Главная // Актуальные документы // ГОСТ (Государственный стандарт)СПРАВКА
Источник публикации
М.: Стандартинформ, 2019
Примечание к документу
Документ
введен в действие с 1 октября 2019 года.
Название документа
"ГОСТ 34514-2019. Межгосударственный стандарт. Тепловозы магистральные и маневровые. Метод определения энергоэффективности"
(введен в действие Приказом Росстандарта от 14.03.2019 N 84-ст)
"ГОСТ 34514-2019. Межгосударственный стандарт. Тепловозы магистральные и маневровые. Метод определения энергоэффективности"
(введен в действие Приказом Росстандарта от 14.03.2019 N 84-ст)
по техническому регулированию
и метрологии
от 14 марта 2019 г. N 84-ст
МЕЖГОСУДАРСТВЕННЫЙ СТАНДАРТ
ТЕПЛОВОЗЫ МАГИСТРАЛЬНЫЕ И МАНЕВРОВЫЕ
МЕТОД ОПРЕДЕЛЕНИЯ ЭНЕРГОЭФФЕКТИВНОСТИ
The main-line and shunting diesel locomotives. Method
of determination of energy efficiency
ГОСТ 34514-2019
Дата введения
1 октября 2019 года
Цели, основные принципы и основной порядок проведения работ по межгосударственной стандартизации установлены в
ГОСТ 1.0-2015 "Межгосударственная система стандартизации. Основные положения" и
ГОСТ 1.2-2015 "Межгосударственная система стандартизации. Стандарты межгосударственные, правила и рекомендации по межгосударственной стандартизации. Правила разработки, принятия, обновления и отмены"
1 РАЗРАБОТАН Акционерным обществом "Научно-исследовательский и конструкторско-технологический институт подвижного состава" (АО "ВНИКТИ")
2 ВНЕСЕН Межгосударственным техническим комитетом по стандартизации МТК 524 "Железнодорожный транспорт"
3 ПРИНЯТ Межгосударственным советом по стандартизации, метрологии и сертификации (протокол от 30 января 2019 г. N 115-П)
За принятие проголосовали:
Краткое наименование страны по МК (ИСО 3166) 004-97 | Код страны по МК (ИСО 3166) 004-97 | Сокращенное наименование национального органа по стандартизации |
Беларусь | BY | Госстандарт Республики Беларусь |
Киргизия | KG | Кыргызстандарт |
Россия | RU | Росстандарт |
Таджикистан | TJ | Таджикстандарт |
Узбекистан | UZ | Узстандарт |
4
Приказом Федерального агентства по техническому регулированию и метрологии от 14 марта 2019 г. N 84-ст межгосударственный стандарт ГОСТ 34514-2019 введен в действие в качестве национального стандарта Российской Федерации с 1 октября 2019 г.
5 ВВЕДЕН ВПЕРВЫЕ
6 Настоящий стандарт может быть применен на добровольной основе для соблюдения требований Технического
регламента Таможенного союза ТР ТС 001/2011 "О безопасности железнодорожного подвижного состава"
7 В настоящем стандарте использовано изобретение, защищенное Патентом Российской Федерации N 2591556 С1 от 20 июля 2016 г. "Способ контроля технического состояния силовой установки транспортного средства". Патентообладатель Акционерное общество "Научно-исследовательский и конструкторско-технологический институт подвижного состава" (АО "ВНИКТИ") (RU) предоставляет право на применение настоящего стандарта на безвозмездной основе
Информация об изменениях к настоящему стандарту публикуется в ежегодном информационном указателе "Национальные стандарты", а текст изменений и поправок - в ежемесячном информационном указателе "Национальные стандарты". В случае пересмотра (замены) или отмены настоящего стандарта соответствующее уведомление будет опубликовано в ежемесячном информационном указателе "Национальные стандарты". Соответствующая информация, уведомление и тексты размещаются также в информационной системе общего пользования - на официальном сайте Федерального агентства по техническому регулированию и метрологии в сети Интернет (www.gost.ru)
Настоящий стандарт распространяется на вновь разрабатываемые и вновь изготавливаемые магистральные и маневровые тепловозы с электрической передачей мощности и устанавливает метод определения их энергоэффективности, применяемый при приемочных и периодических испытаниях.
Настоящий стандарт не распространяется на тепловозы с гидромеханической передачей.
В настоящем стандарте использованы нормативные ссылки на следующие межгосударственные стандарты:
ГОСТ 12.0.004-2015 Система стандартов безопасности труда. Организация обучения безопасности труда. Общие положения
ГОСТ 12.4.051-87 Система стандартов безопасности труда. Средства индивидуальной защиты органа слуха. Общие технические требования. Методы испытаний <*>
--------------------------------
ГОСТ 10150-2014 Двигатели внутреннего сгорания поршневые. Общие технические условия
ГОСТ 10448-2014 Двигатели внутреннего сгорания поршневые. Приемка. Методы испытаний
ГОСТ 16504-81 Система государственных испытаний продукции. Испытания и контроль качества продукции. Основные термины и определения
ГОСТ 21261-91 Нефтепродукты. Метод определения высшей теплоты сгорания и вычисление низшей теплоты сгорания
Примечание - При пользовании настоящим стандартом целесообразно проверить действие ссылочных стандартов в информационной системе общего пользования - на официальном сайте Федерального агентства по техническому регулированию и метрологии в сети Интернет или по ежегодному информационному указателю "Национальные стандарты", который опубликован по состоянию на 1 января текущего года, и по выпускам ежемесячного информационного указателя "Национальные стандарты" за текущий год. Если ссылочный стандарт заменен (изменен), то при пользовании настоящим стандартом следует руководствоваться заменяющим (измененным) стандартом. Если ссылочный стандарт отменен без замены, то положение, в котором дана ссылка на него, применяется в части, не затрагивающей эту ссылку.
В настоящем стандарте применены термины по
ГОСТ 16504, а также следующие термины с соответствующими определениями:
3.1 граничное значение индикатора энергетической эффективности тепловоза (секции тепловоза); ИЭЭФгр: Значение индикатора энергетической эффективности, разделяющее области удовлетворительной и неудовлетворительной энергетической эффективности тепловоза (секции тепловоза).
3.2 индикатор энергетической эффективности тепловоза (секции тепловоза); ИЭЭФ: Показатель, оценивающий относительную величину отклонения фактической энергоэффективности испытуемого(ой) тепловоза (секции тепловоза) от расчетной величины энергетической эффективности тепловоза (секции тепловоза) аналогичного типа, имеющего(ей) нормативные значения удельного расхода топлива и мощности дизеля.
3.3 коэффициент полезного действия тепловоза (секции тепловоза); КПД: Отношение количества энергии, отданной тепловозом для выполнения перевозочной работы за некоторый период эксплуатации, к количеству энергии топлива, израсходованного дизелем тепловоза (секцией тепловоза) за аналогичный период.
3.4 реостатные испытания тепловоза (секции тепловоза): Статические испытания, при которых энергия, вырабатываемая дизель-генератором тепловоза (секции тепловоза), превращается в тепло, рассеиваемое с помощью водяного (воздушного) реостата.
3.5 среднее значение индикатора энергетической эффективности тепловоза (секции тепловоза); ИЭЭФср: Среднее арифметическое значений индикатора энергетической эффективности тепловоза (секции тепловоза), полученных по результатам нескольких реализаций одной и той же типовой тест-циклограммы нагружения дизель-генератора тепловоза (секции тепловоза) на водяной (воздушный) реостат.
3.6 типовой режим работы тепловоза в эксплуатации: Среднестатистический режим работы тепловоза каждого функционального типа в эксплуатации при его использовании по прямому функциональному назначению, состоящий из совокупности элементарных режимов его работы.
3.7 типовая тест-циклограмма: Набор последовательно реализуемых элементарных режимов работы тепловоза в эксплуатации при нагружении дизель-генератора тепловоза (секции тепловоза) на водяной (воздушный) реостат, имитирующий типовой режим работы тепловоза в эксплуатации.
3.8 элементарный режим работы тепловоза (секции тепловоза) в эксплуатации: Режим работы тепловоза (секции тепловоза) в эксплуатации, характеризуемый позицией контроллера машиниста и временем его (ее) непрерывного использования.
3.9 энергетическая схема тепловоза (секции тепловоза): Схема передачи энергии, выработанной дизель-генератором вспомогательным агрегатам тепловоза (секции тепловоза) для совершения перевозочной работы.
3.10 энергетическая эффективность (энергоэффективность) тепловоза (секции тепловоза): Количественная характеристика эксплуатационных свойств тепловоза (секции тепловоза), отражающая его (ее) техническое совершенство и качество изготовления, по относительной доле энергии топлива, поступившей на его (ее) колеса для совершения работы при использовании по прямому функциональному назначению.
4 Сокращения и обозначения
4.1 В настоящем стандарте применены следующие сокращения:
ВУ - выпрямительная установка;
ДГ - дизель-генератор;
И - инвертор;
ИЭЭФ - индикатор энергетической эффективности;
КПД - коэффициент полезного действия;
ПКМ - позиция контроллера машиниста;
РЭ - руководство по эксплуатации (или документ, его заменяющий);
ТГ - тяговый генератор;
ТЗ - техническое задание;
ТУ - технические условия на поставку;
ТЭД - тяговый электродвигатель.
4.2 В настоящем стандарте приведены следующие обозначения по
[1]:

- экспериментально-расчетный КПД тепловоза (секции тепловоза);

- контрольный экспериментально-расчетный КПД тепловоза (секции тепловоза);
Экэ - экспериментально-расчетное значение энергии, потенциально переданной на колеса тепловоза (секции тепловоза) за время реализации типовой тест-циклограммы нагружения ДГ на реостат, МДж;
Эвэ - значение энергии топлива, израсходованного дизелем тепловоза (секции тепловоза) за время реализации типовой тест-циклограммы нагружения ДГ на реостат, МДж;
Pтг(ву)ij - текущее значение мощности на клеммах ТГ (ВУ), кВт;

- текущее значение КПД ТЭД;

- значение КПД осевого редуктора и моторно-осевых подшипников;
T - время реализации тест-циклограммы, с;
i - номер текущего измерения;
j - номер ПКМ;

- временной шаг реализации типовой тест-циклограммы, с;
Nвспij - текущее значение мощности генератора, затраченной на привод вспомогательных агрегатов, кВт;
Pиij - текущее значение мощности на входе в И, кВт;

- текущее значение КПД И;
Iтг(ву)(и)ij - текущее значение силы тока на клеммах ТГ, ВУ или И, А;
Uтг(ву)(и)ij - текущее значение напряжения на клеммах ТГ, ВУ или ВУ, В;
B - расход топлива дизелем за время реализации типовой тест-циклограммы, кг;

- низшая теплотворная способность топлива, МДж/кг;

- контрольное экспериментально-расчетное значение энергии, которая могла бы быть потенциально передана на колеса тепловоза (секции тепловоза) за время реализации типовой тест-циклограммы при нормативных значениях мощности ДГ по ТЗ или ТУ на ПКМ
j, МДж;

- расчетное значение энергии топлива, которое было бы израсходовано дизелем тепловоза (секции тепловоза) за время реализации типовой тест-циклограммы при нормативных значениях мощности ДГ по ТУ или ТЗ, удельного расхода топлива, расхода топлива на холостом ходу и при отсутствии переходных процессов при переключении ПКМ, МДж;

- значение энергии, выработанной дизелем на ПКМ
j за время расчетной реализации типовой тест-циклограммы при нормативных значениях мощности дизеля по ТУ или ТЗ, с учетом отличия фактических условий реостатных испытаний от стандартных по ТУ или ТЗ, МДж;

- среднее значение КПД ТГ на ПКМ
j за время реализации типовой тест-циклограммы нагружения ДГ на реостат;

- среднее значение КПД ВУ на ПКМ
j за время реализации типовой тест-циклограммы нагружения ДГ на реостат;

- среднее значение КПД ТЭД на ПКМ
j за время реализации типовой тест-циклограммы нагружения ДГ на реостат;

- значение КПД осевого редуктора и моторно-осевых подшипников;
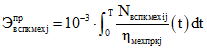
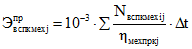
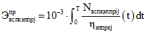
Эвспмехj - энергия, затраченная дизелем на обеспечение работы вспомогательных агрегатов с механическим приводом на ПКМj за время реализации типовой тест-циклограммы нагружения ДГ на реостат, МДж;
Эвспэлj - значение энергии, затраченной дизелем на обеспечение работы вспомогательных агрегатов с электрическим приводом на ПКМj за время реализации типовой тест-циклограммы нагружения ДГ на реостат, МДж;

- среднее значение КПД И на ПКМ
j за время реализации типовой тест-циклограммы нагружения ДГ на реостат;

- значение мощности дизеля по ТУ или ТЗ на ПКМ
j, скорректированное по отличию фактических условий реостатных испытаний от стандартных, кВт;
Tj - время работы на ПКМj, с;

- значение мощности дизеля на ПКМ
j по ТУ или ТЗ, кВт;

- среднее значение изменения мощности дизеля, вызванное отличием фактических условий испытаний от стандартных по ТУ или ТЗ за время работы на ПКМ
j, кВт;

- текущее значение изменения мощности дизеля, вызванное отличием фактических условий испытаний от стандартных по ТУ или ТЗ за время работы на ПКМ
j, кВт;
zj - количество измерений за время работы на ПКМj;

- суммарная энергия, затраченная дизелем при работе на ПКМ
j на привод к-го вспомогательного агрегата с механическим приводом за время реализации типовой тест-циклограммы нагружения ДГ на реостат, МДж;
к - условный номер вспомогательного агрегата, общее количество и номенклатура которых соответствует энергетической схеме тепловоза;
Nвспкмехij - текущее значение мощности, потребляемой к-ым вспомогательным агрегатом с механическим приводом при работе на ПКМj, в процессе реализации типовой тест-циклограммы нагружения ДГ на реостат;

- КПД механического привода к-го вспомогательного агрегата при работе на ПКМ
j;
Nвпкмmax - мощность, потребляемая вентилятором на максимальной ПКМ при стандартных атмосферных условиях, приведенная в ТУ или ТЗ, кВт;
nij - текущее значение частоты вращения коленчатого вала дизеля при работе на ПКМj, мин-1;
nmax - значение частоты вращения коленчатого вала дизеля при работе на ПКМmax, мин-1;

- КПД привода вентилятора при работе на ПКМ
j;
Iстг - ток СТГ, А;
Uбс - напряжение бортовой сети, В;

- КПД привода стартера-генератора;

- суммарная энергия, затраченная ДГ при работе на ПКМ
j на привод к-го вспомогательного агрегата с электрическим приводом за время реализации типовой тест-циклограммы нагружения ДГ на реостат, МДж;
Nвспкэлпрij - текущее значение мощности, потребляемой к-ым вспомогательным агрегатом с электрическим приводом при работе на ПКМj в процессе реализации типовой тест-циклограммы нагружения ДГ на реостат, МДж;

- КПД электрического привода к-го вспомогательного агрегата на ПКМ
j;
Nмвпкмmax - мощность, потребляемая мотор-вентилятором на ПКМmax при стандартных атмосферных условиях, приведенная в ТУ или ТЗ, кВт;

- текущее значение КПД ТГ при работе на ПКМ
j;
mi - текущее значение количества включенных мотор-вентиляторов;
Pвзбj - мощность возбудителя на ПКМj, кВт;

- КПД возбудителя на ПКМ
j;

- КПД привода возбудителя на ПКМ
j;

,

,

- текущие значения КПД ВУ, КПД ТГ и КПД ТЭД при работе на ПКМ
j;
Nдизj - значения мощности дизеля на ПКМj в соответствии с ТУ или ТЗ, кВт;
gej - значения удельного расхода топлива дизеля на ПКМj в соответствии с ТУ или ТЗ, г/кВт·ч;

- односторонний доверительный интервал для ИЭЭФ
ср;
n - количество реализаций типовой тест-циклограммы;

- значение параметра распределения Стьюдента для одностороннего доверительного интервала при числе степеней свободы n - 1 и принятой доверительной вероятности

;
ИЭЭФi - значение ИЭЭФ в результате i-й реализации тест-циклограммы;

- значение уменьшения ИЭЭФ, установленное по результатам реостатных испытаний тепловозов каждого функционального типа за счет влияния переходных процессов в ДГ;

- относительное уменьшение ИЭЭФ за счет допуска на объявленный удельный расход топлива.
5 Метод определения энергоэффективности тепловоза (секции тепловоза)
Энергоэффективность тепловоза (секции тепловоза) определяют с помощью ИЭЭФ, вычисляемого по формуле

, (1)
где

- экспериментально-расчетный КПД тепловоза (секции тепловоза), определяемый по результатам реостатных испытаний тепловоза (секции тепловоза) при автоматическом нагружении ДГ на водяной (воздушный) реостат в соответствии с типовой тест-циклограммой и измерении расхода топлива за время реализации этой тест-циклограммы;

- контрольный экспериментально-расчетный КПД тепловоза (секции тепловоза), определяемый методом расчета с использованием нормативных значений удельного расхода топлива и мощности дизеля, указанных в ТУ или ТЗ, что и при испытаниях типовой тест-циклограммы, затратах мощности на привод вспомогательного оборудования, КПД тягового генератора, КПД выпрямительной установки или инвертора (в случае их наличия в составе силовой установки) и КПД тяговых двигателей, полученных при испытаниях по оценке величины

.
6 Определение экспериментально-расчетного коэффициента полезного действия тепловоза (секции тепловоза)
6.1 Подготовка и общий порядок проведения реостатных испытаний по определению 
6.1.1 Испытуемый(ую) тепловоз (секцию тепловоза) подсоединяют к водяному (воздушному) реостату согласно РЭ тепловоза. Используемый реостат должен обеспечить нагружение ДГ тепловоза (секции тепловоза) во всех точках внешней характеристики ТГ от максимального до минимального напряжения при соответствующей силе тока, указанных в РЭ тепловоза.
6.1.2 Тепловоз (секция тепловоза) и реостат оборудуют средствами измерения параметров, указанных в
6.3.
6.1.3 При испытаниях допускается использовать штатный комплект датчиков и измерительных преобразователей, имеющийся на тепловозе (секции тепловоза), если он удовлетворяет требованиям
6.4.
6.1.4 В процессе проведения испытаний нагружение ДГ должно осуществляться в автоматическом режиме согласно типовым тест-циклограммам нагружения на реостат тепловоза (секции тепловоза), приведенным в
приложении А.
6.1.5 Общий порядок проведения реостатных испытаний по определению экспериментально-расчетного КПД тепловоза (секции тепловоза)

включает:
- выполнение операций по подготовке тепловоза (секции тепловоза) к реостатным испытаниям и оборудования тепловоза и (или) реостата средствами управления и контроля согласно
6.1.1 -
6.1.4;
- проведение индивидуальной градуировки измерительных каналов тока и напряжения по приборам класса 0,2 с целью определения поправок, их введение в текущие результаты измерений токов и напряжений при реализации тест-циклограммы для уменьшения систематических составляющих погрешностей измерений;
- установление перед каждой реализацией тест-циклограммы при работе на максимальной ПКМ значения тока, соответствующего продолжительному режиму работы ТГ, указанному в РЭ испытуемого(ой) тепловоза (секции тепловоза), с последующим переводом ДГ в режим холостого хода;
- выполнение типовой тест-циклограммы, соответствующей функциональному типу испытуемого(ой) тепловоза (секции тепловоза) при автоматическом управлении режимами работы его (ее) ДГ.
6.1.6 Испытания проводят не менее трех раз с интервалами не более 30 мин.
За результат испытаний принимают среднеарифметическую величину, вычисленную как минимум по трем полученным значениям

.
6.2 Режимы проведения испытаний
Тепловозы (секции тепловозов) испытывают при нагружении ДГ на реостат по режимам тест-циклограмм, соответствующим их функциональному типу (магистральные грузовые, магистральные пассажирские, маневровые). Типовые тест-циклограммы приведены в
приложении А.
6.3 Измеряемые и вычисляемые параметры и погрешность измерений
Наименование и погрешность однократно измеряемых и вычисляемых параметров приведены в
таблице 1.
Таблица 1
Наименование и погрешность
однократно измеряемых и вычисляемых параметров
Наименование параметра | Обозначение | Единица измерения | Максимальная допустимая погрешность измерения или расчета, %, не более |
| Pа | кПа (мм рт. ст.) | |
Температура окружающей среды <1> | Tа | К (°C) | |
Относительная влажность воздуха <1> | | % | |
Давление отработавших газов в выходном патрубке дизеля <1> | Pg2 | кПа (мм рт. ст.) | |
Температура воды на входе в охладитель наддувочного воздуха дизеля <1> | tcool' | К (°C) | |
Разрежение воздуха на входе в дизель <1> | Pка | кПа (мм рт. ст.) | |
Температура топлива перед топливными насосами высокого давления <1> | tf | К (°C) | |
Частота вращения коленчатого вала дизеля | n | мин-1 | |
Ток (после градуировки канала) | I | А | +/- 0,5034 |
Напряжение (после градуировки канала) | U | В | +/- 0,3465 |
Мощность на клеммах ТГ (ВУ) после калибровки каналов тока и напряжения | P | кВт | +/- 0,611 |
Массовый расход топлива дизелем | B | кг/ч | +/- 0,154 |
Индикатор энергетической эффективности тепловоза (секции тепловоза) <2> | ИЭЭФ | | +/- 0,6430 (в том числе постоянная не исключенная систематическая погрешность 0,3202, случайная 0,5577) |
<1> Параметры, необходимые для определения мощности дизеля в условиях, отличных от стандартных, при вычислении  . <2> Погрешности вычисления КПД тяговых электродвигателей и осевых редукторов не оказывают влияния на погрешность вычисления ИЭЭФ, так как при вычислении  используются значения этих параметров, идентичные вычисленным в процессе реостатных испытаний по определению  . |
Применяемые при испытаниях средства измерений должны соответствовать требованиям нормативных документов <*>, утвержденных уполномоченным национальным органом исполнительной власти.
--------------------------------
<*> В Российской Федерации действуют
[2] и
[3].
6.5 Условия проведения измерений
6.5.1 Условия окружающей среды при проведении реостатных испытаний должны соответствовать условиям эксплуатации конкретного типа тепловоза в соответствии с требованиями РЭ на него.
6.5.2 При реостатных испытаниях дизель должен работать на топливах, маслах и охлаждающих жидкостях, указанных в РЭ на ДГ конкретного типа в соответствии с климатическими условиями.
6.6 Расчет экспериментально-расчетного коэффициента полезного действия тепловоза (секции тепловоза)
6.6.1 Значение экспериментально-расчетного КПД тепловоза (секции тепловоза)

вычисляют по формуле

(2)
где Экэ - экспериментально-расчетное значение энергии, потенциально переданной на колеса тепловоза (секции тепловоза) за время реализации типовой тест-циклограммы нагружения ДГ на реостат, МДж;
Эвэ - значение энергии топлива, израсходованного дизелем тепловоза (секции тепловоза) за время реализации типовой тест-циклограммы нагружения ДГ на реостат, МДж.
6.6.2 Экспериментально-расчетное значение энергии, потенциально переданной на колеса тепловоза (секции тепловоза) за время реализации типовой тест-циклограммы нагружения ДГ на реостат Экэ, МДж, для тепловозов с передачей переменно-постоянного тока, а также тепловозов с передачей постоянного тока, у которых вспомогательные нагрузки запитаны от вспомогательного генератора, вычисляют по формуле

, (3)
где T - время реализации тест-циклограммы;
Pтг(ву)ij - текущее значение мощности на клеммах ТГ (ВУ), кВт;

- текущее значение КПД ТЭД, вычисляемое для ПКМ
j с помощью зависимости от тока нагрузки, установленной по экспериментальным данным;

- значение КПД осевого редуктора и моторно-осевых подшипников;
i - номер текущего измерения;
j - номер ПКМ.
Допускается использовать формулу

, (4)
где

- временной шаг реализации типовой тест-циклограммы, с.
Если на тепловозе с передачей постоянно-постоянного тока вспомогательные агрегаты запитаны от одного генератора с ТЭД, то
формула (3) имеет вид

, (5)
где Nвспij - текущее значение мощности генератора, затраченной на привод вспомогательных агрегатов, кВт. В этом случае для определения величины Nвспij в соответствующие цепи электрической схемы тепловоза устанавливают дополнительные шунты.
Допускается использовать формулу

. (6)
Для тепловозов с передачей переменно-переменного тока Экэ вычисляют по формуле

, (7)
где Pиij - текущее значение мощности на входе в И, кВт;

- текущее значение КПД И.
Допускается использовать формулу

. (8)
6.6.3 Текущее значение мощности на клеммах ТГ, ВУ или И Pтг(ву)(и)ij, кВт, вычисляют по формуле
Pтг(ву)(и)ij = Iтг(ву)(и)ij·Uтг(ву)(и)ij·10-3, (9)
где Iтг(ву)(и)ij - текущее значение силы тока на клеммах ТГ, ВУ или И, А;
Uтг(ву)(и)ij - текущее значение напряжения на клеммах ТГ, ВУ или И, В.
6.6.4 Значение энергии топлива, израсходованного дизелем тепловоза (секции тепловоза) за время реализации типовой тест-циклограммы нагружения ДГ на реостат Эвэ, МДж, вычисляют по формуле

, (10)
где B - расход топлива дизелем за время реализации типовой тест-циклограммы, кг;

- низшая теплотворная способность топлива, МДж/кг, определяемая по ГОСТ 21261.
7 Определение контрольного экспериментально-расчетного коэффициента полезного действия тепловоза (секции тепловоза)
Контрольный экспериментально-расчетный КПД тепловоза (секции тепловоза),

, вычисляют методом расчета с использованием нормативных значений удельного расхода топлива и мощности дизеля, указанных в ТУ или ТЗ.
7.2 Расчет контрольного экспериментально-расчетного коэффициента полезного действия тепловоза (секции тепловоза)
Значение контрольного экспериментально-расчетного КПД тепловоза (секции тепловоза)

вычисляют по формуле

, (11)
где

- контрольное экспериментально-расчетное значение энергии, которая могла бы быть потенциально передана на колеса тепловоза (секции тепловоза) за время реализации типовой тест-циклограммы при нормативных значениях мощности ДГ по ТЗ или ТУ на ПКМ
j с учетом отличия фактических условий реостатных испытаний по определению

от стандартных условий по ТУ или ТЗ, при затратах мощности на привод вспомогательных агрегатов и средних значениях КПД ВУ, ТГ, И и ТЭД при работе на ПКМ
j, МДж;

- расчетное значение энергии топлива, которое было бы израсходовано дизелем тепловоза (секции тепловоза) за время реализации типовой тест-циклограммы при нормативных значениях по ТУ или ТЗ мощности ДГ, удельного расхода топлива, расхода топлива на холостом ходу и при отсутствии переходных процессов при переключении ПКМ, МДж.
7.3 Расчет контрольного экспериментально-расчетного значения энергии
7.3.1 Для тепловозов (секций тепловозов) с передачей переменно-постоянного тока контрольное экспериментально-расчетное значение энергии

, МДж, вычисляют по формулам:
- при механическом приводе вспомогательных агрегатов

, (12)
где

- значение энергии, выработанной дизелем на ПКМ
j за время расчетной реализации типовой тест-циклограммы при нормативных значениях мощности дизеля по ТУ или ТЗ, с учетом отличия фактических условий реостатных испытаний от стандартных по ТУ или ТЗ, МДж;
Эвспмехj - значение энергии, затраченной дизелем на обеспечение работы вспомогательных агрегатов с механическим приводом на ПКМj за время реализации типовой тест-циклограммы нагружения ДГ на реостат, МДж;

- среднее значение КПД ТГ на ПКМ
j за время реализации типовой тест-циклограммы нагружения ДГ на реостат;

- среднее значение КПД ВУ на ПКМ
j за время реализации типовой тест-циклограммы нагружения ДГ на реостат;

- среднее значение КПД ТЭД на ПКМ
j за время реализации типовой тест-циклограммы нагружения ДГ на реостат;

- значение КПД осевого редуктора и моторно-осевых подшипников;
- при электрическом приводе вспомогательных агрегатов

, (13)
где Эвспэлj - значение энергии, затраченной дизелем на обеспечение работы вспомогательных агрегатов с электрическим приводом на ПКМj за время реализации типовой тест-циклограммы нагружения ДГ на реостат, МДж;
- при смешанном приводе вспомогательных агрегатов

. (14)
7.3.2 Для тепловозов (секций тепловозов) с передачей постоянно-постоянного тока контрольное экспериментально-расчетное значение энергии

, МДж, вычисляют по следующим формулам:
- при механическом приводе вспомогательных агрегатов

; (15)
- при электрическом приводе вспомогательных агрегатов

; (16)
- при смешанном приводе вспомогательных агрегатов

. (17)
7.3.3 Для тепловозов (секций тепловозов) с передачей переменно-переменного тока контрольное экспериментально-расчетное значение энергии

, МДж, вычисляют по формулам:
- при механическом приводе вспомогательных агрегатов

; (18)
- при электрическом приводе вспомогательных агрегатов

; (19)
- при смешанном приводе вспомогательных агрегатов

, (20)
где

- среднее значение КПД И на ПКМ
j за время реализации типовой тест-циклограммы нагружения ДГ на реостат.
7.3.4 Значение,

, МДж, вычисляют по формуле

, (21)
где

- нормативное значение мощности дизеля по ТУ или ТЗ на ПКМ
j, скорректированное по отличию фактических условий реостатных испытаний от стандартных условий по ТУ или ТЗ, кВт;
Tj - время работы на ПКМj, с.
Значение

, кВт, вычисляют по формуле

, (22)
где

- нормативное значение мощности дизеля на ПКМ
j по ТУ или ТЗ, кВт;

- среднее значение изменения мощности дизеля, вызванное отличием фактических условий испытаний от стандартных по ТУ или ТЗ за время работы на ПКМ
j, кВт.
Значение

, кВт, вычисляют по формуле

, (23)
где

- текущее значение изменения мощности дизеля, вызванное отличием фактических условий испытаний от стандартных по ТУ или ТЗ за время работы на ПКМ
j, кВт;
zj - количество измерений за время работы на ПКМj.
Значение

, кВт, вычисляют в соответствии с РЭ или нормативными документами <*>.
--------------------------------
<*> В Российской Федерации действует
ГОСТ Р 52517-2005 (ИСО 3046-1:2002) "Двигатели внутреннего сгорания поршневые. Характеристики. Часть 1. Стандартные исходные условия, объявления мощности, расхода топлива и смазочного масла. Методы испытаний".
7.3.5 Значение Эвспмехj, МДж, вычисляют по формуле

, (24)
где

- суммарная энергия, затраченная дизелем при работе на ПКМ
j на привод к-го вспомогательного агрегата с механическим приводом за время реализации типовой тест-циклограммы нагружения ДГ на реостат, МДж;
к - условный номер вспомогательного агрегата, общее количество и номенклатура которого соответствуют энергетической схеме тепловоза.
Значение

вычисляют по формуле

, (25)
где Nвспкмехij - текущее значение мощности, потребляемой к-м вспомогательным агрегатом с механическим приводом при работе на ПКМj в процессе реализации типовой тест-циклограммы нагружения ДГ на реостат;

- КПД механического привода к-го вспомогательного агрегата при работе на ПКМ
j.
Допускается значение

вычислять по формуле

. (26)
При определении текущих значений мощности, затрачиваемой дизелем на обеспечение работы вспомогательных агрегатов с механическим приводом при работе на ПКМ
j, текущие значения мощности, затрачиваемой дизелем на привод вентилятора

, кВт, вычисляют по формуле

(27)
где nij - текущее значение частоты вращения коленчатого вала дизеля при работе на ПКМj, мин-1;
nmax - значение частоты вращения коленчатого вала дизеля при работе на ПКМmax, мин-1;
Nвпкмmax - мощность, потребляемая вентилятором на максимальной ПКМ при стандартных атмосферных условиях, приведенная в ТУ или ТЗ, кВт;

- КПД привода вентилятора при работе на ПКМ
j.
Мощность, затрачиваемую дизелем на привод стартера-генератора Nстг, кВт, вычисляют по формуле

, (28)
где Iстг - ток СТГ, А;
Uбс - напряжение бортовой сети, В;

- КПД привода стартера-генератора.
7.3.6 Значение

, МДж, вычисляют за время реализации типовой тест-циклограммы нагружения ДГ на реостат по формуле

, (29)
где

- суммарная энергия, затраченная ДГ при работе на ПКМ
j на привод к-го вспомогательного агрегата с электрическим приводом за время реализации типовой тест-циклограммы нагружения ДГ на реостат, МДж.
Значение

, МДж, вычисляют по формуле

, (30)
где Nвспкэлпрij - текущее значение мощности, потребляемой к-м вспомогательным агрегатом с электрическим приводом при работе на ПКМj в процессе реализации типовой тест-циклограммы нагружения ДГ на реостат, МДж;

- КПД электрического привода к-го вспомогательного агрегата на ПКМ
j.
Значение

допускается вычислять по формуле

. (31)
При определении текущих значений мощности, затрачиваемой дизелем на обеспечение работы вспомогательных агрегатов с электрическим приводом при работе на ПКМ
j, текущие значения мощности

, кВт, затрачиваемой дизелем на привод мотор-вентиляторов, вычисляют по формуле

(32)
где nij - текущее значение частоты вращения коленчатого вала дизеля при работе на ПКМj, мин-1;
nmax - значение частоты вращения коленчатого вала дизеля при работе на ПКМmax, мин-1;
Nмвпкмmax - мощность, потребляемая мотор-вентилятором на ПКМmax при стандартных атмосферных условиях, приведенная в ТУ или ТЗ, кВт;
mi - текущее значение количества включенных мотор-вентиляторов;

- текущее значение КПД ТГ при работе на ПКМ
j.
7.3.7 Значение потерь мощности дизеля при работе на ПКМ
j на привод возбудителя

, кВт, вычисляют по формуле

, (33)
где Pвзбj - мощность возбудителя на ПКМj, кВт;

- КПД возбудителя на ПКМ
j;

- КПД привода возбудителя на ПКМ
j.
7.3.8 Средние значения КПД электрических машин на ПКМj за время реализации типовой тест-циклограммы нагружения ДГ на реостат вычисляют по следующим формулам:
- среднее значение КПД ВУ


; (34)
- среднее значение КПД ТГ


; (35)
- среднее значение КПД ТЭД


, (36)
где

,

,

- соответственно текущие значения КПД ВУ, КПД ТГ и КПД ТЭД при работе на ПКМ
j;
zj - количество измерений за время работы на ПКМj.
7.4 Определение значения энергии топлива
Значение

, МДж, вычисляют по формуле

, (37)
где Nдизj - нормативные значения мощности дизеля на ПКМj в соответствии с ТУ или ТЗ, кВт;
gej - нормативные значения удельного расхода топлива дизеля на ПКМj в соответствии с ТУ или ТЗ, г/кВт·ч;
Tj - время работы на ПКМj, с.
8 Оценка энергетической эффективности тепловоза (секции тепловоза)
8.1 Энергетическую эффективность тепловоза (секции тепловоза) оценивают сравнением минимального значения

, которое по результатам реостатных испытаний может с принятой доверительной вероятностью

иметь ИЭЭФ тепловоза, и его граничного значения ИЭЭФ
гр. Если

, то с вероятностью

уровень энергетической эффективности тепловоза соответствует области удовлетворительных значений. Если

, то с вероятностью

уровень энергетической эффективности тепловоза соответствует области неудовлетворительных значений.
8.2 Значение

вычисляют по формуле

, (38)
где

- односторонний доверительный интервал для ИЭЭФ
ср.
Значение

вычисляют по формуле

, (39)
где n - количество реализаций типовой тест-циклограммы;

- значение параметра распределения Стьюдента для одностороннего доверительного интервала при числе степеней свободы n - 1 и принятой доверительной вероятности

(рекомендуется принимать

);
Sиээф - оценка стандартного отклонения по результатам реостатных испытаний.
Значение Sиээф вычисляют по формуле

, (40)
где ИЭЭФi - значение ИЭЭФ в результате i-й реализации типовой тест-циклограммы.
8.3 Граничное значение индикатора энергетической эффективности локомотивов ИЭЭФгр вычисляют по формуле

, (41)
где 1 - максимальное возможное значение ИЭЭФ при нормативных значениях удельного расхода топлива и при отсутствии переходных процессов в ДГ при переключении ПКМ;

- значение уменьшения ИЭЭФ, установленное по результатам реостатных испытаний тепловозов каждого функционального типа за счет влияния переходных процессов в ДГ;

- относительное уменьшение ИЭЭФ за счет допуска на объявленный удельный расход топлива по
ГОСТ 10150.
9 Требования безопасности труда и охраны окружающей среды при проведении испытаний
9.1 Персонал, участвующий в реостатных испытаниях, должен быть обучен и аттестован в установленном порядке на право проведения таких испытаний.
9.2 За безопасность проведения испытаний несет ответственность руководитель испытаний.
9.3 Все работы по подготовке и проведению испытаний проводят под непосредственным руководством и контролем руководителя испытаний с соблюдением общих требований производственной санитарии, правил и инструкций по охране труда, технике безопасности и пожарной безопасности, действующих на железнодорожном транспорте и в промышленности.
9.4 Участники испытаний перед началом работ проходят инструктаж по технике безопасности и пожарной безопасности. Порядок и виды обучения, организация инструктажа лиц, участвующих в работах по подготовке и проведению испытаний, - по
ГОСТ 12.0.004.
9.5 Персонал, участвующий в реостатных испытаниях, должен быть обеспечен средствами индивидуальной защиты органов слуха по ГОСТ 12.4.051.
(обязательное)
ТИПОВЫЕ ТЕСТ-ЦИКЛОГРАММЫ НАГРУЖЕНИЯ НА РЕОСТАТ ТЕПЛОВОЗОВ
(СЕКЦИЙ ТЕПЛОВОЗОВ) РАЗЛИЧНОГО ФУНКЦИОНАЛЬНОГО ТИПА
Таблица А.1
Тест-циклограмма нагружения дизель-генератора
магистрального грузового тепловоза на реостат
N режима работы | Позиция контроллера машиниста, ПКМ | Время работы на ПКМ, с |
1 | 0 | 100 |
2 | 1 | 4 |
3 | 2 | 2 |
4 | 3 | 3 |
5 | 4 | 4 |
6 | 5 | 3 |
7 | 6 | 13 |
8 | 7 | 7 |
9 | 8 | 6 |
10 | 9 | 6 |
11 | 10 | 15 |
12 | 11 | 23 |
13 | 12 | 230 |
14 | 13 | 40 |
15 | 14 | 60 |
16 | 15 | 46 |
17 | 14 | 17 |
18 | 13 | 10 |
19 | 12 | 28 |
20 | 13 | 15 |
21 | 14 | 30 |
22 | 11 | 5 |
23 | 9 | 3 |
24 | 7 | 3 |
25 | 5 | 2 |
26 | 3 | 2 |
27 | 0 | 234 |
28 | 1 | 4 |
29 | 2 | 3 |
30 | 3 | 3 |
31 | 4 | 5 |
32 | 5 | 3 |
33 | 6 | 10 |
34 | 7 | 8 |
35 | 8 | 8 |
36 | 9 | 6 |
37 | 10 | 20 |
38 | 11 | 45 |
39 | 12 | 5 |
40 | 13 | 95 |
41 | 11 | 10 |
42 | 10 | 8 |
43 | 9 | 3 |
44 | 5 | 4 |
45 | 3 | 3 |
46 | 0 | 100 |
47 | 1 | 4 |
48 | 2 | 2 |
49 | 3 | 3 |
50 | 4 | 5 |
51 | 5 | 3 |
52 | 6 | 10 |
53 | 7 | 8 |
54 | 8 | 3 |
55 | 9 | 6 |
56 | 10 | 10 |
57 | 11 | 62 |
58 | 10 | 8 |
59 | 8 | 2 |
60 | 5 | 3 |
61 | 3 | 2 |
62 | 0 | 100 |
63 | 1 | 4 |
64 | 2 | 3 |
65 | 3 | 5 |
66 | 4 | 5 |
67 | 5 | 5 |
68 | 6 | 5 |
69 | 7 | 5 |
70 | 8 | 3 |
71 | 9 | 10 |
72 | 10 | 52 |
73 | 9 | 7 |
74 | 8 | 3 |
75 | 7 | 3 |
76 | 6 | 5 |
77 | 0 | 200 |
Таблица А.2
Тест-циклограмма нагружения дизель-генератора
магистрального пассажирского тепловоза на реостат
N режима работы | ПКМ | Время работы на ПКМ, с |
1 | 0 | 180 |
2 | 1 | 10 |
3 | 2 | 10 |
4 | 3 | 13 |
5 | 4 | 15 |
6 | 5 | 15 |
7 | 6 | 18 |
8 | 7 | 30 |
9 | 8 | 145 |
10 | 9 | 20 |
11 | 10 | 105 |
12 | 11 | 30 |
13 | 12 | 155 |
14 | 13 | 60 |
15 | 14 | 135 |
16 | 15 | 20 |
17 | 13 | 44 |
18 | 11 | 52 |
19 | 9 | 83 |
20 | 5 | 25 |
21 | 2 | 10 |
22 | 1 | 10 |
23 | 0 | 180 |
24 | 1 | 15 |
25 | 2 | 20 |
26 | 3 | 50 |
27 | 4 | 20 |
28 | 5 | 24 |
29 | 6 | 25 |
30 | 7 | 67 |
31 | 4 | 16 |
32 | 2 | 8 |
33 | 1 | 10 |
34 | 0 | 180 |
Таблица А.3
Тест-циклограмма нагружения дизель-генератора
маневрового тепловоза на реостат
N режима работы | ПКМ | Время работы на ПКМ, с |
1 | 0 | 50 |
2 | 1 | 5 |
3 | 2 | 18 |
4 | 3 | 18 |
5 | 0 | 45 |
6 | 1 | 5 |
7 | 2 | 18 |
8 | 3 | 18 |
9 | 4 | 15 |
10 | 5 | 15 |
11 | 1 | 2 |
12 | 0 | 45 |
13 | 1 | 5 |
14 | 2 | 18 |
15 | 3 | 18 |
16 | 0 | 45 |
17 | 1 | 5 |
18 | 2 | 18 |
19 | 3 | 18 |
20 | 4 | 15 |
21 | 5 | 14 |
22 | 2 | 4 |
23 | 0 | 45 |
24 | 1 | 5 |
25 | 2 | 18 |
26 | 3 | 18 |
27 | 0 | 45 |
28 | 1 | 5 |
29 | 2 | 18 |
30 | 3 | 18 |
31 | 4 | 15 |
32 | 0 | 45 |
33 | 1 | 5 |
34 | 2 | 18 |
35 | 3 | 18 |
36 | 0 | 45 |
37 | 1 | 5 |
38 | 2 | 18 |
39 | 3 | 18 |
40 | 4 | 15 |
41 | 5 | 15 |
42 | 6 | 5 |
43 | 7 | 5 |
44 | 8 | 5 |
45 | 5 | 5 |
46 | 3 | 4 |
47 | 0 | 45 |
48 | 1 | 5 |
49 | 2 | 18 |
50 | 3 | 18 |
51 | 0 | 45 |
52 | 1 | 5 |
53 | 2 | 18 |
54 | 3 | 18 |
55 | 4 | 15 |
56 | 0 | 45 |
57 | 1 | 5 |
58 | 2 | 18 |
59 | 3 | 18 |
60 | 0 | 45 |
61 | 1 | 5 |
62 | 2 | 18 |
63 | 3 | 18 |
64 | 4 | 15 |
65 | 5 | 15 |
66 | 6 | 14 |
67 | 4 | 15 |
68 | 3 | 3 |
69 | 0 | 45 |
70 | 1 | 5 |
71 | 2 | 18 |
72 | 3 | 18 |
73 | 0 | 45 |
74 | 1 | 5 |
75 | 2 | 18 |
76 | 3 | 18 |
77 | 4 | 15 |
78 | 5 | 10 |
79 | 6 | 3 |
80 | 4 | 5 |
81 | 2 | 5 |
82 | 0 | 45 |
83 | 1 | 5 |
84 | 2 | 18 |
85 | 3 | 18 |
86 | 4 | 15 |
87 | 0 | 45 |
88 | 1 | 5 |
89 | 2 | 18 |
90 | 3 | 18 |
91 | 0 | 45 |
92 | 1 | 5 |
93 | 2 | 18 |
94 | 3 | 18 |
95 | 4 | 15 |
96 | 0 | 52 |
| "Методика определения энергоэффективности тепловозов" (утверждена ОАО "РЖД" 6 ноября 2015 г. N 469) |
| " Порядок проведения поверки средств измерений, требования к знаку поверки и содержанию свидетельства о поверке" (утвержден Приказом Минпромторга от 2 июля 2015 г. N 1815) |
| Федеральный закон от 26 июня 2008 г. N 102-ФЗ "Об обеспечении единства измерений" |