Главная // Актуальные документы // ГОСТ (Государственный стандарт)СПРАВКА
Источник публикации
М.: Стандартинформ, 2019
Примечание к документу
Документ
введен в действие с 01.01.2020.
Взамен ГОСТ ИСО 6565-2003 (ISO 6565:1999).
Название документа
"ГОСТ 34527-2019 (ISO 6565:2015). Межгосударственный стандарт. Табак и табачные изделия. Сопротивление затяжке сигарет и перепад давления фильтрпалочек. Стандартные условия и измерение"
(введен в действие Приказом Росстандарта от 18.07.2019 N 402-ст)
"ГОСТ 34527-2019 (ISO 6565:2015). Межгосударственный стандарт. Табак и табачные изделия. Сопротивление затяжке сигарет и перепад давления фильтрпалочек. Стандартные условия и измерение"
(введен в действие Приказом Росстандарта от 18.07.2019 N 402-ст)
агентства по техническому
регулированию и метрологии
от 18 июля 2019 г. N 402-ст
МЕЖГОСУДАРСТВЕННЫЙ СТАНДАРТ
ТАБАК И ТАБАЧНЫЕ ИЗДЕЛИЯ
СОПРОТИВЛЕНИЕ ЗАТЯЖКЕ СИГАРЕТ
И ПЕРЕПАД ДАВЛЕНИЯ ФИЛЬТРПАЛОЧЕК
СТАНДАРТНЫЕ УСЛОВИЯ И ИЗМЕРЕНИЕ
Tobacco and tobacco products.
Draw resistance of cigarettes and pressure drop
of filter rods. Standard conditions and measurement
(ISO 6565:2015, MOD)
ГОСТ 34527-2019
(ISO 6565:2015)
Дата введения
1 января 2020 года
Цели, основные принципы и общие правила проведения работ по межгосударственной стандартизации установлены
ГОСТ 1.0 "Межгосударственная система стандартизации. Основные положения" и
ГОСТ 1.2 "Межгосударственная система стандартизации. Стандарты межгосударственные, правила и рекомендации по межгосударственной стандартизации. Правила разработки, принятия, обновления и отмены"
1 ПОДГОТОВЛЕН Федеральным государственным бюджетным научным учреждением "Всероссийский научно-исследовательский институт табака, махорки и табачных изделий" (ФГБНУ ВНИИТТИ) на основе официального перевода на русский язык англоязычной версии указанного в
пункте 5 стандарта, который выполнен Федеральным государственным унитарным предприятием "Российский научно-технический центр информации по стандартизации, метрологии и оценке соответствия" (ФГУП "СТАНДАРТИНФОРМ")
2 ВНЕСЕН Федеральным агентством по техническому регулированию и метрологии
3 ПРИНЯТ Межгосударственным советом по стандартизации, метрологии и сертификации (протокол от 30 апреля 2019 г. N 118-П)
За принятие проголосовали:
Краткое наименование страны по МК (ИСО 3166) 004-97 | Код страны по МК (ИСО 3166) 004-97 | Сокращенное наименование национального органа по стандартизации |
Беларусь | BY | Госстандарт Республики Беларусь |
Киргизия | KG | Кыргызстандарт |
Россия | RU | Росстандарт |
Таджикистан | TJ | Таджикстандарт |
Узбекистан | UZ | Узстандарт |
4
Приказом Федерального агентства по техническому регулированию и метрологии от 18 июля 2019 г. N 402-ст межгосударственный стандарт ГОСТ 34527-2019 введен в действие в качестве национального стандарта Российской Федерации с 1 января 2020 г.
5 Настоящий межгосударственный стандарт является модифицированным по отношению к международному стандарту ISO 6565:2015 "Табак и табачные изделия. Сопротивление затяжке сигарет и перепад давления фильтрпалочек. Стандартные условия и измерение" ("Tobacco and tobacco products - Draw resistance of cigarettes and pressure drop of filter rods - Standard conditions and measurement", MOD) путем внесения дополнительных положений, фраз, ссылок, а также путем изменения отдельных структурных элементов, выделенных в тексте курсивом.
Международный стандарт ISO 6565:2015 подготовлен Техническим комитетом по стандартизации ISO/TC 126 "Табак и табачные изделия" Международной организации по стандартизации (ISO).
Официальные экземпляры международного стандарта, на основе которого подготовлен настоящий межгосударственный стандарт, имеются в Федеральном информационном фонде стандартов.
Сведения о соответствии ссылочных межгосударственных стандартов международным стандартам, использованным в качестве ссылочных в примененном международном стандарте, приведены в дополнительном
приложении ДА.
Сопоставление структуры настоящего стандарта со структурой указанного международного стандарта приведено в дополнительном
приложении ДБ
6 ВЗАМЕН ГОСТ ИСО 6565-2003 (ISO 6565:1999)
Информация о введении в действие (прекращении действия) настоящего стандарта и изменений к нему на территории указанных выше государств публикуется в указателях национальных стандартов, издаваемых в этих государствах, а также в сети Интернет на сайтах соответствующих национальных органов по стандартизации.
В случае пересмотра, изменения или отмены настоящего стандарта соответствующая информация будет опубликована на официальном интернет-сайте Межгосударственного совета по стандартизации, метрологии и сертификации в каталоге "Межгосударственные стандарты"
Сопротивление затяжке сигарет и перепад давления фильтрпалочек широко распространены и являются важными показателями как для определения качества продукции, так и для аналитических определений при машинном прокуривании.
В настоящее время есть различные методы и приборы для определения данных показателей. На данный момент невозможно стандартизировать полное описание используемого оборудования и подробный метод испытания. Тем не менее возможно достижение широкого консенсуса по принятым определениям и условиям, которые позволят провести сравнимые определения. Для достижения этого консенсуса одним из главных условий является применение сменных калибров для калибровки прибора (см.
приложение A).
В настоящем стандарте результаты приведены в паскалях (Па). Для информации они также приведены в миллиметрах водяного столба (мм вод. ст.).
Значения, приведенные ранее в миллиметрах водяного столба (мм вод. ст.), переведены в паскали (Па) с помощью следующего коэффициента:
1 мм вод. ст. = 9,8067 Па.
Для удобства практического применения значения округлены.
Настоящий стандарт распространяется на сигареты, фильтрпалочки и другие цилиндрические табачные изделия, похожие на сигареты, и устанавливает метод измерения сопротивления затяжке сигарет и перепада давления фильтрпалочек, а также стандартные условия при их измерении.
В настоящем стандарте использованы нормативные ссылки на следующие межгосударственные стандарты:
ГОСТ ISO 3308 Машина обычная лабораторная для прокуривания сигарет (курительная машина). Определения и стандартные условия
ГОСТ ИСО 3402 Табак и табачные изделия. Атмосферы для кондиционирования и испытаний
ГОСТ ИСО 5725-1 <1> Точность (правильность и прецизионность) методов и результатов измерений. Часть 1. Основные положения и определения
--------------------------------
<1>
В Российской Федерации действует ГОСТ Р ИСО 5725-1-2002 "Точность (правильность и прецизионность) методов и результатов измерений. Часть 1. Основные положения и определения".
ГОСТ ИСО 5725-2 <2> Точность (правильность и прецизионность) методов и результатов измерений. Часть 2. Основной метод определения повторяемости и воспроизводимости стандартного метода измерений
--------------------------------
<2>
В Российской Федерации действует ГОСТ Р ИСО 5725-2-2002 "Точность (правильность и прецизионность) методов и результатов измерений. Часть 2. Основной метод определения повторяемости и воспроизводимости стандартного метода измерений".
ГОСТ ИСО 5725-3 <3> Точность (правильность и прецизионность) методов и результатов измерений. Часть 3. Промежуточные показатели прецизионности стандартного метода измерений
--------------------------------
<3>
В Российской Федерации действует ГОСТ Р ИСО 5725-3-2002 "Точность (правильность и прецизионность) методов и результатов измерений. Часть 3. Промежуточные показатели прецизионности стандартного метода измерений".
ГОСТ ИСО 5725-4 <4> Точность (правильность и прецизионность) методов и результатов измерений. Часть 4. Основные методы определения правильности стандартного метода и измерений
--------------------------------
<4>
В Российской Федерации действует ГОСТ Р ИСО 5725-4-2002 "Точность (правильность и прецизионность) методов и результатов измерений. Часть 4. Основные методы определения правильности стандартного метода и измерений".
ГОСТ ИСО 5725-5 <5> Точность (правильность и прецизионность) методов и результатов измерений. Часть 5. Альтернативные методы определения прецизионности стандартного метода измерений
--------------------------------
<5>
В Российской Федерации действует ГОСТ Р ИСО 5725-5-2002 "Точность (правильность и прецизионность) методов и результатов измерений. Часть 5. Альтернативные методы определения прецизионности стандартного метода измерений".
ГОСТ ИСО 5725-6-
2002 <1> Точность (правильность и прецизионность) методов и результатов измерений. Часть 6. Использование значений точностей на практике
--------------------------------
<1>
В Российской Федерации действует ГОСТ Р ИСО 5725-6-2002 "Точность (правильность и прецизионность) методов и результатов измерений. Часть 6. Использование значений точностей на практике".
Примечание - При пользовании настоящим стандартом целесообразно проверить действие ссылочных стандартов и классификаторов на официальном интернет-сайте Межгосударственного совета по стандартизации, метрологии и сертификации (www.easc.by) или по указателям национальных стандартов, издаваемым в государствах, указанных в предисловии, или на официальных сайтах соответствующих национальных органов по стандартизации. Если на документ дана недатированная ссылка, то следует использовать документ, действующий на текущий момент, с учетом всех внесенных в него изменений. Если заменен ссылочный документ, на который дана датированная ссылка, то следует использовать указанную версию этого документа. Если после принятия настоящего стандарта в ссылочный документ, на который дана датированная ссылка, внесено изменение, затрагивающее положение, на которое дана ссылка, то это положение применяется без учета данного изменения. Если ссылочный документ отменен без замены, то положение, в котором дана ссылка на него, применяется в части, не затрагивающей эту ссылку.
В настоящем стандарте применены следующие термины с соответствующими определениями.
3.1
перепад давления 
(pressure drop

): Разница статического давления между двумя концами:
- образца, полностью инкапсулированного в измерительное устройство таким образом, что воздух не может проходить через наружную мембрану (или обертку),
- пневматического контура или
- сменного калибра перепада давления
(3.6)
при прохождении воздушного потока в устойчивых условиях, в которых измеренный объемный поток воздуха при стандартных условиях, определенных в
ГОСТ ИСО 3402, на выходном конце
(3.4) составляет 17,5 см
3/с.
Примечание - Перепад давления выражается в паскалях (Па) (или в мм вод. ст.).
3.2
сопротивление затяжке 
(draw resistance

): Отрицательное давление на выходном конце
(3.4) при условиях испытаний (см.
ГОСТ ИСО 3402), необходимое для поддержания объемного потока воздуха 17,5 см
3/с на выходном конце, в условиях, когда сигарета инкапсулирована в измерительное устройство на глубину приблизительно 9 мм, как определено в
ГОСТ ISO 3308.
Примечания
1 Любые зоны вентиляции и курительная часть подвергаются воздействию атмосферы.
2 Показатель сопротивления затяжке также может быть субъективно оценен, когда сигарета выкуривается дегустационной комиссией. В этом случае сопротивление затяжке измеряется необъективно, поскольку условия формального определения не выполняются.
3.3
входной конец (input end): Конец образца (сигареты), который поджигается.
3.4
выходной конец (output end): Конец образца, противоположный входному
(3.3).
3.5
стандартное направление потока (standard direction of flow): Направление потока от входного конца
(3.3) к выходному концу
(3.4).
Примечание - У фильтрпалочек входной
(3.3) и выходной
(3.4) концы определяются направлением потока воздуха.
3.6
сменный калибр перепада давления (pressure drop transfer standard): Сменный калибр для измерительных систем перепада давления
(3.1), который откалиброван в стандартных условиях окружающей среды и используется при существующих условиях окружающей среды.
Примечание - Форма и свойства подходящих сменных калибров приведены в
приложении A.
3.7
псевдокалибр (dummy standard): Устройство с формой и размерами, аналогичными сменному калибру перепада давления
(3.6), предназначенное для использования при проведении испытаний на наличие утечек калибровочного устройства.
Примечание - Подходящий псевдокалибр представляет собой стандартный сменный калибр перепада давления или гладкую металлическую трубку аналогичных размеров.
3.8
эталонный калибр (reference standard): Сменный калибр перепада давления
(3.6), с которым сравнивают другие сменные калибры перепада давления.
Примечание - Такой эталонный калибр обычно зарезервирован только для данной цели и не используется для обычной калибровки приборов для измерения перепада давления.
3.9
контрольный эталонный калибр (monitor reference standard): Эталонный калибр
(3.8), используемый для подтверждения правильности калибровки прибора или измерительной системы.
4.1 Общие условия испытания для сигарет и фильтрпалочек
Условия во время проведения испытаний должны быть постоянными и должны соответствовать условиям, при которых проводилась калибровка прибора (см.
раздел 5).
Примечание - Использование сменных калибров для калибровки дает возможность проводить измерения в условиях, отличных от указанных в
ГОСТ ИСО 3402.
Поток воздуха должен быть направлен от входного конца в стандартном направлении потока (см.
3.5).
4.1.3 Расположение образца
Расположение испытываемого образца может быть или горизонтальным, или вертикальным, но образцы с полостями, содержащими рыхлый материал, должны располагаться вертикально.
4.2 Условия, характерные для сигарет
Выходной конец испытываемого образца должен быть вставлен герметично в держатель измерительного прибора и инкапсулирован на глубину приблизительно 9 мм.
Примечание - Цель состоит в том, чтобы добиться хорошей герметичности, не закрывая вентиляционные отверстия.
4.3 Условия, характерные для фильтрпалочек
Испытываемый образец должен быть полностью инкапсулирован в измерительном приборе таким образом, чтобы воздух не мог проходить через обертку фильтрпалочки.
Перед испытанием прибор должен быть откалиброван с помощью сменных калибров как минимум один раз в день. Калибровку следует проводить в соответствии с инструкцией изготовителя.
Прибор должен быть снова подвергнут калибровке, если атмосферные условия изменяются более чем на 2 °C для температуры или на 5% для относительной влажности.
Каждую калибровку следует регистрировать для дальнейших ссылок в протоколе испытаний.
Примечания
1 Чтобы получить максимальную точность, следует откалибровать прибор как можно ближе к его максимально возможному измеряемому значению отклонения или к максимальному значению тестируемых изделий.
Для проверки наличия утечек воздуха, которые могли произойти во время калибровки, и линейности измерительной системы, для получения среднего измеряемого значения необходимо использовать не менее одного промежуточного калибра перепада давления.
2 В дополнение к среднему измеряемому значению калибровка может быть выполнена с помощью калибра перепада давления, который имеет номинальное значение перепада давления, близкое к сопротивлению затяжке или перепаду давления измеряемых образцов.
6.1 Общие условия для приборов с использованием вакуума и давления
Записывают сведения о типе прибора и его конфигурации, включая время, необходимое для установления стабилизации измеряемых значений, если оно может быть определено (см.
6.2 и
6.3).
Вставляют испытываемый образец (вручную или автоматически) в измерительное устройство прибора. Считывают и записывают значение сопротивления затяжке или перепада давления.
6.2 Специфические условия для приборов с использованием вакуума
Перед записью значений сопротивления затяжке или перепада давления испытываемый образец оставляют в держателе измерительного прибора до достижения стабильных показаний.
Примечание - На практике для стабилизации показаний достаточно 4 - 6 с.
6.3 Специфические условия для приборов с использованием давления (только для фильтрпалочек)
Определяют время стабилизации показаний, зависящее от сопротивления затяжке испытываемого образца и типа прибора. Запись значений перепада давления должна проводиться через одинаковый интервал времени после вставки испытываемого образца.
Для специфических условий, описанных в
6.2 и
6.3, практика показала, что при низком значении сопротивления затяжке или перепада давления, т.е. ниже 2000 Па (или приблизительно 200 мм вод. ст.), достаточное время стабилизации составляет 2 - 3 с, а при высоком значении перепада давления или сопротивления затяжке, т.е. выше 4000 Па (или приблизительно 400 мм вод. ст.), для времени стабилизации требуется 4 - 6 с.
Выражение результатов лабораторных испытаний зависит от цели получения данных и уровня точности лаборатории.
Результаты испытаний выражают следующим образом:
- индивидуальные значения сопротивления затяжке или перепада давления образца, округленные с точностью до 10 Па (или 1 мм вод. ст.);
- среднее значение и стандартное отклонение сопротивления затяжке или перепада давления образца, округленные с точностью до 1 Па (или 0,1 мм вод. ст.).
8.1 Межлабораторные испытания
Подробные результаты межлабораторных испытаний по точности метода приведены в
приложении B. Полученные при межлабораторных испытаниях данные допускается применять только в значениях и форме, приведенных в настоящем стандарте.
Абсолютная разность между двумя независимыми результатами, полученными с использованием одного и того же метода, идентичных образцов, в одной и той же лаборатории, одним и тем же оператором, на одном и том же оборудовании, за короткий период времени не будет более чем в 5% случаев превышать значения, приведенные в
таблице 1 для сигарет и в
таблице 2 для фильтрпалочек.
Таблица 1
Предел сходимости r |
Па | мм вод. ст. |
23 | 2,3 |
Таблица 2
Предел сходимости r |
Па | мм вод. ст. |
| |
Примечание -  - среднее значение перепада давления  , выраженное в паскалях, Па (или мм вод. ст.). |
Абсолютная разность между двумя независимыми результатами, полученными с использованием одного и того же метода, идентичных образцов, в разных лабораториях, разными операторами с применением разного оборудования не должна более чем в 5% случаев превышать значения, приведенные в
таблице 3 для сигарет и
таблице 4 для фильтрпалочек.
Таблица 3
Предел воспроизводимости R |
Па | мм вод. ст. |
57 | 5,8 |
Таблица 4
Предел воспроизводимости R |
Па | мм вод. ст. |
| |
Примечание -  - среднее значение перепада давления  , выраженное в Паскалях, Па (или мм вод. ст.). |
В отчете об испытании должны быть указаны используемый метод, прибор и используемая конфигурация прибора.
В отчете об испытании также указывают любые условия измерения, не приведенные в настоящем стандарте или считающиеся необязательными, а также любые обстоятельства, которые могли повлиять на результаты.
Отчет об испытании должен содержать все сведения, необходимые для полной идентификации образца, и полученные результаты.
Отчет должен включать, в частности, следующую информацию:
a) наименование изделия или идентификация;
b) дата отбора проб;
c) дата испытания;
d) тип использованного прибора и конфигурация прибора, по возможности - время стабилизации;
e) результаты;
f) количество образцов, подвергнутых испытанию;
g) температура воздуха в помещении в градусах Цельсия (°C) во время испытания;
h) относительная влажность воздуха в процентах (%) во время испытания;
i) атмосферное давление.
(обязательное)
ПРОВЕРКА ПЕРЕПАДА ДАВЛЕНИЯ СМЕННЫХ КАЛИБРОВ
A.1 Основные характеристики калибров
Примечание - Все значения неопределенности, указанные в данном приложении, приведены на уровне достоверности 95%.
Сменные калибры перепада давления определяют значения перепада давления, которые могут использоваться для калибровки измерительных приборов при определении сопротивления затяжке сигарет и перепада давления фильтрпалочек.
Сертифицированным значением калибров перепада давления является калиброванное значение, скорректированное с помощью формулы компенсации, которая нормализует калиброванное значение в стандартных условиях окружающей среды в соответствии с
ГОСТ ИСО 3402 (данными как температура 22 °C, относительная влажность 60% и атмосферное давление от 86 до 106 кПа).
Вывод этой формулы компенсации приведен в
A.4.6.
A.2 Основные характеристики перепада давления сменных калибров
Хотя существуют различные типы калибров перепада давления, данное приложение описывает только калибры с 10 капиллярами, изготовленными из стекла. В частности, формулы компенсации, приведенные в
A.4.6, а также приведенные значения сходимости и воспроизводимости являются специфичными для стеклянных многокапиллярных калибров. Для калибров другой конструкции могут быть подходящими другие значения сходимости и воспроизводимости и другие компенсации.
Сменные калибры перепада давления должны обладать следующими свойствами:
- они должны быть изготовлены из химически инертного материала, который не подвержен изменениям при использовании или старении;
- они должны иметь близкое сходство по физическим размерам и форме с фильтрпалочками или сигаретами;
- они должны иметь определенные и повторяемые значения в рамках установленных доверительных пределов;
- воздушный поток через калибр перепада давления должен быть ламинарным и иметь воспроизводимые измерительные характеристики;
- уровень неопределенности сертифицированного значения перепада давления сменных калибров не должен превышать 1% от его абсолютной величины.
A.3 Калибровочное устройство
A.3.1 Держатель для калибра при испытании
Чтобы определить перепад давления стеклянного многокапиллярного сменного калибра, он должен быть помещен в держатель, механическое расположение которого не должно изменять характеристики калибра и создавать систематических воздействий на калиброванное значение. Основные свойства типичного расположения показаны на
рисунке A.1.
Рисунок A.1 - Основные свойства калибровочного устройства
A.3.2 Определение объемного расхода
A.3.2.1 Общие положения
Устройство измерения объемного расхода (VFMD), которое не создает какого-либо систематического влияния на измерение расхода, используется для определения времени, затраченного на перемещение объема воздуха, просасываемого через калибр при испытании.
Устройство измерения объемного расхода должно иметь максимальную неопределенность в размере 0,3% от указанного объема.
Примечание - ГОСТ ИСО 5725-1 содержит информацию об установленных пределах неопределенности.
Два примера устройств измерения объемного расхода описаны в
A.3.2.2 и
A.3.2.3.
Данное устройство имеет форму прецизионного полого цилиндра, внутри которого поршень перемещается с постоянной скоростью с помощью прецизионного двигателя для просасывания из атмосферы постоянного объемного потока через испытуемый калибр.
Это устройство имеет форму прецизионного цилиндра с поршнем, который свободно перемещается вертикально вверх с помощью отдельного источника всасывания, соединенного с выходным концом цилиндра. Это устройство имеет датчики, которые контролируют движение поршня, чтобы обеспечить точное измерение времени перемещения известного объема воздуха, который был протянут через испытуемый калибр из атмосферы и собирается под поршнем.
A.3.2.4 Измерение температуры воздуха, относительной влажности и атмосферного давления
Температуру и относительную влажность воздуха следует измерять в точке, находящейся в непосредственной близости к воздуху, входящему в калибр, в пределах границ экрана тяги, включая испытуемый калибр.
Измерение атмосферного давления следует проводить в пределах среды испытаний и регистрировать одновременно с измерениями температуры и относительной влажности воздуха.
Измерение температуры должно иметь максимальную погрешность 0,3 °C.
Измерение относительной влажности должно иметь максимальную погрешность 5%.
Измерение атмосферного давления должно иметь максимальную погрешность 100 Па.
Примечание - ГОСТ ИСО 5725-1 содержит дополнительную информацию о пределах погрешности.
A.3.2.5 Система измерения давления
Система измерения перепада давления должна быть соединена с точкой подключения держателя для измерения разницы давления между выходным концом калибра и атмосферой, в то время как через калибр проходит контролируемый поток воздуха в устойчивых условиях.
Эта разница давления должна быть измерена и записана.
Система измерения давления должна иметь максимальную погрешность 0,2% от измеренного значения.
A.3.2.6 Источник всасывания
Источник всасывания, как описано в
3.2, способный втягивать постоянный объемный воздушный поток, должен быть расположен последовательно в цепи с устройством измерения объемного расхода, который, в свою очередь, соединен с выходным потоком держателя.
Типичное расположение калибровочного устройства показано на
рисунке A.2.
Рисунок A.2 - Типичное расположение
калибровочного устройства
Расходомеры с мыльным пузырем не должны использоваться для калибровки сменных калибров перепада давления. Эти устройства увеличивают содержание влаги в измеряемом воздухе, что приводит к увеличению объемного расхода и снижению скорости.
A.4 Процедура калибровки
A.4.1 Очистка калибров
A.4.1.1 Общие положения
A.4.1.1.1 Перед калибровкой все калибры должны быть очищены путем погружения в ультразвуковую ванну, содержащую раствор дистиллированной воды и 5%-ного неионного поверхностно-активного вещества.
| | ИС МЕГАНОРМ: примечание. Примечание дано в соответствии с официальным текстом документа. | |
Примечание - Два примера неионогенных поверхностно-активных веществ:

(нонилфенол этоксилат) и
<1> - формула концентрированной очистки.
--------------------------------
<1>

(этоксилат нонилфенола) и

являются примерами подходящих продуктов, имеющихся в продаже. Эта информация предоставляется для удобства пользователей данного стандарта.
A.4.1.1.2 Калибры должны быть погружены в очищающий сосуд в раствор в течение минимум 10 мин под наклоном от 10° до 20° по вертикали. Это гарантирует, что любой контакт с нижней поверхностью очищающего сосуда будет только по краю калибра, что позволит избежать возможного загрязнения капилляров.
A.4.1.1.3 После процесса очистки калибры должны быть погружены и промыты в ультразвуковой ванне, содержащей чистую дистиллированную или деионизированную воду (без растворенных солей и других соединений) в течение минимум 5 мин.
A.4.1.1.4 Затем калибры должны быть высушены, и необходимо убедиться, что остатки воды не остались в капиллярах, а вероятность попадания загрязнений была сведена к минимуму.
A.4.2 Процедуры предварительной калибровки
A.4.2.1 Общие положения
Измерения следует проводить в испытательной атмосфере в соответствии с
ГОСТ ИСО 3402, а калибровочное устройство должно быть сконструировано в соответствии с устройством, показанным на
рисунке A.1.
A.4.2.2 Равновесие калибров
Калибровочные устройства и сменные калибры перепада давления, ожидающие испытаний, должны оставаться открытыми для испытательной атмосферы в течение не менее 12 ч, чтобы обеспечить равновесие с испытательной атмосферой до того, как будут проведены какие-либо измерения.
A.4.2.3 Проверка герметичности прибора и проверка целостности измерения
A.4.2.3.1 Общие положения
В держателе должен быть установлен псевдокалибр, и проверка утечек должна быть проведена для измерения целостности измерительной системы в соответствии с
A.4.2.3.2, для систем с вакуумным управлением, или
A.4.2.3.3 - для систем с поршневым двигателем.
Тест на утечку должен предшествовать любой калибровке или серии калибровок и должен выполняться один раз в день, когда выполняется калибровка.
A.4.2.3.2 Процедура для систем с вакуумным управлением
Выполняют следующую процедуру для систем с вакуумным управлением:
a) в держателе калибров должен быть установлен псевдокалибр, соединенный выходным концом с устройством измерения объемного расхода и имеющий доступ к атмосфере входным концом;
b) система должна управляться путем применения вакуума к выходному отверстию устройства измерения объемного расхода для создания отрицательного давления под поршнем и на выходном конце калибра;
c) когда поршень достигает середины устройства измерения объемного расхода, у псевдокалибра атмосферный конец должен быть закрытым, а выходное отверстие устройства измерения объемного расхода должно быть соединено с атмосферой;
d) после обеспечения достаточного времени, для того чтобы поршень устройства измерения объемного расхода оставался неподвижным (минимум 30 с), любую утечку можно будет наблюдать путем контроля положения и стабильности поршня в течение определенного периода времени для обнаружения любых утечек более 1,5 см3/мин;
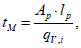
e) время контроля (tM) для 1 мм перемещения поршня рассчитывают по формуле

(A.1)
где Ap - поперечное сечение, выраженное в квадратных сантиметрах (см2) поршня;
lp - расстояние смещения поршня, то есть 0,1 см;
qV,i - объемный расход, выраженный в сантиметрах кубических в минуту, минимально приемлемой утечки, то есть 1,5 см3/мин.
Например, для устройства измерения объемного расхода с номинальным диаметром цилиндра 44,5 мм требуется минимальное время контроля 1 мин, в течение которого любое перемещение уровня поршня должно составлять менее 1 мм. Для устройства измерения объемного расхода с номинальным диаметром цилиндра 76,2 мм эквивалентное время обнаружения утечки для смещения на 1 мм должно составлять 3 мин.
A.4.2.3.3 Процедура для поршневых приводных систем
Выполняют следующую процедуру для поршневых приводных систем:
a) в держателе калибров должен быть установлен псевдокалибр, соединенный выходным концом с устройством измерения объемного расхода и имеющий доступ к атмосфере входным концом;
b) система устройства измерения объемного расхода должна быть установлена к мертвому объему (1000 +/- 100) см3. Должно применяться отрицательное давление в диапазоне от 2,8 до 3,2 кПа;
c) после достижения давления до стабильного значения объем утечки должен быть измерен и не должен превышать 1,5 см3/мин.
A.4.2.3.4 Контрольные эталонные калибры
Калибровочная лаборатория должна поддерживать набор эталонных калибров, используемых впоследствии в качестве калибровочного контроля, которые следует измерять каждый день, когда калибровочная лаборатория проводит измерения. Набор эталонных калибров должен состоять как минимум из двух калибров различных уровней перепада давления, которые охватывают диапазон выполняемых измерений перепада давления.
Должен быть сохранен журнал с измеренными значениями контрольных эталонных калибров вместе с идентификацией оператора и всеми окружающими условиями во время теста.
Примечание -
[1] и
[2] содержат графические методы для мониторинга стабильности долгосрочного процесса измерений.
Если измерения эталонных контрольных калибров находятся в пределах стандартных заявленных пределов погрешности, то калибровочное устройство считается пригодным для использования.
Если измерения контрольных эталонных калибров находятся вне нормальных декларируемых пределов погрешности, то устройство должно быть проверено на предмет утечек или ошибок измерений, или и то, и другое.
Контрольные эталонные калибры должны быть перепроверены после любой корректирующей работы.
A.4.3 Метод калибровки. Процедура измерения
A.4.3.1 Этот метод описывает процедуру измерения, которая создает перепад давления через калибр при испытании, пропорциональный номинальному потоку 17,5 см3/с, пересекающему его.
A.4.3.2 Измеряемый воздух, просасываемый из атмосферы через калибр при испытании, должен проходить через систему в течение не менее 5 мин до измерения для обеспечения теплового равновесия.
A.4.3.3 Температуру воздуха и относительную влажность атмосферы испытаний в пределах экрана для защиты от локальных воздушных потоков, содержащего калибр при испытании, измеряют вместе с атмосферным давлением и регистрируют для применения в формуле компенсации.
A.4.3.4 Стабилизированный объемный поток номинально 17,5 см3/с (17,5 +/- 0,3) см3/с должен быть установлен через устройство измерения объемного расхода и проведен через калибр при испытании.
A.4.3.5 Статический перепад давления между выходом калибра и атмосферой должен контролироваться и регистрироваться в течение всего времени стабилизированного измерения объемного расхода.
A.4.3.6 Одним показанием давления является среднее по меньшей мере трех последовательных повторных измерений разности давления, записанных в течение прошедшего времени стабилизации объемного потока.
| | ИС МЕГАНОРМ: примечание. В официальном тексте документа, видимо, допущена опечатка: формула (A.4.6) отсутствует. Возможно, имеется в виду формулы пункта A.4.6. | |
A.4.3.7 Формула компенсации
(A.4.6) должна быть применена к показаниям давления для нормализации калиброванного значения сменного калибра перепада давления в стандартных условиях окружающей среды 22 °C, относительной влажности 60%, атмосферном давлении 1013 гПа и скорости потока 17,5 см
3/с.
A.4.3.8 Процедуры по
A.4.3.2 -
A.4.3.7 должны быть повторены дополнительно еще два раза. Компенсированное значение перепада давления сменного калибра регистрируется как среднее из трех повторяющихся значений нормализованного перепада давления.
Калиброванное значение калибра, округленное до 1 Па (0,1 мм вод. ст.), должно быть записано в сопроводительном сертификате калибровки и может быть записано на сменном калибре перепада давления. Сменный калибр перепада давления должен иметь уникальный ссылочный идентификационный номер.
A.4.4 Сертификация
Каждый калибр должен быть снабжен сертификатом калибровки, который должен содержать следующую минимальную информацию:
a) наименование продукта и уникальный ссылочный номер;
b) дата испытания;
c) ссылка на оператора;
d) описание испытательного устройства и прослеживаемых эталонных серийных номеров всего измерительного оборудования;
e) температура атмосферы испытаний в градусах Цельсия (°C) во время испытаний;
f) относительная влажность в процентах (%) во время испытаний;
g) атмосферное давление в гектопаскалях (гПа) или миллибарах (мбар) во время испытаний;
h) компенсированное значение калибровки перепада давления;
j) пределы погрешности измерения;
k) любое наблюдение во время тестирования.
A.4.5 Точность и прецизионность
Во время разработки этого метода калибровки между поставщиками калибров проводилось межлабораторное испытание. В этом испытании использовались четыре комплекта сменных калибров перепада давления, каждый из которых состоял из четырех калибров, по одному для каждой номинальной величины 200 мм вод. ст., 400 мм вод. ст., 600 мм вод. ст. и 800 мм вод. ст., соответственно. Каждая лаборатория измеряла каждый набор калибров, используя метод, описанный в настоящем приложении, все измерения по одному набору калибров завершались за один день.
Затем измерения повторяли в течение трех дней, чтобы дать общее количество измерений за четыре дня.
Таблица A.1
Номинальный  | Стандартное отклонение воспроизводимости | Стандартное отклонение сходимости |
Па | мм вод. ст. | Па | мм вод. ст. | Па | мм вод. ст. |
1961 | 200 | 4,217 | 0,43 | 2,059 | 0,21 |
3922 | 400 | 9,414 | 0,96 | 3,236 | 0,33 |
5884 | 600 | 11,572 | 1,18 | 4,315 | 0,44 |
7845 | 800 | 17,946 | 1,83 | 4,707 | 0,48 |
В вышеупомянутом межлабораторном испытании участвовали только три лаборатории, так как в настоящее время существует только три компетентные лаборатории. Таким образом, приведены стандартные отклонения воспроизводимости и сходимости, а не значения сходимости и воспроизводимости, поскольку испытание не отвечало всем критериям, установленным в ГОСТ ИСО 5725-1 - ГОСТ ИСО 5725-6, для оценки методов измерения. Это следует учитывать при сравнении этих значений с данными для других методов.
Чтобы гарантировать, что применяемые методы и процедуры не отличаются от стандартных, рекомендуется, чтобы калибровочные лаборатории принимали участие в ежегодных межлабораторных испытаниях. С этой целью приведенные выше цифры и данные, полученные в ходе будущих исследований, могут использоваться для оценки компетентности лабораторий.
A.4.6 Описание процесса компенсации
Процесс компенсации подробно описан в ссылке
[3]. Эта компенсация была подтверждена для наиболее часто используемых стеклянных калибров перепада давления, состоящих из 10 параллельных капиллярных труб. Ниже приведено краткое описание процесса компенсации.
Значения перепада давления

зависят от условий окружающей среды во время калибровки, то есть от температуры
T, относительной влажности воздуха и атмосферного давления
pатм. Одним из способов снижения влияния этих факторов окружающей среды является применение компенсации. Подходящую формулу компенсации можно получить, рассмотрев влияние условий окружающей среды на основные характеристики измеряемого воздуха. При калибровке калибров перепада давления цель формулы компенсации представляет собой расчет значения перепада давления

при стандартных условиях окружающей среды (
TS = 22 °C, RHS = 60%,
pS = 1013 гПа, выходной воздушный поток
qS = 17,5 см
3/с) из измерений

, проводимых в разных условиях (
T, RH,
pатм,
q).

можно аппроксимировать суммой двух значений:

и

;

характерно для нелинейного поведения калибра и

- для линейного поведения.
Затем можно определить степень нелинейности x по формуле

(A.2)
Величина
x была экспериментально определена в диапазоне

от 200 до 800 мм вод. ст.:

(A.3)
Это показывает, что компенсированное значение

можно получить из
формул (A.4) и
(A.5), где

и

- неизвестные параметры:

(A.4)

(A.5)
где

и

- компенсированные значения

и

в миллиметрах водяного столба (мм вод. ст.);

и

- вязкость и плотность воздуха, соответственно, во время калибровки;

и

- вязкость и плотность воздуха, соответственно, в условиях стандартной среды;
T и TS - температура, выраженная в Кельвинах (К);
patm и pS - атмосферное давление, выраженное в миллиметрах водяного столба (мм вод. ст.).
После решения этих уравнений стандартное значение

с выходным объемным потоком воздуха 17,5 см
3/с может быть затем аппроксимировано:

(A.6)
где Q - объемный расход, выраженный в сантиметрах кубических в секунду.
(справочное)
РЕЗУЛЬТАТЫ МЕЖЛАБОРАТОРНЫХ ИСПЫТАНИЙ
B.1 Количество лабораторий и испытываемых образцов
В 1994 году под руководством CORESTA в 21 лаборатории проведены межлабораторные испытания шести разных типов сигарет и шести разных типов фильтрпалочек. Полученные результаты испытаний статистически обработаны с помощью
ГОСТ ИСО 5725-1 - ГОСТ ИСО 5725-6 с целью получения точных результатов, представленных в
таблицах B.3 и
B.4.
Методы испытаний и полученные результаты представлены ниже.
B.2 Отбор образцов
Используемые образцы сигарет были поставлены участникам различными производителями сигарет. Несколько образцов были взяты непосредственно после изготовления сигарет без предварительного отбора, другие были отобраны по массе из имеющихся сигарет, а один образец был отобран по массе и сопротивлению затяжке.
Полученные при испытаниях сигарет значения сходимости и воспроизводимости отражают не только колебания результатов при измерении, но и непостоянство самого продукта.
Для определения перепада давления образцы фильтрпалочек отбирались тщательным образом. Каждая отдельная проба фильтрпалочек для испытаний отличалась на +/- 1,5% от общего среднего значения для каждого уровня. Результаты пределов сходимости и воспроизводимости отражают в основном колебания результатов при измерении.
B.3 Условия во время испытаний
Перед испытанием образцы кондиционировались в течение 24 ч при следующих условиях:
- температура: (22 +/- 2) °C;
- относительная влажность воздуха: (60 +/- 5)%.
Для каждого измерения было получено 30 результатов измерений, т.е. испытано 30 случайно отобранных образцов для испытаний. Через короткий промежуток времени было повторно проведено испытание 30 других образцов для испытаний из той же пробы. Во всех случаях испытания проводили в тот же день.
Хотя отдельные образцы могли быть испытаны в разные дни, большинство лабораторий провели испытания в один день.
B.4 Кондиционирование проб
Перед проведением испытаний в лаборатории пробы кондиционировали при (22 +/- 2) °C и (60 +/- 5)% относительной влажности воздуха в течение не менее 24 ч. Это необходимо для снижения колебаний, вызванных неоднородностью проб.
При проведении испытаний сигарет в лабораториях температура поддерживалась в пределах от 21 °C до 23,5 °C, а относительная влажность воздуха от 59% до 66%. Только в одной лаборатории было незначительное превышение максимального значения относительной влажности воздуха, но это не повлияло на общие результаты испытаний.
При проведении испытаний фильтрпалочек температура в лабораториях составляла от 20 °C до 23,5 °C, а относительная влажность воздуха от 57% до 63%.
B.5 Условия измерений
Никаких особых отклонений от требований к окружающей среде во время измерений в протоколах испытаний не отмечено.
Фактические условия окружающей среды приведены в
таблице B.1.
Таблица B.1
Образцы | Температура, °C | Относительная влажность, % | Атмосферное давление, гПа |
Сигареты | 21,5 - 26,5 | 42 - 64 | 847 - 1019 |
Фильтрпалочки | 21,5 - 24,5 | 42,5 - 62 | 847 - 1025 |
Значения атмосферного давления соответствуют расположению лабораторий на высоте 1800 м над уровнем моря.
B.6 Сходимость и воспроизводимость при испытании сигарет
Величина

(среднее значение сопротивления затяжке),
r (предел сходимости) и
R (предел воспроизводимости) в паскалях (Па) и в миллиметрах водяного столба (мм вод. ст.) представлены в
таблице B.3.
Они были рассчитаны, как описано в ГОСТ ИСО 5725-1 - ГОСТ ИСО 5725-6-2003 (подраздел 14.7).
Рисунок B.1 показывает, что нет явной корреляции между значениями для
r и
R и средними уровнями

.
X - среднее значение сопротивления затяжке,

(мм вод. ст.); Y - значение r или R (мм вод. ст.);

- сходимость
r;

- воспроизводимость
R
Рисунок B.1 - Взаимосвязь между
r или
R и

(для сигарет)
Таблица B.2
Окончательные значения r и R
Окончательные значения |
Па | мм вод. ст. |
r = 23 | r = 2,3 |
R = 57 | R = 5,8 |
Примечание - Эти значения действительны для сопротивления затяжке от 400 Па (40 мм вод. ст.) до 1300 Па (130 мм вод. ст.). |
Таблица B.3
Рассчитанные округленные значения средних величин
сопротивления затяжке

, предела сходимости (
r)
и предела воспроизводимости (R) для сигарет
Образец | Количество лабораторий | | s2r | r | s2R | R |
Па | мм вод. ст. | Па | мм вод. ст. | Па | мм вод. ст. | Па | мм вод. ст. | Па | мм вод. ст. |
1 | 19 | 440,81 | 44,95 | 6,57 | 0,67 | 22,45 | 2,29 | 56,89 | 5,80 | 66,10 | 6,74 |
2 | 17 | 696,56 | 71,03 | 2,65 | 0,27 | 14,21 | 1,45 | 43,75 | 4,46 | 57,96 | 5,91 |
3 | 17 | 792,57 | 80,82 | 3,64 | 0,37 | 16,76 | 1,71 | 21,53 | 2,20 | 40,70 | 4,15 |
4 | 18 | 1059,51 | 108,04 | 3,08 | 0,31 | 15,39 | 1,57 | 17,98 | 1,83 | 37,17 | 3,79 |
5 | 19 | 1244,66 | 126,92 | 13,67 | 1,39 | 32,46 | 3,31 | 55,16 | 5,62 | 65,12 | 6,64 |
6 | 19 | 1276,93 | 130,21 | 15,69 | 1,60 | 34,72 | 3,54 | 70,20 | 7,16 | 73,45 | 7,49 |
B.7 Пределы сходимости и воспроизводимости при испытании для фильтрпалочек
Значения

(средняя величина перепада давления),
r (предела сходимости) и
R (предела воспроизводимости) представлены в
таблице B.4.
Таблица B.4
Расчетные округленные значения средних величин перепада
давления

, предела сходимости (
r) и предела
воспроизводимости (R) для фильтрпалочек
Образец | Количество лабораторий | | s2r | r | s2R | R |
Па | мм вод. ст. | Па | мм вод. ст. | Па | мм вод. ст. | Па | мм вод. ст. | Па | мм вод. ст. |
1 | 20 | 1965,94 | 200,47 | 1,85 | 0,19 | 11,96 | 1,22 | 26,83 | 2,74 | 45,41 | 4,63 |
2 | 20 | 2975,15 | 303,38 | 5,62 | 0,57 | 20,79 | 2,12 | 57,40 | 5,85 | 66,39 | 6,77 |
3 | 20 | 019,47 | 409,87 | 11,24 | 1,15 | 29,42 | 3,00 | 109,53 | 11,17 | 91,79 | 9,36 |
4 | 20 | 5105,76 | 520,64 | 28,79 | 2,94 | 47,07 | 4,80 | 188,92 | 19,27 | 120,52 | 12,29 |
5 | 20 | 5945,80 | 606,30 | 26,90 | 2,74 | 45,50 | 4,64 | 244,08 | 24,89 | 137,00 | 13,97 |
6 | 20 | 7014,73 | 715,30 | 24,17 | 2,46 | 43,14 | 4,40 | 322,98 | 32,98 | 157,59 | 16,07 |
Они были рассчитаны, как описано в ГОСТ ИСО 5725-1 - ГОСТ ИСО 5725-6-2003 (подраздел 14.7).
Из
таблицы B.4 видно, что значения
r и
R имеют тенденцию к линейному возрастанию с возрастанием значений

.
Рисунок B.2 подтверждает эту линейную зависимость. Эта зависимость может быть выражена прямой линией, через следующие уравнения:
где b - угловой коэффициент.
X - средняя величина перепада давления,

(мм вод. ст.); Y - значение r или R (мм вод. ст.);

- сходимость
r;

- воспроизводимость
R
Рисунок B.2 - Взаимосвязь между
r или
R и

(для фильтрпалочек)
Окончательные значения r и R могут быть выражены линейными уравнениями.
Зависимость между
r или
R и
m (для фильтрпалочек) представлена в
таблице B.5.
Таблица B.5
Связь между
r или
R и

(для фильтрпалочек)
Окончательные значения |
Па | (мм вод. ст.) |
| |
| |
Примечания 1  - это среднее значение перепада давления в Па или мм вод. ст. 2 Величины действительны при перепаде давления от 2000 Па (200 мм вод. ст.) до 7000 Па (700 мм вод. ст.). |
(справочное)
СРАВНЕНИЕ РЕЗУЛЬТАТОВ ИЗМЕРЕНИЙ СОПРОТИВЛЕНИЯ ЗАТЯЖКЕ
ИЛИ ПЕРЕПАДА ДАВЛЕНИЯ. ПРИБОР С ОТВЕРСТИЕМ КРИТИЧЕСКОГО
ПОТОКА ПО СРАВНЕНИЮ С ПРИБОРОМ С ПОСТОЯННЫМ ПОТОКОМ
В настоящее время используются два типа приборов для измерения сопротивления затяжке (или перепада давления). Два описанных ниже инструмента работают под вакуумом.
Первый тип прибора имеет устройство с отверстием критического потока (ОКП), создающим постоянный расход воздуха. В этих приборах сохраняется постоянный поток воздуха на выходе из испытываемого образца независимо от давления, а скорость потока воздуха на входе снижается с увеличением перепада давления испытываемого образца. Таким образом, скорость потока воздуха через образец будет снижаться при повышении перепада давления испытываемого образца.
Второй тип прибора имеет устройство поддержания постоянного потока воздуха (ППВ), который поддерживает постоянную скорость потока внутри испытываемого образца. Эти приборы сохраняют постоянную скорость потока и автоматически компенсируют изменение давления на выходе из испытываемого образца. В результате этого скорость потока воздуха на входе в испытываемый образец остается постоянной. Поскольку для одной и той же пробы скорость потока воздуха через прибор с устройством поддержания постоянного расхода воздуха всегда выше, чем скорость потока через прибор с отверстием критического потока, то результаты измерений, полученные на приборе ОКП, выше, чем результаты, полученные на приборе ППВ.
Этот международный стандарт требует использовать приборы, поддерживающие ППВ на выходе из испытываемого образца, например приборы, имеющие устройство с отверстием критического потока.
Соотношения показателей перепада давления, полученных на приборе, имеющем устройство с отверстием критического потока, и на приборе с постоянным потоком воздуха, выражаются следующими уравнениями:

(C.1)

(C.2)
где

- перепад давления на приборе с постоянным потоком воздуха;

- перепад давления на приборе с отверстием критического потока;
| | ИС МЕГАНОРМ: примечание. Обозначение дано в соответствии с официальным текстом документа. | |
Patm - атмосферное (окружающее) давление.
Таблица C.1
Сравнение значений показателей перепада давления, полученных
на приборе с отверстием критического потока и на приборе
с постоянным потоком (значения округлены)
Прибор с отверстием критического потока | Прибор с постоянным потоком воздуха |
| | | |
Па | мм вод. ст. | Па | мм вод. ст. | Па | мм вод. ст. | Па | мм вод. ст. |
980 | 100 | 970 | 99 | 980 | 100 | 990 | 101 |
1471 | 150 | 1451 | 148 | 1471 | 150 | 1490 | 152 |
1961 | 200 | 1922 | 196 | 1961 | 200 | 2000 | 204 |
2942 | 300 | 2853 | 291 | 2942 | 300 | 3030 | 309 |
3922 | 400 | 3775 | 385 | 3922 | 400 | 4079 | 416 |
4903 | 500 | 4667 | 476 | 4903 | 500 | 5158 | 526 |
5884 | 600 | 5550 | 566 | 5884 | 600 | 6256 | 638 |
6864 | 700 | 6423 | 655 | 6864 | 700 | 7374 | 752 |
7845 | 800 | 7266 | 741 | 7845 | 800 | 8522 | 869 |
Как видно, показания прибора ППВ выше, чем прибора ОКП, и разница увеличивается при перепаде давления. Различия в основном несущественны для значений перепада давления ниже 2000 Па (200 мм вод. ст.), но становятся все более значимыми для значений выше 3000 Па (300 мм вод. ст.).
(справочное)
СВЕДЕНИЯ О СООТВЕТСТВИИ ССЫЛОЧНЫХ МЕЖГОСУДАРСТВЕННЫХ
СТАНДАРТОВ МЕЖДУНАРОДНЫМ СТАНДАРТАМ, ИСПОЛЬЗОВАННЫМ
В КАЧЕСТВЕ ССЫЛОЧНЫХ В ПРИМЕНЕННОМ МЕЖДУНАРОДНОМ СТАНДАРТЕ
Таблица ДА.1
Обозначение ссылочного межгосударственного стандарта | Степень соответствия | Обозначение и наименование ссылочного международного стандарта |
| IDT | ISO 3308:2012 "Машина обычная лабораторная для прокуривания сигарет (курительная машина). Определения и стандартные условия" |
| IDT | ISO 3402:1999 "Табак и табачные изделия. Атмосферы для кондиционирования и испытаний" |
ГОСТ ИСО 5725-1-2003 | IDT | ISO 5725-1:2002 "Точность (правильность и прецизионность) методов и результатов измерений. Часть 1. Основные положения и определения" |
ГОСТ ИСО 5725-2-2003 | IDT | ISO 5725-2:2002 "Точность (правильность и прецизионность) методов и результатов измерений. Часть 2. Основной метод определения повторяемости и воспроизводимости стандартного метода измерений" |
ГОСТ ИСО 5725-3-2003 | IDT | ISO 5725-3:2002 "Точность (правильность и прецизионность) методов и результатов измерений. Часть 3. Промежуточные показатели прецизионности стандартного метода измерений" |
ГОСТ ИСО 5725-4-2003 | IDT | ISO 5725-4:2002 "Точность (правильность и прецизионность) методов и результатов измерений. Часть 4. Основные методы определения правильности стандартного метода и измерений" |
ГОСТ ИСО 5725-5-2003 | IDT | ISO 5725-5:2002 "Точность (правильность и прецизионность) методов и результатов измерений. Часть 5. Альтернативные методы определения прецизионности стандартного метода измерений" |
ГОСТ ИСО 5725-6-2003 | IDT | ISO 5725-6:2002 "Точность (правильность и прецизионность) методов и результатов измерений. Часть 6. Использование значений точностей на практике" |
Примечание - В настоящей таблице использовано следующее условное обозначение степени соответствия стандартов: - IDT - идентичные стандарты. |
(справочное)
СОПОСТАВЛЕНИЕ СТРУКТУРЫ НАСТОЯЩЕГО СТАНДАРТА СО СТРУКТУРОЙ
ПРИМЕНЕННОГО В НЕМ МЕЖДУНАРОДНОГО СТАНДАРТА
Таблица ДБ.1
Структура настоящего стандарта | Структура международного стандарта ISO 6565:2015 |
Приложение ДА Сведения о соответствии ссылочных межгосударственных стандартов международным стандартам, использованным в качестве ссылочных в примененном международном стандарте | - |
Приложение ДБ Сопоставление структуры настоящего стандарта со структурой примененного в нем международного стандарта | - |
Примечания 1 В настоящий стандарт внесены дополнительные приложения ДА и ДБ в соответствии с требованиями, установленными к оформлению межгосударственного стандарта, модифицированного по отношению к международному стандарту ISO. 2 Сопоставление структуры стандартов приведено начиная с дополнительного приложения, т.к. предыдущие разделы стандартов и их иные структурные элементы (за исключением предисловия) идентичны. |
| | Control charts - Part 1: General guidelines (Контрольные карты. Часть 1. Общие руководящие указания) |
| | Control charts - Part 2: Shewhart control charts (Контрольные карты. Часть 2. Контрольные карты Шухарта) |
| Colard S., Trinkies W., Cholet G., Camm B., Austin M., Gualandris R. Compensation for the effects of ambient conditions on the calibration of multi-capillary pressure drop standards,  zur Tabakforschung International 21/3 (2004), pp. 167 - 174 (www.beitraege-bti.de) |
--------------------------------
<1> В Российской Федерации действует ПНСТ 142-2016 "Статистические методы. Контрольные карты. Часть 1. Общие руководящие указания".
<2> В Российской Федерации действует ГОСТ Р ИСО 7870-2-2015 "Статистические методы. Контрольные карты. Часть 2. Контрольные карты Шухарта".
УДК 663.974.001.4:006.354 | | MOD |
Ключевые слова: сигарета, фильтрпалочка, сопротивление затяжке, перепад давления, поток воздуха, калибровка, сменный калибр |