Главная // Актуальные документы // ГОСТ (Государственный стандарт)СПРАВКА
Источник публикации
М.: ФГБУ "РСТ", 2021
Примечание к документу
Документ
введен в действие с 01.01.2022.
Название документа
"ГОСТ ISO 7971-3-2021. Межгосударственный стандарт. Зерновые. Определение натуры как массы гектолитра. Часть 3. Рабочий метод"
(введен в действие Приказом Росстандарта от 23.07.2021 N 649-ст)
"ГОСТ ISO 7971-3-2021. Межгосударственный стандарт. Зерновые. Определение натуры как массы гектолитра. Часть 3. Рабочий метод"
(введен в действие Приказом Росстандарта от 23.07.2021 N 649-ст)
по техническому регулированию
и метрологии
от 23 июля 2021 г. N 649-ст
МЕЖГОСУДАРСТВЕННЫЙ СТАНДАРТ
ЗЕРНОВЫЕ
ОПРЕДЕЛЕНИЕ НАТУРЫ КАК МАССЫ ГЕКТОЛИТРА
ЧАСТЬ 3
РАБОЧИЙ МЕТОД
Cereals. Determination of bulk density, called mass
per hectolitre. Part 3. Routine method
(ISO 7971-3:2019, IDT)
ГОСТ ISO 7971-3-2021
Дата введения
1 января 2022 года
Цели, основные принципы и общие правила проведения работ по межгосударственной стандартизации установлены
ГОСТ 1.0 "Межгосударственная система стандартизации. Основные положения" и
ГОСТ 1.2 "Межгосударственная система стандартизации. Стандарты межгосударственные, правила и рекомендации по межгосударственной стандартизации. Правила разработки, принятия, обновления и отмены"
1 ПОДГОТОВЛЕН Всероссийским научно-исследовательским институтом зерна и продуктов его переработки - филиалом Федерального государственного бюджетного научного учреждения "Федеральный научный центр пищевых систем им. В.М. Горбатова" РАН (ВНИИЗ - филиал ФГБНУ "ФНЦ пищевых систем им. В.М. Горбатова" РАН) на основе собственного перевода на русский язык англоязычной версии стандарта, указанного в
пункте 5
2 ВНЕСЕН Федеральным агентством по техническому регулированию и метрологии
3 ПРИНЯТ Межгосударственным советом по стандартизации, метрологии и сертификации (протокол от 30 июня 2021 г. N 141-П)
За принятие проголосовали:
Краткое наименование страны по МК (ИСО 3166) 004-97 | Код страны по МК (ИСО 3166) 004-97 | Сокращенное наименование национального органа по стандартизации |
Армения | AM | ЗАО "Национальный орган по стандартизации и метрологии" Республики Армения |
Беларусь | BY | Госстандарт Республики Беларусь |
Киргизия | KG | Кыргызстандарт |
Россия | RU | Росстандарт |
Узбекистан | UZ | Узстандарт |
4
Приказом Федерального агентства по техническому регулированию и метрологии от 23 июля 2021 г. N 649-ст межгосударственный стандарт ГОСТ ISO 7971-3-2021 введен в действие в качестве национального стандарта Российской Федерации с 1 января 2022 г.
5 Настоящий стандарт идентичен международному стандарту ISO 7971-3:2019 "Зерновые. Определение натуры как массы гектолитра. Часть 3. Рабочий метод" ("Cereals - Determination of bulk density, called mass per hectoliter - Part 3: Routine method", IDT).
Международный стандарт ISO 7971-3:2019 разработан Техническим комитетом ISO/TC 34 "Пищевые продукты", Подкомитетом SC 4 "Зерновые и бобовые культуры" Международной организации по стандартизации (ISO).
При применении настоящего стандарта рекомендуется использовать вместо ссылочного международного стандарта соответствующий ему межгосударственный стандарт, сведения о котором приведены в дополнительном
приложении ДА
Информация о введении в действие (прекращении действия) настоящего стандарта и изменений к нему на территории указанных выше государств публикуется в указателях национальных стандартов, издаваемых в этих государствах, а также в сети Интернет на сайтах соответствующих национальных органов по стандартизации.
В случае пересмотра, изменения или отмены настоящего стандарта соответствующая информация будет опубликована на официальном интернет-сайте Межгосударственного совета по стандартизации, метрологии и сертификации в каталоге "Межгосударственные стандарты"
Настоящий стандарт устанавливает рабочий метод определения натуры зерна злаковых культур как массы гектолитра с использованием механических, автоматических, электрических или электронных измерительных устройств.
Примечание - Более подробная информация об измерительном устройстве приведена в ISO 7971-2:2019 (пункт 6.4).
В настоящем стандарте использована нормативная ссылка на следующий международный стандарт [для датированных ссылок применяют только указанное издание ссылочного стандарта, для недатированных - последнее издание (включая все изменения к нему)]:
ISO 7971-2:2019, Cereals - Determination of bulk density, called mass per hectolitre - Part 2: Method of traceability for measuring instruments through reference to the international standard instrument (Зерновые. Определение натуры как массы гектолитра. Часть 2. Метод прослеживаемости для измерительных инструментов от контрольного до международного стандартного метода)
В настоящем стандарте применен следующий термин с соответствующим определением:
3.1 масса гектолитра; натура; насыпная плотность (mass per hectoliter; bulk density; test weight): Отношение массы зерна к объему, который занимает зерно после свободного засыпания его в измерительную мерку при определенных условиях.
Примечания
1 Натура зерна как масса гектолитра выражается в килограммах на гектолитр.
2 Понятие "натура как масса гектолитра" в соответствии с определением, приведенным в настоящем стандарте, отличается от понятий "плотность укладки зерен" или "плотность зерновки".
Сущность метода заключается в определении массы объема зерна, равного одному гектолитру, выделенному с использованием измерительной мерки пурки.
На массу гектолитра могут влиять:
a) величина межзернового пространства, которая зависит от размера и формы зерновок;
b) плотность укладки зерен.
5.1 Общее требование к оборудованию для определения натуры зерна
Любое оборудование (
5.2 и
5.3) должно быть поверено по ISO 7971-2 и соответствовать указанным в нем требованиям к техническим характеристикам.
Устройство, состоящее из загрузочной воронки, измерительной мерки и дополнительных принадлежностей, необходимых для использования при работе.
Способ засыпания зерна в измерительную мерку, а также способ укладки зерен в мерках могут влиять на результаты измерения, полученные при проведении анализа с применением разного оборудования, и приводить к ошибкам измерения. Чтобы свести к минимуму такие отклонения, необходимо обеспечить соответствие измерительного оборудования по конструкции измерительных устройств, их размерам, материалу и форме.
Примечание -
Приложения A и
B содержат примеры технических характеристик двух механических пурок объемом 1 л.
Этот вид оборудования включает различные типы устройств, ряд из которых может использоваться как самостоятельно, так и вместе с инфракрасным анализатором.
Измерение основано на применении уравнения, позволяющего корректировать погрешности измерения. Процедура не предусматривает ручное взвешивание. Значение массы гектолитра непосредственно выводится на экран.
5.4 Аналитические весы с точностью взвешивания 0,1 или 0,01 г в зависимости от объема мерки (см.
6.2).
5.5 Спиртовой уровень.
Измерения следует проводить на зерне, очищенном от крупных примесей (соломы, камней, шелухи и прочих примесей), при условии выравнивания температуры зерна с температурой окружающего воздуха.
Определение натуры следует выполнять в двух повторностях. Независимо от вида пурки и пробы эти два измерения следует выполнять на двух различных частях испытуемой пробы зерна.
Примечание - Проведение повторного измерения на одной и той же испытуемой части пробы зерна изменяет коэффициент трения, который улучшает скольжение зерен, в результате чего они более плотно укладываются, повышая массу гектолитра.
6.2 Проведение испытания с использованием механической пурки
Проверяют, чтобы все составные части пурки были чистыми и находились в рабочем состоянии.
Убеждаются, что оборудование установлено на твердой плоской поверхности. Спиртовым уровнем проверяют, чтобы поверхность, на которой установлена пурка, была горизонтальной. При заполнении пурки следует выполнять все необходимые предосторожности, чтобы избежать любого постороннего воздействия. Если во время проведения измерений устройство подвергалось встряхиванию, определение следует прервать и начать снова.
Различные типы устройств отличаются друг от друга; выполнение работ на каждом из них следует осуществлять в соответствии с инструкцией изготовителя.
При взвешивании измерительной мерки объемом 1 л следует применять весы
(5.4) с точностью взвешивания 1 г, а для пурки с измерительной меркой меньшего объема - с точностью 0,1 г.
6.3 Проведение испытания с использованием автоматической пурки
Поскольку все действия, выполняемые до окончания измерения, могут различаться между собой в зависимости от типа используемого устройства, рекомендуется обращаться к инструкции изготовителя.
Необходимо обеспечить размещение устройства на горизонтальной поверхности в помещении, защищенном от повышенных температуры и влажности, производственной пыли и вибрации.
Особое внимание следует обратить на следующее:
a) правильность выбора калибровки, соответствующей испытуемой зерновой культуре;
b) соответствие объема зерна рекомендованному для используемого устройства;
c) обеспечение очистки пурки от предыдущей пробы зерна.
6.4 Обработка результатов
При условии соблюдения повторяемости за результаты определения берут среднеарифметическое значение двух определений. Результат выражают с точностью до 0,1 кг/гл.
Если условия повторяемости не выдерживаются, то в качестве окончательного результата принимают среднее значение четырех измерений. Указывают в отчете об испытании условия получения окончательного результата, которые можно отнести к изменчивости выборки.
7.1 Межлабораторные испытания
Подробные результаты межлабораторных испытаний на точность метода приведены в
приложении C.
Оценки, полученные в результате проведенных межлабораторных испытаний, не могут быть применены к другим диапазонам натуры зерна и базам данных, кроме приведенных в данном
приложении.
Абсолютное значение расхождения между двумя независимыми результатами испытаний, полученными при использовании одного и того же метода определения на одном и том же испытуемом материале в одной и той же лаборатории одним и тем же оператором с использованием одного и того же оборудования в пределах короткого интервала времени, не должно более чем в 5% случаев превышать предел повторяемости
r = 0,4 для продуктов, масса гектолитра которых составляет от 67,5 до 84,5 кг/гл (см.
таблицы C.1,
C.2 и
рисунок C.1 приложения C).
Абсолютное значение расхождения между двумя результатами испытаний, полученными при использовании одного и того же метода определения на одном и том же испытуемом материале в различных лабораториях разными операторами, использующими разное оборудование.
На практике неуместно сравнивать результаты двух лабораторий, если в данном испытании выполняются условия повторяемости. Подходящим инструментом сравнения является критическая разность (по
7.5).
7.4 Сравнение двух групп измерений в одной лаборатории
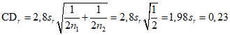
Критическая разность CD
r - это абсолютное расхождение между результатами двух измерений в условиях повторяемости. Поскольку результатом является среднеарифметическое значение двух измерений (см.
6.1), то сравнение двух значений массы гектолитра должно быть проведено по критической разности.
Критическую разность CD
r между двумя среднеарифметическими значениями, полученными по двум результатам испытаний в условиях повторяемости, рассчитывают по
формуле (1)

, (1)
то есть 0,2 кг/гл, после округления,
где sr - стандартное отклонение в условиях повторяемости;
n1 и n2 - число результатов испытаний, соответствующих каждому среднеарифметическому значению (n1 = n2 = 2).
7.5 Сравнение двух групп измерений в двух лабораториях
Критическая разность CD
R - это расхождение между двумя среднеарифметическими значениями, полученными каждой из двух лабораторий по результатам двух испытаний в условиях повторяемости, которую рассчитывают по
формуле (2)

, (2)
то есть 1,2 кг/гл, после округления,
где sr - стандартное отклонение в условиях повторяемости;
sR - стандартное отклонение в условиях воспроизводимости;
n1 и n2 - число результатов испытаний, соответствующих каждому среднеарифметическому значению (n1 = n2 = 2).
Неопределенность U является параметром, представляющим распределение значений, которое может быть отнесено к результату.
Можно оценить неопределенности измерений, используя данные, полученные в результате исследований, проведенных в соответствии с ISO 5725-2.
Стандартное отклонение воспроизводимости, полученное в совместном исследовании, является надежной основой для оценки неопределенности измерений, поскольку по определению неопределенность характеризует дисперсию значений, которые могут быть отнесены к результату. Расчетная расширенная неопределенность должна составлять <= +/- 2 стандартного отклонения воспроизводимости.
Протокол испытания должен содержать:
a) указание об использованном методе измерения, включая ссылку на настоящий стандарт;
b) полученный результат;
c) все подробности проведения испытания, не указанные в настоящем стандарте или рассматриваемые как дополнительные, а также любые обстоятельства, которые могут повлиять на результат;
d) всю информацию, необходимую для полной идентификации пробы.
(справочное)
ОПИСАНИЕ ПУРКИ "KERN" <1> И ЕЕ ПРИМЕНЕНИЯ
--------------------------------
<1> Пример подходящей пурки, имеющейся в продаже. Информация приведена для удобства пользователей настоящим стандартом; утверждение марки пурки организацией ISO не требуется. Аналогичные устройства могут использоваться при сопоставимости результатов измерения.
A.1 Размеры составных частей пурки
A.1.1 Общие положения
Размеры различных частей устройства должны соответствовать
A.1.2 -
A.1.7. Различные части пурки показаны на
рисунке A.1.
1 - предварительная мерка; 2 - загрузочная воронка;
3 - падающий груз; 4 - нож; 5 - измерительная мерка
Рисунок A.1 - Пурка для определения натуры зерна различных
культур с использованием измерительной мерки объемом 1 л
A.1.2 Предварительная мерка
Объем до верхней метки - (1350 +/- 10) мл.
Внутренний диаметр - (86 +/- 0,2) мм.
A.1.3 Загрузочная воронка
Внутренний диаметр - (79,0 +/- 0,1) мм.
Толщина стенки - (1,0 +/- 0,2) мм.
Высота над поршнем - (280 +/- 2) мм.
A.1.4 Падающий груз
Диаметр - (87,5 +/- 0,1) мм.
Высота - (40,0 +/- 0,2) мм.
Масса - (450 +/- 2) г.
A.1.5 Измерительная мерка
Внутренний диаметр - (88,2 +/- 0,1) мм.
Внутренняя высота над поршнем - (163,7 +/- 0,1) мм.
Толщина стенок - (1,2 +/- 0,5) мм.
Внешнее утолщение верхнего края:
- толщина - (2,5 +/- 0,5) мм;
- высота - (6,0 +/- 1,0) мм.
Толщина основания - (4,5 +/- 0,1) мм.
Диаметр перфорационных отверстий в основании - (3,0 +/- 0,1) мм.
Высота ножек - (9,0 +/- 0,1) мм.
Диаметр ножек - (6,0 +/- 0,1) мм.
Зазор между днищем мерки и основанием мерки - (6,0 +/- 0,1) мм.
Число перфорационных отверстий в днище - 1 + 4 + 8 + 12 + 16 + 20 + 24 = 85.
Измерительное кольцо:
- внутренний диаметр - (88,2 +/- 0,1) мм;
- высота - (40,5 +/- 0,1) мм.
A.1.6 Основание мерки
Диаметр установочного круга - (80,0 +/- 1) мм.
Толщина лезвия - (1,0 +/- 0,05) мм.
Угол выреза лезвия - 90° +/- 2°.
Ширина фаски по краю лезвия - (3 +/- 0,05) мм.
A.2 Технические характеристики устройства
A.2.1 Предварительная мерка
Предварительная мерка должна быть изготовлена из металла в форме прямого кругового цилиндра с плоским дном. Она должна иметь кольцевую метку на внутренней стороне стенки на уровне не менее 10 мм и не более 30 мм от верхнего края цилиндра.
Примечание - Предварительная мерка обеспечивает контролируемые условия при заполнении зерном загрузочной воронки
(A.2.2) и тем самым уменьшает или ограничивает погрешности оператора.
A.2.2 Загрузочная воронка
Воронка должна быть изготовлена из металла в форме прямого цилиндра, открытого с обоих концов. На нижней части внешней стороны воронки должно быть расширение, позволяющее установить воронку на верхнюю часть мерки (измерительного контейнера)
(A.2.3). Воронка вмещает более 1 л зерна, высыпаемого из предварительной мерки
(A.2.1).
A.2.3 Измерительная мерка
Объем мерки, равный 1 л, создается внутренней поверхностью мерки, верхней поверхностью падающего груза
(A.2.4) и нижней поверхностью ножа
(A.2.5), полностью вставленного в прорезь верхней части мерки. Максимально допустимая относительная погрешность объема мерки составляет +/- 0,3%. Стенки мерки должны быть бесшовными и должны быть изготовлены из латунной трубы или трубы из нержавеющей стали в форме прямого кругового цилиндра, открытого в верхней части и закрытого в основании, с утолщенным внешним краем. Верхний край должен быть ровным.
Измерительное кольцо таким же внутренним диаметром, как и мерка, должно быть прикреплено к ее краю. Зазор между краем мерки и измерительным кольцом должен быть достаточным, чтобы нож
(A.2.5) мог легко проходить, но не слишком большим.
Дно мерки должно быть плоским и перфорированным, чтобы во время проведения измерений из нее мог удаляться воздух. Внешняя укрепленная часть основания измерительного контейнера (мерки) и ее три опорные ножки должны представлять собой одно целое, для чего ножки должны быть надежно приварены к стенке мерки.
Падающий груз должен быть изготовлен из латуни в форме прямого кругового цилиндра с плоскими торцами. Его внутренняя стенка должна быть усилена так, чтобы она могла выдержать штамповку без повреждения ее поверхности. В случае вмятин или любого другого повреждения падающий груз следует заменить, чтобы исключить влияние на результаты измерения объема зерна.
После удаления ножа
(A.2.5) падающий груз должен плавно падать вниз мерки
(A.2.3), вытесняя воздух через отверстия, просверленные в дне мерки. Это движение контролирует скорость падения зерна и обеспечивает его беспрепятственное равномерное прохождение внутри мерки
(A.2.3) при высыпании из загрузочной воронки
(A.2.2).
Нож должен быть изготовлен из закаленной стали с тонким, но жестким лезвием и ручкой. Поверхность лезвия должна быть плоской и ровной. Лезвие должно быть достаточно широким, чтобы при его движении до упора полностью перекрывалось поперечное сечение мерки. Лезвие ножа должно иметь спереди вырез V-образной формы и фаску, выполненную так, чтобы линия среза находилась посередине толщины лезвия.
Нож вставляют горизонтально в зазор между измерительным кольцом и верхним краем мерки
(A.2.3), проталкивают вручную через слой зерна плавным и непрерывным движением до упора. Это движение отделяет ровно 1 л зерна ниже лезвия от избытка зерна (выше лезвия).
A.2.6 Основание
Опорное основание пурки должно быть изготовлено из металла и установлено таким образом, чтобы мерка
(A.2.3) могла плотно соединяться с ним путем простого поворота. Опорное основание не должно быть перфорированным. Оно должно быть закреплено на пластине из лиственных пород древесины или на крышке транспортного ящика пурки из лиственных пород древесины. Монтажная пластина или крышка транспортного ящика должны быть снабжены винтами для вертикальной настройки и спиртовым уровнем для контроля горизонтальной установки пурки после размещения ее на плоской горизонтальной поверхности. В противном случае ошибки измерений неизбежны.
A.3 Проведение испытания
Предварительную мерку заполняют зерном до метки на корпусе. Затем засыпают зерно из предварительной мерки в загрузочную воронку с расстояния от 30 до 40 мм от верхнего края воронки таким образом, чтобы зерно текло равномерно в центр воронки в течение 11 - 13 с. После заполнения воронки нож быстро вынимают, не допуская встряхивания пурки.
После того, как падающий груз и зерно упадут в измерительную мерку, лезвие ножа вставляют обратно в щель и одним движением проталкивают его через слой зерна. Если при этом частица зерна застревает между краем щели и лезвием, процесс засыпки зерна следует повторить. Избыток зерна над лезвием ножа удаляют. Затем снимают загрузочную воронку и вынимают нож из зазора.
Во время проведения испытания пурку нельзя толкать, встряхивать, стучать по ее частям, иначе будет получен завышенный результат измерения. После того, как будет отмерен 1 л зерна, указанные предосторожности отменяются.
Используемые весы (см.
5.4 настоящего стандарта) должны обеспечивать взвешивание с точностью до 1 г. Кроме того, зерно может быть засыпано в отдельную емкость, ранее взвешенную с точностью до 1 г, в которой его и взвешивают.
A.4 Выражение результатов
Для пересчета результатов измерений натуры (массы гектолитра)
p, полученных на пурке с литровой меркой, в килограммы на один гектолитр применяют
формулы (A.1) -
(A.4):
для пшеницы
p = 0,1002
m + 0,53; (A.1)
для ячменя
p = 0,1036 m - 2,22; (A.2)
для ржи
p = 0,1017 m - 0,08; (A.3)
для овса
p = 0,1013
m - 0,61, (A.4)
где m - масса зерна, г.
Примечание -
Формулы (A.1) -
(A.4) обеспечивают линейные математические преобразования грамм на литр в килограммы на гектолитр. Факторы приведены в данных, опубликованных в
[5].
(справочное)
ОПИСАНИЕ ПУРКИ "NILEMA LITRE" <2> И ЕЕ ПРИМЕНЕНИЯ
--------------------------------
<2> Пример пурки, соответствующей настоящему стандарту и имеющейся в продаже. Информация приведена для удобства пользователей настоящим стандартом, утверждение марки пурки организацией ISO не требуется. Аналогичные устройства могут использоваться при сопоставимости результатов измерения.
B.1 Размеры составных частей пурки
1 - загрузочная воронка; 2 - затвор; 3 - нож;
4 - измерительная мерка объемом 1 л
Рисунок B.1 - Пурка "NILEMA LITRE"
B.2 Устройство и принцип работы
B.2.1 Загрузочная воронка с задвижкой предназначена для обеспечения засыпки зерна в мерку равномерным потоком. Воронка установлена на измерительный контейнер объемом 1 л с использованием стояка и имеет на дне затвор, при перемещении которого в горизонтальной плоскости зерно высыпается в мерку.
B.2.2 Мерка в виде прямого кругового цилиндра объемом 1 л.
B.2.3 Нож, имеющий передний край лезвия V-образной формы.
B.3 Проведение испытания
Пустую мерку взвешивают на весах (см.
5.4 настоящего стандарта) с точностью до 1 г.
Засыпают зерно в загрузочную воронку, наполняя ее до краев или до метки в зависимости от типа пурки, не встряхивая и не уплотняя зерно.
Открывают затвор для засыпания зерна в мерку.
Вставляют нож в зазор до упора без вибрации и толчков мерки, чтобы не допустить в ней уплотнения зерновой массы.
После удаления излишков зерна мерку с зерном взвешивают на весах (см.
5.4 настоящего стандарта) с точностью до 1 г.
B.4 Выражение результатов
Для пшеницы и ячменя натуру (массу гектолитра)

, кг/гл, определяют по
формуле (B.1)

, (B.1)
где m - масса зерна, полученная как разность (m1 - m0), г;
m0 - масса пустой мерки, г;
m1 - масса мерки, заполненной зерном, г;
V - объем мерки, л.
Примечание -
Формула (B.1) обеспечивает линейное преобразование г/л в кг/гл. Она взята из французского исследования, проведенного на 17 образцах ячменя и пшеницы (мягкой и твердой), в которых использован объем 20 л, и измерения проведены на 8 устройствах "NILEMA LITRE".
Для других злаковых культур натуру (массу гектолитра)

, кг/гл, определяют по
формуле (B.2)

, (B.2)
где m - масса зерна, полученная как разность (m1 - m0), г;
m0 - масса пустой мерки, г;
m1 - масса мерки, заполненной зерном, г;
V - объем мерки, л.
(справочное)
РЕЗУЛЬТАТЫ МЕЖЛАБОРАТОРНЫХ ИСПЫТАНИЙ
Повторяемость, воспроизводимость и критическая разность данного метода были установлены в результате статистической обработки данных, полученных при проведении межлабораторных испытаний в двух лабораториях, организованных Foss AB (SE) в 2006 г. и 2007 г. Эти испытания были проведены в соответствии с требованиями
[2],
[3] и
[4].
В этих испытаниях, проведенных на одних и тех же образцах мягкой пшеницы и ячменя, принимали участие от 13 до 16 лабораторий. В общей сложности были проанализированы 12 образцов пшеницы и 4 образца ячменя.
Таблица C.1
Статистические результаты межлабораторных
испытаний на пшенице
Параметр | Номер пробы пшеницы |
1 | 2 | 3 | 4 | 5 | 6 | 7 | 8 | 9 | 10 | 11 | 12 |
Год | 2007 | 2006 | 2007 | 2006 | 2007 | 2007 | 2007 | 2007 | 2006 | 2006 | 2006 | 2006 |
Число лабораторий | 16 | 13 | 16 | 13 | 16 | 16 | 16 | 16 | 13 | 13 | 13 | 13 |
Число лабораторий после отбраковки | 16 | 12 | 16 | 12 | 16 | 16 | 16 | 16 | 13 | 13 | 13 | 13 |
Натура (масса гектолитра), кг/гл | 72,30 | 74,13 | 74,40 | 78,42 | 78,42 | 79,20 | 79,90 | 80,20 | 80,25 | 80,29 | 80,69 | 84,44 |
Стандартное отклонение повторяемости sr | 0,10 | 0,08 | 0,08 | 0,13 | 0,11 | 0,13 | 0,17 | 0,13 | 0,09 | 0,16 | 0,11 | 0,11 |
Коэффициент вариации повторяемости CV, r, % | 0,14 | 0,11 | 0,11 | 0,17 | 0,14 | 0,17 | 0,21 | 0,16 | 0,11 | 0,19 | 0,13 | 0,14 |
Предел повторяемости (r = 2,8 sr) | 0,28 | 0,22 | 0,22 | 0,36 | 0,31 | 0,36 | 0,48 | 0,36 | 0,25 | 0,45 | 0,31 | 0,31 |
Стандартное отклонение воспроизводимости sR | 0,29 | 0,35 | 0,31 | 0,31 | 0,32 | 0,36 | 0,35 | 0,64 | 0,44 | 0,38 | 0,37 | 0,89 |
Коэффициент вариации воспроизводимости CV, R, % | 0,40 | 0,48 | 0,42 | 0,4 | 0,41 | 0,46 | 0,43 | 0,80 | 0,55 | 0,48 | 0,46 | 1,06 |
Предел воспроизводимости (R = 2,8 sR) | 0,81 | 0,98 | 0,87 | 0,87 | 0,90 | 1,01 | 0,98 | 1,79 | 1,23 | 1,06 | 1,04 | 2,49 |
Таблица C.2
Статистические результаты межлабораторных
испытаний на ячмене
Параметр | Номер пробы ячменя |
1 | 2 | 3 | 4 |
Год | 2007 | 2007 | 2007 | 2007 |
Число лабораторий | 15 | 15 | 15 | 15 |
Число лабораторий после отбраковки | 15 | 15 | 15 | 15 |
Натура (масса гектолитра), кг/гл | 67,60 | 68,40 | 68,40 | 69,20 |
Стандартное отклонение повторяемости sr | 0,13 | 0,09 | 0,13 | 0,18 |
Коэффициент вариации повторяемости CV,r, % | 0,20 | 0,13 | 0,19 | 0,26 |
Предел повторяемости (r = 2,8 sr) | 0,36 | 0,25 | 0,36 | 0,50 |
Стандартное отклонение воспроизводимости sR | 0,33 | 0,22 | 0,29 | 0,35 |
Коэффициент вариации воспроизводимости CV,R, % | 0,50 | 0,32 | 0,43 | 0,51 |
Предел воспроизводимости (R = 2,8 sR) | 0,92 | 0,62 | 0,81 | 0,98 |
p - натура (масса гектолитра);
s - стандартное отклонение;

- стандартное отклонение повторяемости
sr;

- стандартное отклонение воспроизводимости
sR.
Формула линейной регрессии для
sr:

;
коэффициент корреляции,

.
Формула линейной регрессии для
sR:

;
коэффициент корреляции,

.
Рисунок C.1 - Значения точности повторяемости
и воспроизводимости в сравнении со средними значениями
(справочное)
СВЕДЕНИЯ О СООТВЕТСТВИИ ССЫЛОЧНЫХ МЕЖДУНАРОДНЫХ СТАНДАРТОВ
МЕЖГОСУДАРСТВЕННЫМ СТАНДАРТАМ
Таблица ДА.1
Обозначение ссылочного международного стандарта | Степень соответствия | Обозначение и наименование соответствующего межгосударственного стандарта |
ISO 7971-2:2019 | - | <*> |
<*> Соответствующий межгосударственный стандарт отсутствует. До его принятия рекомендуется использовать перевод на русский язык данного международного стандарта ISO 7971-2:2019. Официальный перевод данного международного стандарта находится в Федеральном информационном фонде стандартов. |
[1] | ISO 5725-2, Accuracy (trueness and precision) of measurement methods and results - Part 2: Basic method for the determination of repeatability and reproducibility of a standard measurement method |
| ISO 5725-3, Accuracy (trueness and precision) of measurement methods and results - Part 3: Intermediate measures of the precision of a standard measurement method |
| ISO 5725-6, Accuracy (trueness and precision) of measurement methods and results - Part 6: Use in practice of accuracy values |
| ISO 7971-1:2009, Cereals - Determination of bulk density, called mass per hectolitre - Part 1: Reference method |
| Tables illustrating the determination of the mass per hectolitre of wheat, barley, rye and oats (data on file). Brunswick Physikalisch-Technische Bundesanstalt, 1967 |
УДК 633.1.001.4:006.354 | | IDT |
Ключевые слова: зерновые, зерно, натура, масса гектолитра, рабочий метод, пурка, измерительная мерка, испытание, точность измерений |