Главная // Актуальные документы // ГОСТ (Государственный стандарт)СПРАВКА
Источник публикации
М.: Стандартинформ, 2020
Примечание к документу
Документ
введен в действие с 01.05.2021.
Название документа
"ГОСТ ISO 18611-2-2020. Межгосударственный стандарт. Суда и морские технологии. Восстановитель оксидов азота AUS 40. Часть 2. Методы испытаний"
(введен в действие Приказом Росстандарта от 02.10.2020 N 741-ст)
"ГОСТ ISO 18611-2-2020. Межгосударственный стандарт. Суда и морские технологии. Восстановитель оксидов азота AUS 40. Часть 2. Методы испытаний"
(введен в действие Приказом Росстандарта от 02.10.2020 N 741-ст)
агентства по техническому
регулированию и метрологии
от 2 октября 2020 г. N 741-ст
МЕЖГОСУДАРСТВЕННЫЙ СТАНДАРТ
СУДА И МОРСКИЕ ТЕХНОЛОГИИ
ВОССТАНОВИТЕЛЬ ОКСИДОВ АЗОТА AUS 40
ЧАСТЬ 2
МЕТОДЫ ИСПЫТАНИЙ
Ships and marine technology.
Marine NOx reduction agent AUS 40. Part 2. Test methods
(ISO 18611-2:2014, IDT)
ГОСТ ISO 18611-2-2020
Дата введения
1 мая 2021 года
Цели, основные принципы и общие правила проведения работ по межгосударственной стандартизации установлены
ГОСТ 1.0 "Межгосударственная система стандартизации. Основные положения" и
ГОСТ 1.2 "Межгосударственная система стандартизации. Стандарты межгосударственные, правила и рекомендации по межгосударственной стандартизации. Правила разработки, принятия, обновления и отмены"
1 ПОДГОТОВЛЕН Обществом с ограниченной ответственностью "Информатика, техническое регулирование, экспертиза" (ООО "Интер-эксперт") и Ассоциацией Некоммерческого партнерства "Координационно-информационный центр государств - участников СНГ по сближению регуляторных практик" (Ассоциация "НП КИЦ СНГ") на основе официального перевода на русский язык англоязычной версии указанного в пункте 5 стандарта, который выполнен ТК 060 "Химия"
2 ВНЕСЕН Техническим комитетом по стандартизации ТК 060 "Химия"
3 ПРИНЯТ Межгосударственным советом по стандартизации, метрологии и сертификации (протокол от 31 августа 2020 г. N 132-П)
За принятие проголосовали:
Краткое наименование страны по МК (ИСО 3166) 004-97 | Код страны по МК (ИСО 3166) 004-97 | Сокращенное наименование национального органа по стандартизации |
Армения | AM | ЗАО "Национальный орган по стандартизации и метрологии" Республики Армения |
Беларусь | BY | Госстандарт Республики Беларусь |
Киргизия | KG | Кыргызстандарт |
Россия | RU | Росстандарт |
Таджикистан | TJ | Таджикстандарт |
Узбекистан | UZ | Узстандарт |
4
Приказом Федерального агентства по техническому регулированию и метрологии от 2 октября 2020 г. N 741-ст межгосударственный стандарт ГОСТ ISO 18611-2-2020 введен в действие в качестве национального стандарта Российской Федерации с 1 мая 2021 г.
5 Настоящий стандарт идентичен международному стандарту ISO 18611-2:2014 "Суда и морские технологии. Восстановитель оксидов азота AUS 40. Часть 2. Методы испытаний" ("Ships and marine technology - Marine NOx reduction agent AUS 40 - Part 2: Test methods", IDT).
При применении настоящего стандарта рекомендуется использовать вместо ссылочных международных стандартов соответствующие им межгосударственные стандарты, сведения о которых приведены в дополнительном
приложении ДА
6 ВВЕДЕН ВПЕРВЫЕ
Информация о введении в действие (прекращении действия) настоящего стандарта и изменений к нему на территории указанных выше государств публикуется в указателях национальных стандартов, издаваемых в этих государствах, а также в сети Интернет на сайтах соответствующих национальных органов по стандартизации.
В случае пересмотра, изменения или отмены настоящего стандарта соответствующая информация будет опубликована на официальном интернет-сайте Межгосударственного совета по стандартизации, метрологии и сертификации в каталоге "Межгосударственные стандарты"
Для защиты окружающей среды и поддержания качества воздуха нормы выбросов выхлопных газов в мире постоянно усиливаются. Для судов с большим объемом двигателей внутреннего сгорания твердые частицы (PM), выбросы оксида азота (NOx) и выбросы диоксида серы являются основной проблемой, поэтому многие разработки сфокусированы на развитии технологии, которая может эффективно снизить выбросы с минимальным ущербом для экономии топлива. Преобразователи на селективном каталитическом восстановителе (SCR) при помощи раствора карбамида как восстановителя считаются ключевой технологией снижения выбросов NOx. Для обеспечения надежной и стабильной работы системы SCR-преобразователей необходимо определить требования, предъявляемые к качеству раствора карбамида, используемого для этой технологии. Серия стандартов ISO 18611 содержит показатели качества раствора карбамида, методы испытания, способы перезаправки, а также требования к обращению, транспортированию и хранению, предъявляемые изготовителями SCR-преобразователей, изготовителями двигателей, производителями, дистрибьюторами и операторами флота/судовладельцами.
Эффективное расширение использования технологии SCR карбамида требует консолидированной структуры, которая затем может использоваться производителем, конечным пользователем и поставщиком катализаторов.
Настоящий стандарт устанавливает методы испытаний восстановителя оксидов азота (водного раствора карбамида с концентрацией 40%) (далее - AUS 40) для определения его показателей качества, установленных в ISO 18611-1. В остальных частях ISO 18611 термин "восстановитель оксидов азота AUS 40" сокращен до "AUS 40".
Настоящий стандарт распространяется на требования к качеству и руководящие указания для AUS 40 для применения в морских акваториях, независимо от способа или технологии изготовления.
В настоящем стандарте использованы нормативные ссылки на следующие международные стандарты. Для датированных ссылок используют только указанное издание стандарта. Для недатированных ссылок - последнее издание стандарта, включая все изменения и поправки.
ISO 3675, Crude petroleum and liquid petroleum products - Laboratory determination of density - Hydrometer method (Нефть сырая и жидкие нефтепродукты. Лабораторное определение плотности. Метод с применением ареометра)
ISO 3696, Water for analytical laboratory use - Specification and test methods (Вода для лабораторного анализа. Технические требования и методы испытаний)
ISO 4259, Petroleum products - Determination and application of precision data in relation to methods of test (Нефтепродукты. Определение и применение данных прецизионности в отношении методов испытания)
ISO 5661, Petroleum products - Hydrocarbon liquids - Determination of refractive index (Нефтепродукты. Углеводородные жидкости. Определение показателя преломления)
ISO 5667-3, Water quality - Sampling - Part 3: Preservation and handling of water samples (Качество воды. Отбор проб. Часть 3. Консервация и обработка проб воды)
ISO 12185, Crude petroleum and petroleum products - Determination of density - Oscillating U-tube method (Нефть сырая и нефтепродукты. Определение плотности. Метод с применением осциллирующей U-образной трубки)
Соответствие предельным значениям показателей качества, установленным в таблице 1 ISO 18611-1, должно быть подтверждено методами испытаний, приведенными в
приложениях B -
J. Определение плотности проводят в соответствии с ISO 3675 или ISO 12185.
Примечание - В настоящем стандарте обозначения "% (m/m)" и "% (V/V)" используют для массовой доли и объемной доли материала.
5 Прецизионность и спорные случаи
5.1 Общие указания
Прецизионность всех методов испытаний настоящего стандарта оценивают в соответствии с ISO 4259. В спорных случаях следует использовать методы по ISO 4259 и оценку результатов, основанную на прецизионности метода испытаний. Методы испытаний настоящего стандарта основаны на методах испытаний ISO 22241-2. Незначительные изменения внесены в методы испытаний стандартов серии ISO 22241 с целью их адаптации к показателям качества, изложенным в ISO 18611-1, таблица 1.
Прецизионность метода испытаний заимствована из ISO 22241-2. В ISO 22241-2 прецизионность определена статистической проверкой в соответствии с ISO 4259, за исключением методов определения плотности, которые заимствованы из ISO 3675 и ISO 12185. Прецизионность метода испытаний указана в
приложениях B -
J. В дополнение данная информация по всем методам обобщена в
приложении K для удобства пользователя настоящего стандарта.
Статистические значения прецизионности определены в
5.2 и
5.3, где "xx (единица измерения)" означает повторяемость и воспроизводимость.
Расхождение между двумя результатами испытаний, полученными одним оператором на одном и том же оборудовании при постоянных условиях работы на идентичном испытуемом материале при нормальном и правильном проведении испытаний, может превышать определенное значение xx (единица измерения) только в одном случае из 20.
Расхождение между двумя единичными и независимыми результатами испытания, полученными разными операторами, работающими в разных лабораториях, на идентичном испытуемом материале при нормальном и правильном проведении испытаний, может превышать определенное значение xx (единица измерения) только в одном случае из 20.
(обязательное)
A.1 Общие указания
Метод отбора проб, установленный в настоящем приложении, может применяться при любом отборе проб AUS 40 в процессе поставки после отгрузки со склада поставщика до контейнера AUS 40 на борту транспортных средств.
A.2 Основные принципы
Предельные значения показателей качества AUS 40, которые определены в ISO 18611-1, являются представительными аналитическими результатами, которые могут быть получены только в том случае, если проба защищена от любых загрязнений до проведения испытаний.
Поэтому следует использовать соответствующие емкости для отбора проб, которые не загрязняют пробу, что в первую очередь касается микроэлементов, и в которых сведен к минимуму рост колоний бактерий и водорослей.
Примечание - Методы отбора проб, установленные в настоящем приложении, основаны на требованиях ISO 5667-2 и ISO 5667-3.
A.3 Возможные загрязнители
Во время отбора проб посторонние вещества могут привести к загрязнению пробы. На практике основную опасность будут представлять следующие источники загрязнения:
- остатки вспомогательных материалов, используемых при производстве емкостей для отбора проб;
- загрязнители, которые попадают в пустые емкости при их хранении;
- загрязнители, попадающие из воздуха, т.е. пыль или другие посторонние вещества, проникающие из окружающей среды во время отбора проб;
- остатки моющих средств, используемых для мытья как оборудования для отбора проб, так и емкостей;
- топливо.
A.4 Аппаратура
A.4.1 Емкости для отбора проб
Используют емкости с широким горлом вместимостью 1000 см3. Наиболее соответствующими материалами являются HD-полиэтилен, HD-полипропилен, полифторэтилен, поливинилиденфторид и сополимеры тетрафторэтилен-перфторалкиловых виниловых эфиров (PFA). В спорных случаях используют емкости из PFA.
Перед первым использованием AUS 40 емкости следует вымыть и в конце промыть сначала деионизированной водой, а затем AUS 40.
На каждую емкость должна быть наклеена этикетка с маркировкой размером около 10 x 5 см. Этикетка и надпись на этикетке должны быть устойчивы по отношению к воде и AUS 40.
A.5 Отбор проб
Открывают закрытую широкогорлую емкость, крышку кладут на чистую поверхность нижней частью вниз. После промывки из контейнера трубки для отбора проб полностью наполняют колбу AUS 40 из контейнера. Первую порцию выливают, затем сразу повторно наполняют и плотно закрывают. На колбу наклеивают этикетку
(A.4.2). Во время отбора пробы соблюдают осторожность, чтобы в колбу не попали пыль и загрязняющие жидкости.
Заполненные емкости в максимально сжатые сроки доставляют в лабораторию. Транспортируют и хранят пробы по возможности при низкой температуре от 1 °C до комнатной температуры (20 °C). Пробы хранят в темном месте, для того чтобы предотвратить рост водорослей. Образцы, подлежащие хранению в течение длительного периода времени, требуют хранения при температуре от 1 °C до 15 °C и вдали от дневного света.
Учитывая возможные изменения содержания аммиака, проводить испытания рекомендуется в течение 3 нед.
A.6 Количество пробы
Количество пробы зависит от вида проводимого испытания. Каждый раз необходимо заранее убедиться в том, что доступно достаточное количество пробы (рекомендуется 1 л), которое не менее чем в два раза превышает количество, необходимое для полной проверки показателей AUS 40. В спорных случаях следует взять достаточное количество пробы в соответствии с ISO 4259.
A.7 Маркировка и хранение
A.7.1 Маркировка
Этикетка должна содержать:
- идентификационный номер образца;
- наименование продукта;
- адрес/наименование судна, с которого взята проба
<1>;
- контейнер/место, из которого взят образец
<1>;
- дату и время отбора проб
<1>.
A.7.2 Сопроводительная документация
Сопроводительная документация должна содержать:
- идентификационный номер образца;
- наименование продукта;
- адрес/наименование судна, с которого взята проба
<1>;
- контейнер/место, из которого был взят образец
<1>;
- дату и время отбора проб
<1>;
- имя и подпись лица, которое взяло пробы;
- дату, когда образец покинул местонахождение.
--------------------------------
<1> Обязательное требование только в случае спорных ситуаций.
(обязательное)
ОПРЕДЕЛЕНИЕ МАССОВОЙ ДОЛИ КАРБАМИДА ПО ОБЩЕМУ АЗОТУ
B.1 Общие указания
Настоящее приложение устанавливает метод определения массовой доли карбамида в AUS 40.
Данный метод применим для определения массовой доли карбамида в диапазоне от 38% до 42%.
B.2 Сущность метода
Пробу сжигают при высокой температуре в пламени кислорода. После восстановления образовавшихся оксидов азота до элементарного азота и удаления всех продуктов горения, препятствующих определению, азот измеряют при помощи детектора теплопроводности. Массовую долю карбамида рассчитывают вычитанием содержания азота в биурете из общего содержания азота.
B.3 Оборудование
B.3.1 Автоматический анализатор азота
Используемая установка основана на методах сжигания.
B.3.2 Аналитические весы
Точность весов зависит от типа применяемого анализатора и требуемой массы взвешиваемых порций. Цена деления должна составлять не более 0,1% массы взвешиваемой порции.
B.3.3 Вспомогательные приборы для подготовки пробы
Среди вспомогательных приборов могут быть:
- пинцет с тупыми концами;
- микрошпатель с выровненным концом;
- пипетка.
Пипетка рекомендуется для взвешивания и поэтому не нуждается в калибровке. При этом она необходима для того, чтобы получить нужный размер капли (маленькую каплю). Можно использовать пипетки с фиксированным объемом или пипетки с объемом, регулируемым в пределах от 10 до 1000 мкл, или разовую пипетку Пастера с тонким концом.
Примечание - Как правило, используют химически стойкое стекло.
B.4 Химические реактивы
B.4.1 Деионизированная вода с удельной электропроводностью менее чем 0,1 мСм/м, соответствующая степени чистоты 2 по ISO 3696.
B.4.2 Вспомогательные горючие вещества и другое оборудование, наиболее соответствующее для использования с выбранным анализатором азота.
Приведенный ниже перечень материалов является примерным. Возможно использование других аналогичных материалов в зависимости от применяемой системы:
- оловянная капсула или аналогичный контейнер для пробы;
- вспомогательные горючие вещества, не содержащие азот, такие как сахароза, целлюлоза;
- абсорбирующие вещества для жидкостей, не содержащие азот, такие как оксид магния.
B.4.3 Стандартные образцы для определения массовой доли азота, предпочтительно с установленным содержанием азота.
Пример - Наиболее соответствующие стандартные образцы: этилендиамин тетрауксусной кислоты (ЭДТА), амид никотиновой кислоты.
Также может быть использован карбамид соответствующей чистоты с низким содержанием биурета (например, кристаллический чистый для анализа) или другой стандартный образец, рекомендуемый и поставляемый производителем оборудования. Предпочтение следует отдавать аттестованным веществам.
Примечание - Жидкие стандартные образцы (например, раствор карбамида) не пригодны для этих целей.
B.4.4 Кислород, не менее 99,995% O2.
B.4.5 Другие газы высокой степени очистки, если они требуются для работы анализатора азота, такие как гелий, не менее 99,996% He.
B.4.6 Другие реагенты или вспомогательные вещества, необходимые для работы оборудования.
B.5 Проведение испытания
B.5.1 Общие указания
Проба должна быть растворена полностью, не должно быть кристаллов карбамида. При необходимости перед дальнейшими действиями она может быть нагрета не выше чем до 40 °C.
Примечание - На рынке доступны несколько различных видов оборудования. Оценка различных способов и режимов работы оборудования не является целью настоящего стандарта. Следует проводить все действия, основываясь на инструкциях оператора.
B.5.2 Градуировочный график
Градуировку проводят в соответствии с требованиями для конкретного типа анализатора и с инструкциями (например, после замены трубы сгорания, реагентов или в аналогичных случаях) путем измерения, как описано в
B.5.4. Взвешивают последовательно соответствующее количество стандартных образцов в зависимости от используемого вида оборудования, для того чтобы построить градуировочный график.
B.5.3 Проверка готовности оборудования и градуировочного графика к работе
Для проверки готовности к работе оборудования и градуировочного графика используют соответствующий стандартный образец. Предпочтительно использовать аттестованный стандартный образец раствора карбамида.
Периодичность проверки зависит от типа используемого анализатора.
Взвешивают навеску пробы в соответствующую емкость (например, оловянную капсулу), что необходимо для используемого типа анализатора. Масса навески должна быть такой, чтобы общее количество азота в навеске находилось в середине градуировочного графика.
Применяют примерно трехкратное количество горючих веществ (например, безазотную целлюлозу) и при необходимости дополнительные связующие вещества (например, оксид магния).
При применении системы с жидким топливом используемый объем должен быть не менее 100 мкл. Массу пробы рассчитывают исходя из плотности, рассчитываемой в соответствии с ISO 12185.
Вводят в анализатор (или управляющий компьютер) требуемую информацию (массу пробы, идентификационные данные пробы) в зависимости от его типа. Подают в анализатор взвешенную пробу и начинают сжигание.
Проводят минимум три отдельных измерения.
B.6.1 Вычисления
Перед расчетом градуировочного графика, смещения основной линии для образцов определяют значение показаний "холостой пробы" и используют данное значение для того, чтобы корректировать соответствующие аналитические результаты.
Используют специальную программу для оборудования, для расчета градуировочного графика или корректировки смещения для проб.
Рассчитывают среднее значение для проб. При наличии существенного отклонения одиночного значения (относительное стандартное отклонение СКО > 1,0%) повторяют испытание для данной пробы. После этого определяют среднее значение для данной пробы на основе всех отдельных значений.
Рассчитывают значение массовой доли карбамида из среднего значения не менее трех определений массовой доли азота по формуле:

(B.1)
где wU - массовая доля карбамида, %;
wN - среднее значение массовой доли азота, % (с точностью до 0,01%);
wBi - среднее значение массовой доли биурета, %, определенного в соответствии с
приложением E;

- среднее значение содержания аммиака, %, определенное в соответствии с
приложением D;
F1 - коэффициент пересчета содержания биурета на азот, равный 0,4076;
F2 - коэффициент пересчета содержания аммиака на азот, равный 0,8225.
B.6.2 Запись результатов
Результатом является среднеарифметическое значение не менее трех отдельных определений массовой доли азота. Округляют результат расчета содержания карбамида с точностью до 0,1%.
B.7 Прецизионность
Таблица B.1
В процентах
Массовая доля карбамида wU | Повторяемость r | Воспроизводимость R |
От 38 до 42 | 0,4 | 1,0 |
B.8 Протокол испытания
Протокол испытания должен содержать:
a) тип и описание исследуемого продукта;
b) ссылку на настоящий стандарт;
c) используемый метод отбора проб;
d) результаты испытаний (см.
B.6);
e) отклонения от установленного хода испытания, при наличии;
f) дату проведения испытания.
(обязательное)
ОПРЕДЕЛЕНИЕ ПОКАЗАТЕЛЯ ПРЕЛОМЛЕНИЯ И МАССОВОЙ ДОЛИ
КАРБАМИДА ПО ПОКАЗАТЕЛЮ ПРЕЛОМЛЕНИЯ
C.1 Общие указания
Настоящее приложение устанавливает метод определения показателя преломления AUS 40. Метод испытания применим к жидкостям, имеющим показатель преломления в диапазоне от 1,33 до 1,41 при температуре от 20 °C до 30 °C.
Метод основан на измерении коэффициента преломления и применяется для определения массовой доли карбамида в диапазоне от 38% до 42%.
C.2 Основные принципы
Измерение основано на зависимости значения показателя преломления от массовой доли карбамида в водном растворе при определенной температуре.
Массовую долю карбамида определяют при помощи градуировочного графика.
Примечание - Метод настоящего приложения основан на методе ISO 5661.
C.3 Оборудование
C.3.1 Рефрактометр, пределы измерения - от 1,33000 до 1,41000, разрешающая способность - 0,00001.
C.3.2 Аналитические весы с ценой деления 0,1 мг или менее.
C.3.3 Термостат с точностью контроля температуры 0,02 °C.
C.3.4 Сушильный шкаф.
C.3.5 Высокий химический стакан вместимостью 150 см3.
C.3.6 Обычная стеклянная лабораторная посуда.
C.4 Химические реактивы
C.4.1 Деионизированная вода электропроводимостью менее 0,5 мСм/м, соответствующая степени чистоты 3 по ISO 3696.
C.4.2 Карбамид кристаллический с массовой долей биурета менее 0,1%.
Перед взвешиванием карбамида, используемого для построения градуировочного графика, он должен быть высушен в течение 2 ч при температуре 105 °C.
C.4.3 Контрольный 40%-ный раствор карбамида.
Контрольный раствор должен быть приготовлен точным взвешиванием карбамида и воды. Предпочтительный результат и допустимое отклонение должны быть установлены за 10 измерений.
Раствор следует хранить в герметичной посуде в холодильнике, и он должен быть использован в течение не более 12 нед.
C.5 Проведение испытания
C.5.1 Общие принципы
Проба должна быть растворена полностью, не должно быть кристаллов карбамида. При необходимости перед дальнейшими действиями она может быть нагрета максимум до температуры 40 °C.
На рынке доступны несколько различных видов оборудования. Оценка различных способов и режимов работы не является целью настоящего стандарта. Следует проводить все действия, основываясь на инструкциях оператора.
C.5.2 Построение градуировочного графика и определение поправочного коэффициента
Растворы карбамида готовят путем взвешивания карбамида в стеклянном химическом стакане и последующего добавления соответствующего количества деионизированной воды: 38,0%; 39%; 40%; 41%; 43,0%.
Коэффициент преломления данных растворов должен быть определен при температуре (20 +/- 0,02) °C.
Диаграмма должна показать точную линейную зависимость между коэффициентом преломления и концентрацией. Поправочный коэффициент должен быть рассчитан из концентраций растворов и коэффициентов преломления по формуле:

(C.1)
где F - поправочный коэффициент, %;
wU,i - массовая доля карбамида в i-м стандартном растворе, %;
nU,i - коэффициент преломления i-го стандартного раствора;
nW - коэффициент преломления воды, составляющий 1,33296, если проводить измерение рефрактометром с ценой деления пять десятичных знаков.
C.5.3 Проверка работы оборудования и градуировочного графика
Работу оборудования следует проверять еженедельно при помощи воды или стандартного раствора. При обнаружении отклонения от ожидаемого значения более чем 0,00002 настраивают прибор в соответствии с инструкциями производителя. Если после настройки не получают нужное значение, оборудование не используют для дальнейших измерений и информируют об этом сервисный центр производителя.
Настраивают термостат на ожидаемую температуру, просматривая данную температуру на термометре рефрактометра на стороне подачи. Используют поток воды так, чтобы была достигнута и поддерживалась в пределах +/- 0,02 °C целевая температура.
Кроме того, еженедельно следует проверять градуировочной график при помощи 32,5%-ного раствора карбамида. В процессе проверки должен быть определен коэффициент преломления, и при помощи поправки в соответствии с
C.6 должна быть рассчитана концентрация. Если концентрация отличается от целевого значения более чем на 0,1%, должен быть использован новый контрольный раствор. Если отклонение сохраняется, должен быть построен новый градуировочный график.
C.5.4 Подготовка пробы и измерение
Испытание отобранной пробы проводят при температуре (20 +/- 0,02) °C без дальнейшей подготовки.
В ходе определения массовой доли карбамида проводят два параллельных измерения. Если разница между двумя значениями будет составлять более 0,00005, определение следует повторить.
C.6.1 Вычисления
Массовая доля карбамида должна быть рассчитана по формуле:

(C.2)
где wU - массовая доля карбамида, %;
nP - коэффициент преломления пробы (до пяти знаков после запятой);
nW - коэффициент преломления воды (до пяти знаков после запятой);
F - поправочный коэффициент;
wBi - массовая доля биурета в растворе, % (определенная в соответствии с
приложением E; биурет имеет такой же коэффициент преломления, как и у карбамида);

- массовая доля аммиака в образце, определенная в соответствии с
приложением D [можно предположить, что растворенный в воде аммиак имеет тот же показатель преломления, что и вода, если концентрация составляет менее 0,5% (по массе)].
C.6.2 Запись результатов
Результаты определяют как среднеарифметическое значение двух отдельных измерений. Округляют результат определения коэффициента преломления до четырех знаков после запятой. Результат определения массовой доли карбамида рассчитывают с точностью до 0,1%.
C.7 Прецизионность
Таблица C.1
В процентах
Наименование показателя | Повторяемость r | Воспроизводимость R |
Показатель преломления nP от 1,33 до 1,41 | 0,0001 | 0,0010 |
Массовая доля карбамида wU от 38% до 42% | 0,1 | 1,0 |
C.8 Протокол испытания
Протокол испытания должен содержать:
a) тип и описание испытуемого продукта;
b) ссылку на настоящий стандарт;
c) использованный метод отбора пробы;
d) результаты испытания (см.
C.6);
e) отклонения от установленного хода испытания (при наличии);
f) дату проведения испытания.
(обязательное)
D.1 Общие положения
Настоящее приложение устанавливает метод определения щелочности AUS 40 в пересчете на свободный аммиак в пределах от 0,1% до 0,5%.
D.2 Основные принципы
Определение основано на потенциометрическом титровании свободного аммиака испытуемой пробы стандартным раствором соляной кислоты до конечной точки титрования при pH 4,5.
D.3 Оборудование
D.3.1 Аналитические весы с ценой деления 0,1 мг или менее.
D.3.2 Автоматическая бюретка.
D.3.3 Потенциометр с точностью измерения до 0,01 единиц pH, оборудованный комбинированным стеклянным электродом для измерения pH.
D.3.4 Магнитная мешалка.
D.3.5 Высокий химический стакан вместимостью 150 см3.
D.3.6 Измерительный цилиндр вместимостью 100 см3.
D.4 Реактивы
D.4.1 Общие положения
При проведении анализа используют исключительно реактивы известной степени чистоты и только дистиллированную или деионизированную воду с удельной электропроводимостью менее 0,5 мСм/м, соответствующую степени чистоты 3 по ISO 3696.
D.4.2 Соляная кислота
Стандартный раствор концентрацией 0,01 моль/л.
D.4.3 Буферные растворы
Следующие стандартные буферные растворы используют при определении щелочности:
- стандартный буферный раствор с pH 4,008;
- стандартный буферный раствор с pH 9,184;
- стандартный буферный раствор с pH 8,00.
Примечание - Подобные растворы доступны на рынке.
D.5 Проведение испытания
D.5.1 Влияющие факторы
Для того чтобы избежать образования аммиака, взятые пробы AUS 40 следует хранить и доставлять при температуре не выше 25 °C.
Для того чтобы избежать испарения аммиака, контейнеры должны герметично закрываться и время анализа не должно продлеваться из-за перерывов.
D.5.2 Проверка потенциометрической системы
Работа потенциометрической системы должна быть проверена при помощи стандартных буферных растворов с pH 4,008 и pH 9,180.
Стандартный буферный раствор с pH 8,00 следует использовать для ежедневной проверки потенциометрической системы.
D.5.3 Предварительное испытание
Взвешивают около 1 г гомогенизированной пробы с точностью +/- 0,05 г (масса пробы mS) и помещают в химический стакан вместимостью 150 см3, заполненный примерно 100 см3 дистиллированной или деионизированной воды.
Титруют при помешивании раствором соляной кислоты (0,01 моль/л) до конечной точки титрования pH 4,5.
Вычисляют массовую доля аммиака.
В зависимости от полученного значения щелочности взвешивают следующую пробу для определения:
- значения щелочности, полученного
при предварительном испытании, %: 0,02 0,05 0,1 от 0,2 до 0,5
- массы испытуемой пробы: 10 5 2 1
D.5.4 Определение
Взвешивают гомогенизированную пробу массой, определенной в предварительном испытании, с точностью +/- 0,05 г (масса пробы mS) и помещают в химический стакан вместимостью 150 см3, заполненный примерно 100 см3 дистиллированной или деионизированной воды.
Титруют при помешивании раствором соляной кислоты (0,1 моль/л) сначала с обычной скоростью до pH 7,5, затем медленнее до конечной точки титрования при pH 5,7.
Проводят два измерения.
D.6.1 Вычисления
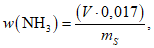
Щелочность, %, в пересчете на аммиак NH3 рассчитывают по формуле:

(D.1)
где w(NH3) - щелочность в пересчете на свободный аммиак, %;
V - объем соляной кислоты, использованный для титрования, мл;
mS - масса испытуемой пробы, г.
D.6.2 Запись результатов
Рассчитывают среднеарифметическое значение двух измерений. Результат записывают с точностью до 0,01%.
D.7 Прецизионность
Таблица D.1
В процентах
Щелочность w(NH3) | Повторяемость r | Воспроизводимость R |
От 0,1 до 0,5 | 0,01 | 0,2·x |
Примечание - В настоящей таблице использовано следующее обозначение: - x - среднее значение. |
D.8 Протокол испытания
Протокол испытания должен содержать:
a) тип и описание исследуемого продукта;
b) ссылку на настоящий стандарт;
c) используемый метод отбора проб;
d) результаты испытаний (см.
D.6);
e) отклонения от установленного хода испытания (при наличии);
f) дату проведения испытания.
(обязательное)
ОПРЕДЕЛЕНИЕ МАССОВОЙ ДОЛИ БИУРЕТА
E.1 Общие положения
Настоящее приложение устанавливает фотометрический метод определения массовой доли биурета в AUS 40 в пределах от 0,1% до 0,8%. Метод также применим при ожидаемой массовой доле не более 1,5%, но в данном случае показатели прецизионности не определены.
E.2 Основные принципы
В щелочных растворах в присутствии смешанной калиевонатриевой соли винной кислоты биурет формирует комплекс с двухвалентной медью, окрашенный в фиолетовый цвет, с максимумом оптической плотности при длине волны 550 нм. Окрашенный комплекс определяют спектрофотометрически при длине волны 550 нм и при помощи градуировочного графика, построенного по стандартным растворам биурета, устанавливают концентрацию биурета.
E.3 Оборудование
E.3.1 Аналитические весы с ценой деления 0,001 г.
E.3.2 Вакуумный фильтр, способный проводить фильтрование с размером пор 0,45 мм.
E.3.3 Спектрофотометр для проведения измерений при длине волны 550 нм с кюветой толщиной 50 мм.
E.3.4 Мерные колбы объемом 1000, 250, 100, 50 см3.
E.3.5 Пипетки.
E.3.6 Роторный испаритель.
E.3.7 Термостат, способный поддерживать температуру (30 +/- 1) °C.
E.4 Реактивы
E.4.1 Химические реактивы аналитической степени чистоты
При проведении анализа используют исключительно реактивы аналитической степени чистоты. Используемая вода должна быть деионизированной, ее следует прокипятить перед применением, для того чтобы удалить диоксид углерода.
E.4.2 Насыщенный раствор карбоната калия.
E.4.3 Раствор сульфата меди
Растворяют 15 г сульфата меди (CuSO4·5H2O) в воде, очищенной от CO2, и доводят до 1000 см3.
E.4.4 Щелочной раствор смешанной калиевонатриевой соли винной кислоты
Растворяют 40 г гидроксида натрия в 500 см3 воды в колбе объемом 1000 см3. После охлаждения добавляют 50 г смешанной калиевонатриевой соли винной кислоты (KNaC4H4O6·4H2O) и доводят до метки водой. Перед использованием выдерживают раствор в течение одного дня.
E.4.5 Стандартный раствор биурета концентрацией 0,8 мг биурета на 1 дм3
Растворяют 800 мг чистого биурета в воде, очищенной от CO2, и доводят до 1000 мл. Перед использованием высушивают биурет в течение 3 ч при температуре 105 °C.
Биурет может быть очищен следующим методом:
- добавляют 50 г биурета к 500 см3 раствора аммиака с 25%-ной концентрацией, перемешивают в течение 15 мин;
- фильтруют, промывают водой без аммиака и просушивают биурет;
- растворяют в этаноле (10 г на 1 дм3), фильтруют и выпаривают при постепенном нагревании до одной четвертой объема;
- охлаждают до температуры 5 °C и фильтруют;
- высушивают биурет в вакуумной печи при температуре 80 °C;
- проверяют чистоту фотометрическими измерениями по
E.5.5.
Стадию перекристаллизации из этанола повторяют до тех пор, пока не произойдет заметного улучшения чистоты.
E.5 Проведение испытания
E.5.1 Влияющие факторы
Спектрофотометрические измерения применимы только для прозрачных растворов. Пробу фильтруют через фильтр с диаметром пор 0,45 мм для получения прозрачного раствора.
Аммиак образует с двухвалентной медью окрашенный комплекс, который поглощает свет при длине волны 550 нм. Метод применим только в том случае, если массовая доля аммиака в пробе менее 500 мг/кг.
Для того чтобы снизить массовую долю аммиака, превышающую 500 мг/кг, помещают 50,0 г пробы в литровую колбу ротационного испарителя, добавляют 15 см3 раствора карбоната калия и испаряют его в течение 1 ч при температуре 40 °C со скоростью вращения 60 об/мин и под вакуумом 2 - 3 кПа до окончательного объема примерно 20 см3. Переносят данный объем в мерную колбу объемом 250 мл.
E.5.2 Построение градуировочного графика
В шесть мерных колб объемом 50 см3 каждая переносят 2, 5, 10, 15, 20, 25 см3 стандартного раствора биурета и в каждую из шести колб добавляют воду до общего объема смеси 25 см3. Добавляют при помешивании после каждого прибавления 10 см3 щелочного раствора виннокислого калия-натрия и 10 см3 раствора сульфата меди. Помещают пробирки в термостат с установленной температурой (30 +/- 1) °C на 15 мин.
Проводят холостое испытание параллельно с определением, следуя аналогичной методике и используя такое же количество всех реагентов, как и для измерения по
E.5.5.
После охлаждения до комнатной температуры растворы в мерных колбах доводят до метки водой и тщательно перемешивают. Проводят фотометрическое определение спектрофотометром на длине волны около 550 нм, используя кювету с толщиной слоя 50 мм и воду в качестве образца сравнения.
Вычитают оптическую плотность при холостом определении из оптической плотности измеренных значений и строят градуировочный график. В заданном диапазоне концентраций график должен быть строго линеен.
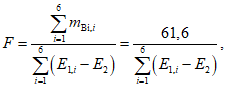
E.5.3 Расчет поправочного коэффициента
Рассчитывают поправочный коэффициент F, мг, по следующей формуле:

(E.1)
где mBi,i - масса биурета в i-й пробе, мг;
E1,i - оптическая плотность i-й пробы;
E2 - оптическая плотность в холостом определении.
Построение градуировочного графика и определение поправочного коэффициента необходимо повторять ежегодно и документировать.
E.5.4 Коэффициент временной поправки
Коэффициент временной поправки следует рассчитывать еженедельно.
Проводят измерение 10 см
3 стандартного раствора биурета (8 мг биурета), как описано в
E.5.5.
Рассчитывают по следующей формуле:

(E.2)
где FD - коэффициент временной поправки;
E1 - оптическая плотность стандартного раствора (среднее двух определений);
E2 - оптическая плотность в холостом определении.
Отклонение коэффициента временной поправки должно быть в пределах +/- 5% от поправочного коэффициента. Для испытания проб следует использовать коэффициент временной поправки.
E.5.5 Проведение испытания
Взвешивают 100 г испытуемого образца с точностью до 0,01 г в мерной колбе объемом 250 мл. Доводят до метки водой и тщательно перемешивают.
Переносят аликвотную часть, равную 10 см3, из испытуемого раствора в колбу объемом 50 см3, доводят водой примерно до 25 см3. Добавляют при помешивании после каждого прибавления по очереди 10 см3 щелочного раствора виннокислого калия-натрия и 10 см3 раствора сульфата меди. Помещают колбу в термостат с установленной температурой (30 +/- 1) °C на 15 мин.
Проводят холостое испытание параллельно с определением, следуя аналогичной методике и используя такое же количество всех реагентов, как и для определения.
После охлаждения до комнатной температуры растворы в мерных колбах доводят до метки водой и тщательно взбалтывают. Проводят фотометрическое определение спектрофотометром при длине волны примерно 550 нм, используя кювету 50 мм и воду в качестве сравнения.
Для определения неспецифичных значений оптической плотности помещают другие 10 см3 испытуемого раствора в колбу объемом 50 см3, доводят до метки водой и измеряют оптическую плотность по той же методике.
Следует провести два параллельных определения.
E.6.1 Вычисления
Массовую долю биурета рассчитывают по формуле:

(E.3)
где wA - массовая доля биурета, %;
ES - оптическая плотность испытуемой пробы;
EB - оптическая плотность холостой пробы;
FD - коэффициент временной поправки, мкг;
mS - масса пробы, использованной для приготовления испытуемого раствора, г.
E.6.2 Запись результатов
Результат записывают с точностью до 0,01%.
E.7 Прецизионность
Таблица E.1
В процентах
Массовая доля биурета wA | Повторяемость r | Воспроизводимость R |
От 0,1 до 0,8 | 0,01 | 0,04 |
E.8 Протокол испытания
Протокол испытания должен содержать:
a) тип и описание исследуемого продукта;
b) ссылку на настоящий стандарт;
c) используемый метод отбора проб;
d) результаты испытаний (см.
E.6);
e) отклонения от установленного хода испытания (при наличии);
f) дату проведения испытания.
(обязательное)
ОПРЕДЕЛЕНИЕ МАССОВОЙ КОНЦЕНТРАЦИИ АЛЬДЕГИДОВ
F.1 Общие положения
Настоящее приложение устанавливает метод определения массовой концентрации свободных и связанных альдегидов в пересчете на формальдегид в AUS 40 в пределах от 5 до 100 мг/кг.
F.2 Основные принципы
В растворах концентрированной серной кислоты формальдегид образует с хромотроповой кислотой раствор пурпурного цвета с максимумом оптической плотности при длине волны 565 нм. Определяют окрашенный комплекс спектрофотометрически при длине волны 565 нм и при помощи градуировочного графика, построенного по стандартным растворам формальдегида, а также концентрацию альдегидов.
Примечание - Метод, установленный в настоящем приложении, основан на методе ИСО 22241-2.
F.3 Оборудование
F.3.1 Аналитические весы с ценой деления 0,0001 г.
F.3.2 Спектрофотометр для проведения измерений при длине волны 565 нм с кюветой толщиной 10 мм.
F.3.3 Мерные колбы.
F.3.4 Пипетки.
F.4 Реактивы
F.4.1 Химические реактивы аналитической степени чистоты следует использовать во всех испытаниях.
F.4.2 Серная кислота концентрации 96%.
F.4.3 Хромотроповая кислота (дигидраты натриевой или динатриевой соли 4,5-дигидроксинафтален-2,7-дисульфокислоты), 3%-ный раствор в 15%-ной серной кислоте.
Для приготовления данного раствора добавляют 41 см3 серной кислоты к 410 см3 воды при охлаждении раствора и затем 15 г хромотроповой кислоты, тщательно перемешивают.
Примечание - При хранении в бутылке из коричневого стекла данный раствор пригоден не менее чем 3 мес.
F.4.4 Стандартные растворы формальдегида, приготовленные следующим образом:
- помещают от 6,5 до 7 г раствора формальдегида концентрацией 37% в мерную колбу объемом 500 см3, заполняют колбу водой до метки и тщательно перемешивают;
- определяют концентрацию формальдегида в растворе, например в соответствии с методом стандарта [4];
- разбавляют раствор в соотношении 1:1000. Записывают точное значение концентрации формальдегида в колбе (концентрация формальдегида, определенная в прошлом шаге, разделенная на 1000).
F.5 Проведение испытания
F.5.1 Построение градуировочного графика
В шесть мерных колб объемом 50 см3 каждая переносят 0,2; 0,5; 1,0; 2,0; 5,0 и 10 см3 стандартного раствора формальдегида и добавляют воды до общего объема смеси примерно 10 см3. Добавляют при помешивании 1 см3 хромотроповой кислоты с последующим постепенным добавлением в течение 5 мин 20 см3 серной кислоты. Повышение температуры при добавлении серной кислоты должно превысить 100 °C, что необходимо для завершения реакции. Оставляют колбы стоять в течение 15 мин без дополнительного охлаждения.
Проводят холостое испытание параллельно с определением, следуя аналогичной методике и используя такое же количество всех реагентов, как и для измерения по
F.5.4.
После охлаждения до комнатной температуры растворы в мерных колбах доводят водой до метки и тщательно перемешивают. Проводят фотометрическое измерение при помощи спектрофотометра при длине волны 565 нм, используя кювету с толщиной слоя 10 мм и воду в качестве образца сравнения.
Вычитают оптическую плотность при холостом определении из оптической плотности измеренных значений и строят градуировочный график. В концентрационном диапазоне график должен быть строго линеен.
F.5.2 Расчет поправочного коэффициента калибровки
Рассчитывают поправочный коэффициент F, мкг, по следующей формуле:

(F.1)
где mHCHO,i - масса формальдегида в i-й пробе, мкг;
E1,i - оптическая плотность i-й пробы;
E2 - оптическая плотность в холостом определении.
Построение градуировочного графика и определение поправочного коэффициента необходимо повторять ежегодно и документировать.
F.5.3 Проверка метода
Каждые 3 мес следует проверять метод следующим образом.
В группу из трех мерных колб объемом 50 см
3 переносят 2 см
3 стандартного раствора формальдегида и добавляют воду до общего объема примерно 10 см
3. Действуют в соответствии с методикой, описанной в
F.5.4, и рассчитывают массовую долю альдегида в соответствии с
F.6.
Сравнивают полученные результаты с известной массовой долей в стандартных растворах. Если отклонение менее или равно 2%, метод готов к применению. Если отклонение более чем 2%, повторяют проверку. Если отклонения снова более 2%, возможность использовать метод отсутствует до тех пор, пока не будет построен новый градуировочный график.
Взвешивают от 0,5 до 1,0 г испытуемой пробы с точностью 0,001 г в мерной колбе объемом 50 см3, разбавляют ее водой до общего объема, примерно равного 10 см3. Добавляют при помешивании 1 см3 раствора хромотроповой кислоты с последующим постепенным добавлением 20 см3 серной кислоты в течение 5 мин. Повышение температуры при добавлении серной кислоты должно превысить 100 °C, что необходимо для завершения реакции. Оставляют колбы стоять в течение 15 мин без дальнейшего охлаждения.
Проводят холостое испытание параллельно с определением, следуя аналогичной методике и используя такое же количество реагента, как и для основного испытания.
После охлаждения до комнатной температуры доводят раствор в мерной колбе водой до метки и тщательно перемешивают. Проводят фотометрическое измерение при помощи спектрофотометра при длине волны 565 нм, используя 10 мм кювету и воду в качестве сравнения.
F.6.1 Вычисления
Массовую концентрацию альдегида wA, мг/кг, рассчитывают по формуле:

(F.2)
где ES - оптическая плотность пробы;
EB - оптическая плотность холостой пробы (холостой контрольный реагент и холостой образец);
F - поправочный коэффициент, мкг;
mS - масса использованной пробы, г.
F.6.2 Запись результатов
Результат записывают с точностью до 1 мг/кг.
F.7 Прецизионность
Таблица F.1
В миллиграммах на килограмм
Массовая концентрация альдегида wA | Повторяемость r | Воспроизводимость R |
От 5 до 100 | 0,14 | 0,05·x |
Примечание - В настоящей таблице использовано следующее обозначение: - x - среднее значение. |
F.8 Протокол испытания
Протокол испытания должен содержать:
a) тип и описание исследуемого продукта;
b) ссылку на настоящий стандарт;
c) используемый метод отбора проб;
d) результаты испытания (см.
F.6);
e) отклонения от установленного хода испытания (при наличии);
f) дату проведения испытания.
(обязательное)
ОПРЕДЕЛЕНИЕ МАССОВОЙ КОНЦЕНТРАЦИИ НЕРАСТВОРИМОГО ОСТАТКА
ГРАВИМЕТРИЧЕСКИМ МЕТОДОМ
G.1 Общие положения
Настоящее приложение устанавливает метод определения массовой концентрации нерастворимого остатка в AUS 40 выше 1 мг/кг.
G.2 Основные принципы
Пробу отфильтровывают и определяют массу осадка гравиметрическим методом.
G.3 Оборудование
G.3.1 Фильтрационное оборудование для вакуумной фильтрации, подходящее к фильтрам диаметром мембраны 47 и 50 мм.
G.3.2 Мембранный фильтр с размером пор 0,8 мкм из смешанного эфира целлюлозы.
G.3.3 Чашка Петри с крышкой, подходящая по размерам к мембранным фильтрам (примерно 80 x 15 мм).
G.3.4 Пинцет с тупыми концами.
G.3.5 Аналитические весы с ценой деления 0,01 мг или менее.
G.3.6 Весы с ценой деления 0,01 г или менее.
G.3.7 Стеклянный химический стакан номинальным объемом 400 мл (предпочтительно высокий с мерными делениями).
G.3.8 Сушильная печь, способная поддерживать температуру 105 °C с точностью +/- 2 °C.
G.3.9 Эксикатор, заполненный осушивающими веществами.
Примечание - Серная кислота или хлорид кальция не подходят в качестве сушильных веществ.
G.3.10 Стандартная стеклянная лабораторная посуда.
G.4 Реактивы
G.4.1 Деионизированная вода удельной электропроводностью менее 0,1 мСм/м, соответствующая степени чистоты 2 по ISO 3696.
G.5 Проведение испытания
Проба должна быть растворена полностью, не должно быть кристаллов карбамида. При необходимости перед дальнейшими действиями проба может быть нагрета до температуры <= 40 °C.
Фильтр, используемый при испытании, должен быть заранее промыт водой. Для этого фильтр смачивают примерно 100 см3 воды в устройстве вакуумной фильтрации и перекачивают воду через фильтр.
Затем фильтр сушат в сушильном шкафу до постоянной массы и хранят в чашке Петри (один фильтр на одну чашку Петри) в эксикаторе. Мембранный фильтр должен быть взвешен с точностью до 0,01 мг непосредственно до проведения испытания.
Фильтр должен всегда оставаться в чашке Петри при взвешивании.
Пробу необходимо тщательно перемешать до однородности. Непосредственно после этого примерно от 100 до 150 см3 пробы переносят в сухой откалиброванный стеклянный химический стакан, взвешивают с точностью до 0,01 г и добавляют 200 см3 воды. Проба не должна отбираться пипеткой для фильтрования.
Фильтрационное оборудование должно быть настроено при помощи мембранных фильтров. Фильтр должен быть смочен небольшим количеством воды (от 1 до 2 см3) без применения вакуума. Подготовленную пробу помещают в фильтровальный сосуд, включают вакуумный насос, в результате образец быстро проходит через фильтр.
Стеклянный химический стакан должен быть промыт пятью порциями воды, примерно от 30 до 50 см3 каждая. Промывочный раствор тоже должен пройти через фильтр (сосуд для пробы фильтровального оборудования тоже должен быть промыт). Проба должна быть полностью отфильтрована до начала первой промывки. Допускается незначительное подсыхание фильтра.
Фильтрационное оборудование должно быть разобрано, и фильтр должен быть высушен при температуре 105 °C до достижения постоянной массы. После охлаждения до комнатной температуры в эксикаторе фильтр должен быть взвешен с точностью до 0,01 мг.
Необходимо убедиться в том, что фильтр полностью промыт от остатков карбамида. Если обнаруживается, что фильтр приклеивается к стеклянной поверхности чашки Петри, это означает, что промывание было недостаточным. Такие фильтры должны быть заменены, а анализ должен быть повторен.
G.6.1 Вычисления

(G.1)
где wins - массовая концентрация нерастворимого остатка, мг/кг;
mFL - масса высушенного чистого фильтра, мг;
mFR - масса высушенного фильтра с осадком из пробы, мг;
mS - масса пробы, г.
G.6.2 Запись результатов
За результат принимают среднеарифметическое значение результатов вычисления. Если разница между отдельными значениями превышает 25% большего значения величины, определение должно быть повторено. Результат округляют следующим образом:
< 10 мг/кг - до ближайшего значения с точностью 0,1 мг/кг;
>= 10 мг/кг - до ближайшего значения с точностью 1 мг/кг.
G.7 Прецизионность
Таблица G.1
В миллиграммах на килограмм
Массовая концентрация твердых частиц wins | Повторяемость r | Воспроизводимость R |
Св. 1 | 0,23·x | 0,38·x |
Примечание - В настоящей таблице использовано следующее обозначение: - x - среднее значение. |
G.8 Протокол испытания
Протокол испытания должен содержать:
a) тип и описание исследуемого продукта;
b) ссылку на настоящий стандарт;
c) используемый метод отбора проб;
d) результаты испытания (см.
G.6);
e) отклонения от установленного хода испытания (при наличии);
f) дату проведения испытания.
(обязательное)
ОПРЕДЕЛЕНИЕ МАССОВОЙ КОНЦЕНТРАЦИИ ФОСФАТОВ
ФОТОМЕТРИЧЕСКИМ МЕТОДОМ
H.1 Общие положения
Настоящее приложение устанавливает методику определения общей массовой концентрации фосфатов в AUS 40 в пределах от 0,05 до 10 мг/кг. Расширение пределов измерения возможно при изменении количества пробы.
H.2 Основные принципы
Пробу выпаривают и прокаливают с карбонатом кальция для минерализации фосфорсодержащих соединений.
После данной обработки пробу переводят из фосфатов в ортофосфаты при помощи соляной кислоты.
Ионы ортофосфата в кислом растворе реагируют с молибдатом и ионом антимония с образованием антимонил-фосформолибдатного комплекса.
Восстановление данного комплекса аскорбиновой кислотой приводит к образованию интенсивно окрашенного в синий цвет комплекса молибдена. Интенсивность цвета показывает концентрацию ортофосфат-иона.
H.3 Оборудование
H.3.1 Аналитические весы с ценой деления 0,01 г или менее.
H.3.2 Чаша для прокаливания (платиновая или из кварцевого стекла).
H.3.3 Нагревательная плита или песочная баня.
H.3.4 Муфельная печь (700 °C).
H.3.5 Спектрофотометр (для проведения измерения при 800 нм с кюветой толщиной 1 см).
H.3.6 Кюветы толщиной 1 см, сделанные из оптического стекла.
H.3.7 Градуированные колбы.
H.4 Реактивы
H.4.1 Деионизированная вода с удельной электропроводностью менее 0,1 мСм/м, соответствующая степени чистоты 2 по ISO 3696.
H.4.2 Карбонат кальция ч.д.а.
H.4.3 Соляная кислота концентрацией 25%.
H.4.4 Серная кислота концентрацией 96%.
H.4.5 Аскорбиновая кислота ч.д.а.
H.4.6 Молибденовокислый аммоний ч.д.а.
H.4.7 Полугидрат калия-сурьмы (III) оксида тартрата (калий антимонил виннокислый).
H.4.8 Раствор аскорбиновой кислоты концентрацией 100 г/л
Растворяют 10 г аскорбиновой кислоты
(H.4.5) в 100 см
3 деионизированной воды
(H.4.1).
Примечание - Раствор пригоден для пользования в течение 2 нед при хранении в холодильнике. Раствор можно использовать до тех пор, пока он бесцветный.
Растворяют 13 г молибденовокислого аммония (NH
4)
6Mo
7O
24·4H
2O
(H.4.6) в 250 см
3 деионизированной воды
(H.4.1). Переносят при охлаждении и помешивании 150 см
3 серной кислоты
(H.4.4).
После этого растворяют 0,35 г полугидрата калия-сурьмы (III) оксида тартрата
(H.4.7) в 100 см
3 деионизированной воды
(H.4.1) и смешивают его с раствором молибдата в серной кислоте.
Примечание - Раствор пригоден для использования в течение 2 мес при условии его хранения в одной закрытой бутылке из коричневого стекла.
H.4.10 Калия дигидрофосфат (KH
2PO
4) ч.д.а., высушенный при температуре 105 °C.
H.4.11 Раствор фосфатов концентрацией 200 мг/см3
Взвешивают 286,6 мг калия дигидрофосфата
(H.4.10), помещают в градуированную колбу вместимостью 1 см
3 (H.3.7) и растворяют в деионизированной воде
(H.4.1). Добавляют 2 см
3 серной кислоты
(H.4.4), доводят до метки деионизированной водой
(H.4.1) и перемешивают.
Примечание - Раствор пригоден для использования в течение не менее 3 мес при хранении в закрытой стеклянной бутылке.
H.4.12 Раствор фосфатов концентрацией 2 мг/л
Из раствора фосфатов
(H.4.11) делают второй раствор фосфатов концентрацией 2 мг/мл разбавлением деионизированной водой
(H.4.1) в соотношении 1:100.
H.5 Проведение испытания
H.5.1 Построение градуировочного графика
Переносят 1, 2, 5 и 10 см
3 раствора фосфатов
(H.4.12) (соответствующего 2, 4, 10 и 20 мкг фосфата) отдельно в отградуированные колбы вместимостью 50 см
3 каждая
(H.3.7) и разбавляют деионизированной водой
(H.4.1) до 40 см
3. Концентрация каждого раствора должна быть измерена 10 раз по
H.5.7.
H.5.2 Расчет поправочного коэффициента
Рассчитывают поправочный коэффициент C, мкг, по следующей формуле:

(H.1)
где mphosphate,i - масса фосфата в i-й пробе, мг;
E1,i - оптическая плотность i-й пробы;
E2 - оптическая плотность в холостом определении.
H.5.3 Проверка метода
H.5.3.1 Цель
Необходимо проверить, насколько соответствуют результаты, благодаря используемому методу.
H.5.3.2 Основные принципы
Раствор фосфатов
(H.4.12) определяется как рутинная проба. Количество фосфатов в растворе является основным значением, которое должно быть найдено.
H.5.3.3 Выполнение
В градуированную колбу вместимостью 50 см
3 (H.3.7) пипеткой переносят 5 см
3 раствора фосфатов, проводят определение результатов
(H.6). Повторяют процедуру три раза.
Метод считают правильным, если измеренное значение отличается от указанной массовой концентрации фосфатов менее чем на +/- 2%.
H.5.3.4 Частота
Проверку метода проводят каждые 3 мес.
H.5.4 Проверка градуировочного графика
H.5.4.1 Цель
Необходимо проверить, правильна ли область градуировочного графика на заданном интервале.
H.5.4.2 Основные принципы
Проводят определение раствора фосфатов с известной массовой концентрацией и сравнивают результаты со значениями на градуировочном графике.
H.5.4.3 Выполнение
Аналогично
H.5.1 должны быть определены три раза не менее чем три концентрации в измеряемом диапазоне.
Градуировочный график считают правильным, если среднее значение рассчитанных значений отличается менее чем на +/- 2% относительно заданной точки на градуировочном графике. Если разница больше, повторяют процедуру.
Если большая разница сохраняется, то метод испытания для определения массовой концентрации фосфатов не может быть использован до тех пор, пока не построен новый градуировочный график
(H.5.1).
H.5.4.4 Частота
Проверку градуировочного графика проводят не реже одного раза в три года.
Проба должна быть растворена полностью, не должно быть кристаллов карбамида. При необходимости образец может быть нагрет до температуры <= 40 °C.
Взвешивают примерно 100 г (записывают массу) подготовленной пробы
(H.5.5) в чаше для прокаливания
(H.3.2) и добавляют 100 мг карбоната кальция
(H.4.2). Помещают чашу с подготовленной пробой на нагревательную плиту и медленно высушивают. Затем прокаливают пробу в муфельной печи при температуре 700 °C
(H.3.4) до полного разложения вещества. Охлаждают пробу и добавляют в чашу 1 см
3 соляной кислоты
(H.4.3) и от 20 до 30 см
3 деионизированной воды
(H.4.1). Кипятят до растворения осадка и выделения CO
2. Полностью переносят раствор в градуированную колбу вместимостью 100 см
3 (H.3.7), доводят ее водой до метки и перемешивают.
H.5.7 Фотометрическое определение
Пипеткой [используют пипетку с грушей в соответствии с
(H.3.8)] отбирают точный объем из раствора
(H.5.6) в градуированную колбу вместимостью 50 см
3 (H.3.7). Используют не более 40 см
3 раствора образца. Если использовано менее 40 см
3 раствора образца, разбавляют раствор деионизированной водой
(H.4.1) до метки 40 см
3.
При помешивании добавляют 1 см
3 раствора аскорбиновой кислоты
(H.4.8) и 2 см
3 раствора молибдата
(H.4.9), доводят до метки водой и перемешивают. Таким же способом делают холостую пробу, но без добавления исследуемого раствора.
Через 10 - 30 мин определяют спектрофотометром
(H.3.5) оптическую плотность пробы и холостой пробы при длине волны 800 нм.
H.6.1 Вычисления
Массовую концентрацию фосфатов wP, мг/кг, рассчитывают по формуле:

(H.2)
где ES - оптическая плотность пробы;
EB - оптическая плотность холостой пробы;
C - поправочный коэффициент, мкг;
VS - объем вещества, прошедшего разложение, мл;
F1, равный 1000 (перевод единиц из килограммов в граммы);
V - объем раствора, использованного для фотометрического определения, мл;
F2, равный 1000 (перевод единиц из миллиграммов в микрограммы);
mS - масса пробы раствора карбамида, г.
H.6.2 Запись результатов
Результат записывают с точностью до 0,01 мг/кг.
H.7 Прецизионность
Таблица H.1
В миллиграммах на килограмм
Массовая концентрация фосфатов wP | Повторяемость r | Воспроизводимость R |
От 0,1 до 1 | 0,02 | 0,03 |
H.8 Протокол испытания
Протокол испытания должен содержать:
a) тип и описание исследуемого продукта;
b) ссылку на настоящий стандарт;
c) используемый метод отбора проб;
d) результаты испытания (см.
H.6);
e) отклонения от установленного хода испытания (при наличии);
f) дату проведения испытания.
(обязательное)
ОПРЕДЕЛЕНИЕ МАССОВОЙ КОНЦЕНТРАЦИИ МИКРОЭЛЕМЕНТОВ
(Ca, Fe, K, Mg, Na) МЕТОДОМ ОПТИКО-ЭМИССИОННОЙ СПЕКТРОСКОПИИ
С ИНДУКТИВНО СВЯЗАННОЙ ПЛАЗМОЙ (ICP-OES)
I.1 Общие положения
Настоящее приложение устанавливает методику определения массовой концентрации кальция, железа, калия, магния и натрия в AUS 40.
I.2 Основные принципы
Массовую концентрацию микроэлементов определяют при помощи оптико-эмиссионной спектроскопии с индуктивно связанной плазмой (ICP-OES). Данный метод требует построения градуировочного графика для каждого элемента.
Могут быть на выбор применены две разные аналитические методики подготовки пробы:
a) высушивание и прокаливание (озоление) раствора карбамида (при помощи нагревательной плиты или микроволновой муфельной печи). Методика требует больше времени, но является более чувствительной;
b) непосредственное определение, включающее разбавление в соотношении 1:5 водой (основная методика).
I.3 Оборудование
I.3.1 Оборудование для методики прокаливания
I.3.1.1 Мерная колба вместимостью 100 см3, класс A или B
Можно использовать пластиковые мерные колбы или мерные колбы из кварцевого стекла. Не следует использовать колбы из боросиликатного стекла.
I.3.1.2 Муфельная печь
Предпочтительно, чтобы муфельная печь имела возможность программирования изменения температуры, а также была оборудована отводом газов.
I.3.1.3 Горелка Бюнзена (при применении)
Осторожно! В случае чрезмерного прокаливания щелочные элементы испаряются.
I.3.1.4 Нагревательная плита с достигаемой температурой поверхности 500 °C.
В другом случае может быть использована микроволновая муфельная печь с отводом газов и поддоном для пробы из кварцевого стекла.
I.3.1.5 Аналитические весы с ценой деления 0,1 г или менее.
I.3.1.6 Чаши из кварцевого стекла номинальным объемом 100 см3.
Не следует использовать платиновые чаши, т.к. это приведет к заниженным результатам.
I.3.2 Оборудование для непосредственного определения
I.3.2.1 Мерная колба вместимостью 100 мл, класс A или B
Можно использовать пластиковые мерные колбы или мерные колбы из кварцевого стекла. Не следует использовать колбы из боросиликатного стекла.
I.3.2.2 Пипетки фиксированного объема: 50, 100, 200, 500, 1000 мкл, 10 см3 или регулируемые штемпель-пипетки.
Пипетки должны быть градуированы.
I.3.3 Измерительное оборудование ICP-OES
Должна быть использована система распыления, которая может переводить в аэрозоль даже растворы с большим содержанием солей [перекрестные потоки, клиновидные потоки (V-groove) или схожие]. Рекомендуется увлажнение газа-носителя плазмы (аргона).
Если используют автоматический отбор пробы, сосуды, игла и питающие шланги, ведущие к спектрофотометру, должны быть изготовлены из полимерных материалов (HDPE, PP, PTFE и т.д.). Не следует применять боросиликатное стекло.
I.4 Реактивы
I.4.1 Общие принципы
Если иное не указано, следует использовать реактивы не менее чем ч.д.а. и дистиллированную/деионизированную воду (удельная электропроводность менее 0,5 мСм/м, соответствующая степени чистоты 3 по ISO 3696).
Все методики должны использовать кислоту только одного типа.
I.4.2 Реактивы для методики прокаливания
Азотная кислота концентрации не менее 65%, в другом случае - соляная кислота концентрации не более 37%.
Стандартные растворы для ICP, 1,000 г/л на каждый элемент.
Можно использовать доступные на рынке аттестованные стандартные растворы для ICP.
I.4.3 Реактивы для непосредственного определения
40%-ный раствор карбамида, приготовленный из карбамида "для биологических целей" и воды, в соответствии с требуемыми массами обоих компонентов.
Азотная кислота концентрации не менее 65%, в другом случае - соляная кислота концентрации не более 37%.
Стандартные растворы для ICP, 1,000 г/л на каждый элемент.
Могут быть использованы доступные на рынке аттестованные стандартные растворы для ICP.
Многоэлементный стандартный раствор 10 мг/л на каждый элемент: пипеткой отбирают 1000 мкл от каждого стандартного раствора для ICP в мерную колбу вместимостью 100 см3.
Доводят раствор в колбе до метки водой и взбалтывают. Каждый рабочий день следует готовить свежий раствор.
I.5 Проведение испытания
I.5.1 Влияющие факторы
Из-за разбрызгивания материала пробы при прокаливании или из-за чрезмерной температуры при подготовке к прокаливанию на горелке Бюнзена или в муфельной печи (в особенности в случае Na и K) можно получить заниженные результаты; из-за внесения дополнительных минеральных компонентов (к примеру, внесения изоляционных материалов печи) - завышенные результаты. Следует принимать соответствующие меры для предотвращения таких ошибок.
Методика прокаливания: элемент P не может быть определен, т.к. при прокаливании образуются полифосфаты, которые впоследствии не растворяются.
При определении некоторых элементов может быть оказано влияние на них из-за матрицы, содержащей углерод. Воздействие может также иметь место из-за используемой системы атомизации пробы. При непосредственном определении в случае проблем, связанных с оборудованием, проба должна быть подготовлена в соответствии с
I.2, перечисление b).
Остаточное количество определяемых элементов может присутствовать на внутренней поверхности пластиковых сосудов (бутылки для проб, мерные колбы и т.д.); следовательно, перед применением внутренняя поверхность всегда должна очищаться кислотой (HCl, HNO3).
I.5.2 Подготовка пробы
I.5.2.1 Подготовка пробы для методики прокаливания
В кварцевой чаше взвешивают 100 г пробы с точностью до 0,1 г. Медленно выпаривают раствор на нагревательной плите до высыхания. Как только проба становится настолько сухой, что ее невозможно разбрызнуть, испаряют пробу в муфельной печи, постепенно нагревая в течение 2 ч, начиная с температуры 350 °C до 700 °C, до полного испарения пробы. Поддерживают температуру 700 °C не менее 30 мин.
В случае отсутствия муфельной печи с контролем температуры и отводом газа пробу сильно выпаривают на открытом пламени (в вытяжном шкафу) и только затем выдерживают при температуре 700 °C в муфельной печи.
Если для прокаливания используют микроволновую муфельную печь, то последовательность температур будет следующей:
1) начинают при комнатной температуре;
2) увеличивают до температуры 200 °C за 30 мин;
3) держат температуру 200 °C в течение 10 мин;
4) увеличивают до температуры 700 °C за 120 мин;
5) держат температуру 700 °C не менее 30 мин.
Дают пробе остыть до комнатной температуры и при нагревании извлекают осадок с помощью 5 см3 азотной кислоты (или соляной кислоты) и примерно 20 см3 воды. Полностью переносят раствор в мерную колбу вместимостью 100 см3. Дают колбе остыть до комнатной температуры, доводят до метки водой и перемешивают.
I.5.2.2 Подготовка пробы при непосредственном определении
При использовании подходящего распылителя и спектрометра с достаточно низкими пределами обнаружения для отдельных элементов подготовку пробы проводят следующим образом:
- взвешивают в мерной колбе 20 г пробы с точностью 0,01 г;
- добавляют в следующей последовательности: около 50 см3 воды и 5 см3 азотной кислоты (соляной кислоты);
- затем заполняют мерную колбу водой и перемешивают раствор.
I.5.3 Построение градуировочного графика
Частота построения градуировочного графика зависит от используемого спектрофотометра (в соответствии со спецификациями производителя оборудования и руководствами). Для проверки градуировочного графика и коррекции его сдвига наибольший и наименьший стандартные растворы следует измерять каждый рабочий день. Рекомендуемые концентрации указаны в
таблицах I.1 и
I.2.
Интенсивность излучения индивидуальных компонентов преобразуют с использованием градуировочного графика (как правило, при помощи программного обеспечения ICP для компьютера).
Раствор | Массовая концентрация на элемент, мг/л | Количество добавляемой кислоты, мл/л |
0 | 0 | 50 |
1 | 0,010 |
2 | 0,030 |
3 | 0,100 |
4 | 0,300 |
5 | 1,000 |
6 | 5,000 |
Раствор | Массовая концентрация на элемент, мг/л | Количество добавляемой кислоты, мл/л | Количество раствора карбамида 40%, мл/л |
0 | 0 | 50 | 200 |
1 | 0,010 |
2 | 0,020 |
3 | 0,050 |
4 | 0,100 |
5 | 0,200 |
6 | 0,500 |
7 | 0,800 |
I.5.4 Выполнение измерения
Для измерения эмиссии должны быть использованы длины волн, указанные в
таблице I.3.
Элемент | Длина волны, нм |
Ca | 396,85, или 317,93, или 393,37 |
Fe | 259,94 или 239,56 |
K | 766,49 |
Mg | 279,55 или 285,21 |
Na | 588,99 или 589,59 |
Измерение каждого из подготовленных растворов следует повторить не менее чем три раза, по этой причине необходимо убедиться в том, что времени промывания между каждой сменой образца достаточно. Для промежуточного промывания предлагается использовать 3%-ный раствор азотной кислоты (или соляной кислоты).
I.6.1 Расчеты
Если на выходе измеренные значения выражены в миллиграммах на литр, их переводят потом в соответствующую данной пробе массовую долю, мг/кг.
I.6.2 Запись результатов
Результатом для каждого элемента являются среднеарифметическое значение всех определений. Указывают результат с точностью до двух значащих цифр.
I.7 Прецизионность
В
таблице I.4 указаны значения прецизионности для обеих методик.
В миллиграммах на килограмм
Элемент | Повторяемость r | Воспроизводимость R |
Ca | 0,02 | 0,1·x |
Fe | 0,01 | 0,3·x |
Mg | 0,02 | 0,3·x |
Na | 0,03 | 0,5·x |
K | 0,03 | 0,5·x |
Примечание - В настоящей таблице использовано следующее обозначение: - x - среднее значение. |
I.8 Протокол испытания
Протокол испытания должен содержать:
a) тип и описание исследуемого продукта;
b) ссылку на настоящий стандарт;
c) используемый метод отбора проб;
d) результаты испытания (см.
I.6);
e) отклонения от установленного хода испытания (при наличии);
f) дату проведения испытания.
(обязательное)
ОПРЕДЕЛЕНИЕ ИДЕНТИЧНОСТИ ОБРАЗЦОВ
МЕТОДОМ ИНФРАКРАСНОЙ СПЕКТРОСКОПИИ (FTIR)
J.1 Общие положения
Настоящее приложение устанавливает метод определения идентичности образцов AUS 40. Все растворы карбамида в воде с концентрацией карбамида более чем 10% будут давать инфракрасные спектры с одинаковыми характерными пиками.
Используя настоящий метод, образцы AUS 40 сравнивают с известным образцом и определяют наличие или отсутствие идентичности. Различия в концентрации или загрязнении не определяют с помощью данного метода.
J.2 Принципы
При прохождении света через тонкий слой раствора карбамида инфракрасный свет поглощается определенным образом; снятый спектр позволяет идентифицировать карбамид. В другом случае можно использовать любые подходящие методы рассеянного общего отражения (ATR).
J.3 Оборудование
J.3.1 Спектрометр с инфракрасной спектроскопией Фурье (FTIR) или любой спектрометр, способный снимать спектр в диапазоне волновых чисел от 600 до 4000 см-1; выбранное разрешение должно быть не менее 4 см-1.
J.3.2 Оптическая кювета, подходящая к водным растворам, например KRS5 (TlBr/TlJ), ZnSe и т.д., толщина слоя - примерно 100 мкм. В другом случае может быть использован любой прибор для ATR, пригодный для жидкостей.
ВНИМАНИЕ! Показатели материалов окна KRS5 чрезвычайно токсичные.
J.4 Проведение испытания
Заполняют кювету анализируемым веществом таким образом, чтобы не оставалось воздушных пузырей. Помещают кювету на пути прохождения луча FTIR спектрометра таким образом, чтобы можно было снять спектр ИК-поглощения. В другом случае образец может быть помещен на кристалл ATR.
Визуально сравнивают полученный спектр со справочным спектром 40%-ного раствора карбамида.
J.5 Запись результатов
В результате измерения на основе пикового волнового числа должно быть сделано одно из заявлений:
- да - для спектра, идентичного справочному;
- нет - для спектра, не идентичного справочному.
J.6 Примеры
X - волновое число; Y - поглощение
Рисунок J.1 - Пример справочного спектра карбамида в воде.
Методика поглощения
X - волновое число; Y - поглощение
Рисунок J.2 - Пример справочного спектра карбамида в воде.
Методика ATR
(справочное)
ТОЧНОСТЬ МЕТОДОВ ИСПЫТАНИЙ
Таблица K.1
Точность методов испытаний
Наименование показателя | Повторяемость r | Воспроизводимость R |
Массовая доля карбамида (по общему азоту), % | 0,4 | 1,0 |
Массовая доля карбамида (по коэффициенту преломления), % | 0,1 | 1,0 |
Коэффициент преломления | 0,0001 | 0,001 |
Плотность в соответствии с ISO 3675, кг/м3 | 0,5 | 1,2 |
Плотность в соответствии с ISO 12185, кг/м3 | 0,2 | 0,5 |
Щелочность по отношению к NH3, % | 0,01 | 0,2·x |
Массовая доля биурета, % | 0,01 | 0,04 |
Массовая концентрация альдегидов, мг/кг | 0,14 | 0,5·x |
Массовая концентрация нерастворимого остатка, мг/кг | 0,23·x | 0,38·x |
Массовая концентрация фосфатов (PO4), мг/кг | 0,02 | 0,03 |
Массовая концентрация кальция, мг/кг | 0,02 | 0,1·x |
Массовая концентрация железа, мг/кг | 0,01 | 0,3·x |
Массовая концентрация магния, мг/кг | 0,02 | 0,3·x |
Массовая концентрация натрия, мг/кг | 0,03 | 0,5·x |
Массовая концентрация калия, мг/кг | 0,03 | 0,5·x |
Примечания 1 В настоящей таблице использовано следующее обозначение: - x - среднее значение. 2 Показатели точности методов измерений плотности - по ISO 3675 и ISO 12185. 3 Прецизионность всех других методов испытания, на которые даны ссылки в настоящем стандарте, получена в результате программы межлабораторных испытаний, проведенных в 2004 г. вместе с введенным в действие ISO 22241, в которых принимали участие 18 лабораторий в Австрии, Германии и Голландии. Полученные данные обработаны в соответствии с ISO 4259. |
(справочное)
СВЕДЕНИЯ О СООТВЕТСТВИИ ССЫЛОЧНЫХ МЕЖДУНАРОДНЫХ СТАНДАРТОВ
МЕЖГОСУДАРСТВЕННЫМ СТАНДАРТАМ
Таблица ДА.1
Обозначение ссылочного международного стандарта | Степень соответствия | Обозначение и наименование соответствующего межгосударственного стандарта |
| | ИС МЕГАНОРМ: примечание. В официальном тексте документа, видимо, допущена опечатка: имеется в виду ГОСТ ISO 3675-2014, а не ГОСТ ISO 3675-2007. | |
|
ISO 3675 | IDT | ГОСТ ISO 3675-2007 "Нефть сырая и нефтепродукты жидкие. Лабораторный метод определения плотности с использованием ареометра" |
ISO 3696 | - | ГОСТ ISO 3696-2013 "Вода для лабораторного анализа. Технические требования и методы контроля" <1> |
ISO 4259 | - | |
ISO 5661 | - | |
ISO 5667-3 | - | |
ISO 12185 | - | |
<*> Соответствующий национальный стандарт отсутствует. До его принятия рекомендуется использовать перевод на русский язык данного международного стандарта. Примечание - В настоящей таблице использовано следующее условное обозначение степени соответствия стандартов: - IDT - идентичные стандарты. |
--------------------------------
<1> В Российской Федерации действует
ГОСТ Р 52501-2005 "Вода для лабораторного анализа. Технические условия".
[1] | Association of Official Analytical Chemists (AOAC) International, Official Methods of Analysis of AOAC International [Международная ассоциация официальных химиков-аналитиков (AOAC), Официальные методы анализов AOAC] |
[2] | ISO 18611-1 | Ships and marine technology - Marine NOx reduction agent AUS 40 - Part 1: Quality requirements (Суда и морские технологии. Восстановитель оксидов азота AUS 40. Часть 1. Требования к качеству) |
[3] | ISO 11402 | Phenolic, amino and condensation resins - Determination of free-formaldehyde content (Фенольные смолы, аминосмолы и конденсационные смолы. Определение содержания свободного формальдегида) |
УДК 661.179:006.82:006.354 | |
Ключевые слова: суда, морские технологии, восстановитель оксидов азота AUS 40, водный раствор карбамида, оксиды азота, преобразователи на селективном каталитическом восстановлении (SCR), методы испытания |