Главная // Актуальные документы // ГОСТ (Государственный стандарт)СПРАВКА
Источник публикации
М.: Стандартинформ, 2020
Примечание к документу
Документ
введен в действие с 01.01.2021.
Название документа
"ГОСТ IEC/TR 61000-3-6-2020. Межгосударственный стандарт. Электромагнитная совместимость (ЭМС). Часть 3-6. Нормы. Оценка норм электромагнитной эмиссии для подключения установок, создающих помехи, к системам электроснабжения среднего, высокого и сверхвысокого напряжения"
(введен в действие Приказом Росстандарта от 18.06.2020 N 275-ст)
"ГОСТ IEC/TR 61000-3-6-2020. Межгосударственный стандарт. Электромагнитная совместимость (ЭМС). Часть 3-6. Нормы. Оценка норм электромагнитной эмиссии для подключения установок, создающих помехи, к системам электроснабжения среднего, высокого и сверхвысокого напряжения"
(введен в действие Приказом Росстандарта от 18.06.2020 N 275-ст)
по техническому регулированию
и метрологии
от 18 июня 2020 г. N 275-ст
МЕЖГОСУДАРСТВЕННЫЙ СТАНДАРТ
ЭЛЕКТРОМАГНИТНАЯ СОВМЕСТИМОСТЬ (ЭМС)
ЧАСТЬ 3-6
НОРМЫ
ОЦЕНКА НОРМ ЭЛЕКТРОМАГНИТНОЙ ЭМИССИИ ДЛЯ ПОДКЛЮЧЕНИЯ
УСТАНОВОК, СОЗДАЮЩИХ ПОМЕХИ, К СИСТЕМАМ ЭЛЕКТРОСНАБЖЕНИЯ
СРЕДНЕГО, ВЫСОКОГО И СВЕРХВЫСОКОГО НАПРЯЖЕНИЯ
Electromagnetic compatibility (EMC). Part 3-6. Limits.
Assessment of emission limits for the connection
of distorting installations to MV, HV and EHV power systems
(IEC/TR 61000-3-6:2008, IDT)
ГОСТ IEC/TR 61000-3-6-2020
Дата введения
1 января 2021 года
Цели, основные принципы и общие правила проведения работ по межгосударственной стандартизации установлены
ГОСТ 1.0 "Межгосударственная система стандартизации. Основные положения" и
ГОСТ 1.2 "Межгосударственная система стандартизации. Стандарты межгосударственные, правила и рекомендации по межгосударственной стандартизации. Правила разработки, принятия, обновления и отмены"
1 ПОДГОТОВЛЕН Обществом с ограниченной ответственностью "Научно-методический центр "Электромагнитная совместимость" (ООО "НМЦ ЭМС") и Техническим комитетом по стандартизации ТК 030 "Электромагнитная совместимость технических средств" на основе собственного перевода на русский язык англоязычной версии документа, указанного в
пункте 5
2 ВНЕСЕН Федеральным агентством по техническому регулированию и метрологии
3 ПРИНЯТ Межгосударственным советом по стандартизации метрологии и сертификации (протокол от 30 апреля 2020 г. N 129-П)
За принятие проголосовали:
Краткое наименование страны по МК (ИСО 3166) 004-97 | Код страны по МК (ИСО 3166) 004-97 | Сокращенное наименование национального органа по стандартизации |
Армения | AM | Минэкономики Республики Армения |
Беларусь | BY | Госстандарт Республики Беларусь |
Казахстан | KZ | Госстандарт Республики Казахстан |
Киргизия | KG | Кыргызстандарт |
Россия | RU | Росстандарт |
Узбекистан | UZ | Узстандарт |
4
Приказом Федерального агентства по техническому регулированию и метрологии от 18 июня 2020 г. N 275-ст межгосударственный стандарт ГОСТ IEC/TR 61000-3-6-2020 введен в действие в качестве национального стандарта Российской Федерации с 1 января 2021 г.
5 Настоящий стандарт идентичен международному документу IEC/TR 61000-3-6:2008 "Электромагнитная совместимость (ЭМС). Часть 3-6. Нормы. Оценка норм электромагнитной эмиссии для подключения установок, создающих помехи, к системам электроснабжения среднего, высокого и сверхвысокого напряжения" ["Electromagnetic compatibility (EMC) - Part 3-6: Limits - Assessment of emission limits for the connection of distorting installations to MV, HV and EHV power systems", IDT].
Международный документ IEC/TR 61000-3-6:2008, представляющий собой технический отчет, подготовлен подкомитетом 77A "Низкочастотные явления" Технического комитета TC 77 IEC "Электромагнитная совместимость (ЭМС)".
При применении настоящего стандарта рекомендуется использовать вместо ссылочных международных стандартов соответствующие им межгосударственные стандарты, сведения о которых приведены в дополнительном
приложении ДА.
Дополнительные сноски в тексте стандарта, выделенные курсивом, приведены для пояснения текста оригинала
6 ВВЕДЕН ВПЕРВЫЕ
Информация о введении в действие (прекращении действия) настоящего стандарта и изменений к нему на территории указанных выше государств публикуется в указателях национальных стандартов, издаваемых в этих государствах, а также в сети Интернет на сайтах соответствующих национальных органов по стандартизации.
В случае пересмотра, изменения или отмены настоящего стандарта соответствующая информация будет опубликована на официальном интернет-сайте Межгосударственного совета по стандартизации, метрологии и сертификации в каталоге "Межгосударственные стандарты"
Стандарты серии IEC 61000 публикуются отдельными частями в соответствии со следующей структурой:
- часть 1. Общие положения: общее рассмотрение (введение, фундаментальные принципы), определения, терминология;
- часть 2. Электромагнитная обстановка: описание электромагнитной обстановки, классификация электромагнитной обстановки, уровни электромагнитной совместимости;
- часть 3. Нормы: нормы электромагнитной эмиссии, нормы помехоустойчивости (в тех случаях, когда они не являются предметом рассмотрения техническими комитетами, разрабатывающими стандарты на продукцию);
- часть 4. Методы испытаний и измерений: методы измерений, методы испытаний;
- часть 5. Руководства по установке и помехоподавлению: руководства по установке, методы и устройства помехоподавления;
- часть 6. Общие стандарты;
- часть 9. Разное.
Каждая часть далее подразделяется на несколько частей, которые могут быть опубликованы в качестве международных стандартов или технических отчетов/требований, некоторые из которых были уже опубликованы как разделы. Другие будут опубликованы с указанием номера части, за которым следует дефис, а затем номер раздела (например, IEC 61000-6-1).
Настоящий стандарт, являющийся по своему назначению рекомендательным документом, представляет собой руководство в отношении принципов, которые могут быть применены в качестве основы для определения требований при подключении установок, создающих помехи, к общественным системам электроснабжения среднего, высокого и сверхвысокого напряжений (на установки низкого напряжения распространяются другие документы IEC). Для целей настоящего стандарта установка, создающая помехи, означает установку (которая может представлять собой нагрузку или генератор), создающую гармоники и/или интергармоники. Основная цель настоящего стандарта - обеспечить рекомендации сетевым организациям по инженерным применениям, которые будут способствовать достижению условий обеспечения надлежащего качества обслуживания для всех подключенных пользователей. При рассмотрении установок настоящий стандарт не предназначен для замены стандартов, распространяющихся на оборудование, устанавливающих нормы эмиссии.
Настоящий стандарт рассматривает распределение пропускной способности системы для поглощения помех. Он не применяется при решении задач помехоподавления или увеличения пропускной способности системы.
Поскольку руководящие принципы, изложенные в настоящем стандарте, обязательно включают некоторые упрощающие предположения, нет гарантии, что этот подход всегда обеспечит оптимальное решение для всех ситуаций, связанных с воздействием гармоник. Рекомендуемый подход при применении к конкретной процедуре оценки или ее части следует применять с гибкостью и предусмотрительностью, учитывающей технические вопросы.
Сетевая организация несет ответственность за уточнение требований к подключению установок, создающих помехи, к системе. Установку, создающую помехи, рассматривают как полную установку пользователя (включая элементы, создающие помехи, и те, которые не вызывают помех).
Проблемы, связанные с гармониками, относятся к двум основным классам:
- гармоническим токам, которые инжектируются в систему электроснабжения преобразователями и источниками гармоник, вызывая гармонические напряжения в системе. Как гармонические токи, так и результирующие напряжения следует рассматривать как кондуктивные явления;
- гармоническим токам, которые индуцируют помехи в системах связи. Это явление сильнее выражено на частотах гармоник более высокого порядка из-за повышенной связи между цепями и из-за более высокой чувствительности сетей связи в полос звуковых частот.
Настоящий стандарт содержит рекомендации по координации гармонических напряжений между различными уровнями системных напряжений для обеспечения соответствия уровням совместимости в точке подключения пользователя. Рекомендации, содержащиеся в настоящем стандарте, не касаются явлений гармонических помех в сетях связи (т.е. рассматривается только первый из указанных выше классов проблем). Эти помехи необходимо устранять с учетом международных директив, касающихся защиты линий электросвязи от вредного воздействия электроэнергетических систем и электрифицированных железных дорог Международного союза электросвязи, директив ITU-T
[1] <1> или с учетом применимых на национальном уровне стандартов, таких как
[2],
[3] или
[4].
--------------------------------
Примечание - Границы между различными уровнями напряжения могут быть различными для разных стран (см. IEV 601-01-28
[32]). В настоящем стандарте используются следующие термины для системных напряжений
Un:
- низкое напряжение (НН) относится к Un <= 1 кВ;
- среднее напряжение (СН) относится к 1 кВ < Un <= 35 кВ;
- высокое напряжение (ВН) относится к 35 кВ < Un <= 230 кВ;
- сверхвысокое напряжение (СВН) относится к 230 кВ < Un.
В настоящем стандарте функция системы является более важной, чем ее номинальное напряжение. Например, системе ВН, используемой для распределения электрической энергии, может быть присвоен планируемый уровень, который расположен между планируемыми уровнями систем СН и ВН.
В настоящем стандарте использованы нормативные ссылки на следующие стандарты. Для датированных ссылок применяют только указанное издание ссылочного стандарта, для недатированных - последнее издание (включая все изменения).
IEC 60050-161, International electrotechnical vocabulary - Chapter 161: Electromagnetic compatibility (Международный электротехнический словарь. Глава 161. Электромагнитная совместимость)
В настоящем стандарте применены термины по IEC 60050-161, а также следующие термины с соответствующими определениями:
3.1 согласованная мощность (agreed power): Значение полной мощности установки, создающей помехи, согласованное между пользователем <2> и сетевой организацией <2>. В случае нескольких точек подключения для каждой точки может быть определено отдельное значение.
--------------------------------
<2> В настоящем стандарте термин "заказчик" ("customer") (применительно к установке) заменен на "пользователь", термин "оператор системы, владелец" ("system operator, owner") (применительно к системе электроснабжения) заменен на "сетевая организация".
3.2 пользователь (user): Физическое лицо, компания или организация, которая управляет установкой, подключенной или имеющей право на подключение сетевой организацией к системе электроснабжения.
3.3 (электромагнитная) помеха [(electromagnetic) disturbance]: Любое электромагнитное явление, которое при его наличии в электромагнитной обстановке может привести к отклонению качества функционирования электрического оборудования от его предназначенного качества функционирования.
3.4 уровень помехи (disturbance level): Величина или значение электромагнитной помехи, измеренные или оцененные установленным способом.
3.5 установка, создающая помехи (distorting installation): Электрическая установка в целом (включая элементы, создающие помехи, и те, которые не создают помехи), которая может вызвать искажения напряжений или токов в системе электроснабжения, к которой она подключена.
Примечание - В настоящем стандарте все ссылки на установки, создающие помехи, включают не только линейные и нелинейные нагрузки, но и генерирующие установки, а также любые источники эмиссии несинусоидальных токов, такие как системы регенеративного торможения.
3.6 электромагнитная совместимость; ЭМС (electromagnetic compatibility, EMC): Способность оборудования или системы удовлетворительно функционировать в их электромагнитной обстановке, не создавая недопустимых электромагнитных помех другому оборудованию или системам в этой обстановке.
Примечание 1 - Электромагнитная совместимость является условием электромагнитной обстановки, что для каждого (электромагнитного) явления уровень эмиссии помех является достаточно низким, а уровни устойчивости к помехам - достаточно высокими, так что все устройства, оборудование и системы функционируют по назначению.
Примечание 2 - Электромагнитная совместимость достигается только в том случае, если уровни эмиссии и помехоустойчивости контролируются таким образом, чтобы уровни помехоустойчивости устройств, оборудования и систем в любом месте не превышались уровнем помех в этом месте в результате кумулятивной эмиссии от всех источников и других факторов, таких как полные сопротивления цепи. Обычно считается, что совместимость достигнута, если вероятность отклонения от качества функционирования по предназначению достаточно низка. См. IEC/TR 61000-2-1
[33], раздел 4.
Примечание 3 - В настоящем стандарте (электромагнитная) совместимость может относиться к одной помехе или классу помех.
Примечание 4 - Электромагнитная совместимость - это термин, используемый также для описания области деятельности, связанной с изучением неблагоприятных электромагнитных эффектов, которые устройства, оборудование и системы испытывают друг от друга или от электромагнитных явлений.
3.7 уровень (электромагнитной) совместимости [(electromagnetic) compatibility level]: Регламентированный уровень электромагнитной помехи, используемый в качестве опорного в конкретной электромагнитной обстановке в целях координации при установлении норм электромагнитной эмиссии и устойчивости к электромагнитной помехе.
Примечание - По соглашению уровень совместимости устанавливается таким образом, что существует лишь малая вероятность (например, 5%) того, что он будет превышен фактическим уровнем помех.
3.8 электромагнитная эмиссия (emission): Явление, при котором электромагнитная энергия исходит от источника электромагнитных помех.
[IEC 60050-161:1990, 161-01-08, модифицировано]
Примечание - В настоящем стандарте термин "эмиссия" относится к явлениям, представляющим собой кондуктивные электромагнитные помехи, которые могут вызывать искажения формы волны питающего напряжения.
3.9 уровень эмиссии (emission level): Уровень определенной электромагнитной помехи, эмитируемой конкретным устройством, оборудованием, системой или установкой, создающей помехи, в целом. Он оценивается и измеряется установленным методом.
3.10 норма эмиссии (emission limit): Максимальный уровень эмиссии, установленный для конкретного устройства, оборудования, системы или установки, создающей помехи, в целом.
3.11 генерирующая установка (generating plant): Любое оборудование, производящее электрическую энергию, совместно с любым непосредственно связанным или взаимодействующим с ним оборудованием, таким как единичный трансформатор или преобразователь.
3.12 помехоустойчивость, устойчивость к электромагнитной помехе [immunity (to a disturbance)]: Способность устройства, оборудования или системы функционировать без ухудшения качества при наличии электромагнитных помех.
3.13 уровень помехоустойчивости (immunity level): Максимальный уровень определенной электромагнитной помехи, воздействующей на конкретное устройство, оборудование или систему, при котором они сохраняют способность функционировать с заявленным качеством функционирования.
3.14 нелинейная нагрузка или оборудование (см. также "установка, создающая помехи") [non linear load or equipment (see also distorting installation)]: Любая нагрузка или оборудование, которое потребляет несинусоидальный ток, находясь под синусоидальным напряжением.
3.15 нормальные условия эксплуатации (normal operating conditions): Условия функционирования системы или установки, создающей помехи, которые обычно включают в себя все вариации генерации, изменения нагрузки и компенсации реактивной мощности или смены состояния фильтра (например, состояние батарей конденсаторов), запланированные отключения и меры по техническому обслуживанию и налаживанию, неидеальные условия эксплуатации и нормальные непредвиденные обстоятельства, при которых рассматриваемая система или установка, создающая помехи, способна работать, что было предусмотрено при разработке.
Примечание - Нормальные условия эксплуатации системы, как правило, исключают: условия, возникающие в результате неисправности или нескольких неисправностей, превышающих установленные по стандарту безопасности системы; непредусмотренные ситуации и неизбежные обстоятельства (например, форс-мажорные обстоятельства, исключительные погодные условия и другие стихийные бедствия, действия государственных органов, производственные происшествия); случаи, когда пользователи системы значительно превышают установленные для них нормы эмиссии или не соответствуют требованиям к подключению, а также временные механизмы производства или поставки, которые принимаются для поддержания снабжения клиентов во время технического обслуживания или строительных работ, если в противном случае электроснабжение может быть прервано.
3.16 планируемый уровень (planning level): Уровень конкретной помехи в определенной электромагнитной обстановке, принятый в качестве опорного значения для установления норм, подлежащих соблюдению при эмиссии от установок в конкретной системе, с целью согласования этих ограничений со всеми ограничениями, которые существуют для оборудования и установок, подключенных к системе электроснабжения.
Примечание - Планируемые уровни считаются внутренними составляющими качества, которые должны быть определены на местном уровне лицами, ответственными за планирование и эксплуатацию системы электроснабжения в соответствующем районе.
3.17 точка общего присоединения; PCC (point of common coupling, PCC): Точка системы общественного электроснабжения, электрически ближайшая к рассматриваемой установке, к которой присоединены или могут быть присоединены другие установки. PCC представляет собой точку, расположенную "выше по течению" от рассматриваемой установки.
Примечание - Система электроснабжения считается общественной по критерию ее использования, а не права собственности на нее.
3.18 точка присоединения; POC (point of connection, POC): Точка в системе общественного электроснабжения, в которой рассматриваемая установка подключена или может быть подключена.
Примечание - Система электроснабжения считается общественной по критерию ее использования, а не права собственности на нее.
3.19 точка оценки; POE (point of evaluation, POE): Точка системы общественного электроснабжения, в которой уровни эмиссии данной установки оцениваются с учетом норм эмиссии. Эта точка может быть точкой общего присоединения, или точкой присоединения, или любой другой точкой, указанной сетевой организацией или согласованной между сторонами.
Примечание - Система электроснабжения считается общественной по критерию ее использования, а не права собственности на нее.
3.20
мощность короткого замыкания (short cirquit power): Теоретическое значение начальной трехфазной мощности короткого замыкания, выраженное в МВ·А, в точке системы электроснабжения. Оно вычисляется как произведение начального симметричного тока короткого замыкания, номинального напряжения системы и коэффициента

, при этом непериодичной составляющей (постоянным током) пренебрегают.
3.21 ответвление (spur): Фидер, отходящий от основного фидера (как правило, применяется на фидерах СН и ВН).
3.22 система электроснабжения (supply system): Все линии, распределительные устройства и трансформаторы, работающие при различных напряжениях, которые составляют систему электроснабжения и систему распределения, к которым подключены установки пользователей.
3.23 сетевая организация (network organization): Организация, ответственная за заключение договора о техническом присоединении пользователей, для которых необходимо подключение нагрузки или генерации к системе распределения или передачи.
3.24 коэффициент передачи, коэффициент влияния [transfer coefficient (influence coefficient)]: Относительный уровень помехи, которая может быть передана между двумя шинами или двумя частями энергосистемы при различных условиях эксплуатации.
3.25 несимметрия напряжений [voltage umbalance (imbalance)]: Условие, при котором в многофазной системе значения фазных напряжений или фазовых углов между последовательными фазами не равны (основная составляющая).
[IEC 60050-161:1990, 161-08-09, модифицировано]
Примечание - В трехфазных системах степень несимметрии обычно выражается как отношение составляющих обратной и нулевой последовательности к составляющим прямой последовательности. В настоящем стандарте несимметрия напряжений рассматривается в отношении трехфазных систем и только составляющих обратной последовательности.
3.26
определения, относящиеся к явлениям (phenomena related definitions): Приведенные ниже определения, относящиеся к гармоникам, основанные на анализе системных напряжений или токов методом дискретного преобразования Фурье (DFT) в соответствии с определением по IEV 101-13-09
[28].
Примечание 1 - Преобразование Фурье периодической или непериодической функции времени является функцией в частотной области, называемой частотным спектром временной функции (спектром). Если функция времени является периодической, спектр состоит из дискретных линий (компонентов). Если функция времени не является периодической, то спектр является непрерывной функцией, указывающей компоненты на всех частотах.
Примечание 2 - С целью упрощения определения, приведенные в настоящем стандарте, относятся только к (меж)гармоническим компонентам. Однако они не должны интерпретироваться в качестве ограничений для применения других определений, указанных в других документах IEC, например в IEC 61000-4-7
[11], где ссылка на (меж)гармонические группы или подгруппы более подходит для измерения быстро меняющихся сигналов.
3.26.1 основная частота (fundamental frequency): Частота в спектре, полученном путем преобразования функции времени Фурье, относительно которой рассматриваются все частоты спектра. В настоящем стандарте основная частота такая же, как и частота источника питания.
Примечание - Для периодической функции основная частота обычно равна частоте, соответствующей периоду самой функции.
3.26.2 основной компонент (fundamental component): Компонент, частота которого является основной частотой.
3.26.3 частота гармоники (harmonic frequency): Частота, кратная основной частоте. Отношение частоты гармоники к основной частоте называют порядком гармоники (рекомендуемое условное обозначение "h").
3.26.4 гармоническая составляющая (harmonic component): Любой из компонентов на частоте гармоники. Для краткости вместо термина "гармоническая составляющая" допускается применение термина "гармоника".
3.26.5 частота интергармоники (interharmonic frequency): Частота, которая не является целым числом, кратным основной частоте.
Примечание 1 - Аналогично понятию "порядок гармоники" под "порядком интергармоники" понимают отношение частоты интергармоники к основной частоте. Это отношение не выражается целым числом (рекомендуемое условное обозначение "m").
Примечание 2 - Если m < 1, допускается применение термина "субгармоническая частота".
3.26.6 интергармоническая составляющая (interharmonic component): Составляющая на частоте интергармоники. Для краткости допускается применение термина "интергармоника".
3.26.7 общее гармоническое искажение; THD (total harmonic distortion, THD): Отношение среднеквадратичного значения суммы всех гармонических составляющих до порядка H к среднеквадратичному значению основного компонента

,
где Q - ток или напряжение;
Q1 - среднеквадратичное значение основного компонента;
h - порядок гармоники;
Qh - среднеквадратичное значение гармонической составляющей порядка h;
H - обычно 40 или 50, в зависимости от условий.
4 Основные концепции ЭМС, относящиеся к гармоническим искажениям
Определение норм эмиссии (напряжения или тока) от отдельного оборудования или установки пользователя должно основываться на влиянии указанных норм эмиссии на качество электрической энергии (качество напряжения).
Оценка качества напряжения осуществляется с применением определенных основополагающих положений. С целью применения этих положений для оценки в конкретных местах (расположениях) они должны учитывать различные условия, такие как расположение, где они применяются, характеристики измерения (продолжительность измерения, время выборки, интервалы усреднения, статистика) и порядок проведения расчетов. Эти положения описаны ниже и проиллюстрированы на
рисунках 1 и
2. Определения приведены в IEC 60050-161.
Уровни совместимости представляют собой опорные значения (см.
таблицу 1), используемые для координации эмиссии и помехоустойчивости оборудования, являющегося частью системы электроснабжения или получающего от нее питание, с целью обеспечения ЭМС системы в целом (включая системное оборудование и подключенное оборудование). Уровни совместимости обычно основаны на 95%-ных вероятностных уровнях системы в целом, используя распределения, которые представляют собой как временные, так и пространственные вариации нарушений. При этом учитывается тот факт, что сетевая организация не может постоянно контролировать все точки системы. Поэтому оценка уровней совместимости должна проводиться на общесистемной основе, и для оценки в конкретном расположении не следует применять отдельный метод оценки.
Таблица 1
Уровни совместимости для отдельных гармонических напряжений
в сетях НН и СН (в процентах основной составляющей)
(в соответствии с IEC 61000-2-2
[5] и IEC 61000-2-12
[6])
Нечетные гармоники, не кратные 3 | Нечетные гармоники, кратные 3 | Четные гармоники |
Порядок гармоник h | Гармоническое напряжение, % | Порядок гармоник h | Гармоническое напряжение, % | Порядок гармоник h | Гармоническое напряжение, % |
5 | 6 | 3 | 5 | 2 | 2 |
7 | 5 | 9 | 1,5 | 4 | 1 |
11 | 3,5 | 15 | 0,4 | 6 | 0,5 |
13 | 3 | 21 | 0,3 | 8 | 0,5 |
17 <= h <= 49 | | 21 < h <= 45 | 0,2 | 10 <= h <= 50 | |
Примечание - Уровень совместимости для общего гармонического искажения THD = 8%. |
Уровни совместимости для гармонических напряжений в системах НН и СН воспроизводятся ниже путем ссылок на IEC 61000-2-2
[5] и IEC 61000-2-12
[6]. Эти уровни совместимости следует понимать как относящиеся к квазистационарным или установившимся гармоникам, и они приведены в качестве опорных значений для длительных и кратковременных эффектов.
Длительные эффекты относятся главным образом к тепловым воздействиям на кабели, трансформаторы, двигатели, конденсаторы и т.д. Они возникают при поддержании уровней гармоник в течение 10 мин или более.
Кратковременные эффекты относятся главным образом к влияниям помех на электронные устройства, которые могут быть восприимчивы к гармоникам продолжительностью 3 с или менее. Переходные процессы не включены.
Для долгосрочных эффектов уровни совместимости для отдельных гармонических составляющих напряжения приведены в
таблице 1. Уровень совместимости для общего гармонического искажения THD = 8%.
С учетом кратковременных эффектов (3 с или менее) уровни совместимости для отдельных гармонических составляющих напряжения принимают равными значениям, приведенным в
таблице 1, умноженным на коэффициент
khvs, где значение
khvs рассчитывают по формуле

. (1)
При краткосрочных воздействиях гармоник уровень совместимости для полного гармонического искажения THD = 11%.
Уровни совместимости для систем ВН и СВН в настоящем стандарте не определены.
4.2.1 Индикативные значения планируемых уровней
Это уровни гармонических напряжений, которые могут быть использованы в целях определения норм эмиссии, принимая во внимание воздействие на систему электроснабжения всех установок, создающих помехи. Планируемые уровни должны быть определены сетевой организацией для всех уровней напряжения в системе, они могут рассматриваться как внутренние цели качества для сетевой организации и могут быть доступными для клиента по запросу.
Планируемые уровни для гармоник должны быть равны или ниже уровней совместимости и должны обеспечивать согласование уровней помех, которые возникают при различных уровнях напряжения. Поскольку планируемые уровни будут различаться в зависимости от структуры системы и обстоятельств, то могут быть указаны только индикативные значения планируемых уровней. Индикативные значения планируемых уровней для гармонических напряжений приведены в
таблице 2.
Таблица 2
Индикативные значения планируемых уровней для напряжений
гармоник (в процентах напряжения основной частоты)
в системах электроснабжения СН, ВН и СВН
Нечетные гармоники, не кратные 3 | Нечетные гармоники, кратные 3 | Четные гармоники |
Порядок гармоники h | Напряжение гармоники, % | Порядок гармоники h | Напряжение гармоники, % | Порядок гармоники h | Напряжение гармоники, % |
СН | ВН - СВН | СН | ВН - СВН | СН | ВН - СВН |
5 | 5 | 2 | 3 | 4 | 2 | 2 | 1,8 | 1,4 |
7 | 4 | 2 | 9 | 1,2 | 1 | 4 | 1 | 0,8 |
11 | 3 | 1,5 | 15 | 0,3 | 0,3 | 6 | 0,5 | 0,4 |
13 | 2,5 | 1,5 | 21 | 0,2 | 0,2 | 8 | 0,5 | 0,4 |
17 <= h <= 49 | 0,2 | | 21 < h <= 45 | 0,2 | 0,2 | 10 <= h <= 50 | | |
Индикативные значения планируемых уровней для общего гармонического искажения: THDСН = 6,5% и THDВН-СВН = 3%.
Примечание 1 - Для некоторых гармоник более высокого порядка следует соблюдать осторожность при установлении крайне низких значений, таких как 0,2%, из-за практических ограничений точности измерений, главным образом при ВН и СВН. Кроме того, в зависимости от характеристик системы должен существовать запас между планируемыми уровнями при СН, ВН и СВН, чтобы позволить координировать эмиссию помех между различными уровнями напряжения (результаты измерений могут быть использованы в качестве основы для определения соответствующего запаса).
Примечание 2 - Планируемые уровни, приведенные в
таблице 2, не предназначены для контроля гармоник, возникающих в результате исключительных событий, таких как геомагнитные бури и т.д.
Примечание 3 - В некоторых странах планируемые уровни определены в национальных стандартах или руководствах.
Примечание 4 - В некоторых странах для систем СН и ВН существуют характеристики напряжения, которые являются квазигарантированными уровнями. Их, как правило, выбирают таким образом, чтобы они были выше планируемых уровней согласно
[7].
Применительно к очень кратковременным воздействиям гармоник (3 с или менее) планируемые уровни для отдельных гармоник следует умножить на коэффициент
khvs в соответствии с
формулой (1).
Когда это целесообразно, с учетом характеристик системы, могут потребоваться промежуточные значения планируемых уровней между значениями при СН, ВН и СВН из-за возможного широкого диапазона уровней напряжения, относящихся к ВН - СВН (> 35 кВ). Кроме того, распределение планируемых уровней между ВН и СВН также может быть необходимо для учета воздействия на системы ВН установок, создающих помехи, подключенных к СВН. В этом случае планируемые уровни при СВН должны быть установлены на более низкие значения, чем те, которые приведены в
таблице, указанной выше.
Дополнительные указания по адаптации планируемых уровней при СН к конкретным характеристикам системы приведены в
приложении B. Пример метода для совместного использования планируемых уровней для планирования между различными частями системы ВН - СВН также приведен в
приложении D.
Далее приведены процедуры использования уровней планирования для установления норм эмиссии для отдельных установок потребителей, создающих помехи.
4.2.2 Процедура оценки для сравнения с планируемыми уровнями
Для измерений гармоник и интергармоник следует применять метод измерения по классу A, установленный в IEC 61000-4-30
[12], соответствующий также IEC 61000-4-7
[11]. Маркированные данные, отмечаемые в соответствии с IEC 61000-4-30 во время оценки, во внимание не принимают. Соответственно, процентиль, применяемый при вычислении индексов, определенных ниже, вычисляют с использованием только действительных (немаркированных) данных.
Минимальный период измерения составляет одну неделю нормальной деловой активности. Период мониторинга должен включать в себя некоторую часть периода ожидаемых максимальных уровней гармоник.
Для сравнения фактических уровней гармоник с планируемыми уровнями могут быть применены один или несколько приведенных ниже индексов. Для сравнения с планируемыми уровнями при оценке воздействия более высоких уровней эмиссии, разрешенных на короткие периоды времени, например во время перенапряжений и запусков оборудования, может быть необходимым применение более одного индекса.
Для гармонических напряжений индексы следующие:
- 95%-ное еженедельное значение Uhsh (среднеквадратичное значение индивидуальных гармоник за "короткие" 10-минутные периоды) не должно превышать планируемый уровень;
- наибольшее 99%-ное ежедневное значение
Uhvs (среднеквадратичное значение индивидуальных гармонических составляющих в течение "очень коротких" периодов 3 с) не должно превышать планируемый уровень, умноженный на коэффициент
khvs, указанный в
формуле (1), с учетом приведенной ссылки на уровни совместимости при кратковременных эффектах гармоник.
Примечание 1 - Гармоники, как правило, измеряют до порядка 40 или 50 в зависимости от применений. В большинстве случаев этого бывает достаточно для оценки искажающих эффектов, вызываемых помехами в силовых системах. Однако в некоторых случаях важными могут быть гармоники более высоких порядков, вплоть до 100-го порядка. Примеры включают в себя:
- крупные преобразователи с коммутационными вырезами напряжения;
-

установки с преобразователями высоких импульсных номеров (например, алюминиевые заводы);
- силовое электронное оборудование с ШИМ-преобразователями, взаимодействующими с энергосистемой.
В таких случаях могут быть вызваны индуцированные шумовые помехи в соседних чувствительных приборах (например, датчиках, системах связи и т.д.). Обычно считается, что гармоники более высокого порядка изменяются в большей степени в зависимости от местоположения и со временем, чем гармоники более низкого порядка. Во многих случаях гармоники высокого порядка создаются одной установкой, создающей помехи, часто в сочетании с резонансом энергосистемы. Для гармоник более высокого порядка может возникнуть необходимость в более обширных оценках.
Примечание 2 - При измерениях гармоник необходимо учитывать точность всей измерительной цепи. Помимо самого монитора для измерений гармоник должны быть пригодны преобразователи (следует избегать ограничений и искажений для измеряемой амплитуды и полосы частот). Существующие трансформаторы тока и напряжения для измерений и защиты в системах среднего и высокого напряжения не всегда подходят для измерений гармоник (особенно когда частота выше 1 кГц).
4.3 Иллюстрация концепций ЭМС
Основные концепции электромагнитной совместимости и применения планируемых уровней приведены на
рисунках 1 и
2. Их цель - акцентировать внимание на наиболее важных соотношениях между основными переменными.
Внутри системы электроснабжения в целом неизбежно возникает определенный уровень помех в некоторых ситуациях и, следовательно, существует риск перекрытия распределений уровней помех и уровней устойчивости к помехам (см.
рисунок 1). Планируемые уровни обычно равны или ниже уровня совместимости; они должны быть установлены сетевой организацией. Уровни помехоустойчивости установлены в соответствующих стандартах или подлежат согласованию между производителями и пользователями оборудования.
Рисунок 1 - Иллюстрация основных концепций качества
напряжения со статистикой "время/расположение" применительно
к системе в целом
Рисунок 2 - Иллюстрация основных концепций качества
напряжения со статистикой по времени применительно к одному
расположению в системе
На
рисунке 2 показано, что распределение вероятности уровней помех и помехоустойчивости в отдельном расположении обычно является более узким, чем во всей системе, так что в большинстве отдельных расположений перекрытие распределений уровней помех и помехоустойчивости будет минимальным или может вообще отсутствовать. В этих условиях помехи не являются, как правило, серьезной проблемой, и ожидается, что оборудование будет функционировать удовлетворительно. Поэтому электромагнитная совместимость более вероятна, чем как показано на
рисунке 1.
Подход к координации, установленный в настоящем стандарте, основан на индивидуальных уровнях эмиссии, определяемых на основе разработанных планируемых уровней. По этой причине одни и те же индексы используют при оценке соответствия фактических измерений как нормам эмиссии, так и планируемым уровням.
Для сравнения фактического уровня эмиссии с нормой эмиссии для пользователя могут быть применены один или несколько приведенных ниже индексов. Для сравнения с нормой эмиссии при оценке воздействия более высоких уровней эмиссии, разрешенных на короткие периоды времени, например во время перенапряжений и запусков оборудования, может быть необходимым применение более чем одного индекса.
При эмиссии гармоник индексы следующие:
- 95%-ное еженедельное значение Uhsh (или Ihsh) (среднеквадратичное значение индивидуальных гармоник за "короткие" 10-минутные периоды) не должно превышать норм эмиссии;
- наибольшее 99%-ное ежедневное значение
Uhvs (или
Ihvs) (среднеквадратичное значение индивидуальных гармонических составляющих в течение "очень коротких" периодов 3 с) не должно превышать нормы эмиссии, умноженные на коэффициент
khvs, который представлен в
формуле (1). Что касается очень кратковременных эффектов гармоник, то использование соответствующего кратковременного индекса для оценки эмиссии необходимо только для установок, оказывающих значительное влияние на систему. Поэтому использование такого индекса может зависеть от соотношения между согласованной мощностью установки и мощностью короткого замыкания системы (т.е.
Si/
Ssc).
Чтобы сравнить уровень эмиссии гармоник от установки потребителя с нормами эмиссии, минимальный период измерения должен составлять одну неделю. Однако для оценки эмиссии при определенных условиях могут потребоваться более короткие периоды измерений. Такие более короткие периоды должны представлять ожидаемую операцию в течение более длительного периода оценки (т.е. недели). В любом случае период измерения должен иметь достаточную продолжительность, чтобы охватить самый высокий уровень эмиссии гармоник, который, как ожидается, будет иметь место. Если доминирующий уровень гармоник вызван одним

образцом оборудования, то период должен быть достаточным, чтобы охватить как минимум два полных рабочих цикла этого оборудования. Если уровень гармоник вызван суммированием воздействий нескольких образцов оборудования, то период должен составлять не менее одной рабочей смены.
Следует учитывать следующие факторы, если они являются значимыми (см. также
6.2 и
6.3):
- наличие оборудования с ожидаемыми неидеальными характеристиками, создающего помехи из-за недостатков при изготовлении, эксплуатации и управлении (обычно силовой электроники);
- отладку фильтра гармоник;
- вклад в гармонические резонансы конденсаторных батарей в установке;
- взаимодействие между различным оборудованием внутри установки.
Для измерений гармоник и интергармоник необходимо применять метод измерения по классу A, установленный в IEC 61000-4-30
[12], соответствующий также IEC 61000-4-7
[11]. Маркированные данные, отмеченные в соответствии с IEC 61000-4-30 во время оценки, во внимание не принимают. Соответственно, процентиль, применяемый при вычислении индексов, определенных ниже, вычисляют с использованием только действительных (немаркированных) данных.
Для гармоник, когда сигнал, подлежащий анализу, быстро меняется (например, ток электрической дуги), необходимо проводить измерение гармонических групп и подгрупп по IEC 61000-4-7, а не так, как для других гармонических компонентов.
На каждой (интер)гармонической частоте уровень эмиссии от установки, создающей помехи, представляет собой (интер)гармоническое напряжение (или ток), оцениваемое в соответствии с
разделом 6.
Предлагаемый подход к установлению норм эмиссии для установок, создающих помехи, зависит от согласованной мощности установки пользователя, мощности оборудования, создающего помехи и характеристик системы. Задача состоит в том, чтобы ограничить инжекцию гармоник от всех установок, создающих помехи в системе, до уровней, которые не будут превышать планируемые уровни. С этой целью установлены три этапа оценки, которые допускается использовать последовательно или независимо друг от друга.
5.1 Этап 1. Упрощенная оценка эмиссии помех
Обычно для потребителя приемлемо устанавливать небольшие устройства без специальной оценки эмиссии гармоник сетевой организацией. Производители таких устройств несут ответственность за ограничение эмиссии. Например, IEC 61000-3-2
[8] и IEC 61000-3-12
[9] представляют собой стандарты, распространяющиеся на группу продукции, устанавливающие нормы эмиссии гармоник для образцов оборудования, подключенного к системам НН. В настоящее время не существует стандартов эмиссии для оборудования СН по следующим причинам:
- среднее напряжение изменяется между 1 и 35 кВ и
- отсутствует установленное на международном уровне опорное полное сопротивления для систем СН.
Даже без опорного полного сопротивления возможно определить консервативные критерии для квазиавтоматического принятия установок небольшого размера, создающих помехи в системах среднего напряжения (а также в системах высокого напряжения).
Если мощность общей установки, создающей помехи, или согласованная с потребителем мощность мала по сравнению с мощностью короткого замыкания в точке оценки, нет необходимости проводить детальную оценку уровней эмиссии гармоник.
Более точный подход заключается в расчете "взвешенной искажающей мощности" (см.
8.1.2) в качестве критерия для определения приемлемости на этапе 1 общего оборудования, создающего помехи, подключенного на объекте пользователя.
В
8.1 и
9.1 разработаны конкретные критерии для применения оценки этапа 1.
5.2 Этап 2. Нормы эмиссии по отношению к фактическим характеристикам системы
Если установка не соответствует критериям
этапа 1, то конкретные характеристики установки, создающей помехи, необходимо оценивать вместе с абсорбирующей способностью системы. Абсорбирующая способность системы определяется исходя из планируемых уровней и распределяется по индивидуальным пользователям в соответствии с их потребностью в отношении общей пропускной способности системы. Уровень помех, передаваемый от уровней восходящего напряжения системы питания до уровня НН, также должен учитываться при распределении уровней планирования для отдельных установок пользователей.
Принцип такого подхода заключается в том, что если система используется на полной мощности и все установки пользователей подключены с их индивидуальными нормами, то общие уровни помех будут равны планируемым уровням с учетом коэффициентов передачи между различными частями системы и суммирования гармоник от различных установок, создающих помехи.
Процедура распределения планируемых уровней для отдельных пользователей представлена в
разделах 8 и
9.
Примечание - Если пропускная способность системы в будущем возрастет, уровни эмиссии отдельных пользователей должны стать ниже. Поэтому важно, где это возможно, учитывать будущие расширения системы.
5.3 Этап 3. Принятие более высоких уровней эмиссии при определенных условиях
При некоторых обстоятельствах пользователь может потребовать принятия эмиссии помехи, превышающей базовые ограничения, разрешенные на
этапе 2. В такой ситуации пользователь и сетевая организация могут договориться об особых условиях, которые облегчают подключение установки, создающей помехи. Чтобы определить указанные особые условия, необходимо провести тщательное изучение фактических и будущих характеристик системы.
В настоящем стандарте установлена следующая ответственность сторон с точки зрения обеспечения ЭМС:
- пользователь несет ответственность за обеспечение эмиссии в указанной точке оценки ниже норм, которые были установлены сетевой организацией;
- сетевая организация несет ответственность за общую координацию уровней помех при нормальных условиях эксплуатации в соответствии с национальными требованиями. Для целей оценки сетевая организация должна при необходимости предоставить соответствующие системные данные, такие как гармоническое полное сопротивление, или необходимые данные для его расчета (см.
6.4), уровни короткого замыкания и существующие уровни помех. Процедура оценки разработана таким образом, что эмиссия помех от всех установок, создающих помехи, не приводит к тому, что общие уровни помех в системе превышают планируемые уровни и уровни совместимости. Однако, учитывая конкретные местные условия и предположения, на которых базируется эта процедура оценки, следует учитывать, что нет полной гарантии, что рекомендуемый подход позволит избежать превышения уровней;
- если установка превышает нормы эмиссии, сетевая организация и пользователь должны согласовать, когда это необходимо, оптимальные мероприятия с целью снижения эмиссии. Проектирование и выбор метода снижения эмиссии являются обязанностью пользователя.
Примечание - Настоящий стандарт в основном регламентирует вопросы эмиссии. Однако поглощение гармоник также может быть проблемой, если, например, фильтры или конденсаторные батареи соединены без учета их взаимодействия с гармоническими напряжениями, обычно присутствующими в энергосистеме. Проблема поглощения гармонических помех также является частью ответственности пользователя.
6 Общие руководящие принципы для оценки уровней эмиссии
Точка оценки - это точка, в которой уровни эмиссии установки конкретного пользователя оценивают на предмет соответствия нормам эмиссии. Это также точка в рассматриваемой системе электроснабжения, для которой определены планируемые уровни. Эта точка может быть точкой присоединения или точкой общего присоединения (PCC) установки, создающей помехи, или любой другой точкой, указанной сетевой организацией или согласованной между сторонами.
Для установки конкретного пользователя может быть также указано несколько точек оценки в зависимости от структуры системы и характеристик установки. В этом случае оценку следует проводить с учетом характеристик системы и значений согласованной мощности, применимых к различным точкам оценки.
Примечание 1 - Следует отметить, что для определения норм эмиссии и оценки уровней эмиссии зачастую необходимо учитывать параметры системы за пределами точки оценки (такие как воздействия резонансов в удаленных точках системы).
Примечание 2 - В зависимости от расположения точки общего присоединения по сравнению с точкой подключения установки, создающей помехи, в последней напряжение гармоник может быть выше.
Примечание 3 - Следует помнить, что характеристики напряжения или согласованные значения норм обычно применяют в точке присоединения. Это следует учитывать в ходе согласования между сторонами.
6.2 Определение уровня эмиссии гармоник
Уровень эмиссии гармоник от установки в энергосистему представляет собой векторную величину напряжения (или тока) гармоники на каждой гармонической частоте, вызванную этой установкой, в точке оценки. Это показано на
рисунке 3 вектором
Uhi и его вкладом (вместе с вектором гармоник, вызванным всеми другими источниками гармоник, когда рассматриваемая установка не подключена к системе) в измеренный вектор гармоник в точке оценки, когда установка подключена.
Рисунок 3 - Иллюстрация вектора эмиссии
Uhi и его вклада
в измеряемый вектор гармоники в точке оценки
Если вектор гармонической эмиссии приводит к увеличению уровня гармонических помех (искажений) в сети, то уровень эмиссии, как определено выше (т.е. |Uhi|), должен быть менее норм эмиссии, оцененных по соответствующим разделам настоящего стандарта.
Примечание 1 - Взаимодействие между системой электроснабжения и установкой пользователя может в некоторых случаях приводить к усилению или уменьшению уровня искажения напряжения в заданном гармоническом порядке (из-за возникновения параллельного или последовательного резонансного состояния). Усиление возможно даже там, где сама установка не создает гармоники этого порядка. Поскольку в настоящем стандарте рассматриваются требования к координации ЭМС, такие ситуации усиления следует учитывать при определении фактических уровней помех.
Примечание 2 - Гармонические напряжения или токи, создаваемые различными установками, могут не совпадать по фазе. Это рассматривается в
разделе 7 и
подразделе 8.3.
Примечание 3 - Если нормы эмиссии гармонического напряжения установки превышены, это может быть вызвано следующим:
1) полное сопротивление системы высокое из-за наличия условий гармонического резонанса;
2) установка резонирует с системой питания или
3) токи гармоник, генерируемые установкой, слишком велики.
Примечание 4 - Для оценки уровней эмиссии перед подключением установка пользователя рассматривается только как источник гармонического тока. Нормы гармонического тока и/или напряжения также определяются на основе этого предположения. Во время оценки после подключения характеристики установки включают в себя характеристики ее внутренних источников гармонического тока, а также ее полное сопротивление (что приводит к возможности резонанса с системой).
6.3 Оценка уровней эмиссии гармоник
Настоящий подраздел предназначен для предоставления общего руководства по оценке эмиссии гармоник от установок, создающих помехи, с учетом различных рабочих и неидеальных условий, которые могут существовать в энергосистемах и установках пользователей. Более подробная информация об оценке уровней эмиссии приведена в
[13] и
[14].
Предварительная оценка уровня эмиссии гармоник для установки может быть проведена с использованием базовых предположений о характеристиках системы и установок потребителей. Однако это расчетное значение, вероятно, будет отличаться от фактического уровня эмиссии, который будет наблюдаться, когда установка подключена к системе, т.е. фактический уровень выбросов может быть выше или ниже расчетного значения. Поэтому может потребоваться оценить уровень эмиссии, которая будет иметь место при подключении установки к системе.
6.3.1 Условия эксплуатации
Оценка уровней эмиссии гармоник от установок, создающих помехи, должна учитывать наихудшие нормальные условия эксплуатации, для которых предназначена система или установка потребителя, включая несимметрии и непредвиденные обстоятельства, и которые могут продолжаться в течение определенного процента времени, например более 5% времени, определенного на основе статистического среднего (например, длительное отключение одного 6-импульсного выпрямителя в большой многофазной выпрямительной установке). Кроме того, оценка уровней эмиссии гармоник установками должна проводиться для

установок по сравнению с размером системы (например, при
Ssc/
Si < 30). При этом следует учитывать, что отношение 30 может быть скорректировано в соответствии с конкретными условиями. Также может быть необходимым оценить уровни эмиссии для возможных условий эксплуатации, длящихся менее 5% времени. При таких случайных условиях или во время запуска или внезапного отключения могут быть допустимы более высокие нормы эмиссии (например, увеличенные от 1,5 до 2 раз).
В простых случаях инжекцию гармоник от конкретной установки, создающей помехи, можно оценить, используя максимальное значение тока на каждой гармонике и межгармонической частоте, которые могут быть получены в возможном диапазоне работы каждой единицы оборудования. Для

установок этот подход может привести к чрезмерно консервативным результатам. В качестве альтернативы для оценки максимальной гармонической инжекции допускается рассматривать набор гармонических и межгармонических токов, согласующихся с режимами наибольшей нагрузки и совпадающего во времени функционирования образцов оборудования, которые могут реально иметь место одновременно.
6.3.2 Несимметрии и неидеальные условия
В практических ситуациях неизбежно наличие некоторой степени несимметрии в системе питания и оборудовании потребителя, что приводит к генерации нехарактерных гармоник. Эти нехарактерные гармоники могут быть малыми относительно характеристических гармоник, но для определенных типов установок, таких как включающие постоянно меняющиеся во времени нагрузки, и для

выпрямительных установок, использующих выпрямители с

числом импульсов, они могут доминировать и усиливаться из-за резонанса с фильтрами. Следовательно, эти нехарактерные гармоники должны быть включены в оценку уровней эмиссии.
Приведенные ниже неидеальные условия следует рассматривать как минимальные условия для выполнения оценки работы установки в отношении эмиссии гармоник (следует обратить внимание на то, что для оценки оборудования и/или устройства, такого как трансформаторы, конденсаторы, реакторы, фильтры и т.д., критерии могут отличаться от приведенных ниже критериев, которые относятся к качеству функционирования вместо оценки):
- частое или длительное уменьшение числа импульсов в установке из-за сбоя или несбалансированной работы некоторых преобразователей, образующих установку с более высоким числом импульсов, увеличивая таким образом гармоники низкого порядка, такие как 5, 7, 11, 13 и т.д.;
- несимметрия напряжений питания: наличие компонентов обратной последовательности основной частоты трехфазного напряжения питания обычно приводит к нечетно-тройным гармоникам положительной и/или отрицательной последовательности. Как правило, следует учитывать коэффициент несимметрии напряжений от 1% до 2% в зависимости от уровня напряжения при неидеальной стационарной работе энергосистемы. В некоторых сетях СН с однофазными ответвлениями коэффициент несимметрии напряжений может составлять до 3%, если это указано сетевой организацией;
- несимметрия полных сопротивлений трансформаторов и коммутирующего оборудования преобразователя: производственные допуски на отношение витков (отношение витков не равно в точности

) и на реактивное сопротивление между двумя трансформаторами 12-импульсного преобразователя создают нехарактерные гармоники, как правило, связанные только с 6-импульсным преобразователем;
- несимметрия полных сопротивлений коммутирующего оборудования между фазами приводит к появлению нехарактерных гармоник, которые также зависят от соединений обмоток трансформатора;
- несимметрия углов зажигания: изменения моментов зажигания вентилей могут привести к появлению широкого спектра гармоник. Отклонения углов зажигания между вентилями зависят от конкретной конструкции цепей зажигания;
- расстройки фильтра: если для соблюдения норм эмиссии требуются фильтры гармоник, оценка гармонических помех должна также учитывать эффекты расстройки фильтров:
- из-за изменения частоты питания, которое может происходить в
установившемся режиме;
- первоначального искажения значений компонентов фильтров из-за
производственных допусков и их изменений из-за колебаний температуры
окружающей среды;
- старения компонентов фильтров;
- плановых операций переключения фильтров и конденсаторных батарей
с изменением нагрузки.
6.4 Гармоническое полное сопротивление системы
Наличие информации о гармоническом полном сопротивлении системы является обязательным условием как для сетевой организации при оценке норм эмиссии, так и для пользователя при оценке уровней эмиссии рассматриваемой установки. Что касается порядка использования гармонического полного сопротивления, то можно выделить три различных типа его использования.
6.4.1 Полное сопротивление для преобразования норм эмиссии напряжения в нормы эмиссии тока
Для преобразования норм эмиссии напряжения в нормы эмиссии тока существует два способа оценки полного гармонического сопротивления системы в зависимости от размера установки, создающей помехи, и характеристик системы:
- в общем случае заявленное или общее гармоническое полное сопротивление системы, охватывающее различные типы систем, разные уровни напряжения и т.д., может использоваться сетевой организацией для определения общих наборов предельных значений эмиссии на основе типичных характеристик системы. При необходимости могут быть введены поправочные коэффициенты, чтобы компенсировать иные характеристики системы, не относящиеся к общим характеристикам (например, коэффициент усиления, основанный на типичных условиях резонанса для таких сетей). Этот способ оценки, как правило, является лучшим при более низких напряжениях в системе, где демпфирование резонансных условий имеет тенденцию быть более эффективным, чем при высоком и особенно при сверхвысоком напряжении;
- для

установок по сравнению с размерами системы, особенно при высоком и сверхвысоком напряжениях, может также использоваться наилучшая оценка максимального гармонического полного сопротивления системы по наихудшим условиям эксплуатации в точке оценки. Этот способ оценки может также включать в себя оценку воздействия на удаленные точки в сети.
В любом случае исключительно низкие значения гармонического полного сопротивления следует игнорировать, поскольку они часто относятся к последовательному резонансу, для которого гармоническое напряжение может превышать планируемые уровни в других частях системы. В этом случае значение полного сопротивления следует не принимать во внимание и заменить его значением по умолчанию (например, значением Z1·h, где Z1 - полное сопротивление системы на основной частоте, h - порядок гармоник).
6.4.2 Полное сопротивление для предварительной оценки уровней эмиссии перед подключением
Для обеспечения возможности оценки уровней эмиссии гармоник до подключения, в частности для

установок, создающих помехи, гармонические полные сопротивления системы в точке оценки могут быть получены путем моделирования для различных условий работы системы (включая будущие условия). В некоторых случаях указанное полное сопротивление может основываться на значении полного сопротивления короткого замыкания, в других случаях (например, в случае

установок) должно быть указано местоположение источника гармонического полного сопротивления или данные для его расчета. В частности, для

установок (с небольшим отношением
Ssc/
Si) важно правильно оценить возможность резонанса, чтобы для избежания проблем или повреждений могли быть спроектированы фильтры/конденсаторы (не только в отношении резонанса системы, но и резонанса между рассматриваемыми фильтрами или конденсаторами и системой питания). Для определения возможного резонанса необходимо учитывать диапазон изменения гармонического полного сопротивления, а не только максимальные значения полного сопротивления. Диапазон изменения фазового угла гармонического полного сопротивления характеризует резистивную часть полного сопротивления и определяет демпфирование в случае резонанса.
6.4.3 Полное сопротивление для оценки фактических уровней эмиссии
Для оценки фактических уровней эмиссии от данной установки, создающей помехи, фактическое полное гармоническое сопротивление системы может быть измерено или рассчитано для использования в сочетании с другими измеренными параметрами для оценки фактических уровней эмиссии.
6.4.4 Общие рекомендации по оценке гармонического полного сопротивления системы
Большинство установок, создающих помехи, ведут себя как источники гармонических токов. Знание гармонического полного сопротивления системы, "видимого" из точки оценки, необходимо для прогнозирования гармонических напряжений, которые появятся в этой точке при подключении установки. Приведенные ниже требования относятся к случаям, указанным в
6.4.2 и
6.4.3, где гармоническое полное сопротивление системы необходимо для оценки уровней эмиссии от большой установки, создающей помехи.
Оценка гармонического полного сопротивления может быть очень сложной задачей. Существует несколько методов измерения и расчета, см.
[15],
[16],
[17] и
[18], но ни один из них не является полностью удовлетворительным. Кроме того, гармоническое полное сопротивление системы может значительно изменяться со временем. Поэтому при ожидании значительных изменений конфигурации системы в будущем по отношению к существующей конфигурации должен быть в наличии другой набор данных о гармоническом полном сопротивлении, чтобы пользователь мог оценить свои уровни эмиссии для обеих ситуаций и достичь оптимальной конструкции своего оборудования.
Для обеспечения возможности оценки уровней эмиссии до подключения необходимо определить гармоническое полное сопротивление системы, что, как правило, достигается путем моделирования. Для оценки уровней эмиссии следует при определении полного гармонического сопротивления системы учитывать различные нормальные рабочие условия, включая также ситуации с ненормальными рабочими условиями системы с учетом того, что эти ситуации могут продолжаться в течение определенной части времени, например более 5% времени в год в среднем, с учетом статистики. Должны быть также включены известные или ожидаемые изменения системы в будущем.
В частности, необходимо учитывать различные реактивные компенсации или состояния фильтров (например, состояния шунтирующих конденсаторов) (в последнем случае эти состояния должны соответствовать нагрузке системы, обычно связанной с этими состояниями, например слегка нагруженная система может привести к значительному усилению гармоник).
Изменения гармонического полного сопротивления системы из-за допусков на электрические параметры компонентов сети и неточности в моделировании должны учитываться путем оценки полного сопротивления в эквивалентной полосе частот отклонения для каждой гармоники (допуски в отношении индуктивных и емкостных параметров компонентов устройства могут быть преобразованы к значениям эквивалентных отклонений частоты). Для высших гармонических порядков это также должно позволить учесть возможный резонанс между некоторыми гармоническими частотами.
При необходимости (например, для

установок) данные о гармоническом полном сопротивлении системы должны быть представлены в виде местоположения или таблицы, в которой указаны минимальные и максимальные ожидаемые изменения значения и фазового угла полного сопротивления в интересующем диапазоне гармоник или необходимые параметры сети для расчета этих данных полного сопротивления. Рассматриваемая установка, создающая помехи, как правило, недостаточно известна на ранней стадии оценки перед подключением. Следовательно, как правило, обеспечивается гармоническое полное сопротивление системы без учета влияния мешающей установки, подлежащей оценке. После того как пользователь выполнил свой предварительный проект, он может объединить гармоническое полное сопротивление своей собственной установки с полным сопротивлением системы для оценки своих уровней эмиссии с учетом возможного резонанса, который его установка может создать с системой питания.
В дополнение к вышеупомянутым соображениям на полное сопротивление могут также оказывать влияние следующие факторы:
- в системах СН эквивалент короткого замыкания на подстанции имеет тенденцию быть доминирующей индуктивностью при расчете резонансных частот;
- без блоков шунтирующих конденсаторов резонансы определяются емкостью кабелей и воздушных линий. Если значительные длины кабелей не имеют места, эти резонансы, как правило, будут выше 13-й гармоники,
- шунтирующие конденсаторные батареи в системе создают резонансы на частотах гармоник более низкого порядка. Нередко самый важный резонанс имеет место на 5-й гармонике или ниже;
- системы СН, которые обеспечивают электроснабжение применительно к сочетанию бытовых, коммерческих и промышленных нагрузок, обычно имеют демпфирующие характеристики, которые предотвращают высокое увеличение (более 2 - 3 раз) на резонансных частотах низкого порядка;
- некоторые системы СН, которые обеспечивают электроснабжение преимущественно промышленной нагрузки, могут иметь меньшее демпфирование, а резонансы могут вызывать более высокие уровни увеличения.
Установки других потребителей также влияют на гармоническое полное сопротивление системы. Особое внимание следует уделить их конденсаторным батареям, которые могут изменять или создавать дополнительные резонансы. Это особенно важно, когда конденсаторные батареи подключены внутри установки пользователей. Сетевая организация, как правило, не располагает полной информацией о существующих средствах пользователей, поэтому она может предоставить только приближенную информацию.
7 Общий закон суммирования
Координация кондуктивных помех требует принятия гипотез, относящихся к суммированию помех, вызываемых различными установками. В случае гармонических помех фактический уровень гармонического напряжения (или тока) в любой точке системы представляет собой результат векторного суммирования индивидуальных компонентов от каждого отдельного источника.
Опытным путем может быть принят общий закон суммирования для гармонического напряжения и тока.
Закон для результирующего гармонического напряжения порядка h выражен формулой

, (2)
где Uh - значение результирующего гармонического напряжения (порядка h) для рассматриваемой совокупности источников (вероятностное значение);
Uhi - значения различных индивидуальных уровней эмиссии (порядка h), которые должны быть объединены;

- показатель степени, зависящий в основном от двух факторов:
- выбранного значения вероятности того, что действительное значение не превысит расчетного;
- степени случайных изменений отдельных гармонических напряжений по амплитуде и фазе.
Примечание - Такая же формула может быть использована при суммировании гармонического тока.
При этом следует принимать во внимание следующее:
- координация гармонической эмиссии в основном относится к 95%-ной вероятности того, что действительное значение не превысит расчетного;
- источники эмиссии, которые должны быть объединены, относятся:
- к основным установкам, подключенным к распределительным системам
СН/НН;
- источникам помех, передаваемых с одного уровня напряжения системы
на другой;
- совокупной общей эмиссии многих установок низкого напряжения;
- нечетные гармоники низкого порядка характеризуются:
- амплитудами, которые значительны почти везде в системах и остаются
в целом стабильными в течение длительных периодов;
- фазовыми углами с относительно узким диапазоном изменений
(ограниченным изменениями в источниках, а также изменениями из-за
распространения в системе, если не возникает низкочастотный резонанс);
- гармоники высокого порядка в значительной степени различаются по амплитуде и фазовому углу.
На основании информации, доступной на сегодняшний день, может быть принят приведенный ниже набор показателей в отсутствие дополнительной конкретной информации (см.
таблицу 3).
Таблица 3
Показатели суммирования для гармоник (индикативные значения)
Порядок гармоники | |
h < 5 | 1 |
5 <= h <= 10 | 1,4 |
h > 10 | 2 |
Примечание 1 - Если известно, что гармоники, вероятно, находятся "в фазе" (т.е. разность фазовых углов менее 90°), то показатель суммирования

должен быть применен для порядка 5 и выше.
Примечание 2 - Наоборот, некоторые нехарактерные гармоники низкого порядка (например, 3-го) вряд ли могут по разным причинам быть отнесены к синфазным; поэтому в указанных случаях следует применять показатель более 1 (например,

).
Примечание 3 - Более высокие показатели суммирования могут применяться для четных гармоник, вероятность совпадения фаз которых меньше (для h <= 10).
8 Нормы эмиссии гармоник для установок, создающих помехи, подключенных к системам СН
8.1 Этап 1. Упрощенная оценка эмиссии помех
На этапе 1 может быть принято подключение небольшой установки или установок только с ограниченным количеством искажающего оборудования, без подробной оценки характеристик эмиссии или реакции системы питания.
В настоящем подразделе приведены два возможных критерия для оценки этапа 1. Если предположения, относящиеся к
8.1.1 или
8.1.2, вызывают сомнения, то необходимо провести оценку в соответствии с критериями
этапа 2, приведенными в 8.2.
8.1.1 Согласованная мощность как критерий
Если выполнено следующее условие:

, (3)
где Si - согласованная мощность установки пользователя i;
Ssc - мощность короткого замыкания в точке оценки,
то любая установка, создающая помехи, может быть подключена к системе питания без дальнейшего изучения.
Примечание - Значение Ssc может быть рассчитано (или измерено) для конкретной точки оценки или может быть оценено для типичной системы среднего напряжения с характеристиками, аналогичными рассматриваемым.
Значение 0,2% основано на ряде следующих допущений:
- система постоянно работает с уровнем искажений, который в достаточной степени ниже планируемого уровня, поэтому подключение новой установки не приведет к превышению планируемого уровня;
- ожидается, что усиление в результате резонанса не будет превышать двух раз;
- отсутствует риск влияния помех на других потребителей/системное оборудование, вызванных подключением новой установки.
8.1.2 Взвешенная искажающая мощность как критерий
Этот подход включает в себя вычисление "взвешенной искажающей мощности",
SDwi, для характеристики количества искажающего оборудования на объекте пользователя. Этот подход может быть реализован с использованием весовых коэффициентов
Wj, приведенных в
таблице 4 для распространенных типов оборудования, создающего гармоники.

(4)
где SDj - мощность каждого образца искажающего оборудования (j) на объекте (i).
Если характеристики оборудования, создающего гармоники, неизвестны, может быть принят весовой коэффициент Wj, равный 2,5.
Принятие установки пользователя на этапе 1 может быть проведено путем сравнения взвешенной искажающей мощности с мощностью короткого замыкания в точке оценки. Для принятия на этапе 1 допускается использование следующего консервативного критерия:

. (5)
Таблица 4
Весовые коэффициенты
Wj для различных типов оборудования,
создающего гармоники
Типичное подключаемое оборудование при НН, СН или ВН | Типичная форма тока | Типичное значение THD тока | Весовой коэффициент Wj |
Однофазный источник питания (выпрямитель и сглаживающий конденсатор) | | 80% (высокий уровень 3 гармоники) | 2,5 |
Полупроводниковый преобразователь | | Высокий уровень 2-й, 3-й, 4-й гармоник при частных нагрузках | 2,5 |
6-импульсный преобразователь, емкостное сглаживание без последовательной индуктивности | | 80% | 2,0 |
6-импульсный преобразователь, емкостное сглаживание с последовательной индуктивностью > 3% или приводом постоянного тока | | 40% | 1,0 |
6-импульсный преобразователь с  индуктором для сглаживания тока | | 28% | 0,8 |
Регулятор переменного напряжения | | Изменяется в зависимости от угла зажигания | 0,7 |
12-импульсный преобразователь | | 15% | 0,5 |
8.2 Этап 2. Нормы эмиссии по отношению к фактическим характеристикам системы
Принимая во внимание фактическую поглощающую способность системы из-за разностей фаз гармонических токов, а также полного сопротивления системы и характеристик подключаемой установки, могут быть допущены уровни эмиссии выше, чем в соответствии с критериями
этапа 1.
На этом этапе допустимый общий вклад в общий уровень помех распределяется для каждой отдельной установки в соответствии с ее долей от общей мощности системы питания (St), к которой эта установка подключена. Это гарантирует, что уровень помех из-за эмиссии всех потребителей, подключенных к системе, не будет превышать планируемый уровень.
Два соответствующих подхода представлены ниже. Первый (упрощенный) подход основан на допустимом гармоническом токе как функции тока основной частоты. Второй основан на общем законе суммирования, позволяющем использовать более общий метод для установления предельных значений эмиссии для более крупных установок, создающих помехи.
8.2.1 Относительные гармонические токи как нормы эмиссии
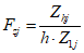
Допустимая доля общего искажения напряжения, как правило, не будет превышена, если для "относительных гармонических токов" установлены соответствующие нормы. В
таблице 5 приведен пример указанных норм.
Эти нормы относятся к потребителям с согласованной мощностью Si <= 1 МВ·А и отношением Si/Ssc < 1%, при условии что существующий уровень гармоник позволяет применять указанные нормы и пользователь не применяет конденсаторы и/или фильтры для коррекции коэффициента мощности.
Таблица 5
Некоторые нормы эмиссии гармонических токов нечетного
порядка относительно размера установки потребителя
(индикативные значения)
Порядок гармоники h | 5 | 7 | 11 | 13 | > 13 |
Норма эмиссии гармонического тока EIhi = Ihi/Ii, % | 5 | 5 | 3 | 3 | |
где EIhi - норма эмиссии гармонического тока порядка h для пользователя i;
Ihi - гармонический ток порядка h, вызванный установкой пользователя i, создающей помехи;
Ii - среднеквадратичное значение тока, соответствующее согласованной мощности установки пользователя (основная частота).
8.2.2 Общий подход, основанный на законе суммирования
8.2.2.1 Распределение общей эмиссии между пользователями
Типичная система среднего напряжения приведена на
рисунке 4. Цель - установить нормы эмиссии для среднего напряжения.
Рисунок 4 - Пример системы для разделения общих вкладов
при среднем напряжении
Прежде всего для определения общего вклада всех источников гармоник, присутствующих в конкретной системе СН, необходимо применение общего закона суммирования
[формула (2)]. Для каждого порядка гармоники фактическое гармоническое напряжение в системе СН является результатом векторного суммирования напряжения гармоник, поступающего из восходящей системы (следует учесть, что восходящая система может представлять собой ВН или другую систему СН, для которой установлены промежуточные планируемые уровни), и напряжения гармоник, образованного в результате влияния всех искажающих установок, подключенных к рассматриваемой системе СН и НН. Это общее гармоническое напряжение не должно превышать планируемого уровня системы СН, определяемого как:

, (6)
Таким образом, общий вклад гармонического напряжения, который может быть распределен среди всех установок СН и НН, получающих питание из рассматриваемой системы СН, определяется как:

, (7)
где GhMV+LV - максимальный глобальный вклад от общего количества установок СН и НН, которые могут получать питание от шины СН, в напряжение h-й гармоники в системе СН (выражается в процентах напряжения основной частоты);
LhMV - планируемый уровень h-й гармоники в системе СН;
LhUS - планируемый уровень h-й гармоники в вышестоящей системе (по причинам, указанным ранее, для промежуточных уровней напряжения между СН и ВН - СВН могут потребоваться разные планируемые уровни; поэтому в качестве общего термина для "восходящей системы" используется "планируемый уровень");
ThUM - коэффициент передачи искажающего гармонического напряжения порядка h из восходящей системы в рассматриваемую систему СН. Значение ThUM может быть определено путем моделирования или измерений. Для первоначальной упрощенной оценки коэффициенты передачи ThUM из восходящей системы в систему СН могут быть приняты равными 1. На практике коэффициенты передачи могут быть менее 1 (например, 2/3) из-за влияния элементов нисходящей системы или выше 1 (обычно между 1 и 3) из-за резонанса. За определение соответствующих значений в зависимости от характеристик системы несет ответственность сетевая организация;
Пример, иллюстрирующий использование вышеприведенной формулы, представлен в
приложении C.
Если планируемые уровни систем СН равны уровням для вышестоящих систем, то, как показано в
таблице 2 для
h = 15; 21 и гармоник более высокого порядка, кратных 3, применение
формулы (7) приводит к нулевому вкладу для потребителей СН и НН (см.
приложение C). В этих случаях следует распределить справедливую долю эмиссии между различными уровнями напряжения системы.
8.2.2.2 Индивидуальные нормы эмиссии
Для каждого пользователя будет разрешена только часть общего лимита эмиссии GhMV+LV. Разумный подход заключается в том, чтобы при определении указанной части общего лимита принять во внимание соотношение между согласованной мощностью установки Si и общей мощностью системы СН St. Такой критерий связан с тем, что согласованная мощность установки пользователя часто связана с его долей в инвестиционных затратах энергосистемы.
Таким образом

, (8)
где EUhi - норма эмиссии гармонического напряжения порядка h для установки (i), напрямую подключенной к СН, %;
GhMV+LV - максимальный общий вклад суммарного числа установок СН и НН, которые могут получать питание из рассматриваемой системы СН в напряжение
h-й гармоники в системе СН, как указано в
формуле (7);

- согласованная мощность установки пользователя (
i) или номинальная мощность в МВ·А рассматриваемой искажающей установки (либо нагрузка, либо генерация);
St - общая пропускная способность рассматриваемой системы, включая резерв для будущего роста нагрузки (в принципе, St - сумма распределений мощностей всех установок, включая установки "ниже по потоку", которые подключены или могут быть подключены к рассматриваемой системе, принимая во внимание их разнообразие). St может также включать в себя вклад от рассеянной генерации, однако потребуется более детальное рассмотрение, чтобы определить фактический вклад рассеянной генерации в St и ее эффективный вклад в мощность короткого замыкания;

- показатель закона суммирования (см.
таблицу 3).
Примечание - В некоторых случаях рассеянная генерация может фактически являться источником гармоник и должна учитываться соответствующим образом.
В некоторых расположениях существующий уровень гармоник может быть выше, чем нормальная доля, установленная для имеющихся в наличии установок. В этом случае норма эмиссии для любых новых установок может быть уменьшена, или может быть пересмотрено распределение планируемых уровней между различными уровнями напряжения, или может быть увеличена способность поглощения тока гармоник в системе.
Для пользователей, имеющих низкую согласованную мощность,
формула (8) может привести к неоправданно низким ограничениям. Если норма эмиссии напряжения в некоторых гармонических порядках становится менее 0,1%, она должна быть установлена равной 0,1% (за исключением случаев, когда существует риск телефонных помех или если эмиссия соответствует частоте дистанционного управления путем передачи сигналов звуковой частоты в сети, в этих случаях могут быть оправданы более серьезные ограничения).
Может оказаться предпочтительным установить нормы гармонических токов для установки, создающей помехи, даже если целью нормирования является ограничение гармонических напряжений в системе. Сетевая организация будет обязана предоставить данные, касающиеся частотно-зависимого полного сопротивления системы, чтобы можно было выразить эти нормы в виде гармонических токов

, (9)
где EIhi - соответствующая норма эмиссии гармонического тока пользователем "i" при гармоническом порядке h;
Zhi - гармоническое полное сопротивление системы в точке оценки для пользователя "
i", оцененное с учетом фактической цели преобразования напряжения в нормы эмиссии тока (см.
6.4.1).
8.2.2.3 Длинные фидеры среднего напряжения Zhi
Требования, приведенные выше для установления индивидуальных норм эмиссии, не учитывают изменения мощности короткого замыкания в различных точках сетей СН. Когда установки подключены к виртуальной общей шине, мощность короткого замыкания существенно не изменяется, и представленные методы разделения предельных значений эмиссии являются адекватными. Это применимо к распределительным системам с кабелям длиной менее 10 км и воздушным линиями длиной менее 5 км. Эти условия типичны для сетей, питающих довольно большие нагрузки (конкретные промышленные нагрузки и т.д.).
Примечание - Если между шиной и фидером имеется последовательный реактор с целью уменьшения мощности короткого замыкания, то под словом "шина" следует понимать точку реактора, обращенную к фидеру.
Для распределительных систем с длинными кабелями и воздушными линиями, где установки пользователей распределены по длине фидеров, вышеупомянутый подход может привести к установлению излишне строгих норм гармонического тока, что приведет к "наказанию" пользователей, подключенных на некотором расстоянии вниз по линии, где мощность короткого замыкания может быть значительно ниже, чем на передающем конце фидера. Подход к разделению допустимой общей эмиссии
GhMV между отдельными установками среднего напряжения с целью компенсации этого эффекта приведен в
приложении B.
Метод, предложенный и проиллюстрированный в
приложении B, подходит для конкретных случаев, а также для разработки общих правил, относящихся к эмиссии. Следовательно, этот метод может использоваться сетевой организацией для установления своих собственных норм эмиссии гармонического тока, адаптированных к особенностям опорной системы распределения. Метод основан на математической модели, в которой предполагается, что каждый фидер имеет свои установки среднего напряжения, распределенные равномерно и непрерывно вдоль него. Предполагается, что каждый фидер имеет постоянное полное сопротивление на единицу длины, но отдельные фидеры могут отличаться друг от друга. В такой системе самое высокое значение гармонического напряжения появится на конце фидера, имеющего наихудшее регулирование напряжения. Метод направлен на оценку этого напряжения и ограничение его до планируемого уровня.
В случае, когда в отклике системы преобладает резонанс, вызванный кабелями или шунтирующими конденсаторами, метод, представленный в
приложении B, не подходит для частоты гармоники, на которой возникает резонанс.
8.3 Этап 3. Принятие более высоких уровней эмиссии при определенных условиях
При некоторых обстоятельствах сетевая организация может подключить установку, вызывающую помехи, уровни которых превышают базовые нормы, разрешенные по результатам
этапа 2. Это особенно касается случая, когда нормы
этапа 2 являются общими ограничениями, полученными с использованием типичных, но консервативных характеристик системы. Приведенные ниже факторы могут обеспечить в системе определенный запас, позволяющий допустить более высокие нормы эмиссии, например:
- некоторые установки не создают значительных гармоник, потому что в их составе нет искажающего оборудования с существенным энергопотреблением. Как следствие, некоторая часть имеющейся емкости системы может не использоваться в течение определенного периода времени;
- общий закон суммирования в некоторых случаях может быть слишком консервативным: некоторые искажающие установки могут создавать гармоники с противоположной фазой или сдвиг фазы внутри системы может привести к частичной компенсации гармоник;
- возможно, что некоторые установки, создающие помехи, никогда не будут работать одновременно из-за ограничений системы или нагрузки;
- если нормы
этапа 2 были установлены с использованием общего гармонического полного сопротивления или с учетом коэффициента усиления из-за резонанса, фактическое полное сопротивление может быть менее, чем предполагалось;
- в некоторых случаях более высокие планируемые уровни могут быть определены после перераспределения планируемых уровней между системами СН и ВН для учета локальных явлений, таких как особый эффект затухания или отсутствие искажающих установок при определенном уровне напряжения или влияний резонансов;
- в некоторых случаях установка, создающая помехи, может соответствовать своим нормам эмиссии в обычных конфигурациях системы, в то же время превышая нормы эмиссии
этапа 2 только изредка при ухудшенных конфигурациях (например, когда соседняя генерирующая установка не работает).
Во всех случаях, когда это уместно, сетевая организация может принять решение об установлении более высоких норм эмиссии на этапе 3. Всегда следует проводить тщательное изучение соединений, принимая во внимание ранее существовавшие возмущения и ожидаемый вклад от рассматриваемой установки при различных возможных условиях эксплуатации. Возможность принятия более высоких, чем обычно, норм эмиссии для пользователей может иметь место только на условной основе, с установлением ограничений сетевой организацией, например:
- установление временных ограничений этапа 3:
- до тех пор, пока в системе остаются свободные запасные мощности для
разрешения большей эмиссии;
- до тех пор, пока большинство других пользователей не в полной мере
используют свои нормы эмиссии, соответствующие
этапу 2;
- на время, необходимое для новой установки, чтобы реализовать
дополнительные корректирующие меры, когда это необходимо;
- снижение интенсивности или отсутствие работы установок, создающих помехи, для некоторых систем питания или конфигураций пользователя.
8.4 Сводная схема процедуры оценки
На
рисунке 5 представлен обзор процедуры оценки, представленной в настоящем стандарте.
Рисунок 5 - Схема процедуры оценки при среднем напряжении
9 Нормы эмиссии для установок, создающих помехи, подключенных к системам ВН - СВН
9.1 Этап 1. Упрощенная оценка эмиссии помех
При ВН и СВН допускается использовать критерии для подключения на этапе 1, приведенные в
8.1.1 и
8.1.2.
9.2 Этап 2. Нормы эмиссии по отношению к фактическим характеристикам системы
9.2.1 Оценка общей доступной мощности подстанции
Оценка St в сетях ВН и СВН является намного более сложной, чем в случае СН. В качестве первого подхода при рассмотрении случая промышленного потребителя, подключенного к конкретной подстанции ВН или СВН, основной информацией являются прогнозы потоков электроэнергии с учетом эволюции системы в будущем.
Рисунок 6 - Определение St для простой системы ВН или СВН
Упрощенная оценка имеет вид:

, (10)
где St - приближенное значение общей мощности, МВ·А, всех установок, для которых нормы эмиссии должны быть распределены в дальнейшем;
Sout - мощность электрического тока, МВ·А, вытекающего из рассматриваемой шины ВН - СВН (включая условия будущего роста нагрузки);
SDin - мощность, МВ·А, любых высоковольтных станций постоянного тока или нелинейных генерирующих установок;
QDshunt - динамическая характеристика, Мвар, любого реактора с тиристорным управлением любых статических переменных компенсаторов, подключенных к рассматриваемой шине.
Предполагается, что данное приближение для St остается консервативным.
Примечание - Настоящее первое приближение может быть не консервативным, если шунтирующие конденсаторы расположены в соседних шинах.
9.2.2 Метод разделения планируемых уровней между шинами на высоком и сверхвысоком напряжении
Прежде чем распределить нормы эмиссии для установок, создающих помехи, в данной системе ВН - СВН, необходимо вначале разделить общие планируемые уровни при ВН - СВН (
LhВН-СВН, см.
таблицу 2) между различными подстанциями или шинами в данной системе.
Рисунок 7 - Распределение планируемых уровней по подстанциям
в системе ВН - СВН
На
рисунке 7 представлена синтезированная система ВН - СВН. Первым требованием является определение общих вкладов (
GhB1, GhB2, ...
GhBn) всех установок, создающих помехи, подключенных к различным подстанциям или шинам
B1,
B2, ...
Bn.
Основным требованием является то, что если все установки, создающие помехи, инжектируют гармоники в систему, уровни которых равны их нормам эмиссии, то общий уровень помех в любой точке системы не должен превышать планируемого уровня. Указанное общее условие удовлетворяется, если:

, (11)
где

и
LhHV-EHV - планируемый уровень;
EUhi - уровень эмиссии для каждой установки, подключенной к подстанции или шине j;
GhBj - максимальный общий вклад в напряжение h-й гармоники всех искажающих установок, которые получают питание от данной подстанции или шины Bj в рассматриваемой системе ВН - СВН.
Определяют
m-ю шину или подстанцию в рассматриваемой системе. Простой подход к установлению общего вклада
GhBm заключается в распределении планируемых уровней между шинами или подстанциями пропорционально их доле от общей пропускной способности системы

.
Таким образом

. (12)
Для сетчатых систем СВН или ВН зачастую необходим более общий или усовершенствованный подход, учитывающий значения коэффициентов влияния
Khj-m между рассматриваемым узлом
m и каждой из
n - 1 других подстанций или шин. Коэффициент влияния
Khj-m представляет собой гармоническое напряжение порядка
h, которое возникает в узле
m, когда единичное гармоническое напряжение порядка
h (1 p.u., в долях напряжения основной частоты) подается в узел
j; расчет
Khj-m обычно требует использования компьютерной программы. Коэффициенты влияния связаны с элементами матрицы полных сопротивлений узла системы для гармонического порядка, представляющего интерес. Принимая во внимание коэффициенты влияния,
формулы (11) и
(12) имеют вид:

. (13)
Основываясь на том же методе распределения, что и ранее, следует, что приемлемый общий вклад GhBm от всех искажающих установок, которые могут быть подключены к рассматриваемой шине Bm, должен удовлетворять следующему условию:

, (14)
с добавлением членов вида Khj-m·St1 до тех пор, пока они остаются значительными по сравнению с Stm.
Адресуясь к
m-му рассматриваемому узлу и любому
j-му из других
n - 1 узлов, расположенных поблизости, можно рассчитать значения
Stm и
Stj в соответствии с
9.2.1 и
формулой (10), игнорируя при этом весь поток мощности
Sout между любыми двумя из этих узлов.
Следует также учитывать, что условия, определенные
формулами (13) и
(14), должны выполняться не только в интересующем узле
m, но также и в
n - 1 других узлах или подстанциях в рассматриваемой системе.
Более подробная информация о методе, включая пример применения с учетом резонансных эффектов, приведена в
приложении D.
9.2.3 Индивидуальные нормы эмиссии
В рассматриваемой системе ВН - СВН для каждой i-й установки, создающей помехи, в каждом порядке гармоник h должен быть допущен вклад EUhi в общий вклад GhBm подстанции или шины Bm в соответствии с соотношением между ее мощностью Si и общей доступной мощностью Stm подстанции m.

, (15)
где EUhi - норма эмиссии нелинейной установки i (ВН или СВН) при гармоническом порядке h;
GhBm - максимальный общий вклад в напряжение
h-й гармоники всех искажающих установок, которые могут быть подключены к данной подстанции
Bm в рассматриваемой системе ВН - СВН (полученный в соответствии с показаниями, приведенными в
9.2.2 и
приложении D);

- согласованная мощность установки пользователя
i или номинальная мощность рассматриваемой искажающей установки, МВ·А (либо нагрузка, либо генерация);
Stm - общая пропускная способность подстанции
m в рассматриваемой системе, которая оценивается в соответствии с
9.2.1 и
9.2.2;

- показатель закона суммирования (см.
таблицу 3).
В некоторых размещениях возможно, что существующий уровень гармоник выше, чем нормальная доля общего вклада для существующих установок. В этом случае норма эмиссии для любых новых установок может быть уменьшена, или может быть предложен пересмотр распределения планируемых уровней между различными уровнями напряжения, или может быть увеличена способность поглощения тока гармоник в системе.
Для потребителей, имеющих низкую согласованную мощность,
формула (15) может привести к невыполнимо низким ограничениям. Если норма эмиссии напряжения в некоторых гармонических порядках становится менее 0,1%, он должен быть установлен равным 0,1% (за исключением случаев, когда существует риск телефонных помех или если он будет соответствовать частоте дистанционного управления, для которой могут быть оправданы более серьезные ограничения).
Может оказаться предпочтительным установить нормы гармонического тока для установки, создающей помехи, даже если целью является ограничение гармонических напряжений в системе. Сетевая организация будет обязана предоставить данные, касающиеся частотно-зависимого полного сопротивления системы, чтобы можно было выразить эти нормы в виде гармонических токов:

, (16)
где EIhi - соответствующая норма эмиссии гармонического тока потребителя i в гармоническом порядке h;
Zhi - гармоническое полное сопротивление системы в точке оценки для установки
i, принимая во внимание фактическую цель преобразования напряжения в нормы эмиссии тока (см.
6.4.1).
9.3 Этап 3. Принятие более высоких уровней эмиссии при определенных условиях
Требования, приведенные в
8.3, в равной степени относятся к этапу 3 при ВН - СВН.
В IEC 61000-2-12
[6] уровни совместимости приведены только для случая интергармонического напряжения, возникающего на частоте, близкой к основной частоте (50 или 60 Гц), что приводит к амплитудной модуляции напряжения питания, которая вызывает фликер. Уровень совместимости для одного интергармонического напряжения в этом случае основан на значении дозы фликера
Pst = 1 (см.
[6], рисунок 2). Тем не менее для других случаев интергармонических напряжений в IEC 61000-2-12 также представлены ориентировочные значения уровня интергармоник, которые могут вызывать другие эффекты. В данном разделе представлены общие рекомендации по влиянию интергармоник на некоторые известные восприимчивые элементы оборудования.
Некоторые из причин необходимости ограничения уровня интергармонических напряжений Um (где m не является целым числом, кратным основной частоте) перечислены ниже.
Примечание - Все процентные значения, указанные в настоящем разделе, относятся к основному напряжению.
Ниже удвоенной основной частоты интергармоника должна быть ограничена уровнем 0,2%, чтобы избежать проблем с фликером ламп накаливания и люминесцентных ламп (тонких трубок) по
[19],
[20].
Работа электронных приемников системы дистанционного управления с передачей сигналов звуковой частоты по электрической сети может быть нарушена, если превышено минимальное функциональное напряжение (0,3%) по
[21].
В полосе частот до 2,5 кГц интергармонические напряжения не должны превышать 0,5%, если необходимо избежать проблем с влиянием помех на следующие образцы оборудования: телевизоры, индукционные вращающиеся машины (звуковые шумы и вибрации) и частотные реле по
[22].
В полосе частот от 2,5 до 5 кГц не следует превышать уровня интергармонических напряжений 0,3%, чтобы избежать слышимого шума, например в радиоприемниках и другом звуковом оборудовании.
При наличии нелинейных установок интергармоника на частоте
fm сопровождается компонентами боковых полос на частотах [
fm +/- 2
n (основная частота)], где
n = 1, 2, 3, ...; значения составляющих [
fm +/- 2·
n (основная частота)] могут быть достаточно близкими к амплитуде рассматриваемой интергармоники по
[23]. Помехи системам дистанционного управления могут создавать сигналы, частоты которых отличаются от частоты передаваемых сигналов звуковой частоты на удвоенное значение основной частоты.
С учетом указанных эффектов консервативный планируемый уровень интергармоник может быть установлен равным 0,2%.
Примечание - Оборудование среднего напряжения может быть менее подвержено влиянию.
Если допускаются более высокие значения, уровни сигналов на интергармонических частотах не должны превышать значений, предельных по критерию фликера. Соответствующие частоты не должны существовать в области, где используются частоты систем дистанционного управления с передачей сигнала по электрической сети (и их боковых полос со сдвигом, в два раза превышающим основную частоту). При определенных обстоятельствах также должны быть приняты во внимание частоты систем дистанционного управления с передачей сигналов по электрической сети соседних сетевых организаций.
Чтобы избежать проблем механического резонанса, необходимо проявлять особую осторожность, когда интергармоники, в основном субгармоники, присутствуют вблизи вращающихся машин, особенно парогенераторов. Поскольку эти торсионные взаимодействия вызываются токами субгармоник, может быть необходимо, чтобы токи субгармоник, протекающие в любом генераторе, были ограничены очень малыми значениями. Согласования с производителем генератора необходимы для установления конкретных норм на определенных частотах, учитывая, что уровни субгармонического тока в 0,1% или менее были достаточны для создания проблем в прошлом.
Поэтому в некоторых случаях, связанных с механическим резонансом, рекомендуемая норма интергармонического напряжения 0,2% может быть уменьшена или в качестве альтернативы рекомендуется согласование нормы с производителем генератора, чтобы определить, возможны ли изменения в системе управления, чтобы избежать потенциальных проблем механического резонанса.
(справочное)
ОГИБАЮЩАЯ МАКСИМАЛЬНОГО ОЖИДАЕМОГО ПОЛНОГО СОПРОТИВЛЕНИЯ
На основании нескольких измерений на месте, проведенных в некоторых странах, были определены "кривые полного сопротивления "наихудшего случая" согласно
[24]. Если расчеты с использованием этих эмпирических кривых показывают, что установка может быть подключена (т.е. она соответствует нормам эмиссии в точке оценки), то подключение может быть выполнено с минимальным риском. Однако, если эти расчеты дают результаты, которые указывают, что уровни эмиссии установки превысят нормы эмиссии гармонических напряжений, следует использовать более усовершенствованный подход.
При низком напряжении кривая максимального полного сопротивления получается из мощности короткого замыкания и принимается в виде прямолинейной зависимости от порядка гармоники.
Кривая максимального полного сопротивления для типичной городской подстанции 11 кВ без

конденсаторов или фильтров показана на
рисунке A.1. Она получена из мощности короткого замыкания и взята из значения при 50 Гц на линии, напрямую связанной с удвоенным основным полным сопротивлением по номеру гармоники до 400 Гц. После этого она падает до линии, связанной с основным полным сопротивлением по номеру гармоники.
Zh = 2hx1 до h = 8; Zh = hx1 свыше h = 8
Примечание - Zh - полное сопротивление по номеру гармоники h; x1 - гармоническое реактивное сопротивление на основной частоте.
Рисунок A.1 - Пример кривой максимального полного
сопротивления для системы 11 кВ
При 33 кВ значения максимального полного сопротивления принимают в 1,25 раза выше тех, которые были бы получены непосредственно с учетом мощности короткого замыкания до 800 Гц. При рассмотрении частот выше этого уровня в зависимости от обстоятельств могут потребоваться конкретные измерения. Выше 33 кВ такое обобщение невозможно.
(справочное)
РУКОВОДСТВО ПО РАСПРЕДЕЛЕНИЮ ПЛАНИРУЕМЫХ УРОВНЕЙ И УРОВНЕЙ
ЭМИССИИ В СИСТЕМАХ СН
В
подразделе B.1 настоящего приложения приведены рекомендации по определению планируемых уровней для распределительной системы СН с несколькими уровнями напряжения (например, 33 и 11 кВ). Применяемый при этом подход был разработан, чтобы установить адекватное распределение гармоник на каждом уровне напряжения.
В
B.2.1 приведен метод распределения уровней эмиссии в распределительных системах СН, в которых имеют место значительные различия в мощности короткого замыкания по длине их фидеров от точки питания фидера до его дальнего конца. Этот метод основан на распределении мощностей гармоник (в вольт-амперах), а не гармонических напряжений, поскольку это дает более удобное распределение для пользователей, подключенных далеко от точки питания фидера. Этот метод в целом является сложным для проведения расчетов, однако некоторые упрощенные приближения могут быть применены в случае, когда установки СН примерно равномерно распределены вдоль фидеров (см.
B.2.2). Пример, демонстрирующий применение метода, приведен в
B.2.3.
В случае, когда в реакции системы преобладает резонанс, вызванный кабелями или шунтирующими конденсаторами, метод, представленный в этом приложении, неприменим для частоты гармоник, на которой возникает резонанс.
B.1 Руководство по адаптации планируемых уровней в системе СН
Некоторые распределительные системы СН имеют несколько последовательных уровней напряжения. В этом случае для обеспечения возможности установления норм эмиссии для установок СН должны учитываться изменения планируемых уровней в зависимости от уровней напряжения. Профилирование планируемых уровней будет оказывать влияние на относительное распределение уровней эмиссии гармоник для установок при разных уровнях СН, и его следует выбирать для достижения желаемого эффекта. Подробное обсуждение того, как это было выполнено для распределительных систем СН в одной из стран, приведено в
[27], раздел 2. Используемый при этом подход кратко изложен ниже.
Для профилирования планируемых уровней между различными последовательно соединенными уровнями СН требуется следующая информация:
a) типичная топология системы и значения полного сопротивления;
b) типичное распределение установок пользователей по различным уровням напряжения;
c) выбор целевых значений гармонического напряжения для выходной системы НН и планируемых уровней для входной системы;
d) подход к распределению гармонических токов по различным уровням напряжения.
Данные для
перечислений a) и
b) будут зависеть от практики планирования и строительства конкретных коммунальных предприятий. Для
перечисления c) гармонические напряжения на выходе НН должны быть равными или немного меньшими, чем уровни совместимости для НН, представленные в
таблице 1 (с учетом необходимого запаса). Планируемые уровни в восходящем направлении могут быть основаны на соответствующих значениях для ВН - СВН, представленных в
таблице 2, или на их интерполяции применительно к промежуточным уровням напряжения.
Принцип распределения, относящийся к
перечислению d), состоит в том, чтобы предоставить всем установкам СН одинаковое процентное искажение тока. Возможный подход заключается в том, чтобы воспользоваться преимуществами разнесения, обеспечиваемого законом суммирования:

, (B.1)
где h - порядок гармоники;

- показатель общего закона суммирования (см.
таблицу 3);
Si - согласованная мощность установки пользователя i;
Ihi - уровень эмиссии гармонического тока установки пользователя i;
Ah - константа распределения, которая должна быть определена (см. ниже).
Положения об установках НН сложнее обобщить, поскольку области с высокой плотностью нагрузки могут сильно отличаться от областей с низкой платностью нагрузки. Для областей с низкой плотностью нагрузки представления будут проще, если установки НН можно рассматривать как оказывающие влияние второго порядка на гармонические профили напряжения и выбор планируемых уровней СН.
При моделировании системы электроснабжения необходимо обеспечить, чтобы профили гармонического напряжения могли быть определены в функции от Ah. Для этого может быть разработан относительно простой компьютерный анализ, например с использованием электронной таблицы, основанный на предположении о том, что все фидеры/распределители на каждом уровне напряжения идентичны и что установки на каждом уровне распределены равномерно. Это позволяет значительно (до нескольких элементов) упростить установки и схемы. Необходимо определить выражения для наибольшего гармонического напряжения в системе, в конце исследуемой цепи НН, как функции следующих вкладов напряжения:
- напряжения системы в восходящем направлении, принимаемого как выбранный планируемый уровень;
- вкладов всех нагрузок СН на входе, определенных по их току и общему полному сопротивлению с исследуемой цепью НН;
- вкладов всех установок НН, определенных по их току и общему полному сопротивлению с исследуемой цепью НН;
- вкладов установок НН в исследуемой цепи, определенных путем объединения всех таких установок в средней точке цепи.
Эти вклады напряжения должны быть объединены с учетом разнесения по закону суммирования (см.
раздел 7). Затем необходимо отрегулировать значение
Ah таким образом, чтобы наибольшее гармоническое низкое напряжение достигало выбранного значения. Это значение представляет собой максимальную гармоническую нагрузку, которая может быть применена к репрезентативной распределительной системе при данной схеме распределения.
Результирующий профиль напряжения гармоник может использоваться в качестве цели, которая должна применяться к распределительной системе или подсистемам, и в этом случае напряжения гармоник подходят для применения в качестве планируемых уровней. Эта процедура может применяться для каждой гармоники независимо. В качестве альтернативы, особенно когда высокочастотные модели ненадежны, можно определить планируемые уровни гармоник более высокого порядка путем уменьшения уровней в зависимости от частоты аналогично уровням совместимости, при этом принимая во внимание показатель закона суммирования, учитывающий большее разнесение для гармоник высокого порядка, в
[25] приведен пример того, как могут быть получены планируемые уровни при всех гармонических порядках путем детального анализа лишь нескольких гармонических значений.
B.2 Общий случай установок СН, распределенных вдоль фидеров. Распределение эмиссии
Некоторые длинные фидеры СН могут иметь мощность короткого замыкания и полное сопротивление, которые изменяются в отношении 10:1 или более от точки питания до дальнего конца. Необходимо выработать подход к распределению, который дает полезное распределение эмиссии для каждой установки и эффективно использует способность поглощения гармоник распределительной системы. Если установкам с аналогичной согласованной мощностью назначаются равные гармонические напряжения, то установки на дальних концах фидеров будут получать намного более низкое распределение гармонического тока, чем в точках питания фидеров. И наоборот, если назначаются равные гармонические токи, то установкам, подключенным к сильным точкам фидеров, будут назначены распределения, не превышающие таковых для слабых точек подключения, и способность поглощения гармоник в энергосистеме будет использована недостаточно.
Использование гармонической мощности (В·А) дает хороший компромисс между этими двумя подходами к распределению, что принято в настоящем стандарте. Это эквивалентно распределению гармонического тока, который уменьшается обратно пропорционально квадратному корню из полного сопротивления в точке оценки рассматриваемой установки.
При распределении эмиссии на основе гармонической мощности (В·А) ток гармоники не только изменяется в зависимости от согласованной мощности, но также уменьшается обратно пропорционально квадратному корню из полного сопротивления в точке оценки рассматриваемой установки. Следовательно, если гармоническое реактивное сопротивление системы электроснабжения равно hx, распределенный ток эмиссии принимается равным

(B.2)
где Si - согласованная мощность установки;
xhi - гармоническое реактивное сопротивление сети СН в точке оценки установки пользователя i;
AhMV - константа распределения (определенная ниже).
Константа распределения AhMV должна быть рассчитана для конкретной подсистемы СН при условии, что максимальное гармоническое напряжение в подсистеме не должно превышать планируемого уровня. Одним из методов определения AhMV для конкретной подсистемы является принятие начального значения единицы, определение распределенного тока для каждой установки СН, а затем объединение вкладов напряжения и сравнение его с общим распределением для установок СН. Отношение GhMV к этому объединенному напряжению дает требуемое значение AhMV. Если, например, суммарное напряжение равно половине GhMV, то AhMV можно принять равным двум. Этот подход является общим и может применяться к сетчатым системам и системам с прямолинейными линиями, но он требует знания значений согласованной мощности и полного сопротивления в точке оценки каждой существенной установки СН.
Упрощенный подход, который можно использовать в большинстве практических случаев, приведен в
B.2.2.
При проведении расчетов гармоник в системах СН необходимо оценить вклад установок НН в напряжения гармоник при среднем напряжении. Предполагается, что установка НН с согласованной мощностью SLVi дает гармонический ток

. (B.3)
Значение
AhLV изменяется из-за гармонического порядка и может отличаться в зависимости от страны (или даже от региона) из-за применимости электронного оборудования и схем его использования. Значение
AhLV можно оценить по измерению тока гармоники для репрезентативного фидера, передающего электрическую энергию известной установке. Там, где существует

разница в мощности короткого замыкания между системами НН и СН (например, когда фидеры НН представляют собой воздушные линии длиной 100 и более метров) и известно, что напряжение в системе НН является приемлемым, напряжение в системе СН, вызванное низковольтными установками, является частью напряжения в системах НН. Это условие также относится к ситуациям, когда общая мощность установок, создающих помехи, подключенных к НН, является относительно низкой по сравнению с установками СН, создающими помехи.
B.2.2 Частный случай установок НН и СН, равномерно распределенных вдоль фидеров в радиальной системе
Рисунок B.1 - Пример системы распределения СН, включающей
в себя трансформатор СН и фидеры 1 - 6
Рассматривают подсистему СН, как представлено на
рисунке B.1, состоящую из нескольких фидеров с равномерным реактивным сопротивлением на 1 км длины и установками НН и СН, приблизительно равномерно распределенными вдоль фидеров. Нет необходимости предполагать, что установки распределены с одинаковой плотностью в каждом фидере. Предполагается, что наибольшее гармоническое напряжение присутствует на удаленном конце фидера, который имеет худшее регулирование напряжения. При отсутствии точных данных за указанный фидер может быть принят тот, для которого произведение объема поставляемой энергии и длины фидера является наибольшим
[26].
Математическая обработка для случая равномерного распределения установок по длине фидера разработана в
[26], что упрощает задачу расчета коэффициента распределения
AhMV в
формуле (B.2). Шаги в процедуре распределения следующие:
i) для каждого фидера в подсистеме (например, 1 - 6, показанных на
рисунке B.1) определяют значение
F как отношение мощностей короткого замыкания в передающем и удаленном концах фидера;
ii) определяют Fw как значение F для фидера, передающего минимальную мощность. Определяют Fa как среднее значение F для оставшихся фидеров. Если значения F для этих фидеров находятся в широком диапазоне значений, следует получить значение Fa, взвешенное в соответствии с нагрузочной способностью каждого фидера. Точно так же определяют SLVw как нагрузку низкого напряжения, подключенную к фидеру, передающему минимальную мощность, и SLVn как нагрузку низкого напряжения, подключенную к n оставшимся фидерам;
iii) оценивают гармоническое напряжение, вызванное установками НН на уровне среднего напряжения, по формуле

, (B.4)
где
xh - гармоническое реактивное сопротивление на шине питания (шина 2 на
рисунке B.1);
iv) определяют допустимое значение гармонического напряжения, доступное для всех установок СН в подсистеме:

; (B.5)
v) определяют постоянную распределения для всех установок СН в подсистеме, учитывая, что знаменатель следующей формулы содержит как квадратный корень, так и корень

, (B.6)
где SMVw - нагрузка СН, подключенная к фидеру, передающему минимальную мощность;
SMVn - нагрузка НН, подключенная к n оставшимся фидерам.
При найденном постоянном значение
AhMV для конкретной подсистемы можно определить распределение гармонического тока для конкретной установки СН, используя приведенную выше
формулу (B.2). Формула относится ко всем установкам СН в подсистеме, а не только к тем, которые подключены к фидеру, передающему минимальную мощность.
B.2.3 Пример применения подхода, представленного в B.2.2
Подстанция 132 кВ/11 кВ с мощностью короткого замыкания 150 МВ·А при 11 кВ обеспечивает пять фидеров с характеристиками, приведенными в
таблице B.1. Задача состоит в том, чтобы определить распределение тока 5-й гармоники для установки 500 кВ·А, подключенной на полпути вдоль фидера N 4, где мощность короткого замыкания составляет 47 МВ·А. Планируемые уровни 5-й гармоники 132 и 11 кВ составляют 2% и 5% соответственно. В данном примере предполагается, что эмиссию гармоник от установок НН можно не учитывать.
Таблица B.1
Характеристики фидера для рассматриваемой системы
Номер фидера | Длина фидера l, км | Нагрузка фидера, МВ·А (включая будущие нагрузки) | Мощность короткого замыкания на дальнем конце, МВ·А |
1 | 5 | 4 | 47 |
2 | 5 | 4 | 47 |
3 | 7 | 5 | 37 |
4 | 10 | 6 | 28 |
5 | 15 | 5 | 20 |
Необходимо определить значения
F и
S для самого слабого фидера и остальных фидеров. Основная часть этого расчета показана в
таблице B.2 и может быть легко выполнена с помощью электронной таблицы.
Таблица B.2
Определение значений
F и
S·
l для фидеров
Номер фидера | Длина фидера l, км | Нагрузка фидера, МВ·А (включая будущие нагрузки) | Мощность короткого замыкания на дальнем конце, МВ·А | | |
1 | 5 | 4 | 47 | 20 | 3,19 |
2 | 5 | 4 | 47 | 20 | 3,19 |
3 | 7 | 5 | 37 | 35 | 4,05 |
4 | 10 | 6 | 28 | 60 | 5,36 |
5 | 15 | 5 | 20 | 75 | 7,50 |
Графа 5 представляет собой произведение длины фидера на нагрузку,
графа 6 - частное мощности короткого замыкания цепи питания 150 МВ·А и соответствующего значения в
графе 4.
Графа 5 показывает, что фидер N 5 является самым слабым со значениями
SMVw = 5 МВ·А и
Fw = 7,50. Для фидеров 1 - 4
SMVn = 19 МВ·А и
Fa = 3,95 (из суммы записей
графы 3 и среднего значения записей
графы 6 соответственно).
Для 5-й гармоники

;
LhMV = 5%;
LhUS = 2%.
При определении общего доступного напряжения из
формулы (B.5) предполагается, что
ThUM = 1 и что значением
UhLV в данном примере можно пренебречь. Получаем следующее:

(B.7)
Необходимо определить постоянную распределения подсистемы СН с учетом мощности короткого замыкания 150 МВ·А и использования базы 1 МВ·А.
Имеем:

(B.8)

(B.9)
Необходимо определить распределение тока установки с учетом согласованной мощности Si = 0,5 p.u. Используя мощности короткого замыкания 47 МВ·А в точке оценки, получаем следующее:

(B.10)

(B.11)
В отношении основного тока установки это соответствует 8,5% тока 5-й гармоники.
(справочное)
ПРИМЕР РАСЧЕТА ОБЩЕГО ВКЛАДА ДЛЯ СН И НН
В целях иллюстрации
формула (7) была применена в частном случае системы СН, предполагая, что коэффициент передачи из восходящей системы ВН равен 1 на всех частотах гармоник и что планируемые уровни в системах ВН и СН соответствуют приведенным в
таблице 2. Результаты представлены в
таблице C.1.
Таблица C.1
Приемлемый общий вклад
GhMV+LV установок СН и НН
в напряжения гармоник СН, если коэффициент передачи
от системы ВН - СВН считается равным единице
Нечетные гармоники, не кратные 3 | Нечетные гармоники, кратные 3 | Четные гармоники |
Порядок h | Гармоническое напряжение, % | Порядок h | Гармоническое напряжение, % | Порядок h | Гармоническое напряжение, % |
5 | 4 | 3 | 2 | 2 | 0,4 |
7 | 2,8 | 9 | 0,4 | 4 | 0,2 |
11 | 2,6 | 15 | 0 | 6 | 0,2 |
13 | 2 | 21 | 0 | 8 | 0,2 |
17 | 1,2 | | | 10 | 0,2 |
19 | 1,0 | | | | |
23 | 0,8 | | | | |
25 | 0,7 | | | | |
Чтобы проиллюстрировать случай резонанса в окрестности 5-й гармоники, ниже показано применение
формулы (7) с тремя различными значениями коэффициента передачи на 5-й гармонике:
- T5UM = 1; G5MV+LV = [51,4 - (1·2)1,4]1/1,4 = 4%;
- T5UM = 2; G5MV+LV = [51,4 - (2·2)1,4]1/1,4 = 2%;
- T5UM = 3; G5MV+LV = [51,4 - (3·2)1,4]1/1,4 = 0%.
Из приведенных выше результатов ясно, что указанный подход следует применять с осторожностью, если коэффициент передачи от восходящей системы к системе СН более 1. Следует также помнить, что коэффициенты передачи зависят не только от гармонического порядка и расположения, но могут также изменяться со временем (например, из-за различных состояний конденсаторных батарей).
(справочное)
МЕТОД РАЗДЕЛЕНИЯ ПЛАНИРУЕМЫХ УРОВНЕЙ И РАСПРЕДЕЛЕНИЯ НОРМ
ЭМИССИИ В СЕТЧАТЫХ СИСТЕМАХ ВН - СВН
D.1 Общий метод разделения планируемых уровней в системах ВН - СВН
Метод, представленный в
9.2.2, следует распространить для применения при разделении планируемых уровней между различными шинами или подстанциями в конкретной системе ВН - СВН.
Учитывая
рисунок 7, общие условия, заданные
формулой (13), должны выполняться на любой подстанции
m из
n подстанций, образующих рассматриваемую систему:

, (D.1)
где

.
Примечание -
Формула (D.1) представляет собой сумму помех, передаваемых по всей системе, поэтому аналогичные условия также должны выполняться на всех подстанциях или шинах, образующих рассматриваемую систему ВН - СВН, а не только в пункте, представляющем интерес.
Для каждого порядка гармоник h необходимо определить коэффициенты влияния Khj-m.
Коэффициент влияния Khj-m представляет собой гармоническое напряжение порядка h, которое возникает в узле m, когда гармоническое напряжение порядка h амплитудой 1 p.u. подается в узел j; расчет Khj-m обычно требует использования компьютерной программы. Коэффициенты влияния связаны с элементами матрицы полных сопротивлений узла системы для порядка гармоник, представляющего интерес.
На основе того же метода распределения, что и применяемый ранее, и в соответствии с
формулой (14) допустимый общий вклад всех установок, создающих помехи, который может быть предоставлен рассматриваемому пункту
Bm (равный
GhBm), должен составлять часть общего планируемого уровня для системы ВН - СВН (
LhHV-EHV), определяемую как отношение мощности
Stm к общей мощности питания системы, т.е.

, (D.2)
с добавлением членов вида

до тех пор, пока они остаются значительными по сравнению с
Stm.
При рассмотрении
m-го узла и
j-го любого из других
n - 1 узлов, расположенных поблизости, значения
Stm и
Stj можно рассчитать в соответствии с
9.2.1 и
формулой (10), игнорируя при этом весь поток мощности
Sout между любыми двумя из этих узлов.
Кроме того, чтобы соответствовать
формуле (D.1) в узле
m, вклад
GhBj на каждой из
n - 1 других шин должен также удовлетворять следующему условию:

. (D.3)
Далее рассматривают, например, приемлемый общий вклад
GhB1 всех установок, создающих помехи, которые могут быть подключены в пункте
B1. Применительно к данному общему вкладу должны быть выполнены расчеты по приведенным ниже формулам, которые являются результатом применения
формул (D.2) и
(D.3) на уровне шины
B1.
Для B1:

. (D.4)
Для B2:

(D.5)
и т.д. для B3, B4 и B5.
Аналогичные условия также должны быть выполнены на уровне других шин. Например, на уровне шины B2 имеем:
Для B1:

. (D.6)
Для B2:

(D.7)
и т.д. для B3, B4 и B5.
В итоге получают n условий для каждой шины. Например, для шины 1:
- условие 1:

; (D.8)
- условие 2:

; (D.9)
- условие n:

. (D.10)
Затем данный метод может быть применен для разделения планируемых уровней, чтобы получить общий вклад GhBj для всех других подстанций или шин B2, B3 и т.д., образующих рассматриваемую систему ВН - СВН.
Однако в случае резонанса значение
GhBj может быть очень трудно оценить и применение
формул (D.1),
(D.2) и
(D.3) может привести к почти нулевому вкладу для некоторых подстанций. В этих случаях вместо рассчитанного общего вклада должна распределяться справедливая доля эмиссии между различными частями системы. Пример этого случая приведен ниже.
Следует учитывать, что несмотря на наиболее точное определение фактических приемлемых общих вкладов на каждой шине, будущие изменения системы также могут оказать существенное влияние на коэффициент передачи и разделение уровней помех между различными шинами в системе.
D.2 Пример применения с учетом влияния резонанса
Приведенный ниже пример иллюстрирует упрощенное применение метода, представленного в
9.2.2 и
подразделе D.1, для разделения планируемых уровней и распределения норм эмиссии в системе ВН - СВН. Приведены также методы борьбы с резонансом внутри системы.
В этом примере цель состоит в том, чтобы определить нормы эмиссии 5-й, 7-й, 11-й и 13-й гармоник для установки нового потребителя (Si = 80 МВт), которая будет подключена к подстанции "Юпитер 150 кВ" (узел 1).
Примечание 1 - При расчете норм эмиссии рекомендуется учитывать не только существующие установки, но и новые установки, которые могут быть подключены к системе в будущем.
Примечание 2 - В настоящем примере сеть считается полностью загруженной. Добавление новой установки в сеть потребует изменений в системе (новые трансформаторы и линии), которые в приведенном примере не рассматриваются.
На
рисунке D.1 показана часть системы, в которой пользователи могут подключаться с различными уровнями напряжения. Узел 1 представляет интерес для подключения рассматриваемой установки пользователя, но на
рисунке также показаны близлежащие установки, которые могут оказывать влияние на уровни гармоник в узле 1. Удаленные части входной и выходной систем представлены их эквивалентными полными сопротивлениями источника (для точной оценки коэффициентов влияния система должна быть смоделирована как минимум на расстоянии 2 - 3 узлов от узлов, представляющих интерес).
Рисунок D.1 - Система ВН - СВН, рассматриваемая
при подключении новой установки, создающей помехи,
на подстанции узла 1
Гармоническое полное сопротивление системы на подстанции "Юпитер 150 кВ" (узел 1) показано на
рисунке D.2. Когда конденсаторные батареи на подстанции "Юпитер 150 кВ" отключены, существует параллельный резонанс около 11-й гармоники благодаря кабелю ВН, соединенному с подстанцией "Нептун 150 кВ" (узел 4). В зависимости от нагрузки батареи конденсаторов на подстанции "Юпитер 150 кВ" (узел 1) могут быть включены, вызывая резонанс либо на 5-й гармонике (2 x 80 Мвар), либо на 7-й гармонике (1 x 80 Мвар). Прямая линия 1 на
рисунке D.2 представляет собой гармоническое полное сопротивление для чисто индуктивной системы; другие линии, обозначенные как 2, 3 и 4, представляют собой теоретические значения этого полного сопротивления с учетом коэффициентов усиления 2, 3 и 4 соответственно.
Примечание - В настоящем примере частота сети равна 50 Гц.
Рисунок D.2 - Гармоническое полное сопротивление в узле 1
D.2.1 Коэффициенты влияния
Коэффициенты влияния между различными подстанциями оценивают в соответствии с
D.1 с использованием программы моделирования гармоник. Коэффициент влияния между узлами
j и 1 представляет собой гармоническое напряжение порядка
h в узле 1, когда гармоническое напряжение амплитудой 1 p.u. воздействует в узле
j. В
таблице D.1 приведены некоторые значения, рассчитанные для этого примера.
Таблица D.1
Коэффициенты влияния
Khj-1 между узлом
j и узлом 1
Конфигурация системы | Подстанция | Узел | Khj-1 для h = 5 | Khj-1 для h = 7 | Khj-1 для h = 11 | Khj-1 для h = 13 |
1 | Батарея конденсаторов 2 x 80 Мвар Юпитер 150 кВ | Юпитер 380 кВ | 2 | 0,86 | 0,22 | 0,05 | 0,04 |
Меркурий 220 кВ | 3 | 1,75 | 0,61 | 0,14 | 0,09 |
Нептун 150 кВ | 4 | 1,00 | 1,24 | 3,77 | 8,3 |
Уран 150 кВ | 5 | 1,16 | 1,56 | 0,22 | 0,14 |
2 | Батарея конденсаторов 1 x 80 Мвар Юпитер 150 кВ | Юпитер 380 кВ | 2 | 0,37 | 0,59 | 0,11 | 0,07 |
Меркурий 220 кВ | 3 | 0,81 | 1,49 | 0,29 | 0,17 |
Нептун 150 кВ | 4 | 0,90 | 1,02 | 1,48 | 2,14 |
Уран 150 кВ | 5 | 0,71 | 1,53 | 0,52 | 0,28 |
3 | Батарея конденсаторов отключена Юпитер 150 кВ | Юпитер 380 кВ | 2 | 0,22 | 0,24 | 0,82 | 0,45 |
Меркурий 220 кВ | 3 | 0,50 | 0,59 | 1,66 | 1,31 |
Нептун 150 кВ | 4 | 0,85 | 0,87 | 0,92 | 0,96 |
Уран 150 кВ | 5 | 0,51 | 0,58 | 1,24 | |
Приемлемый общий вклад всех установок, создающих помехи, которые могут быть переданы из пункта
B1 (
GhB1), будет частью общего планируемого уровня в системе ВН - СВН (
LhHV-EHV), как указано ниже [для упрощения с учетом только
формулы (D.2)].

. (D.11)
При слабом резонансе коэффициент влияния может быть высоким, что неоправданно ограничивает эмиссию.
Далее рассматривают случай последовательного резонанса. В
последнем ряду последней графы таблицы D.1 коэффициент влияния K
h5-1 = 3,2 на 13-й гармонике. Использование этого значения в вышеприведенной формуле в сочетании с показателем суммирования

приводит к тому, что суммарную мощность установок, подключенных в узле 5, необходимо умножить на коэффициент

, который равен 10,2.
В результате простого применения вышеприведенной формуле общий вклад GhB1, разрешенный для подстанции 1, может стать очень низким. В этом случае из-за высокого значения коэффициента влияния при последовательном резонансе между узлом 5 и узлом 1 искажение, вызванное установками, подключенными к узлу 5, будет оказывать большее влияние на искажение напряжения в узле 1, чем в узле 5.
Действительно, гармоническое полное сопротивление при
h = 13 (650 Гц), видимое из узла 5, является достаточно низким, как показано на
рисунке D.3.
Рисунок D.3 - Гармоническое полное сопротивление на узле 5
"Уран 150 кВ", когда отключены батареи конденсаторов на узле
1 "Юпитер 150 кВ"
Подход, приведенный ниже, принимает во внимание тот факт, что эффекты резонанса этого типа должны учитываться также путем установления более низких норм эмиссии в узле 5, а не только путем снижения или неоправданного ограничения эмиссии в узле 1. Возможный метод реализации этого подхода состоит в определении норм эмиссии в узле 5 как значений тока, полученных путем подстановки минимального значения гармонического полного сопротивления в качестве опорного значения, например с использованием идеального полного сопротивления индуктивной системы, равного hZ1. Другим методом является оценка норм эмиссии для установки, подключенной к узлу 5, с учетом их влияния на напряжения гармоник в узле 1.
Таким образом, для оценки приемлемого глобального вклада GhB1 в узле 1 следует учитывать, что всякий раз, когда гармоническое полное сопротивление в узле j становится менее, чем произведение полного сопротивления на основной частоте Z1 на порядок гармоники h, коэффициент влияния Khj-1 между узлом j и узлом 1 следует умножить на коэффициент уменьшения Fz, определяемый как отношение между значением фактического гармонического полного сопротивления и линейной экстраполяцией полного сопротивления на основной частоте следующим образом

, (D.12)
где Zhj - гармоническое полное сопротивление в узле j для порядка h;
Z1j - гармоническое полное сопротивление в узле j для порядка h.
Например, когда батареи статических конденсаторов на узле 1 выключены (конфигурация системы 3 в
таблице D.1), полное сопротивление на 13-й гармонике в узле 5 в 3,2 раза меньше минимального опорного полного сопротивления в узле 5, принимаемого равным
hZ1 (см.
рисунок D.3 при частоте 650 Гц). Таким образом, коэффициент влияния
Kh5-1 между узлами 5 и 1 можно умножить на коэффициент
Fzj 0,31, как показано в
формуле (D.13) и в
таблице D.2.
Таблица D.2
Конфигурация системы | Подстанция | Узел | Коэффициенты ослабления Fzj |
h = 5 | h = 7 | h = 11 | h = 13 |
1 | Батарея конденсаторов 2 x 80 Мвар Юпитер 150 кВ | Юпитер 380 кВ | 2 | - | - | - | - |
Меркурий 220 кВ | 3 | (1,10) | - | - | - |
Нептун 150 кВ | 4 | (3,57) | 0,73 | 0,06 | 0,02 |
Уран 150 кВ | 5 | (1,79) | 0,41 | - | - |
2 | Батарея конденсаторов 1 x 80 Мвар Юпитер 150 кВ | Юпитер 380 кВ | 2 | - | - | - | - |
Меркурий 220 кВ | 3 | - | 0,85 | - | - |
Нептун 150 кВ | 4 | - | (1,73) | 0,34 | 0,14 |
Уран 150 кВ | 5 | - | 0,97 | - | - |
3 | Батарея конденсаторов отключена Юпитер 150 кВ | Юпитер 380 кВ | 2 | - | - | - | - |
Меркурий 220 кВ | 3 | - | - | (1,11) | 0,73 |
Нептун 150 кВ | 4 | - | - | - | - |
Уран 150 кВ | 5 | - | - | (1,47) | 0,31 |
Этот коэффициент ослабления Fzj может применяться всякий раз, когда коэффициент влияния выше 1. Пересмотренная формула для расчета глобального вклада в узле 1 следующая:

. (D.13)
Примечание 1 - Если коэффициент ослабления Fzj превышает 1, это будет связано с параллельным резонансом, и может потребоваться другой подход (например, допуск разумного коэффициента усиления, такого как 2 - 3).
Примечание 2 -
Формула (D.13) применяется для определения
GhB1 на шине 1, даже если коэффициент
Fz1 менее 1. Но в этом случае для расчета норм эмиссии гармонического тока на шине 1 фактическое значение гармонического полного сопротивления
Zh-1 должно быть заменено эталонным значением
h·
Z1-1.
Коэффициенты ослабления
Fzj приведены в
таблице D.2 для случаев, когда коэффициент влияния превышает единицу.
Общий вклад затем может быть рассчитан для различных конфигураций системы и порядков гармоник. Результаты приведены в
таблице D.3.
Таблица D.3
Общие вклады
GhB1 на узле 1
Порядок гармоник | h = 5 | h = 7 | h = 11 | h = 13 |
Планируемый уровень LhHV-EHV | 2% | 2% | 1,5% | 1,5% |
Показатель закона суммирования  | 1,4 | 1,4 | 2 | 2 |
Конфигурация системы | GhB1 (Uh/U1), % |
1 | Батарея конденсаторов 2 x 80 Мвар Юпитер 150 кВ | | 1,29% | 1,37% | 1,39% |
2 | Батарея конденсаторов 1 x 80 Мвар Юпитер 150 кВ | 1,16% | | 1,28% | 1,36% |
3 | Батарея конденсаторов отключена Юпитер 150 кВ | 1,36% | 1,30% | | |
Пример расчетов для 7-й гармоники для конфигурации системы N 2 приведен ниже с использованием
формулы (D.13).

;

;
G7B1 <= 0,92%.
Для каждого порядка гармоник необходимо учитывать только наихудший случай, как показано в
таблице D.3.
Общие вклады, которые могут быть допущены для всех других искажающих установок, подключенных к шинам
B2 (
GhB2),
B3 (
GhB3) и т.д., могут быть получены таким же образом, но в качестве дополнительного шага при использовании метода следует также убедиться, что условия, указанные в
формуле (D.3), удовлетворены в отношении всех общих вкладов, определенных таким образом. В приведенном примере для упрощения предполагается, что указанные условия выполняются.
D.2.3 Нормы эмиссии
С использованием
формулы (15), приведенной в 9.2.3, затем могут быть определены нормы эмиссии гармонического напряжения, которые являются функцией отношения согласованной мощности установки (
Si, МВ·А) к общей мощности питания (
St1) на подстанции 1.
В этом случае имеем:
- 5-я гармоника:

;
- 7-я гармоника:

;
- 11-я гармоника:

;
- 13-я гармоника:

.
Нормы эмиссии, определенные в значениях гармонических токов, могут быть получены с использованием гармонического полного сопротивления (см.
рисунок D.2 и
6.4.1). Однако не следует учитывать очень низкие значения полного сопротивления из-за последовательного резонанса (коэффициент усиления < 1), как объяснено в
6.4.1.
В соответствии с
подразделом D.2.2, если для некоторых гармонических порядков полные сопротивления Z
hj менее опорного значения
h·Z
1j, они должны быть заменены опорными значениями для расчета норм эмиссии гармоник тока для этих гармонических порядков.
В случае параллельного резонанса, из-за которого в сети имеет место коэффициент усиления, превышающий 2 или 3, сетевой организации следует изучить возможные меры по уменьшению усиления. Например, конденсаторные батареи могут быть отстроены, чтобы избежать резонанса на 5-й и 7-й гармониках. Однако когда резонанс обусловлен емкостью линий или кабелей, может быть трудно изменить условия резонанса, как это и происходит в рассмотренном примере, когда резонанс кабеля на 11-й гармонике появляется, когда батареи конденсаторов в узле 1 не работают.
(справочное)
СПИСОК УСЛОВНЫХ ОБОЗНАЧЕНИЙ И ИНДЕКСОВ
E.1 Общепринятые буквенные обозначения
A - постоянная распределения в зависимости от отклика данной системы на гармоническое напряжение;

- показатель закона суммирования;
C - уровень (электромагнитной) совместимости;
E - норма (электромагнитной) эмиссии;
F - отношение мощностей короткого замыкания в точке питания и на удаленном конце фидера СН;
F - отношение фактического полного гармонического сопротивления к полному гармоническому сопротивлению, определенному умножением сопротивления на основной частоте на порядок гармоник (для систем ВН и СВН);
G - допустимый общий вклад эмиссии в определенной части системы;
h - порядок гармоники;
i - одиночный пользователь или установка пользователя;
I - ток;
K, k - коэффициент или соотношение между двумя значениями (общее значение);
l - длина линии или фидера;
L - планируемый уровень;
PCC - точка общего присоединения;
POC - точка присоединения;
POE - точка оценки;
P - активная мощность;
S - полная мощность;
T - коэффициент передачи;
U - напряжение;
x - реактивное сопротивление;
Z - полное сопротивление.
E.2 Список индексов
a - среднее значение;
h - порядок гармоники;
hUM - передача гармонического напряжения порядка h, имеющегося "на восходящем конце" (например, при ВН), на среднее напряжение;
i - пользователь или установка пользователя i;
j - устройство (оборудование, создающее помехи) или узел (отличный от узла m) в системе;
LV - низкое напряжение (НН);
m - номер станции или шины (рассматриваемого узла);
MV - среднее напряжение (СН);
n - число станций, шин или фидеров в системе;
w - наиболее слабый фидер.
E.3 Список основных условных обозначений
Примечание 1 - Условные обозначения, не требующие разъяснений, не указаны.
Bm - шина или станция в системе (1 <= m <= n);
EIhi - норма эмиссии гармонического тока порядка h для установки пользователя i;
EUhi - норма эмиссии гармонического напряжения порядка h для установки пользователя i;
GhMV+LV - приемлемый общий вклад в напряжение h-й гармоники всех установок СН и НН, создающих помехи, которые могут получать питание от рассматриваемой системы СН, %;
GhBm - максимальный общий вклад в напряжение h-й гармоники всех установок, создающих помехи, которые могут получать питание от данной подстанции Bm в рассматриваемой системе ВН - СВН, %;
HVDC - высокое напряжение постоянного тока;
Ihi - уровень эмиссии гармонического тока порядка h установки пользователя i;
khvs - коэффициент умножения для уровней совместимости при кратковременных напряжениях гармоник порядка
h, обеспечивающий получение соответствующих кратковременных значений уровней совместимости (в соответствии с определением по
[6]). [См. также настоящий стандарт,
4.1, формула (1)];
Khi-m - гармоническое напряжение порядка h, которое возникает в узле m, если в узел j подается единичное гармоническое напряжение порядка h (1 p.u.) (в долях напряжения основной частоты);
LhHV-EHV - планируемый уровень гармонического напряжения порядка h для ВН - СВН, %;
LhMV - планируемый уровень гармонического напряжения порядка h для СН, %;
POE или POEi - точка оценки эмиссии установки пользователя i;
Pi - активная согласованная мощность отдельного пользователя или установки пользователя i;
SVC - статический компенсатор реактивной мощности;
QDshunt - динамическая характеристика, Мвар, любого реактора с тиристорным управлением любых статических переменных компенсаторов, подключенных к рассматриваемой шине;
SDwi - взвешенная искажающая мощность пользователя i;

- согласованная мощность установки пользователя
i или номинальная мощность, МВ·А, рассматриваемой установки (создающей помехи) (либо нагрузки, либо генерации);
SLV - общая мощность установок, которые получают питание непосредственно при низком напряжении через трансформатор(ы) станции ВН/СН (включая обеспечение роста нагрузки в будущем);
SMV - общая мощность установок, которые получают питание непосредственно при среднем напряжении через трансформатор станции ВН/СН (включая обеспечение роста нагрузки в будущем);
Sout - мощность, МВ·А, передаваемая в цепь, выходящую из рассматриваемой шины ВН - СВН (включая обеспечение роста нагрузки в будущем);
SDin - мощность, МВ·А, любых станций ВН постоянного тока или нелинейных генерирующих установок, подключенных к рассматриваемой шине ВН - СВН;
Ssc - мощность короткого замыкания;
St - общая мощность поставки рассматриваемой системы, включая обеспечение роста нагрузки в будущем (в принципе, St - сумма мощностей всех установок, включая установки "вниз по течению", которые получают или могут получать питание от рассматриваемой системы);
TCR - тиристорный управляемый реактор;
THD - суммарное гармоническое искажение - отношение среднеквадратичного значения суммы всех гармонические составляющие до установленного порядка (H) к среднеквадратичному значению основного компонента;
ThUM - коэффициент передачи напряжения гармоник порядка h "вверх по течению" к среднему напряжению; значение в зависимости от характеристик системы, уровней нагрузки и порядка гармоник;
Uh - гармоническое напряжение порядка h (общее значение);
UhHV - гармоническое напряжение порядка h при ВН;
UhMV - гармоническое напряжение порядка h при СН;
UhLV - гармоническое напряжение порядка h при НН;
Uhi - уровень эмиссии гармонического напряжения порядка h пользователя i;
xhi - гармоническое реактивное сопротивление порядка h системы электроснабжения в точке оценки установки i;
Zhi - гармоническое полное сопротивление порядка h системы электроснабжения в точке оценки (POE) установки i.
(справочное)
СВЕДЕНИЯ О СООТВЕТСТВИИ ССЫЛОЧНЫХ МЕЖДУНАРОДНЫХ СТАНДАРТОВ
МЕЖГОСУДАРСТВЕННЫМ СТАНДАРТАМ
Таблица ДА.1
Обозначение ссылочного международного стандарта | Степень соответствия | Обозначение и наименование соответствующего межгосударственного стандарта |
IEC 60050-161 | MOD | ГОСТ 30372-2017 (IEC 60050-161:1990) "Совместимость технических средств электромагнитная. Термины и определения" |
Примечание - В настоящей таблице использовано следующее условное обозначение степени соответствия стандартов: - MOD - модифицированный стандарт. |
| Directives Concerning the Protection of Telecommunication Lines against Harmful Effects from Electric Power and Electrified Railway Lines, International Telecommunication Union, Vol. I - IX. ITU-T (Директивы, касающиеся защиты линий электросвязи от вредного воздействия электроэнергии и электрифицированных железных дорог) |
| IEEE Recommended Practice for Inductive Co-ordination of Electric Supply and Communication Lines, IEEE Std 776 (Рекомендуемая практика IEEE для индуктивной координации электроснабжения и линий связи) |
| Guide for the Implementation of Inductive Co-ordination Mitigation Techniques, (ANSI) IEEE 1137 (Руководство по внедрению методов ослабления при индуктивной координации) |
| Electrical co-ordination. Canadian Standard Association, CAN/CSA-C22.3 No. 3 (Электрическая координация) |
| IEC 61000-2-2 | Electromagnetic compatibility (EMC) - Part 2-2: Environment - Compatibility levels for low-frequency conducted disturbances and signalling in public low-voltage power supply systems [Электромагнитная совместимость (ЭМС). Часть 2-2. Электромагнитная обстановка. Уровни совместимости для низкочастотных кондуктивных помех и сигналов в общественных низковольтных системах электроснабжения] |
| IEC 61000-2-12 | Electromagnetic compatibility (EMC) - Part 2-12: Environment - Compatibility levels for low-frequency conducted disturbances and signalling in public medium-voltage power supply systems [Электромагнитная совместимость (ЭМС). Часть 2-12. Электромагнитная обстановка. Уровни совместимости для низкочастотных кондуктивных помех и сигналов в общественных системах электроснабжения среднего напряжения] |
| Power Quality Indices and Objectives, WG C4.07 report. CIGRE Technical Brochure 261, Oct. 2004 (Показатели и цели качества электрической энергии) |
| IEC 61000-3-2 | Electromagnetic compatibility (EMC) - Part 3-2: Limits - Limits for harmonic current emissions (equipment input current <= 16 A per phase) [Электромагнитная совместимость (ЭМС). Часть 3-2. Нормы. Нормы эмиссии гармонического тока (входной ток оборудования <= 16 А в одной фазе)] |
| IEC 61000-3-12 | Electromagnetic compatibility (EMC) - Part 3-12: Limits - Limits for harmonic currents produced by equipment connected to public low-voltage systems with input current > 16 A and <= 75 A per phase [Электромагнитная совместимость (ЭМС). Часть 3-12. Нормы. Нормы гармонического тока, создаваемого оборудованием, подключенным к общественным низковольтным системам с входным током > 16 А и <= 75 А в одной фазе] |
[10] | IEC 61000-3-4 | Electromagnetic compatibility (EMC) - Part 3-4: Limits - Limitation of emission of harmonic currents in low-voltage power supply systems, for equipment with rated current greater than 16 A [Электромагнитная совместимость (ЭМС). Часть 3-4. Нормы. Ограничение эмиссии гармонических токов в низковольтных системах электроснабжения для оборудования с номинальным током более 16 А] |
| IEC 61000-4-7 | Electromagnetic compatibility (EMC) - Part 4-7: Testing and measurement techniques - General guide on harmonics and interharmonics measurements and instrumentation for power supply systems and equipment connected thereto [Электромагнитная совместимость (ЭМС). Часть 4-7. Методы испытаний и измерений. Общее руководство по измерениям гармоник и интергармоник и средствам измерений для систем электроснабжения и подключенного к ним оборудования] |
| IEC 61000-4-30 | Electromagnetic compatibility (EMC) - Part 4-30: Testing and measurement techniques - Power quality measurement methods [Электромагнитная совместимость (EMC). Часть 4-30. Методы испытаний и измерений. Методы измерения качества электрической энергии] |
| Review of methods for measurement and evaluation of the harmonic emission level from an individual load, Cigre 36.05/Cired 2 JWG CC02, January 1999 (Обзор методов измерения и оценки уровня гармонической эмиссии индивидуальных нагрузок) |
| IEC 61000-2-6 | Electromagnetic compatibility (EMC) - Part 2: Environment: Assessment of the emission levels in the power supply of industrial plants as regards low-frequency conducted disturbances [Электромагнитная совместимость (ЭМС). Часть 2. Электромагнитная обстановка. Оценка уровней эмиссии в электроснабжении промышленных предприятий в отношении низкочастотных кондуктивных помех] |
| A. Robert, T. Deflandre, WG CC02, Guide for assessing the network harmonic impedance Electra, August 1996 (Руководство по оценке гармонического полного сопротивления сети) |
| CIGRE JTF 36.05.02/14.03.03 | AC system modelling for AC filter design, an overview of impedance modelling, Electra No. 164, February 1996 (Моделирование системы переменного тока для конструирования фильтра переменного тока, обзор моделирования полного сопротивления) |
| Guide to the Specification and Design Evaluation of AC Filters for HVDC Systems, WG 14.30, CIGRE Technical Brochure no. 139, April 1999 (see section 7.3 for a discussion on harmonic impedance) (Руководство по спецификации и оценке конструкции фильтров переменного тока для высоковольтных систем постоянного тока) |
| Harmonic Modelling of EHV Transmission Grid, M. Lahtinen and E. Gunther, Paper presented at PQA-India 1997 (Гармоническое моделирование сети электропередачи сверхвысокого напряжения) |
| Flickern von Leuchstofflampen durch Tonfrequenz-Rundsteuerimpulse (H.J. Hoffmann et al, etz Bd. 102 (1981) H. 24, S. 1268 - 1272) (Фликер люминесцентных ламп от передачи импульсов контроля пульсаций по электрической сети) |
| Flicker caused by interharmonics (W. Mombauer, etz Archiv Bd. 12 (1990) H. 12, S. 391 - 396) (Фликер, вызванный интергармониками) |
|  die Beurteilung von  (VDEW, 92) (Принципы оценки сетевых возмущений) |
| Investigations on the impact of voltage and current harmonics on end-use devices and their protection (EF Fuchs, DOE/RA/50150-23, DE87 008018, Jan 87) (Исследования влияния гармоник напряжения и тока на устройства конечного пользователя и их защиту) |
| Untersuchungen von  beim Betrieb einer Tonfrequenz-Rundsteueranlage infolge von Modulationseffekten (R. Kruft,  , Jg. 79 (1980), H. 20, S. 755 - 759) (Исследование нарушений в работе системы контроля пульсаций звуковой частоты из-за эффектов модуляции) |
| Report on the harmonic impedance of supply systems (Electricity Association, Engineering Technical Report N 112, 1988) (Отчет о гармоническом полном сопротивлении систем электроснабжения) |
| Harmonic Planning Levels for Australian Distribution Systems, Proc. AUPEC 03 (Australian Universities Power Engineering Conference), V. Gosbell, V. Smith, D. Robinson and W. Miller. Christchurch. Sept. - Oct. 2003 (Планируемые уровни гармоник для австралийских распределительных систем) |
| Allocating Harmonic Emission to MV Customers in Long Feeder Systems, Proc. AUPEC 03 (Australian Universities Power Engineering Conference) V.J. Gosbell and D. Robinson. Christchurch, Sept. - Oct. 2003 (Распределение гармонической эмиссии среди пользователей в системах СН с длинными фидерами) |
| Power Quality - Recommendations for the application of AS/NZS 61000.3.6 and AS/NZS 61000.3.7, Standards Australia, HB 264-2003, August 2003, ISBN 0 7337 5439 2) (Качество электрической энергии. Рекомендации по применению AS/NZS 61000.3.6 и AS/NZS 61000.3.7) |
| IEC 60050-101 | International Electrotechnical Vocabulary (IEV) - Part 101: Mathematics [Международный электротехнический словарь (IEV). Часть 101. Математика] |
[29] | IEC Guide 107 | Electromagnetic compatibility - Guide to the drafting of electromagnetic compatibility publications (Электромагнитная совместимость. Руководство по подготовке публикаций по электромагнитной совместимости) |
[30] | IEC/TR 61000-3-7 | Electromagnetic compatibility (EMC) - Part 3-7: Limits - Assessment of emission limits for fluctuating loads in MV and HV power systems - Basic EMC publication [Электромагнитная совместимость (ЭМС). Часть 3-7. Нормы. Оценка норм эмиссии для флуктуирующих нагрузок в системах электроснабжения среднего и высокого напряжения] |
[31] | IEC/TR 61000-3-13 | Electromagnetic compatibility (EMC) - Part 3-13: Limits - Assessment of emission limits for the connection of unbalanced installations to MV, HV and EHV power systems [Электромагнитная совместимость (ЭМС). Часть 3-13. Нормы. Оценка норм эмиссии при подключении несимметричных установок к системам электроснабжения среднего, высокого и сверхвысокого напряжения] |
| IEC 60050-601 | International Electrotechnical Vocabulary (IEV) - Part 601: Generation, transmission and distribution of electricity - General [Международный электротехнический словарь (IEV). Часть 601. Генерация, передача и распределение электрической энергии. Общие положения] |
| IEC 61000-2-1 | Electromagnetic compatibility (EMC) - Part 2-1: Environment - Description of the environment - Electromagnetic environment for low-frequency conducted disturbances and signalling in public power supply systems [Электромагнитная совместимость (ЭМС). Часть 2-1. Электромагнитная обстановка. Описание обстановки. Электромагнитная обстановка для низкочастотных кондуктивных помех и сигнализации в общественных низковольтных системах электроснабжения] |
УДК 621.396/.397.001.4:006.354 | | IDT |
Ключевые слова: электромагнитная совместимость, системы электроснабжения среднего, высокого и сверхвысокого напряжения, сетевая организация, установка пользователя, создающая помехи, электромагнитная эмиссия, гармоники, интергармоники, качество электрической энергии, нормы, методы измерений, оценка соответствия |