Главная // Актуальные документы // ГОСТ (Государственный стандарт)СПРАВКА
Источник публикации
М.: Стандартинформ, 2019
Примечание к документу
Текст данного документа приведен с учетом
поправки, опубликованной в "ИУС", N 3, 2020;
поправки, опубликованной в "ИУС", N 8, 2020;
поправки, опубликованной в "ИУС", N 12, 2021.
Документ
введен в действие с 01.07.2020.
Взамен ГОСТ 28810-90 (ИСО 1827-76).
Название документа
"ГОСТ ISO 1827-2019. Межгосударственный стандарт. Резина и термоэластопласты. Определение модуля сдвига и прочности сцепления с жесткими пластинами. Методы сдвига четырехэлементного образца"
(введен в действие Приказом Росстандарта от 22.10.2019 N 1037-ст)
"ГОСТ ISO 1827-2019. Межгосударственный стандарт. Резина и термоэластопласты. Определение модуля сдвига и прочности сцепления с жесткими пластинами. Методы сдвига четырехэлементного образца"
(введен в действие Приказом Росстандарта от 22.10.2019 N 1037-ст)
по техническому регулированию
и метрологии
от 22 октября 2019 г. N 1037-ст
МЕЖГОСУДАРСТВЕННЫЙ СТАНДАРТ
РЕЗИНА И ТЕРМОЭЛАСТОПЛАСТЫ
ОПРЕДЕЛЕНИЕ МОДУЛЯ СДВИГА И ПРОЧНОСТИ СЦЕПЛЕНИЯ С ЖЕСТКИМИ
ПЛАСТИНАМИ. МЕТОДЫ СДВИГА ЧЕТЫРЕХЭЛЕМЕНТНОГО ОБРАЗЦА
Rubber and thermoplastics. Determination of shear modulus
and adhesion to rigid plates. Four-element
sample shear methods
(ISO 1827:2016, Rubber, vulcanized or thermoplastic -
Determination of shear modulus and adhesion
to rigid plates - Quadruple-shear methods,
IDT)
ГОСТ ISO 1827-2019
Дата введения
1 июля 2020 года
Цели, основные принципы и общие правила проведения работ по межгосударственной стандартизации установлены
ГОСТ 1.0 "Межгосударственная система стандартизации. Основные положения" и
ГОСТ 1.2 "Межгосударственная система стандартизации. Стандарты межгосударственные, правила и рекомендации по межгосударственной стандартизации. Правила разработки, принятия, обновления и отмены"
1 ПОДГОТОВЛЕН Федеральным государственным унитарным предприятием "Всероссийский научно-исследовательский институт стандартизации материалов и технологий" (ФГУП "ВНИИ СМТ"), Межгосударственным техническим комитетом по стандартизации МТК 542 "Продукция нефтехимического комплекса" на основе собственного перевода на русский язык англоязычной версии стандарта, указанного в
пункте 5
2 ВНЕСЕН Федеральным агентством по техническому регулированию и метрологии
3 ПРИНЯТ Межгосударственным советом по стандартизации, метрологии и сертификации (протокол от 30 июля 2019 г. N 120-П)
За принятие проголосовали:
Краткое наименование страны по МК (ИСО 3166) 004-97 | Код страны по МК (ИСО 3166) 004-97 | Сокращенное наименование национального органа по стандартизации |
Беларусь | BY | Госстандарт Республики Беларусь |
Казахстан | KZ | Госстандарт Республики Казахстан |
Киргизия | KG | Кыргызстандарт |
Россия | RU | Росстандарт |
Таджикистан | TJ | Таджикстандарт |
Туркмения | TM | Главгосслужба "Туркменстандартлары" |
Узбекистан | UZ | Узстандарт |
4
Приказом Федерального агентства по техническому регулированию и метрологии от 22 октября 2019 г. N 1037-ст межгосударственный стандарт ГОСТ ISO 1827-2019 введен в действие в качестве национального стандарта Российской Федерации с 1 июля 2020 г.
5 Настоящий стандарт идентичен международному стандарту ISO 1827:2016 "Резина вулканизованная или термоэластопласты. Определение модуля сдвига и адгезии к жестким пластинам. Методы сдвига четырехэлементного образца" ("Rubber, vulcanized or thermoplastic - Determination of shear modulus and adhesion to rigid plates - Quadruple-shear methods", IDT).
Международный стандарт разработан подкомитетом SC 2 "Испытания и анализ" Технического комитета по стандартизации ISO/TC 45 "Резина и изделия из резины" Международной организации по стандартизации (ISO).
Наименование настоящего стандарта изменено относительно наименования указанного международного стандарта для приведения в соответствие с ГОСТ 1.5
(подраздел 3.6).
При применении настоящего стандарта рекомендуется использовать вместо ссылочных международных стандартов соответствующие им межгосударственные стандарты, сведения о которых приведены в дополнительном
приложении ДА
6 ВЗАМЕН ГОСТ 28810-90 (ИСО 1827-76)
Информация о введении в действие (прекращении действия) настоящего стандарта и изменений к нему на территории указанных выше государств публикуется в указателях национальных стандартов, издаваемых в этих государствах, а также в сети Интернет на сайтах соответствующих национальных органов по стандартизации.
В случае пересмотра, изменения или отмены настоящего стандарта соответствующая информация будет опубликована на официальном интернет-сайте Межгосударственного совета по стандартизации, метрологии и сертификации в каталоге "Межгосударственные стандарты"
Предупреждение - Пользователи настоящего стандарта должны обладать навыками практической работы в лаборатории. Настоящий стандарт не предусматривает рассмотрение всех проблем безопасности, связанных с его применением. Пользователь настоящего стандарта несет ответственность за соблюдение правил по технике безопасности, охране здоровья, а также определяет целесообразность применения законодательных ограничений перед его использованием.
Важно - Некоторые процедуры, указанные в настоящем стандарте, могут включать использование веществ или образование веществ или отходов, которые могут представлять собой экологическую опасность. Следует обратиться к соответствующей документации по безопасному обращению с такими веществами и их утилизации после использования.
Настоящий стандарт устанавливает методы определения модуля сдвига и прочности сцепления (связи) резины или термоэластопласта с металлическими или другими жесткими пластинами с использованием резины, привулканизованной к четырем параллельным пластинам.
Метод A используют для определения модуля сдвига.
Метод B используют для определения прочности сцепления (адгезии).
Методы преимущественно применимы для испытаний образцов, подготовленных в лаборатории при стандартных условиях, и могут быть использованы для получения данных при новых разработках, контроле резиновых смесей и способов изготовления изделий.
В настоящем стандарте использованы нормативные ссылки на следующие международные стандарты [для датированных ссылок применяют только указанное издание ссылочного стандарта, для недатированных - последнее издание (включая все изменения к нему)]:
ISO 5893:2002, Rubber and plastics test equipment - Tensile, flexural and compression types (constant rate of traverse) - Specification [Оборудование для испытаний резины и пластмассы. Типы оборудования для растяжения, изгиба и сжатия (при постоянной скорости перемещения). Спецификация]
ISO 18899:2013, Rubber - Guide to the calibration of test equipment (Резина. Руководство по калибровке испытательного оборудования)
ISO 23529, Rubber - General procedures for preparing and conditioning test pieces for physical test methods (Резина. Общие процедуры приготовления и кондиционирования образцов для определения физических свойств)
В настоящем стандарте применены следующие термины с соответствующими определениями:
ISO и IEC поддерживают терминологические базы данных для использования в стандартизации по следующим адресам:
- Платформа интернет-поиска ISO: доступна по адресу http://www.iso.org/obp;
- IEC Electropedia: доступен по адресу http://www.electropedia.org/.
3.1 модуль сдвига (shear modulus): Приложенное усилие сдвига, рассчитанное относительно привулканизованной области резины в испытуемом образце, деленное на полученную деформацию сдвига в направлении приложения усилия.
Примечание 1 - Деформация сдвига

составляет половину измеренной деформации, разделенной на толщину одного резинового блока или элемента. Напряжение сдвига

представляет собой приложенное усилие, разделенное на двойную площадь привулканизованной поверхности одного резинового блока или элемента.
Примечание 2 - Форма испытуемого образца гарантирует, что в направлении, перпендикулярном к привулканизованным поверхностям, приложенное усилие равно нулю, так что деформацию можно рассматривать как простой сдвиг.
Примечание 3 - Такое определение модуля сдвига иногда называют секущим модулем.
4.1 Метод A - определение модуля сдвига
Измеряют усилие, необходимое для получения диапазона заданных сдвиговых деформаций испытуемого образца стандартных размеров, состоящего из четырех резиновых параллелепипедов, расположенных симметрично и привулканизованных к четырем параллельным жестким пластинам, причем приложенные усилия параллельны соединенным поверхностям и, как правило, являются неразрушающими, т.е. их максимальные значения значительно ниже прочности связи.
4.2 Метод B - определение адгезии
Измеряют усилие, необходимое для разрыва испытуемого образца, как указано для
метода A.
5.1 Испытательная машина, соответствующая требованиям ISO 5893, обеспечивающая измерение усилия с точностью, соответствующей классу 1 по ISO 5893:2002, со скоростью перемещения подвижного зажима 5 мм/мин
(метод A) или 50 мм/мин
(метод B).
Испытательная машина должна иметь устройство для измерения деформации резины испытуемого образца с точностью до 0,02 мм.
5.2 Приспособления для удержания образцов в зажимах, снабженные универсальным соединением, позволяющим точно центрировать направление прилагаемого усилия.
5.3 Испытательная камера с регулируемой атмосферой, пригодная для проведения испытаний при выбранной или указанной температуре (см.
раздел 10) в соответствии с ISO 23529.
Испытательная машина должна быть откалибрована в соответствии с графиком, приведенным в
приложении A.
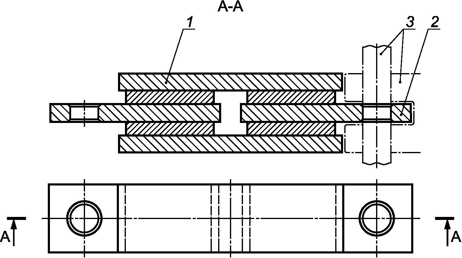
7.1 Форма и размеры
Образец для испытания должен состоять из четырех одинаковых резиновых параллелепипедов толщиной (4 +/- 1) мм, шириной (20 +/- 5) мм и длиной (25 +/- 5) мм, каждый должен быть привулканизован самыми большими противоположными поверхностями к сопряженным поверхностям четырех жестких пластин такой же ширины и соответствующей длины. Образец представляет собой симметричный двойной "сэндвич". Свободные наружные концы каждой центральной пластины должны иметь средства для присоединения к приспособлению для удержания образца в зажимах. Жесткие пластины должны иметь достаточную толщину, позволяющую выдерживать изгиб. Типичная схема образца приведена на
рисунке 1.
1 - две наружные пластины; 2 - две внутренние
пластины; 3 - штифт и приспособление
для приложения растягивающего усилия
Рисунок 1 - Схема образца
7.2 Подготовка
7.2.1 Подготовка жестких пластин
Прямоугольные жесткие пластины подходящих размеров должны быть подготовлены и обработаны в соответствии с требованиями соответствующей вулканизационной системы.
7.2.2 Подготовка с использованием невулканизованной резины
Жесткие пластины и резиновые заготовки подходящего размера прессуют компрессионным или плунжерным формованием. Температура и время формования должны соответствовать испытуемой резине. После завершения формования следует осторожно удалить образцы из пресс-формы, чтобы избежать воздействия чрезмерного напряжения на адгезионные поверхности.
7.2.3 Подготовка с использованием формованной резины
Для каждого испытуемого образца из предварительно формованной пластинки или из резинового изделия равномерной толщины вырубают четыре резиновых элемента, имеющих одинаковые размеры с точностью до +/- 0,1 мм.
Соединяют элементы с подготовленными жесткими пластинами с использованием адгезивной системы, обеспечивающей высокомодульную связь.
7.3 Количество образцов
8 Время между вулканизацией и испытанием
Если по техническим причинам нет других указаний, время между вулканизацией и испытаниями должно соответствовать ISO 23529.
9.1 Если испытание проводят при одной из стандартных лабораторных температур, указанных в ISO 23529, перед проведением испытания выдерживают образец при этих условиях не менее 3 ч.
9.2 Если испытание проводят при пониженной или повышенной температуре, образцы следует выдерживать в условиях испытания в течение времени, достаточного для достижения температурного равновесия с испытательной средой, или в течение времени, установленного в спецификации на испытуемый материал или изделие.
10 Температура проведения испытания
Испытание проводят при одной из температур, указанных в ISO 23529. Если нет других указаний, следует использовать одну из стандартных лабораторных температур.
Для получения сопоставимых результатов следует использовать такую же температуру для любой серии испытаний.
11.1.1 Определяют размеры резиновых элементов испытуемого образца. Следует по возможности соблюдать требования ISO 23529.
Для образцов, полученных вулканизацией в пресс-форме, для определения площади каждого элемента можно использовать размеры пресс-формы. За толщину принимают разность результатов измерений толщин формованного образца и жестких пластин. Для образцов, приготовленных из предварительно формованных резиновых элементов, размеры элементов определяют до вулканизации с пластинами.
11.1.2 После кондиционирования по
разделу 9 сразу же устанавливают образец в испытательную машину, обеспечив свободное продольное самовыравнивание образца в направлении приложения усилия.
В некоторых случаях необходима процедура механической стабилизации. Для этого проводят пять последовательных циклов приложения и снятия нагрузки от 0% до 30%. Во время механической стабилизации и последующего испытания поддерживают образец при температуре испытания.
11.1.3 После установки образца в испытательную машину немедленно обнуляют устройство измерения силы и деформации, сохраняя при этом небольшое растягивающее усилие, например 1% от ожидаемого максимального усилия. Сразу же прикладывают растягивающее усилие со скоростью перемещения зажима (5 +/- 1) мм/мин до достижения максимальной деформации сдвига 30% и регистрируют кривую усилие/деформация.
11.2.1 Определяют размеры резиновых элементов испытуемого образца. Следует по возможности соблюдать требования ISO 23529.
Для образцов, полученных вулканизацией в пресс-форме, для определения площади каждого элемента можно использовать размеры пресс-формы. За толщину принимают разность результатов измерений толщин формованного образца и жестких пластин.
Для образцов, приготовленных из предварительно формованных резиновых элементов, размеры элементов определяют до вулканизации с пластинами.
11.2.2 После кондиционирования по
разделу 9 сразу же устанавливают образец в испытательную машину, обеспечив свободное продольное самовыравнивание образца в направлении приложения усилия.
Включают испытательную машину и растягивают образец со скоростью перемещения зажима (50 +/- 5) мм/мин до разрушения образца. Записывают максимальное усилие.
Удаляют разрушенные элементы образца и визуально оценивают поверхность разрушения.
12 Представление результатов испытаний
Модуль сдвига определяют при деформации сдвига 25%.
Вычисляют деформацию сдвига

по формуле

, (1)
где d - деформация испытуемого образца, мм;
c - толщина одного резинового элемента, мм.
Вычисляют деформацию, соответствующую 25%-ной деформации сдвига, d25, мм, по формуле
d25 = 0,25·2c. (2)
По графику усилие/деформация определяют усилие F25, необходимое для получения 25%-ной деформации сдвига.
Вычисляют напряжение сдвига при 25%-ной деформации

, Н/мм
2, по формуле

, (3)
где F25 - усилие 25%-ной деформации сдвига, Н;
A - площадь одной привулканизованной поверхности одного резинового элемента, мм2.
Вычисляют модуль сдвига G, Н/мм2, по формуле

. (4)
Вычисляют среднеарифметическое значение модуля сдвига для трех образцов.
12.2.1 Вычисляют значение адгезии, Па, разделив максимальное усилие на общую площадь соединения одного из двойных "сэндвичей" с жесткой пластиной, по формуле

, (5)
где Fmax - максимальное усилие, Н;
A - площадь одной привулканизованной поверхности одного резинового элемента, мм2.
12.2.2 Тип разрушения образцов обозначают следующими символами:
R - по массиву резины;
RC - по границе резина - клей;
CP - по границе клей - грунтовка (при использовании);
PS - по границе грунтовка (при использовании) - подложка (основание);
CS - по границе клей - подложка (при отсутствии грунтовки);
D - по границе резина - подложка (в случае прямого присоединения, т.е. без клея);
S - в подложке (основании).
Протокол испытаний должен содержать:
a) обозначение настоящего стандарта;
b) используемый метод;
c) информацию об образце для испытания:
1) все детали, необходимые для идентификации резиновой смеси;
2) используемый процесс соединения и/или формования (привулканизацию, приклеивание, компрессионное формование, плунжерное формование, литье и т.д.);
3) продолжительность и температуру вулканизации и/или отверждения клея;
4) дату вулканизации и/или отверждения клея;
d) условия проведения испытания:
1) использование механического кондиционирования;
2) температуру испытания;
3) сведения о процедурах, не указанных в настоящем стандарте;
e) результаты испытания:
1) результаты каждого испытания;
2) среднеарифметическое значение модуля сдвига;
f) дату проведения испытаний.
Протокол испытаний должен содержать:
a) обозначение настоящего стандарта;
b) используемый метод;
c) информацию об образце для испытания:
1) все детали, необходимые для идентификации резиновой смеси;
2) характеристику жестких пластин (материал, шероховатость поверхности и т.д.);
3) описание метода, используемого для обеспечения адгезии (подготовку поверхности, используемую адгезивную систему и т.д.);
4) используемый процесс соединения и/или формования (привулканизацию, клей, компрессионное формование, плунжерное формование, литье и т.д.);
5) продолжительность и температуру вулканизации и/или отверждения клея;
6) дату вулканизации и/или отверждения клея;
d) сведения об испытаниях:
1) температуру испытания;
2) сведения о процедурах, не указанных в настоящем стандарте;
e) результаты вычисления значения адгезии для всех пяти образцов в соответствии с
12.2.1;
f) дату проведения испытаний.
(обязательное)
A.1 Визуальная оценка
Перед проведением калибровки оценивают состояние оборудования, подлежащего калибровке, и регистрируют информацию в отчете о калибровке или сертификате. Также указывают о проведении калибровки оборудования в состоянии "при получении" или после исправления любого нарушения или неисправности.
Следует определить, что оборудование обеспечивает выполнение установленной цели, включая любые параметры, заданные как приблизительные, которые формально не калибруют. Если такие параметры могут изменяться, то необходимость периодических проверок должна быть указана в подробных процедурах калибровки.
A.2 Порядок проведения калибровки
Проверка/калибровка испытательного оборудования является обязательной частью настоящего стандарта. Если нет других указаний, периодичность и используемые процедуры калибровки каждая лаборатория определяет самостоятельно в соответствии с ISO 18899.
График калибровки, приведенный в
таблице A.1, был составлен с учетом всех параметров и требований, установленных в методе испытания. Параметр и требование могут относиться ко всему аппарату, части этого аппарата или к вспомогательному оборудованию, необходимому для испытания.
Таблица A.1
Параметр | Требование | Пункт ISO 18899:2013 | Периодичность калибровки | Примечание |
Испытательная машина | По ISO 5893 | 21.1 | S | - |
Точность измерения усилия | Класс 1 | 21.2 | S | - |
Скорость перемещения подвижного зажима | 5 или 50 мм/мин | 23.4 | S | Допуски см. в ISO 5893 |
Измерение деформации | С точностью до 0,02 мм | 15.4 | S | - |
Приспособления для удержания образцов в зажимах | Снабжены универсальным соединением для образца, позволяющим точно центрировать направление прилагаемого усилия | C | U | - |
Испытательная камера с регулируемой атмосферой | По ISO 23529 | - | - | См. ISO 23529 для получения более подробной информации |
Для каждого параметра процедуру калибровки указывают со ссылкой на ISO 18899, другой стандарт или конкретную подробную методику испытания (если имеется более специфичная или подробная процедура калибровки, чем та, которая описана в ISO 18899, следует использовать такую процедуру).
Периодичность проверки каждого параметра имеет буквенное обозначение. В графике калибровки используют следующие буквенные обозначения:
- C - требование должно быть подтверждено, но без измерения;
- S - стандартный интервал по ISO 18899;
- U - при использовании.
Дополнительно к перечисленному в
таблице A.1 по ISO 18899 калибруют:
- таймер;
- термометр для контроля температур кондиционирования и испытания;
- аппаратуру для определения размеров образцов.
(справочное)
СВЕДЕНИЯ О СООТВЕТСТВИИ ССЫЛОЧНЫХ МЕЖДУНАРОДНЫХ СТАНДАРТОВ
МЕЖГОСУДАРСТВЕННЫМ СТАНДАРТАМ
Таблица ДА.1
Обозначение ссылочного международного стандарта | Степень соответствия | Обозначение и наименование соответствующего межгосударственного стандарта |
ISO 5893:2002 | - | <*> |
ISO 18899:2013 | - | <*> |
ISO 23529 | IDT | ГОСТ ISO 23529-2013 "Резина. Общие методы приготовления и кондиционирования образцов для определения физических свойств" |
<*> Соответствующий межгосударственный стандарт отсутствует. До его принятия рекомендуется использовать перевод на русский язык данного международного стандарта. Официальный перевод данного международного стандарта находится в Федеральном информационном фонде стандартов. Примечание - В настоящей таблице использовано следующее условное обозначение степени соответствия стандартов: - IDT - идентичные стандарты. |
УДК 621.315.616.1:006.354 | | IDT |
Ключевые слова: резина, термоэластопласты, определение модуля сдвига и прочности сцепления с жесткими пластинами, методы сдвига четырехэлементного образца |