распределение (см.
рисунок 5 и
приложение C). В этом случае среднее значение гидравлического параметра является величиной, которая соответствует кривой максимального нормального (Гауссова) распределения, и поэтому имеет самую высокую вероятность.
В случае с большим количеством насосов одного типоразмера (и даже для насосов одного типоразмера с полным наружным диаметром рабочего колеса) фактически невозможно проверить все насосы типоразмера. Поэтому могут быть определены только средние величины соответствующих гидравлических параметров - на основании испытаний определенной тестовой партии (выборки) насосов соответствующего типоразмера - для приближения к определенному доверительному интервалу.
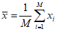
3.4.14 Арифметически усредненные значения выборки
Оценка определенного типоразмера насосов требует определения средних значений соответствующих гидравлических параметров этого типоразмера с достаточной степенью вероятности. Кроме того, процедура подтверждения (см. описание в
разделе 6) может потребовать усреднения гидравлических параметров, определенных испытаниями на примере нескольких конкретных насосов. С этой целью проводятся испытания выборки из M насосов, в результате которых определяются арифметически усредненные значения одного и того же гидравлического параметра для каждого из протестированных насосов. Это означает, что отдельные значения должны быть суммированы и полученная сумма затем должна быть разделена на количество насосов в выборке - M. При проведении оценки эта арифметически усредненная величина выборки насосов будет иметь отклонение от фактической средней величины типоразмера, но при этом последний будет ограничен доверительным интервалом вокруг арифметически усредненной величины с определенной вероятностью. Ширина доверительного интервала и вероятность нахождения в нем фактической средней величины зависят от числа M насосов в выборке и от средней квадратической погрешности измерения среднего значения параметра для каждого насоса из данной выборки (см.
приложение D).
3.4.15 Арифметически усредненное значение измеренной величины
При измерении важных для технических характеристик насосов величин некоторые случайные колебания значений измеренных величин неизбежны по различным причинам. Поэтому номер N показаний измерений должен быть взят приблизительно в том же самом эксплуатационном режиме (вращательная скорость, схема сопротивления, входное давление, температура воды). При использовании электронных преобразователей и системы получения и накопления данных эта выборка может легко быть выполнена с помощью процедуры тестовой выборки. Из тестовых измерительных показаний одной и той же арифметически усредненной величины это значение может быть вычислено путем прибавления всех тестовых показаний и деления суммы на число N показаний. Фактическая средняя величина показаний (но не непосредственно физической величины из-за оставшейся систематической погрешности инструмента) будет приближена к доверительному интервалу вокруг арифметически усредненной величины измеренного значения с определенной вероятностью. Широта доверительного интервала и вероятности, фактическое среднее значение которого находится в пределах этого доверительного интервала, зависит от номера N показаний и от стандартных отклонений отдельных показаний (см.
приложение D).
3.4.16 Доверительный интервал
| | ИС МЕГАНОРМ: примечание. Здесь и далее в официальном тексте документа, видимо, допущена опечатка: имеется в виду приложение D, а не Г. | |
Доверительный интервал для физической величины представляет собой диапазон значений этой величины, к которой приближено с определенной вероятностью фактическое, но неизвестное значение величины. Применяя математическую статистику, доверительный интервал может быть определен на основании результатов, полученных на примере тестовой партии ограниченного количества насосов (см.
приложение Г).
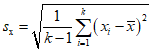
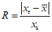
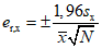
3.4.17 Стандартное отклонение
Если значения физической величины совокупности (например, число насосов определенного типоразмера) демонстрируют статистическое распределение согласно нормальному (Гауссову) распределению, то форма этого распределения может быть описана стандартным отклонением индивидуальных величин. Стандартное отклонение k величин совокупности равно квадратному корню из суммы возведенных в квадрат отклонений индивидуальных величин от их арифметических средних значений, деленной на k-1. Стандартное отклонение дает информацию о широте доверительного интервала, в рамках которого с определенной вероятностью может быть приближено каждое отдельное значение. Например, доверительный интервал для вероятности 95% имеет приблизительно двойную широту от стандартного отклонения (точнее в 1,96 раза стандартного отклонения) на обеих сторонах, деленную на квадратный корень из количества измерений (для большого числа измерений) арифметически усредненной величины тестовой партии насосов (см.
приложение D).
3.4.18 Погрешности измерений
Принимая во внимание неизбежность сопутствующих всем измерительным приборам и процессам ошибок, фактическая величина физического значения никогда не может быть точно определена с помощью измерений. Все ошибки измерения могут быть разделены на случайные и систематические и уменьшены с помощью различных методов, но при этом они никогда не исчезнут полностью. Чем меньше ошибки измерений, тем выше точность получаемого результата. Максимально возможная разница, на которую отличается с определенной вероятностью результат измерения от фактической величины измеряемого значения, называется погрешностью измерения, которая может иметь абсолютное значение (с единицей измеренного значения) или относительное значение (выраженное главным образом в %), относящиеся к измеренной величине значения.
3.4.19 Разброс
Присутствующие в процессе случайные эффекты, такие, например, как произведенные насосы одного типоразмера или неоднократное измерение одинаковых физических значений, будут приводить к незначительным различиям индивидуальных пропускных способностей процесса, таких как, например, размеры и гидравлические технические характеристики отдельных насосов или отдельные показания измерительных инструментов физических значений соответственно. Отклонения отдельных величин от фактической средней величины или от арифметически усредненной величины называются разбросом. С высокой степенью вероятности разброс имеет ограниченный диапазон. Широта этого диапазона представляет собой косвенный способ измерения для влияющих на результат процесса случайных эффектов.
3.4.20 Допускаемые отклонения
Как правило, применяемое к физической величине допускаемое отклонение определяется как максимальное допускаемое отклонение результата производства или процесса измерения от точного или фактического значения. В случае производственных процессов из-за неизбежных погрешностей, используемых в производстве инструментов, машин и методов, произведенная продукция никогда не будет иметь определенной на этапе проектирования точной, идеальной геометрии.
Производственные допуски, применяемые к геометрическим размерам продукта, определяют максимально допускаемое отклонение фактической геометрии (следующее из производственного процесса) от идеальной геометрии.
Величина геометрических производственных допусков является частью процесса проектирования и должна быть проверена с помощью мер по обеспечению гарантии качества. Для продукции, которая произведена в больших количествах на основе идентичного чертежа (товары массового производства), производственные погрешности приведут к разбросу соответствующих геометрических размеров.
Допустимые геометрические отклонения приближаются к допустимому диапазону этого разброса. В случае серийно выпускаемых насосов разброс геометрических размеров приведет к соответствующему разбросу значений гидравлических параметров и характеристик.
В настоящем стандарте гидравлические производственные допуски серийно выпускаемых насосов определяют диапазон, в пределах которого относящиеся к квалификации рабочие характеристики могут отклониться от средних величин соответствующего типоразмера (это особенно касается насосов с полным диаметром рабочего колеса).
Если будут точно известны соответствующие рабочие характеристики отдельно взятого насоса данного типоразмера, то соответствующие средние величины не будут отклоняться от этих величин более, чем на гидравлический производственный допуск.
4 Минимально необходимые значения КПД и минимальный индекс энергоэффективности (MEI)
4.1 Концепция определения энергоэффективности насоса
Для достижения цели энергосбережения путем замены менее энергосберегающих насосов аналогами, которые соответствуют критериям минимально необходимой энергоэффективности, два важных аспекта должны быть приняты во внимание:
1) минимально необходимые величины

должны соответствовать средним значениям КПД насосов соответствующих типоразмеров, выпускаемых серийно или массово. Следовательно, эти средние величины должны быть определены соответствующими методами и затем сравнены с основанными на общих физических взаимосвязях минимальными требуемыми величинами (см.
приложение B), а также на статистической оценке существующих насосов, отвечающих современному уровню развития техники, уровню качества проектирования и изготовления (см.
4.2 и
4.3);
2) для экономии энергопотребления важна не только величина

, но и значение КПД на режимах недогрузки и перегрузки. Это объясняется двумя причинами:
- производственная программа насосов определенного типа из экономических соображений подразделяется у производителей на определенное число различных типоразмеров, каждый из которых охватывает определенный диапазон подачи Q и напора H. Это приводит к тому, что не всегда удается подобрать подходящий типоразмер насоса, характеристика которого имела бы максимальное значение КПД на режиме, указанном заказчиком;
- выбор наилучшего варианта типоразмера для данного применения чаще всего приводит к тому, что точка производительности будет находиться вне расчетного режима, т.е. речь идет о недогрузке или перегрузке по подаче насоса выбранного типоразмера. (Более детальная информация приведена в
приложении B.)
Даже если точка максимального КПД типоразмера насоса будет точно соответствовать необходимой эксплуатационной точке, насос будет нормально эксплуатироваться в рабочем диапазоне, а не только в одной эксплуатационной точке. Это может происходить из-за изменений или варьирования гидравлического сопротивления системы (вызванное меняющимся требованием к расходу системы или долговременным эффектом, таким как, например, внутренние отложения в трубопроводе) или, в случае параллельной эксплуатации насосов, по причине переменных условий эксплуатации, когда в работе задействовано разное количество насосов.
Таким образом, оптимальный выбор типоразмера насосов относительно требований энергоэффективности основывается на соответствии двум критериям - А и Б.
Критерий А - требование минимального КПД в точке максимального КПД типоразмера насоса:

. (4.1)
Критерий Б - минимальное требование КПД в режимах недогрузки и перегрузки типоразмера насоса по подаче:

, (4.2)

. (4.3)
В настоящем стандарте эксплуатационные точки, соответствующие режимам недогрузки (PL) и перегрузки (OL) по подаче, определены как QPL = 0,75QBEP, QOL = 1,1QBEP.
Все величины КПД в вышеуказанных критериях являются средними показателями типоразмера насоса с неподрезанным наружным диаметром рабочего колеса.
В идеале средняя по типоразмеру характеристика КПД должна иметь максимально высокие значения КПД в широком диапазоне подач для выполнения квалификационных критериев.
Эти два критерия представлены на характеристике КПД насоса (см.
рисунок 2). Для прохождения процедуры оценки соответствия критериям энергоэффективности характеристика КПД насоса соответствующего типоразмера должна обойти все контрольные точки сверху.
Рисунок 2 - Концепция определения энергоэффективности
4.2 Математическое представление минимально необходимого значения КПД
Величины минимально необходимого КПД для типоразмеров насоса, отвечающих квалификационным критериям А и Б, основаны на научных исследованиях достижимого КПД центробежных насосов
[3] <1>,
[4] и
[5], а также на оценке статистических данных, полученных в результате нескольких направленных европейским производителям насосов в 2007 году опросов.
--------------------------------
Полученные данные включают в себя все типы насосов в рамках настоящего стандарта. Быстроходность ns насосов, образующих базу данных диапазонов от 6 до 110,5 мин-1 и диапазон подач в точке максимального КПД QBEP, составляет от 1,8 до 1200 м3/ч.
Для соблюдения общей физической зависимости средних достигнутых величин КПД по основным параметрам (см.
приложение B) собранные данные были расположены согласно формуле

для каждого типоразмера насоса и номинальной частоты вращения в пределах диапазона.
Данная корреляция описана математической
формулой (4.4). Вид формулы основан на предыдущих исследованиях
[3]. Различные шаги, которые предпринимались от получения данных для их количественного описания по формуле

, более подробно представлены в итоговом отчете
[7].
Формула, описывающая зависимость

представлена следующим образом:

, (4.4)
где

- значение КПД в точке максимального КПД, %;
ns - частота вращения вала насоса, мин-1;
QBEP - подача в точке максимального КПД;
C - константа, зависящая от минимального индекса энергоэффективности (MEI) (определение значения
C описано в
4.4), %.
Рассчитанный по
формуле (4.4) результат должен быть округлен до первой цифры после десятичной запятой.
Математический диапазон обоснованности формулы выражается:
6 мин-1 <= ns <= 120 мин-1,
2 м3/ч <= QBEP <= 1000 м3/ч.
Физический диапазон обоснованности формулы выражается

.
Примечания
1 Ограничение физического диапазона обоснованности до максимальной величины

следует из того факта, что гидравлические и механические потери в коммерчески разработанных и произведенных центробежных насосах не могут опуститься ниже более низкого предела.
2 Дальнейшее снижение потерь потребовало бы применения специальных мер в проектировании и изготовлении, которые могли бы привести к недопустимым усилиям и затратам и/или были бы несовместимы с другими эксплуатационными требованиями насоса, такими как, например, хорошая кавитационная характеристика, низкие уровни шума и вибрации (см.
[2] -
[5] для получения дополнительной информации).
Основываясь на предположении об отсутствии других ограничений,
формула (4.4) действительна для всех типов насосов в рамках настоящего стандарта, касающегося оборудования для перекачивания чистой холодной воды. В случае с многоступенчатыми насосами это действительно для минимального числа ступеней в количестве трех, в случае с погружными многоступенчатыми насосами - для минимального числа ступеней в количестве девяти. Как правило, данная формула действительна для полного диаметра рабочего колеса типоразмера насоса.
Величины КПД относятся только к производительности насоса, не касаясь общей производительности даже в случае спаренных насосных агрегатов (насос-двигатель).
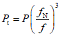
4.3 Минимальный КПД при недогрузке и перегрузке
В работе
[7] предоставленные изготовителями данные о насосе были также оценены для режимов недогрузки (0,75
QBEP) и перегрузки (1,1
QBEP).
Коэффициенты недогрузки и перегрузки, определенные формулами

,

, (4.5)
были рассчитаны для каждого типоразмера насосов. Средние величины этих коэффициентов были рассчитаны как xPL = 0,947 и xOL = 0,985 для всех типоразмеров насосов в хорошем приближении.
Используя представленную в
4.2 для

формулу, минимальные требования КПД для выбранных эксплуатационных точек при недогрузке или перегрузке имеют следующие значения:

, (4.6)

. (4.7)
4.4 Минимальный индекс энергоэффективности (MEI)
При изменении параметра
C в
формуле (4.4) получаемые характеристики

при постоянной величине
QBEP смещаются вверх (см.
рисунок 3 в качестве примера). С выбранной для каждого типа насоса величиной
C и частотой вращения в пределах рассматриваемого диапазона существующие насосы распределяются в процентном отношении на те, которые соответствуют минимальным требованиям по КПД (в соответствии с критериями А и Б), и на те, которые не выполняют эти требования, и поэтому будут заменены на рынке насосами, входящими в первую группу. Количественное выражение квалификационных критериев (обозначенное величиной C) на рынке и энергосберегающий эффект характеризуются понятием минимального индекса энергоэффективности (MEI). В соответствии со статистической оценкой
[7] минимальный индекс энергоэффективности (MEI) был рассчитан таким образом, что умноженная на 100 его величина указывает на процент существующих типоразмеров насосов, которые не соответствуют квалификационным критериям А и Б для соответствующей величины
C. Для получения этих результатов полученные от производителей насосов данные по каждому насосу были взяты в качестве типичных для общего количества насосов соответствующего типоразмера с полным диаметром рабочего колеса.
Минимальный индекс энергоэффективности (MEI) является мерой качества типоразмера насоса относительно КПД. При более низком пределе MEI = 0 соответствующие показатели КПД типоразмеров насоса могут быть достигнуты на низком уровне проектирования и изготовления. Для величин MEI > 0,7 соответствующие показатели КПД типоразмеров насоса могут быть достигнуты только при совершенно специальном гидравлическом проектировании, которое направлено только на высокий КПД и не соответствует другим гидравлическим параметрам, таким как, например, хорошая кавитационная характеристика, и дополнительно - при применении чрезвычайных мер в проектировании механических конструкций и производстве. В связи с этим превышающие 0,7 величины минимального индекса энергоэффективности (MEI) фактически недостижимы для большинства серийно выпускаемых насосов.
Примечание - Квалификация типоразмера насосов для определенной величины минимального индекса энергоэффективности (MEI) основана на насосах этого типоразмера с рабочими колесами полного диаметра. Тем не менее величина минимального индекса энергоэффективности (MEI) также может быть применима для всех насосов этого типоразмера с диаметрами рабочего колеса в пределах охватываемого типоразмером диапазона. Во многих случаях насосы одного и того же типоразмера будут работать с подрезанными рабочими колесами, т.е. с диаметрами рабочего колеса меньшего диаметра, чем полный диаметр для этого типоразмера. При этом КПД снизится, но процесс энергосбережения по-прежнему будет происходить как с уменьшением диаметра рабочего колеса, так и с уменьшением мощности.
В отношении вопроса энергосбережения:
- ежегодное энергопотребление пользователями насосов будет самым низким при использовании насосов с самыми высокими величинами MEI;
- общая потребляемая насосами в Европе энергия будет сокращена с более высокими заданными, например, законодательством величинами минимального индекса энергоэффективности (MEI).
Примечание - Максимальный эффект от снижения энергопотребления при использовании насосов с высоким минимальным индексом энергоэффективности (MEI) будет достигнут только в том случае, если насосы будут тщательным образом отобраны для требуемых функций (см.
приложение B).
В
таблице 3 представлены значения параметра
C в зависимости от типов насосов, номинальной частоты вращения и значений минимального индекса энергоэффективности (MEI).
Таблица 3
Значения константы
C в зависимости от значения MEI,
типа насоса и его частоты вращения
Тип насоса, nN | Минимальный индекс энергоэффективности (MEI) |
0,10 | 0,20 | 0,30 | 0,40 | 0,50 | 0,60 | 0,70 |
К, 1450 мин-1 | 132,58 | 130,68 | 129,35 | 128,07 | 126,97 | 126,10 | 124,85 |
К, 2900 мин-1 | 135,60 | 133,43 | 131,61 | 130,27 | 129,18 | 128,12 | 127,06 |
КМ, 1450 мин-1 | 132,74 | 131,20 | 129,77 | 128,46 | 127,38 | 126,57 | 125,46 |
КМ, 2900 мин-1 | 135,93 | 133,82 | 132,23 | 130,77 | 129,86 | 128,80 | 127,75 |
КМЛ, 1450 мин-1 | 136,67 | 134,60 | 133,44 | 132,30 | 131,00 | 130,32 | 128,98 |
КМЛ, 2900 мин-1 | 139,45 | 136,53 | 134,91 | 133,69 | 132,65 | 131,34 | 129,83 |
МС, 2900 мин-1 | 138,19 | 135,41 | 134,89 | 133,95 | 133,43 | 131,87 | 130,37 |
ПМС, 2900 мин-1 | 134,31 | 132,43 | 130,94 | 128,79 | 127,27 | 125,22 | 123,84 |
Примеры значений КПД, вытекающие из вычислений по
формуле (4.4) для некоторых величин минимального индекса энергоэффективности, представлены на
рисунках 3 и
4.
Рисунок 3 - Зависимости КПД от
ns, полученные
для консольного насоса (тип К) с частотой вращения вала
nN = 2900 мин-1, MEI = 0,7 и различными значениями QBEP
Рисунок 4 - Зависимости КПД от
ns, полученные
для консольного насоса (тип К) с частотой вращения вала
nN = 2900 мин-1, подачей QBEP = 32 м3/ч и различными
значениями MEI
Для выбора величины минимального индекса энергоэффективности (MEI) в пределах квалификационной процедуры выполняют следующие действия:
1) величина минимального индекса энергоэффективности (MEI) может быть выбрана (и подтверждена процедурой квалификации) производителем насосов с целью указания качества типоразмера насоса относительно КПД;
2) минимальные значения минимального индекса энергоэффективности (MEI) должны быть определены на законодательном, правительственном уровнях или в рамках постановлений ЕАЭС для условий принятия продукции на рынке с целью снижения общего энергопотребления.
В рамках проведения квалификационной процедуры или работ по проверке типоразмера насосов величин
QBEP и
ns, от которых зависит

, должны быть в свою очередь определены опытным путем на испытательной партии насосов, поскольку они априори не известны и не следуют из результатов испытаний в качестве точных или правильных значений. На определение
QBEP и
ns по результатам испытаний на опытной партии насосов влияют производственные допуски в пределах типоразмера (см.
приложение B) и погрешности измерения (см.
раздел 5).
Поэтому величины
QBEP и
ns могут быть определены только с приближением к соответствующим допускам или доверительным интервалам. Во время вычисления

с помощью
формулы (4.4) погрешности
QBEP и
ns трансформируются в результат. В настоящем стандарте вычисленная с помощью
формулы (4.4) 
величина, использующая в качестве ввода измеренные (и - в случае, если опытная партия насосов M > 1 - арифметически усредненные) величины
QBEP и
ns, называется номинальной величиной минимального необходимого КПД. Объединенное влияние производственных допусков в пределах типоразмера и погрешностей измерения принимается во внимание во время применения общих минусовых допусков на номинальной величине минимального необходимого КПД -

. Величины, получаемые после применения минусовых допусков по величинам

, называются частными пороговыми величинами и используются в определенных настоящим стандартом процедурах квалификации и проверки для сравнения с фактическими значениями КПД насосов рассматриваемого типоразмера.
Примечание - Применение общего минусового допуска на номинальных величинах минимального необходимого КПД находится в тесном соответствии с применением общего допустимого отклонения на гарантируемых величинах гидравлических значений в соответствии с описанным в
ГОСТ ISO 9906 методом. Различие заключается в том, что в настоящем межгосударственном стандарте величины, на которые распространяется общее допускаемое отклонение, являются результатом испытаний, в то время как в случае
ГОСТ ISO 9906 они определяются в тексте контракта.
5 Определение КПД испытательного насоса
Этот раздел определяет параметры промышленных испытаний и оценок случайным образом выбранных из типоразмера испытательных насосов, которые выполнены:
- независимыми организациями (например, в рамках наблюдения за рынком) с целью проверки указанной производителем величины минимального индекса энергоэффективности (MEI);
- производителем в том случае, если он принял решение квалифицировать этот типоразмер в отношении определенной величины минимального индекса энергоэффективности (MEI) при использовании этих испытаний и оценок.
Подобные испытания и оценки их результатов должны предоставлять необходимую информацию о фактических значениях параметров испытываемых насосов, необходимых для описанной в
разделе 6 процедуры определения значения MEI или для описанной в
разделе 7 процедуры оценки соответствия указанного значения MEI. Эти значения включают:
1) расход в точке максимального КПД
QBEP, от которой могут быть получены значения расхода
QPL и
QOL при указанных значениях недогрузки и перегрузки (см.
4.1) соответственно;
2) максимальный КПД

при
QBEP и величины КПД

и

при соответствующих значениях расхода
QPL и
QOL;
3) коэффициент быстроходности
ns, который необходим для определения минимальных необходимых значений КПД (см.
4.2 -
4.4).
Относительно требований к испытательным установкам и измерительному оборудованию должен быть применен
ГОСТ ISO 9906.
Проведение испытаний должно проводиться в соответствии с
ГОСТ ISO 9906, ступень 2B. Исключение для входной мощности в 10 кВт и ниже (см.
ГОСТ ISO 9906,
4.4.2) не должно рассматриваться.
1. Испытания должны выполняться на испытательных стендах производителя или в лабораториях в соответствии с методами и определенными в
ГОСТ ISO 9906 испытательными процессами.
2. Характеристики насоса должны сниматься между входным и нагнетательным фланцами насоса.
Условия, необходимые для гарантирования удовлетворительных измерений технических характеристик, определены в
5.3.
Примечания
1 Точным образом измеренные характеристики насоса в данной конкретной испытательной ситуации не могут быть приняты в качестве соответствующего точного признака их характеристик в другой испытательной ситуации.
2 Рекомендации и общее руководство, касающиеся необходимых для удовлетворительных измерений подач и напоров подходящих размеров трубопроводов, приведены в
A.3 ГОСТ ISO 9906 и, в случае необходимости, могут использоваться вместе с межгосударственными стандартами по измерению расходов в закрытых трубопроводах на предмет различных методов (см.
A.1 ГОСТ ISO 9906).
В соответствии с разъяснениями, приведенными в A.1.4
ГОСТ ISO 9906, необходимая для определения КПД насоса входная пропускная мощность насоса может быть экспериментальным образом определена с помощью:
- измерений вращательной скорости и вращающего момента;
- или измерений электроэнергии.
В случае определения входной мощности взятых из типоразмера испытательных насосов с помощью измерений электроэнергии должен использоваться указанный в A.1.4.3
ГОСТ ISO 9906 калиброванный электродвигатель, который эксплуатируется только при условии, когда с достаточной точностью известна мощность двигателя.
В случае испытания насоса с встроенным электродвигателем (касается насосов типа КМЛ или ПМС) в рамках процедуры проверки должна быть соответствующим способом рассчитана зависящая от нагрузки двигателя мощность, например через предоставляемую производителем информацию или в результате разборки испытательного насоса и калибровки двигателя, указанным в A.1.4.3
ГОСТ ISO 9906.
Для типоразмеров производимых и реализуемых изготовителем многоступенчатых насосов с различным числом ступеней испытания на тестовых насосах, которые должны быть репрезентативными (относительно КПД) для типоразмера, необходимо выполнить на моделях насосов с минимальным количеством в 3 ступени для (непогружных) многоступенчатых насосов (МС) и с минимальным количеством в 9 ступеней для погружных многоступенчатых насосов (ПМС).
Выбранные из типоразмера испытательные насосы должны иметь рабочее колесо с полным диаметром соответствующего типоразмера насосов.
Примечание - Изменение насоса данного типоразмера путем подрезки диаметра рабочего колеса снизит КПД насоса в сравнении с КПД того же самого типоразмера насоса с полным диаметром.
Полный комплект отчетов в печатном или электронном виде должен храниться, по меньшей мере, пять лет, но, как правило, этот срок определяется в соответствии с предписаниями внутригосударственных законодательных актов.
Результаты испытаний должны быть обобщены в отчете. Дальнейшие указания, касающиеся содержания испытательного отчета и испытательных листов соответствующего насоса, приведены в
приложении F ГОСТ ISO 9906.
5.3 Условия проведения испытаний
Испытания должны проводиться на чистой холодной воде. Параметры чистой холодной воды определяются в соответствии с данными
таблицы 4.
Примечание - Эксплуатационные параметры насоса существенным образом изменяются в зависимости от природы перекачиваемой жидкости. Невозможно сформулировать общие правила, посредством которых результаты измеренных на чистой холодной воде эксплуатационных параметров, могут быть преобразованы для прогнозирования параметров при работе с имеющей другие свойства водой (температура, содержание твердых частиц или газа) или другими жидкостями.
Таблица 4
Параметры чистой холодной воды
Характеристика | Единица измерения | Максимальный показатель |
Температура | °C | 40 |
Кинематическая вязкость | м2/с | 1,5·10-6 |
Плотность | кг/м3 | 1050 |
Содержание свободных твердых частиц | кг/м3 | 0,25 |
Растворенные твердые частицы | кг/м3 | 50 |
Продолжительность испытания должна быть достаточной для получения повторных результатов, в частности, необходимо рассмотреть эффекты обкатки.
Примечание - Эффекты обкатки могут занимать по времени до одного эксплуатационного дня.
Все измерения должны быть выполнены в условиях устойчивого состояния (см.
5.4).
Испытания должны выполняться в условиях, когда кавитация не влияет на эксплуатационные параметры насоса.
Примечание - Если во время проведения испытаний в испытательном насосе отмечается значительная степень кавитации, не только напор насоса, но и значение КПД насоса может снизиться, что приведет к понижению КПД насоса.
Должны быть сняты, как минимум, семь контрольных точек для испытаний всех эксплуатационных параметров в пределах диапазона от 60% до 120% от ожидаемого значения расхода в точке максимального КПД. Четыре из этих точек должны предпочтительно располагаться над ожидаемым диапазоном недогрузки расхода, две точки - над ожидаемым диапазоном перегрузки расхода, и одна точка выбрана в пределах от 95% до 105% от ожидаемого расхода в точке максимального КПД.
Для определения значений подачи, соответствующих режимам максимального КПД (BEP), недогрузки (PL) и перегрузки (OL), характеристика КПД, представляющая собой зависимость значения КПД от подачи, должна быть аппроксимирована непрерывной функцией. При этом данная функция в диапазоне подач от QPL до QOL должна иметь единственный максимум, а ее вторая производная по подаче на этом интервале должна иметь отрицательные значения. Для данной аппроксимации подходят представления характеристики КПД в виде полинома третьего порядка или сплайна. При наличии, значение подачи в точке максимального КПД может быть взято с таблички насоса или из протоколов испытаний производителя.
Желательно, чтобы испытания проводились на частотах вращения n, близких к указанной в каталогах номинальной частоте вращения nN. В некоторых случаях, например, если электродвигатель работает от тока постоянной частоты, а частота вращения его вала изменяется в зависимости от режима работы испытуемого насоса, испытания могут выполняться при значениях частоты вращения, отличающейся от номинальной величины. В этом случае частота вращения во время проведения испытаний должна находиться в пределах диапазона от 80% до 110% от номинальной частоты вращения с целью определения подачи, общего напора насоса и входной мощности. При проведении испытаний на различных частотах вращения КПД может принимать некорректные значения. Тем не менее, в случае изменения частоты вращения в пределах 20% от номинальной частоты вращения, КПД изменяется незначительным образом.
Бывают ситуации, когда вал насоса недоступен для измерений частоты вращения (например, в случае с погружными многоступенчатыми насосами) и/или когда вместо номинальной частоты вращения в каталогах для типоразмера насоса указана номинальная частота электрического тока fN. В этих случаях испытания выполняются при частоте тока f, которая не должна отклоняться от номинальной частоты fN больше, чем на 1%. Напряжение U электропитания, используемое во время испытаний, должно находиться в пределах +/- 5% от значения напряжения, при котором получены характеристики, представленные в каталоге производителя.
5.4 Погрешности измерений
5.4.1 Релевантность
В
таблицах 5 и
6 приведены максимально допустимые величины случайных погрешностей измерительных приборов. Указанные в этих таблицах величины определены по аналогии с показателями, приведенными в
ГОСТ ISO 9906, класс 2 для приемочных испытаний. Они должны быть получены во время испытаний согласно
разделу 7 настоящего стандарта.
Для выполненных производителем насосов испытаний, направленных на квалификацию типоразмера из описанных в разделе 6 критериев и процедур, следует иметь как можно меньшую ширину доверительного интервала средних значений КПД типоразмера. Какой бы метод ни использовался производителем для определения необходимых для подтверждения выполнения критериев квалификации средних показателей и их доверительных интервалов, производителю рекомендуется допускать как можно меньше случайных и систематических погрешностей измерений (см.
приложение D).
Для испытаний, выполненных независимой организацией в рамках описанной в
разделе 6 процедуры проверки, ситуация иная. Каждый отобранный для испытаний испытательный насос должен быть оценен индивидуально по отношению к его КПД. Полученные в результате испытаний значения КПД необходимо сравнить с соответствующим минимумом (порогом) величины, частично следующей из того же самого теста. В этом случае положительные или отрицательные результаты испытаний напрямую зависят от общей погрешности измерений. Поэтому с целью устранения влияния погрешностей измерений на результат проверки определенные в данном стандарте максимально допустимые погрешности измерений должны быть получены и подтверждены испытаниями, направленными на проверку величины указанного производителем минимального индекса энергоэффективности (MEI).
5.4.2 Максимальная допустимая случайная погрешность
Для проведения испытаний согласно
разделу 5 настоящего стандарта допустимая случайная погрешность (95% доверительный интервал)
er,max приведена в
таблице 5 как процентное отношение арифметически усредненной величины (см.
приложения E,
F и
G) для каждой подлежащей измерению величины.
Указанные в
таблице 5 величины должны применяться для всех эксплуатационных экспериментальных точек.
Примечание - Указанные в
таблице 5 величины соответствуют величинам приведенной в
таблице 4 ГОСТ ISO 9906 относительной амплитуды колебаний для приемочных испытаний согласно классу 2.
Таблица 5
Максимально допустимая случайная погрешность
er,max
в процентном соотношении от арифметически осредненного
значения измеряемой физической величины
Измеренное значение | Максимально допустимая случайная погрешность er,max |
Подача | +/- 3% |
Дифференциальное давление | +/- 4% |
Давление на выходе | +/- 3% |
Давление на всасывании | +/- 3% |
Входная мощность двигателя | +/- 3% |
Частота вращения | +/- 1% |
Вращающий момент | +/- 3% |
Температура | +/- 0,3 °C |
Случайные погрешности должны быть определены во время испытаний на одном насосе, когда определена эксплуатационная точка и измерены и зафиксированы величины.
Необходимо подтвердить, что относительные фактические случайные погрешности не превышают приведенные в
таблице 5 данные. Определение относительной фактической случайной погрешности приведено в
приложении D.
Вычисление случайных погрешностей для каждого измеренного значения в каждой эксплуатационной точке испытанного насоса, как правило, будет выполняться с помощью используемых для получения и оценки полученных данных компьютерных программ.
Примечание - Необходимо отметить, что закон распространения ошибок (см.
Приложение F) приведет - с допущением, что все погрешности, как правило, распространяются независимо друг от друга - к максимально возможной относительной случайной погрешности (равной половине ширины доверительного интервала) КПД +/- 5,9%, если фактическая случайная погрешность измеренных значений велика настолько, насколько это разрешено указанными в
таблице 5 величинами.
5.4.3 Максимальная допустимая (систематическая) погрешность измерительных устройств
Для проведения испытаний согласно разделу 5 настоящего стандарта в
таблице 6 ниже приведены показатели максимальной допустимой (относительной) погрешности измерительных приборов
es,max.
Таблица 6
Максимальная допустимая погрешность измерительного
устройства es,max в процентном отношении от арифметически
осредненного значения измеряемой физической величины
Измеренное значение | Максимальная допустимая погрешность измерительного устройства es,max |
Подача | +/- 2,5% |
Дифференциальное давление | +/- 2,5% |
Давление разгрузки | +/- 2,5% |
Давление всасывания | +/- 2,5% |
Входная мощность двигателя | +/- 2,0% |
Скорость вращения | +/- 1,4% |
Вращающий момент | +/- 2,0% |
Температура | +/- 1,0 °C |
Указанные в
таблице 6 величины должны применяться для всех эксплуатационных точек при проведении испытаний.
Примечание - Указанные в
таблице 6 величины соответствуют показателям, приведенным для относительных погрешностей измерительных устройств в
таблице 5 ГОСТ ISO 9906 для приемочных испытаний согласно классу 2.
Приложение A.1 ГОСТ ISO 9906 описывает различные методы измерения, а также устройства, которые обычно используются для определения уровня подачи, общего напора насоса, скорости вращения и входной мощности насоса в диапазоне необходимой точности.
Необходимо подтвердить, что фактические погрешности измерительных устройств не превышают приведенные в
таблице 6 показатели. Для оценки случайной фактической относительной погрешности в
приложении D приведены некоторые замечания.
Примечания
1 Необходимо отметить, что закон распространения ошибки (см.
приложение F) приведет - с допущением, что все погрешности, как правило, распределяются и при этом независимы друг от друга - к максимальной возможной систематической погрешности (равной половине ширины доверительного интервала) КПД +/- 4,3%, если фактическая погрешность измерительного прибора всех измеренных величин настолько велика, насколько это разрешено приведенными в
таблице 6 величинами.
2 Необходимо отметить, что закон распространения ошибки (см.
приложение F) приведет - с допущением, что все погрешности, как правило, распределяются и при этом независимы друг от друга - к максимальной возможной систематической погрешности (равной половине ширины доверительного интервала, см.
D.2) КПД +/- 7,3%, если фактическая погрешность измерительного устройства всех измеренных величин велика настолько, насколько это разрешено указанными в
таблице 5 величинами и если фактическая погрешность измерительного устройства всех измеренных величин настолько велика, насколько это разрешено приведенными в
таблице 6 величинами.
5.5 Оценка результатов испытаний
5.5.1 Приведение результатов испытаний к номинальной частоте вращения или к номинальной частоте электрического тока
Приведение результатов испытаний к номинальной частоте вращения или к номинальной частоте электрического тока должны производиться в соответствии с
ГОСТ ISO 9906.
5.5.1.1 Номинальная частота вращения nN приведена в каталогах производителя
Все результаты испытаний, полученные при фактической частоте вращения n в отклонении от номинальной частоты вращения nN, должны быть преобразованы в номинальную частоту вращения nN.
Если отклонение частоты вращения
n при проведении испытаний от номинальной частоты вращения
nN не превышает указанные в
5.3 допустимые отклонения, результаты измерений подачи
Q, полного напора
H, входной мощности
P и КПД насоса

могут быть преобразованы (согласно гидродинамическим законам о подобии) с помощью следующих формул:

, (5.1)

, (5.2)

, (5.3)

. (5.4)
5.5.1.2 Номинальная частота тока fN и напряжения UN приведены в каталогах производителя.
Все результаты испытаний, полученные при фактической частоте тока f во время испытаний насоса в отклонении от номинальной частоты тока fN, должны быть преобразованы в номинальную частоту тока fN.
Если отклонения частоты тока
f во время испытаний насоса от номинальной частоты тока
fN и напряжения
U во время испытаний насоса до указанной в каталогах величины не превышают указанные в
5.3 допускаемые отклонения, результаты измерений подачи
Q, полного напора
H, входной мощности
P и КПД насоса

могут быть преобразованы (согласно гидродинамическим законам о подобии) с помощью следующих формул:

, (5.5)

, (5.6)

, (5.7)

. (5.8)
5.5.2 Рабочие характеристики
Для определения данных, которые необходимы для квалификации или процедуры проверки (
QBEP,
QPL,
QOL, соответствующие им значения КПД

,

,

и коэффициент быстроходности
ns), сначала должны быть получены напорная характеристика насоса и характеристика КПД. Эти характеристики должны максимально соответствовать измеренным точкам.
Данные характеристики должны отвечать условию метода наименьших квадратов, т.е. сумма квадратичных отклонений измеренных величин
H и

от значений, взятых с характеристики при соответствующем значении подачи минимальна:

, (5.9)

. (5.10)
Для определения точки максимального КПД необходимо аппроксимировать характеристику КПД соответствующей функцией. Эта функция в диапазоне подач от QPL до QOL должна отвечать следующим условиям:
- иметь в указанном выше диапазоне только один максимум;
- вторая производная этой функции по подаче должна иметь отрицательные значения.
Примечание - Для данной аппроксимации подходят методы представления полученных экспериментальных данных в виде полинома третьего порядка или сплайна.
После аппроксимации полученные функции должны быть совмещены на графике с соответствующими данными, полученными экспериментально (см.
рисунок 5).
x - данные эксперимента;
+ - значения, подлежащие оценке или подтверждению
Рисунок 5 - Совмещенное графическое представление
экспериментальных данных и аппроксимирующих функций
5.5.3 Определение значений, подлежащих оценке или подтверждению
Следующий этап состоит в определении значений
QBEP и

.
QBEP определяется как величина подачи, соответствующая максимальному значению, достигаемому на графике характеристики КПД. Этот максимум выражается математической формулой

. (5.11)
Подставляя в
формулу (5.11) выражение аппроксимирующей функции КПД и решая его относительно
Q, получаем соответствующее значение
QBEP. Подставляя полученное значение
QBEP в выражение аппроксимирующей функции КПД, получаем значение

.
Значения
QPL и
QOL определяются умножением значения
QBEP на числовые коэффициенты 0,75 и 1,1 соответственно. Соответствующие им значения

и

определяются по характеристике КПД (аппроксимирующей функции). Эти показатели также представлены на
рисунке 5.
Для определения коэффициента быстроходности
ns и полной фактической погрешности измерения

,

,

(см.
приложение Г) также необходимы величины напора насоса
HBEP при
QBEP,
HPL при
QPL и
HOL при
QOL. Они определяются при помощи аппроксимирующей функции напорной характеристики от соответствующих значений подачи (см.
рисунок 5).
Примечание - Необходимо отметить, что значения

,

,

, определенные с помощью описанного выше метода, не являются истинными значениями этих КПД, а являются значениями в средней точке соответствующих доверительных интервалов, к которым истинные значения приближены с вероятностью 95%. В пределах данных областей достоверности каждая величина одинаково действительна. Для более детальной информации по определению полной фактической погрешности измерения и доверительных интервалов значений КПД (см.
приложение D).
Кроме того, для определения минимальных необходимых значений КПД необходимо значение коэффициента быстроходности
ns (см.
разделы 4,
6 и
7), которое вычисляется по
формуле (3.5).
Бывают ситуации, когда вал насоса недоступен для измерений частоты вращения (например, в случае с погружными многоступенчатыми насосами) и/или когда вместо номинальной частоты вращения в каталогах для типоразмера насоса указана номинальная частота электрического тока fN. В этих случаях в формуле для ns вместо номинальной частоты вращения вала nN необходимо использовать значение 0,97nsync (nsync = 60fN, мин-1 и fN, Гц). Это означает, что в точке максимального КПД частота вращения принимается с поправкой в 3% относительно синхронной частоты вращения 60fN.
5.5.4 Проведение испытаний и/или оценка насосов специальных типов
Для насосов специальных типов, подпадающих под область действия настоящего стандарта, должна быть применена соответствующая процедура испытаний согласно
5.5.4.1 -
5.5.4.3.
5.5.4.1 Номинальная частота вращения отлична от 1450 мин
-1 или 2900 мин
-1
Такие насосы должны быть испытаны одним из следующих способов:
| | ИС МЕГАНОРМ: примечание. Здесь и далее в официальном тексте документа, видимо, допущена опечатка: имеется в виду таблица 3, а не 5. | |
1) насосы испытываются на их номинальной частоте вращения. Вычисление минимального необходимого КПД или минимального индекса энергоэффективности (MEI) должно быть выполнено по
формуле (4.4). Величина C (из
таблицы 5) должна равняться 1450 мин
-1 или 2900 мин
-1, в зависимости от того, какое значение окажется ближе к номинальной частоте вращения испытываемого типоразмера;
2) насосы испытываются на частоте вращения 1450 или 2900 мин
-1. Должны быть взяты соответствующие величины
C (из
таблицы 5).
Примечания
1 Только для
2): испытание и оценка выполняются с предположением, что этот типоразмер насоса спроектирован для соответствующей частоты вращения.
2 Типичными примерами являются насосы, приводимые в действие электродвигателями с 6 полюсами или сверхсинхронными электродвигателями с постоянным электромагнитом.
5.5.4.2 Двухроторные насосы (типа КМЛ с двумя рабочими колесами)
Насосы, представляющие собой объединение двух насосных агрегатов в одном корпусе (двухроторные), должны испытываться путем помещения одного из агрегатов (двигатель и рабочее колесо) в подходящий корпус насоса типа К, КМ или КМЛ. Величина
C из
таблицы 5 должна быть выбрана для соответствующего типа насоса и частоты вращения.
5.5.4.3 Насосы, отвечающие более чем одному определению типа насосов
Для насосов, которые отвечают более чем одному определению типа насосов, тип корпуса является определяющим критерием при выборе значения величины
C из
таблицы 5.
6 Определение значения минимального индекса энергоэффективности (MEI)
Существует два возможных варианта информирования потребителя относительно значения индекса энергетической эффективности (MEI) типоразмера насоса, приводимых производителем на табличке насоса и/или в технической документации:
1) для подтверждения соответствия требованиям законодательства по энергоэффективности, устанавливающих минимально допустимые значения MEImin, о том что фактическое значение MEI насосов данного типоразмера не ниже MEImin;
Пример - MEI >= 0,40 (MEImin = 0,4).
2) для указания численного значения MEI, определенного согласно требованиям настоящего стандарта.
Пример - MEI >= 0,47.
Оба варианта указания значения MEI основаны на определенных средних значениях КПД типоразмера насоса при его работе в точке максимального КПД, недогрузке и перегрузке. При этом производитель обязан доказать то, что значения

,

,

с высокой степенью вероятности соответствуют критериям, определенным в
разделе 4 настоящего стандарта.
1) Для подтверждения соответствия требованиям законодательства, предъявляемых к значению MEI, должны быть проведены соответствующие испытания и оценка согласно
разделу 5 настоящего стандарта для случайным образом сформированной выборки насосов определенного типоразмера, а также определены средние значения КПД в точке максимального КПД, на режимах недогрузки и перегрузки. Фактическое значение MEI должно быть посчитано согласно
6.2. Требования законодательства считаются выполненными в случае, если фактическое значение MEI удовлетворяет неравенству
MEI >= MEImin, (6.1)
где MEImin - критерий, установленный законодательством.
2) Для подтверждения указанного значения MEI, которое больше законодательно установленного минимального значения, необходимо провести определение фактического значения MEI с помощью испытаний и оценки согласно
разделу 5 настоящего стандарта и вычисления согласно
6.2.
Примечание - При проведении процедуры подтверждения соответствия согласно
разделу 5 настоящего стандарта применяется допуск

при определении значений

, вычисляемых по
формуле (4.4) и используемых для определения значения MEI, необходимого для выполнения норм законодательства или указанного производителем. Данный допуск не включен в метод производителя по определению и подтверждению значения MEI типоразмера насоса.
6.2 Определение минимального индекса энергоэффективности (MEI) типоразмера насоса
Исходными данными для определения фактической величины минимального индекса энергоэффективности (MEI) типоразмера, являются:
- номинальная частота вращения nN;
- средние значения подачи
QBEP,mean и напора насоса
HBEP,mean в точке максимального КПД, полученные в результате испытаний и оценки, проведенных в соответствии с
разделом 5 и, при необходимости,
приложением D настоящего стандарта;
- средние значения энергоэффективности

,

и

полученные в результате испытаний и оценки, проведенных в соответствии с
разделом 5 и, при необходимости,
приложением D настоящего стандарта;
- коэффициент быстроходности
ns,mean, рассчитываемый по
nN,
QBEP,mean и
HBEP,mean согласно
5.5.3.
Значение MEI определяется следующим образом:
Шаг 1. Определяется вспомогательная функция

| | ИС МЕГАНОРМ: примечание. Нумерация формул дана в соответствии с официальным текстом документа. | |

(6.1)
Вычисляемая по
формуле (6.1) величина

должна быть округлена до первой цифры после десятичного знака.
Шаг 2. Для каждой средней величины КПД в точках BEP, PL и OL вычисляются соответствующие значения C

, (6.2)

, (6.3)

. (6.4)
Шаг 3. Вычисляемые по
формулам (6.2) -
(6.4) значения должны быть округлены до первой цифры после десятичной запятой, наибольшее значение из трех
CBEP,
CPL и
COL принимается в качестве значения
CMEI, которое служит для вычисления фактической величины минимального индекса энергоэффективности (MEI)
CMEI = max (CBEP, CPL, COL). (6.5)
Шаг 4. Фактическое значение минимального индекса энергоэффективности (MEI), соответствующее
CMEI, вычисляется с помощью линейной интерполяции между соседними величинами (
таблица 3.) С этой целью в строке с соответствующим типом насоса и номинальной частотой вращения берутся соседние значения
Cleft и
Cright слева и справа от
CMEI соответственно, а также значения MEI
left и MEI
right, соответствующие
Cleft и
Cright. Значение MEI, соответствующее типоразмеру насоса, определяется как

. (6.6)

. (6.7)
Полученное значение MEI типоразмера насоса, вычисленное по
формулам (6.6) или
(6.7) должно быть округлено до второго знака после запятой.
7 Подтверждение значения минимального индекса энергоэффективности (MEI)
Если производитель определил типоразмер насоса в соответствии с требованиями
раздела 5 настоящего стандарта с целью:
- подтвердить соответствие требованиям законодательства в области энергоэффективности (например, соответствие техническому регламенту ЕАЭС) определяемых установлением минимального значения индекса энергетической эффективности (MEI);
- подтвердить заявленное значение MEI (значение которого выше законодательно установленного уровня), указанное на информационной табличке насоса и/или в документации на насосы данного типоразмера, может потребоваться проведение процедуры подтверждения соответствия с привлечением независимой организации.
Обычно от производителя требуется указывать минимальное значение MEI, определенное законодательством.
Пример - MEI >= 0,4.
Численное значение MEI, определенное и указанное самим производителем (превышающее минимальное значение, установленное законодательно), приводится в виде числа с двумя значащими цифрами после запятой.
Пример - MEI >= 0,47.
| | ИС МЕГАНОРМ: примечание. В официальном тексте документа, видимо, допущена опечатка: имеется в виду приложение H, а не И. | |
В
7.2 описывается процедура подтверждения соответствия фактического значения MEI требованиям, которые либо установлены законодательно, либо применены к указанному типоразмеру добровольно самим производителем. В основу процедуры соответствия заложены испытания насосов определенного типоразмера. В рамках процедуры проводят испытания ограниченного числа насосов одного типоразмера, однако это позволяет с достаточной степенью точности подтвердить или опровергнуть соответствие типоразмера предъявляемым или заявленным требованиям по энергоэффективности. Описание испытаний и алгоритм принятия решений при проведении процедуры подтверждения соответствия представлены ниже. В
приложении И приводятся теоретические основы процедуры и оценки достоверности полученных результатов.
Альтернативой проведения процедуры подтверждения соответствия, описанной в
7.2, может стать проверка полного комплекта документов по применяемым производителем методам для определения:
- средних значений КПД, удовлетворяющих требованиям законодательства в отношении MEI, в соответствии с
разделом 6 настоящего стандарта;
- или значения, указанного в документации значения MEI (превышающего требования законодательства), в соответствии с
разделом 5 настоящего стандарта.
Применяемый производителем метод может включать проведение испытаний и комплекса вычислений в соответствии с
разделом 5 и одного из методов, описанных в
разделе 7, или других методов, определенных производителем. Полный комплект документации должен быть предоставлен представителям независимой организации, осуществляющей проверку. В случае, если независимая организация принимает положительное решение относительно одобрения представленного комплекта документации, то соответствие требованиям законодательства в отношении значение MEI считается выполненным или заявленное значение MEI считается подтвержденным для соответствующего типоразмера насосов.
7.2 Порядок проведения проверки соответствия
Комплекс работ по применению методологии проверки и процедура ее выполнения состоят из нескольких шагов:
1. Методом случайного отбора из типоразмера выбирается один насос, испытывается, оценивается относительно соответствующего минимального индекса энергоэффективности (MEI) в соответствии с представленным выше описанием.
2. Если выбранный из типоразмера насос прошел испытания согласно приведенному ниже критерию, значение минимального индекса энергоэффективности (MEI) исследуемого типоразмера подтверждается.
3. Если первый выбранный из типоразмера насос не достигает порогового значения, из типоразмера выбираются три других насоса, затем проводится их тестирование и оценка.
4. Величины
QBEP,

,

,

и
ns, определенные для каждого из трех испытанных насосов, арифметически усредняются

, (7.1)
где x - представляет собой 5 указанных выше гидравлических величин. Результаты описывают соответствующие средние гидравлические величины из трех насосов.
5. Для средних величин из трех насосов определяются пороговые значения КПД при BEP, PL и OL (с величинами QBEP и ns в качестве ввода) так же как для одного насоса.
6. Для среднего из трех насосов определяется индекс энергоэффективности, соответствующий пороговым значениям КПД при BEP, PL и OL в соответствии с вышеуказанным описанием.
7. Если средний из трех насосов не проходит испытания согласно описанному ниже критерию, то проверка соответствия исследуемого типоразмера для указанного производителем минимального индекса энергоэффективности (MEI) считается не пройденной.
8. Если средний из трех насосов прошел испытания согласно описанному ниже критерию, типоразмер насоса считается прошедшим испытания несмотря на то, что первый насос потерпел неудачу.
Алгоритм принятия решений при проведении процедуры проверки соответствия представлен на
рисунке 6.
Рисунок 6 - Алгоритм принятия решений при проведении
процедуры подтверждения соответствия значения MEI
Испытания и оценки их результатов на каждом из выбранных из типоразмера методов случайного отбора насосов и полностью независимо друг от друга, для которых должен быть проверен заявленный минимальный индекс энергоэффективности (MEI), должны быть выполнены согласно
разделу 6 настоящего стандарта.
Для каждого из испытанных насосов должны быть определены напорная характеристика и характеристика КПД, с помощью которых определяются значения
QBEP и
ns в соответствии с
6.2.
Для первого испытываемого насоса должны быть выполнены следующие вычисления и в случае, если испытания не увенчались успехом, также для "среднего из трех" насосов (т.е. насоса, имеющего усредненные гидравлические характеристики трех реальных насосов, которые были дополнительно испытаны).
Используя соответственно полученные в результате испытаний величины
QBEP и
ns или

и

, должны быть вычислены минимальные требуемые значения КПД

,

и

.
Эти вычисления выполняются по приведенным в
разделе 4 формулам (4.4),
(4.6) и
(4.7) с соответствующим значением параметра
C, взятого из
таблицы 3, в зависимости от типа и номинальной частоты вращения испытываемого насоса или насосов с учетом указанного производителем значения минимального индекса энергоэффективности (MEI).
С этой целью в строке с соответствующим типом насоса и номинальной частотой вращения берутся соседние значения MEIleft и MEIright слева и справа от заявленного MEI соответственно, а также значения Cleft и Cright, соответствующие MEIleft и MEIright. Значение параметра C, соответствующее типоразмеру насоса, определяется как

. (7.2)

. (7.3)
Пример - Насос типа К с номинальной частотой вращения nN = 2900 мин-1. Для данного насоса производитель указывает значение MEI = 0,47.
По данным таблицы 3 определяются значения: MEIleft = 0,4; MEIright = 0,5; Cleft = 130,27; Cright = 129,18. По формуле (7.2) определяется значение параметра C, соответствующее MEI = 0,47:
. (7.4)
В соответствии с положениями
раздела 4 настоящего стандарта минимально необходимые значения КПД насоса зависят от
QBEP и
ns, которые в свою очередь являются результатом испытаний и оценки значений насосов, отобранных для испытаний определенного типоразмера. В связи с этим на точность измерений указанных величин оказывают влияние производственные допуски и погрешности при изготовлении наряду с неизбежными погрешностями измерений. Для учета данных факторов при определении значений КПД во время проведения процедуры подтверждения соответствия применяется соответствующий допуск для минимально необходимых значений КПД. Введение данного допуска определяет появление пороговых уровней, которые измеренные значения КПД должны превышать. Для определения таких уровней вводится отрицательный допуск
t = -0,05 (или минус 5%), применяемый к вычисляемым по
формулам (4.4),
(4.6) и
(4.7) значениям

,

,

. С учетом применения допуска указанные значения КПД (умноженные на параметр

) представляют собой пороговые уровни КПД. Полученные значения на характеристике КПД насоса при подачах
-
QBEP или

,
-
QPL = 0,75
QBEP или

,
-
QOL = 1,1
QBEP или

представлены совместно с номинальными значениями и пределами допустимых отклонений на
рисунке 7. Точки конкретных пороговых значений (самые низкие точки трех вертикальных интервалов, изображенных на
рисунке 7) формируют комплексный критерий энергоэффективности, который относится к испытываемому насосу или осредненным значениям трех испытываемых насосов соответственно.

- номинальное значение минимально необходимого КПД;

- пороговое значение КПД
Рисунок 7 - Схематическое изображение успешного прохождения
(слева) и не успешного прохождения (справа) испытаний насоса
для определенной величины минимального индекса
энергоэффективности (MEI)
Критерии принятия решения:
- принимается, что первый протестированный насос или "средний из трех" насосов успешно проходит испытания на подтверждение необходимого значения минимального индекса энергоэффективности (MEI), если все три значения

,

и

, полученные в результате проведенных во время испытаний измерений, равны или превосходят соответствующие пороговые значения на режимах BEP, PL и OL;
- принимается, что первый протестированный насос или "средний из трех" насосов не прошел испытаний на подтверждение необходимого значения минимального индекса энергоэффективности (MEI), если, по крайней мере, одно из трех значений

,

и

, полученных в результате проведенных во время испытаний измерений, ниже соответствующего частного порогового значения на режимах BEP, PL и OL.
(обязательное)
ТИПЫ НАСОСОВ, ПОДПАДАЮЩИХ ПОД ДЕЙСТВИЕ НАСТОЯЩЕГО СТАНДАРТА
Таблица A.1
Рассматриваемые типы насосов
К Насос консольный | |
КМ Насос консольный моноблочный | |
КМЛ Насос консольный моноблочный линейный (типа in-line) | |
МС-В Насос вертикальный многоступенчатый | |
ПМС Насос погружной многоступенчатый | |
Насосы консольные (типа К, КМ и КМЛ)
Конструктивно представляют собой одноступенчатый центробежный насос с "сухим" ротором, входные и выходные патрубки которых расположены либо в линию, либо входной патрубок вдоль оси вращения, а выходной - радиально. Спиральный корпус насосов спроектирован на рабочее давление до 16 атм. Насосы выполнены с фланцами и насадками, в дюймовой или метрической системе.
Типоразмеры насосов и их характеристики приведены в
таблице A.2.
Насосы вертикальные многоступенчатые (МС-В)
Конструктивно представляют собой многоступенчатый (число ступеней i > 1) центробежный насос с "сухим" ротором, рабочие колеса которого устанавливаются на вертикальный вал, вертикально расположенный в корпусе насоса, который спроектирован на рабочее давление до 25 атм.
Типоразмеры насосов и их характеристики приведены в
таблице A.2.
КПД, необходимый для оценки насоса по критериям энергоэффективности, устанавливаемых в настоящем стандарте, представляет собой КПД насоса с тремя ступенями. (Насосы с большим количеством ступеней имеют более высокий КПД в соответствии с физическими особенностями преобразования энергии.)
Насосы погружные многоступенчатые (ПМС)
Конструктивно представляют собой многоступенчатый (число ступеней i > 1) центробежный насос с номинальным внешним диаметром 4" (10,16 см) и 6" (15,24 см), спроектированный для работы в скважине.
КПД, необходимый для оценки насоса по критериям энергоэффективности, устанавливаемых в настоящем стандарте, представляет собой КПД насоса с девятью ступенями.
Таблица A.2
Насосы в рамках области действия настоящего стандарта
Тип насоса | Диапазон значений |
К КМ КМЛ | n = 1450 мин-1 | QBEP >= 6 м3/ч | HBEP <= 90 м | 6 мин-1 <= ns <= 80 мин-1 | P <= 150 кВт |
К КМ КМЛ | n = 2900 мин-1 | QBEP >= 6 м3/ч | HBEP <= 140 м | 6 мин-1 <= ns <= 80 мин-1 | P <= 150 кВт |
МС-В | n = 2900 мин-1 | QBEP <= 100 м3/ч |
ПМС | 4" и 6" |
(справочное)
ОБЩИЕ ЗАМЕЧАНИЯ ПО КПД ЦЕНТРОБЕЖНЫХ НАСОСОВ
КПД

каждого центробежного насоса, работающего с постоянной частотой вращения
n или приводимого в движение электродвигателем с постоянной частотой тока
f, зависит от подачи насоса
Q.
С

при
Q = 0 КПД увеличивается вместе с повышением подачи, достигает максимальной величины

и затем опускается с последующим увеличением подачи.
Точка максимального КПД "BEP" с соответствующими значениями подачи
QBEP и напором насоса
HBEP определяется условием

. Рабочий диапазон
Q <
QBEP называют "недогрузкой" (PL), в то время как рабочий диапазон
Q >
QBEP - "перегрузкой" OL.
У центробежных насосов, как правило, не может быть сопоставимых значений

, даже если они были спроектированы и изготовлены с сопоставимым уровнем качества. Напротив, для сопоставимого качества конструкции и производства значения

зависят от двух главных гидравлических параметров:
1) подачи QBEP - определяет типоразмер насоса (и косвенно число Рейнольдса Re, гидродинамический параметр, от которого зависит большинство внутренних гидравлических потерь в насосах);
2) коэффициента быстроходности
ns (
с единицей измерения [мин
-1]) - характеризует форму рабочего колеса (от радиальной формы с самыми низкими значениями
ns до осевой с самыми высокими параметрами) и рассчитывается по
формуле (3.5).
В случае с многоступенчатыми насосами HBEP является напором на каждой ступени, который получается после деления общего напора насоса на число ступеней i.
Многочисленные теоретические анализы и экспериментальные исследования (см., например,
[1] -
[6]) подтвердили данные выводы для центробежных насосов сопоставимого качества проектирования и изготовления:
-

монотонно увеличивается с увеличением
QBEP, где угловой коэффициент

является самым значительным при самых низких значениях
QBEP и асимптотически выравнивается вниз до нуля для очень высоких значений
QBEP;
-

имеет максимум при значениях
ns в диапазоне от 40 и 50 мин
-1 и снижается для более высоких и более низких значений
ns, особенно приводя к очень низким значениям

при
ns <= 10 мин
-1.
Эти типичные зависимости

от
QBEP и
ns физически могут быть объяснены влиянием этих двух параметров на различные внутренние гидравлические потери (относительно входной мощности насоса), а также потерями при прохождении потока, потерями при трении диска и потерями из-за внутренних утечек. Кроме того, все более и более низкие значения КПД при низких величинах
QBEP и/или
ns - которые являются типичными для маленьких насосов с соответствующими низкими энергозатратами, - следуют из значительного вклада механических потерь при трении (возникающих в уплотнении вала и подшипников) в общие потери насоса.
По сравнению с одноступенчатыми насосами (типа К, КМ и КМЛ) показатели КПД многоступенчатых насосов (типа МС-В и ПМС) с теми же самыми значениями
QBEP и, как правило, ниже из-за дополнительных потерь при прохождении потока в лопатках направляющего аппарата и обратных каналах. Однако многоступенчатые насосы имеют преимущество в смысле КПД, в случае обеспечения заданных значений
Q,
H и
n должны были бы привести к очень низкому значению
ns одноступенчатого насоса. В этом случае, наиболее благоприятное значение
ns многоступенчатого насоса (рассчитанное по каждой ступени) приводит к значительно более высокому КПД по сравнению с одноступенчатым насосом. Общая зависимость

от
QBEP и
ns для многоступенчатых насосов аналогична общей зависимости

от
QBEP и
ns одноступенчатых насосов.
На
рисунке B.1 сравниваются два насоса А и Б. Насос Б обладает лучшими показателями КПД в точке достижения максимального значения КПД (BEP). Но определенная потребителем рабочая точка отличается от точки максимального КПД насоса Б. Таким образом, насос А с более низким КПД в точке BEP, но с большим соответствием потребностям системы в рабочей точке, определенной потребителем, больше подходит (имеет более высокий КПД) для данного применения.

- КПД насоса А: 69%;

- КПД насоса Б: 63%
Рисунок B.1 - Значимость правильного выбора насоса
Подводя итог, необходимо подчеркнуть, что правильное и точное определение таких параметров, как H, Q и NPSH (и др.), должно быть выполнено потребителем, назначающим рабочую точку насоса, и производителем, подбирающим под нее конкретный насос.
(справочное)
СРЕДНИЕ ЗНАЧЕНИЯ ПАРАМЕТРОВ ТИПОРАЗМЕРА НАСОСОВ
В соответствии с положениями
раздела 6 и с целью достижения определенной величины минимального индекса энергоэффективности (MEI) средние значения КПД типоразмера насоса должны быть, по меньшей мере, равными или выше, чем соответствующие требуемые минимальные значения.
В пределах одного типоразмера серийно выпускаемых насосов одного изготовителя (с одним и тем же полным диаметром рабочего колеса) существует неизбежный разброс значений рабочих параметров, включая КПД и другие показатели (QBEP и ns), которые имеют отношение к определению минимального индекса энергоэффективности (MEI). Этот разброс рабочих параметров является следствием небольших отличий в геометрии проточной части (таких как, например, внутренний диаметр горловины колеса, углы наклона лопастей рабочего колеса, щелевые зазоры) среди отдельных насосов одного и того же типоразмера.
Эти различия находятся в пределах диапазона допустимых геометрических или размерных отклонений, которые присущи каждому производственному процессу, и не могут быть снижены по экономическим соображениям.
Доверительный интервал значений гидравлических параметров определяет соответствующий доверительный интервал гидравлических характеристик отдельных насосов одного и того же типоразмера.
Типоразмер в целом характеризуется средними характеристиками и кривыми. Средние величины гидравлических значений, имеющих отношение к минимальному индексу энергоэффективности (MEI), определяются как

, (C.1)
где
x - соответствующая величина (например,
Q,
H,

,
ns),
z - общее количество насосов одного типоразмера.
Для произведенных в достаточно больших количествах типоразмеров общее количество z может быть заменено числом zannual ежегодно произведенных насосов одного типоразмера.
Примечание - Если число
z (или
zannual) большое, то можно предположить, что геометрические размеры и, следовательно, зависящие от этих измерений гидравлические величины
x показывают нормальные (Гауссовы) распределения (см.
рисунок C.1). Для одного и того же диаметра рабочего колеса и, особенно для полного диаметра рабочего колеса, эти распределения характеризуются их фактическими средними величинами
xmean (которые идентичны величине, вычисленной по вышеуказанной формуле) и связанной с ними пропускной способностью разброса. Последняя также может быть названа фактическим производственным допустимым отклонением гидравлического значения или фактическим гидравлическим производственным допустимым отклонением типоразмера насоса.
x - гидравлическая величина (
Q,
H,

);
xmean - среднее значение величины x;
sx - среднеквадратичное отклонение x;
l - нижний предел;
h - верхний предел
Рисунок C.1 - Нормальное распределение величины типоразмера
насоса
Для нормальных распределений вероятность составляет 95%, при этом любое частное фактическое значение xi соответствующей величины x приближено к доверительному интервалу +/- 1,96sx в окрестностях значения xmean, где

(C.2)
является среднеквадратичным отклонением величины
x в пределах одного типоразмера (см.
приложение E).
Поэтому гидравлический производственный допуск величины
x может быть определен как +/- 1,96
sx, см.
рисунок C.1.
При этом фактическое значение xi для какого-либо насоса одного типоразмера и диаметра рабочего колеса, изготовленного одним и тем же производителем имеет вероятность
- 50%, если равно или больше значения xmean;
- 97,5%, если равно или больше значения xmean - 1,96sx.
В связи с тем, что в большинстве случаев, общие числа z или zannual произведенных изготовителем насосов одного типоразмера являются значительными, средние величины типоразмера могут быть определены только с помощью проведения испытаний и оценки их результатов на испытательной партии насосов количеством M (как правило, являющимся очень незначительным по сравнению с z или zannual), выбранных методом случайного отбора из производства испытательных насосов.
Таким образом, средние величины могут быть определены только с некоторой остаточной погрешностью, даже если никаких погрешностей измерения не будет существовать. В то время как можно ожидать получения отдельных фактических значений КПД и других соответствующих значений, полученных в результате испытаний на примере испытательной партии насосов, при этом они будут приближены к доверительному интервалу (неизвестных) фактических средних величин. Где конкретно расположены отдельные значения в пределах доверительного интервала, определить невозможно.
Например, выбранный методом случайного отбора из типоразмера испытательный насос может иметь любое фактическое значение КПД

в пределах разброса пропускной способности и в качестве одного из двух возможных крайних случаев минимальную или максимальную величину КПД на границах l (низко) и h (высоко) пропускной способности (см.
рисунок 5).
Для подтверждения определенной величины минимального индекса энергоэффективности (MEI) для типоразмера насоса с помощью описанной в
разделе 6 процедуры помимо средних показателей

,

,

типоразмера также необходимы средние показатели (
QBEP)
mean и (
ns)
mean типоразмера для определения соответствующих номинальных величин минимального необходимого КПД (см.
раздел 4).
Эффект погрешности измерения должен быть принят во внимание при определении средних гидравлических показателей типоразмера в процессе испытаний и оценок их результатов на опытной партии насосов дополнительно к доверительному интервалу фактических значений, вызванных производственными гидравлическими допустимыми отклонениями в пределах типоразмера. Доверительный интервал фактических значений в пределах типоразмера зависит только от качества производства. Ширина определенных экспериментальным путем доверительных интервалов гидравлических значений кроме того зависит от точности методов измерения и используемых с этой целью устройств и приборов, т.е. от погрешностей общих фактических измерений (см.
приложение D).
Поэтому фактические средние величины значений типоразмера, особенно относящихся к минимальному индексу энергоэффективности (MEI), могут быть определены с помощью испытаний и оценок их результатов только при их приближении к соответствующим доверительным интервалам, которые могут быть количественно определены общими факторами допустимых отклонений или величин. Эти общие факторы допустимых отклонений могут быть определены непосредственно по результатам измерений на тестовой партии нескольких испытательных насосов одного типоразмера (при применении, например, метода, описанного в
D.3).
Для обеспечения гарантии достаточно высокой вероятности того, что:
- средние фактические величины КПД типоразмера, по меньшей мере, равны пороговым значениям, соответствующим минимальному индексу энергоэффективности (MEI) этого типоразмера,
- тестовые испытания на одном или нескольких насосах одного типоразмера (с полным диаметром рабочего колеса), которые выполняются в рамках проведения процедуры проверки, приведут к подтверждению указанного изготовителем минимального индекса энергоэффективности (MEI),
необходимо, чтобы средние фактические величины

,

,

, определенные с помощью испытаний на типовых насосах, имели определенные положительные допустимые пределы (выраженные общими допустимыми отклонениями или доверительными интервалами), которые касаются пороговых значений для указанного значения минимального индекса энергоэффективности (MEI).
Необходимые допустимые пределы между средними фактическими величинами (определенными испытаниями на партии типовых насосов типоразмера) и соответствующими пороговыми значениями КПД для определенного значения минимального индекса энергоэффективности (MEI) - тем ниже, чем:
- ниже гидравлический разброс в пределах типоразмера (

хорошее качество изготовления, небольшие производственные допуски);
- ниже погрешности измерений при испытаниях партии типовых насосов (

высокая точность измерительного оборудования, небольшие случайные ошибки, см.
приложение I);
- больше число M испытанных типовых насосов (см.
приложения G и
I).
На
рисунках C.2 и
C.3 показано проявление амплитуды общих допустимых отклонений (т.е. ширины доверительных интервалов) средних показателей КПД типоразмера в сравнении с соответствующими пороговыми значениями согласно
разделу 5 настоящего стандарта. В обоих случаях предполагается, что среднее значение КПД, вытекающее из измерений при испытании партии типовых насосов, номинальные величины минимального необходимого КПД, а также соответствующие пороговые значения КПД являются одними и теми же. В случае более высоких общих допустимых отклонений измеренных показателей КПД (см.
рисунок C.2) один и тот же типоразмер насосов может не пройти процедуру оценки соответствия по критерию (см.
раздел 5) относительно определенной величины минимального индекса энергоэффективности (MEI), в то время как в случае меньших общих допустимых отклонений измеренного КПД (см.
рисунок C.3) он сможет успешно пройти проверку.
Рисунок C.2 - Влияние общих допустимых отклонений измеренных
величин КПД (вариант 1)
Рисунок C.3 - Влияние общих допустимых отклонений измеренных
величин КПД (вариант 2)
Когда описанная в
разделе 6 процедура применяется производителем с целью подтверждения для типоразмера насоса определенной величины минимального индекса энергоэффективности (MEI), определение соответствующих (доверительных интервалов) средних значений этого типоразмера, как правило, находится в зоне ответственности изготовителя.
Две возможности определения средней величины КПД и других соответствующих величин с достаточной вероятностью (на основе испытаний насосов данного типоразмера) подробно описаны в
приложении D.
(справочное)
РЕКОМЕНДУЕМЫЕ МЕТОДЫ ОПРЕДЕЛЕНИЯ СРЕДНИХ ЗНАЧЕНИЙ
ГИДРАВЛИЧЕСКИХ ПАРАМЕТРОВ ТИПОРАЗМЕРА НАСОСОВ
D.1 Общие замечания
Для определения средних значений параметров типоразмера насосов существуют два рекомендованных пути для подтверждения того, что типоразмер соответствует заданному значению минимального индекса энергоэффективности:
1) выполняется только одно испытание на выбранном случайным образом из типоразмера единственном насосе, и его показатели КПД при BEP, PL и OL определяются в соответствии с описанной в
разделе 5 последовательностью измерений и оценок. Средние значения КПД типоразмера вычисляются с использованием предварительных производственных допусков

, значения которых задаются исходя из опыта производителя. Как правило, неизвестно, где располагаются экспериментальным путем определенные значения величины

в пределах производственного допуска. Также неизвестен и фактический разброс значений. Тем не менее, могут быть получены фактические средние значения

, которые будут близки к интервалу

. Чтобы убедиться, что указанные в
приложении B требования отвечают квалификационным условиям, может быть рассмотрен крайний случай, который заключается в том, что КПД образца насоса из типоразмера находится на верхнем уровне (точка h на
рисунке C.1) полосы разброса

. Таким образом, можно убедиться в том, что среднее числовое значение КПД

равно или больше

;
2) испытания проводятся для партии насосов, состоящей из M образцов, выбранных случайным образом из одного типоразмера. К результатам этих испытаний применяется точная теория дискретного представления. На базе результатов испытанных насосов M, арифметически усредненных величин рассчитываются среднеквадратичные отклонения значений соответствующего гидравлического параметра и фактические доверительные интервалы средних показателей КПД типоразмера.
Принимая во внимание то, что второй метод требует применения более значительных экспериментальных усилий, он обычно приводит к более узким доверительным интервалам, при условии, что достигнуто хорошее качество производства благодаря применяемым производителем управленческим мерам по качеству. Это происходит из-за того, что значение используемых для первого метода предопределенных производственных допусков зафиксировано для одинаковых случаев более низкого качества производства. Поэтому более значительное усилие, применяемое во втором методе, в большинстве случаев оправдано меньшими доверительными интервалами (по сравнению с предопределенным допуском в первом методе), с учетом которых экспериментальным образом определенные средние значения величины КПД должны превысить пороговые значения с целью соответствия описанных в
разделе 7 квалификационных критериев. Это влияние также представлено на
рисунках C.2 и
C.3.
D.2 Определение среднего значения КПД типоразмера насоса по результатам испытаний на одном насосе
Испытание на одном насосе должно быть выполнено и оценено в соответствии с процедурой, описанной в
разделе 5.
Измеренные значения подач
QBEP,
QPL и
QOL и соответствующие им значения КПД

,

и

, так же как величина быстроходности
ns (см.
5.5.3), должны быть известны для выбранного насоса.
На основании этих числовых значений определяют общие интервалы допустимых отклонений, к которым с высокой вероятностью близки значения средних показателей КПД

(при BEP, PL и OL) типоразмера. Для нахождения ширины этих интервалов должен быть применен общий фактор допустимого отклонения

.
Поскольку разброс значений КПД в пределах типоразмера и погрешности измерения на выбранном насосе рассматривается как нормальное (Гауссово) распределенное и статистически независимое друг от друга, общий фактор допустимого отклонения для средних числовых показателей типоразмера вычислен посредством формулы

. (D.1)
В
формуле (D.1) 
, является (относительным) гидравлическим отклонением, следующим из геометрических производственных допустимых отклонений в пределах типоразмера. Величина

, должна быть установлена на основе испытаний производителя, например, на базе доступных в результате управления качеством данных.
Интервал допуска

должен быть достаточно широким, чтобы покрывать около 95% фактических показателей КПД отдельных насосов типоразмера.

рекомендуется для произведенных с обычным производственным качеством типоразмеров в качестве значения по умолчанию.
Типоразмеры, состоящие из небольших насосов с низкой входной мощностью, отличаются тенденцией иметь больший разброс значений КПД в зависимости от образца (и, следовательно, большими значениями

), потому что:
- геометрические допускаемые отклонения имеют более выраженное влияние на КПД;
- механические потери в уплотнениях вала и подшипников, которые могут продемонстрировать относительно большой разброс в пределах одного и того же типоразмера, сильнее влияют на значение КПД.
| | ИС МЕГАНОРМ: примечание. В официальном тексте документа, видимо, допущена опечатка: имеется в виду рисунок D.1, а не Г.1. | |
Общие интервалы допустимых отклонений по КПД, относящиеся к определению минимального индекса энергоэффективности, могут быть нанесены на характеристику КПД в зависимости от соответствующих значений подачи, определенных в результате испытаний (см.
рисунок Г.1). Полуоси этих общих интервалов допустимых отклонений равны:
- при Q = QBEP: |  ; |
- при Q = QPL: |  ; |
- при Q = QOL: |  . |
Рисунок D.1 - Графическое представление средних показателей
КПД, относящихся к определению минимального индекса
энергоэффективности (MEI) типоразмера насосов
Фактические средние значения

типоразмера насосов (нужны при подтверждении соответствия значения минимального индекса энергоэффективности) близки к общим интервалам допустимых отклонений. В пределах этих общих интервалов допустимых отклонений каждое значение

имеет одинаковую правомерность.
Средние значения подачи в точке максимального КПД и коэффициента быстроходности типоразмера, которые необходимы для вычисления показателей минимальных необходимых значений КПД, устанавливаются таким образом, чтобы быть равными определенным для испытательного насоса значениям:
QBEP, mean = QBEP, (D.2)
D.3 Определение среднего значения КПД типоразмера по результатам испытаний тестовой партии насосов
Образцы насосов
M > 1 выбраны случайным образом из одного типоразмера. Предпочтительно, чтобы тестовая партия насосов состояла из числа насосов
M >= 5. Испытания каждого насоса тестовой партии должны быть выполнены и оценены в соответствии с требованиями
раздела 5.
Для каждого испытываемого насоса значения расходов
QBEP,
QPL и
QOL и соответствующие значения КПД

,

и

так же, как коэффициент быстроходности
ns, должны быть определены согласно
5.5.3.
После этого с помощью следующих формул необходимо вычислить для каждой из приведенных выше гидравлических величин арифметически усредненное значение

тестового образца и его среднеквадратичное отклонение
sx:

, (D.4)

. (D.5)
Если значение величины

и особенно значение

одного из испытательных насосов кажется неправдоподобным или ошибочным по сравнению со значениями других
M-1 насосов тестовой партии, может быть проведено дополнительное испытание согласно
приложению F. Если в результате проведения этого испытания будет подтверждено, что полученное значение является выделяющимся из экспериментальных величин, то результаты данного испытательного насоса должны быть отклонены и:
- или для значений
x и
sx должны быть повторно проведены вычисления на базе результатов испытаний оставшихся
M-1 тестовых насосов при условии, что
M-1 является все еще достаточно большим числом, чтобы быть существенным со статистической точки зрения (см.
приложение F);
- или может быть повторно проведено испытание на тестовом насосе, который выдал выделяющееся из экспериментальных величин значение;
- или может быть дополнительно испытан еще один насос.
В случае, если бы не существовало никакой погрешности измерения КПД, фактические средние значения КПД на режимах BEP, PL и OL соответственно были бы приближены (с вероятностью 95%) к доверительному интервалу

, вычисленному с использованием значения
t (95%,
M) для числа
M насосов в испытываемой партии, в соответствии с
таблицей F.1.
Тем не менее, из-за неизбежных погрешностей измерения во внимание должно быть принято комбинированное воздействие производственных допусков и погрешностей измерения. Предполагается, что ошибки измерения, возникающие во время испытаний каждого насоса из
M штук, входящих в тестируемую партию, являются статистически независимыми друг от друга. Поэтому погрешность арифметически усредненных величин

тестовой партии насосов может быть вычислена из общих погрешностей измерения

во время испытания каждого из
M насосов в соответствии с законом распределения погрешностей (см.
приложение F)

. (D.6)
Существует вероятность того, что при каждом испытании на одном из
M насосов величины

будут несущественно отличаться друг от друга (т.е.

). Погрешности измерения

также будут иметь приблизительно одинаковые значения (т.е.

), тогда
. (D.7)
После этого ширина 95%-ного доверительного интервала фактических средних значений КПД при BEP, PL и OL соответственно может быть вычислена с помощью формулы

, (D.8)
где

. (D.9)
Полуоси общих интервалов допустимых отклонений фактических средних значений КПД, использующихся при определении минимального индекса энергоэффективности, равны:
- при  : |  ; |
- при  : |  ; |
- при  : |  . |
Рисунок D.1 представляет графическое изображение полученных результатов. Средние показатели КПД

типоразмера насосов близки к общим доверительным интервалам. В пределах этих доверительных интервалов любое значение

является равновероятным.
Средние значения подачи в точке максимального КПД и коэффициента быстроходности типоразмера, которые необходимы для вычисления минимально необходимых значений КПД, устанавливаются в качестве равных соответствующим арифметически усредненным величинам:

,

.
(справочное)
E.1 Численный пример применения методов, изложенных в приложении D
Численный пример приводится с целью разъяснения применения двух различных методов, изложенных в
приложении D, и сравнения результатов их применения относительно погрешностей и результатов процедуры подтверждения значения минимального индекса энергоэффективности (MEI), а также с целью показать преимущества испытаний образца партии насосов
M > 1 в рамках квалификационной процедуры.
С целью упрощения процесса сравнения численный пример фокусируется на средних значениях КПД типоразмера насосов, полученных в точке BEP.
Рассматриваемый в данном примере типоразмер может быть охарактеризован следующими показателями и средними значениями:
- тип насоса: К, номинальная частота вращения: n = 2900 мин-1;
- расчетная подача: QBEP = 20 м3/ч, при напоре: HBEP = 24 м;
- расчетный коэффициент быстроходности: ns = 20 мин-1;
- среднее фактическое значение КПД типоразмера насоса:

;
- входная мощность: P = 2,2 кВт.
Предполагается, что фактические значения КПД

отдельных насосов в пределах типоразмера демонстрируют нормальное (Гауссово) распределение с наиболее вероятным значением фактической средней величины КПД и с разбросом значений, определяемым производственными допусками, т.е. 95%-ный доверительный интервал, +/- 4% от

. (В данном примере фактическая полоса разброса значений от производственных допусков является одной и той же для величины

, которая рекомендована в качестве значения по умолчанию при использовании описанного в
приложении D метода). Абсолютная гидравлическая производственная погрешность равна

.
Принимается, что из типоразмера случайным образом были взяты в качестве опытных образцов пять насосов таким образом, чтобы их фактические значения КПД соответствовали их вероятности, следующей из основного нормального (Гауссова) распределения в пределах типоразмера. Это приводит к получению фактических значений

, взятых в качестве примера и представленных в
таблице E.1:
Таблица E.1
Значения фактического КПД испытанных насосов
N насоса, i | Разброс значений, % |  , % |
1 | -0,85 | 60,2 |
2 | +0,43 | 61,4 |
3 | +1,22 | 62,2 |
4 | -0,30 | 60,7 |
5 | +1,46 | 62,5 |
Затем были определены результаты испытаний с учетом принятия во внимание фактического случайного выбора и систематических погрешностей измерения, которые не должны превышать значений, приведенных в
ГОСТ ISO 9906. Влияние фактических погрешностей измерения на измеренную величину КПД рассматривают следующим образом:
- предполагается, что КПД определяется путем измерения частоты вращения и крутящего момента на валу насосов;
- величины погрешностей измерения отдельных измеренных показателей (Q, H, T, n) соответствуют вероятности, следующей из основных нормальных (Гауссовых) распределений;
- отдельные (и отличающиеся) величины случайных погрешностей принимаются для каждого испытательного насоса тестовой партии, при этом те же самые величины систематических погрешностей (т.е. при той же самой точности испытательного оборудования) принимаются для всех насосов тестовой партии;
- при вычислении КПД правильно определены погрешности непосредственным образом измеренных величин.
Полученные в результате измерений значения основных параметров насосов представлены в
таблице E.2.
Таблица E.2
Измеренные значения параметров насосов тестовой партии
N тестового насоса, i | Подача, QBEP, test, м3/ч | Быстроходность, ns, test, мин-1 | Измеренный КПД,  , % | 95%-ный доверительный интервал измеренного КПД,  , % |
1 | 20,6 | 19,81 | 61,9 | 58,6 - 65,2 |
2 | 19,52 | 20,09 | 61,6 | 58,1 - 65,1 |
3 | 19,16 | 19,66 | 60,0 | 56,9 - 63,1 |
4 | 20,01 | 19,57 | 59,5 | 56,7 - 62,3 |
5 | 19,8 | 20,01 | 58,4 | 56,2 - 60,6 |
Если для формирования опытной партии берется пять насосов
M = 5, то, усреднив отдельные измеренные значения с помощью применения расчетов согласно
формулам (D.4) -
(D.11), получим следующие результаты:
Арифметически усредненные значения тестовой партии насосов:

;

;

.
95%-ный доверительный интервал среднего КПД типоразмера равен:

.
С другой стороны, если бы в качестве образца был взят только один из пяти насосов
M = 1, то применялся бы метод, описанный в
разделе 5 настоящего стандарта с вычислениями по
формулам (D.1) -
(D.3), и если фактор производственного допуска при этом был бы установлен по умолчанию

, то значения 95%-ных доверительных интервалов средних значений КПД насосов испытываемого типоразмера представляли бы собой данные, приведенные в
таблице E.3.
Таблица E.3
95%-ные доверительные интервалы среднего КПД, рассчитанные
на основе испытаний насосов одного типоразмера
N насоса, i | 95%-ные доверительные интервалы среднего КПД типоразмера,  , % |
1 | 57,8 - 66,0 |
2 | 57,3 - 65,7 |
3 | 56,1 - 63,9 |
4 | 55,8 - 63,2 |
5 | 55,3 - 61,7 |
На
рисунке E.1 приведено графическое представление данных
таблицы E.3 с выделенным общим доверительным интервалом партии испытываемых насосов.

- насосы N 1 - 5;

- по всей партии насосов
Рисунок E.1 - Сравнение доверительных интервалов среднего
КПД, следующих из применения различных методов
Из приведенного примера очевидно, что 95%-ный доверительный интервал средних значений КПД насосов одного и того же типоразмера, определенных с одинаковой точностью, намного шире в случае проведения испытаний одного насоса, по сравнению с таким же показателем при испытании партии из пяти насосов. (При этом необходимо отметить, что принятое по умолчанию значение

описывает фактический разброс показателей КПД отдельных насосов.)
E.2 Численный пример определения значения MEI
Следующий пример представляет собой расчет значения MEI согласно положениям, изложенным в
разделе 6 настоящего стандарта.
Исходные данные:
Насос типа К, номинальная частота вращения: nN = 2900 мин-1, подача в точке BEP: QBEPmean = 50 м3/ч, коэффициент быстроходности: ns mean = 20 мин-1.
По результатам испытаний и вычислений согласно положениям
раздела 5 и
приложения D настоящего стандарта полагаются известными следующие величины:
Следующие этапы вычислений соответствуют
6.2:
Шаг 1: x = 2,9957, y = 9120

.
Шаг 2: CBEP = 197,6 - 68,1 = 129,9,
CPL = 197,6 - (64,8/0,947) = 129,2,
COL = 197,6 - (67,5/0,985) = 129,1.
Шаг 3: CMEI = max(129,9; 129,2; 129,1) = 129,9.
Шаг 4:
Cleft = 130,3;
Cright = 129,2; MEI
left = 0,4

.
(справочное)
ПРИМЕНЕНИЕ ЗАКОНОВ МАТЕМАТИЧЕСКОЙ СТАТИСТИКИ
ПРИ ПРОВЕДЕНИИ ИСПЫТАНИЙ
F.1 Задачи применения статистики в рамках проведения работ по оценке соответствия
Применение настоящего стандарта требует проведения испытаний насосов и выполнения оценки полученных результатов. В рамках проведения такой работы используются методы математической статистики для следующих целей:
1) для определения случайной погрешности измеренных величин в соответствии с процедурами испытаний, описанных в
разделе 5, и подтверждения того, что они не превышают максимально допустимые значения в соответствии с
ГОСТ ISO 9906;
2) для определения доверительных интервалов измеренных величин (см.
разделы 6 и
7);
3) для определения суммарной погрешности, относящейся к определению или проверке соответствия значений КПД, должен быть применен закон распределения погрешностей и должен быть вычислен на основании нескольких напрямую измеренных значений, поскольку КПД не может быть измерен напрямую (см.
приложение G);
4) для проверки соответствия типоразмера насоса определенному значению минимального индекса энергоэффективности должны быть определены средние значения КПД типоразмера (см.
приложение C). Затем эти значения необходимо сравнить с соответствующими пороговыми значениями. В случае, если испытания и оценка полученных результатов выполнялись для случайным образом выбранной партии насосов 1 <
M <
z, где
z - общее число насосов данного типоразмера, то доверительный интервал средних значений может быть определен математически в соответствии с описанием в
приложении C.
Нормальное (Гауссово) распределение
Можно предположить, что влияние случайной ошибки измерений, а также разброса значений гидравлических параметров в пределах типоразмера насоса, вытекающих из производственных процессов, имеет случайную природу. Для большого числа измерений определенной физической величины или большого числа насосов одного типоразмера отдельные показания измерительных приборов при измерении одних и тех же величин или гидравлических параметров насосов одного типоразмера подчиняются с достаточно хорошим приближением так называемому нормальному или Гауссовому распределению. Это распределение описывает частоту (или вероятность), с которой отдельные значения возникают в пределах их общего диапазона (см.
рисунок C.1). С математической точки зрения нормальное или Гауссово распределение передается формулой

, (F.1)
где p (x) - плотность вероятности;
xmean - фактическая средняя величина;

- среднее квадратичное отклонение величины
x, которое в точности подчиняется нормальному или Гауссовому распределению.
Принимая

, (F.2)
| | ИС МЕГАНОРМ: примечание. В официальном тексте документа, видимо, допущена опечатка: имеется в виду формула F.1, а не E.1. | |

. (F.3)
Интегрирование плотности вероятности
p(
Z)

дает интегральную функцию
P(
Z), которая описывает (нормализованную) вероятность того, что любое значение
Z окажется меньше
Z*, в то время как 1 -
P(
Z*) описывает вероятность того, что любое значение
Z окажется больше
Z*.
Для величин, подчиняющихся описанному закону распределения, свойственны следующие положения:
1) распределение вероятностей является симметричным по отношению к среднему значению xmean. Значение x = xmean имеет самую высокую частоту выпадения или вероятность. Вероятность выпадения x <= xmean и x >= xmean составляет 0,5 (или 50%);
2) вероятность 0,9 (или 90%) означает, что любое значение
x находится в пределах интервала

. Вероятность 0,95 (или 95%) означает, что любое значение
x находится в пределах интервала

. Вероятность 0,99 (или 99%) означает, что любое значение
x находится в пределах интервала

;
3) вероятность 0,8415 (или 84,15%) означает, что любое значение

. Вероятность 0,975 (или 97,5%) означает, что любое значение

. Вероятность 0,9951 (или 99,51%) означает, что любое значение

.
F.2 Доверительный интервал
В случае если:
- выполнено только ограниченное число N измерений одной и той же величины x,
- или если проверено только ограниченное число M насосов одного типоразмера и определены отдельные значения гидравлического параметра
x, ни фактическое (среднее) значение
xmean, ни фактическое стандартное отклонение

не могут быть точно определены. В таких случаях может быть определен только доверительный интервал величины
x, к которому с определенной вероятностью приближается фактическое (среднее) значение
xmean. С этой целью берется арифметически усредненная величина

, определяемая по числу
N или M значений величины
x в качестве оценки фактического (среднего) значения. В зависимости от желаемой вероятности
p доверительный интервал определяется выражением

. Чаще всего желаемая вероятность
p выбирается равной 0,95 (или 95%) таким образом, чтобы
f(p) =
1,96. Как было описано выше, с вероятностью 0,975 (или 97,5%) фактическое (среднее) значение в этом случае будет

(для большого числа показаний измерительных приборов), где

- фактическое, но неизвестное среднеквадратичное отклонение значений величины
x от нормального распределения.
Для вычисления доверительного интервала на основе ограниченного числа N измерений или числа M партии насосов соответственно может использоваться следующая формула

, (F.4)
где k - соответствует числу N показаний измерительных приборов или количеству M насосов в выборке;
sx - среднеквадратичное отклонение результатов измерений значения величины
x или значений величины
x отдельных насосов из испытательной партии от арифметически усредненной величины

и рассчитывается с помощью формулы

; (F.5)
t(
p,
k) - квантиль распределения Стьюдента, который зависит от желаемой вероятности доверительного интервала
p и от числа
k. Для вероятности 0,95 (или 95%) значения
t (
p,
k) приведены в
таблице F.1.
Таблица F.1
Квантили распределения Стьюдента для вероятности 95%
k | t (95 %, k) |
3 | 4,30 |
4 | 3,18 |
5 | 2,78 |
6 | 2,57 |
7 | 2,45 |
8 | 2,36 |
9 | 2,31 |
10 | 2,26 |
11 | 2,23 |
12 | 2,20 |
13 | 2,18 |
14 | 2,16 |
15 | 2,14 |
16 | 2,13 |
17 | 2,12 |
18 | 2,11 |
19 | 2,10 |
20 | 2,09 |
При увеличении значения
k квантиль распределения Стьюдента приближается к показателю 1,96. При этом ширина доверительного интервала асимптотически сходится к нулю и арифметически усредненное значение

приближается к фактической средней величине
xmean. В большинстве случаев практического применения квантиль распределения Стьюдента может быть установлен приблизительно на уровне 1,96 при
k >= 30.
F.3 Выпадающие значения
При снятии N значений измеряемой величины x или при определении значения величины x числа M насосов из испытательной партии определенного типоразмера существует возможность того, что одно показание x или значение x одного из насосов может отклониться намного больше от арифметического среднего числа x, чем остальные. Эту величину обозначают xr. Для принятия решения относительно того, стоит ли оставлять результат данного измерения или нет, следует провести соответствующую оценку.
С этой целью сначала рассчитывается среднее арифметическое значение

и среднеквадратичное отклонение
sx всех измеренных значений, включая подвергаемое сомнению значение
xr. После этого вычисляется отношение

, (F.6)
которое сравнивается с приведенной в
таблице F.2 максимальной допустимой величиной
Rmax. Если фактическое значение
xr больше, чем взятая из
таблицы F.2 максимальная допустимая величина в зависимости от числа
k измерений или насосов в испытательной партии, значение
xr отбрасывается. В этом случае
k уменьшается на 1, а

и
sx рассчитываются повторно.
Таблица F.2
Максимальные допустимые значения параметра
R
k | Rmax % |
3 | 1,15 |
4 | 1,48 |
5 | 1,71 |
6 | 1,89 |
7 | 2,02 |
8 | 2,13 |
9 | 2,21 |
10 | 2,29 |
11 | 2,36 |
12 | 2,41 |
13 | 2,46 |
14 | 2,51 |
15 | 2,55 |
16 | 2,59 |
17 | 2,62 |
18 | 2,65 |
19 | 2,68 |
20 | 2,71 |
Если новое число k становится слишком маленьким (например, меньше 5 в случае числа насосов в испытательной партии), то должны быть сняты дополнительные показания или испытаны дополнительные насосы.
F.4 Закон распределения погрешностей
Оценка результатов испытаний часто требует косвенных вычислений значений физических величин y (например, КПД), опираясь на значения других величин xi, которые могут быть измерены напрямую. Полагается, что функциональная зависимость вышеуказанных величин известна и представлена зависимостью
y = f(x, x2, x3 ... xn). (F.7)
Каждое из значений xi имеет стандартное отклонение sxi. Если эффекты, вызывающие отклонения от фактического среднего значения (или от арифметически усредненной величины), имеют случайную природу, измеренные значения xi будут подчиняться нормальному (Гауссовому) распределению. Если, кроме того, значения статистически независимы друг от друга, среднеквадратичное отклонение sy значения y выражается формулой

. (F.8)
Если f представляет собой линейную функцию (как в случае с КПД), sy выражается формулой

. (F.9)
Такие же зависимости могут быть использованы для расчета кратных (многочисленных) среднеквадратичных отклонений, например, для вычисления ширины 95%-ного доверительного интервала значения y от 95%-ных доверительных интервалов значения xi.
(справочное)
G.1 Общие положения
Каждое измерение неизбежно влечет за собой определенные погрешности, даже если используемые измерительные процедуры и инструменты, а также методы анализа применяются с полным практическим соблюдением всех правил и норм и в соответствии с требованиями
ГОСТ ISO 9906 и настоящего стандарта. Причиной этой погрешности могут быть два источника.
1. Даже при неизменных параметрах, определяющих рабочую точку испытываемого насоса (частота вращения или частота тока, гидравлическое сопротивление системы трубопроводов, давление на входе, свойства перекачиваемой жидкости), могут отмечаться неизбежные колебания измеренных значений из-за особенностей измерительной системы или случайных вариаций измеренного значения. Эти колебания являются причиной незначительного отличия значений показаний измерительных приборов при измерении одного и того же значения в той же самой рабочей точке. Поэтому необходимо усреднение повторяющихся показаний с целью определения среднего значения измеряемых значений. Арифметически усредненная величина

ряда из
N показаний величины
x рассчитывается по формуле

. (G.1)
Если
N увеличивается, значения

имеют тенденцию приближаться к фактическому среднему значению
xmean показаний измерительных приборов в пределах его основополагающих пределов точности. Пропускная способность (производительность) вариаций отдельных показаний значения
x в той же самой рабочей точке рядом со средним значением

называется случайной погрешностью. Допуская, что результаты повторных измерений значения
x демонстрируют нормальное (Гауссово) распределение (см.
приложение C), фактическое среднее значение
xmean может иметь вероятность приблизительно 95% в приближении к доверительному интервалу

, где
sx - среднеквадратичное отклонение числа
N показаний измерительных приборов, которое может быть рассчитано с помощью формулы

. (G.2)
Примечание - Коэффициент 1,96 принимается только для большого числа измерений.
В пределах данного доверительного интервала каждое значение x существует равновероятно.
Для числа измерений
N, меньших 30, может быть применена ограниченная (или точная) теория дискретизации. Тогда доверительный интервал представляется как

, где
t(
p,
N) является так называемым квантилем распределения Стьюдента для соответствующей вероятности
p. Для вероятности 95% значения
t(95%,
N) представлены в
таблице F.1. В настоящем стандарте максимальные допустимые значения случайных погрешностей соответствуют описанным в
ГОСТ ISO 9906, уровень 2B. Фактические значения случайной погрешности должны быть определены по формуле

для
N >= 30 или

для
N < 30, соответственно.
Как правило, случайная погрешность представлена как относительное значение
er,x, относящееся к арифметически усредненному значению

:

для
N >= 30; (G.3)

для
N < 30. (G.4)
Для успешного подтверждения достижения определенного значения минимального индекса энергоэффективности типоразмера насосов с помощью процедуры и описанных в
разделе 6 критериев производителю настоятельно рекомендуется прилагать максимальные усилия для того, чтобы величина случайной погрешности была как можно более низкой.
Это может быть достигнуто с помощью:
- наличия демпфера в измерительных приборах или в их соединительных линиях (где должны использоваться симметрические и линейные устройства демпфирования, например капиллярная трубка для неотрицательного воздействия на точность показаний измерительных приборов);
- использования электронных систем получения и накопления данных с соответствующим компьютерным обеспечением и/или программными средствами для низкого фильтрования прохода или соответствующим осуществлением выборки данных и усреднением.
2 Даже после тщательного измерения размеров, соответствующей установки и т.д., и если к величине взятого при совершенно устойчивых условиях измерительного прибора применены все известные поправки (определенные калибровкой), показания измерительной аппаратуры могут отличаться от фактического значения измеренного значения. Эта остаточная погрешность называется систематической погрешностью измерительного прибора и является результатом ограничений калибровки, изменения установки по сравнению с условиями калибровки, неизвестными экологическими воздействиями, неизвестными реакциями установки на предназначенном для измерения значении и внутренними и конструктивными ограничениями непосредственно поверочной схемы. Систематическую погрешность нельзя избежать или уменьшить повторными показаниями приборов, если используется один и тот же измерительный прибор и один и тот же метод измерения. Это может быть оценено только на основе предоставленной изготовителем измерительных приборов (точность приборов, нелинейность, опаздывание) информации, содержащейся в стандартах в отношении максимального числа ошибок стандартизированных методов измерения, и имеющегося у выполняющего измерения обслуживающего персонала опыта. Обычно систематическая погрешность представлена как относительное значение es,x, относящееся к фактическому значению измеренной величины xtrue.
Что касается успешного подтверждения достижения определенной величины минимального индекса энергоэффективности типоразмера с помощью представленных в
разделе 6 процедуры и критериев, то производителю настоятельно рекомендуется приложить значительные усилия для того, чтобы систематическая погрешность была как можно более незначительной. Это может быть достигнуто с помощью:
- выбора и применения высокоточных измерительных приборов, сбора данных по программному обеспечению и аппаратным средствам;
- тщательного проектирования и создания установок испытательного стенда с целью избегания отрицательных воздействий на точность измерения, таких как, например, нарушения распределения потока на входе насоса или в месте расположения расходомера, нестандартным образом соответствующая и/или плохо произведенная геометрия статических штуцеров для измерения давления;
- точной установки измерительных приборов, как, например, расходомеров и измерителей крутящего момента;
- точной калибровки измерительных приборов и/или целых мерных цепей в надлежащих интервалах (см.
ГОСТ ISO 9906);
- регулярной нулевой настройки измерительных приборов и/или мерных цепей.
В соответствии с
ГОСТ ISO 9906 относительная суммарная погрешность измерения
etot,x величины
x рассчитывается как квадратный корень из суммы квадратов (относительной) случайной погрешности
er,x (колебания) и (относительной) систематической погрешности
es,x величины
x:

. (G.5)
Абсолютная суммарная погрешность измерения
Etot,x величины
x получается в результате умножения величины

, определенной из измерений и оценок относительной суммарной погрешности измерения e
tot,x

. (G.6)
Доверительный интервал с вероятностью 95% величины x определяется по формуле

(G.7)
или

. (G.8)
G.2 Определение суммарных погрешностей измерения КПД
В нижеприведенной формуле относительные суммарные погрешности измерения etot,x всех значений x должны быть определены при соответствующих расходах QBEP, QPL и QOL. Обычно эти величины могут быть взяты от измеренных эксплуатационных точек, которые должны быть наиболее близки к расходам QBEP, QPL и QOL.
Суммарная погрешность измерения КПД насоса

должна быть вычислена согласно закону распространения ошибки. С учетом предпосылки на то, что ошибки напрямую измеренных значений являются нормальными (Гауссовыми) распределенными и статистически независимыми друг от друга, суммарная погрешность измерения

(в процентном отношении соответствующих величин

на сглаживающих кривых) может быть вычислена с помощью одной из следующих формул:
1) в случае, когда входная мощность насоса P определяется частотой вращения n и крутящим моментом на валу T:

; (G.9)
2) в случае, когда входная мощность насоса
P определяется измерением входной мощностью двигателя
Pgr и вычислением
P из
Pgr посредством полученного в результате калибровки КПД электродвигателя

:

. (G.10)
В этих формулах относительные суммарные погрешности измерения etot,Q расхода Q, etot,n частоты вращения, etot,T крутящего момента и etot,Pgr входной мощности двигателя получаются непосредственно из случайной относительной и систематической погрешности в измерительных приборах, которая используется для измерения этих величин.
Относительная суммарная погрешность измерения
etot,H напора насоса
H должна быть вычислена согласно закону распространения ошибки. Предполагая, что ошибки в непосредственно измеренных значениях являются обычными (Гауссовыми) распределенными и статистически независимыми друг от друга, относительная суммарная погрешность измерения
H (в процентном отношении соответствующих величин

на сглаживающих кривых) может быть вычислена с помощью одной из следующих формул:
1) в случае, когда напор насоса определяется с помощью отдельных измерений давления всасывания p1 и давления нагнетания p2:

; (G.11)
2) в случае, когда напор насоса определяется с помощью дифференциального давления насоса

:

. (G.12)
Примечания
1 В формуле
etot,
H предполагается, что суммарными погрешностями плотности

и ускорения, вызванными силой тяготения
g, можно пренебречь. Кроме того, влияние различия скоростных напоров

на входе и выходе насоса, а также разность высот
z2 -
z1 входа и выхода насоса по отношению к напору насоса предполагается достаточно небольшим для того, чтобы влиянием их погрешности на
etot,H можно было пренебречь.
2 Необходимо подчеркнуть, что суммарная погрешность напора насоса будет следовать из отдельного измерения давления всасывания
p1 и давления на выходе насоса
p2 и вычисления их разницы, если это различие намного меньше, чем одна или обе из величин давлений
p1 и
p2. В этом случае настоятельно рекомендуется непосредственно измерить дифференциальное давление

при помощи преобразователя дифференциального давления.
Суммарная погрешность измерения

КПД электродвигателя должна быть определена отдельно с помощью приборов калибровки двигателя.
(справочное)
МЕТОДОЛОГИЯ ПРОЦЕДУРЫ ПРОВЕДЕНИЯ ПРОВЕРКИ СООТВЕТСТВИЯ
Процедура проверки предназначена для подтверждения (или отклонения) заявленной изготовителем величины минимального индекса энергоэффективности типоразмера насосов. В связи с разбросом величин КПД среди общего количества насосов одного типоразмера, КПД отдельно взятого насоса может быть ниже или выше среднего КПД типоразмера.
Принимая нормальное (Гауссово) распределение значений КПД (см.
приложение C), получаем вероятность того, что фактический КПД выбранного случайным образом отдельного насоса:
- ниже или выше фактического среднего КПД

типоразмера составляет 50%;
- попадает в диапазон

, где

является гидравлической погрешностью отдельных фактических показателей КПД, обусловленного производственными допусками, составляет 95%;
- по меньшей мере, равен или выше показателя

, составляет 97,5%.
Из результатов испытаний на примере партии насосов одного типоразмера (выполненных в рамках проведения процедуры подтверждения соответствия значения MEI) становится известно фактическое среднее значение КПД

, приближенное с определенной вероятностью к доверительному интервалу. Согласно
приложению F половина ширины доверительного интервала

составляет

, в то время как гидравлическая погрешность отдельных значений КПД в пределах типоразмера (вызванных производственными допусками) равна

.
Эта ситуация проиллюстрирована на
рисунке H.1. Максимум (= центр) нормального (Гауссова) распределения отдельных значений КПД в пределах типоразмера может быть расположен где-нибудь в пределах доверительного интервала

с двумя крайними случаями в более низком и верхнем пределах интервала.
Рисунок H.1 - Вероятностное распределение КПД отдельного
насоса в пределах типоразмера
Вероятность того, что у отдельно взятого случайным образом из типоразмера насоса есть определенная фактическая величина КПД

(представленная на графике в виде горизонтальной оси), качественно показана на
рисунке H.1 и может быть математически выражена с помощью функции вероятности.
Вероятность того, что фактический КПД любого отдельно взятого случайным образом насоса будет, по меньшей мере, равен пороговому значению

, зависит от:
1) вероятности того, что КПД отдельного насоса выше, чем средний КПД

данного типоразмера (50% для нормального распределения);
2) расположения порогового значения

относительно доверительного интервала

, который может быть описан запасом.
| | ИС МЕГАНОРМ: примечание. В официальном тексте документа, видимо, допущена опечатка: имеется в виду рисунок H.1, а не I.1. | |
В случае, когда

находится на более низком пределе доверительного интервала

(т.е. когда запас, используемый для указания MEI производителем, определяется как

), существует высокая вероятность того, что КПД любого отдельно взятого насоса будет, по меньшей мере, равна

. Если при этом отношение погрешностей равно

, то из функции вероятности (см.
рисунок I.1) следует, что ее значение составит приблизительно 84%, и таким образом вероятность не пройти испытание на подтверждение соответствие значения MEI составит приблизительно (100 - 84)% = 16%.
Если, с другой стороны, для того же самого отношения погрешностей

, значение

находится на более высоком пределе доверительного интервала

, то

, из этого следует, что значение вероятности составляет приблизительно 16%, при этом вероятность не пройти испытание на подтверждение соответствие значения MEI составит приблизительно (100 - 16)% = 84%.
В соответствии с
разделом 7 настоящего стандарта, в случае если первый выбранный насос не прошел испытания, его заявленная производителем величина MEI может быть подтверждена в случае, если средний КПД трех дополнительных насосов пройдет испытания. Безусловно, существует связь между вероятностью пройти всю процедуру в целом (включая возможность тестирования сразу четырех насосов) и вероятностью того, что любой отдельно взятый насос пройдет эту процедуру.
(справочное)
ОТЧЕТ О РЕЗУЛЬТАТАХ ИСПЫТАНИЙ
I.1 Требования к отчету об испытаниях
Отчет о результатах испытаний, проводимых с целью определения минимального индекса энергоэффективности (MEI), должен содержать:
- подробную информацию для четкой идентификации испытанного насоса и любого другого подлежащего проверке оборудования;
- необработанные данные испытаний всех контрольных точек.
В отчете должно быть представлено графическое изображение с указанием всех исправленных контрольных точек. На графике необходимо отразить рабочие характеристики насоса, описываемые аппроксимирующими функциями, построенными по исправленным контрольным точкам, значения параметров насоса в точке максимального КПД (BEP), на режиме недогрузки (PL) и перегрузки (OL) в соответствии с указаниями
раздела 5 настоящего стандарта.
В отчет необходимо включить следующую информацию:
- дату проведения испытания;
- тестируемое оборудование;
- испытательный стенд и расположение;
- температурные показатели окружающей среды и воды;
- атмосферное давление;
- данные двигателя;
- при правке контрольных точек - описание метода, в соответствии с которым производится исправление;
- описание метода аппроксимации, использованного для получения непрерывных функций, описывающих рабочие характеристики насоса;
- комментарии, относящиеся к чему-либо важному в процессе испытания.
I.2 Протокол испытаний
Представленный в данном приложении протокол испытаний насоса приведен в качестве руководства для отражения результатов испытаний насоса и облегчения их последующей обработки. Протокол не подразумевает необходимости включения всей требуемой в процессе испытаний информации. Возможно внесение модификаций в зависимости от типа насоса, его применения и способа вычисления.
ПРОТОКОЛ ИСПЫТАНИЙ НАСОСА |
Номер испытания | | Дата |
Тип насоса | Типоразмер насоса | Номинальная частота вращения |
Сведения о рабочем колесе | Диаметр рабочего колеса  , мм |
Условия испытания | Тип испытательного стенда | Рабочая среда |
 со стороны всасывания, мм |  со стороны нагнетания, мм |
Сведения о двигателе | Номер двигателя |
Значения частоты вращения |
Контрольная точка | 1 | 2 | 3 | 4 | 5 | 6 | 7 | 8 | 9 | 10 |
Измеряемая величина |
n (1/мин) | | | | | | | | | | |
Hs (м) | | | | | | | | | | |
Hd (м) | | | | | | | | | | |
 (м) | | | | | | | | | | |
H (м) | | | | | | | | | | |
Q (м3/ч) | | | | | | | | | | |
Q (л/с) | | | | | | | | | | |
Pдвигатель (кВт) | | | | | | | | | | |
Pнасос (кВт) |
 , % | | | | | | | | | | |
Значения при номинальной частоте вращения |
H (м) | | | | | | | | | | |
Q (м3ч) | | | | | | | | | | |
Q (л/с) | | | | | | | | | | |
Pдвигатель (кВт) | | | | | | | | | | |
Pнасос (кВт) | | | | | | | | | | |
 , % | | | | | | | | | | |
Значения в рабочих точках, указанных для MEI |
| 1 | 2 | 3 | |
Q/QBEP | 0,75 | 1,00 | 1,10 | 0,75 | 1,00 | 1,10 | 0,75 | 1,00 | 1,10 | |
H (м) | | | | | | | | | | |
Q (м3/ч) | | | | | | | | | | |
Q (л/с) | | | | | | | | | | |
Pнасос (кВт) | | | | | | | | | | |
H, % | | | | | | | | | | |
--------------------------------
<*> Испытание может быть повторено согласно желаемому числу измерений.
(справочное)
СВЕДЕНИЯ О СООТВЕТСТВИИ ССЫЛОЧНЫХ МЕЖГОСУДАРСТВЕННЫХ
СТАНДАРТОВ МЕЖДУНАРОДНЫМ СТАНДАРТАМ, ИСПОЛЬЗОВАННЫМ
В КАЧЕСТВЕ ССЫЛОЧНЫХ В ПРИМЕНЯЕМОМ МЕЖДУНАРОДНОМ СТАНДАРТЕ
Таблица ДА.1
Обозначение ссылочного межгосударственного стандарта | Степень соответствия | Обозначение и наименование ссылочного международного стандарта |
| IDT | ISO 9906-2012 "Центробежные насосы - Гидравлические характеристики при приемочных испытаниях - Классы 1, 2 и 3" |
Примечание - В настоящей таблице использовано следующее условное обозначение степени соответствия стандарта: - IDT - идентичный стандарт. |
| ISO 2186, Fluid flow in closed conduits - Connections for pressure signal transmissions between primary and secondary element |
| ISO 5167-1, Measurement of fluid flow by means of pressure differential devices inserted in circular cross-section conduits running full - Part 1: General principles and requirements |
| ISO 9104, Measurement of fluid flow in closed conduits - Methods of evaluating the performance of electromagnetic flow-meters for liquids |
| ISO 2854: Statistical interpretation of data - Techniques of estimation and tests relating to means and variances |
| ISO 2602: Statistical interpretation of test results - Estimation of the mean - Confidence interval |
| Pfleiderer, C.; Petermann, H., "Stromungsmaschinen", Springer, 6th. Edition, Berlin, 1990 |
| Gulich, J.F., "Kreiselpumpen", Springer, Berlin 1999 |
[8] | Stoffel, B. and Lauer, J., "Theoretically attainable efficiency of centrifugal pumps", Summary of the final report on the research project for VDMA, Technical University of Darmstadt, 1994 |
[9] | Stoffel, B. and Lauer, J., "Attainable efficiencies of volute casing pumps", Summary of the final report on the research project for Europump, Technical University of Darmstadt, 1998 |
[10] | Stoffel, B. Ludwig, G., and Meschkat, S., "Evaluation of efficiency values considering the effect of pumh size modularity", Technical University of Darmstadt, 2002 |
[11] | Bartoschek, M., Bidstrup, N. and Teepe, V., "Energy Efficiency Evaluation of Pumps in Europe - Europumps proactive approach to the Energy Using Products Directive", EEMODS - Energy Efficiency in Motor Driven Systems Conference, Beijing, Chinf, 2007 |
[12] | EUROPUMP Joint Working Grouh on Energy Using Products (EuP): Final report on a study carried oun at the Technische Universitaet Darmstadt "A method to define a minimum level for pump efficiencies based an statistical evaluations", 2007 |
УДК 621.67-216.74:006.354 | | MOD |
Ключевые слова: насосы, энергоэффективность, насосы для воды, индекс энергетической эффективности |