Главная // Актуальные документы // ГОСТ (Государственный стандарт)СПРАВКА
Источник публикации
М.: ФГБУ "РСТ", 2021
Примечание к документу
Текст данного документа приведен с учетом
поправки, введенной в действие с 01.10.2021, опубликованной в "ИУС", N 2, 2022;
поправки, опубликованной в "ИУС", N 8, 2022.
Документ
введен в действие с 01.01.2022.
Название документа
"ГОСТ ISO/TS 28038-2021. Межгосударственный стандарт. Статистические методы. Определение и использование полиномиальных функций при калибровке"
(введен в действие Приказом Росстандарта от 08.10.2021 N 1105-ст)
"ГОСТ ISO/TS 28038-2021. Межгосударственный стандарт. Статистические методы. Определение и использование полиномиальных функций при калибровке"
(введен в действие Приказом Росстандарта от 08.10.2021 N 1105-ст)
по техническому регулированию
и метрологии
от 8 октября 2021 г. N 1105-ст
МЕЖГОСУДАРСТВЕННЫЙ СТАНДАРТ
СТАТИСТИЧЕСКИЕ МЕТОДЫ
ОПРЕДЕЛЕНИЕ И ИСПОЛЬЗОВАНИЕ ПОЛИНОМИАЛЬНЫХ ФУНКЦИЙ
ПРИ КАЛИБРОВКЕ
Statistical methods. Determination and use of polynomial
calibration functions
(ISO/TS 28038:2018, Determination and use of polynomial
calibration functions, IDT)
ГОСТ ISO/TS 28038-2021
Дата введения
1 января 2022 года
Цели, основные принципы и общие правила проведения работ по межгосударственной стандартизации установлены
ГОСТ 1.0 "Межгосударственная система стандартизации. Основные положения" и
ГОСТ 1.2 "Межгосударственная система стандартизации. Стандарты межгосударственные, правила и рекомендации по межгосударственной стандартизации. Правила разработки, принятия, обновления и отмены"
1 ПОДГОТОВЛЕН Закрытым акционерным обществом "Научно-исследовательский центр контроля и диагностики технических систем" (ЗАО "НИЦ КД") на основе собственного перевода на русский язык англоязычной версии документа, указанного в
пункте 5
2 ВНЕСЕН Межгосударственным техническим комитетом по стандартизации МТК 125 "Применение статистических методов"
3 ПРИНЯТ Межгосударственным советом по стандартизации, метрологии и сертификации (протокол от 26 августа 2021 г. N 142-П)
За принятие проголосовали:
Краткое наименование страны по МК (ИСО 3166) 004-97 | Код страны по МК (ИСО 3166) 004-97 | Сокращенное наименование национального органа по стандартизации |
Армения | AM | ЗАО "Национальный орган по стандартизации и метрологии" Республики Армения |
Беларусь | BY | Госстандарт Республики Беларусь |
Казахстан | KZ | Госстандарт Республики Казахстан |
Киргизия | KG | Кыргызстандарт |
Россия | RU | Росстандарт |
Таджикистан | TJ | Таджикстандарт |
Узбекистан | UZ | Узстандарт |
4
Приказом Федерального агентства по техническому регулированию и метрологии от 8 октября 2021 г. N 1105-ст межгосударственный стандарт ГОСТ ISO/TS 28038-2021 введен в действие в качестве национального стандарта Российской Федерации с 1 января 2022 г.
5 Настоящий стандарт идентичен международному документу ISO/TS 28038:2018 "Определение и использование полиномиальных функций при калибровке" (ISO/TS 28038:2018 "Determination and use of polynomial calibration functions", IDT).
Наименование настоящего стандарта изменено относительно наименования указанного международного документа для приведения в соответствие с ГОСТ 1.5
(подраздел 3.6).
При применении настоящего стандарта рекомендуется использовать вместо ссылочных международных стандартов соответствующие им межгосударственные стандарты, сведения о которых приведены в дополнительном
приложении ДА
6 ВВЕДЕН ВПЕРВЫЕ
Информация о введении в действие (прекращении действия) настоящего стандарта и изменений к нему на территории указанных выше государств публикуется в указателях национальных (государственных) стандартов, издаваемых в этих государствах, а также в сети Интернет на сайтах соответствующих национальных органов по стандартизации.
В случае пересмотра, изменения или отмены настоящего стандарта соответствующая информация будет опубликована в сети Интернет на сайте Межгосударственного совета по стандартизации, метрологии и сертификации в каталоге "Межгосударственные стандарты"
0.1 Калибровка является центральным исследованием при выполнении измерений и включает в себя подбор в соответствии с результатами измерений функции, описывающей взаимосвязь переменной отклика (зависимой переменной) y с переменной стимула (независимой переменной) x. Далее эту функцию используют при калибровке. В настоящем стандарте рассмотрены полиномиальные калибровочные функции, которые зависят от набора параметров (коэффициентов). Целью калибровки является следующее:
a) оценка параметров калибровочной функции с учетом данных калибровки, полученных с помощью измерительной системы, и оценка ковариационной матрицы, связанной с оценками параметров. Все неопределенности, связанные с данными, следует учитывать;
b) использование полученной калибровочной функции для обратного вычисления, то есть для определения значения стимула, соответствующего дополнительно измеренному значению отклика, а также для определения стандартной неопределенности, соответствующей значению стимула с учетом стандартной неопределенности, соответствующей значению отклика. Калибровочную функцию иногда используют для прямого вычисления, то есть для определения значения отклика, соответствующего дополнительно измеренному значению стимула, а также для вычисления стандартной неопределенности, соответствующей значению отклика с учетом стандартной неопределенности, соответствующей значению стимула.
В настоящем стандарте приведены способы выполнения этих вычислений с использованием признанных алгоритмов. В стандарте приведены примеры по калибровке: пленки по интенсивности оптического поглощения (NPL), расходомера (INRIM), термометра сопротивления (DFM), при анализе природного газа (VSL) и количественном определении содержания по изотопам (NRC).
0.2 Особенности информации о неопределенности данных калибровки влияют на способ оценки параметров калибровочной функции и представления связанной ковариационной матрицы. Эта информация о неопределенности может включать количественные эффекты ковариации измерений, относящиеся к зависимостям между задействованными величинами.
0.3 Поскольку в любом конкретном случае степень полиномиальной калибровочной функции обычно не известна, в настоящем стандарте рекомендуется определять полиномиальные функции всех степеней вплоть до оговоренной (ограниченной количеством доступных данных) с последующим выбором одной из этих степеней в соответствии с подходящими критериями. Один критерий связан с требованием монотонности калибровочной функции (строгого возрастания или убывания) в области определения. Второй критерий относится к обеспечению баланса между полиномиальной калибровочной функцией, позволяющей удовлетворительно описывать данные, и количеством параметров полинома. Еще один критерий относится к визуальному принятию полиномиальной функции.
0.4 Таким образом, определение и использование полиномиальной калибровочной функции состоит из следующих этапов:
1) получения данных калибровки и доступной информации об их неопределенности, включая информацию о ковариации, если она доступна;
2) определения полиномиальных функций всех степеней вплоть до заданного максимума способом, учитывающим информацию о неопределенности;
3) выбора подходящей функции из этого набора полиномиальных функций в соответствии с критериями, указанными в
0.3;
4) определения оценок параметров выбранной полиномиальной функции и связанной ковариационной матрицы;
5) использования калибровочной функции для обратного вычисления и определения соответствующей неопределенности;
6) использования калибровочной функции для прямого вычисления и определения соответствующей неопределенности.
0.5 В настоящем стандарте рассмотрены
этапы 2 -
6, перечисленные в 0.4, с использованием принципов Руководства ISO/IEC 98-3:2008 (GUM). Поэтому, как часть
этапа 1, перед применением настоящего стандарта пользователь должен иметь доступные стандартные неопределенности и ковариации, связанные с измеренными значениями
x и
y.
При определении этих неопределенностей следует учитывать положения GUM на основе модели измерения, установленной для рассматриваемой области.
1.1 В настоящем стандарте рассмотрены полиномиальные калибровочные функции, которые описывают связь между переменной стимула и переменной отклика. Параметры полиномиальных функций оценивают по данным калибровки, состоящим из набора пар значений стимула и отклика. Рассмотрены различные случаи, связанные с особенностями неопределенностей, связанных с данными.
1.2 Оценки параметров полиномиальной калибровочной функции определяют с использованием метода наименьших квадратов с учетом заданной информации о неопределенности. Предполагается, что данные калибровки соответствуют цели и, следовательно, обработка выбросов не рассмотрена. Предполагается также, что ошибки данных калибровки подчиняются нормальному распределению. В настоящем стандарте уделено особое внимание выбору метода наименьших квадратов, соответствующего особенностям структуры неопределенности данных в каждом конкретном случае. Поскольку упоминаемые методы хорошо описаны в технической литературе, а программное обеспечение, которое их реализует, доступно, они не описаны в настоящем стандарте.
1.3 Распространенные типы ковариационных матриц, связанных с данными калибровки, охватывают: (a) неопределенности данных отклика, (b) неопределенности и ковариации данных отклика, (c) неопределенности данных стимула и отклика и (d) неопределенности и ковариации данных стимула и отклика. Также рассмотрен случай, когда неопределенности данных неизвестны.
1.4 Приведены методы выбора степени полиномиальной калибровочной функции в соответствии с установленными критериями. Может быть получена ковариационная матрица, связанная с оценками параметров полиномиальной функции, как один из результатов используемых методов наименьших квадратов.
1.5 Для выбранной полиномиальной функции в настоящем стандарте описано использование оценок параметров и связанных с ними ковариационных матриц для прямого и обратного вычисления. Кроме того, в стандарте описано, как могут быть использованы положения Руководства ISO/IEC 98-3:2008 (GUM) для определения соответствующих стандартных неопределенностей.
1.6 Рассмотрены способы учета некоторых ограничений (например, полином должен проходить через начало координат), а также использование преобразований переменных, которые могут приблизить калибровочную функцию к полиномиальной. Рассмотрена также "смена ролей" переменных.
1.7 Использование настоящего стандарта иллюстрируют примеры из нескольких областей науки об измерениях.
В настоящем стандарте использованы нормативные ссылки на следующие стандарты [для датированных ссылок применяют только указанное издание ссылочного стандарта, для недатированных - последнее издание (включая все изменения)]:
ISO/IEC Guide 98-3:2008, Uncertainty of measurement - Part 3: Guide to the expression of uncertainty in measurement (GUM:1995) (Неопределенность измерений. Часть 3. Руководство по выражению неопределенности измерения (GUM:1995))
ISO/IEC Guide 99:2007 (corr. 2010), International vocabulary of metrology - Basic and general concepts and associated terms (VIM) (Международный словарь по метрологии. Основные и общие понятия и соответствующие термины (VIM))
В настоящем стандарте применены термины по Руководству ISO/IEC 98-3:2008 и Руководству ISO/IEC 99:2012, а также следующие термины с соответствующими определениями.
Терминологические базы данных ISO и IEC доступны по следующим интернет-адресам:
- электронная база IEC Electropedia по адресу: http://www.electropedia.org/;
- электронная платформа ISO с функцией онлайн-просмотра терминов по адресу: http://www.iso.org/obp.
3.1
неопределенность измерений (measurement uncertainty): Неотрицательный параметр, характеризующий рассеяние значений величины, приписываемых измеряемой величине на основании используемой информации.
[Руководство ISO/IEC 99:2007 (изм. 2010), 2.26, модифицировано - Примечания 1 - 4 были удалены.]
3.2
стандартная неопределенность измерений, стандартная неопределенность (standard measurement uncertainty, standard uncertainty): Неопределенность измерений
(3.1), выраженная в виде стандартного отклонения.
[Руководство ISO/IEC 99:2007 (изм. 2010), 2.30.]
3.3
ковариационная матрица измерения, ковариационная матрица (measurement covariance matrix, covariance matrix): Симметричная положительно определенная матрица размерности, связанная с вектором оценок размерности, содержащая по диагонали квадраты стандартных неопределенностей, связанных с компонентами вектора оценок, а вне диагонали - ковариации, связанные с парами компонентов вектора оценок.
Примечание 1 - Ковариационная матрица измерений Vx размерности N x N, связанная с оценкой x векторной величины X, имеет вид

,
где u(xi, xi) = u2(xi) - дисперсия (квадрат стандартной неопределенности), связанная с xi, а u(xi, xj) - ковариация пары xi и xj. u(xi, xj) = 0, если элементы Xi и Xj вектора X некоррелированы.
Примечание 2 - Ковариационную матрицу также называют дисперсионно-ковариационной матрицей.
[Руководство ISO/IEC 98-3:2008/Доп.1:2008, 3.11 (определение матрицы неопределенности), модифицировано - определение изменено, примечание 2 исключено, примечание 3 стало
примечанием 2, изменено.]
3.4
корреляционная матрица (correlation matrix): Симметричная положительно определенная матрица размерности
N x
N, связанная с вектором оценок векторной величины размерности
N x 1, содержащая корреляции, связанные с парой компонентов вектора оценок.
Примечание 1 - Корреляционная матрица Rx размерности N x N, связанная с оценкой x векторной величины X, имеет вид

,
где r(xi, xi) = 1 и r(xi, xj) - корреляция, связанная с парой xi и xj. Если элементы Xi и Xj вектора X не коррелированы, r(xi, xj) = 0.
Примечание 2 - r(xi, xj) - также называют коэффициентом корреляции.
Примечание 3 -
Rx связана с
Vx (см.
3.3) соотношением
Vx = DxRxDx,
где Dx - диагональная матрица размерности N x N с диагональными элементами u(x1), ..., u(xN). Элемент с индексами (i, j) в Vx имеет вид:
u(xi, xj) = r(xi, xj)u(xi)u(xj).
[Руководство ISO/IEC 98-3:2008/Доп.2:2011, 3.21, модифицировано - определение изменено, примечания 4 и 5 исключены.]
3.5 модель измерений (measurement model): Математическая связь между всеми величинами, о которых известно, что они причастны к измерению.
[Руководство ISO/IEC 99:2007 (испр. 2010), 2.48, модифицировано - примечания 1 и 2 исключены.]
3.6
калибровка (calibration): Операция, в ходе которой при заданных условиях на первом этапе устанавливают соотношение между значениями величин с неопределенностями измерений, которые обеспечивают эталоны, и соответствующими показаниями с присущими им неопределенностями, а на втором этапе на основе этой информации устанавливают соотношение, позволяющее получать результат измерения исходя из показания.
Примечание 1 - Калибровка может быть выражена в виде утверждения, калибровочной функции, диаграммы калибровки, калибровочной кривой или таблицы калибровки. В некоторых случаях она может включать аддитивную или мультипликативную поправку к показаниям с соответствующей неопределенностью
(3.1).
Примечание 2 - Калибровку не следует путать ни с регулировкой измерительной системы, часто ошибочно называемой "самокалибровкой", ни с верификацией калибровки.
Примечание 3 - Часто только первый шаг в приведенном выше определении принимают за калибровку.
[Руководство ISO/IEC 99:2007 (испр. 2010), 2.39.]
3.7 интервал стимула (stimulus interval): Интервал значений переменной стимула, на котором определяют калибровочную функцию.
3.8
стимул (stimulus): Величина, результатом измерения которой с помощью измерительной системы является отклик
(3.9) <*>.
3.9
отклик (response): Величина, представляющая собой результат измерения стимула с помощью измерительной системы <*>.
--------------------------------
<*> По отношению к калибровочной функции стимул представляет собой независимую переменную, а отклик - зависимую переменную.
3.10 обратное вычисление (inverse evaluation): Определение значения стимула, соответствующего значению отклика на основе использования калибровочной функции.
3.11 прямое вычисление (direct evaluation): Определение значения отклика, соответствующего значению стимула, на основе использования калибровочной функции.
В настоящем стандарте использованы следующие обозначения.
4.1 Величина, значения которой обеспечены эталонами, называется независимой переменной (или стимулом) x, а величина, описываемая значениями, показываемыми измерительной системой, называется зависимой переменной (или откликом) y.
4.2 xi и yi - измеренные значения декартовых координат i-й точки (xi, yi), i = 1,...,m в наборе из m данных калибровки. Часто используют векторные и матричные обозначения. Значения xi и yi обычно представляют в виде векторов, где "T" означает транспонирование:
x = [x1, ..., xm]T, y = [y1, ..., ym]T.
Матрицу или вектор, состоящие из нулей, обозначают 0.
4.3 Истинные значения координат
i-й точки (которые могли бы быть получены при абсолютно точном измерении) обозначены

и

. Измеренные значения точек в декартовых координатах и соответствующие истинные значения, связаны зависимостью:

,
где di и ei - ошибки xi и yi соответственно. Ошибки неизвестны, но часто могут быть определены их оценки.
4.4 Стандартные неопределенности, связанные с xi и yi, обозначают u(xi) и u(yi) соответственно. Ковариацию, связанную с xi и xj, обозначают u(xi, xj). Аналогично, u(yi, yj) - ковариация, связанная с yi и yj.
Примечание - В настоящем стандарте не рассмотрены перекрестные дисперсии u(xi, yj), поскольку не было идентифицировано практическое применение калибровки, в которой установлены перекрестные дисперсии.
4.5 Информация о неопределенности в соответствии с задачей полиномиальной калибровки представлена матрицами
Vx и
Vy, каждая из которых имеет размерность
m x
m. Элементами матрицы являются дисперсии (квадраты стандартных неопределенностей)
u2(
xi) =
u(
xi,
xi) и
u2(
yi) =
u(
yi,
yi) и ковариации
u(
xi,
xj) и
u(
yi,
yj). В
(1) приведена ковариационная матрица, связанная с
x, а в
(2) - ковариационная матрица, связанная с
y:

, (1)

. (2)
В конкретной задаче калибровки любая из матриц Vx и Vy может быть нулевой.
Примечание - Настоящий стандарт касается проблем, в которых u(xi) или u(yi) различны (гетероскедастический случай).
4.6 Если все ковариации u(xi, yj) (i /= j) равны нулю, Vx представляет собой диагональную матрицу:

. (3)
Аналогично для u(yi, yj).
4.7 Элементы ниже основной диагонали симметричной матрицы обычно не отображают (см.
пример ниже)
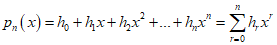
4.8 Полиномиальную калибровочную функцию, связывающую y и x, обозначают pn(x), где n - степень полинома. Полином обозначают pn(x, a), если необходимо указать, что он зависит от n + 1 параметра a = [a0, ..., an]T.
4.9 Оценку величины
q обозначают

. Значения модели, соответствующие точке данных (
xi,
yi), а именно, удовлетворяющие условию

, обозначают

и

.
4.10 Функция, которую минимизируют для определения оценки параметров a полиномиальной функции, называется целевой функцией.
4.11 Несмотря на то, что значения данных в примерах представлены с заданным числом десятичных цифр после запятой, результаты вычислений иногда представляют с большим числом десятичных знаков, например, для сопоставления.
5 Стандарты, использующие полиномиальную калибровочную функцию
Ниже приведены другие стандарты, использующие полиномиальную калибровку.
a) ISO 6143:2006
[23] касается методов сравнения для определения и проверки состава калибровочных газовых смесей. Он содержит положения по определению (и использованию) "функций анализа" данных калибровки. Рассматриваемые функции анализа представляют собой полиномы степеней 1, 2 и 3, представляющие стимул как функцию отклика. Неопределенности допускаются в значениях данных стимула и значениях данных отклика. Ковариации допустимы в данных стимула, но не в данных отклика.
b) ISO 7066-2:1988
[24] охватывает основные методы определения и использования полиномиальных калибровочных функций при измерении расхода жидкости: оценка неопределенности при калибровке и использование приборов для измерения расхода. На языке настоящего стандарта ISO 7066-2:1988 рассматривает стандартные неопределенности, связанные со значениями
y, и обратное вычисление.
c) ISO 11095:1996
[20] касается эталонных материалов с изложением общих принципов, необходимых для калибровки измерительной системы и поддержания этой системы в состоянии статистического управления. Он обеспечивает основной метод оценки линейной калибровочной функции, когда значения стимула точно известны.
d) ISO 11843-2:2000
[21] использует линейные калибровочные функции, когда стандартные неопределенности значений отклика постоянны или линейно зависят от стимула. ISO 11843-5:2008
[22] распространяет положения ISO 11843:2000 на нелинейный случай.
e) ISO/TS 28037:2010
[25] охватывает те же структуры неопределенности, что и настоящий стандарт, и рассматривает линейные калибровочные функции. Настоящий стандарт можно рассматривать как расширение документа ISO/TS 28037 на полиномиальные функции любой степени.
6 Данные калибровки и связанные с ними неопределенности
6.1 Калибровка состоит из двух этапов
(3.6). На первом этапе устанавливают связь между значениями стимула, представляемыми эталонами, и соответствующими значениями отклика, полученными с помощью измерительного прибора. На втором этапе это соотношение используют для определения значений стимула на основе дополнительных значений отклика (обратное вычисление). Соотношение также позволяет определить значение отклика для дополнительного значения стимула (прямое вычисление). В настоящем стандарте упомянутое соотношение имеет форму полиномиальной калибровочной функции, содержащей набор параметров, оценки которых определяют по данным калибровки и связанным с ними неопределенностям.
Примечание - Настоящий стандарт не касается определения математической формы, с помощью которой значение стимула может быть определено точно по значению отклика. Такая форма известна в некоторых областях применения как функция анализа.
6.2 Калибровка измерительной системы должна учитывать приписанные неопределенности данных калибровки и все приписанные ковариации.
6.3 Приемлемая калибровочная функция удовлетворяет статистическому критерию на совместимость с данными калибровки и соответствующими неопределенностями. Во многих случаях она также должна быть монотонной (строго возрастающей или убывающей).
6.4 Для определения значения стимула (или отклика) и стандартной неопределенности, соответствующей заданному значению отклика (или стимула), используют стандартные неопределенности и ковариации, соответствующие оценкам параметров, и информацию о калибровочной функции.
6.5 Любой конкретный набор данных калибровки (xi, yi), i = 1,..., m имеет структуру неопределенности, характерную для этих данных. В одном крайнем случае может быть ничего не известно о неопределенностях и ковариациях, и для выполнения работы необходимы предположения. В другом крайнем случае могут быть заданы все стандартные неопределенности u(xi) и u(yi) и все ковариации u(xi, xj) и u(yi, yj). На практике ситуация обычно находится между этими крайностями.
Примечание - В настоящем стандарте принято предположение, что любая не приписанная неопределенность или ковариация равна нулю.
6.6 Можно выделить следующие пять случаев, первые четыре в порядке возрастания сложности структуры неопределенности. Пятый отличается по своему характеру в том смысле, что информация о неопределенности неизвестна.
a)
Неопределенности данных отклика. Приписаны стандартные неопределенности
u(
yi),
i = 1, ...,
m.
b)
Неопределенности данных и ковариации отклика. Приписаны стандартные неопределенности (см.
6.6 a)) и ковариации
u(
yi,
yj),
i = 1,...,
m,
j = 1,...,
m (
i /=
j).
c)
Неопределенности данных стимула и отклика. Приписаны стандартные неопределенности
u(
yi),
i = 1,...,
m, и
u(
xi),
i = 1,...,
m.
d)
Неопределенности данных и ковариации стимула и отклика. Приписаны стандартные неопределенности (см.
6.6 c)) и ковариации
u(
xi,
xj) и
u(
yi,
yj),
i = 1,...,
m,
j = 1,...,
m (
i /=
j).
e)
Данные о неопределенности отсутствуют.
В случаях
6.6 a) -
6.6 d) приписанные неопределенности и ковариации суммируют как ковариационные матрицы
Vx и
Vy, в зависимости от ситуации, согласно
4.5.
Примечание - Случаи
6.6 a) -
6.6 c) могут рассматриваться как особые случаи
6.6 d), но в вычислительном отношении они менее эффективны.
6.7 Основное различие между данными калибровки с приписанными неопределенностями и данными калибровки с неизвестными неопределенностями, сделанное в настоящем стандарте, заключается в следующем.
a) Для данных калибровки с приписанными неопределенностями и ковариациями [случаи
6.6 a) -
6.6 d)] может быть использована метрика, такая как статистика хи-квадрат
(7.7.1), которая использует неопределенности и ковариации, для принятия решения о том, соответствует ли кандидат калибровочной функции, в настоящем стандарте это полином определенной степени, имеющимся данным. Этот подход предполагает, что информация о неопределенности является достоверной.
b) Для данных калибровки с неизвестными неопределенностями [случай
6.6 e)] статистика хи-квадрат все еще может быть рассчитана для рассматриваемых кандидатов полиномиальных моделей. Предполагается, что ошибки данных переменной отклика являются однородными, а ошибки данных переменной стимула - незначительными. Значение статистики хи-квадрат можно использовать для оценки стандартной неопределенности переменной отклика, а затем применяют положения
пункта 6.7 a).
6.8 Полином выбирают из набора возможных полиномов-кандидатов различной степени в соответствии с подходящим критерием, таким как AIC
(7.7.3). Для некоторых наборов данных с приписанными неопределенностями может не быть подходящего полиномиального (или любого другого гладкого) представления, согласующегося с этой информацией. Для данных на
рисунке 1 a) неопределенности приписаны только значениям
y, вертикальные отрезки представляют стандартную неопределенность +/- 1, а ковариации равны нулю. Небольшие значения стандартных неопределенностей препятствуют получению монотонной функции, согласованной с данными. Для данных на
рисунке 1 b), идентичных данным на
рисунке 1 a), за исключением того, что стандартные неопределенности примерно в три раза больше, подходит монотонный полином низкой степени. Приемлемая калибровочная функция должна быть как монотонной
(7.6), так и статистически адекватной
[30].
a) Статистическая неадекватность
b) Статистическая адекватность
X - стимул (у.е.); Y - отклик (у.е.)
Примечание - Столбики ошибок обозначают стандартную погрешность +/- 1, "у.е." обозначает единицы измерения.
Рисунок 1 - Статистическая неадекватность
и адекватность калибровочной функции
Примечание -
Рисунок 1a), вероятно, относится к неправильной спецификации стандартных неопределенностей, связанных с данными калибровки; их возможное исправление выходит за рамки настоящего стандарта.
6.9 Оценки параметров калибровочной функции зависят от данных калибровки и, кроме случая
6.6 e), приписанных неопределенностей и ковариаций данных. Закон распространения неопределенности (LPU) в соответствии с Руководством ISO/IEC 98-3:2008 (GUM) может быть применен для распространения неопределенностей и ковариаций данных калибровки посредством вычисления параметров калибровочной функции для получения неопределенностей и ковариаций параметров. Когда у стимула нет неопределенности (
9.2,
9.3 и
9.6), распространение дает точный результат, поскольку параметры полиномиальной калибровочной функции линейно зависят от значений переменной отклика и LPU в таких случаях применяется без ошибки аппроксимации (см.
7.2.1). Для других случаев (
9.4 и
9.5) распространение дает приближенный результат и основано на линеаризации оценок параметров. Аппроксимация с помощью линейной функции часто соответствует целям практических задач калибровки.
Примечание - Если линеаризация для этой цели не подходит, например, когда неопределенности значений стимула велики, распространение распределений может быть использовано для определения оценок параметров, неопределенностей и ковариаций. Такой подход (Руководство ISO/IEC 98-3:2008/Доп.2:2011), в котором применяют метод Монте-Карло, не рассмотрен в настоящем стандарте.
6.10 Информация о неопределенности, относящаяся к параметрам калибровочной функции, принимает форму ковариационной матрицы для оценок этих параметров. Эта информация может быть представлена как в виде стандартных неопределенностей, связанных с этими параметрами, так и их корреляционной матрицы (определение
3.4), которая может быть более полезной. Любая форма может быть использована для вычисления стандартной неопределенности в обратных или прямых вычислениях.
6.11 Если калибровочную функцию используют для обратных вычислений
(12.2), применение LPU дает приближенный результат, даже для полиномов первой степени, поскольку при обратном вычислении полином является нелинейным по своим параметрам. При этом приближение, связанное с линеаризацией, часто соответствует цели.
Примечание - Если можно выразить полиномиальную калибровочную функцию как функцию x от y, то определенную полиномиальную калибровочную функцию используют непосредственно, и на этой стадии вычислений нет ошибок линеаризации.
7 Применение полинома в качестве калибровочной функции
7.1 Общие положения
7.1.1 Для данных калибровки в настоящем разделе рассмотрено определение соотношения y = pn(x), описывающего зависимую переменную y как полиномиальную функцию степени n от независимой переменной x.
7.1.2 Если степень
n заранее не известна, что часто бывает, она должна быть определена. В
7.7 показано определение степени, для которой результирующая функция удовлетворяет критериям пригодности.
7.1.3 Информация, используемая для определения полиномиальной калибровочной функции, представляет собой данные калибровки и все неопределенности и ковариации данных калибровки. В настоящем стандарте данные калибровки обозначены (xi, yi), i = 1,...,m, то есть m пар измеренных значений x и y. Также должна быть установлена наивысшая степень nmax полинома, где nmax меньше числа различных значений xi.
Примечание - В приложении D ISO/TS 28037:2010 указано, как неопределенности и ковариации, связанные с измеренными значениями отклика и стимула переменных, могут быть получены в некоторых случаях с интерпретацией этой информации.
7.2 Работа с полиномами
7.2.1 Полином со степенью выше единицы является нелинейным по переменной
x, но линейным по своим параметрам (коэффициентам). Полином степени
n (порядок
n + 1) имеет
n + 1 коэффициент. Его можно записать в мономиальной форме с коэффициентами
h0, ... ,
hn:

. (4)
7.2.2 Функции 1,
x,
x2,...,
xn известны как мономиальные базисные функции для полиномов степени
n. Полином степени 1 - прямая линия, степени 2 - квадратичная функция, степени 3 - кубическая функция и т.д. Причиной обращения к полиномам является то, что для их определения требуется только
n сложений и
n умножений
(7.4).
7.2.3 Полиномы часто подходят для представления гладкой кривой или данных, генерированных на основе гладкой кривой на заданном интервале. Полиномы чрезвычайно гибки: математически полином соответствующей степени может аппроксимировать любую гладкую (непрерывную) кривую с заданной точностью. Полиномы невысокой степени менее подходят для представления кривых с резкими изменениями значений или градиента или для описания эффекта насыщения.
7.2.4 Несмотря на то, что описание полиномиальных функций в мономиальной форме
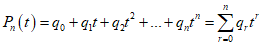
[формула (4)] проясняет их природу, использование этой формы может привести к трудностям при расчетах и интерпретации вклада отдельных членов. Первая трудность заключается в том, что при |
x| >> 1 члены
xr становятся очень большими с увеличением
r. Аналогично, для |
x| << 1 члены
xr становятся очень малыми с увеличением
r. Этот дисбаланс может быть устранен за счет работы с полиномами с нормализованной переменной
t, принимающей значения в интервале [-1,1], которая линейно зависит от
x, таким образом гарантируя, что (преобразованный) полином также имеет степень
n по переменной
t. Если
x принадлежит интервалу [
xmin,
xmax], то

(5)
со всеми степенями принадлежит интервалу [-1,1]. Полином может быть преобразован к виду

(6)
с некоторыми коэффициентами
q0,...,
qn. Вторая трудность связана с тем, что, особенно при больших
r, мономиальная базисная функция
tr+2 выглядит аналогично
tr в интервале [-1,1]. На
рисунке 2 a) изображены мономиальные функции
t2 (верхняя кривая),
t4,
t6 и
t8 (нижняя кривая). Сходство этих базисных функций приводит к плохой обусловленности при определении мономиальных параметров, что означает потерю точности. Эта ситуация быстро ухудшается с увеличением степени, в результате чего потеря точности может стать катастрофической для более высоких степеней полинома. Третья трудность связана с интерпретацией коэффициентов в мономиальной форме калибровочной функции при переходе к исходной переменной, а именно в
формуле (4). Тем не менее, в
формуле (6), мономиальной форме с преобразованной переменной
t, член с
tr вносит вклад со значением от -|
qr | до |
qr |, причем по крайней мере одно из этих значений достигается в конечных точках интервала [-1,1].

a) Мономиальные функции t2, t4, t6 и t8 на интервале [-1, 1]
b) Полиномы Чебышева T2 (t), T3 (t), T4 (t) и T5 (t)
X - независимая переменная t; Y - зависимая переменная
Рисунок 2 - Мономиальные функции и полиномы Чебышева
7.2.5 Существуют другие формы базисных функций, которые имеют даже лучшие свойства, чем
формула (6). Полиномы Чебышева
Tr(
t), используемые в настоящем стандарте, являются одним из таких наборов базисных функций. Они определены повторением на интервале [-1,1] (см.
[6], с. 1):
T0(
t) = 1,
T1(
t) =
t,
Tr(
t) = 2
tTr-1(
t) -
Tr-2(
t),
r >= 2. (7)
Полиномы Чебышева также могут быть определены с помощью тригонометрических соотношений:

. (8)
На
рисунке 2 b) изображена
T2(
t) (с наименьшей периодичностью),
T3(
t),
T4(
t) и
T5(
t) (с наибольшей периодичностью). В целом можно показать, что набор
Tr(
t) приводит к гораздо лучшим результатам, чем
tr. Чебышевское представление полинома степени
n:

. (9)
Примечание - Другой класс базисных функций, предложенный Форсайтом
[16], описан в
[7], где приведен алгоритм для преобразования формы Форсайта в представление Чебышева. Форма Форсайта основана на генерации набора базисных функций, которые ортогональны относительно значений
x. Хотя форма Форсайта обладает превосходными числовыми свойствами, базисные функции Форсайта зависят от значений
x, что делает их использование в сочетании с полиномами из других источников неудобным. Кроме того, форма Форсайта не была обобщена на данные, имеющие неопределенности значений
x или какие-либо ковариации.
7.3 Выбор интервала определения калибровочной функции в обратной задаче
7.3.1 Рассмотрим использование калибровочной функции
pn(
x) для обратного вычисления
(12.2), то есть для определения значения
x0 переменной стимула
x, соответствующего значению
y0 переменной отклика
y, особенно в случае, когда
x0 находится вблизи конца интервала [
xmin,
xmax], на котором определена функция
pn(
x). Предположим, что
pn(
x) строго возрастает на интервале [
xmin,
xmax] (аналогично в случае убывания). Значения
y в конечных точках интервала:
ymin =
pn(
xmin) и
ymax =
pn(
xmax). Для любого значения
y0 из интервала [
ymin,
ymax]
x0 однозначно определяется путем решения уравнения
pn(
x0) =
y0. Однако, поскольку
y0 обладает неопределенностью, это значение может находиться за пределами интервала [
ymin,
ymax], в результате чего
x0 тоже находится за пределами интервала [
xmin,
xmax].
Примечание - При прямом вычислении таких проблем нет.
7.3.2 Существует два способа действий в такой ситуации. Первый - рассматривать значения
y0 только в интервале [
ymin,
ymax], что ограничивает применение калибровочной функции. Второй способ - увеличить интервал, на котором определена калибровочная функция. Одна из возможностей состоит в том, чтобы как можно меньше расширить интервал [min
i xi, max
i xi], например, до

, где

. Подходящий интервал в каждом конкретном случае определяют экспериментальным путем. При выборе подходящего интервала могут быть использованы существующие обоснования (при наличии). Наиболее экстремальный случай возникает, когда градиент калибровочной кривой мал по величине, поскольку небольшое изменение отклика вызывает большое изменение стимула [см. калибровочную функцию оптической плотности пленки на
рисунке 5 b) для значений отклика в окрестности 0,45]. В настоящем стандарте для примеров выбраны подходящие интервалы [
xmin,
xmax].
7.3.3 Интервал [mini xi, maxi xi] должен быть увеличен в наименьшей степени для уменьшения экстраполяции за пределы диапазона данных, что обычно считается небезопасным.
Примечание - В примере с оптической плотностью пленки (см.
7.5.3 и
9.2) использование

не подходит при обратной интерполяции для
y0, близких к
ymax, как определено в
7.3.1 с
u(
y0) = 0,003, но замена 0,1 на 0,15 оказывается удовлетворительной.
7.4 Использование представления Чебышева
7.4.1 Используя полиномы Чебышева и нормализованную переменную
(5), можно применять численно устойчивые полиномиальные функции со степенями от средних до высоких
[2]. Дополнительные преимущества и свойства описаны в
7.4.2 -
7.4.4 и проиллюстрированы в настоящем стандарте.
7.4.2 Представление полинома с помощью полиномов Чебышева
(9) pn(
x,
a) со степенью
n (
n > 0) сводится к определению параметров (коэффициентов)
a = (
a0, ...,
an)
T и границ
xmin и
xmax интервала определения функции. При определении
pn для всех значений
x в интервале [
xmin,
xmax] рекомендуется использовать алгоритм Кленшоу
[5], как показано в
таблице 1. Для сравнения в
таблице 1 так же приведена схема расчетов Хорнера
[19] для мономиальной формы
pn =
h0 +
h1x + ... +
hnxn (см.
7.2.1). Форма Чебышева может быть оценена с применением 2
n сложений (или вычитаний) и
n умножений по сравнению с
n сложениями и
n умножениями в случае мономиальной формы.
Таблица 1
Определение полинома с применением
полиномов Чебышева и мономиальной формы
Шаг | Форма Чебышева | Мономиальная форма |
1 | t = (2x - xmin - xmax)/(xmax - xmin) | |
2 | bn+1 = bn+2 = 0 | gn+1 = 0 |
3 (для r = n, n - 1,...,0) | br = 2tbr+1 - br+2 + ar | gr = xgr+1 + hr |
4 | pn = (b0 - b2 + a0)/2 | pn = g0 |
7.4.3 Для многих полиномиальных калибровочных функций степень полинома обычно не высока, это 1, 2, 3 или 4. Для таких случаев использование мономиального представления
(6) с нормализованной (не исходной) переменной, как правило, является не сложной в вычислительном отношении задачей. Тем не менее, рекомендуется при построении полиномиальной калибровочной функции применять представление Чебышева, особенно если величина калибровочной функции в конечной точке
x интервала, на котором применяют калибровочную функцию, очень велика или очень мала по сравнению с единицей.
7.4.4 Существуют случаи, такие как Международная температурная шкала ITS-90
[13], когда используют опорные функции с относительно высокими степенями, такими как 12 или 15. Для таких функций работа с нормализованной переменной, как в
(5) обеспечивает существенные вычислительные преимущества, а форма Чебышева обеспечивает не только вычислительные преимущества, но также преимущества в управляемости, а иногда и более компактном представлении. Некоторые из этих преимуществ представлены в примере.
Пример - Термоэлектрическое напряжение (на основе [9]).
Мономиальное представление термоэлектрического напряжения
в опорной функции для термопар типа S и температуры по Цельсию T в интервале [-50 °C, 1064,18 °C] приведено в базе данных NIST [1]. Отношения ненулевых коэффициентов наибольшего и наименьшего составляет 1021, коэффициенты вычисляют до 12 значащих десятичных цифр (12S); (предполагалось, что необходима высокая точность). В таблице 2 (столбец "Исходное значение cr") значение cr приведено с пятью значащими цифрами.
Таблица 2
Полиномиальные коэффициенты для термопары типа S
Степень r | | Масштабированное значение  | | |
0 | 0 | 0 | 4,3036 | 4,6391 |
1 | 5,4031x10-3 | 5,7499 | 5,5278 | 5,3711 |
2 | 1,2593x10-5 | 14,2618 | 0,4784 | 0,3706 |
3 | -2,3248x10-8 | -28,0174 | -0,0543 | -0,0729 |
4 | 3,2203x10-11 | 41,3005 | 0,2206 | 0,0371 |
5 | -3,3147x10-14 | -45,2390 | -0,1637 | -0,0130 |
6 | 2,5574x10-17 | 37,1447 | 0,0216 | 0,0022 |
7 | -1,2507x10-20 | -19,3310 | -0,0249 | -0,0004 |
8 | 2,7144x10-24 | 4,4648 | 0,0252 | 0,0002 |
Переменная масштаба
использована в работе ITS-90 в последние годы, где в этом случае B = 1064,18 °C и выходит за правую границу интервала. Затем если
,
. Масштаб предполагает, что вклад r-го слагаемого в сумму ограничен величиной
. Значения E в мВ обычно необходимо определять с тремя знаками после запятой. Соответственно, коэффициенты
приведены в таблице 2 (столбец "Масштабированное значение,
") с четырьмя знаками после запятой, что облегчает проверку. Альтернативно, переменная может быть приведена к интервалу [-1,1] (в ITS-90 не сделано) с использованием формулы (5) для
, xmin = -50 °C и xmax = B. Соответствующие коэффициенты приведены в столбце "Нормализованное значение", а коэффициенты Чебышева в столбце "Форма Чебышева" с четырьмя знаками после запятой. Коэффициенты получены с использованием [7] и [31].
На рисунке 3 изображена опорная функция. Она изгибается очень плавно, но присутствующую нелинейность нельзя игнорировать. Коэффициенты мономиального представления для исходной или масштабированной переменной в таблице 2 не указывают на слегка изогнутую форму. Однако нормализованная форма и форма Чебышева (см. таблицу 2), поскольку первые два коэффициента являются доминирующими, указывают на то, что калибровочная функция имеет заметную линейную (прямолинейную) составляющую. Коэффициенты Чебышева для степеней 8 и, возможно, 7 могут быть заменены на ноль, что приводит к получению полинома с более низкой степенью, поскольку в расчеты они вносят небольшой вклад или вообще не вносят вклада. Такие рассуждения не могут быть непосредственно применены к другим полиномиальным представлениям.
X - температура, T (°C); Y - термоэлектрическое
напряжение, E (мВ)
Рисунок 3 - Соотношение между температурой
и термоэлектрическим напряжением
7.5 Оценка пригодности полиномиальной функции: визуальный контроль
7.5.1 Как и во многих задачах, связанных с анализом данных, важен визуальный контроль функций-кандидатов. Это особенно полезно в задачах калибровки, где доступно ограниченное количество данных. В таких случаях одни только статистические критерии, используемые для оценки функций-кандидатов, часто не обладают достаточной статистической мощностью.
7.5.2 Непосредственным визуальным критерием являются остатки полиномиальной модели-кандидата
pn(
x), то есть отклонения (в направлении
y) модели от данных. При отсутствии ковариации, связанной с
yi, и неопределенности, связанной с
xi, график остатков
ei =
yi -
pn(
xi) как функция
xi может быть информативным. Может быть полезен график, показывающий случайное поведение взвешенных остатков [
yi -
pn(
xi)]/
u(
yi) (как функция
xi). На
рисунке 4 для примера, соответствующего калибровке оптической плотности пленки, рассмотренной в
9.2, показаны взвешенные остатки для полиномиальной функции второй степени
[рисунок 4 a)] и четвертой степени
[рисунок 4 b)]. Остатки для функции второй степени имеют четкую тенденцию в отношении
x, тогда как остатки для функции четвертой степени расположены более случайно.
X - переменная стимула x; Y - взвешенный y-остаток
Примечание - В обоих случаях использованы различные вертикальные шкалы.
Рисунок 4 - Взвешенные
y-остатки для полиномиальной
калибровочной функции оптической плотности пленки
7.5.3 Если данные имеют очень малые неопределенности, на графике может быть трудно увидеть отклонения некоторых моделей-кандидатов от данных, поскольку величины этих отклонений могут быть намного меньше, чем значения отклика. На
рисунке 5 a) показан случай, когда полином первой степени демонстрирует явные отклонения от данных, тогда как
[рисунок 5 b)] для полинома второй степени (и выше) отклонения не столь очевидны. Однако то, что полином второй степени не является обоснованной моделью для данных, становится очевидным при рассмотрении взвешенных
y-остатков, показанных на
рисунке 4 a). Последовательность знаков остатков (отрицательный, положительный, отрицательный, положительный) и относительные величины этих остатков указывают на четкую тенденцию. В таких случаях рекомендуется использовать корректирующий полином для целей визуализации, то есть вычесть полином более низкой степени, чем у полинома-кандидата, а также вычесть значения этого полинома, соответствующие значениям
x, из значений
y. Ожидается, что график полинома и данных, скорректированных таким образом, более наглядно отобразит отклонения.

a) Функция первой степени
b) Функция второй степени
X - переменная стимула x; Y - переменная отклика y
Рисунок 5 - Данные калибровки и полиномиальная модель
для калибровки оптической плотности пленки
7.5.4
Рисунок 6 идентичен
рисунку 5 b), за исключением того, что полином первой степени (на самом деле полином первой степени является подходящим) был вычтен, как указано выше, и видно, что он соответствует
рисунку 4 a).
X - переменная стимула x; Y - переменная отклика y
Рисунок 6 - Данные калибровки и полиномиальная модель
первой степени для калибровки оптической плотности пленки
7.5.5 При наличии ковариаций, связанных с
yi, график трансформированных взвешенных отклонений
Ly-1e по
x может быть информативным. Точно так же, если есть ковариации, связанные с
xi, может быть полезен график трансформированных взвешенных отклонений
Lx-1d по
y. Здесь
Ly и
Lx - нижние треугольные матрицы, заданные факторизациями Холецкого
[18],

и

.
Примечание - Нормирование с помощью стандартных неопределенностей u(ei), связанных с ei, также может быть полезно.
7.6 Оценка пригодности полиномиальной функции: монотонность
7.6.1 Калибровочную функцию часто используют для определения значения стимула по заданному значению отклика или наоборот. В качестве альтернативы, функция, которая должна быть использована для этой цели, может состоять из суммы "опорной" функции и калибровочной функции, например, при использовании Международной температурной шкалы ITS-90
[13] (см. также
пример в 7.4.4). В последнем случае любой критерий проверки монотонности может быть применен к составной функции.
7.6.2 Для использования в качестве калибровочной функции, функция, как правило, должна быть строго монотонной, то есть функция должна строго возрастать или убывать на интервале определения. Это условие необходимо, чтобы гарантировать, что для любого возможного значения отклика существует единственное значение стимула. Простой способ проверки монотонности состоит в том, чтобы оценить калибровочную функцию в точном интервале
x (1000 равномерно расположенных точек, скажем, через одинаковый интервал значений стимула), чтобы увидеть, показывают ли эти значения увеличение или уменьшение. Для случая, когда калибровочная функция является полиномом, в
приложении A приведен более строгий способ проверки монотонности.
Примечание - В особых случаях может быть подходящей немонотонная калибровочная функция. В такой ситуации необходимо установить правило выбора подходящего значения переменной стимула, соответствующего значению переменной отклика и сопроводительной информации.
7.7 Оценка пригодности полиномиальной функции: степень
7.7.1 Степень
n полиномиальной калибровочной функции часто априори неизвестна. Она может быть выбрана путем анализа полиномиальных функций по возрастанию степеней, формирования меры критерия согласия для каждой функции и выбора на основе этих мер подходящей степени полинома. Обычной мерой, когда неопределенности связаны только с
yi [случай
6.6 a)], является статистика хи-квадрат

- сумма квадратов отклонений полинома степени
n от
yi, взвешенная обратно пропорционально квадратам стандартных неопределенностей, связанных со значениями
yi (см.
9.2). Если присутствуют ковариации, связанные с
yi [см.
9.3, случай
6.6 b)], используют модифицированную меру:

, (10)
где

- отклонения от полинома степени
n, соответствующие оценке

параметра
a. Если имеются также неопределенности и, возможно, ковариации, связанные с
xi [случаи
6.6 c) и
6.6 d)], используют дополнительную меру, которая учитывает эти знания (см.
9.4 и
9.5). Иногда используют обозначение

, когда необходимо указать явную зависимость от степени
n.
7.7.2 В настоящем стандарте предполагается, что информация о неопределенности представлена вместе с данными, и, соответственно, единственными оцениваемыми параметрами являются
n + 1 полиномиальный коэффициент. В исключительных случаях, когда информация о неопределенности недоступна, делают соответствующие предположения (см.
9.6). В этом случае также оценивают стандартное отклонение ошибок в значениях
y.
7.7.3 В случае, когда информация о неопределенности доступна, в настоящем стандарте использованы общепринятые критерии выбора модели, в частности, информационный критерий Акаике (AIC), скорректированный AIC (AICc) и байесовский информационный критерий (BIC)
[4], которые применяют, когда можно предполагать, что ошибки данных калибровки подчиняются нормальному распределению, как предполагается в
разделе 9. Для
m точек данных и полиномиальной модели с
n + 1 параметрами эти критерии имеют вид:

(11)
7.7.4 Все три критерия предназначены для того, чтобы сбалансировать правильность выбора и простоту модели. Учитывая число моделей-кандидатов, а именно полиномов со степенями
n = 1, ...,
nmax, для подходящего выбора максимальной степени
nmax, обычно выбирают модель, имеющую наименьшее значение AIC (или AICc или BIC). Некоторые эксперименты
[34] с этими критериями для полиномиального моделирования показали, что выполнение AIC и BIC аналогично, хотя AICc больше подходит для небольших наборов данных. Несмотря на то, что для получения убедительных выводов требуется больше опыта, для практических задач полиномиальной калибровки есть некоторые свидетельства того, что обычно одна и та же степень полинома выбирается по трем критериям, когда все они могут быть использованы. Это касается примеров, приведенных в настоящем стандарте. Тем не менее, поскольку вычисления, связанные с определением значений для всех трех критериев, минимальны, все они могут быть проверены.
Примечание 1 - Значения AIC для различных значений n можно сравнивать между собой, как и значения AICc или BIC. Например, значения AIC нельзя сравнить со значениями BIC.
Примечание 2 - AIC(
n) и BIC(
n), по-видимому, имеют одинаковую дискриминационную мощность для полиномиальных моделей. AICc(
n) обладает большей дискриминационной способностью, но применяется для меньших степеней (для которых
n <=
m - 3), что может быть важно, когда
m (число точек калибровки) мало. Также см.
[8]. См., например,
рисунок 7, объяснение которого дано в
7.7.5 и
7.7.6 и относится к примеру данных об оптической плотности пленки, который подробно рассмотрен в
9.2.
X - полином степени n; Y - скорректированный
информационный критерий
Примечание - Нулевые значения для степени 4 не показаны: см.
7.7.6.
Рисунок 7 - Скорректированные информационные критерии
в зависимости от степени полинома для данных калибровки
оптической плотности пленки
Примечание 3 - Степенями полинома, которые следует учитывать, могут быть nmin, ..., nmax, где nmin - степень, для которой любая более низкая степень считается неадекватной для имеющихся данных калибровки. Возможные причины включают высокую кривизну или крайне нелинейное поведение.
7.7.5 На практике вместо этого может быть использован скорректированный критерий

, где AIC
min - минимум AIC(1), ..., AIC(
nmax). Критерии AICc и BIC могут быть скорректированы аналогичным образом. Поскольку для заданного набора данных AIC
min является константой, скорректированный критерий является просто сдвигом исходного критерия, и поэтому скорректированные значения можно сравнивать так же, как и исходные значения. Пусть
n =
n* при минимальном значении AIC. Тогда
n =
n* является оптимальной степенью по критерию и

.
7.7.6 График значений

относительно
n вместо или в дополнение к таблице их значений, может быть информативным. Если значения

[за исключением

равного нулю], охватывают несколько порядков, полезно построить значения в зависимости от
n в логарифмическом масштабе. В таком случае нуль

находится "вне графика", так как его логарифм равен

. См.
рисунок 7 в качестве примера.
7.7.7 Со статистикой

связан корень среднеквадратичного остатка (RMSR), который применяют для
n <
m - 1:

. (12)
При увеличении n значения RMSR(n) имеют тенденцию сначала уменьшаться, а затем стабилизироваться, когда набор данных калибровки подходит для представления с помощью полинома.
Примечание 1 - Значения RMSR часто уменьшаются еще раз для более высоких степеней, если полиномиальная функция более точно отражает помехи в данных (см. также
[7]).
Примечание 2 -
R2 - статистический показатель, часто используемый на практике, отражающий "долю дисперсии относительно среднего
y-данных, объясненную с помощью выбранной функции"
[33]. Эта мера и некоторые ее обобщения применяют только к простейшим структурам неопределенности, таким как
6.6 a) и
6.6 e), и поэтому она не подходит для общих целей калибровки.
7.7.8 Значения AIC, AICc, BIC и RMSR для
n = 1, ...,
nmax можно использовать для первоначального выбора степени полинома. Хотя RMSR традиционно используют для выбора подходящей степени полинома
[7], может быть трудно решить, для какой степени RMSR должны быть стабилизированы для практических целей, особенно в случае небольших наборов данных, часто используемых при калибровке.
Поэтому, по-возможности, рекомендуется использовать для этой цели один из информационных критериев, который, как правило, дает более четкое решение. Полином, выбранный таким образом, всегда следует дополнительно оценивать на пригодность, используя визуальную проверку (см.
7.5), проверку монотонности (см.
7.6), если это возможно, или, что важно, используя знания о предполагаемом применении.
7.8 Проверка адекватности (валидация) калибровочной функции
7.8.1 Рассмотрим полиномиальную функцию степени
n, выбранную в соответствии с
7.7. В предположении, что данные калибровки представляют собой реализации случайных величин, подчиняющихся нормальному распределению (не обязательно независимых), величина, для которой
формула (10) является реализацией, подчиняется распределению

с
v =
m -
n - 1 степенями свободы. Соответственно, вероятность того, что

превышает конкретный квантиль

, может быть определена. Рекомендуется использовать квантиль уровня 95%.
7.8.2 Если

для степени полинома, указанной одним или несколькими информационными критериями, превышает квантиль уровня 95%, считается, что полиномиальная калибровочная функция не может рассматриваться для описания данных. Более того, такой результат означает, что соответствующие оценки параметров

и соответствующую ковариационную матрицу

следует рассматривать как недостоверные, так же как и все значения и неопределенности, полученные на основе функции (см.
7.9). В таком случае данные и связанные с ними неопределенности следует пересмотреть. В качестве альтернативы и, возможно, дополнительно, могут быть рассмотрены полиномы, имеющие степени, близкие к выбранным с использованием
7.7. Может быть использована калибровочная функция, имеющая другую математическую форму; такое рассмотрение в значительной степени выходит за рамки настоящего стандарта. Полиномы от трансформированной переменной рассмотрены в
11.
7.8.3 Критерий хи-квадрат не различает плохую модель функции и плохую статистическую модель. Может быть полезно графическое представление взвешенных остатков модели и, в случае наличия ненулевых ковариаций, преобразованных взвешенных остатков, (см.
7.5.5).
7.9 Использование калибровочной функции
7.9.1 Калибровочную функцию обычно используют в обратных вычислениях, когда на основе оценки
y и связанной с ней стандартной неопределенности оценивают соответствующее значение
x и связанную с ним стандартную неопределенность (см.
12.2). Калибровочную функцию также иногда используют в прямых вычислениях, когда на основе оценки
x и связанной с ним стандартной неопределенности определяют соответствующее значение
y и вычисляют связанную с ним стандартную неопределенность (см.
12.3). В обоих случаях стандартную неопределенность, связанную с оценкой, определяют с использованием ковариационной матрицы

для

.
7.9.2 Предполагается, что условия измерений, которые выполнялись во время сбора данных калибровки, сохраняются при измерении значения отклика, для которого используют калибровочную функцию и определяют значение стимула. При этом значения отклика часто получают одновременно для ряда значений стимула, соответствующих стандартам, и ряда значений стимула, которые необходимо определить. Примером является иммуноферментный анализ (ИФА)
[15]. Если условия измерений не выполняются, может потребоваться либо новая калибровка, либо соответствующая корректировка для учета всех изменений, таких как дрейф, который мог произойти (все неопределенности также необходимо обработать). Аналогичные замечания справедливы и в случае, когда калибровочную функцию используют для прямых вычислений.
Примечание - Для контроля дрейфа могут быть полезны контрольные карты.
8 Общий подход к определению полиномиальной калибровочной функции
8.1 Даны:
a) точки данных калибровки (xi, yi), i = 1,...,m;
b) неопределенности и ковариации, связанные с xi и yi в зависимости от обстоятельств;
c) максимальная степень nmax рассматриваемого полинома (меньше, чем количество различных значений xi).
8.2 Выполняют следующие действия:
a) определяют
xmin и
xmax, конечные точки интервала стимула (см.
7.3);
b) составляют вектор наблюдений y = [y1, ..., ym]T;
c) формируют ковариационные матрицы
Vx и
Vy в соответствии с
4.5 по мере необходимости из приписанных неопределенностей и ковариаций;
d) для каждой степени полинома n = 1, ..., nmax:
1) формируют расчетную матрицу H размерности m x (n + 1), содержащую n + 1 базисных функций Чебышева для полинома pn(x,a), определяемого в точках t1, ..., tm:

. (13)
2) в зависимости от структуры неопределенности применяют соответствующий алгоритм наименьших квадратов к
H и
y, и
Vx или
Vy или к обоим для определения оценок

параметров полинома
pn(
x,
a) степени
n;
3) определяют ковариационную матрицу

, связанную с

(побочный продукт используемого алгоритма наименьших квадратов);
4) считают

подходящим, если он монотонен на интервале [
xmin,
xmax]; в противном случае считают его неподходящим (см.
7.6). [Этот этап может быть изменен, если калибровочная функция должна быть использована вместе с опорной функцией (см.
7.6.1)];
e) если не существует подходящего полинома, заканчивают процедуру без решения: анализируют данные и представляют информацию о неопределенности; рассматривают альтернативные модели калибровочной функции, такие как полиномы с преобразованной переменной или "сменой ролей" переменных (см.
11);
f) используют один из критериев AIC, AICc и BIC (см.
7.7) для выбора полинома степени
n из набора подходящих полиномов;
g) если

не превышает 95-й процентили

, принимают

в качестве кандидата калибровочной функции; в противном случае отмечают ее как статистически неприемлемую и заканчивают процедуру;
h) кандидата калибровочной функции оценивают на пригодность. Оценка может включать визуальную проверку функции, ее (взвешенных) остатков (см.
7.5) и некоторые специфичные для конкретной области критерии.
Примечание - Во всех примерах, приведенных в настоящем стандарте, выбранный полином является подходящим и удовлетворяет условию
8.2 g).
8.3 Для полинома выбранной степени n определяют:
a)
n + 1 коэффициент в представлении Чебышева

;
b) ковариационную матрицу

, связанную с

.
9 Статистические модели структур неопределенности
9.1 Общие положения
9.1.1 Пусть взаимосвязь между измеренным значением
xi и соответствующим истинным значением

и аналогичным образом взаимосвязь
yi и соответствующим истинным значением

имеет вид

, (14)
или в векторном виде,

,

,
d = [
di, ...,
dm]
T, и
e = [
ei, ...,
em]
T,

. (15)
Предполагается, что векторы d и e являются выборками из совместных нормальных распределений:

. (16)
9.1.2 Предполагается, что неопределенность модели незначительна, то есть полином соответствующей степени способен описывать данные, и в этом случае

можно заменить на

, где

- оценка
a. Проверка этого предположения приведена в
7.8. Модель, рассчитанная по значениям
xi, представляет собой

.
Статистическая модель, применяемая в любом конкретном случае, зависит от структуры неопределенности (см.
6). В
разделе 8 использован общий подход. Единственной частью этого подхода, который зависит от структуры неопределенности, является алгоритм, использованный на
этапе 8.2 d) 2). В
9.2 -
9.6 определена соответствующая формулировка задачи наименьших квадратов для каждой структуры неопределенности в соответствии с
6.6.
9.2 Неопределенности данных отклика
Для случая, когда xi считают точными, yi приписывают стандартные неопределенности, а ковариации, связанные с yi, равны нулю:
Vy = diag[u2(y1),..., u2(ym)]. (17)
Это диагональная матрица с дисперсиями (квадратами стандартных неопределенностей)
u2(
y1), ...,
u2(
ym) на главной диагонали. Оценку

коэффициентов полинома
a определяют путем решения задачи взвешенных наименьших квадратов (WLS)
[17]:

, (18)
где
[17]. Формально решение имеет вид

, (19)
где
H - матрица, установленная в
(13). На практике
задачу (18) следует решать с помощью устойчивых численных методов, не используя
(19) (см.
[11] для примера).
Пример - Оптическая плотность пленки как функция интенсивности оптического поглощения.
Для применения в исследованиях пленок необходимо определить интенсивность поглощения пленкой света. Процедура калибровки пленки состоит из получения измеренных значений чистой оптической плотности (NOD), безразмерной величины, соответствующей приписанным значениям интенсивности оптического поглощения, и получения функции, которая связывает NOD с интенсивностью оптического поглощения пленки, называемой сенситометрической кривой [3]. Значения x (интенсивность поглощения d) назначают в виде точных значений и передают в измерительную систему до освещения пленки. Поскольку неопределенность, связанная с освещением очень мала, неопределенности и все ковариации, связанные с xi, пренебрежимо малы. Каждое значение yi (NOD) имеет соответствующую стандартную неопределенность u(yi), объединяющую несколько неопределенностей, связанных с независимыми воздействиями [3]. Существует незначительная ковариация, связанная со значениями yi. Типичные данные приведены в таблице 3.
Таблица 3
Данные оптического поглощения, плотности пленки
и взвешенные y-остатки для полиномиальной функции степени 4
Интенсивность оптического поглощения, сГр | NOD | u(NOD) | |
0 | 0,0004 | 0,0017 | -0,32 |
65 | 0,0812 | 0,0016 | 0,78 |
130 | 0,1440 | 0,0017 | -0,19 |
195 | 0,1957 | 0,0020 | -1,01 |
260 | 0,2437 | 0,0020 | 0,28 |
325 | 0,2840 | 0,0024 | 0,45 |
390 | 0,3201 | 0,0024 | 0,54 |
455 | 0,3499 | 0,0026 | -0,75 |
520 | 0,3829 | 0,0026 | 0,16 |
585 | 0,4100 | 0,0029 | -0,16 |
650 | 0,4353 | 0,0029 | 0,13 |
715 | 0,4543 | 0,0031 | -0,01 |
Были рассмотрены полиномиальные калибровочные функции со степенями от 1 до 8. На рисунке 8 a) показаны среднеквадратичные остатки RNSR(n), а на рисунке 7 приведены информационные критерии, соответствующие этим степеням. В таблице 4 приведены значения
, AIC(n), AICc(n) и BIC(n) для этих степеней. Сделан вывод, что степень 4 является обоснованным выбором: она дает наименьшее значение для всех трех информационных критериев. Степень 4 также является степенью, для которой среднеквадратичные остатки стабилизируются [рис. 8 a)]. Взвешенные y-остатки для выбранного полинома приведены в колонке 4 таблицы 3. На рисунке 8 b) показаны данные и выбранная калибровочная функция.
a) Значение RMSR(n) для полинома степени n
b) Полиномиальная калибровочная функция степени 4
X - полином степени n; Y - RMSR(n); X' - переменная
стимула x; Y' - переменная отклика y
Рисунок 8 - Соотношение между интенсивностью
оптического поглощения и плотностью пленки
Таблица 4
Наблюдаемые значения хи-квадрат и информационных критериев
для задачи калибровки пленки
Степень n | | AIC | AICc | BIC |
1 | 1836,5 | 1840,5 | 1841,9 | 1841,5 |
2 | 109,5 | 115,5 | 118,5 | 117,0 |
3 | 16,2 | 24,2 | 30,0 | 26,2 |
4 | 3,0 | 13,0 | 23,0 | 15,4 |
5 | 2,7 | 14,7 | 31,5 | 17,6 |
6 | 1,3 | 15,3 | 43,3 | 18,7 |
7 | 1,0 | 17,0 | 65,0 | 20,9 |
8 | 0,8 | 18,8 | 108,8 | 23,2 |
Соответствующие коэффициенты Чебышева приведены в колонке 5 таблицы 5, где приведены коэффициенты Чебышева для полиномов степеней от 1 до 8. Рассматривая коэффициенты в каждой строке таблицы, можно заметить, что они очень стабильны по отношению к степени (по сравнению со случаем мономиальной формы (4)). Стандартные неопределенности u(yi) находятся в диапазоне от 0,0016 до 0,0031 и можно ожидать, что значения пренебрежимо малых коэффициентов Чебышева будут сравнимы с ними по величине или меньше. Из таблицы 5 видно, что для степеней полинома 5 и выше коэффициенты Чебышева действительно пренебрежимо малы, что является еще одним свидетельством того, что степень 4 является приемлемым выбором. (Использование корректирующего полинома более низкой степени для этого примера показано в 7.5.3).
Таблица 5
Коэффициенты Чебышева полиномиальных функций степеней
от 1 до 8 в задаче калибровки пленки
i | Коэффициенты Чебышева ai в полиноме степени |
1 | 2 | 3 | 4 | | 6 | 7 | 8 |
0 | 0,2769 | 0,2497 | 0,2514 | 0,2468 | 0,2470 | 0,2427 | 0,2432 | 0,2511 |
1 | 0,2781 | 0,2604 | 0,2767 | 0,2749 | 0,2769 | 0,2754 | 0,2829 | 0,2850 |
2 | | -0,0570 | -00526 | -0,0608 | -0,0604 | -0,0684 | 0,0673 | -0,0530 |
3 | | | 0,0147 | 0,0128 | 0,0144 | 0,0132 | 0,0193 | 0,0211 |
4 | | | | -0,0064 | -0,0061 | -0,0118 | -0,0111 | -0,0003 |
5 | | | | | 0,0011 | 0,0003 | 0,0042 | 0,0054 |
6 | | | | | | -0,0032 | -0,0027 | 0,0035 |
7 | | | | | | | 0,0018 | 0,0024 |
8 | | | | | | | | 0,0024 |
Стандартные неопределенности параметров и корреляционная матрица размера 5x5 для выбранного полинома приведены в таблице 6.
Таблица 6
Стандартные неопределенности параметров и корреляционная
матрица выбранной полиномиальной функции степени 4
для задачи калибровки пленки
Стандартная неопределенность | Корреляционная матрица |
0,0027 | 1 | 0,4127 | 0,9665 | 0,3839 | 0,9028 |
0,0032 | | 1 | 0,3983 | 0,8898 | 0,2623 |
0,0044 | | | 1 | 0,4133 | 0,9236 |
0,0020 | | | | 1 | 0,3235 |
0,0024 | сим. | | | | 1 |
9.3 Неопределенности и ковариации данных отклика
Рассмотрим случай, когда
xi считают точными, а
yi приписаны стандартные неопределенности и ковариации. Оценки

полиномиальных коэффициентов
a определяют путем решения обобщенной задачи наименьших квадратов (GLS)
[17]:

, (20)
где
Vy - ковариационная матрица для
y = [
y1, ...,
ym]
T в соответствии с
4.5, и

в соответствии с
9.2. Формально решение аналогично
(19), а именно

, (21)
где
H - матрица значений базисных функций
(13), как для решения методом взвешенных наименьших квадратов, но теперь
Vy обычно содержит (ненулевые) ковариации в дополнение к дисперсиям (квадратам стандартных неопределенностей). На практике
задачу (20) следует решать с помощью устойчивых численных методов, а не по
формуле (21) (см.
[11]).
Пример - Калибровка расходомера (по массовому расходу).
Калибровку контроллера массового расхода (MFC), имеющего полный диапазон шкалы 200 SCCM, выполняют путем описания отклика функцией
, где C - коэффициент калибровки, QR - поток, подаваемый MFC (в данном случае MICROGAS), а
- номинальный поток.
Примечание 1 - SCCM - единица измерения массового расхода, показывающая см3мин-1 при стандартных температуре и давлении. В единицах СИ расход выражают в м3с-1.
Примечание 2 - "Коэффициент калибровки" - термин, используемый при измерении расхода. Его не следует путать с параметрами или коэффициентами калибровочной функции.
Целью калибровки является определение функции, на основе которой может быть определена оценка (прямое вычисление) фактического расхода, указываемого прибором, когда установлен определенный номинальный расход, и связанная с ней стандартная неопределенность. Значения отклика в требуемом диапазоне расхода традиционно моделируют с помощью калибровочной функции.

.
(22)
Данные калибровки, состоящие из значений
и соответствующих измеренных значений
для i = 1, ..., 7 приведены в таблице 7. Значения (QN)i рассматривают как не имеющие неопределенности, а ковариационную матрицу
, связанную со значением
, определяют следующим образом. Каждое значение
представляет собой измеренное значение величины Ci, которая зависит от температуры, давления и объема, измеренных на эталонном потоке. Поскольку температура, давление и объем измеряют одними и теми же приборами для каждого значения
, это вносит систематические влияния, которые приводят к корреляции значений
, и вносит наибольший относительный вклад. Случайные воздействия вносит измерительная система, эти воздействия не зависят от i. Следовательно, в соответствующей ковариационной матрице элементы на главной диагонали обусловлены как случайными, так и систематическими воздействиями, а элементы в других местах матрицы обусловлены только систематическими воздействиями. Ковариационная матрица, определенная таким образом, приведена в таблице 8. Соответствующие стандартные неопределенности и корреляционная матрица приведены в таблице 9 и легко интерпретируются.
Таблица 7
Данные калибровки расходомера
| 10 | 20 | 35 | 60 | 90 | 140 | 200 |
| 0,975602 | 1,004602 | 1,012260 | 1,009808 | 1,003021 | 0,995182 | 0,993713 |
Таблица 8
Ковариационная матрица
для данных калибровки расходомера
7,478 | 2,331 | 2,279 | 2,147 | 1,879 | 1,979 | 1,806 |
| 3,396 | 2,251 | 2,120 | 1,856 | 1,955 | 1,783 |
| | 8,082 | 2,073 | 1,815 | 1,911 | 1,744 |
| | | 6,325 | 1,710 | 1,801 | 1,643 |
| | | | 2,846 | 1,576 | 1,438 |
| | | | | 4,820 | 1,514 |
сим. | | | | | | 5,131 |
Таблица 9
Стандартные неопределенности u(yi) и корреляционная
матрица для данных калибровки расходомера
Стандартная неопределенность | Корреляционная матрица |
0,003 | 1 | 0,462 | 0,293 | 0,312 | 0,407 | 0,330 | 0,291 |
0,004 | | 1 | 0,430 | 0,458 | 0,597 | 0,483 | 0,427 |
0,010 | | | 1 | 0,290 | 0,378 | 0,306 | 0,271 |
0,015 | | | | 1 | 0,403 | 0,326 | 0,288 |
0,015 | | | | | 1 | 0,426 | 0,376 |
0,031 | | | | | | 1 | 0,305 |
0,045 | сим. | | | | | | 1 |
Эта зависимость не является прямой полиномиальной моделью из-за наличия в формуле (22) члена
. Однако та же самая модель калибровочной функции калибровки путем умножения на QN может быть представлена в виде полинома

.
(23)
В соответствии с положениями настоящего стандарта функция (23) в свою очередь может быть представлена в форме полиномов Чебышева.
Таким образом, данные
, i = 1, ..., 7, используют для определения полиномиальных калибровочных функций в этой форме. При этом необходимо повторно выразить данную информацию о неопределенности. Поскольку y = xz и значения данных x имеют незначительную неопределенность,
u(yi) = xiu(zi), u(yi, yj) = xixju(zi, zj) (i /= j). (24)
Или в матричной форме D = diag[x1, ..., x7],
Vy = DVzD. (25)
Соответственно, были рассмотрены полиномиальные калибровочные функции со степенями от 1 до 4, причем самая высокая степень использована для проверки адекватности степени 3 в формуле (23). В таблице 10 приведены значения
, AIC(n), AICc(n) и BIC(n) для степеней n от 1 до 4.
Таблица 10
Значения хи-квадрат и информационных критериев
для задачи калибровки расходомера
Степень n | | AIC | AICc | BIC |
1 | 17171,8 | 17175,8 | 17178,8 | 17175,7 |
2 | 3418,2 | 3424,2 | 3432,2 | 3424,0 |
3 | 4,3 | 12,3 | 32,3 | 12,1 |
4 | 4,2 | 14,2 | 74,2 | 13,9 |
Из анализа таблицы 10 следует, что степень 3 является обоснованным выбором, ей соответствует наименьшее значение для всех трех информационных критериев и, таким образом, в данном случае традиционное использование модели (22) приемлемо. Более того, степень n = 3 является приемлемой с точки зрения наблюдаемого значения хи-квадрат, равного 4,3, по сравнению с ожидаемым значением m - n - 1 = 3. Кроме того, график взвешенных остатков (рисунок 9) не указывает на наличие систематической тенденции.
X - переменная стимула x; Y - взвешенный y-остаток
Рисунок 9 - Взвешенные остатки для задачи калибровки
расходомера с использованием полиномиальной
функции степени 3
На рисунке 10 a) показаны данные и выбранная функция калибровки в терминах исходной переменной QN. Выбранная визуально калибровочная функция хорошо отражает данные, хотя на графике появляется минимум (возможно ложный) вблизи значения QN = 180SSCM. Действительно, ожидаемое поведение переменной отклика y/x - горизонтальная асимптота в верхнем конце диапазона калибровки. Предположительно, увеличение разрешения измерительной системы, поставляющей данные калибровки, могло бы свидетельствовать о таком поведении. Дополнительные данные в этой области или другие знания также должны быть информативными в этом отношении. На рисунке 10 b) приведены данные и выбранная полиномиальная функция в терминах переменной отклика QNC. Из рисунка видно, что измененные данные калибровки находятся вблизи прямой линии.
b) Полиномиальная калибровочная функция 
как функция x
X - переменная стимула x; Y - переменная отклика y/x;
Y' - переменная отклика y
Рисунок 10 - Данные калибровки расходомера
и полиномиальная модель
Соответствующие коэффициенты Чебышева для выбранного полинома степени n = 3 приведены в колонке 4 таблицы 11, где приведены коэффициенты Чебышева для степеней от 1 до 4. Первые два коэффициента, которые на два порядка больше, чем коэффициенты для более высокой степени, подтверждают, что калибровочная функция от измененной переменной очень близка к прямой линии. Стандартные неопределенности параметров и корреляционная матрица размера 4x4 для выбранного полинома приведены в таблице 12.
Таблица 11
Коэффициенты Чебышева полиномиальных калибровочных функций
для данных калибровки расходомера
i | Коэффициенты Чебышева ai в полиноме степени |
1 | 2 | 3 | |
0 | 105,201 | 103,932 | 104,370 | 104,365 |
1 | 123,893 | 12,018 | 123,308 | 123,303 |
2 | | -1,449 | -0,646 | -0,657 |
3 | | | 0,732 | 0,725 |
4 | | | | -0,005 |
Таблица 12
Стандартные неопределенности и корреляционная матрица
для выбранной полиномиальной функции степени 3
для данных калибровки расходомера
Стандартная неопределенность | Корреляционная матрица |
0,020 | 1 | 0,931 | 0,630 | 0,368 |
0,033 | | 1 | 0,818 | 0,667 |
0,018 | | | 1 | 0,744 |
0,013 | сим. | | | 1 |
9.4 Неопределенности данных стимула и отклика
9.4.1 Определение полиномиальных калибровочных функций, когда обе переменные
x и
y имеют связанные неопределенности, сложнее, чем когда неопределенностями обладают только значения
y. Если
u(
xi) рассматривают как пренебрежимо малые, значения модели просто задаются путем определения

по
xi, поскольку
xi считаются "истинными значениями"

. Если
u(
xi) не являются пренебрежимо малыми,

рассматривают, как неизвестные и они должны быть оценены вместе с параметрами модели
a.
9.4.2 Для случая, когда имеются стандартные неопределенности, связанные с xi и yi, и все ковариации равны нулю,
Vx = diag[u2(x1),..., u2(xm)],
Vy = diag[u2(y1),..., u2(ym)]. (26)
9.4.3 Оценка

полиномиальных коэффициентов
a (и оценка

) сводится к решению задачи минимизации
[17]

, (27)
где

. (28)
Эта проблема по-разному называется обобщенной регрессией расстояний, суммой наименьших квадратов и ошибками в переменных.
Пример - Анализ природного газа.
При анализе газа процедура калибровки обычно включает измерение серии стандартов (калибрантов) природного газа известного состава с последующим определением для каждого компонента калибранта [32] значений, показанных газоанализатором (строго выраженных через мольную долю вещества). Таким образом, для каждого компонента существует набор долей xi и соответствующих (скорректированных) значений отклика, показанных прибором, yi. Калибровочная Функция обеспечивает связь между показаниями прибора (откликом) и составом калибрантов. Показания прибора и количественные доли компонентов калибранта обладают неопределенностями, которые необходимо учитывать. Данные калибровки и соответствующие стандартные неопределенности для монооксида углерода в азоте приведены в таблице 13.
Таблица 13
Данные и неопределенности для монооксида углерода
x, мкмоль моль-1 | u(x), мкмоль моль-1 | y, у.е. | u(y), у.е. |
10,0070 | 0,0015 | 1,04444 | 0,00112 |
15,0270 | 0,0012 | 1,55685 | 0,00066 |
20,0140 | 0,0018 | 2,06050 | 0,00023 |
35,0140 | 0,0019 | 3,53627 | 0,00039 |
50,0630 | 0,0065 | 4,95992 | 0,00092 |
65,0850 | 0,0075 | 6,32949 | 0,00142 |
80,1080 | 0,0076 | 7,64964 | 0,00264 |
99,9050 | 0,0077 | 9,31978 | 0,00170 |
у.е. - условная единица. |
В таблице 14 приведены коэффициенты Чебышева полиномиальных калибровочных функций со степенями от 1 до 5, представленные обобщенной регрессией расстояния (GDR) по данным анализа газа. В таблице 15 приведены соответствующие наблюдаемые значения хи-квадрат и информационные критерии. В таблице 13 значения x имеют нули в четвертом десятичном знаке, а соответствующие значения u(x) обычно имеют ненулевые значения в этой позиции. Эти нули были подставлены к значениям x при оформлении отчета. Аналогичное замечание можно сделать в отношении значений R и u(R) в таблице 17.
Таблица 14
Коэффициенты Чебышева полиномиальной калибровочной функции
для данных анализа газа
i | Коэффициенты Чебышева ai в полиноме степени |
1 | 2 | 3 | 4 | 5 |
0 | 5,3624 | 5,2175 | 5,2173 | 5,2181 | 5,2170 |
1 | 5,5086 | 5,3743 | 5,3847 | 5,3848 | 5,3800 |
2 | | -0,1981 | -0,1946 | -0,1932 | -0,1954 |
3 | | | 0,0082 | 0,0086 | 0,0046 |
4 | | | | 0,0008 | -0,0009 |
5 | | | | | -0,0016 |
Таблица 15
Наблюдаемые значения хи-квадрат и информационных
критериев для задачи калибровки анализа газа
Степень n | | AIC | AICc | BIC |
1 | 52179,5 | 52183,5 | 52185,9 | 52183,6 |
2 | 46,6 | 52,6 | 58,6 | 52,8 |
3 | 1,2 | 9,2 | 22,5 | 9,5 |
4 | 0,9 | 10,9 | 40,9 | 11,3 |
5 | 0,4 | 12,4 | 96,4 | 12,9 |
В соответствии с информационными критериями (таблица 15) соответствующая степень полиномиальной калибровочной функции равна трем (n = 3). Для этой степени на рисунке 11 a) показаны данные анализа газа и полиномиальная функция, полученная с помощью GDR. На первый взгляд, кубическая функция кажется близкой к линейной, и данные, похоже, лежат на этой функции. Отрезки "ошибок", если их нарисовать, будут слишком короткими, чтобы их можно было различить. На рисунке 11 b) показаны данные и полиномиальная функция третьей степени после того, как данные и функция были скорректированы полиномом первой степени, полученным с помощью GDR (в 7.5.3 описано значение изображения калибровочных функций таким способом). Нарисованные отрезки ошибок (при их изображении) теперь легко заметны в направлении y на этой шкале, а в направлении x - нет.
a) Линия регрессии, полученная с помощью GDR
b) Исходные данные и функция, скорректированная
полиномом степени 1
X - переменная стимула x; Y - переменная отклика y
Рисунок 11 - Данные анализа газа и полиномиальная
калибровочная функция третьей степени
На рисунке 12 a) показаны взвешенные x-остатки, а на рисунке 12 b) взвешенные y-остатки, соответствующие выбранной полиномиальной функции степени 3.
X - переменная отклика y; Y - взвешенный x-остаток;
X' - переменная стимула x; Y' - взвешенный y-остаток
Рисунок 12 - Взвешенные остатки для данных калибровки
анализа газа и полиномиальной функции степени 3
Величины взвешенных остатков, показанные на рисунке 12 для полиномиальной функции третьей степени, меньше ожидаемых. Поскольку существует 2m данных и m + n + 1 регулируемых параметров, ожидаемое значение суммы квадратов взвешенных отклонений составляет 2m - (m + n + 1) = 4, тогда как наблюдаемое значение хи-квадрат равно 1,2, что указывает на то, что фактически для обеих переменных для приписанных неопределенностей могут быть определены гарантированные оценки (с запасом). Такое замечание также сделано в [32].
Стандартные неопределенности параметров и корреляционная матрица размерности 4x4 для данного полинома приведены в таблице 16.
Таблица 16
Стандартные неопределенности и корреляционная матрица
выбранной полиномиальной функции третьей степени
для калибровочной функции анализа газа
Стандартная неопределенность | Корреляционная матрица |
0,00078 | 1 | 0,479 | 0,668 | -0,023 |
0,00186 | | 1 | 0,686 | 0,828 |
0,00100 | | | 1 | 0,513 |
0,00122 | сим. | | | 1 |
9.5 Неопределенности и ковариации данных стимула и отклика
Для данных
x и
y и связанных с ними ковариационных матриц
Vx и
Vy оценка

коэффициентов полинома
a (и оценка

) являются решением задачи поиска минимума:

, (29)
где

и

. Эта форма задачи наименьших квадратов также относится к обобщенной регрессии расстояний.
ПРИМЕР - Калибровка термометра сопротивления.
Калибровка платинового термометра сопротивления Pt100 включает помещение термометра в термостат при температурах t1, ..., tm
, измеренных эталонным термометром, измерение соответствующих m значений отклика, а именно сопротивлений R1, ..., Rm
, и сопоставление их с известной эталонной мерой сопротивления. При этом учитываются стандартные неопределенности u(ti), связанные с ti, и стандартные неопределенности u(Ri), связанные с Ri. Приведены коэффициенты корреляции r(ti, tj) между всеми парами значений температуры и коэффициенты корреляции r(Ri, Rj) между всеми парами значений сопротивления. Необходимо определить полиномиальную калибровочную функцию, связывающую температуру t и сопротивление R термометра сопротивления.
В таблице 17 приведены данные калибровки и связанные с ними стандартные неопределенности в случае, когда m = 5 и где пятое значение температуры номинально идентично первому [28]. Коэффициенты корреляции, связанные со всеми парами ti, приняты по совету эксперта равными 0,9, как и коэффициенты корреляции, связанные со всеми парами Ri. Таким образом, ковариационная матрица Vt, связанная с t, имеет диагональные элементы u2(ti) и недиагональные элементы 0,9u(ti)u(tj). Ковариационная матрица VR построена аналогично.
Таблица 17
Измеренные значения температуры и сопротивления
и связанные с ними стандартные неопределенности [28]
t, °C | u(t), °C | R, Ом | u(R), Ом |
0,000 | 0,005 | 99,96650 | 0,00025 |
14,998 | 0,005 | 105,80750 | 0,00025 |
19,999 | 0,005 | 107,74890 | 0,00025 |
24,998 | 0,005 | 109,68870 | 0,00025 |
0,000 | 0,005 | 99,96650 | 0,00025 |
В таблице 18 приведены коэффициенты Чебышева, полученные при решении задачи (29) для полиномов степеней от 1 до 3.
Таблица 18
Коэффициенты Чебышева полиномиальных функций
для данных термометра сопротивления
i | Коэффициенты Чебышева ai в полиноме степени |
1 | 2 | 3 |
0 | 104,8301 | 104,8287 | 104,8290 |
1 | 6,3212 | 6,3193 | 6,3207 |
2 | | -0,0068 | -0,0076 |
3 | | | 0,0020 |
В таблице 19 показаны соответствующие значения хи-квадрат и информационных критериев. Для AICc не указано значение для степени 3, поскольку этот критерий действителен только для степеней m >= n + 3 (см. 7.7.4). В соответствии со значениями AIC и BIC, приведенными в таблице 19, соответствующая степень полиномиальной калибровочной функции будет равна n = 2. Для этой степени на рисунке 13 a) показаны данные калибровки термометра и полученная полиномиальная функция, а на рисунке 13 b) эта модель и данные после корректировки полиномом степени 1.
Таблица 19
Наблюдаемые значения хи-квадрат и информационных критериев
для задачи калибровки термометра сопротивления
Степень n | | AIC | AICc | BIC |
1 | 119,4 | 123,4 | 129,4 | 122,6 |
2 | 1,4 | 7,4 | 31,4 | 6,2 |
3 | 0,0 | 8,0 | | 6,4 |
a) Полиномиальная функция степени 2
b) Исходные данные и функция, скорректированная полиномом
степени 1
X - переменная стимула x; Y - переменная отклика y
Рисунок 13 - Данные калибровки термометра
и полиномиальные функции калибровки
На рисунке 14 показаны взвешенные x-остатки и y-остатки для полиномиальной функции степени 2. Поскольку все взвешенные остатки имеют величину, значительно меньше единицы, может показаться, что представленные значения стандартных неопределенностей являются завышенными. Стандартные неопределенности параметров и корреляционная матрица размерности 3x3 для полиномиальной функции приведены в таблице 20.
a) По переменной x
b) По переменной y
X - переменная отклика y; Y - взвешенный x-остаток;
X' - переменная стимула x; Y' - взвешенный y-остаток
Рисунок 14 - Взвешенные остатки для данных калибровки
термометра с полиномиальной функцией степени 2
Таблица 20
Стандартные неопределенности и корреляционная матрица
выбранной полиномиальной функции степени 2 в задаче
калибровки термометра сопротивления
Стандартная неопределенность | Корреляционная матрица |
0,00189 | 1 | 0,015 | 0,068 |
0,00047 | | 1 | 0,3808 |
0,00063 | сим. | | 1 |
9.6 Неизвестные неопределенности данных
9.6.1 Случай, когда неопределенности данных неизвестны, является исключительным в том смысле, что требуется иной подход в отличие от ситуаций, в которых доступна информация о неопределенности данных. При отсутствии информации о неопределенности данных, необходимо сделать дополнительные предположения. В настоящем стандарте предполагается, что (a) xi являются точными, то есть они не имеют неопределенности, и (b) yi имеют независимые и одинаково распределенные ошибки

(30)
с неизвестной дисперсией

.
9.6.2 Для конкретного полинома степени
n оценки

параметров
a определяют обычным методом наименьших квадратов (OLS)
[17], в котором минимизируют
eTe, сумму квадратов
ei. Затем из полученных остатков

формируют

:

, (31)

. (32)
9.6.3 Использование
формулы (31) для оценки

равносильно решению задачи

, (33)
где

. Решение этой задачи идентично поиску минимума
eTe.
9.6.4 Выбор степени полинома выполняют, например, путем анализа значений RMSR для последовательности значений
n. Значения RMSR в этом случае являются оценками

. Затем
u(
yi) устанавливают равными

и применяют указания в соответствии с
9.2.
Примечание - Этот способ не следует применять, если информация о неопределенности данных калибровки доступна.
Пример - Количественное определение содержания по изотопам.
В количественном определении содержания по изотопам измеряемой величиной является количественное изотопное соотношение исследуемого вещества (аналита) в "неизвестной" пробе. Это соотношение вычисляют с использованием калибровочной функции, устанавливающей связь между количественным изотопным соотношением и массовым соотношением, определенным по набору данных, состоящему из нескольких пар значений. Каждая пара соответствует "известной" пробе, для которой значение RAB изотопного соотношения смеси, соответствует значению q массового соотношения аналита A и помеченного изотопом внутреннего стандарта B [29].
В таблице 21 приведены данные пяти калибровочных точек (xi, yi), также указанных на рисунке 15, где x соответствует массовому соотношению q, а y - количественному изотопному соотношению RAB. Поскольку информация о неопределенности не была представлена, использован подход данного подпункта настоящего стандарта.
Таблица 21
| 0,000 | 0,512 | 1,024 | 1,598 | 2,078 |
| 0,064 | 0,166 | 0,247 | 0,321 | 0,371 |
Рассмотрены полиномиальные калибровочные функции со степенями от 1 до 3. Полученные значения RMSR или
для этих степеней соответственно равны 1,27, 0,0135 и 0,000059. Выбрана вторая степень с
. Значение
слишком мало, в этом случае полиномиальная функция реагирует на шум в данных.
На рисунке 15 b) показана выбранная полиномиальная калибровочная функция второй степени. В отличие от нее на рисунке 15 a) показана полиномиальная калибровочная функция первой степени, где отчетливо видна тенденция отклонений данных от модели. Коэффициенты Чебышева полиномиальной функции второй степени приведены в таблице 22.
X - переменная стимула x; Y - переменная отклика y
Рисунок 15 - Данные разведения изотопов и полиномиальная
калибровочная функция
Таблица 22
Коэффициенты Чебышева полиномиальной функции второй степени
для задачи калибровки изотопного разведения
Степень | Коэффициенты Чебышева |
0 | 0,2225 |
1 | 0,1984 |
2 | -0,0271 |
Стандартные неопределенности параметров и корреляционная матрица размерности 3x3 для выбранного полинома приведены в таблице 23.
Таблица 23
Стандартные неопределенности и корреляционная матрица
выбранной полиномиальной функции второй степени в задаче
калибровки изотопного разведения
Стандартная неопределенность | Корреляционная матрица |
0,00778 | 1 | -0,0110 | 0,6308 |
0,01100 | | 1 | -0,0115 |
0,01235 | сим. | | 1 |
10 Полиномы, удовлетворяющие заданным условиям
10.1 Может потребоваться, чтобы полиномиальная калибровочная функция проходила через начало координат или через установленную точку с заданным градиентом или удовлетворяла другим условиям в отношении ее производных. Условия, рассмотренные в настоящем стандарте, заключаются в том, что при каждом из нескольких указанных значений x полином должен принимать оговоренное значение, а заданное количество (которое может быть нулем) основных производных полинома принимает установленные значения.
10.2 Пусть

- полином низшей степени, однозначно удовлетворяющий установленным условиям. Пусть
v(
x) - "обнуляющий" полином, который (i) принимает нулевое значение при установленных значениях
x и (ii), если существует некоторое количество основных производных, значения которых определены для некоторых или всех значений
x, эти соответствующие производные принимают равными нулю в этих точках. Тогда полиномиальная калибровочная функция принимает вид
[7]

. (34)
Степень полученного полинома равна n + nv, где nv - степень полинома v. Затем определяют измененные значения y и вместо базисных функций Tr(t) используют v(x)Tr(t):

,
i = 1,...,
m. (35)
Затем выполняют вычисления в соответствии с
9.2 -
9.6, в зависимости от ситуации.
ПРИМЕР 1 - Полиномиальная калибровочная функция, проходящая через начало координат.
Необходимо, чтобы полиномиальная калибровочная функция проходила через начало координат. Таким образом
, v(x) = x.
ПРИМЕР 2 - Полином, удовлетворяющий простым условиям в точках x = 0 и x = 10.
Необходимо, чтобы полиномиальная калибровочная функция проходила через начало координат и имела там первую производную, равную нулю, а при x = 10 принимала значение 3. Соответственно,
, v(x) = x2(x - 10).
11 Преобразование и "смена ролей" переменных
11.1 Иногда полиномы (умеренной степени) с "естественной" переменной x неадекватны в качестве калибровочных функций. В таком случае могут быть использованы другие функции, возможно, нелинейные по параметрам. Ниже рассмотрены класс калибровочных функций, который ограничен, но к которому применимы положения предыдущих разделов настоящего стандарта. Также рассмотрена "смена ролей" переменных, которая может быть полезна в некоторых случаях. Во всех случаях необходимо соответствующим образом преобразовать заданную информацию о неопределенности.
11.2 Когда имеются знания о функциональной связи данных калибровки, возможно полученные из самих данных, можно рассматривать преобразования независимой или зависимой переменных, либо и той и другой, чтобы сделать калибровочную функцию более поддающейся представлению полиномом. Такие преобразования могут быть полезны, когда функция в одной области радикально отличается от функции в другой области.
11.3 Преобразование независимой переменной x может быть выполнено до вычисления кандидата полиномиальной калибровочной функции:

, (36)
где

- строго монотонная функция
x. Примерами

являются

, (37)
где

- заданная константа. Тогда калибровочная функция, как правило, больше не является функцией исходной переменной
x, а становится функцией преобразованной переменной

. Преимущество тщательно подобранной функции преобразования состоит в том, что может быть использован полином более низкой степени, который более адекватно описывает данные калибровки.
ПРИМЕР - Резко возрастающая калибровочная функция.
Например, резкий рост или снижение в левом конце интервала изменений x можно лучше обработать, построив полиномиальную калибровочную функцию с помощью преобразования
для некоторого подходящего значения константы
.
11.4 Зависимую переменную также можно преобразовать, если это выгодно:

, (38)
где

- строго монотонная функция
y.
11.5 Значения данных xi и yi до вычисления кандидата полиномиальной калибровочной функции преобразуют соответствующим образом:

. (39)
Если установлены стандартные неопределенности u(xi) или u(yi), необходимо получить соответствующие стандартные неопределенности преобразованных переменных:

. (40)
Если ковариационная матрица
Vx, связанная с
xi, представлена путем применения Руководства ISO/IEC 98-3:2008/доп.2:2011, ковариационная матрица, соответствующая

, имеет вид

, (41)
где
D - диагональная матрица размерности
m x
m с
i-м диагональным элементом, равным значению

в точке
xi. Аналогичное утверждение относится к

.
11.6 В исключительном случае, когда информация о неопределенности не представлена
(9.6), значение
u(
yi) принимают равным константе, преобразованная стандартная неопределенность, связанная с

, должна быть выбрана пропорциональной значению

в точке
yi.
11.7 Иногда рассмотрение стимула в качестве отклика, а отклика в качестве стимула может сделать калибровочную функцию более поддающейся представлению полиномом. Структура неопределенности меняется соответственно. Предположим, что задача полиномиальной калибровки имеет структуру неопределенности, в которой значения
xi считают точными, а значения
yi имеют связанные неопределенности и, возможно, ковариации. Эта задача может быть решена с помощью WLS или GLS (
9.2,
9.3). После смены ролей
x и
y в новой задаче
y имеет точные значения, а значениям
x приписаны связанные неопределенности, такая задача может быть решена с помощью GDR (
9.4,
9.5). Для задач с неизвестными неопределенностями данных, рассмотрение
9.6 применяют до и после смены переменных.
11.8 Возможное преимущество работы со "сменой ролей" переменных состоит в том, что стимул выражается явно в виде полинома от переменной отклика, что облегчает прямое использование определенной калибровочной функции для определения значений стимула, соответствующих заданным значениям отклика.
12 Использование полиномиальной калибровочной функции
12.1 Общие положения
В данном разделе рассмотрено использование полиномиальной калибровочной функции для обратных и прямых вычислений и определения связанной стандартной неопределенности.
12.2.1 Вычисленную полиномиальную калибровочную функцию

используют для определения значения
x0 стимула
x, соответствующего заданному значению
y0 отклика
y. Также определяют стандартную неопределенность
u(
x0) для
x0 при заданной стандартной неопределенности
u(
y0) для
y0. Неопределенность
u(
x0) также зависит от ковариационной матрицы

расчетных параметров калибровочной функции

. Предполагается, что
y0 не входит в данные, используемые для определения калибровочной функции.

. (42)
Если значение
y0 находится между значениями

и

, то значение
x0 будет находиться между
xmin и
xmax. Монотонность гарантирует, что существует не более одного решения этого уравнения. Поскольку в точке
x0 F(
x) = 0, могут быть использованы признанные итеративные методы поиска нуля функции
[10],
[14].
Примечание - Метод деления пополам - простой и надежный итеративный метод: в каждой итерации интервал, содержащий нуль функции, делят пополам. За начальный интервал может быть принят интервал [xmin, xmax]. При делении пополам после десяти итераций длина интервала, содержащего x0, составляет приблизительно (xmin - xmax)/103, а после двадцати итераций - приблизительно (xmax - xmin)/106.
12.2.3 В отношении распространения неопределенности,
формулу (42) рассматривают как неявную одномерную модель измерения (см. Руководство ISO/IEC 98-3:2008/доп. 2:2011 и
[12]), имеющую входные величины
y0 и

и единственную выходную величину
x0. В соответствии с законом распространения неопределенности (выводом см. в
приложении B)

, (43)
где

, (44)

(45)
и
g = [T0(t0),..., Tn(t0)]T. (46)
ПРИМЕР - Обратное вычисление на примере оптического поглощения пленки.
Рассмотрим обратное вычисление на примере оптического поглощения пленки (см. 9.2). Предположим, что в качестве отклика измерено значение NOD y0 = 0,3905 со связанной стандартной неопределенностью 0,0027. Решение уравнения (42) для x = x0 с использованием этого значения y0 дает соответствующее значение интенсивности оптического поглощения 538,0 сГр. Использование формулы (43) с полученной ковариационной матрицей
дает связанную стандартную неопределенность u(x0) = 7,1 сГр.
12.3.1 Вычисленную полиномиальную калибровочную функцию

используют для определения значения
y0 переменной отклика
y, соответствующего заданному значению
x0 переменной стимула
x. Также определяют стандартную неопределенность
u(
y0) для
y0 при заданной стандартной неопределенности
u(
x0) для
x0. В дополнение к ее зависимости от
u(
x0),
u(
y0) зависит от ковариационной матрицы

расчетных параметров калибровки

. Предполагается, что
x0 не входит в данные, используемые для определения калибровочной функции.
12.3.2 Значение
y0, соответствующее значению стимула
x0, определяют путем прямого вычисления, используя процедуру, приведенную в
таблице 1 (см.
7.4):

. (47)
12.3.3 При применении LPU стандартная неопределенность
u(
y0), связанная с
y0, при использовании обозначений, примененных в
12.2.3, имеет вид

. (48)
ПРИМЕР - Прямое вычисление на примере калибровки расходомера.
Рассмотрим прямое вычисление на примере калибровки расходомера из 9.3. После калибровки пусть
- измеренный калибровочный коэффициент, соответствующий номинальному расходу (QN)0.
Тогда оценка расхода, показанная прибором, имеет вид
со связанной неопределенностью
, где
можно получить, применив LPU к модели калибровки. Предположим, что номинальное значение потока (стимула) равно
, для которого связанная стандартная неопределенность и
равна нулю. Использование формулы (47) для этого значения x дает соответствующее значение y0 для y, так как
равно 85,357 SCCM, то
. Использование формулы (48) с полученной ковариационной матрицей
(см. таблицу 12) дает стандартную неопределенность, связанную с
, из которой u(x0) = u(QN) = 0,000157 SCCM.
(справочное)
ПРОВЕРКА МОНОТОННОСТИ ПОЛИНОМА
Рассмотрим полином

, пригодность которого в качестве калибровочной функции рассмотрена в
7.6. Первая производная

от
Pn(
t,
a) может быть представлена в виде ряда Чебышева:

. (A.1)
br получены из
ar с использованием рекуррентного соотношения (см.
[6], с. 11)
bn = bn-1 = 0, br = br+2 + 2(r + 1)ar+1,
r = n - 1,...,0. (A.2)
Для
pn(
x,
a) монотонного в [
xmin,
xmax] или, что эквивалентно, для
Pn(
t,
a), монотонного в [-1,1],
Qn-1(
t,
b) не должна иметь нулевые значения в этом интервале. Нули полинома
Qn-1(
t,
b) являются собственными значениями коллегиальной матрицы (см.
[31], с. 134) размерности (
n - 1) x (
n - 1), в которой все остальные члены равны нулю:

. (A.3)
Эта матрица может быть составлена непосредственно, для получения ее собственных значений, которые затем могут быть проверены на принадлежность интервалу [-1,1], и (в этом случае соответствующий полином является подходящим) может быть использовано стандартное программное обеспечение. До применения статистического критерия в соответствии с
7.7 полином-кандидат, который не является монотонным на интервале [-1,1], как правило, должен быть признан неподходящим и не должен далее рассматриваться. Исключением является ситуация, когда полученный полином является полиномом коррекции для увеличения опорной функции и получения монотонной калибровочной функции
(7.6).
(справочное)
СТАНДАРТНАЯ НЕОПРЕДЕЛЕННОСТЬ В ОБРАТНОМ ВЫЧИСЛЕНИИ
В данном приложении выведена
формула (43) (см. 12.2.3) для стандартной неопределенности в обратном вычислении. Для заданных коэффициентов Чебышева

и заданного значения отклика
y0, уравнение полинома решают для
x0, как в
12.2:

, (B.1)
где

. (B.2)
Зная ковариационную матрицу

и учитывая стандартную неопределенность
u(
y0), связанную с
y0, стандартную неопределенность
u(
x0), связанную с
x0, можно определить следующим образом. Уравнение
y0 -
Pn(
t0,
a) = 0 является неявной моделью измерения (см. Руководство ISO/IEC 98-3:2008/доп.2:2011) с частными производными, полученными в соответствии с
формулой (9):

. (B.3)
Дальнейшее использование этой формулы дает

. (B.4)
Применяя обобщенный закон распространения неопределенности (см. Руководство ISO/IEC 98-3:2008/доп.2:2011), где переменная xT соответствует [y0,aT]T и y соответствуют x0, матрица чувствительности размерности 1 x (n + 2) для [y0,aT]T имеет вид

, (B.5)
а матрица чувствительности размерности 1 x 1 (скаляр) для x0 имеет вид

. (B.6)
Таким образом, матрица чувствительности размерности 1 x (n + 2) (см. Руководство ISO/IEC 98-3:2008/доп.2:2011) имеет вид

. (B.7)
Следовательно, используя для ковариационной матрицы размерности (
n + 2) x (
n + 2), связанной с

, обозначение

можно вывести стандартную неопределенность
u(
x0), связанную с
x0 (используя Руководство ISO/IEC 98-3:2008/доп.2:2011):

. (B.8)
(справочное)
СВЕДЕНИЯ О СООТВЕТСТВИИ ССЫЛОЧНЫХ МЕЖДУНАРОДНЫХ СТАНДАРТОВ
МЕЖГОСУДАРСТВЕННЫМ СТАНДАРТАМ
Таблица ДА.1
Обозначение ссылочного международного стандарта | Степень соответствия | Обозначение и наименование соответствующего межгосударственного стандарта |
ISO/IEC Guide 98-3:2008 | IDT | ГОСТ 34100.3-2017/ISO/IEC Guide 98-3:2008 "Неопределенность измерения. Часть 3. Руководство по выражению неопределенности измерения" |
ISO/IEC Guide 99:2007 | - | Руководство включает текст на русском языке |
Примечание - В настоящей таблице использовано следующее условное обозначение степени соответствия стандарта: - IDT - идентичный стандарт. |
| http://srdata.nist.gov/its90/download/allcoeff.tab |
| Barker, R.M., Cox, M.G., Forbes, A.B. and Harris, P.M. SSfM Best Practice Guide No. 4. Discrete modelling and experimental data analysis. Tech. rep., National Physical Laboratory, Teddington, UK, 2007 |
| Bouchard, H., Lacroix, F., Beaudoin, G., Carrier, J.-F. and Kawrakow, I. On the characterization and uncertainty analysis of radiochromic film dosimetry. Med. Phys. 36, 6 (2009), 1931 - 1946 |
| Burnham, K.P., and Anderson, D.R. Model Selection and Multimodel Inference: A Practical Information-Theoretic Approach 2nd edn. New York: Springer, 2002 |
| Clenshaw, C.W. A note on the summation of Chebyshev series. Math. Tab. Wash. 9 (1955), 118 - 120 |
| Clenshaw, C.W. Mathematical Tables Volume 5. Chebyshev Series for Mathematical Functions. Her Majesty's Stationery Office, 1962 |
| Clenshaw, C.W., and Hayes, J.G. Curve and surface fitting. J. Inst. Math. Appl. 1 (1965), 164 - 183 |
| Comtet, L. Bonferroni Inequalities - Advanced Combinatorics: The Art of Finite and Infinite Expansions. Reidel, Dordrecht, Netherlands, 1974 |
| Cox, M., and Harris, P. Polynomial calibration functions revisited: numerical and statistical issues. F. Pavese, A. Forbes, A. Chunovkina, W. Bremser, and N. Fischer, Eds., vol. Advanced Mathematical and Computational Tools in Metrology X of Series on Advances in Mathematics for Applied Sciences, World Scientific, pp. 9 - 16 |
| Cox, M.G. A bracketing technique for computing a zero of a function. Comput. J. 13 (1970), 101 - 102 |
| Cox, M.G., Forbes, A.B., Harris, P.M., and Smith, I.M. The classification and solution of regression problems for calibration. Tech. Rep. CMSC 24/03, National Physical Laboratory, Teddington, UK, 2003 |
| Cox, M.G., and Harris, P.M. SSfM Best Practice Guide No. 6, Uncertainty evaluation. Tech. Rep. MS 6, National Physical Laboratory, Teddington, UK, 2010 |
| Crovini, L., Jung, H.J., Kemp, R.C., Ling, S.K., Mangum, B.W., and Sakurai, H. The platinum resistance thermometer range of the international temperature scale of 1990. Metrologia 28, 4 (1991), 317 |
| Dekker, T.J. Finding a zero by means of successive linear interpolation. In Constructive Aspects of the Fundamental Theorem of Algebra (London, 1969), B. Dejon and P. Henrici, Eds., Wiley Interscience |
| Engvall, E., and Perlmann, P. Enzyme-linked immunosorbent assay (ELISA) quantitative assay of immunoglobulin g. Immunochemistry 8, 9 (Sep 1971), 871 - 874 |
| Forsythe, G.E. Generation and use of orthogonal polynomials for data-fitting with a digital computer. J. Soc. Indust. Appl. Math. 5 (1957), 74 - 88 |
| Gill, P.E., Murray, W., and Wright, M.H. Practical Optimization. Academic Press, London, 1981 |
| Golub, G.H., and Van Loan, C.F. Matrix Computations. Johns Hopkins University Press, Baltimore, MD, USA, 1996. Third edition |
| Higham, N.J. Accuracy and Stability of Numerical Algorithms. SIAM, Philadelphia, 1996 |
| ISO 11095:1996, Linear calibration using reference materials |
| ISO 11843-2, Capability of detection - Part 2: Methodology in the linear calibration case (Способность обнаружения. Часть 2. Методология в случае линейной калибровки) |
| ISO 11843-5, Capability of detection - Part 5: Methodology in the linear and non-linear calibration cases |
| ISO 6143:2006, Gas analysis - Comparison methods for determining and checking the composition of calibration gas mixtures (Газовый анализ. Методы сравнения для определения и проверки состава калибровочных газовых смесей) <*> |
| ISO 7066-2:1988, Assessment of uncertainty in the calibration and use of flow measurement devices - Part 2: Non-linear calibration relationships |
| ISO/TS 28037:2010, Determination and use of straight-line calibration functions |
[26] | ISO/IEC Guide 98-3:2008, Uncertainty of measurement - Part 3: Guide to the expression of uncertainty in measurement (GUM:1995) Supplement 1:2008 - Propagation of distributions using a Monte Carlo method (Неопределенность измерения. Часть 3. Руководство по выражению неопределенности измерения (GUM:1995) Дополнение 1:2008 - Трансформирование распределений с использованием метода Монте-Карло) <*> |
[27] | ISO/IEC Guide 98-3:2008, Uncertainty of measurement - Part 3: Guide to the expression of uncertainty in measurement (GUM:1995) Supplement 2:2011 - Extension to any number of output quantities (Неопределенность измерения. Часть 3. Руководство по выражению неопределенности измерения (GUM:1995) Дополнение 2:2011 - Обобщение на случай произвольного числа выходных величин) <*> |
| Nielsen L. Uncertainty of calibration curves. Tech. Rep. DFM-98-R20, DFM, 1998 |
| Pagliano, E., Mester, Z., and Meija, J. Calibration graphs in isotope dilution mass spectrometry. Analytica Chimica Acta 896 (Oct 2015), 63 - 67 |
| Spanos, A. Akaike-type criteria and the reliability of inference: Model selection versus statistical model specification. Journal of Econometrics 158, 2 (2010), 204 - 220. Specification Analysis in Honor of Phoebus J. Dhrymes |
| Trefethen, L.N. Approximation Theory and Approximation Practice. SIAM, Philadelphia, 2013 |
| van der Veen A.M.H. Generalised distance regression in gas analysis. Tech. Rep. S-CH.09.32, VSL, 2013 |
| Weisberg, S. Applied Linear Regression, third ed. John Wiley, 2005 |
| Yang, X.-S., and Forbes, A. Model and feature selection in metrology data approximation. In Approximation Algorithms for Complex Systems, E.H. Georgoulis, A. Iske, and J. Levesley, Eds., vol. 3 of Springer Proceedings in Mathematics. Springer Berlin Heidelberg, 2011, pp. 293 - 307 |
--------------------------------
<*> Официальный перевод этого стандарта находится в Федеральном информационном фонде стандартов.
УДК 658.562.012.7:65.012.122:006.354 | |
Ключевые слова: статистика, статистические методы, калибровка, калибровочная функция, полиномы Чебышева, степень полинома, метод наименьших квадратов |