Главная // Актуальные документы // ГОСТ (Государственный стандарт)СПРАВКА
Источник публикации
М.: Стандартинформ, 2018
Примечание к документу
Текст данного документа приведен с учетом
поправки, опубликованной в "ИУС", N 1, 2024.
Документ
введен в действие с 01.09.2019.
Название документа
"ГОСТ ISO 20637-2018. Межгосударственный стандарт. Смеси адаптированные для искусственного вскармливания детей раннего возраста и смеси для энтерального питания взрослых. Определение мио-инозита методом жидкостной хроматографии и импульсной амперометрии"
(введен в действие Приказом Росстандарта от 09.08.2018 N 479-ст)
"ГОСТ ISO 20637-2018. Межгосударственный стандарт. Смеси адаптированные для искусственного вскармливания детей раннего возраста и смеси для энтерального питания взрослых. Определение мио-инозита методом жидкостной хроматографии и импульсной амперометрии"
(введен в действие Приказом Росстандарта от 09.08.2018 N 479-ст)
агентства по техническому
регулированию и метрологии
от 9 августа 2018 г. N 479-ст
МЕЖГОСУДАРСТВЕННЫЙ СТАНДАРТ
СМЕСИ АДАПТИРОВАННЫЕ ДЛЯ ИСКУССТВЕННОГО ВСКАРМЛИВАНИЯ
ДЕТЕЙ РАННЕГО ВОЗРАСТА И СМЕСИ ДЛЯ ЭНТЕРАЛЬНОГО
ПИТАНИЯ ВЗРОСЛЫХ
ОПРЕДЕЛЕНИЕ МИО-ИНОЗИТА МЕТОДОМ ЖИДКОСТНОЙ ХРОМАТОГРАФИИ
И ИМПУЛЬСНОЙ АМПЕРОМЕТРИИ
Infant formula and adult nutritionals.
Determination of myo-inositol by liquid chromatography
and pulsed amperometry
(ISO 20637:2015, IDT)
ГОСТ ISO 20637-2018
Дата введения
1 сентября 2019 года
Цели, основные принципы и основной порядок проведения работ по межгосударственной стандартизации установлены в
ГОСТ 1.0-2015 "Межгосударственная система стандартизации. Основные положения" и
ГОСТ 1.2-2015 "Межгосударственная система стандартизации. Стандарты межгосударственные, правила и рекомендации по межгосударственной стандартизации. Правила разработки, принятия, обновления и отмены"
1 ПОДГОТОВЛЕН Акционерным обществом "Всероссийский научно-исследовательский институт сертификации" (АО "ВНИИС") совместно с Федеральным государственным бюджетным учреждением науки Федеральным исследовательским центром питания, биотехнологии и безопасности пищи (ФГБУН "ФИЦ питания и биотехнологии") на основе собственного перевода на русский язык международного стандарта, указанного в
пункте 5
2 ВНЕСЕН Федеральным агентством по техническому регулированию и метрологии
3 ПРИНЯТ Межгосударственным советом по стандартизации, метрологии и сертификации (протокол от 27 июня 2018 г. N 53)
За принятие проголосовали:
Краткое наименование страны по МК (ИСО 3166) 004-97 | Код страны по МК (ИСО 3166) 004-97 | Сокращенное наименование национального органа по стандартизации |
Армения | AM | ЗАО "Национальный орган по стандартизации и метрологии" Республики Армения |
Беларусь | BY | Госстандарт Республики Беларусь |
Киргизия | KG | Кыргызстандарт |
Молдова | MD | Институт стандартизации Молдовы |
Россия | RU | Росстандарт |
4
Приказом Федерального агентства по техническому регулированию и метрологии от 9 августа 2018 г. N 479-ст межгосударственный стандарт ГОСТ ISO 20637-2018 введен в действие в качестве национального стандарта Российской Федерации с 1 сентября 2019 г.
5 Настоящий стандарт идентичен международному стандарту ISO 20637:2015 "Смеси адаптированные для искусственного вскармливания детей раннего возраста и смеси для энтерального питания взрослых. Определение мио-инозита методом жидкостной хроматографии и импульсной амперометрии" ("Infant formula and adult nutritionals - Determination of myo-inositol by liquid chromatography and pulsed amperometry", IDT)
6 ВВЕДЕН ВПЕРВЫЕ
Информация об изменениях к настоящему стандарту публикуется в ежегодном информационном указателе "Национальные стандарты", а текст изменений и поправок - в ежемесячном информационном указателе "Национальные стандарты". В случае пересмотра (замены) или отмены настоящего стандарта соответствующее уведомление будет опубликовано в ежемесячном информационном указателе "Национальные стандарты". Соответствующая информация, уведомление и тексты размещаются также в информационной системе общего пользования - на официальном сайте Федерального агентства по техническому регулированию и метрологии в сети Интернет (www.gost.ru)
Настоящий стандарт распространяется на адаптированные смеси для искусственного вскармливания детей раннего возраста и смеси для энтерального питания для взрослых и устанавливает метод количественного определения мио-инозита
<*> (свободного или суммы свободного и связанного в виде фосфатидилинозита) с применением жидкостной хроматографии и импульсной амперометрии с переключением колонок.
--------------------------------
<*> Мио-инозит - циклический шестиатомный спирт, присутствует в природных объектах в свободном и связанном виде. В связанном виде входит в состав некоторых липидов, участвует в регуляции уровней внутриклеточного кальция, передаче сигнала от рецептора инсулина, расщеплении жиров и снижении уровня холестерина в крови, модуляции активности нейротрансмиттеров.
В настоящем стандарте применены следующие термины с соответствующими определениями:
2.1 смесь для энтерального питания для взрослых (adult nutritional): Полноценный в питательном отношении специализированный пищевой продукт, изготовленный из молока, сои, риса, молочной сыворотки, гидролизата белка, крахмала и аминокислот в любом сочетании, содержащий или не содержащий интактный белок, употребляемый в жидком виде; может являться единственным источником питания.
2.2
смесь адаптированная для искусственного вскармливания детей раннего возраста (infant formula): Заменитель грудного молока
<**>, специально изготовленный для того, чтобы полностью удовлетворять потребности в питании младенцев первых месяцев жизни до введения соответствующего дополнительного питания.
Примечание - Определение термина
2.2 <***>.
--------------------------------
<***> Определение термина
2.2 взято из Codex Standard 72-1981.
Свободный мио-инозит и мио-инозит, связанный в виде фосфатидилинозита, экстрагируют с применением двух различных методик подготовки пробы. Свободный мио-инозит экстрагируют из проб разбавленной соляной кислотой и водой. Фосфатидилинозит экстрагируют из проб хлороформом и отделяют от других жиров на патронах для твердофазной экстракции с силикагелем. Далее мио-инозит отщепляют от глицеринового остатка с применением концентрированных уксусной и муравьиной кислот при 120 °C. Анализ проводят методом ионной хроматографии с применением комбинации двух различных ионообменных колонок и переключения колонок и с импульсным амперометрическим детектированием. Концентрацию мио-инозита рассчитывают по методу внешнего стандарта путем сопоставления с результатом анализа стандартного раствора известной концентрации.
Для проведения анализа при отсутствии особо оговоренных условий используют только реактивы гарантированной аналитической чистоты и дистиллированную или деминерализованную воду или аналогичную по чистоте воду.
4.1 Реактивы и растворы
4.1.1 Кислота уксусная ледяная.
4.1.2 Хлороформ высокой степени чистоты, для ВЭЖХ.
4.1.3 Диэтиловый эфир безводный, для ВЭЖХ.
4.1.4 Дриерит (осушающий агент, представляющий собой безводный сульфат кальция размером частиц 8 меш).
4.1.5 Гелий нулевой.
4.1.6 Гексан для ВЭЖХ.
4.1.7 Кислота соляная концентрированная массовой долей от 36% до 38%.
4.1.8 Кислота метафосфорная.
4.1.9 Метанол для ВЭЖХ.
4.1.10 Мио-инозит, первичный стандартный образец сравнения.
Хранить в эксикаторе. Для учета степени чистоты используют информацию, указанную в маркировке стандартного образца.
4.1.11 Натрий хлористый.
4.1.12 Натрия гидроксид, раствор массовой долей 50% с низким содержанием карбонатов.
4.2 Приготовление растворов реактивов и стандартных растворов
4.2.1 Общие положения
Допускается готовить все растворы в большем или меньшем объеме при условии соблюдения правил надлежащей лабораторной практики. Растворы можно хранить в охлажденном виде или при комнатной температуре в плотно укупоренных контейнерах из инертных материалов, если не оговорено другое.
4.2.2 Основной стандартный раствор мио-инозита массовой концентрации около 2 000 мг/дм3
Берут точную навеску мио-инозита массой около 0,1000 г и количественно переносят ее в мерную колбу вместимостью 50 см3. Содержимое колбы разбавляют до метки водой и тщательно перемешивают. Раствор хранят в охлажденном виде. Срок годности - 3 мес.
4.2.3 Стандартный раствор мио-инозита промежуточной концентрации (около 200 мг/дм3)
Разбавляют 10,0 см
3 основного стандартного раствора (см.
4.2.2) до 100 см
3 водой, тщательно перемешивают. Полученный раствор утилизируют после использования.
4.2.4 Приготовление градуировочных стандартных растворов
4.2.4.1 Градуировочные стандартные растворы мио-инозита высокой концентрации (около 4 мг/дм
3, 2 мг/дм
3, 1 мг/дм
3 и 0,5 мг/дм
3)
В отдельных мерных колбах разбавляют 2,0 см
3, 1,0 см
3 и 0,5 см
3 стандартного раствора мио-инозита промежуточной концентрации (см.
4.2.3) до 100 см
3 водой. Разбавляют 0,5 см
3 стандартного раствора мио-инозита промежуточной концентрации (см.
4.2.3) до 200 см
3 водой. Срок годности растворов - две недели.
4.2.4.2 Градуировочные стандартные растворы мио-инозита низкой концентрации (около 0,2 мг/дм
3 и 0,05 мг/дм
3)
В отдельных мерных колбах разбавляют 4 см3 и 1 см3 градуировочного стандартного раствора мио-инозита массовой концентрации 0,5 мг/дм3 до 10 см3 водой. Срок годности растворов - две недели.
4.2.5 Соляная кислота, раствор массовой долей около 0,5%
В мерной колбе вместимостью 250 см3 разбавляют 1,25 см3 концентрированной соляной кислоты в 200 см3 воды. Объем содержимого в колбе доводят до метки водой, полученный раствор тщательно перемешивают. Срок годности раствора - 6 мес.
4.2.6 Натрий хлористый, раствор концентрации 1 моль/дм3
В мерной колбе вместимостью 100 см3 растворяют 5,8 г хлорида натрия, объем раствора в колбе доводят до 100 см3 водой. Срок годности раствора - 1 мес.
4.2.7 Натрия гидроксид, раствор массовой концентрации 1,2 г/дм3 или 30 ммоль/дм3 (подвижная фаза для насоса 1)
Быстро взвешивают (4,8 +/- 0,1) г раствора гидроксида натрия массовой долей 50% в мерной колбе вместимостью 2000 см3, содержащей около 1900 см3 воды. Важно, чтобы гидроксид натрия не поглощал диоксид углерода из воздуха. Содержимое колбы тщательно перемешивают путем взбалтывания. Полученный раствор разбавляют до метки водой и тщательно перемешивают. Срок годности раствора - 1 мес.
4.2.8 Натрия гидроксид, раствор массовой долей 40 г/дм3 или 1 ммоль/дм3 (подвижная фаза для насоса 2)
Быстро взвешивают (160 +/- 3) г раствора гидроксида натрия массовой долей 50% в мерной колбе вместимостью 2000 см3, содержащей около 1900 см3 воды. Важно, чтобы гидроксид натрия не поглощал диоксид углерода из воздуха. Содержимое колбы тщательно перемешивают путем взбалтывания. Разбавляют до метки водой и тщательно перемешивают. Срок годности раствора - 1 мес.
4.2.9 Кислота метафосфорная, раствор массовой долей 6%
Взвешивают 6,0 г метафосфорной кислоты в колбе вместимостью 100 см3. Содержимое колбы растворяют в воде и разбавляют до метки водой. Полученный раствор тщательно перемешивают. Хранят в охлажденном виде. Срок годности - одна неделя.
4.2.10 Растворы для экстракции фосфатидилинозита
Растворы готовят в день использования.
4.2.10.1 Хлороформ:метанол (2:1)
Смешивают 60 см3 хлороформа и 30 см3 метанола.
4.2.10.2 Гексан:диэтиловый эфир (80:20)
Смешивают 80 см3 гексана и 20 см3 диэтилового эфира.
4.2.10.3 Гексан:диэтиловый эфир (50:50)
Смешивают 50 см3 гексана и 50 см3 диэтилового эфира.
4.2.10.4 Метанол:хлороформ:вода (75:15:10)
Смешивают 75 см3 метанола, 15 см3 хлороформа и 10 см3 воды.
5 Лабораторное оборудование
5.1 Весы аналитические с наименьшим пределом взвешивания не выше 0,0001 г.
5.2 Центрифуга.
5.3 Эксикатор.
5.4 Устройство для выпаривания в токе азота с водяной баней или аналогичное устройство.
5.5 Термостат суховоздушный, пригодный для поддержания температуры 120 °C.
5.6 pH-метр в комплекте с буферными растворами с pH 4 и 7.
5.7 Мешалка магнитная многопозиционная в комплекте с перемешивающими элементами.
5.8 Вакуумный манифолд.
5.9 Миксер типа Вортекс.
5.10 Система для ВЭЖХ, изготовленная из деталей, устойчивых к коррозии, включающая в себя автосамплер, два изократических насоса, шестиканальный кран-переключатель потока, импульсный амперометрический детектор с золотым электродом и капиллярами из полиэфирэфиркетона (ПЭЭК) или политетрафторэтилена (ПТФЭ) внутренним диаметром от 0,18 до 0,25 мм (от 0,007 дюйма до 0,01 дюйма). Автосамплер должен обеспечивать объем инжекции 20 мм3.
5.11 Колонки аналитические анионообменные для ВЭЖХ
<*> или аналогичные.
--------------------------------
<*> Например, Dionex CarboPac MA1 (4 мм x 250 мм), каталожный номер 44066, MA1 (4 мм x 50 мм), каталожный номер 44067 и PA1 (4 мм x 50 мм), каталожный номер 43096. Это примеры подходящих изделий, доступных в коммерческой сети. Эта информация приведена для удобства пользователей этого стандарта и не является рекламной поддержкой указанных изделий. Допускается использовать аналогичные изделия, если может быть доказано, что они приводят к таким же результатам.
5.12 Стаканы лабораторные различной вместимости.
5.13 Пробирки центрифужные, вместимостью 50 см3 с крышками, покрытыми политетрафторэтиленом (ПТФЭ).
5.14 Фильтрующие насадки на шприц с полиамидным фильтром, 0,45 мкм и 0,2 мкм.
5.15 Бумага фильтровальная
<*> или аналогичная.
--------------------------------
<*> Например, Whatman 2V. Это пример подходящего изделия, доступного в коммерческой сети. Эта информация приведена для удобства пользователей этого стандарта и не является рекламной поддержкой указанного изделия. Допускается использовать аналогичные изделия, если может быть доказано, что они приводят к таким же результатам.
5.16 Колбы конические вместимостью 50 см3 или 125 см3, или аналогичные.
5.17 Колбы мерные различной вместимости.
5.18 Воронки, пригодные для использования с фильтровальной бумагой.
5.19 Пипетки с одной отметкой различной вместимости.
5.20 Патроны для твердофазной экстракции (ТФЭ), заполненные силикагелем, массой сорбента 1 г
<**>.
--------------------------------
<**> Например, J.T. Baker P/N 7086-07 (www.avantormaterials.com). Это пример подходящего изделия, доступного в коммерческой сети. Эта информация приведена для удобства пользователей этого стандарта и не является рекламной поддержкой указанного изделия. Допускается использовать аналогичные изделия, если может быть доказано, что они приводят к таким же результатам.
5.21 Шприцы одноразовые вместимостью 1 см
3 и стеклянные газонепроницаемые вместимостью 25 см
3 с иглами из нержавеющей стали длиной 100 мм (4 дюйма).
6 Процедура проведения испытания
6.1.1.1 Общие положения
Подготовленные пробы можно хранить в закрытых емкостях до пяти дней при постоянной температуре от 1 °C до 8 °C. По истечении пяти дней пробу следует приготовить заново. Жидкие пробы тщательно перемешивают для обеспечения гомогенности. Если степень гомогенности порошкообразной пробы неизвестна, исходят из предположения, что проба не гомогенна и все операции с ней проводят, как с пробами сухих порошкообразных (негомогенных) смесей, как указано в
6.1.1.3.
6.1.1.2 Жидкие пробы
При испытании готовых к употреблению жидких проб точную навеску пробы массой от (0,5 +/- 0,05) г до (5 +/- 0,5) г отвешивают в мерную колбу вместимостью 100 см3 и регистрируют массу навески с точностью до 0,0001 г.
6.1.1.3 Пробы сухих порошкообразных смесей
При испытании проб негомогенных сухих порошкообразных смесей пробу восстанавливают в соответствии с инструкцией на этикетке продукта. Отвешивают точную навеску восстановленного продукта массой от 0,5 до 5 г в мерную колбу вместимостью 100 см3. Регистрируют массу навески с точностью до 0,0001 г.
6.1.1.4 Пробы влажных порошкообразных смесей
При испытании проб влажных порошкообразных смесей точную навеску пробы массой от 0,25 г до 1,5 г отвешивают в мерную колбу вместимостью 100 см3 и регистрируют массу навески с точностью до 0,0001 г. В мерную колбу добавляют от 10 см3 до 15 см3 воды и взбалтывают или перемешивают содержимое колбы до полного растворения порошка.
К каждой навеске пробы добавляют раствор соляной кислоты массовой долей 0,5% (см.
4.2.5) в количестве, достаточном для доведения значения pH раствора пробы до (4,5 +/- 0,2) ед. pH, и перемешивают путем взбалтывания.
Растворы проб выдерживают для проведения реакции с раствором соляной кислоты массовой долей 0,5% в течение не менее 2 мин, затем разбавляют до метки водой. Тщательно перемешивают. Растворы проб фильтруют через фильтровальную бумагу (см.
5.15) в коническую колбу вместимостью 125 см
3 или другую подходящую стеклянную емкость.
Примечание - Фильтраты растворов некоторых проб получаются мутными, тем не менее, они пригодны для использования.
Аликвоту фильтрата раствора пробы фильтруют через шприцевой фильтр (см.
5.14) в виалу автосамплера.
6.2 Мио-инозит, связанный в виде фосфатидилинозита
6.2.1.1 Общие положения
Подготовленные пробы можно хранить в закрытых емкостях до пяти дней при постоянной температуре от 1 °C до 8 °C. По истечении пяти дней пробу следует приготовить заново. Жидкие пробы тщательно перемешивают для обеспечения гомогенности. Если степень гомогенности порошкообразной пробы неизвестна, исходят из предположения, что проба не гомогенна и все операции с ней проводят, как с пробами сухих порошкообразных (негомогенных) смесей, как указано в
6.2.1.3.
6.2.1.2 Жидкие пробы
При испытании проб готовых к употреблению жидких продуктов точную навеску пробы массой (4 +/- 0,4) г отвешивают в центрифужную пробирку вместимостью 50 см3 и регистрируют массу навески с точностью до 0,0001 г.
6.2.1.3 Пробы сухих порошкообразных смесей
При испытании проб негомогенных сухих порошкообразных смесей пробу восстанавливают в соответствии с инструкцией на этикетке продукта. Отвешивают точную навеску восстановленного продукта массой (4 +/- 0,4) г в центрифужную пробирку вместимостью 50 см3. Регистрируют массу навески с точностью до 0,0001 г.
6.2.1.4 Пробы влажных порошкообразных смесей
При испытании проб влажных порошкообразных смесей точную навеску пробы массой (1 +/- 0,1) г отвешивают в центрифужную пробирку вместимостью 50 см3 и регистрируют массу навески с точностью до 0,0001 г. В центрифужную пробирку добавляют 4 см3 воды, содержимое пробирки тщательно перемешивают.
В вытяжном шкафу к каждой пробе для анализа добавляют 10 см
3 метанола и перемешивают в течение не менее 20 мин или обрабатывают на миксере типа Вортекс в течение не менее 1 мин, после чего пробы выдерживают для осаждения взвеси не менее 20 мин. Добавляют 20 см
3 хлороформа и перемешивают в течение не менее 5 мин или обрабатывают на миксере типа Вортекс в течение не менее 1 мин, после чего выдерживают пробы для осаждения взвеси не менее 5 мин. Если после добавления хлороформа образуются крупные комки, пробирку укупоривают и интенсивно встряхивают в течение не менее 1 мин для перемешивания пробы. Добавляют 5 см
3 раствора метафосфорной кислоты массовой долей 6% (см.
4.2.9) и 1 см
3 раствора хлористого натрия концентрации 1 моль/дм
3 (см.
4.2.6) и тщательно перемешивают. Центрифугируют до разделения слоев. Используя стеклянный газонепроницаемый шприц вместимостью 25 см
3 с иглой из нержавеющей стали (см.
5.21), переносят нижний хлороформный слой в чистую центрифужную пробирку вместимостью 50 см
3 и выпаривают хлороформ в токе азота на водяной бане при 60 °C.
В вытяжном шкафу патрон для твердофазной экстракции (ТФЭ), содержащий 1 г силикагеля (см.
5.20), кондиционируют 6 см
3 гексана. Остаток в центрифужной пробирке растворяют в 1 см
3 смеси хлороформ:метанол (2:1). Перерастворенный остаток количественно переносят в кондиционированный патрон с силикагелем для ТФЭ. Центрифужную пробирку ополаскивают 3 см
3 смеси гексан:диэтиловый эфир (80:20) и переносят смыв в патрон для ТФЭ. Элюат отбрасывают. Центрифужную пробирку ополаскивают 3 см
3 смеси гексан:диэтиловый эфир (50:50) и переносят смыв в патрон для ТФЭ. Элюат собирают в чистую центрифужную пробирку вместимостью 50 см
3. Центрифужную пробирку из-под неочищенного экстракта ополаскивают 4 см
3 смеси метанол:хлороформ:вода (75:15:10) и переносят смыв в патрон для ТФЭ. Элюат объединяют в центрифужной пробирке с предыдущей порцией элюата. Объединенный элюат выпаривают в токе азота на водяной бане при 60 °C.
В вытяжном шкафу к остатку в центрифужной пробирке после проведения очистки экстракта добавляют 0,04 см
3 ледяной уксусной кислоты (см.
4.1.1) и 2 см
3 концентрированной соляной кислоты (см.
4.1.7). Пробирку плотно укупоривают и выдерживают в суховоздушном термостате при 120 °C в течение 2 ч. Затем пробирку охлаждают, добавляют в нее около 10 см
3 воды и перемешивают содержимое путем взбалтывания. Добавляют 1,25 см
3 раствора гидроксида натрия массовой долей 50% (см.
4.1.12). Раствор пробы переносят в мерную колбу вместимостью 50 см
3 и доводят водой объем содержимого в колбе до метки. Аликвоту раствора пробы фильтруют через шприцевой фильтр размером пор 0,45 мкм в виалу автосамплера.
6.3.1 Параметры работы хроматографической системы
Верхний предел рабочего давления для насоса 1 - 13 790 кПа (2 000 фунтов на квадратный дюйм).
Подвижная фаза для насоса 1 - раствор гидроксида натрия массовой концентрации 1,2 г/дм3 (30 ммоль/дм3).
Скорость подачи подвижной фазы насосом 1 - 0,40 см3/мин.
Верхний предел рабочего давления для насоса 2 - 13 790 кПа (2 000 фунтов на квадратный дюйм).
Подвижная фаза для насоса 2 - раствор гидроксида натрия массовой концентрации 40 г/дм3 (1 моль/дм3).
Скорость подачи подвижной фазы насосом 2 - 0,40 см3/мин.
Объем инжекции - 20 мм3.
Время удерживания мио-инозита - от 11 мин до 13 мин.
Продолжительность хроматографического анализа - 25 мин.
Временная программа работы крана-переключателя потока подвижной фазы:
1 - насос 1; 2 - предколонка PA1; 3 - насос 2; 4 - емкость
для сбора элюата; 5 - предколонка и аналитическая колонка
MA1; 6 - электрохимический детектор
Рисунок 1 - Конфигурация 1 крана-переключателя
потока подвижной фазы
1 - насос 1; 2 - предколонка PA1; 3 - насос 2; 4 - емкость
для сбора элюата; 5 - предколонка и аналитическая колонка
MA1; 6 - электрохимический детектор
Рисунок 2 - Конфигурация 2 крана-переключателя
потока подвижной фазы
6.3.2 Рабочие параметры импульсного амперометрического детектора с золотым электродом
Аналоговый диапазон 1 мкКл.
Программа работы для детекторов Dionex ICS 3000 или ICS 5000
<*>:
0,0 с: | +0,10 В |
0,20 с: | +0,10 В |
0,40 с: | +0,10 В |
0,41 с: | -2,00 В |
0,42 с: | -2,00 В |
0,43 с: | +0,60 В |
0,44 с: | -0,10 В |
0,50 с: | -0,10 В |
--------------------------------
<*> Это пример подходящего изделия, доступного в коммерческой сети. Эта информация приведена для удобства пользователей этого стандарта и не является рекламной поддержкой указанного изделия. Допускается использовать аналогичные изделия, если может быть доказано, что они приводят к таким же результатам.
Период интегрирования: от 0,20 с до 0,40 с.
6.3.3 Подготовка хроматографа к работе
Готовят подвижные фазы. При необходимости через подвижные фазы барботируют гелий и/или герметизируют резервуары с подвижными фазами. При необходимости очищают и полируют золотой рабочий электрод. Включают детектор и прокачивают подвижную фазу через колонку при скорости потока 0,40 см3/мин в течение не менее 30 мин для того, чтобы привести систему в равновесие. Проверяют стабильность сигнала детектора перед началом анализа. Инжектируют 20 мм3 градуировочного стандартного раствора наиболее высокой концентрации по меньшей мере 5 раз и регистрируют площадь или высоту пиков. Если система уравновешена, относительное стандартное отклонение площади или высоты пика для последних трех инжекций стандартного раствора не должно превышать 2,0%.
6.3.4 Анализ стандартных растворов и растворов проб
Если система уравновешена, проводят единичный анализ градуировочных стандартных растворов каждой концентрации (см.
4.2.4.1 и
4.2.4.2). После окончания анализа серии градуировочных растворов проводят анализ серии растворов проб и контрольной пробы, после чего проводят повторный анализ серии градуировочных растворов.
Перед тем, как проводить расчет массовой доли мио-инозита в пробах, сопоставляют форму пика мио-инозита на хроматограммах градуировочных растворов с формой пиков мио-инозита на хроматограммах растворов проб и убеждаются в том, что помехи от каких-либо компонентов отсутствуют, и площадь или высота пика мио-инозита на хроматограмме раствора пробы находится в границах диапазона площадей или высот пиков на хроматограммах градуировочных растворов. Не допускается рассчитывать массовую долю мио-инозита в пробе при наличии помех от других компонентов или при плохом разделении пиков. Время удерживания мио-инозита должно быть от 11 до 13 мин в зависимости от индивидуальных особенностей аналитической колонки.
7.2 Расчет концентрации градуировочных стандартных растворов
Массовую концентрацию градуировочных стандартных растворов вычисляют по формуле

(1)
где CW - концентрация градуировочного стандартного раствора, мг/дм3;
m - масса навески стандартного образца мио-инозита, мг;
0,05 - объем разбавления при приготовлении основного стандартного раствора, дм
3 (см.
4.2.2);
1/10 - разбавление, примененное при приготовлении стандартного раствора промежуточной концентрации (10 см3 основного стандартного раствора разбавлены до 100 см3);
A1 - аликвота стандартного раствора промежуточной концентрации, см
3 (см.
4.2.4.1);
V1 - объем разбавления при приготовлении градуировочных стандартных растворов высокой концентрации, см
3 (см.
4.2.4.1);
A2 - аликвота градуировочного стандартного раствора высокой концентрации, см
3, взятая для приготовления градуировочного раствора низкой концентрации, если применимо к данному случаю (см.
4.2.4.2);
V2 - объем разбавления при приготовлении градуировочных стандартных растворов низкой концентрации, см
3, если применимо к данному случаю (см.
4.2.4.2);
p - чистота первичного стандартного образца, мг/мг, указанная в его маркировке или определенная экспериментально.
7.3 Построение градуировочного графика
Для каждой концентрации градуировочных растворов определяют среднее арифметическое значение из площадей пиков аналита, полученных при анализе соответствующего градуировочного раствора до и после анализа серии растворов проб. Градуировочный график строят с помощью линейного регрессионного анализа методом наименьших квадратов в системе координат концентрация градуировочного раствора - средняя площадь или средняя высота пика аналита.
7.4 Расчет массовой доли в пробах свободного мио-инозита или суммарной массовой доли свободного и связанного мио-инозита
7.4.1 Расчет массовой доли свободного мио-инозита
По градуировочному графику, построенному по
7.3, определяют массовую концентрацию свободного мио-инозита в подготовленном соответствующим образом растворе пробы для анализа. Исходя из найденной концентрации массовую долю аналита в пробе вычисляют по формуле

(2)
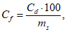
где Cf - массовая доля свободного мио-инозита в пробе продукта, млн-1;
Cd - массовая концентрация мио-инозита в растворе пробы для анализа, мг/дм3;
100 - объем раствора пробы для анализа, готовый к хроматографическим измерениям, см3;
ms - масса навески пробы, г.
7.4.2 Расчет массовой доли связанного мио-инозита
По градуировочному графику, построенному по
7.3, определяют массовую концентрацию связанного мио-инозита в подготовленном соответствующим образом растворе пробы для анализа. Исходя из найденной концентрации массовую долю аналита в пробе вычисляют по формуле

(3)
где Cb - массовая доля связанного мио-инозита в пробе продукта, млн-1;
Cd - массовая концентрация мио-инозита в растворе пробы для анализа, мг/дм3;
50 - объем раствора пробы для анализа, готовый к хроматографическим измерениям, см3;
ms - масса навески пробы, г.
7.4.3 Расчет суммарной массовой доли свободного и связанного мио-инозита
Суммарную массовую долю свободного и связанного мио-инозита в пробе вычисляют по формуле
CT = Cf + Cb, (4)
где CT - суммарная массовая доля свободного и связанного мио-инозита в пробе продукта, млн-1.
(справочное)
X - время, мин; Y - величина сигнала детектора, усл. ед.;
1 - пик мио-инозита
Рисунок A.1 - Типичная хроматограмма стандартного раствора
X - время, мин; Y - величина сигнала детектора, усл. ед.;
1 - пик мио-инозита
Рисунок A.2 - Типичная хроматограмма аттестованного образца
сравнения SRM 1849a
(справочное)
ДАННЫЕ ПО ПРЕЦИЗИОННОСТИ МЕТОДА
Данные, приведенные в
таблицах B.1,
B.2 и
B.3, опубликованы в 2015 г.
[3] и получены в результате межлабораторных испытаний, проведенных в соответствии с ISO 5725-2
[2] и Согласованным Протоколом по проведению межлабораторных испытаний для оценки характеристик прецизионности методов анализа
[5]. Валидация метода проведена в аспекте количественного определения свободного мио-инозита и мио-инозита, связанного в виде фосфатидилинозита, в адаптированных смесях для детей раннего возраста и продуктах энтерального питания для взрослых. Повторяемость определена по результатам двукратных анализов, выполненных в различные дни. Правильность оценена по результатам определения полноты обнаружения в пробах с внесением аналита (в отношении свободного мио-инозита и мио-инозита, связанного в виде фосфатидилинозита). Пределы обнаружения и количественного определения для приборов определены статистически путем хроматографического анализа стандартных растворов низкой концентрации и растворов проб с внесением малых количеств свободного мио-инозита. В основе процедуры проведения испытаний лежали требования, указанные в библиографической ссылке
[6].
Дополнительная информация о валидации метода может быть получена по ссылке http://standards.iso.org/iso/206347.
Таблица B.1
Данные по прецизионности определения несвязанного
(свободного) мио-инозита
Тип образца | Общее число лабораторий, за исключением выбросов | Число выбросов (лабораторий) | Общее число принятых пар результатов параллельных определений | Среднее значение (мг/100 г продукта, готового к употреблению) | sr | sR | CV, r | CV, R | Индекс Горвица HorRat <a> |
NIST SRM 1849a | 10 | 0 | 22 | | 11,3 | 11,4 | 2,75 | 2,77 | 0,43 |
Заменитель грудного молока на соевой основе, в порошкообразной форме | 10 | 0 | 22 | 4,22 | 0,127 | 0,305 | 3,03 | 7,26 | 0,80 |
Заменитель грудного молока на молочной основе в порошкообразной форме | 10 | 0 | 20 | 4,26 | 0,168 | 0,232 | 3,95 | 5,43 | 0,60 |
Заменитель грудного молока на молочной основе, готовый к употреблению | 9 | 0 | 20 | 7,17 | 0,095 | 0,207 | 1,33 | 2,89 | 0,34 |
Заменитель грудного молока на молочной основе, частично гидролизованный, в порошкообразной форме | 10 | 0 | 22 | 3,65 | 0,035 | 0,412 | 0,97 | 11,4 | 1,22 |
Заменитель грудного молока на соевой основе, частично гидролизованный, в порошкообразной форме | 10 | 0 | 22 | 3,11 | 0,0899 | 0,389 | 2,92 | 12,61 | 1,32 |
Заменитель грудного молока в порошкообразной форме | 10 | 0 | 22 | 5,10 | 0,185 | 0,246 | 3,61 | 4,81 | 0,54 |
Мономерная порошкообразная смесь для детей раннего возраста | 10 | 0 | 22 | 5,10 | 0,227 | 0,318 | 4,45 | 6,24 | 0,71 |
Готовая к употреблению адаптированная смесь для питания детей раннего возраста на молочной основе, не витаминизированная | 9 | 0 | 20 | 3,17 | 0,0582 | 0,0910 | 1,84 | 2,87 | 0,30 |
<a> Индекс Горвица в соответствии с библиографической ссылкой [7]. <b> Результаты приведены в мг/кг порошка. |
Таблица B.2
Данные по прецизионности определения мио-инозита, связанного
в виде фосфатидилинозита
Тип образца | Общее число лабораторий, за исключением выбросов | Число выбросов (лабораторий) | Общее число принятых пар результатов параллельных определений | Среднее значение (мг/100 г продукта, готового к употреблению) | sr | sR | CV, r | CV, R | Индекс Горвица HorRat <a> |
NIST SRM 1849a | 9 | 0 | 20 | | 1,92 | 2,62 | 18,7 | 26,8 | 2,36 |
Заменитель грудного молока на соевой основе в порошкообразной форме | 9 | 0 | 20 | 2,10 | 0,150 | 0,501 | 6,94 | 23,2 | 2,30 |
Заменитель грудного молока на молочной основе в порошкообразной форме | 9 | 0 | 18 | 0,667 | 0,0261 | 0,172 | 3,92 | 25,9 | 2,15 |
Заменитель грудного молока на молочной основе, готовый к употреблению | 8 | 0 | 18 | 0,348 | 0,0301 | 0,0909 | 8,36 | 25,2 | 1,91 |
Заменитель грудного молока на молочной основе, частично гидролизованный, в порошкообразной форме | 9 | 0 | 20 | 0,214 | 0,0103 | 0,0576 | 4,72 | 26,4 | 1,86 |
Заменитель грудного молока на соевой основе, частично гидролизованный, в порошкообразной форме | 9 | 0 | 20 | 1,64 | 0,0836 | 0,358 | 5,53 | 21,1 | 2,02 |
Заменитель грудного молока в порошкообразной форме | 9 | 0 | 20 | 0,328 | 0,0234 | 0,0678 | 6,89 | 25,8 | 1,94 |
Мономерная порошкообразная смесь для детей раннего возраста | 9 | 0 | 20 | 0,00 | 0,00 | 0,00 | 0,00 | 0,00 | 0,00 |
Готовая к употреблению адаптированная смесь для питания детей раннего возраста на молочной основе, не витаминизированная | 8 | 0 | 18 | 0,305 | 0,0244 | 0,0850 | 7,71 | 26,9 | 2,00 |
<a> Индекс Горвица в соответствии с библиографической ссылкой [7]. <b> Результаты приведены в мг/кг порошка. |
Таблица B.3
Данные по прецизионности определения суммарной массовой доли
несвязанного (свободного) и связанного в виде
фосфатидилинозита мио-инозита
Тип образца | Общее число лабораторий, за исключением выбросов | Число выбросов (лабораторий) | Общее число принятых пар результатов параллельных определений | Среднее значение (мг/100 г продукта, готового к употреблению) | sr | sR | CV, r | CV, R | Индекс Горвица HorRat <a> |
NIST SRM 1849a | 9 | 0 | 20 | | 11,9 | 11,9 | 2,83 | 2,83 | 0,44 |
Заменитель грудного молока на соевой основе в порошкообразной форме | 9 | 0 | 20 | 6,27 | 0,147 | 0,446 | 2,32 | 7,05 | 0,82 |
Заменитель грудного молока на молочной основе в порошкообразной форме | 9 | 0 | 18 | 4,92 | 0,184 | 0,314 | 3,74 | 6,38 | 0,72 |
Заменитель грудного молока на молочной основе, готовый к употреблению | 8 | 0 | 18 | 7,50 | 0,106 | 0,218 | 1,41 | 2,90 | 0,35 |
Заменитель грудного молока на молочной основе, частично гидролизованный, в порошкообразной форме | 9 | 0 | 20 | 3,84 | 0,035 | 0,426 | 0,91 | 11,2 | 1,21 |
Заменитель грудного молока на соевой основе, частично гидролизованный, в порошкообразной форме | 9 | 0 | 20 | 4,71 | 0,152 | 0,357 | 3,22 | 7,55 | 0,84 |
Заменитель грудного молока в порошкообразной форме | 9 | 0 | 20 | 5,42 | 0,203 | 0,307 | 3,73 | 5,63 | 0,64 |
Мономерная порошкообразная смесь для детей раннего возраста | 9 | 0 | 20 | 5,08 | 0,237 | 0,324 | 4,67 | 6,40 | 0,72 |
Готовая к употреблению адаптированная смесь для питания детей раннего возраста на молочной основе, не витаминизированная | 8 | 0 | 18 | 3,46 | 0,0659 | 0,128 | 1,90 | 3,70 | 0,39 |
<a> Индекс Горвица в соответствии с библиографической ссылкой [7]. <b> Результаты приведены в мг/кг порошка. |
[1] | AOAC Int. 2012, 95 p. 937 |
| AOAC Int. 2012, 95 p. 295 |
| 2011.18, Determination of Myo-Inositol in Infant, Pediatric, and Adult Formulas by IC-PAD and Column Switching: Collaborative Study |
[4] | ISO 5725-2:1994 Accuracy (trueness and precision) of measurement methods and results - Part 2: Basic method for the determination of repeatability and reproducibility of a standard measurement method <*> |
| AOAC International. AOAC Official Methods Program, Associate Referee's Manual on development, Study, Review, and Approval Process. Part IV AOAC Guidelines for Collaborative Studies, 1995, pp. 23 - 51 |
| AOAC SMPR 2011.07, Standard Method Performance Requirements for Myo-inositol in infant formula and Adult/Pediatric Nutritional formula |
| Thompson M. Recent Trends in Inter-Laboratory Precision at ppb and sub-ppb Concentrations in Relation to Fitness for Purpose Criteria in Proficiency Testing. Analyst (Lond.). 2000, 125 pp. 385 - 386 |
--------------------------------
<*> Официальный перевод этого стандарта находится в Федеральном информационном фонде стандартов.
УДК 613.22:664:543.544.5.068.7:006.354 | |
Ключевые слова: смеси адаптированные для искусственного вскармливания детей раннего возраста и смеси для энтерального питания для взрослых, определение мио-инозита, метод высокоэффективной жидкостной хроматографии, амперометрическое детектирование |