Главная // Актуальные документы // ГОСТ (Государственный стандарт)СПРАВКА
Источник публикации
М.: ФГБУ "РСТ", 2021
Примечание к документу
Документ включен в
Перечень международных и региональных (межгосударственных) стандартов, а в случае их отсутствия - национальных (государственных) стандартов, содержащих правила и методы исследований (испытаний) и измерений, в том числе правила отбора образцов, необходимые для применения и исполнения требований технического
регламента Таможенного союза "Электромагнитная совместимость технических средств" (ТР ТС 020/2011) и осуществления оценки соответствия объектов технического регулирования (
Решение Коллегии Евразийской экономической комиссии от 29.06.2021 N 77).
Документ
введен в действие с 01.07.2022.
Название документа
"ГОСТ IEC 61000-4-20-2014. Межгосударственный стандарт. Электромагнитная совместимость. Часть 4-20. Методы испытаний и измерений. Испытания на помехоэмиссию и помехоустойчивость в TEM-волноводах"
(введен в действие Приказом Росстандарта от 31.08.2021 N 886-ст)
"ГОСТ IEC 61000-4-20-2014. Межгосударственный стандарт. Электромагнитная совместимость. Часть 4-20. Методы испытаний и измерений. Испытания на помехоэмиссию и помехоустойчивость в TEM-волноводах"
(введен в действие Приказом Росстандарта от 31.08.2021 N 886-ст)
агентства по техническому
регулированию и метрологии
от 31 августа 2021 г. N 886-ст
МЕЖГОСУДАРСТВЕННЫЙ СТАНДАРТ
ЭЛЕКТРОМАГНИТНАЯ СОВМЕСТИМОСТЬ
ЧАСТЬ 4-20
МЕТОДЫ ИСПЫТАНИЙ И ИЗМЕРЕНИЙ
ИСПЫТАНИЯ НА ПОМЕХОЭМИССИЮ И ПОМЕХОУСТОЙЧИВОСТЬ
В TEM-ВОЛНОВОДАХ
Electromagnetic compatibility
Part 4-20
Testing and measurement techniques
Emission and immunity testing in TEM-waveguides
(IEC 61000-4-20:2010, IDT)
ГОСТ IEC 61000-4-20-2014
КП 03
Дата введения
1 июля 2022 года
Цели, основные принципы и общие правила проведения работ по межгосударственной стандартизации установлены
ГОСТ 1.0 "Межгосударственная система стандартизации. Основные положения" и
ГОСТ 1.2 "Межгосударственная система стандартизации. Стандарты межгосударственные, правила и рекомендации по межгосударственной стандартизации. Правила разработки, принятия, обновления и отмены"
1 ПОДГОТОВЛЕН Открытым акционерным обществом "Испытания и сертификация бытовой и промышленной продукции "БЕЛЛИС" (ОАО "БЕЛЛИС") на основе собственного перевода на русский язык англоязычной версии стандарта, указанного в
пункте 5
2 ВНЕСЕН Государственным комитетом по стандартизации Республики Беларусь
3 ПРИНЯТ Межгосударственным советом по стандартизации, метрологии и сертификации (протокол от 25 июня 2014 г. N 45)
За принятие проголосовали:
Краткое наименование страны по МК (ИСО 3166) 004-97 | Код страны по МК (ИСО 3166) 004-97 | Сокращенное наименование национального органа по стандартизации |
Армения | AM | ЗАО "Национальный орган по стандартизации и метрологии" Республики Армения |
Беларусь | BY | Госстандарт Республики Беларусь |
Киргизия | KG | Кыргызстандарт |
Молдова | MD | Институт стандартизации Молдовы |
Россия | RU | Росстандарт |
Таджикистан | TJ | Таджикстандарт |
Узбекистан | UZ | Узстандарт |
4
Приказом Федерального агентства по техническому регулированию и метрологии от 31 августа 2021 г. N 886-ст межгосударственный стандарт ГОСТ IEC 61000-4-20-2014 введен в действие в качестве национального стандарта Российской Федерации с 1 июля 2022 г.
5 Настоящий стандарт идентичен международному стандарту IEC 61000-4-20:2010 "Электромагнитная совместимость (EMC). Часть 4-20. Методы испытаний и измерений. Испытание на помехоэмиссию и помехоустойчивость в поперечных электромагнитных волноводах (TEM)" ("Electromagnetic compatibility (EMC) - Part 4-20: Testing and measurement techniques - Emission and immunity testing in transverse electromagnetic (TEM) waveguides", IDT).
Международный стандарт разработан подкомитетом SC 77B "Высокочастотные явления" технического комитета по стандартизации IEC/TC 77 "Электромагнитная совместимость" Международной электротехнической комиссии (IEC).
Наименование настоящего стандарта изменено относительно наименования указанного международного стандарта для приведения в соответствие с ГОСТ 1.5
(подраздел 3.6).
При применении настоящего стандарта рекомендуется использовать вместо ссылочных международных стандартов соответствующие им межгосударственные стандарты, сведения о которых приведены в дополнительном
приложении ДА
6 ВВЕДЕН ВПЕРВЫЕ
Информация о введении в действие (прекращении действия) настоящего стандарта и изменений к нему на территории указанных выше государств публикуется в указателях национальных стандартов, издаваемых в этих государствах, а также в сети Интернет на сайтах соответствующих национальных органов по стандартизации.
В случае пересмотра, изменения или отмены настоящего стандарта соответствующая информация будет опубликована на официальном интернет-сайте Межгосударственного совета по стандартизации, метрологии и сертификации в каталоге "Межгосударственные стандарты"
Стандарты серии IEC 61000 публикуются отдельными частями в соответствии со следующей структурой:
- часть 1. | Общие положения: Общее рассмотрение (введение, фундаментальные принципы); Определения, терминология; |
- часть 2. | Электромагнитная обстановка: Описание электромагнитной обстановки; Классификация электромагнитной обстановки; Уровни электромагнитной совместимости; |
- часть 3. | Нормы: Нормы помехоэмиссии; Нормы помехоустойчивости (в тех случаях, когда они не являются предметом рассмотрения техническими комитетами, разрабатывающими стандарты на продукцию); |
- часть 4. | Методы испытаний и измерений: Методы измерений; Методы испытаний; |
- часть 5. | Руководства по установке и помехоподавлению: Руководство по установке; Методы помехоподавления и устройства; |
- часть 6. | Общие стандарты; |
- часть 9. | Разное. |
Каждая часть состоит из разделов, которые могут быть опубликованы как международные стандарты, технические спецификации или как технические отчеты. Некоторые из них уже опубликованы. Другие будут опубликованы с номером части, за которым следуют дефис и второй номер, идентифицирующий раздел (например, IEC 61000-6-1).
Настоящий стандарт устанавливает требования к испытаниям на помехоэмиссию, помехоустойчивость и устойчивость к электромагнитным импульсам большой амплитуды (HEMP).
Настоящий стандарт устанавливает методы испытаний электрического и электронного оборудования на помехоэмиссию и помехоустойчивость с использованием различных типов волноводов для возбуждения поперечных электромагнитных волн (TEM-волн). Волноводы имеют структуры открытого типа (например, полосковые линии и имитаторы электромагнитных импульсов) и закрытого типа (например, TEM-камеры). Далее данные структуры могут быть классифицированы как одно-, двух- или многопортовые TEM-волноводы. Частотный диапазон зависит от конкретных требований к проведению испытаний и конкретного типа TEM-волновода.
Настоящий стандарт устанавливает:
- характеристики TEM-волноводов, включая характерные частотные диапазоны и ограничения размеров испытуемого оборудования;
- методы валидации TEM-волноводов для испытаний в области ЭМС;
- описание испытуемого оборудования (положение корпуса и подключение кабелей);
- организованное место для испытаний, процедуры и требования для измерения излучаемых радиопомех в TEM-волноводах;
- организованное место для испытаний, процедуры и требования для испытаний в части помехоустойчивости в TEM-волноводах.
Примечание - Методы испытаний, описываемые в настоящем стандарте, касаются исследования воздействия электромагнитного излучения на испытуемое оборудование и измерения электромагнитного излучения от испытуемого оборудования. Возбуждение и измерение электромагнитного излучения осуществляется недостаточно точно при многократном воспроизведении испытаний на различных испытательных установках. Описываемые методы испытаний целенаправленно установлены, чтобы гарантировать соответствующую воспроизводимость результатов испытаний на различных установках, а также для качественного проведения исследований.
Настоящий стандарт не устанавливает методы испытаний, применяемые к каким-либо специфическим аппаратам или системам. Основная цель настоящего стандарта состоит в том, чтобы обеспечить общую рекомендательную основу для всех заинтересованных комитетов IEC, разрабатывающих стандарты на продукцию. Для испытаний помехоэмиссии комитеты, разрабатывающие стандарты на продукцию, должны выбрать нормы и методы испытаний в соответствии со стандартами CISPR. Для испытаний помехоустойчивости комитеты, разрабатывающие стандарты на продукцию, остаются ответственными за соответствующий выбор испытания и испытательного уровня, применяемого к испытуемому оборудованию в соответствии с их областью. В настоящем стандарте приведены методы испытаний, которые отличаются от методов испытаний, описываемых в IEC 61000-4-3 <1>.
--------------------------------
<1> Эти другие отличающиеся методы испытаний могут использоваться, если они предусмотрены комитетом, разрабатывающим стандарты на продукцию в соответствии с рекомендациями CISPR и TC 77.
В настоящем стандарте использованы нормативные ссылки на следующие стандарты [для датированных ссылок применяют только указанное издание ссылочного стандарта, для недатированных - последнее издание (включая все изменения)]:
IEC 60050-161, International Electrotechnical Vocabulary - Chapter 161: Electromagnetic Compatibility (Международный электротехнический словарь. Глава 161. Электромагнитная совместимость)
IEC 61000-2-11:1999, Electromagnetic compatibility (EMC) - Part 2-11: Environment - Classification of HEMP environments [Электромагнитная совместимость (EMC). Часть 2-11. Условия окружающей среды. Классификация условий окружающей среды при электромагнитном импульсе от высотных (ядерных) взрывов (HEMP)]
IEC 61000-4-23, Electromagnetic compatibility (EMC) - Part 4-23: Testing and measurement techniques - Test methods for protective devices for HEMP and other radiated disturbances (Электромагнитная совместимость (EMC). Часть 4-23. Методы испытаний и измерений. Методы испытаний защитных устройств HEMP и других испускаемых помех)
IEC/TR 61000-4-32, Electromagnetic compatibility (EMC) - Part 4-32: Testing and measurement techniques - High-altitude electromagnetic pulse (HEMP) simulator compendium [Электромагнитная совместимость (EMC). Часть 4-32. Методы испытаний и измерений. Краткое руководство по устройствам, моделирующим электромагнитный импульс от высотных взрывов (HEMP)]
IEC/TR 61000-5-3, Electromagnetic compatibility (EMC) - Part 5-3: Installation and mitigation guidelines - HEMP protection concepts (Электромагнитная совместимость (EMC). Часть 5-3. Руководства по монтажу и подавлению помех. Помехоустойчивость к HEMP)
CISPR 16-1-1, Specification for radio disturbance and immunity measuring apparatus and methods - Part 1-1: Radio disturbance and immunity measuring apparatus - Measuring apparatus (Технические условия на оборудование и методы измерений радиопомех и помехоустойчивости. Часть 1-1. Оборудование для измерения радиопомех и помехоустойчивости. Измерительное оборудование)
CISPR 16-1-4, Specification for radio disturbance and immunity measuring apparatus and methods - Part 1-4: Radio disturbance and immunity measuring apparatus - Antennas and test sites for radiated disturbance measurements (Технические условия на оборудование и методы измерений радиопомех и помехоустойчивости. Часть 1-4. Оборудование для измерения радиопомех и помехоустойчивости. Антенны и испытательные стенды для измерений излучаемых помех)
CISPR 16-2-3:2006, Specification for radio disturbance and immunity measuring apparatus and methods - Part 2-3: Methods of measurement of disturbances and immunity - Radiated disturbance measurements (Технические условия на оборудование и методы измерений радиопомех и помехоустойчивости. Часть 2-3. Методы измерений радиопомех и помехоустойчивости. Измерение излучаемых помех)
CISPR 22, Information technology equipment - Radio disturbance characteristics - Limits and methods of measurement (Оборудование информационных технологий. Характеристики радиопомех. Нормы и методы измерений)
3 Термины, определения и сокращения
3.1 Термины и определения
В настоящем стандарте применены термины по IEC 60050-161, а также следующие термины с соответствующими определениями:
3.1.1 режим поперечной электромагнитной волны; TEM-вид колебаний (transverse electromagnetic mode; TEM mode): Режим волновода, в котором электрические и магнитные составляющие поля в направлении распространения волны намного меньше, чем основные составляющие поля через любое поперечное сечение волновода.
3.1.2 TEM-волновод (TEM waveguide): Открытая или закрытая система линий передач, в которой волна распространяется в режиме поперечной электромагнитной волны, чтобы создать определенное поле для испытательных целей.
3.1.3 TEM-камера (TEM cell): Закрытый TEM-волновод, часто прямоугольная коаксиальная линия передачи, в которой волна распространяется в режиме поперечной электромагнитной волны, чтобы создать определенное поле для испытательных целей. В таких волноводах внешняя проводящая граница полностью включает в себя внутреннюю.
3.1.4 двухпортовый TEM-волновод (two-port TEM waveguide): TEM-волновод, который имеет входной или выходной порт на обоих концах.
3.1.5 однопортовый TEM-волновод (one-port TEM waveguide): TEM-волновод, который имеет единственный входной или выходной порт.
Примечание - Такие TEM-волноводы обычно характеризуются широкополосным завершением линии передачи.
3.1.6 симметричная полосковая линия (stripline): Линия передач с нагрузкой, состоящая из двух или более параллельных пластин, между которыми волна распространяется в режиме поперечной электромагнитной волны, чтобы создать определенное поле для испытательных целей.
Примечание - Полосковая линия обычно открыта и не препятствует к доступу и контролю ИО.
3.1.7 внутренняя проводящая граница или перегородка (inner conductor or septum): Внутренняя проводящая граница коаксиальной системы линии передач, часто плоскость в случае прямоугольного поперечного сечения, которая может располагаться симметрично или несимметрично по отношению к внешней проводящей границе.
3.1.8 внешняя проводящая граница или корпус (outer conductor or chassis): Внешняя проводящая граница коаксиальной системы линии передач, часто имеющая прямоугольное поперечное сечение.
3.1.9 характеристическое полное сопротивление (characteristic impedance): Для любой постоянной фазы фронта волны величина отношения напряжения между внутренним и внешним проводниками к току на обоих проводниках, которая не зависит от значений тока или напряжения, а зависит только от геометрии поперечного сечения передающей линии.
Примечание - TEM-волноводы обычно разрабатываются для характеристического сопротивления 50 Ом. TEM-волноводы с характеристическим сопротивлением 100 Ом чаще используются для исследования переходных процессов.
3.1.10 безэховый материал (anechoic material): Материал, который обладает свойством поглощать или иным образом уменьшать уровень электромагнитной энергии, отраженной от данного материала.
3.1.11 широкополосная нагрузка линии передачи; широкополосная нагрузка линии (broadband transmission-line termination; broadband line termination): Нагрузка линии, которая сочетает в себе низкочастотное сопротивление для согласования характеристического сопротивления TEM-волновода (обычно 50 Ом), и высокочастотный безэховый материал.
3.1.12 алгоритм корреляции (correlation algorithm): Математический расчет для преобразования измерений напряжения в TEM-волноводах в уровни напряженности поля в свободном пространстве на открытой измерительной площадке (OATS) или полубезэховой камере (SAC).
3.1.13 вид ИО (EUT type): Группа изделий с достаточным сходством в электромагнитных характеристиках, с которым допускается проведение испытаний с одной и той же испытательной установкой и протоколом испытаний.
3.1.14 выходной кабель (exit cable): Кабель, соединяющий ИО с внешним оборудованием в TEM-волноводе, или кабельный переход, используемый в испытательном объеме.
Примечание - Испытательный объем описан в
5.2.2.
3.1.15 соединительный кабель (interconnection cable): Кабель, соединяющий компоненты ИО в испытательном объеме, но не выходящий за границы испытательного объема.
3.1.16
испытательная платформа (test set-up support): Не обладающая свойствами отражения, непроводящая, с низкой диэлектрической проницаемостью платформа, позволяющая точно вращать ИО, согласно требованиям алгоритма корреляции или испытательного протокола.
Примечание - Обычно платформу изготавливают из вспененного пенопласта. Деревянные платформы использовать не рекомендуется (см.
[4] <1>).
--------------------------------
<1> Цифры в квадратных скобках - номер библиографической ссылки.
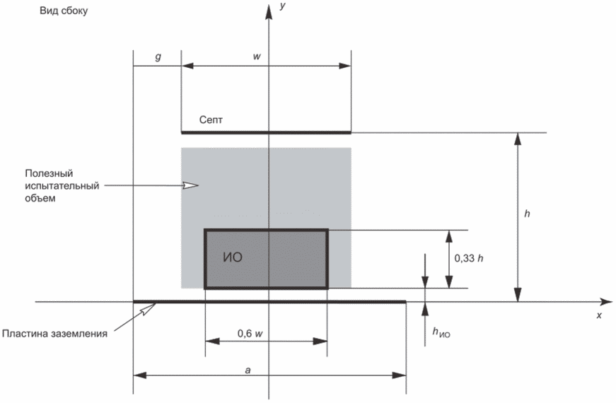
3.1.17 ортоугол (ortho-angle): Угол, образуемый диагональю куба и каждой лицевой гранью трехстороннего угла куба; предполагается, что куб совмещен с TEM-волноводом в декартовой системе координат, азимут и вертикальная проекция углов, образуемых диагональю куба, составляют 45°, образуемых углами и лицевой ребром куба, - 54,7°.
Примечание 2 - Когда речь идет об ИО, этот угол обычно упоминается как ортоось.
3.1.18 основная составляющая поля (primary (field) component): Электрическая составляющая поля, совмещенная с требуемой при проведении испытаний поляризацией.
Примечание - В обычных двухпортовых TEM-камерах внутренний проводник параллелен полу и вектор основной составляющей поля вертикален по отношению к поперечному сечению камеры.
3.1.19
побочная составляющая поля (secondary (field) component): В декартовой системе координат любая из двух составляющих электрического поля ортогональная основной компоненте поля, и они ортогональные по отношению друг к другу.
3.1.20 результирующее поле (амплитуда) (resultant field (amplitude)): Значение корня из суммы квадратов первичной и двух вторичных составляющих электрического поля, выраженное в В/м.
3.1.21
манипулятор (manipulator): Любая, приводимая в движение вручную или автоматически неметаллическая испытательная платформа, аналогичная поворотному столу, приспособленная к жесткой фиксации ИО в любом положении, требуемым алгоритмом корреляции или протоколом испытаний.
Примечание - Пример конструкции манипулятора показан на
рисунке A.2.
3.1.22 гипервращаемый TEM-волновод (hyper-rotated TEM waveguide): TEM-волновод, который переориентирован так, что его ортоось нормальна по отношению к поверхности Земли.
Примечание - Дополнительные сведения приведены в
[6].
3.1.23 зависимость или независимость от силы тяжести (gravity-dependent/-independent): Сила тяжести Земли имеет фиксированное направление. ИО может вращаться вокруг трех осей. Из-за различных положений при вращении ИО подвергается воздействию силы тяжести в разных направлениях. ИО считают независимым от силы тяжести, если оно корректно функционирует во всех положениях. Это означает, что ИО корректно функционирует независимо от направления вектора силы тяжести. ИО считают зависимым от силы тяжести, если оно не выполняет свои функции должным образом в одном или более испытательном положении.
BALUN | - симметрирующий трансформатор; |
ДПФ | - дискретное преобразование Фурье; |
ИО | - испытуемое оборудование; |
БПФ | - быстрое преобразование Фурье; |
GTEM-камера | - TEM-камера с рабочим диапазоном частот до 1 ГГц; |
HEMP | - электромагнитный импульс большой амплитуды; |
OATS | - открытая измерительная площадка; |
PoE | - точки приложения; |
РЧ | - радиочастота; |
SAC | - полубезэховая камера; |
SPD | - устройство защиты от перенапряжений; |
TDR | - измеритель коэффициента отражения (рефлектометр); |
TE | - поперечно-электрическая волна (волна H-типа); |
TEM | - поперечно-электромагнитная волна; |
TM | - поперечно-магнитная волна (волна E-типа); |
КСВН | - коэффициент стоячей волны по напряжению. |
Настоящий стандарт устанавливает основные требования и характеристики TEM-волноводов, а именно: испытательный объем, частотные диапазоны, однородность поля, "чистоту" TEM-вида колебаний. Различные общие характеристики TEM-волноводов описаны в
приложении D.
Методы испытаний помехоэмиссии в TEM-волноводах обычно коррелируются с методами испытаний на открытых измерительных площадках и в полубезэховых камерах, которые обеспечивают действительные и воспроизводимые измерения мощности поля помех от оборудования. В данном случае так называемые алгоритмы корреляции используются для преобразования результатов измерений, выполненных с помощью TEM-волновода, в эквивалентные результаты на открытой измерительной площадке. Данные алгоритмы описаны в
приложении A.
TEM-волноводы могут также использоваться в качестве генераторов поля для испытания помехоустойчивости оборудования к электромагнитным полям. Более подробно это описано в
приложении B. Отдельные стандарты, перечисленные в
библиографии, ссылаются на испытания помехоустойчивости в TEM-волноводах. Свойства генераторов поля могут также использоваться для измерения мощности поля (см.
приложение E и другие публикации, перечисленные в
библиографии).
Испытания в TEM-волноводах не ограничиваются измерениями излучаемых радиопомех полностью собранного оборудования. Они могут применяться для испытаний отдельных компонентов оборудования, интегральных микросхем и для проверки эффективности экранирования изолирующих материалов и кабелей. Дополнительная информация приведена в
библиографии.
5 Требования к TEM-волноводам
TEM-волноводы могут использоваться для испытаний помехоэмиссии и помехоустойчивости при выполнении определенных требований. Для валидации TEM-волновода должны применяться следующие методы.
Настоящий раздел содержит общие аспекты валидации, такие как проверка основного TEM-вида колебаний и однородности поля. Дополнительные требования к валидации для помехоэмиссии, помехоустойчивости и исследования переходных процессов приведены в
приложениях A,
B и
C соответственно.
5.2 Общие требования при использовании TEM-волноводов
5.2.1 Верификация TEM-вида колебаний
TEM-волноводы могут проявлять резонансы выше частоты среза, определяемой поперечным сечением и/или длиной волновода. На практике поле в TEM-волноводе распространяется с TEM-видом колебаний при выполнении определенных требований. Проверка TEM-вида колебания применяется к волноводам, используемым либо для испытаний помехоэмиссии, либо для испытаний на помехоустойчивость. Поведение TEM-вида колебаний должно контролироваться через регулярные промежутки времени (см.
5.2.3).
Примечание 1 - Как правило, производитель TEM-волновода должен проверять и документировать поведение TEM-вида колебаний в необходимом диапазоне частот и включать данные проверки в систему документации.
При проведении проверки однородной области, применяемой при проведении испытаний на помехоустойчивость (согласно
5.2.3), значения побочных (непреднамеренных) составляющих электрического поля должны быть как минимум на 6 дБ меньше, чем основная составляющая электрического поля, по меньшей мере в 75% проверочных точек поперечного сечения TEM-волновода (перпендикулярного направлению распространения волны). Для этих 75% проверочных точек: основная составляющая электрического поля может иметь допустимое отклонение от (-0 - +6) дБ до (-0 - +10) дБ; уровень побочной составляющей электрического поля до -2 дБ от основной составляющей; данные отклонения допускаются для максимум 5% испытательных частот (по меньшей мере одной частоты), при условии, что данные отклонения и частоты указаны в протоколе испытаний. Частотный диапазон составляет от 30 МГц до высшей рабочей частоты TEM-волновода. Первый шаг перестройки частоты не должен превышать 1% от основной частоты, затем 1% от предыдущего значения частоты в диапазоне частот от 80 до 1000 МГц, 5% ниже 80 МГц и выше 1000 МГц. Скорость перестройки частоты должна учитывать время отклика датчика поля.
Примечание 2 - TEM-поле является основным, и резонансы обусловлены низким значением добротности, следовательно, они не могут быть узкополосными. Поэтому для проверки TEM-вида колебаний допускается использование логарифмической шкалы частот.
Примечание 3 - При исследовании переходных процессов начальная частота должна быть 100 кГц.
Примечание 4 - Критерий 6 дБ, указанный в 5.2.1, определяет только основной TEM-вид колебаний, а не однородность поля и является отдельным критерием. Это требование не следует путать с требованиями к однородности поля
пункта 5.2.3. Дополнительная информация об однородности поля приведена в
[17].
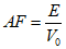
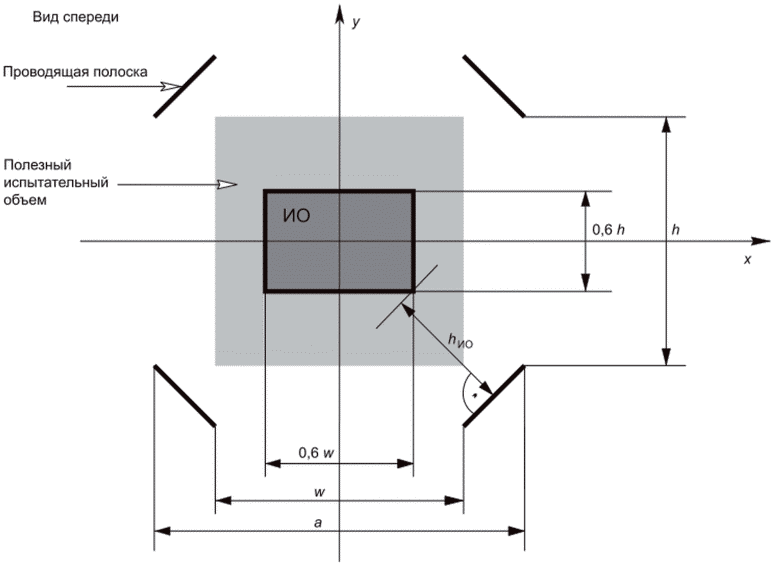
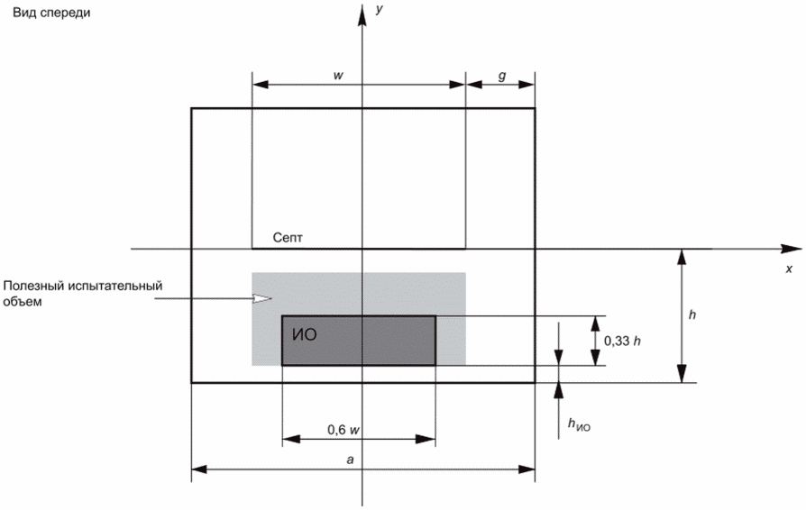
5.2.2 Испытательный объем и максимальные размеры испытуемого оборудования
Максимальные размеры ИО связаны с размерами "полезного испытательного объема" в TEM-волноводе. Полезный испытательный объем TEM-волновода определяется размерами, геометрией и пространственным распространением электромагнитных полей.
Полезный испытательный объем TEM-волновода (см.
рисунки A.6 -
A.9) зависит от "однородной области", описанной в
5.2.3. Направление распространения TEM-вида колебаний (обычно вдоль оси
z) перпендикулярно однородной области (поперечной плоскости, обычно
xy-плоскость). В
xy-плоскости все поперечное сечение полезного испытательного объема должно удовлетворять требованиям
5.2.3. Минимальное значение расстояния
hИО между ИО и каждым проводником или поглощающим материалом волновода (см.
рисунки A.6 -
A.9) задается расстоянием между границей однородной области (см.
5.2.3) и границей проводника. Однако
hИО не должно равняться нулю, чтобы избежать возможного изменения рабочего состояния ИО сильной связью между ИО и границей проводника (рекомендовано:
hИО выбирать большим, чем 0,05
h). Вдоль оси
z (в направлении распространения) полезный испытательный объем ограничен в пределах
zmin <=
z <=
zmax. Длина испытательного объема
L =
zmax -
zmin. Требования однородной области должны быть проверены для каждого значения
z в пределах
zmin <=
z <=
zmax. Можно предположить, что требования к TEM-виду колебаний будут выполняться для
zmin <=
z <=
zmax при следующих условиях:
- если требования к TEM-виду колебаний выполняются в положении
zmax и геометрия волновода аналогична одному из типов, показанных на
рисунках A.6 -
A.9, с постоянным соотношением размеров
h к
w (типичная форма) для 0 <=
z <=
zmax, или
- если требования к TEM-виду колебаний выполняются в положениях zmin и zmax, и поперечное сечение волновода постоянно или постоянно сужается для zmin <= z <= zmax и производные dh/dz и dw/dz являются непрерывно дифференцируемыми функциями для zmin <= z <= zmax (нет изгибов или прерываний в геометрии границы проводника).
Максимальные размеры ИО связаны с размерами полезного испытательного объема. ИО должно быть не более чем 0,6
w по ширине и 0,6
L в длину (см.
рисунки A.6 -
A.9).
Примечание 1 - Согласно стандартам серии ISO 11452 рекомендуемые размеры ИО должны составлять 0,33w x 0,6L, и стандарт MIL-STD 462F рекомендует 0,5w x 0,5L.
Максимальная высота ИО рекомендована до 0,33h, где h - расстояние между внутренней и внешней проводящими границами (расстояние между проводниками), проходящее через центр ИО и центр испытательного объема (например, между септом и полом TEM-камеры). Для всех типов TEM-волноводов ИО должно вписываться в полезный испытательный объем для всех позиций вращения.
Примечание 2 - Большинство стандартов ограничивают размер ИО до 0,33
h. Большинство производителей TEM-камер ограничивают высоту ИО до 0,5
h. За исключением очень точной калибровки датчиками поля или сенсорами, высота ИО может превышать 0,33
h, но не должна выходить за пределы, рекомендуемые производителями. Высота ИО может быть больше 0,33
h, если производитель предоставляет информацию о неопределенности измерений для большего ИО. Дополнительная информация об эффектах загруженных волноводов приведена в
[25].
5.2.3 Валидация полезного испытательного объема
5.2.3.1 Основные положения
Настоящий подраздел использует понятие "однородная область" гипотетической области, в которой отклонения величины поля пренебрежительно малы (см.
[15]). Размеры TEM-волновода определяют размеры однородной области (плоскости), если ИО не может быть полностью облучено в меньшей поверхности. Максимальные размеры ИО связаны с размером полезного испытательного объема (см.
5.2.2).
Примечание 1 - В основном точная форма и расположение однородной области не указано, но определяется с использованием методики настоящего стандарта.
Примечание 2 - Если не дается другого определения, однородная область должна быть расположена в вертикальной плоскости и ортогонально направлению распространения поля. Она должна быть одной плоскостью в лицевой области ИО.
Примечание 3 - Вертикальная плоскость предполагает, что направление распространения TEM-вида колебаний происходит вблизи горизонтальной плоскости (вдоль оси
z), получаем плоскую волну. Если TEM-вида колебания распространяются в другом направлении, то однородная плоскость может быть переориентирована соответствующим образом.
Использование линий передачи позволяет избежать искажений из-за отражений поля от земли, так же как и в полубезэховой камере; таким образом, однородные поля устанавливаются вблизи внутреннего и внешнего проводников (только в нормальном направлении).
В принципе однородная область может располагаться на любом расстоянии от входного порта; место расположения определяется особенностями геометрии волновода. Однородная область действует только для этого расстояния от входного порта, для которого она калибрована. Чтобы допустить вращение ИО, однородная область должна располагаться на большем расстоянии, чем самое большое конечное значение однородной области
zmax, установленное в
5.2.2
Однородная область проверяется при отсутствии ИО в испытательном объеме, в частотном диапазоне и с шагом перестройки частоты, установленными в
5.2.1, используя немодулированный сигнал.
В зависимости от размера однородной области ее валидация проводится по крайней мере в пяти измерительных точках (4 по углам и одна в центре). Расстояние между двумя контрольными точками должно быть меньше чем 50 см. Если расстояние между точками больше 50 см, тогда должна использоваться равномерно распределенная сетка измерительных точек. Это означает, что должно использоваться 9 точек.
5.2.3.2 Методика валидации однородности поля и TEM-вида колебаний
Порядок проведения валидации известен как "валидация по постоянной подводимой мощности" и заключается в следующем:
a) установить изотропный трехкоординатный датчик поля в одну из точек на сетке;
b) подвести такую мощность ко входному порту TEM-волновода, чтобы напряженность электрического поля основной составляющей поля находилась в заданных пределах
ELimit, перестройку частоты в частотном диапазоне осуществлять, как указано в
5.2.1, зарегистрировать полученные данные всех подводимых мощностей, напряженности поля основной и побочных составляющих;
c) с той же подводимой мощностью измерить и зарегистрировать значения напряженности поля основной и побочных составляющих в остальных точках сетки;
d) вычислить стандартное отклонение в соответствии с
формулой (1). Все результаты измерений выражены в дБ (В/м);
e) величины основной составляющей поля в остальных точках должны находиться в пределах 6 дБ. Уровни побочных составляющих поля не должны превышать уровень 6 дБ от основной составляющей поля в каждой из точек;
f) из всех точек выбрать точку с самым низким значением напряженности основной составляющей поля
Eref (для обеспечения выполнение требования (-0 - +6) дБ). И использовать это значение в вычислениях как эталонное;
g) зная уровень подводимой мощности и напряженности поля, необходимо рассчитать по формуле (1) и зарегистрировать уровень подводимой мощности для требуемой напряженности испытательного поля.

, (1)
где E выражена в В/м;
P выражена в Вт.
Пример - Если дана точка с уровнем подводимой мощности Pfwd = 81 Вт, обеспечивающей напряженность поля Eref = 9 В/м, тогда для получения напряженности поля Etest = 3 В/м, необходимо подать на вход мощность Ptest = 9 Вт.
Кроме того, существует эквивалентный метод валидации, при котором величина напряженности основной составляющей поля постоянна и находится в пределах
ELimit, а величина подводимой к входному порту мощности регистрируется. Далее должны применяться шаги
a),
d),
e),
f) и
g). Этот метод носит название "валидация по постоянной напряженности поля".
Валидация однородности применяется для всех типов ИО, чьи поверхности (включая кабели) могут быть полностью вписаны в "однородную область". Валидация производится раз в год или при изменениях конструкции корпуса (например, TEM-камеры и полосковой линии внутри экранированного помещения).
5.2.3.3 Критерий однородности поля
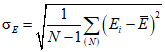
Однородность поля определяется следующим образом.
В измерительной точке i измерена напряженность поля Ei. Среднее значение и стандартное среднеквадратическое отклонение рассчитывается для N измерительных точек.
Среднее значение:

. (2)
Стандартное среднеквадратическое отклонение:

. (3)
В статистическом смысле N = 5 отражает очень малое число, но тем не менее нормальное распределение величины Ei может это допустить. С вероятностью 75% можно предположить, что измеренные результаты попадут в диапазон

. (4)
Коэффициент K выбирается равным 1,15.
Таблица 1
Значения коэффициента
K для расширенной неопределенности
с нормальным распределением
Коэффициент K | 1 | 1,15 | 1,3 | 1,5 | 2 | 3 |
Вероятность % | 68,3 | 75,0 | 80,6 | 86,6 | 95,5 | 99,7 |
При работе со значениями, выраженными в дБ, часто значения Ei лежат в диапазоне согласно неравенству (5).
ELimit <=
Ei <=
ELimit +
EMargin. (5)

. (6)

. (7)
Для 75% вероятности коэффициент K = 1,15 и отклонение величины на 6 дБ дает стандартное среднеквадратическое отклонение:

.
Наибольший размер датчика поля должен быть менее 10% от расстояния между внутренним и внешним проводниками. В этом случае искажениями поля можно пренебречь. Более подробные сведения изложены в
[18].
5.3 Специальные требования и рекомендации для некоторых видов TEM-волноводов
5.3.1 Установка TEM-волноводов открытого типа
Чтобы исключить влияние внешней среды, TEM-волноводы открытого типа должны устанавливаться внутри экранированных помещений.
Примечание 1 - Допустимая температура окружающей среды и уровни сигналов приведены в
приложениях A,
B и
C и сильно зависят от целей испытаний.
Существуют рекомендации к расстоянию от поверхностей TEM-волновода открытого типа до пола, стен и потолка экранированного помещения. Дополнительный безэховый материал может размещаться надлежащим образом в экранированном помещении для уменьшения отражений. Перечисленные ниже расстояния носят рекомендательный характер. Можно отметить, что возможно разработать такую конструкцию TEM-волновода открытого типа, в которой пол экранированного помещения будет выполнять функцию одной проводящей пластины, а установленная внутренняя перегородка (проводник) выполнять функцию второй проводящей поверхности.
Примечание 2 - Стандарт MIL-STD 461F требует устанавливать TEM-волноводы открытого типа в экранированные помещения. Требуемое минимальное расстояние до стен должно выбираться исходя из размеров волновода. Стандарт MIL-STD 462F RS105 требует, чтобы расстояние h от пластины заземления, потолка и экранированных стен помещения было в два раза больше, чем расстояние между вертикальными проводящими пластинами. Стандарт CISPR 20 требует минимального расстояния от потолка, стен и пола в 800 мм, соответствующего одному расстоянию h между проводящими пластинами.
5.3.2 Альтернативный метод верификации основного TEM-вида колебаний для двухпортового TEM-волновода
Как альтернатива положениям
5.2.1 полезный частотный диапазон двухпортового TEM-волновода может быть установлен с использованием следующего метода проверки.
Перед испытаниями ИО резонансы TEM-волновода должны быть определены для двух портов с установленной внутри подставкой и ИО, ИО должно быть выключено. В этом случае потери при передаче мощности в TEM-волноводе в полезном диапазоне частот должны соответствовать выражению:

, (8)
где Atloss - потери при передаче мощности загруженного волновода, дБ;
Prefl - отраженная мощность, измеренная на входном порте, Вт;
Pfwd - подводимая к входному порту мощность, Вт;
Poutput - мощность, измеренная на втором (выходном) порте, Вт.
Примечание 1 - Значения отраженной, подводимой и выходной мощности измеряются по отношению к характеристическому сопротивлению TEM-волновода. Трансформирующее сопротивление не учитывается. Мощность измеряется только "внутри передающей линии".
Выражение (8) справедливо для характеристического сопротивления 50 Ом.
Примечание 2 - Этот альтернативный метод верификации для двухпортового TEM-волновода описан в ISO 11452-3 и основан на предположении, что резонируют волны высших порядков, извлекая энергию из TEM-вида колебаний.
6 Обзор типов испытуемого оборудования
Вид ИО - это группа изделий с достаточным сходством в электромагнитных характеристиках или физических размерах, что позволяет испытывать их с одной и той же испытательной конфигурацией и протоколом испытаний, если это допустимо. Допускается проведение испытаний помехоустойчивости и помехоэмиссии в однородном испытательном объеме ИО и его конфигурации.
6.2 Небольшое по размеру испытуемое оборудование
ИО является небольшим, если его наибольший размер меньше, чем длина волны высшей испытательной частоты (например, при 1 ГГц длина волны

), и если кабели подключения к ИО отсутствуют. Все остальные ИО определяются как большие по размеру ИО.
6.3 Большое по размеру испытуемое оборудование
ИО определяется как большое по размеру, если
- небольшое по размеру ИО имеет один или более выходных кабелей;
- небольшое по размеру ИО имеет один или более невыходных кабелей;
- ИО с или без кабеля(ей) имеет большие размеры, чем одна длина волны наивысшей испытательной частоты;
- группа небольших по размеру испытуемых образцов объединены в испытательную конфигурацию ИО с соединительными не выходными кабелями, с или без выходных кабелей.
7 Условия испытаний в лаборатории
Для того чтобы минимизировать эффект влияния условий окружающей среды на результаты испытаний, испытания необходимо проводить в климатических условиях и при нормализованной электромагнитной обстановке, указанных в 7.2 и
7.3.
7.2 Климатические условия
Если иное не установлено в основополагающих стандартах или в стандартах на продукцию, то климатические условия в лаборатории должны быть в пределах, определенных для функционирования ИО и испытательного оборудования их изготовителями.
Испытания не проводят, если относительная влажность настолько высока, что возможна конденсация влаги на ИО или испытательном оборудовании.
Примечание - При наличии обоснованных доказательств влияния климатических условий на явления, рассматриваемые в настоящем стандарте, технический комитет, ответственный за разработку настоящего стандарта, должен быть об этом проинформирован.
7.3 Электромагнитная обстановка
Электромагнитная обстановка в лаборатории должна обеспечивать правильное функционирование ИО и не должна влиять на результаты испытаний.
8 Оценка результатов и протокол испытаний
Испытания должны выполняться согласно программе испытаний, которая включается в протокол испытаний. Требования к результатам испытаний и протоколу определяются видом выполнения испытания.
Протокол испытаний должен содержать всю информацию, необходимую для воспроизведения испытаний. В частности, должно быть указано следующее:
- пункты, указанные в программе испытаний;
- обозначение ИО и любого связанного оборудования (например, торговая марка, тип оборудования, серийный номер);
- обозначение испытательного оборудования (например, торговая марка, тип оборудования, серийный номер);
- любые особые условия окружающей среды, в которых было проведено испытание;
- любые особые условия, которые необходимо соблюсти для проведения испытания;
- уровень качества функционирования, установленный изготовителем, заказчиком или потребителем;
- критерий качества функционирования, установленный в основополагающем стандарте, стандарте на продукцию или группу продукции;
- любые воздействия на ИО, зафиксированные во время или после применения испытательной помехи, а также продолжительность этих воздействий;
- критерий для принятия решения о соответствии или несоответствии ИО требованиям устойчивости к электромагнитному полю (основанный на критерии качества функционирования, установленном в основополагающем стандарте, стандарте на продукцию или группу продукции или по соглашению между изготовителем и потребителем);
- любые особые условия эксплуатации, соблюдение которых требуется для достижения соответствия (например, длина или тип кабеля, экранирование или заземление или эксплуатационный режим ИО);
- рисунок и/или фотография расположения оборудования и соединительных кабелей организованного места для испытаний и ИО.
(обязательное)
ИСПЫТАНИЯ НА ПОМЕХОЭМИССИЮ В TEM-ВОЛНОВОДАХ
Настоящий раздел описывает испытание на помехоэмиссию в TEM-волноводах.
Результаты измерений, проведенные в TEM-волноводах, можно сравнивать с нормами двумя способами:
- Нормы, приведенные для TEM-волноводов.
Этот способ применяется для специфического вида оборудования (например, измерения поля от интегральных микросхем, военного оборудования, компонентов и модулей транспортных средств и т.д.), как описано в ссылках, приведенных в
библиографии. В этом случае результаты испытаний в TEM-волноводе непосредственно сравниваются с нормой или директивой, обычно разработанной специально для данного типа волновода. В других случаях нормы для TEM-волновода могут быть получены из предельных значений, используемых в других испытательных средствах.
- Нормы, приведенные для открытой измерительной площадки.
Этот способ применяется для ИО, которое должно соответствовать уровню радиопомех, применяемому к напряженности поля, измеренного на открытой измерительной площадке. Алгоритм корреляции используется для пересчета уровня напряженности поля, измеренного в TEM-волноводе, в уровень на открытой измерительной площадке.
В настоящем приложении подробно рассмотрен только второй способ. Измерение радиопомех с использованием TEM-волноводов требует валидации, для того чтобы удостовериться в возможности использования TEM-волновода для измерений. Для каждого вида ИО валидация должна происходить, как описано в
разделе 5. В случае только относительного сравнения в рамках одной группы ИО корреляция к открытой измерительной площадке и другим видам измерительных площадок не требуется. В этом случае комитеты, разрабатывающие стандарты на продукцию, должны предоставлять специальные нормы для определения соответствия измеренных данных.
Алгоритм корреляции описан в
пункте A.3. Алгоритм корреляции использует измерения напряжения TEM-волновода для оценки эквивалентной напряженности поля на открытой измерительной площадке. Напряженность поля в свободном пространстве также может быть оценена. Эта напряженность поля вместе с результатами измерений, проведенными во время валидации для конкретного вида ИО, может быть сравнена с требованиями стандартов.
Примечание - Испытательные процедуры обычно требуют вращения ИО вокруг трех осей. В случае гипервращаемого TEM-волновода (см.
[6]) TEM-волновод переориентирован таким образом, что его ортоось нормальна по отношению к поверхности Земли. Тогда ИО вращается на +/- 120° вокруг его вертикальной оси (которая является ортоосью). Тогда ИО не нужно вращать вокруг его горизонтальной оси.
A.2 Испытательное оборудование
Испытательное оборудование должно соответствовать необходимым требованиям CISPR 16-1-1.
Примечание - Изотропный датчик поля можно рассматривать как антенну (см. CISPR 16-1-4, требования к антеннам). Процедура калибровки изотропного датчика поля и его спецификации описаны в
[24].
A.3 Корреляция напряжений TEM-волновода со значениями напряженности поля
A.3.1 Общие положения
Данная процедура предназначена устанавливать альтернативные открытой измерительной площадке (OATS) методы испытаний на помехоэмиссию. Результаты измерений в TEM-волноводе пересчитываются в эквивалентные значения напряженности поля открытой измерительной площадки (OATS). В настоящем подпункте описывается алгоритм, основанный на предположении, что излучаемая мощность, полученная в результате измерения в TEM-волноводе, будет излучаться диполем, расположенным над идеально проводящей пластиной заземления.
Установившаяся практика корреляции включает измерение расстояния между ИО и каждым проводником
hEUT и расстояния между проводниками
h (или разделенными пластинами) в центре ИО (см.
рисунки A.6b и
A.7b). Напряжения, измеренные с расположенным ИО в TEM-волноводе, генерируются помехоэмиссией ИО. После вращения (переустановки) ИО, в соответствии с требованиями установившейся практики корреляции, проводятся последующие измерения напряжения, пока все необходимые положения не будут проверены. Согласно установившейся практике корреляции затем эти измерения используются для имитации испытания на открытой измерительной площадке (OATS).
Следующий подпункт описывает алгоритм, основанный на трехпозиционном испытании. Для некоторого ИО могут применяться другие предложенные в
[31] и
[41] алгоритмы.
A.3.2 Алгоритмы корреляции
A.3.2.1 Общие положения
В подпунктах A.3.2.2 и
A.3.2.3 изложены независимые подходы корреляции. В подпункте A.3.2.2 описывается основной подход установившейся практики корреляции для "мультипольной модели", и содержится набор испытаний волновода, определяющих эквивалентные мультипольные моменты. В
подпункте A.3.2.3 описывается другая установившаяся практика корреляции, согласно которой проводятся три измерения напряжения. Последнюю процедуру часто упоминают как "метод полной излучаемой мощности".
A.3.2.2 Мультипольная модель
Любой источник излучения конечного размера может быть заменен эквивалентным разложением на мультиполи, которые дают такую же диаграмму направленности за пределами объема, охватывающего источник. Если источник является электрически малым (характерные размеры меньше 0,1 длины волны), то исходный мультипольный элемент разложения, фактически электрический и магнитный диполи, дает точное моделирование источника. Выше приведенное утверждение справедливо для произвольного источника. Если источник сам состоит только из электрических и магнитных подобных дипольных элементов, то ограничение размера по отношению к длине волны может быть ослаблено.
Основным подходом алгоритмов корреляции измерений между TEM-волноводами и открытой измерительной площадкой (OATS) или свободным пространством является использование набора испытаний волновода с целью определения мультипольных моментов. Обычно используются три комплексных ортогональных дипольных момента, требующих шесть или более измерений. В основополагающем методе трех положений оценивается излучаемая мощность, но не отдельных мультипольных моментов. Как только излучаемая мощность оценена, излучаемые поля либо в свободном пространстве, либо над бесконечной пластиной заземления могут быть получены численно. Таким образом можно имитировать различные источники-приемники конфигурации антенны в соответствии со стандартами на помехоэмиссию на открытой измерительной площадке (OATS).
Для двухпортовых волноводов измерения на обоих портах дают две амплитуды и относительную фазовую информацию (см.
[14],
[29],
[30],
[35] и
[38]). Следовательно, два значения амплитуды и фаза мультипольных моментов могут быть определены и диаграмма направленности точно смоделируется, включая возможные нули из-за совпадения фаз. Для однопортовых TEM-волноводов относительная фазовая информация отсутствует; таким образом, в данном случае возможно определение значений амплитуд мультипольных моментов (см.
[36],
[40] и
[41]). Так как относительная фазовая информация неизвестна, то для однопортовых TEM-волноводов установившаяся практика корреляции предполагает, что все мультипольные моменты излучают в фазе. Вышеперечисленное дает только верхнюю границу оценки (см.
[10],
[28] и
[39]). Подробные диаграммы направленности не могут быть смоделированы. Верхняя граница оценки справедлива для сравнения с нормами стандартов. В
[31] и
[32] показано, что для TEM-волноводов характерны кроссполярные связи. В этих документах показаны влияния на измерения помехоэмиссии.
A.3.2.3 Алгоритм корреляции однопортового TEM-волновода
A.3.2.3.1 Общие положения
Алгоритм корреляции однопортового TEM-волновода основан на трех измерениях, выполненных в TEM-волноводе, из которых можно рассчитать полную излучаемую мощность ИО. Индивидуальные моменты диполя не определяются обособленно. Полная излучаемая мощность затем используется для моделирования максимального поля ИО над пластиной заземления на основе модели параллельных диполей (излучающих и принимающих диполей), передающих ту же полную мощность.
A.3.2.3.2 Измерения напряжения TEM-волновода
Напряжения измеряются для трех положений ИО и определяются следующим образом. В трехкоординатной системе (
x,
y,
z) задается TEM-камера. Стандартно выбирается - вдоль оси
z - направление распространения, ось
y параллельна электрической составляющей поля (вертикальная ось) и ось
x параллельна магнитной составляющей поля. Центр ИО располагается в точке (
x = 0,
y,
z),
x = 0, находящейся в центре внутренней проводящей границы волновода. Локальная координатная система (
x',
y',
z') присваивается ИО. Положение
a ИО предполагает, что ось
x' совмещена с
x, ось
y' совмещена с
y, ось
z' совмещена с
z, как показано на
рисунке A.3. Положение
b получается простой перестановкой осей ИО: оси
x' на ось
y, оси
y' на ось
z, оси
z' на ось
x. Это эквивалентно двум поворотам ИО на 90°. Положение
c получают дальнейшим вращением ИО: оси
x' на ось
z, оси
y' на ось
x, оси
z' на ось
y. Обозначив три измерения напряжения -
Vp1,
Vp2,
Vp3, можно показать (см.
[31] и
[41]), что полная излучаемая мощность
P0 ИО выражается следующим образом:

(A.1)

, (A.2a)
где VP выражено в В,

(A.2b)
где VP|дБ выражена в дБ (мкВ).
и
Vp1, Vp2, Vp3 - измеренные напряжения в трех положениях ИО;
S - корень из суммы квадратов измеренных напряжений, В;

- волновое число,

;

- сопротивление свободного пространства, Ом;
Zc - характеристическое полное сопротивление TEM-волновода, Ом (обычно 50 Ом);
e0y - коэффициент поля TEM-вида: нормированная
y-компонента электрического поля в месте расположения ИО (для
выражения (A.1): (
x = 0,
y,
z)),

.
Примечание - Для некоторых ИО необходимо испытывать три ортогональные положения в каждой из четырех стартовых ориентаций ИО (стартовые ориентации a1, a2, a3 и a4 на
рисунке A.4) в общей сложности в 12 утвержденных положениях. Максимальное измеренное напряжение и напряжения, измеренные в двух соответствующих ортогональных положениях, используются тогда в обычном методе трех положений
[21].
A.3.2.3.3 Определение коэффициента поля
A.3.2.3.3.1 Общие положения
Алгоритм, описанный в настоящем подпункте, требует определения основной
y-компоненты электрического поля TEM-вида. Колебания поля высшего порядка напрямую не связаны с подводимым к порту волновода напряжением. Коэффициент поля TEM-вида

- нормированная
y-компонента электрического поля TEM-вида в месте расположения ИО. Определение коэффициента поля

возможно осуществить двумя методами, которые описаны дальше.
Коэффициент поля

для специфического вида и размера TEM-волновода должен предоставляться производителем.
A.3.2.3.3.2 Экспериментальный метод
Коэффициент поля может быть определен экспериментально через измерение y-компоненты электрического поля Ey, выраженной в В/м (для пустой камеры) в месте расположения центра ИО (x, y, z) и известной подводимой мощности Pi, выраженной в Вт.

. (A.3)
A.3.2.3.3.3 Аналитический метод
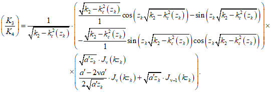
Для TEM-камеры с прямоугольным сечением, как показано в
[41], нормированную
y-компоненту поля TEM-вида возможно аппроксимировать согласно уравнению:

, (A.4)
где

,
m = 1, 3, 5, ...,

,

;
h - высота внутренней проводящей границы в z, м;
g - ширина зазора в z, м;
(x, y, z) - местоположение центра ИО, м;
J0 - функция Бесселя нулевого порядка, безразмерная величина.
Только некоторые члены этого ряда необходимо сохранить для хорошей аппроксимации
e0y. Фактор поля, рассчитанный для различной геометрии, приведен в
[28].
A.3.2.4 Корреляция на открытой измерительной площадке (OATS)
Помехоэмиссия ИО над пластиной заземления моделируется с учетом того, что полная излучаемая мощность, оцененная в результате испытаний TEM-волновода, такая же, как и излучаемая диполем (заменяющим ИО).
Уравнения для полей, излучаемых диполем, хорошо известны, и пластина заземления учитывается для введенного воображаемого диполя. Поля рассчитываются выше эквивалентной высоты перемещения приемной антенны, как требует метод открытой измерительной площадки (OATS). Максимальный сигнал от двух поляризаций дает максимально возможную напряженность поля. Используя коэффициент геометрии gmax, определяемый высотой перемещения приемной антенны, можно получить оценку для максимального поля Emax на открытой измерительной площадке:

; (A.5)

, (A.6)

- волновое число,

;

- сопротивление свободного пространства, Ом;
Zc - характеристическое полное сопротивление, Ом;

- коэффициент поля TEM-вида,

.
и

(A.7)
где
gmax выражена в

,

- расстояние от ИО до приемной антенны, м;

- расстояние от проекции ИО до приемной антенны, м;
S - расстояние от приемной антенны до ИО, согласно требованиям стандартов, м. Обычно это 30 м, 10 м или 3 м;
hg - высота ИО над пластиной заземления, м;
RH - высота приемной антенны над пластиной заземления, м. Обычно этот параметр изменяется в диапазоне 1 - 4 м.
Примечание 1 - Максимальная напряженность электрического поля свободного пространства в дальней зоне на расстоянии
r определяется следующим образом:

, где
Dmax - максимальная направленность антенны. Из
уравнения (A.5) следует, что установленный
Dmax принят равным 3 и учитывает проекцию антенны и расстояние
r через коэффициент геометрии
gmax. Значение 3 является верхним пределом для небольшой антенны и следует из наличия электрического и магнитного диполей, ориентированных и синхронизированных по фазе, для получения максимальной направленности. Для одного электрического или одного магнитного диполя
Dmax = 1,5. Это более вероятно для непреднамеренного источника излучения, так как один источник должен быть доминирующим. Поэтому,
выражение (A.5) определяет "наихудший случай".
Как правило, D задается как принятое значение либо значение известной теоретической или значение измеренной направленности ИО. Алгоритм корреляции однопортового TEM-волновода всегда предполагает "наихудший случай", основанный на а) полной излучаемой мощности в отличие от значения, измеренного на открытой измерительной площадке (OATS) или конуса, и б) подразумевается "наихудший случай" направленности. Для сравнения с другими методами измерения эмиссии полной излучаемой мощности, например реверберационными камерами, значения направленности могут приниматься равными D = 1,5 или D = 1,7. Для целей настоящего стандарта было решено использовать "наихудший случай" направленности малого ИО D = 3.
Примечание 2 - Это соотношение справедливо для небольшого ИО, установленного в
5.2. Более подробное руководство для корреляции и методов испытаний большого по размеру ИО включено в настоящий стандарт (см.
A.5.1.2).
Примечание 3 - Для классов продукции, имеющих приблизительно один размер (форм-фактор) и функциональное назначение, полное сравнение измерений TEM-волновода и открытой измерительной площадки (OATS) проводят с помощью типичного представителя продукции из этого класса. Это сравнение подразумевает, что для других представителей из этого видового класса продукции будет достаточно только провести испытания TEM-волновода.
Примечание 4 - Другой вид корреляции к свободному пространству. Для случая со свободным пространством или эквивалентным ему полностью безэховой камеры, отражения от плоскости заземления [величины с индексом 2 в
выражении (A.7)] исключаются.
С другой стороны, Emax может быть выражена в дБ (мкВ/м):
Emax|
дБ = 20·lg(
gmax) + 10·lg(
P0) + 139,5, дБ (мкВ/м). (A.8)
Коэффициент 20·lg(gmax) рассчитывается каждый раз или интерполируется из ранее рассчитанных справочных таблиц для стандартной геометрии.

. (A.9)
A.4 Поправочные коэффициенты для испытания помехоэмиссии
A.4.1 Эталонные источники помехоэмиссии
Поправочные коэффициенты могут быть определены с помощью эталонных источников помехоэмиссии с хорошо описанными характеристиками эмиссии для измерений на открытой измерительной площадке. Эталонные источники выбираются в зависимости от типа ИО, которое будет испытываться в TEM-волноводе. Для представления общих испытаний на ЭМС рекомендуется пять типов эталонных источников (они представляют вариации настольного оборудования, как определено в CISPR 22).
a) генератор гребенчатого спектра с электропитанием от батарей и широкополосной антенной, который является примером небольшого ИО. Наибольший размер генератора гребенчатого спектра должен быть меньше 0,1
h, где
h - расстояние между проводниками TEM-камеры. Если генераторов гребенчатого спектра, которые удовлетворяли бы требованиям к размеру, нет в продаже, допускается использование генераторов до 0,35
h. В этом случае размер, тип используемого генератора гребенчатого спектра и постоянный допустимый размер (0,1
h) отражаются в протоколе испытаний и специально выделяются. Корпус ИО должен быть меньше длины волны на самой высокой частоте измерения (см.
6.2);
b) генератор гребенчатого спектра с электропитанием от батарей с присоединенным проводом, который является примером большого ИО без выходных кабелей (см.
6.3). Присоединенный провод должен располагаться на краю, но оставаться в границах испытательного объема.
c) генератор гребенчатого спектра с электропитанием от батарей с присоединенным выходным кабелем, который является примером большого ИО с выходными кабелями. Присоединенный провод должен проходить через ферритовые клещи;
d) 480-миллиметровый корпус со встроенным генератором гребенчатого спектра, имеющий по крайней мере два выходных кабеля, представляет собой большое ИО с выходными кабелями;
e) такой же как и в
пунктах a) -
d) генератор со встроенным источником широкополосного шума.
Для примеров, в
пунктах a) -
d), генератор гребенчатого спектра должен создавать спектральные линии через каждые 10 МГц или меньше во всем требуемом диапазоне частот. Для примера, приведенного в
пункте e), широкополосный источник должен охватывать весь требуемый диапазон частот.
Выходной спектр должен быть стабильным, с колебаниями меньше 1 дБ в течение всего испытания.
Примечание - Если наибольший размер источника меньше 0,1h, то можно предположить, что источник вносит минимальные искажения в однородность поля TEM-вида.
Для производителей специфических типов и размеров TEM-волноводов рекомендуется, чтобы измерения помехоэмиссии были выполнены с помощью образцов ИО в четырех или более TEM-волноводах одного типа и размера и четырех или более различных открытых измерительных площадках (OATS). Полученные результаты справедливы для всех TEM-волноводов одного и того же типа и размера. Идентичное расположение ИО, функция детектора приемника, время задержки и полоса пропускания должны использоваться для всего диапазона частот каждой измерительной площадки. Алгоритм корреляции по трем положениям должен применяться для преобразования измеренных напряжений TEM-волновода в напряженность поля на открытой измерительной площадке (OATS).
A.4.2 Расположение небольшого ИО
Испытания выполняются с использованием определенной последовательности на образце небольшого ИО в TEM-волноводе. ИО располагают в центре испытательного объема (например, на испытательной платформе) и вращают минимум в трех ортогональных положениях вокруг ортооси (см.
рисунок A.2). В некоторых случаях необходимо использовать куб из непроводящего материала с вложенным внутрь и прикрепленным ИО или использовать манипулятор, что поможет с вращением ИО.
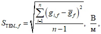
A.4.3 Расчет поправочного коэффициента для небольшого ИО
Для небольшого ИО статистический поправочный коэффициент улучшает соотношение напряженностей полей между открытой измерительной площадкой (OATS) и алгоритмом корреляции TEM-волновода по трем положениям.
Примечание 1 - Измерение помехоэмиссии в TEM-волноводах основано на методе полной излучаемой мощности. Таким образом, рассматриваются все возможные положения. При сравнении данных открытой измерительной площадки (OATS) с измерениями TEM-волновода оператор должен выбрать положение ИО на открытой измерительной площадке с максимальной помехоэмиссией.
Поправочный коэффициент рассчитывается, исходя из различия среднего и стандартного отклонений обеих напряженностей поля коррелированного TEM-волновода и измеренной на открытой измерительной площадке на каждой частоте. Дополнительный поправочный коэффициент диаграммы направленности также призван улучшить согласование между измерениями на открытой измерительной площадке (OATS) и в TEM-волноводе для малого ИО. Поправочный коэффициент cf на каждой частоте f рассчитывается, используя выражение

, (A.10)
где

- усредненная разность между напряженностями поля TEM-волновода и открытой измерительной площадки,

;
ds,f - разность стандартных отклонений результатов измерений нескольких TEM-волноводов и открытой измерительной площадки
[выражение (A.12)],

;
Примечание 2 - Даже небольшое ИО может не иметь всенаправленную диаграмму направленности. Эта разность должна учитываться коэффициентом
t в
выражении (A.10). Измерения на различных открытых измерительных площадках (OATS) и различных TEM-волноводах могут также привести к различиям. Это учитывается коэффициентом
ds,f в
выражении (A.10). Обычно значения
t и
ds,f порядка 1 дБ.
Разница средних значений напряженностей поля на каждой частоте выражается

, (A.11)
где
gi,f - напряженность электрического поля TEM-волновода, коррелированная с напряженностью свободного пространства,

;
i = 1 ... n, где n - номер измерения в TEM-волноводе;
ok,f - напряженность электрического поля открытой измерительной площадки (OATS),

;
k = 1 ... m, где m - номер измерения на открытой измерительной площадке;
f - частота, Гц;
gi,f - соотнесенная напряженность поля для i = 1...n измерений одного или более TEM-волноводов определенного типа и размера;
ok,f - k = 1...m результатов измерений одной или более различных открытых измерительных площадок.
Примечание 3 - Величины
gi,f и
ok,f логарифмически нормально распределены, и, следовательно,
выражение (A.11) может быть выражено в логарифмическом масштабе.
Разность стандартных отклонений измерений нескольких TEM-волноводов и открытых измерительных площадок выражается

, (A.12)
здесь sTEM,f - стандартное отклонение множества значений TEM-волновода, выражается

(A.13)
и sOATS,f - стандартное отклонение измеренных значений от одной или нескольких открытых измерительных площадок (OATS), выражается

(A.14)
В этих выражениях стандартных отклонений среднее значение уровней каждого TEM-волновода и открытой измерительной площадки выражается для TEM-волновода:

, (A.15)
для открытой измерительной площадки:

. (A.16)
Примечание 4 - Если TEM-волновод является уникальным (n = 1), например построенный для научного использования в единственной лаборатории, то STEM,f = 0 для определения поправочного коэффициента специфического волновода. Таким образом, эти результаты не могут быть использованы для проверки любого другого TEM-волновода, даже одного и того же типа и размера.
Для каждого конкретного волновода неопределенность диаграммы направленности
t получают из серии измерений корреляции по трем положениям, проведенных для восьми исходных положений, например, 0°, 45°, 90°, 135°, 180°, 225°, 270° и 315°. Например, для исходного положения на
рисунке A.4.a1 (
xx' yy' zz') ИО поворачивается на эти углы вокруг оси
y. Для каждой исходной позиции трехпозиционный метод корреляции используется, чтобы получить в сумме серию из восьми соотнесенных напряженностей поля, обозначаемых как

(8 x 3 = 24 измерения напряжения).

является средним значением напряженности поля, в частности
E0° = (
E0° +
E90°)/2, ...
E225° = (
E225° +
E315°)/2. Максимальная напряженность поля,

получается как самая высокая напряженность поля для каждой пары значений сдвинутых на 90°. В частности,
E0°,max = max(
E0°,
E90°), ...
E225°,max = max(
E225°,
E315°). Стандартное отклонение коэффициента рассчитывается с использованием следующего выражения:

(A.17)
где l - номер исходного положения (восемь в приведенном выше примере).
Конечная неопределенность диаграммы направленности t получается как среднее из стандартных отклонений, или

. (A.18)
Примечание 5 - Альтернативным методом определения
t (неопределенности диаграммы направленности) может быть шестипозиционный метод
[27] или двенадцатипозиционный метод ("улучшенный трехпозиционный")
[37]. Важным аспектом является то, что полная излучаемая мощность ИО должна быть захвачена. Сравнительные данные приведены в
[20] и
[21].
A.5 Методы измерения помехоэмиссии в TEM-волноводах
A.5.1 Типы испытуемого оборудования
A.5.1.1 Небольшое испытуемое оборудование
Небольшое ИО должно испытываться с помощью двух исходных положений в TEM-волноводе. Первое исходное положение выбирается произвольно, в то время как второе исходное положение вращается относительно первого, как показано на
рисунке A.4. Для каждого исходного положения применяется алгоритм корреляции по трем положениям. Например, при трехпозиционном методе
A.3.2.3.2 необходимо испытывать три положения. Этот метод реализуется исходным положением a1 и a3 или a2 и a4, как отражено на
рисунке A.4 (в общей сложности 2 x 3 = 6 положений). Самая высокая кореллированная напряженность из двух измеренных значений должна документироваться на каждой частоте.
Примечание - Диапазон частот определяется требуемыми нормами или целью измерения, для небольшого ИО обычно составляет 30 МГц - 1 ГГц. Пригодный для эксплуатации частотный диапазон определяется проверкой TEM основного типа колебания (см.
5.2.1,
5.3.2).
A.5.1.2 Большое испытуемое оборудование
Метод
A.5.1.1 может применяться к большому ИО. Тем не менее предположение о диполе в алгоритме корреляции может не являться правильным для больших ИО.
Следующая информация приводится в качестве руководства.
При испытании на соответствие требованиям стандартов в TEM-волноводе большого ИО был предложен следующий метод (более подробная информация изложена в
[2]).
a) три независимых испытания конкретного типа ИО должны быть проведены на определенной соответствующей открытой измерительной площадке (OATS) и в определенном TEM-волноводе.
b) средняя разница измеренных значений между TEM-волноводом и открытой измерительной площадкой рассчитывается для каждой частоты по
формуле A.11 с
n =
m = 3.
c) среднее значение и стандартное отклонение, в зависимости от частоты, рассчитанных разностей во втором шаге, для минимум 10 частот должны удовлетворять критерию: среднее отклонение должно быть более 0 дБ и меньше либо равно 3 дБ и стандартное отклонение разностей - меньше либо равно 4 дБ.
d) добавление средней разности к измерениям, полученным с применением TEM-волновода, не должно производиться, когда проводится сравнение с требуемая нормой. Если условие третьего шага выполняется, то вид ИО считается соответствующим норме.
A.5.2 Расположение испытуемого оборудования
Следующая информация приводится в качестве руководства.
ИО без каких-либо кабелей должно закрепляться в центре вращающегося манипулятора. Использование манипулятора позволяет вращать ИО вокруг своего электрического центра (который можно считать идентичным геометрическому центру ИО).
Для ИО с кабелем(ями) применяется следующее расположение кабелей. Длинные кабели связываются в пучки согласно CISPR 16-2-3:2006 (пункт 7.2.5.2). Соединительный кабель(и) должны располагаться перпендикулярно каждому положению ИО. Для получения воспроизводимых результатов измерения относительное положение кабеля(ей) и ИО не должно изменяться в течение трех положений алгоритма корреляции. Если кабель(и) слишком длинный, то соединительный кабель(и) может связываться в пучки согласно пункту CISPR 16-2-3:2006 (пункт 7.2.5.2).
Выходной кабель(и) располагается перпендикулярно границе полезного испытательного объема для каждого положения ИО. Затем кабель направляется вдоль границы полезного испытательного объема к углу ортоугла на нижний край испытательного объема (см.
рисунок A.1). Используя положение, приведенное на
рисунке A.2b, выходной кабель(и) должен вращаться вдоль ортооси. Положение кабеля должно быть закреплено, например, непроводящими зажимами. Выходной кабель(и) должен прокладываться от нижнего угла ортоугла испытательного объема к поглощающим клещам, расположенным на пластине заземления волновода. В случае нескольких кабелей они должны располагаться друг от друга на расстоянии 100 мм. На пластине заземления волновода конец каждого кабеля обжимается отдельными поглощающими клещами или пристегивающимися ферритами (см.
[1]). Вносимое затухание клещей (или пристегивающихся ферритов) должно быть больше чем 15 дБ для диапазона частот 30 - 1000 МГц. Соединительный кабель не должен касаться внутреннего или внешнего проводника TEM-волновода и должен быть размещен внутри поглощающих клещей или застегивающихся ферритов. Длина кабеля до места расположения клещей должна составлять 1,3 м. Если кабель короче 1,3 м, то весь кабель размещается до места расположения клещей. Если длина кабеля больше 1,3 м, то по крайней мере 1,3 м кабеля должно размещаться до места расположения клещей (см.
рисунок A.1). Выходные кабели прокладываются от поглощающих клещей к разъемам на полу или стенке и соединяются с соответствующим оборудованием за пределами TEM-волновода.
Протокол испытаний должен включать корректированные E и некоррелированные Emax результаты измерений напряженности поля, как определено в соответствии с

, (A.19a)
E|дБ = Emax|дБ - 20·lg(cf) - 120, дБ (мкВ/м), (A.19b)
Рисунок A.1a - Вид сбоку
Рисунок A.1b - Вид сверху
Длина соединительного кабеля между корпусом ИО и нагрузкой должна быть приблизительно 1,3 м.
Рисунок A.1 - Прокладка выходного кабеля к углу ортоугла
и ниже границы испытательного объема
Рисунок A.2a - Ортоось и ортоугол
Примечание - По аналогии с установкой на
рисунке A.1 настоящий манипулятор позволяет получить три ортогональных положения с помощью трех 120° поворотов вокруг ортооси.
Рисунок A.2 - Основное положение ортооси
вращающего устройства или манипулятора
| | |
Положение a | Положение b | Положение c |
Примечание - Эти три положения ортогональных осей вращения соответствуют положениям a1, b1 и c1 на
рисунке A.4. Координаты осей
x,
y,
z без штриха - координаты TEM-волновода, а координаты осей
x',
y',
z' - координаты ИО.
Рисунок A.3 - Три ортогональные оси вращения положений
для измерения помехоэмиссии
Примечание 1 - В данном примере x, y, z обозначают координатные оси TEM-волновода, x', y', z' - координатные оси ИО, поле поляризовано оси y, направление распространения - вдоль оси z. Виртуальный (или геометрический или фазовый) центр ИО должен оставаться в одном и том же положении по отношению к проводникам TEM-волновода.
Примечание 2 - Стороны ИО, определяемые положением a1 с x' = x, y' = y, z' = z: левая сторона (L) = правая сторона (R) = плоскость yz = плоскость y'z'; задняя сторона (B) = лицевая сторона (F) = плоскость xy = плоскость x'y'; верхняя сторона (T) = нижняя сторона (U) = плоскость xz = плоскость x'z'. Направление распространения - вдоль оси z. Таким образом, фронт волны в положении a1 приходит к задней стороне. Каждое положение ИО можно описать двумя буквами: первая буква указывает на сторону ИО, обращенную к полу TEM-волновода, вторая буква указывает на сторону, обращенную к фронту волны (направлению распространения волны).
Рисунок A.4 - Двенадцать положений и оси координации
для типичного испытуемого оборудования. Лист 1
Примечание 3 - Каждый ряд из этих положений/матрицы (например, a3, b3, c3) показывает три ортогональных положения, которые могут быть использованы для трехпозиционного алгоритма корреляции. Кроме того, в испытаниях на помехоустойчивость необходимо минимум восемь положений. Например, два из четырех положений a1, a2, a3, a4 и b1, c2, b3, c4. В случае, когда необходимы все 12 положений для испытаний на помехоустойчивость, добавляются положения c1, b2, c3, b4, где c3 и b4, как правило, соответствуют повороту оси z на 180°. В этом случае для положения c3 координаты xy'y(-z')z(-x') становятся x(-y')yz'z(-x'), и b4 с xx'y(-z')zy' становятся x(-x')yz'zy'.
Рисунок A.4 Лист 2
Примечание - Ось z горизонтальна пластине заземления и совпадает с направлением распространения. Это соответствует координатной системе TEM-волновода, где ось z параллельна проводнику и совпадает с направлением распространения.
Рисунок A.5 - Геометрия открытой измерительной площадки
(OATS)
Рисунок A.6b - Поперечное сечение камеры
Примечание - hИО - минимальное расстояние между ИО и каждым проводником или поглощающим материалом.
Рисунок A.6 - Двухпортовая TEM-камера
(с симметричным внутренним проводником)
Рисунок A.7a - Вид сбоку
Рисунок A.7b - Поперечное сечение камеры
Примечание - hИО - минимальное расстояние между ИО и каждым проводником или поглощающим материалом.
Рисунок A.7 - Однопортовая TEM-камера
(с асимметричным внутренним проводником)
Рисунок A.8a - Вид сбоку (однопортовый волновод)
Примечание - Трехполосковый волновод с центральным проводником получают с использованием геометрии, показанной на
рисунке (A.6a), и теорией зеркальных изображений.
Рисунок A.8b - Вид сбоку [такой волновод в основном схож
с двухпортовым (однопортовым) волноводом, но некоторые типы
имеют распределенную нагрузку на выходном порте
(вместо выходного порта)]
Рисунок A.8c - Поперечное сечение волновода
Примечание - hИО - минимальное расстояние между ИО и каждым проводником или поглощающим материалом.
Рисунок A.8 - Полосковые линии
(с двумя проводящими полосками)
Рисунок A.9a - Вид сбоку
Рисунок A.9b - Поперечное сечение волновода
Примечание - Вся конфигурация TEM-волновода помещается в полностью безэховую камеру. Для симметрии по целевым соображениям максимальную полезную высоту ИО ограничивают от 0,33
h до 0,6
h (см.
5.2.2).
Рисунок A.9 - Полосковая линия (с четырьмя проводящими
полосками, сбалансированное питание)
(справочное)
ИСПЫТАНИЕ НА ПОМЕХОУСТОЙЧИВОСТЬ В TEM-ВОЛНОВОДЕ
Настоящее приложение описывает испытание на помехоустойчивость в TEM-волноводе. Цель испытания состоит в проверке помехоустойчивости электрического и электронного оборудования к случайным электромагнитным полям.
Испытание проводят с конкретным расположением ИО. Это необходимо, так как испытательная установка и норма или уровень определены в конкретном стандарте на продукцию или серии стандартов на продукцию.
B.2 Испытательное оборудование
B.2.1 Общие положения
Рекомендуются следующие типы испытательного оборудования:
- TEM-волновод с размером, достаточным для создания однородной области поля, вмещающей в себя предполагаемое испытуемое оборудование (ИО);
- фильтры электромагнитных помех;
- высокочастотные генераторы. Часто бывают полезными для управления подводимой мощности к TEM-волноводу при формировании уровней поля. Направленный ответвитель вместе с ВЧ-измерителем напряжения или измерителем мощности позволяет измерять реальную подводимую мощность к TEM-волноводу (в отличие от номинальной мощности ВЧ-генератора). Оба должны покрывать предполагаемую пропускную способность;
- усилители мощности;
- датчики поля, способные обособленно контролировать напряженность поля вдоль всех трех ортогональных осей. Любые датчики и оптоэлектронные блоки должны иметь достаточную устойчивость к напряженности поля, необходимой для корректного измерения; устройство отображения результатов измерений должно располагаться за границами TEM-волновода и соединяться с датчиком волоконно-оптической линией. Также может использоваться отфильтрованная в достаточной степени сигнальная линия. Для TEM-волноводов требуется датчик поля, измеряющий напряженность поля в отдельности для каждой из трех осей. Если используется небольшая однокоординатная антенна, то она должна иметь возможность менять позицию для измерения каждой компоненты поля по отдельности;
- присоединяемая аппаратура для регистрации уровней мощностей.
B.2.2 Описание испытательной установки
Примечание - TEM-камера действует как экранированное пространство. В случае полоскового (открытого) волновода полосковая линия должна помещаться в экранированное помещение с большими размерами для обеспечения изоляции. Для этого экранированного помещения может потребоваться соответствующее количество поглощающего материала для выполнения единых требований к однородной области.
Для TEM-волноводов TEM-режим, эквивалентный режиму плоской падающей волны, используется для целей проверки помехоустойчивости. Ввиду того что идеальная плоская волна не изменяется в течение некоторого фронта волны, поле TEM-вида в передающей линии изменяется на постоянный фронт волны в соответствии с особенностями геометрии поперечного сечения. Оба метода испытаний при помощи безэховой камеры и TEM-волновода основаны на распространении поля с плоским фронтом волны, прежде чем ИО будет размещено. Направленность поля TEM-вида сходна с вертикальной поляризацией в безэховой камере, в то время как направленность поля горизонтальной поляризации более склонна к искажениям, вызванным отражениями от пластины заземления.
B.2.3 Проверка однородности поля
Согласно
примечаниям 2 и
3 пункта 5.2.3.1 проверка выполняется в прямоугольной плоскости не менее чем для 5 измерительных точек (4 по углам плоскости и одна в центре). Однородность поля, приведенная в
формуле (5) со стандартным отклонением согласно
формуле (6), соблюдается для:
a) 75% измеренных напряженностей поля Ei, которые являются значением основной составляющей электрического поля в течение определенной области, должны соответствовать следующему выражению:

.
Примечание 1 - ELimit - норма, установленная в стандарте.
Примечание 3 - Если

должно быть менее 6 дБ, то стандартное отклонение рассчитывается исходя из
формулы (6) пункта 5.2.3 следующим образом:

.
Примечание 4 - Если 75% интервал установлен для 10 дБ, применяется стандартное отклонение.

;
b) значения двух побочных компонент электрического поля должны быть меньше по крайней мере на 6 дБ основной компоненты. Данное соотношение этих измеренных величин должно соответствовать формуле:
Стандартное отклонение для набора измерений

должно соответствовать следующей формуле:

.
Погрешность основной компоненты электрического поля (см.
формулу (7) в 5.2.3) больше чем

до

дБ, или побочной компоненты электрического поля до уровня -2 дБ от основной компоненты поля допускается для максимального количества тестовых частот, как определено в
5.2.1 при условии, что абсолютная погрешность и частоты отмечены в протоколе испытаний.
Примечание - Согласно
формуле (7) в 5.2.3 стандартные отклонения рассчитываются:

.
Таблица B.1
Проверочные точки однородной области
Размеры | Расположение и количество проверочных точек |
1,5 м x 1,5 м | 4 x 4 = 16 |
1,0 м x 1,5 м | 3 x 4 = 12 |
1,0 м x 1,0 м | 3 x 3 = 9 |
0,5 м x 1,0 м | 2 x 3 = 6 |
0,5 м x 0,5 м | 4 + 1 (в центре) = 5 |
0,25 м x 0,25 м | 4 + 1 (в центре) = 5 |
Плоскости, не указанные в
таблице B.1, должны проверяться с использованием пронумерованных сеток с шагом менее 0,5 м, полностью покрывающих плоскость. Шаг сетки должен быть равномерным вдоль каждой стороны. В испытательной установке ИО должно располагаться лицевой стороной к облучающей плоскости (см.
рисунок B.2).
Пример 1 - Плоскость размерами 20 x 20 см использует 4 + 1 (в центре) = 5 точек, плоскость 80 x 80 см использует 3 x 3 = 9 точек, плоскость 1,2 x 0,6 м использует 4 x 3 = 12 точек.
Пример 2 - Однородная область с размерами 1,2 x 0,6 м должна использовать камеру с размерами 0,4 x 0,3 м.
Требование однородной области основано на проверке TEM-вида колебаний
пункта 5.2.1. В принципе однородность поля проверяется с точки зрения основной компоненты поля TEM-вида. Если результирующая напряженность поля используется в качестве альтернативы, все вышеупомянутые требования должны выполняться, а также должно быть указано, что требования к побочным компонентам
пункта 5.2.1 выполняются. Дополнительная информация об однородности поля приведена в
[17].
B.2.4 Испытательные уровни
В качестве руководства испытательные уровни приведены в таблице B.2.
Таблица B.2
Испытательные уровни
Испытательный уровень | Значение напряженности поля, В/м |
1 | 1 |
2 | 3 |
3 | 10 |
X | Специальная |
Примечание - X - открытый уровень. Этот уровень может приводиться в технических требованиях к изделию. |
B.2.5 Гармоники
Некоторые TEM-волноводы имеют резонансы на частотах выше рекомендуемого для использования диапазона частот.
Примечание - ISO 11452-3 требует установку фильтра нижних частот с затуханием по крайней мере 60 дБ на частотах выше в 1,5 раза частоты среза TEM-волновода.
B.3 Организованное место для испытаний
B.3.1 Расположение настольного оборудования
Для TEM-волноводов непроводящий стол высотой 0,8 м не используется, как для некоторых испытательных установок для помехоустойчивости, оборудование располагается на испытательной подставке или манипуляторе (см.
3.1.21) с формой и размерами такими, чтобы лицевая поверхность находилась в однородной области для каждого положения. Типичное расположение ИО показано на
рисунке B.1.
B.3.2 Расположение напольного оборудования
Для TEM-волноводов оборудование размещают на испытательной подставке таким образом, чтобы лицевая поверхность находилась в однородной области поля. Использование непроводящей испытательной подставки предотвращает случайное заземление ИО и искажения поля. Испытательная подставка должна быть объемной и непроводящей, в виде разделяющего покрытия на металлической структуре.
B.3.3 Расположение проводов
Провода подвергают действию электромагнитного поля на расстоянии 1 м от ИО и прокладывают выше пола, на уровне расположения ИО или по диагонали в плоскости
xy до точки соединения с внешним проводником в TEM-волноводе (для TEM-камеры: пол, стена). Прокладку кабеля по оси
z вдоль внешнего или внутреннего проводника следует избегать. Кабели направляют параллельно внутреннему или внешнему проводнику TEM-волновода и располагают от них на расстоянии не менее 0,1 м. Выход кабеля должен завершаться поглощающими клещами (см.
A.5.2). Конец кабеля располагается на границе однородной области. Информация о характеристиках поглощающих клещей приведена в CISPR 16-1-4.
B.4 Порядок проведения испытания
Испытания выполняются для каждой из четырех сторон ИО перед портом генератора.
Для TEM-волноводов поле поляризовано в одном направлении (обычно вертикально). Таким образом, чтобы гарантировать полное облучение ИО эквивалентом как горизонтальной, так и вертикальной поляризациями, необходимо вращать ИО. Например, для электрического поля с вертикальной поляризацией эквивалентная горизонтальная поляризация достигается при вращении ИО на 90° вокруг оси, перпендикулярной однородной области (направлению распространения поля TEM-вида), чтобы переориентировать первую поверхность ИО, и последующем троекратном повороте вокруг горизонтальной оси, выровненной с однородной областью, для облучения других сторон ИО (см.
рисунок B.1). Препятствием для испытания в некоторых видах TEM-волноводах может быть ИО, которое зависит от положения относительно направления силы тяжести.
С другой стороны, TEM-волновод может быть повернут вокруг ИО или несколько поляризаций TEM-волновода (см.
рисунок A.9) могут быть использованы таким образом, чтобы достичь необходимой поляризации.
Шаг частоты должен составлять 1% от предыдущего значения частоты. Время удержания на каждой частоте не должно быть меньше, чем время, необходимое для проверки качества функционирования ИО, и ни в коем случае не менее чем 0,5 с. Тем не менее время удержания, равное 1 с, является целесообразным.
Примечание - Если ИО состоит из нескольких компонентов, следует проявлять осторожность, чтобы сохранить положение компонентов относительно друг друга при вращении. Это может потребовать жесткой фиксации ИО, закрепления его компонентов и кабелей на испытательной подставке или манипуляторе.
Частотные диапазоны рассматриваются и покрываются частотными шагами в соответствии с вышеуказанными требованиями, с амплитудно-модулированным сигналом с коэффициентом модуляции 80%, модулированным синусоидальным сигналом частотой 1 кГц, с паузами, чтобы отрегулировать уровень радиочастотного сигнала или переключения генератора по мере необходимости.
B.5 Результаты испытаний и протокол испытаний
Дополнительно к обычному содержанию протокола испытаний на помехоустойчивость должна быть указана информация о TEM-волноводе: размер, тип и методы аттестации.
Рисунок B.1a - Положения ИО для вертикальной поляризации
E - направление основной компоненты напряженности
электрического поля; H - напряженность магнитного поля;
K - направление распространения волны (волновой вектор).
Рисунок B.1b - Положения ИО для горизонтальной поляризации
Положение кабеля до стороны фильтра от точки вращения должно оставаться неподвижным. Испытательная подставка
(3.1.16) может переставляться во время вращения так, как необходимо. Испытательная подставка должна иметь толщину 0,1 м. ИО, состоящее из нескольких блоков, должно фиксироваться на испытательной подставке или на эквивалентной платформе и вращаться в требуемом порядке. Могут применяться манипуляторы и поворотные платформы (см.
[6]) или TEM-волноводы множественных поляризаций
(рисунок A.9), которые предусматривают установку ИО к различной поляризации поля.
Рисунок B.1 - Пример установки ИО
для однополяризованного волновода
Рисунок B.2a - Вид сбоку
Рисунок B.2b - Поперечное сечение
Примечание - Пример расположения 3 x 3 проверочных точек однородной области в GTEM-камере согласно
пункту B.2.3. На
рисунке B.2b показан максимальный размер однородной области. Граница однородной области (плоскости) задается внешними точками. Проверочные точки не могут располагаться вне используемого объема испытаний (см.
5.2.2 и
рисунки A.6 -
A.9).
Рисунок B.2 - Проверочные точки однородной области
в TEM-волноводе
(обязательное)
ИСПЫТАНИЯ ИМПУЛЬСАМИ БОЛЬШОЙ АМПЛИТУДЫ (HEMP)
МАЛОЙ ДЛИТЕЛЬНОСТИ В TEM-ВОЛНОВОДАХ
Настоящее приложение устанавливает требования к испытаниям электрического или электронного оборудования на устойчивость к электромагнитным импульсам большой амплитуды (HEMP). Целью настоящего приложения является обеспечение производителей информацией для определения испытательного оборудования и небольших систем, а также для применения многих таких же методов испытаний на помехоустойчивость лабораторий IEC, которые уже предусмотрены для других целей в области электромагнитной совместимости.
Следует отметить, что для HEMP термин "симулятор" часто используется для описания различных видов испытательного оборудования, которое может генерировать корректный случай HEMP-оборудования (см. IEC 61000-4-32). В настоящем приложении данный термин относится только к TEM-волноводам, которые задают форму электромагнитного импульса большой амплитуды (HEMP).
Хоть настоящее приложение предназначено для установления требований к испытаниям электромагнитными импульсами большой амплитуды (HEMP) в TEM-волноводах в цепочке с другими видами испытаний, проводимых в TEM-волноводе, настоящее приложение охватывает испытания к переходным процессам, которые отличны по своей природе от испытаний непрерывной волной в важных направлениях. Когда требования к испытаниям импульсами большой амплитуды (HEMP) в настоящем приложении отличаются от установленных в основной части настоящего стандарта, требования к импульсам большой амплитуды заменяют все другие.
C.2 Испытания на помехоустойчивость
C.2.1 Общие положения
Испытания на устойчивость к импульсам большой амплитуды (HEMP) состоят из двух основных видов: испытания на устойчивость к излучаемым помехам и испытания на устойчивость к кондуктивным помехам. Для целей настоящего стандарта термин "электронное оборудование" обозначает аппарат, который выполняет определенную функцию. Это может быть небольшой компьютер или телефон. Некоторое оборудование (например, компьютер, подключенный к дополнительному периферийному оборудованию, такому как платы управления для мониторинга процессов на заводе) можно рассматривать как часть большей системы. Часто электронное оборудование является относительно небольшим - порядка 1 x 1 x 1 м или меньше. Ожидается, что большинство испытаний такого небольшого оборудования будет выполняться в лаборатории, использующей испытательное оборудование для подачи тока и TEM-волноводы.
При отсутствии объекта в имитаторе электрическое поле в испытательном объеме является волной, сравнимой с плоской волной, с временной характеристикой двойного экспоненциального импульса, описываемого волной 2,5/25 нс, т.е. униполярная волна с длительностью фронта импульса 2,5 нс по уровню от 10% до 90% и длительностью импульса, равной 25 нс. Форма импульса описывается формулой (C.1):

, (C.1)
где

;

;
k = 1,3;
E - основная составляющая электрического поля, В/м;
Epeak - пиковое значение напряженности электрического поля, В/м;
T - время, с.
Жесткость испытательного уровня
Epeak выбирается из
таблицы C.1.
При переходе в частотную область значения для
формулы (C.1) будут описываться формулой (C.2):

, (C.2)
где f - частота, Гц.
Для параметров сигнала, приведенного выше, амплитудно-частотное спектральное распределение из
формулы (C.2) показано на
рисунке C.1.
Примечание - Дополнительная информация приведена в
[23].
C.2.2 Испытательные установки, излучающие электромагнитные помехи
Небольшие испытательные установки могут более точно достигать желаемых характеристик поля с меньшими отклонениями варьируемых параметров, чем большие испытательные имитаторы. Эти небольшие установки используются в первую очередь для испытаний относительно небольшого оборудования. Отклонения формы импульса большой амплитуды (HEMP) во всем испытательном объеме для небольшой испытательной установки должны быть следующими:
- отношение пиковых амплитуд электрического и магнитного полей должно быть равно

;
- длительность фронта импульса по пиковому уровню от 10% до 90% должна быть (2,25 +/- 0,25) нс;
- напряженность электрического поля должна постоянно возрастать от 10% до 90% в течение фронта импульса;
- длительность импульса (длительность между фронтом и спадом импульса по уровню 50% от Epeak) должна быть (27,5 +/- 2,5) нс;
- величина напряженности электрического поля каких-либо нежелательных импульсов должна быть равна или быть меньше 7% от пикового значения напряженности поля;
- напряженность отраженного электрического поля от нагрузки испытательной установки должна быть меньше 10% от пикового значения напряженности поля;
- флуктуации напряженности электрического поля в сглаженном частотном спектре в центре испытательного объема не должны быть более +/- 3 дБ по сравнению с теоретическим спектром в диапазоне частот 100 кГц - 300 МГц;
- во время пикового значения основной составляющей поля значения побочных электромагнитных компонент (см.
3.1.19) должны быть меньше 10% от пикового значения основной составляющей поля. Следует отметить, что настоящее требование является более жестким, чем требование
пункта 5.2.1;
- пиковое значение электрического поля должно быть равномерным в испытательном объеме в пределах следующего критерия: пиковое значение электрического поля во всем испытательном объеме должно находиться в диапазоне между Epeak и 2·Epeak в течение всего времени испытания;
- оценка отклонений поля, измерений электрического и магнитного полей в центре и восьми углах испытательного объема должна выполняться при отсутствии ИО.
C.2.3 Требования к частотному спектру
В дополнение к требованиям к малой длительности полей, создаваемой имитаторами импульсов большой амплитуды (HEMP), существуют требования к частотному спектру создаваемого поля:
a) частотный спектр вычисляется с помощью равномерной выборки быстро изменяющегося фронта волны, состоящей из 4096 отсчетов, в интервале времени от 0 до 2 мкс. Частотный спектр по 4096 отсчетам рассчитывается с помощью быстрого преобразования Фурье (БПФ) или дискретного преобразования Фурье (ДПФ) с частотным интервалом 0,5 МГц и максимальной частотой до 1,0 ГГц;
b) частотный спектр должен быть сглажен с использованием усреднения по пяти измерениям в полосе (т.е. спектр должен быть усреднен в полосе 2 МГц);
c) полученные величины сглаженного спектра должны лежать в пределах определенного уровня спектра согласно
формуле (C.2), показанного на
рисунке C.1.
Примечание - Большинство измеряемых частотных спектров имеют случайные нули (или "провалы"), которые существенным образом не влияют на общее поведение длительности импульса. Требование, что сглаженный частотный спектр небольших и больших имитаторов лежит в пределах +/- 3 и +/- 10 дБ соответственно, установлено исходя из этого факта и с целью допущения провалов спектра. Спектральные пределы +/- 3 и +/- 10 дБ различны, так как небольшие имитаторы, как правило, имеют более высокие допуски и точность имитируемых полей.
C.3 Испытательное оборудование
Метод измерения предполагает использование волоконно-оптической линии передачи сигналов, что позволяет принимать и измерять сигналы системой обработки данных без искажений электромагнитного поля в окружающей среде. Измерительная система не должна быть чувствительной к электромагнитному излучению имитатора. Целями измерительной системы являются:
- обеспечение измерений эталонного поля;
- синхронизация моделируемого импульса с режимом работы испытуемого оборудования согласно требованиям пользователя;
- обеспечение измерений тока и напряжения ИО согласно требованиям пользователя.
Общая погрешность измерительной системы должна быть в пределах +/- 3 дБ в частотном диапазоне 50 кГц - 500 МГц, и общий мгновенный динамический диапазон должен быть не менее 40 дБ.
Рекомендуется, чтобы измерительная система имела следующие характеристики:
- система передачи данных должна иметь полосу пропускания как минимум 50 кГц - 1 ГГц по уровню 3 дБ;
- дигитайзер или осциллограф должны иметь минимальную полосу пропускания 500 МГц и минимальную частоту дискретизации 2 гига выборки в секунду с минимальным разрешением данных 8 бит;
- электрический и магнитный датчики поля должны иметь полосу пропускания как минимум 50 кГц - 1 ГГц по уровню 3 дБ. См. IEC 61000-4-23 для получения дополнительной информации о конструкции соответствующих датчиков.
Измерение поля должно состоять из измерения трех ортогональных электрических и трех ортогональных магнитных компонент поля, что позволяет осуществить оценку отношения электрического поля к магнитному, а также побочные компоненты электромагнитного поля. Пользователь также может указать другие измерения поля в испытательном объеме.
C.4 Организованное место для испытаний
Испытательный объем имитатора зависит от физических размеров и характеристик структуры TEM-волновода. Он определяется как объем, в котором случайные электромагнитные поля соответствуют требованиям к напряженности и однородности либо превышают их, как указано для моделирования испытания импульсом большой амплитуды (HEMP). Если ИО слишком большое по отношению к испытательному объему, то наведенный отклик системы будет отличаться от плоского фронта волны, а результаты испытаний будут сомнительны.
Для обеспечения точности моделирования необходимо минимизировать взаимодействие между ИО и имитатором путем размещения ИО на достаточном расстоянии от излучающих или волноводных элементов имитатора. ИО должно располагаться от проводников TEM-волновода не ближе чем 0,3 его общего поперечного размера. Если ИО должно устанавливаться на пластину заземления, то расстояние до внутренней проводящей границы должно быть 0,6 общего поперечного размера ИО.
ИО описывается в общем случае как ограниченный объем с размерами, определяемыми его наибольшими ортогональными размерами по высоте, ширине и длине. ИО должно вписываться в испытательный объем симулятора, как описано выше. Если "короткие" внешние проводники, подключающиеся к ИО, могут быть реально облучены имитатором, то эти кабели также используются в определенном объеме ИО. Если ИО испытывается в режиме свободного пространства, т.е. не устанавливается на пластину заземления, то оно должно устанавливаться на диэлектрическую подставку в симуляторе.
C.5.1 Общие положения
Испытания для кондуктивной и излучаемой помехоустойчивости проводятся отдельно. Для испытаний двумя видами воздействий одновременно требования не предъявляются.
Если вся система, включающая все "короткие" внешние проводники, может быть реально облучена, то проведение испытаний на устойчивость к кондуктивным помехам не требуется для этих кабелей. Кроме того, испытания на устойчивость к кондуктивным помехам на портах для подключения антенны необязательны, если антенна может быть испытана на воздействие имитируемых импульсов большой амплитуды (HEMP) с ориентацией антенны на максимальную чувствительность. Тем не менее все порты, подключаемые к линиям электропитания, телекоммуникационным и другим длинным линиям, должны испытываться на устойчивость к кондуктивным помехам.
Испытания на устойчивость к импульсам большой амплитуды (HEMP) должны проводиться в соответствии с программой испытаний, описывающей испытательное оборудование, жесткость испытания, параметры испытательного сигнала, климатические условия, основные режимы работы и требуемый критерий качества функционирования ИО. Окружающая среда (как климатическая, так и электромагнитная) лаборатории или испытательного оборудования не должна влиять на результаты испытаний. Во время испытания важно контролировать оборудование для классификации качества работы в соответствии с указанными требованиями. Если оборудование принимает и отправляет данные к другому оборудованию системы, то необходимо создать условия для отправки и приема идентичных или смоделированных данных во время испытания оборудования. Это должно позволить оценить качество работы оборудования во время испытания.
Если ИО не соответствует требованиям испытания и если оценочные измерения были произведены в рамках системы или оборудования, то датчики и кабели должны быть удалены, а испытание проводят еще раз, чтобы убедиться, что добавленные приборы не влияют на результаты испытания. В протоколе испытаний должны быть четко идентифицированы присутствующие внешние кабели, подключаемые к ИО, независимо от того, являются ли они частью оборудования или являются частью измерительной системы.
ИО должно быть испытано в каждом из наиболее важных режимов работы, как определено программой испытания. Для испытаний к кондуктивным помехам необходимо использовать две полярности (положительную и отрицательную) испытательного импульса. Для испытаний к излучаемым помехам требуется только одна полярность испытательного импульса.
Лабораторные испытания должны проводиться в климатических условиях, указанных в
7.2. В месте, не соответствующем для проведения испытаний к устойчивости, эти испытания могут использоваться для проверки устойчивости установленного оборудования и устойчивости систем. Для таких мест климатические условия, указанные в
7.2, выполнять желательно, но не обязательно.
C.5.2 Уровни жесткости и испытания на помехоустойчивость
Важно провести несколько испытательных воздействий ниже напряжения защиты устройства защиты от перенапряжения (SPDs), а также при напряжении на достаточно низком уровне, чтобы избежать электрического пробоя в системе, так как это может привести к ее повреждению. Таким образом, каждый уровень излучения испытательного воздействия будет состоять из трех реальных испытательных амплитуд, начиная двумя уровнями ниже требуемой жесткости испытания, которая, как предполагается, будет ниже уровня напряжения защиты, обеспечиваемого устройством защиты от перенапряжения, и порога электрического пробоя. Каждое испытательное воздействие должно быть одной и той же формы, как определено жесткостью испытания.
Для устойчивости к излучаемым импульсам должна быть определена жесткость испытания. По крайней мере два испытательных воздействия должно проводиться для каждой из трех амплитуд и каждого положения (см.
пункт B.4) и основных режимов работы ИО. Если испытательная установка включает возможность гипер-вращения (см.
[6]) ИО, то такая установка может использоваться для испытаний импульсами большой амплитуды (HEMP).
C.5.3 Порядок проведения испытаний
C.5.3.1 Измерения испытательных параметров
Климатические параметры, определенные в
7.2, должны измеряться испытателем и документироваться. Результаты валидации испытательного оборудования, состоящие из серии измерений электромагнитного поля в испытательном объеме без ИО, должны быть доступны испытателю. Данная валидация включает в себя оценку однородности поля и параметров формы испытательного воздействия, согласно процедуре
C.2.2 и
C.2.3. Результаты измерения должны быть занесены в протокол для каждого излучаемого импульса.
C.5.3.2 Порядок проведения испытаний на излучаемые помехи
Небольшие испытательные установки для испытаний на излучаемые помехи могут использоваться для испытания оборудования; однако испытания к кондуктивным помехам на всех портах для подключения кабелей также применяются. Небольшие системы могут быть испытаны в большом имитаторе импульсов большой амплитуды (HEMP) и возможно использовать его для устойчивости к кондуктивным помехам большинства портов. Однако длинные линии, такие как линии электропитания и телекоммуникационные линии, не могут быть адекватно испытаны в любом имитаторе импульсов большой амплитуды (HEMP). Следовательно, всегда необходимо проведение испытаний к кондуктивным помехам для данных портов.
Следует признать, что большие имитаторы импульсов большой амплитуды лучше подходят для проведения системных испытаний, где несколько единиц оборудования могут работать вместе. Однако проведение системных испытаний в таких имитаторах не является требованием настоящего стандарта.
Каждое испытание на устойчивость определенной жесткости включает три уровня воздействия: требуемый уровень и два следующих, менее жестких уровня. Если в настоящем стандарте установлен только один менее жесткий уровень, тогда должен применяться только этот, менее жесткий, уровень. Если установлен наименьший жесткий уровень, тогда необходимо применять только этот, наименее жесткий, уровень воздействия для испытаний на помехоустойчивость. Минимум два излучаемых импульса должны использоваться для каждого уровня воздействия.
C.5.3.3 Небольшое испытательное оборудование, излучающее электромагнитные помехи
Основным подходом, используемым в настоящей процедуре, является испытание оборудования и малых систем в лабораторном испытательном оборудовании, таких как TEM-волновод. ИО должно устанавливаться на диэлектрическую подставку высотой (0,1 +/- 0,01) м над пластиной заземления в испытательном объеме, и все кабели оборудования должны подключаться в соответствии с нормальным режимом работы оборудования. Соединение с заземлением должно находиться между пластиной заземления и ИО в соответствии с документами производителя. Необходимо контролировать и документировать длины и положения кабелей, связанных с ИО. Необходимо располагать кабели с минимальной связью электрической и магнитной компонент поля в испытательной установке. Дополнительные испытания к кондуктивным помехам должны проводиться отдельно, чтобы учесть связь этих кабелей.
ИО должно поворачиваться всеми сторонами к испытательному воздействию (обычно шестью сторонами), хотя из практических соображений можно еще ограничить количество поворотов. В дополнение применяется два вида поляризации.
Если метод контроля включает измерения с ИО, то присутствующие датчики и кабели должны аккуратно располагаться, чтобы свести к минимуму неблагоприятные воздействия на измерения. В частности, для таких измерений рекомендуется использование волоконно-оптических кабелей без металлических материалов.
C.5.4 Проведение испытания
Испытания должны проводиться в соответствии с программой испытаний. Испытательное воздействие должно применяться, когда ИО находится в основном режиме работы во время нормального функционирования в соответствии с программой испытания. Для каждого испытательного воздействия импульсы должны применяться с достаточным временем между ними, чтобы проверить наличие ухудшения в работе или повреждения в системе. После каждого испытательного воздействия определяются рабочие характеристики ИО.
C.5.5 Выполнение испытания на устойчивость к излучаемым помехам
Испытания должны проводиться в соответствии с программой испытаний, включая проверку работоспособности ИО, как определено требованиями стандарта на продукцию или, если таковые отсутствуют, технической документацией.
ИО должно находиться в нормальном режиме функционирования. Основная испытательная конфигурация состоит из рабочей конфигурации ИО, основных функциональных состояний, и должна быть разработана ориентация относительно направления распространения волны. Для каждой испытательной конфигурации в программе испытаний должно быть изложено:
- испытательный уровень воздействия и два низших уровня;
- количество испытательных воздействий на каждом уровне (по крайней мере два воздействия);
- точки приложения (PoEs) или порты, подлежащие оценке;
- описание расположения кабелей и проведения измерений;
- необходимое вспомогательное оборудование;
- полярность и угол падения имитируемого поля;
- сведения об испытательной установке, если она отличается от указанной в
C.4 настоящего стандарта;
- критерий определения соответствия либо несоответствия.
Рисунок C.1 - Частотный спектр в полосе 100 кГц - 300 МГц
Таблица C.1
Уровни испытаний к излучаемым помехам,
установленные в настоящем стандарте
Испытательный уровень | Испытание, необходимое для оборудования и систем со следующим классом защиты <a> | Значение пиковой напряженности поля Epeak <b>, кВ/м |
R1 | Концепция 4 | 0,5 |
R2 | Промежуточное значение | 1 |
R3 | Промежуточное значение | 2 |
R4 | Концепции 2A, 2B, 3 | 5 |
R5 | Промежуточное значение | 10 |
R6 | Промежуточное значение | 20 |
R7 | Концепции 1A, 1B | 50 |
RX | Специальное применение | X |
<a> Концепции классов защиты согласно IEC 61000-5-3. <b> В соответствии с IEC 61000-2-11, таблица 2. |
(справочное)
ОПРЕДЕЛЕНИЕ ХАРАКТЕРИСТИК TEM-ВОЛНОВОДОВ
В настоящем приложении описываются основные характеристики TEM-волны, включая аспекты распространения и поляризации. Также представлены различные категории TEM-волноводов наряду с ограничениями, связанными с испытательными объемами и рабочими частотами.
D.2 Различие между волновым полным сопротивлением и характеристическим полным сопротивлением
TEM-волновод является передающей линией. Волновое и характеристическое полные сопротивления передающей линии без потерь определяются согласно
[33].
Волновое полное сопротивлением

определяется как отношение поперечных компонент поля, которые могут быть рассчитаны при условии зависимости

по формуле

, (D.1)
где

- волновое полное сопротивление;

- поперечная компонента электрического поля;

- поперечная компонента магнитного поля;

- проницаемость диэлектрика передающей линии (обычно воздух);

- диэлектрическая постоянная передающей линии (обычно воздух);

- постоянная распространения;

- излучаемая частота.
Это волновое полное сопротивление далее рассматривается как идентичное собственному полному сопротивлению среды и является общим результатом для TEM-передающих линий.
Характеристическое полное сопротивление округло-цилиндрической коаксиальной линии определяется по формуле

(D.2)
где Zc - характеристическое полное сопротивление коаксиальной линии;
V0 - напряжение в коаксиальной линии;
I0 - ток в коаксиальной линии;

- поперечная компонента электрического поля;

- поперечная компонента магнитного поля;
h - 2h = ri, где ri - радиус внутреннего проводника;
a - a = ra, где ra - радиус внешнего проводника,
где используются формы

и

из
[7]. Характеристическое полное сопротивление зависит от геометрической формы и будет различным для других конфигураций передающей линии.
Формулы (D.1) и
(D.2) показывают, что в общем волновое и характеристическое полные сопротивления не равны. Так как TEM- и гигагерцовые TEM-камеры и полосковые линии из двух и трех пластин являются, по существу, двухпроводниковыми передающими линиями, которые создают TEM-вид колебаний, то в общем волновое и характеристическое полные сопротивления в этих устройствах также не будут равны.
D.3.1 Общие положения
TEM-волны наиболее легко описываются в условиях их распространения в свободном пространстве. Следующие два подпункта содержат несколько уравнений и критерий для обоих случаев открытого пространства и волновода.
D.3.2 TEM-вид колебаний в открытом пространстве
При TEM-виде колебаний оба вектора электрического и магнитного поля полностью поперечны к направлению распространения энергии (вектор Пойнтинга

). В направлении распространения

или

компоненты отсутствуют.

. (D.3)
Для "открытого пространства" отношение

и

приведены в формуле

. (D.4)
Основные свойства TEM-вида колебаний:
- в направлении передачи компоненты поля отсутствуют;
- отношение между

и

составляет около

.
Примечание - Указанная выше ситуация выполняется при большом расстоянии от передающей антенны. Поэтому TEM-вид колебаний часто называется "условия дальнего поля" по отношению к антенне.
D.3.3 Волновод
Классический волновод для радиочастотных применений состоит из одной замкнутой проводящей поверхности. Можно доказать, что TEM-вид колебаний не может распространяться в таких волноводах. Только TE- и/или TM-виды колебаний являются возможными. Поэтому TE- и/или TM-виды колебаний имеют специфическую частоту среза, распространение волны является возможным только выше этой частоты. Двойное или многосвязанное поперечное сечение необходимо, чтобы распространить TEM-вид колебаний внутри волновода (многопроводная передающая линия, такая как TEM-камера, полосковая линия или открытый TEM-волновод). Каждая пара из двух проводников создает систему для возможного специфического распространения TEM-вида колебаний. В качестве примера на
рисунке D.2 показано, что возможно распространение двух отдельных TEM-видов колебаний. Каждый из этих TEM-видов колебаний имеет одинаковые свойства, как TEM-вид колебаний в свободном пространстве.
Примечание - Каждая пара проводников формирует передающую систему TEM-вида колебаний. Внутри коаксиальной линии энергия сигнала транспортируется посредством TEM-вида колебаний.
D.4 Распространение волны
D.4.1 Общие положения
Волновое распространение описывает конфигурацию равнофазных линий и поверхностей поля.
D.4.2 Сферическое распространение
Этот тип распространения является наиболее распространенным в открытом пространстве в дальней зоне. Обычно оно вызывается точечным источником, подобным единичной антенне. Амплитуда поля уменьшается с увеличением расстояния до источника.
D.4.3 Распространение в открытом пространстве плоской волны
Фронт волны может рассматриваться как плоскость на очень далеком расстоянии от антенны. Этот вид распространения будет наблюдаться внутри волновода из параллельных пластин, где амплитуда поля является константой и не зависит от расстояния до источника.
D.4.4 Скорость распространения
Фазовая скорость TEM-вида колебаний при распространении в свободном пространстве и в TEM-волноводах равна скорости света
c0. Она зависит только от диэлектрической постоянной

и диэлектрической проницаемости пространства

.
D.5.1 Вектор поляризации
Направление вектора электрического поля обозначает вектор поляризации.
D.5.2 Линейная и эллиптическая поляризация
Как правило, направление вектора поляризации изменяется с течением времени. Кривая, представленная вершиной вектора поляризации, показана на
рисунке D.3 и определяет тип поляризации.
Из ссылки
[7] форма кривой поляризации может быть рассчитана по следующей процедуре. Поперечный вектор электрического поля определяется как:

. (D.5)
Первый член последовательности представляет TEM-тип колебаний, поэтому комплексный вектор может быть записан как:

. (D.6)
Вектор может быть разделен на реальную и мнимую части

. (D.7)
Векторы

и

определяют фиксированную плоскость. В общем вершина вектора

движется по эллипсу. Если векторы

и

параллельны, то

движется по фиксированной линии. Этот случай называется линейной поляризацией. Любой отдельный вид колебаний является в действительности линейно поляризованным. Только взаимодействие с другими видами колебаний приводит к круговой поляризации. Преднамеренно создаваемые TEM-виды колебаний для проведения испытаний в TEM-волноводах обычно линейно поляризованы.
D.6.1 Общие положения
Наиболее простая версия TEM-волновода представляет собой двухпроводниковую передающую линию как показано на
рисунке D.5.
Всю передающую линию можно разделить на три секции.
a) Секция подачи питания.
Это порт, через который генератор сигнала или измерительный приемник подключается к TEM-волноводу.
b) Секция TEM-волновода.
Обычно она содержит испытательный объем.
c) Секция нагрузки.
Обычно нагрузка представляет собой реальный или эквивалентный резистор, который равен характеристическому полному сопротивлению передающей линии (либо TEM-волновода).
Для большинства двухпортовых TEM-волноводов секции питания и нагрузки геометрически идентичны и поэтому взаимозаменяемы. Коаксиальный разъем применяется для обоих портов. Некоторые TEM-волноводы основываются на сбалансированной передающей линейной системе, в которой необходимо применение согласующего трансформатора полного сопротивления.
Во-первых, TEM-волноводы могут классифицироваться по геометрии на открытые и закрытые. Конструкция TEM волновода называется закрытой, когда один проводник полностью окружает другой проводник. В этих случаях внешний проводник также выполняет роль электромагнитного экрана.
Во-вторых, существуют однопортовые и двухпортовые TEM-волноводы. Эта классификация определяется нагрузкой TEM-волновода. Обычно TEM-волновод используют в условиях согласованной нагрузки. Простейшим способом согласования двухпортового TEM-волновода является подключение сосредоточенной нагрузки, равной характеристическому полному сопротивлению на одном порту. В этом случае предполагается, что геометрия TEM-линии завершается разъемами (плавный волноводный переход), является хорошо сконструированной для широкополосного согласования (см.
рисунок D.4).
Для однопортового TEM-волновода нагрузка изготавливается из распределенных резисторов и/или в комплекте с безэховыми поглотителями. Этот тип нагрузки может применяться в диапазоне частот до нескольких ГГц в различных геометрических конструкциях. Широкий частотный диапазон двухпортового TEM-волновода имеет преимущество возможности измерения отраженной и передаваемой мощности на обоих портах.
Внутренние проводники могут состоять как из единичного провода, так и из множества проводов, соединенных параллельно, а также представлять собой одну или множество пластин, соединенных параллельно. Для многопроводных систем возбуждаемая амплитуда и фаза могут быть преднамеренно изменены, чтобы регулировать доминирующую поляризацию в испытательном объеме.
Внутренний проводник может устанавливаться либо симметрично, либо несимметрично по отношению к внешнему проводнику. Преимуществом асимметричного TEM-волновода является больший испытательный объем.
D.6.2 Открытые TEM-волноводы (полосковые линии и так далее)
Простой открытый TEM-волновод может быть построен с помощью пластины, установленной над проводящей заземленной пластиной. Генератор или измерительный приемник (типовое полное сопротивление 50 Ом) подключается к одному порту, а другой порт согласованно нагружается в соответствии с характеристическим полным сопротивление передающей линии. Постоянное распределение напряжения/тока через структуру достигается за счет подходящего согласованного полного сопротивления. Эта геометрическая структура называется двухпортовым TEM-волноводом.
Главным недостатком открытых TEM-волноводов является потеря энергии через излучение. Это нежелательное излучение приводит к возникновению перекрестных помех в оборудовании испытательной системы. Экранированная камера для открытых TEM-волноводов, безусловно, необходима, особенно при проведении испытаний на устойчивость к длительным синусоидальным помехам.
D.6.3 Закрытые TEM-волноводы (TEM-камеры)
Главным преимуществом закрытой TEM-волноводной конструкции является наличие собственного экранирования. Все испытания на помехоустойчивость могут проводиться без генерации каких-либо помех в окружающее пространство. Другим преимуществом является то, что камера - не симметричная система, поэтому согласующее устройство не требуется. Наконец, в общем TEM-волновод не имеет ограничения по низкой частоте. Из этих соображений в закрытых TEM-волноводах можно проводить испытания к кратковременным импульсным помехам.
Примечание - Для TEM-волноводов с симметричным питанием ограничения по низкой частоте могут возникнуть из-за согласующего устройства.
D.7 Ограничения по частоте
Работа TEM-волновода основывается на предположении, что TEM-вид колебаний имеет структуру поля, идентичную плоской волне в открытом пространстве на определенной части поперечного сечения камеры. Поэтому использование TEM-волновода при проведении испытаний на помехоэмиссию и помехоустойчивость требует распространения TEM-вида колебаний во всем используемом диапазоне частот.
Для заданной частоты из рабочего диапазона частот пустого волновода волна пройдет через поперечное сечение, размер которого позволяет распространение вида колебаний, отличных от TEM. Для заданного типа колебаний, отличного от TEM, точка вдоль длины волновода, в которой может распространяться данный вид колебаний, зависит от частоты и смещается обратно в сторону точки подвода питания с возрастанием частоты. Колебания самого низкого порядка, отличные от TEM-вида колебаний (типично TE10), смогут распространяться, когда размеры одного поперечного сечения волновода превышают половину длины волны в свободном пространстве на этой частоте. Колебания самого высокого порядка возбуждаются изначально видом колебаний, преобразуемым из TEM-вида колебаний. Энергия преобразования между двумя видами колебаний происходит из-за неоднородностей в структуре волновода, что может связать два вида колебаний.
На практике много открытых и закрытых TEM-волноводов включают некоторые типы вспененных или ферритовых безэховых поглотителей для минимизации или удаления видов колебаний высших гармоник и нераспространения распределенных полей из-за резонанса. Характеристики TEM-вида колебаний могут существенно сохраняться, если они установлены в подходящих местах по отношению к модальному распределению поля. В общем случае с подходящей комбинацией поглощающей нагрузки и входного/выходного конусообразного проводника многие TEM-волноводы работают в TEM-виде колебаний до частот нескольких ГГц и выше. Положение подходящего поглотителя определяется формой входных/выходных конусов и секцией испытательного объема. Недостатком для многих TEM-волноводов с панелью-поглотителем в секции испытательного объема является то, что коэффициент поля
e0y (см.
A.3.2.3.3), используемый в корреляционном алгоритме измерения эмиссии не может быть рассчитан аналитически в течение более долгого времени. Это может привести к высокой неопределенности измерений.
Для любого TEM-волновода с или без поглотителя рабочий диапазон частот должен быть установлен с применением методов, описанных в настоящем стандарте (см.
5.2.1 и
5.3.2).
Более полная информация об однородности поля и резонансных частотах приведена в
[17] и
[19]. Для TEM-волноводов без поглотителя резонансные частоты зависят от геометрии конструкции TEM-волновода. В двух портовых TEM-камерах они возникают между определенным поперечным сечением питающей секции и секцией нагрузки, называемой "граничные положения
zc". Каждая более высокая гармоника вида колебаний имеет другое граничное положение в зависимости от типа вида колебаний. Внутри между портом и граничным положением поле определенного вида не может распространяться. Резонанс возникает, если расстояние между двумя граничными положениями является кратным половине длины волны. Для обеспечения симметрии поле резонанса должно иметь максимум или быть равным нулю в середине камеры при
z =
zsym. Резонансные частоты видов колебаний поля могут быть аналитически рассчитаны по формуле

, (D.8)
при n = 0, 1, 2, 3, ... и K3, K4 = f(z, a, k, kc, JV) и kc = f(zc, a, mode).
Константы K1 - K4 могут быть рассчитаны аналитически. K1 выбирается равным 1. Поэтому K2 будет равно 0. K3 и K4 могут быть записаны в следующем виде:

(D.9)
Более подробная информация приведена в
[19].
Поперечное сечение волновода с одиночным соединением
Рисунок D.1 - Простой волновод (без TEM-вида колебаний)
Поперечное сечение волноводов с тройным соединением
Рисунок D.2 - Пример волноводов для распространения
TEM-вида колебаний
Рисунок D.3 - Вектор поляризации
Рисунок D.4 - Модель передающей линии
для распространения TEM-вида колебаний
Рисунок D.5 - Однопортовый и двухпортовый TEM-волноводы
(справочное)
МЕТОД КАЛИБРОВКИ ДАТЧИКОВ ЭЛЕКТРИЧЕСКОГО ПОЛЯ
В TEM-ВОЛНОВОДАХ
Датчики электрического поля с широкой частотной полосой и большим динамическим диапазоном амплитудно-частотной характеристики чаще всего используются в процедуре проверки однородности поля согласно требованиям настоящего стандарта. Кроме того, качество калибровки датчика поля напрямую влияет на бюджет неопределенности при испытании на устойчивость к излучаемому электромагнитному полю.
В общем случае в зависимости от выбранного испытательного уровня при испытании на устойчивость к излучаемому электромагнитному полю датчики могут облучаться полем до 200 В/м и даже более при проведении процедуры проверки однородности поля согласно требованиям настоящего стандарта. Поэтому необходимо убедиться, что калибровка датчиков поля, использующихся в рамках настоящего стандарта, соответствует требованиям к частотному и динамическому диапазонам.
Текущие результаты калибровки датчика показывают разные значения, когда калибровка проводится в различных калибровочных лабораториях. Поэтому должны быть определены условия окружающей среды и метод калибровки пробника поля. Настоящее приложение содержит процедуры проверки TEM-волновода, которые применяются для калибровки датчика и предоставляют необходимую информацию о калибровке датчиков поля, применяемых согласно требованиям настоящего стандарта при измерении однородности поля, для сравнения с нормируемым значением этих разностей при оценке результатов.
E.2 Требования к калибровке датчика поля
E.2.1 Общие положения
Калибровка датчиков электрического поля, предназначенных для применения при процедуре проверки области однородности поля, как определено в настоящем стандарте, должно удовлетворять следующим требованиям. Область однородного поля представляет собой гипотетическую вертикальную плоскость при калибровке поля, в которой разницы значений между точками калибровки приемлемо малы.
E.2.2 Калибровка частотного диапазона
Частотный диапазон должен нормально охватывать наивысшую частоту, которая определяется размером и структурой TEM-волновода. Максимальный размер головки датчика электрического поля lpmax должен быть меньше чем 1/4 длины волны на максимальной частоте калибровки fcmax, чтобы предотвратить возможный резонанс. Поэтому максимальная частота задается размером головки датчика:

, (E.1)
где c0 - скорость света.
Например, когда наибольший размер головки электрического датчика
lpmax равен 2,5 см, тогда максимальная частота задается как 3 ГГц из
уравнения (E.1). Если частота превышает максимальную частоту, которая определяется проверкой TEM-вида колебаний, приведенной в
5.2.1, то калибровка проводится вплоть до максимальной частоты, определенной проверкой TEM-вида колебаний.
Размеры объема калибровки, который должен быть, как правило, в виде куба или параллелограмма, должен быть менее 20% расстояния между внутренним и внешним проводниками (высота септа). Центр объема, где датчик электрического поля может быть откалиброван, должен располагаться в центре высоты септа.
Проверка объема должна проводиться по точкам сетки куба. Интервал сетки между двумя калибровочными точками выбирается равным около 10% высоты септа. Датчик электрического поля или сенсор для проведения проверки должен быть малым, насколько это возможно. Датчик поля или сенсор не должен быть калиброван в обязательном порядке.
Примечание 1 - Например, когда размеры объема калибровки представлены 20-сантиметровым кубом, то интервал сетки равен 10 см и количество точек измерения равно 27, как показано на
рисунке E.1.
Процедура проверки объема состоит в следующем:
a) электрическое поле измеряется во всех точках с использованием метода постоянной подводимой мощности, приведенный в
5.2.3. Частоты должны выбираться согласно
E.2.6;
b) рассчитывается стандартное отклонение для измеренных электрических полей;
c) стандартное отклонение должно быть менее 1,0 дБ для однопортового TEM-волновода и 0,6 дБ для двухпортового TEM-волновода.
Примечание 2 - Основание для этих стандартных отклонений приведено в
[51].

- центральная точка;

- точки измерения
Рисунок E.1 - Пример выбора точек измерения для проверки
E.2.4 Размеры датчика
Размеры головки датчика поля должны быть менее 10% расстояния между внутренним и внешним проводниками (высота септа)
h (см.
5.2.3). Размеры пробника также должны быть меньше, чем объем калибровки (см.
E.2.3).
E.2.5 Возмущения в TEM-волноводе, вызванные датчиком поля
Возмущения в TEM-волноводе, вызванные датчиком поля, включая измерительную аппаратуру, должны быть проведены с и без датчика поля.
Примечание - Возмущение зависит не только от возмущений, вызванных измерительной аппаратурой, но также линейностью TEM-волновода.
Рисунок E.2 - Расположение оборудования
для проверки возмущения
Пример расположения измерительного оборудования для проверки отражен на
рисунке E.2. Усилитель мощности, генератор сигнала, двунаправленный ответвитель и измеритель мощности должны быть подключены к TEM-волноводу таким же образом, как и при калибровке датчика. Антенна в виде монополя используется для измерения электрического поля. Небольшое отверстие делается в заземленной пластине, к которой затем присоединяется антенна. Датчик электрического поля, оказывающий меньшее влияние, например оптический датчик электрического поля с LiNbO
3 электро-оптическим кристаллом, также может применяться взамен монопольной антенны. При применении сенсора отверстие не нужно. Антенна или сенсор не должны быть калиброваны в обязательном порядке. Монопольная антенна подключается к анализатору спектра для измерения выхода антенны. Металлический куб, который имеет размеры калибруемого объема, может использоваться как датчик поля.
Процедура проверки возмущения проводится следующим образом:
a) установить частоту без датчика поля и обеспечить подаваемую мощность на TEM-волновод;
b) измерить уровень мощности и записать значение на анализаторе спектра;
c) увеличить мощность и повторить шаг
b);
d) изменить частоту (см.
E.2.6) и повторить шаги
a) -
c);
e) когда измерения проведены для всех частот, установить датчик поля и повторить шаги
a) -
d);
f) проверить возмущение по записанным данным входной мощности.
Разница между возмущением с датчиком и без датчика должна быть меньше, чем неопределенность измерителя мощности и анализатора спектра.
Примечание - См.
[52] и
[53] для определения неопределенности. Некоторые производители измерительной аппаратуры указывают неопределенность измерений аппаратуры.
Для того чтобы была возможность сравнивать результаты испытаний между различными лабораториями, необходимо использовать для калибровки фиксированные частоты, см. таблицу E.1.
Таблица E.1
Частоты калибровки
Диапазон частот | Типовые частоты калибровки, МГц |
от f0 до 1 ГГц | f0, 50, 100, 150, 200, ..., 950, 1000 |
Свыше 1 ГГц | 1000, 1200, 1400, ... |
Примечание - f0 - минимальная частота калибруемого датчика. |
E.2.7 Напряженность поля
Напряженность поля, на которой датчик калибруется, должна быть основана на напряженности поля, требуемой для проведения испытаний на помехоустойчивость. Так как предпочтительный метод проверки однородности поля проводится при напряженности поля, которая как минимум в 1,8 раза больше напряженности поля, применяемой при проведении испытаний, то рекомендуется проводить калибровку датчика поля при двойной напряженности поля, как показано в
таблице E.2.
Примечание - Это также охватывает требование к усилителю мощности по 1 дБ насыщению.
Таблица E.2
Уровни калибровки напряженности поля
Калибровочный уровень | Калибровочная напряженность поля, В/м |
1 | 2 |
2 | 6 |
3 | 20 |
4 | 60 |
X | Y |
Примечание - X, Y - открытые калибровочные уровни (могут быть заданы в документах на продукцию или испытательной лабораторией). |
E.3 Требования к калибровочному оборудованию
E.3.1 Характеристики TEM-волноводов
TEM-волноводы могут применяться для установки стандартных полей для калибровки датчиков поля. Поле в центре TEM-камеры между септом и верхней или нижней пластинами рассчитывается из формулы

, (E.2)
где Z0 - характеристическое полное сопротивление TEM-камеры (обычно 50 Ом),
Pnet - мощность, определенная согласно
E.3.4, Вт,
h - расстояние между септом и верхней или нижней пластиной, м.
Примечание 1 - Поле в средней точке между двумя проводниками определяется по
формуле (E.2).
Примечание 2 -
Формула (E.2) справедлива только для TEM-вида колебаний.
Коэффициент стоячей волны по напряжению (КСВН) TEM-камеры должен сохраняться малым, т.е. менее 1,3, для минимизации неопределенности измерений.
При альтернативном методе измерения Pnet должен применяться калиброванный аттенюатор с низким КСВН и измеритель мощности, подключенный к выходному порту TEM-волновода (только для двухпортовых TEM-волноводов).
E.3.2 Гармоники и нежелательные сигналы
Любые гармоники или нежелательные сигналы от усилителя мощности должны быть как минимум на 20 дБ ниже уровня на несущей частоте. Это необходимо для всех уровней напряженности поля при проведении калибровки и при проверке линейности. Так как содержание гармоник усилителей мощности обычно хуже при высоких уровнях мощности, то измерение гармоник может проводиться только при самой высокой калибровочной напряженности поля. Измерение гармоник может проводиться с применением калиброванного анализатора спектра, который подключается к выходу усилителя через аттенюатор или направленный ответвитель.
Калибровочные лаборатории должны проводить измерения для проверки того, что гармоники и/или нежелательные сигналы от усилителя удовлетворяют требованиям для всех измерительных конфигураций. Это может быть сделано подсоединением анализатора спектра к порту 3 направленного ответвителя [заменяя датчик измерителя мощности на вход анализатором спектра (см.
рисунок E.3)].
Примечание - Необходимо гарантировать, что уровень мощности не превышает максимально допустимый входной уровень анализатора спектра. Аттенюатор может применяться.
Полоса частот должна охватывать как минимум третью гармонику основной излучаемой частоты. Проверочные измерения должны проводиться при уровне мощности, который генерирует максимальную требуемую напряженность поля. Фильтр для подавления гармоник может применяться для улучшения спектральной чистоты усилителя(ей) мощности.
Примечание - "Требуемая частота" означает максимальную частоту, которая должна калиброваться.
E.3.3 Корпус датчика
Корпус датчика может создавать отражения электромагнитных полей при проведении калибровки датчика. Корпус должен быть сделан из материала с относительной проницаемостью менее 1,2 и тангенсом диэлектрических потерь

менее 0,005.
E.3.4 Измерение подаваемой мощности на передающее устройство с использованием направленных ответвителей
Подаваемая мощность, передаваемая на передающее устройство, может быть измерена при помощи четырехпортового двунаправленного ответвителя или двух трехпортовых одиночных направленных ответвителей, соединенных встречно друг с другом (формируя так называемый двойной направленный ответвитель). Общая схема с применением двунаправленного ответвителя для измерения подаваемой мощности на передающее устройство отражена на
рисунке E.3. Прямая связь и обратная связь определяются следующими формулами для случая, когда каждый порт соединен с согласованной нагрузкой и согласованным источником:

, (E.3)

, (E.4)
где P1, P2, P3 и P4 - это соответствующие значения мощности на каждом порту направленного ответвителя.
Подаваемая мощность, передаваемая на передающее устройство, определяется формулой

, (E.5)
где PM1 и PM2 - значения измерителя мощности в единицах линейных измерений.
Если КСВН TEM-волновода известен, то может применяться одиночный трехпортовый ответвитель. Например, когда TEM-волновод имеет КСВН, равный 1,5, то это эквивалентно коэффициенту отражения по напряжению (VRC), равному 0,2.
Точность определяется направленностью ответвителя. Направленность - это мера способности ответвителя изолировать подаваемый сигнал от отраженного. Для хорошо согласованного передающего устройства отраженная мощность намного меньше, чем подаваемая мощность. Эффект направленности является поэтому менее важным, чем отражения в устройстве. Например, когда TEM-волновод имеет КСВН, равный 1,5, и ответвитель имеет направленность 20 дБ, абсолютная максимальная неопределенность, подаваемой мощности из-за окончательной направленности составляет 0,22 - 0,18 дБ = 0,04 дБ при U-образном распределении (где 0,22 дБ являются потерями падающей мощности от КСВН, равном 1,5).
Подаваемая мощность, передаваемая на передающее устройство, определяется формулой

. (E.6)
Рисунок E.3 - Общая схема для измерения подаваемой мощности
на передающее устройство
E.4 Калибровка датчика поля
E.4.1 Методы калибровки
Хотя три метода калибровки приведены в
[53], обычно применяются два метода. Стандартный метод калибровки поля, использующий расчет напряженностей поля, применяется для двухпортового TEM-волновода (см. E.4.2). Метод калибровки, использующий стандарт передачи (т.е. датчик поля калибруется по отношению к аналогичному датчику), применяется для однопортового TEM-волновода.
E.4.2 Процедура калибровки для двухпортового TEM-волновода
Для двухпортового TEM-волновода может применяться стандартный метод калибровки датчиков. На
рисунке E.4 показан пример схемы расположения оборудования для калибровки датчика электрического поля. Если уровень электрического поля, подаваемая и отраженная мощности считываются вручную, то компьютер нет необходимости применять. Калибровочная процедура должна выбираться в соответствии с типом TEM-волновода. Процедура для проведения калибровки в случае двухпортового TEM-волновода должна быть следующей:
a) изотропный датчик напряженности электрического поля располагают в центре высоты септа;
b) прикладывают подаваемую мощность на входной порт TEM-волновода таким образом, чтобы первичная компонента поля находилась в диапазоне от 6 до 20 В/м во всем диапазоне частот, определенном в
E.2.2 с шагом частоты, определенным в
E.2.6, и записать все значения подаваемой и отраженной мощностей, первичной и вторичной компонент напряженности поля;
d) рассчитывают номинальную первичную напряженность электрического поля по
формуле (E.2) как
Eapprox.
Примечание - Коэффициент калибровки может изменяться в зависимости от того, как датчик установлен. Также для устранения влияния всех частей, отличных от головки датчика, применяют метод расположения только головки датчика в верхней части TEM-волновода.
Коэффициент калибровки Fp можно получить из формулы:

, (E.7)
где Em - измеренная первичная составляющая напряженности поля.
Рисунок E.4 - Пример схемы расположения оборудования
для калибровки датчика электрического поля
E.4.3 Процедура калибровки для однопортового TEM-волновода
E.4.3.1 Метод передачи
В общем случае отклонения измеренной напряженности электрического поля от напряженности поля, приведенной в
формуле (E.2), находятся в пределах +/- 0,5 дБ для всех частот в случае двухпортового TEM-волновода. Тем не менее отклонение может быть +/- 3 дБ или +/- 4 дБ в случае однопортового TEM-волновода. Поэтому метод калибровки, приведенный в
E.4.2, не должен применяться в однопортовых TEM-волноводах. В этом случае калибровка может проводиться с использованием метода передачи.
Передающий датчик может применяться для определения стандартных полей в генерирующем поле устройстве (рабочее стандартное устройство). Характеристика передающего датчика может быть определена либо теоретическими расчетами (для датчиков в виде диполя), либо калибровками, проводящимися согласно некоторым методам (например, может применяться метод трех антенн в безэховой камере). Другой метод применяется для небольших (допускает более высокую частоту) двухпортовых TEM-камер. Это, конечно, требует, чтобы передающий датчик был достаточно небольшим. Так как передающие функции рабочих стандартных устройств известны, то калибровка датчика может проводиться на других уровнях мощности, при условии линейности характеристик рабочего стандартного устройства. Возможные дополнительные ошибки из-за различий в условиях калибровки (например, калибровочная площадка, размер, ориентация) для передающих стандартов, а также отличия в кривых между передающим стандартом и калибруемым датчиком должны быть приняты во внимание.
Примечание 1 - Обычно любые отличия в условиях калибровки между эталонной калибровкой и действительной обстановкой в калибровочной лаборатории будут вводить систематические ошибки. К тому же передающий стандарт, используемый в калибровочной лаборатории, должен в идеале иметь аналогичную геометрию и конструкцию датчика, который в действительности будет калиброваться. Если это не является случаем дополнительных систематических ошибок, которые возникнут, чтобы быть определенными количественно.
Процедура проведения калибровки с использованием передающего датчика должна быть следующей:
a) устанавливают передающий датчик в центр высоты септа;
b) подводят подаваемую мощность на входной порт TEM-волновода во всем диапазоне частот, установленном в
E.2.2, с шагом частоты, установленным в
E.2.6, и записывают все значения подаваемой и отраженной мощностей, первичной компоненты напряженности поля (или выходное напряжение передающего датчика).
Примечание 2 - Если измеряются выходные напряжения, то они должны быть преобразованы в напряженность электрического поля;
d) заменяют передающий датчик на калибруемый изотропный датчик напряженности электрического поля;
e) подводят такую подаваемую мощность, чтобы она была аналогична мощности в шаге
b); записывают первичную составляющую напряженности поля.
Коэффициент калибровки Fp, может быть получен по формуле:

, (E.8)
где ET - первичная составляющая напряженности поля, полученная передающим датчиком.
Метод передачи является точным, если выполняются следующие условия:
- схема расположения оборудования не изменялась между передающей и калибровочной процедурами;
- положение датчика при измерениях воспроизводимое;
- передаваемая мощность оставалась одинаковой;
- калибруемый датчик по конструкции (размер и элементы конструкции) аналогичен передающему датчику;
- кабели, соединяющие головку датчика и считывающее устройство, не мешают либо поддерживают поле;
- рабочее стандартное устройство в значительной степени безэховое.
| | ИС МЕГАНОРМ: примечание. В официальном тексте документа, видимо, допущена опечатка: п. [55] отсутствует. | |
Более подробную информацию об этом методе см. в
[54] и [55].
E.4.3.2 Метод оценки электрического поля в калибровочном положении
Если передающий датчик отсутствует, то датчик может быть откалиброван другим методом. При этом используется монопольная антенна, указанная в
E.2.5 (см.
рисунок E.5). Калибровочная процедура должна быть следующей:
a) располагают монопольную антенну на заземленной пластине;
b) подводят подаваемую мощность на входной порт TEM-волновода во всем диапазоне частот, установленном в
E.2.2, с шагом частоты, установленным в
E.2.6, и записать все значения подаваемой и отраженной мощностей и данные анализатора спектра,
Pnmono;
c) рассчитывают напряженность электрического поля в положении монополя Emono, используя коэффициент калибровки антенны;
e) убирают монополь, затем небольшой датчик электрического поля (например, оптический датчик электрического поля) помещают на место, где был расположен монополь;
f) подводят такую подаваемую мощность, чтобы она была аналогична мощности в шаге
b); записывают первичную составляющую напряженности поля или данные от датчика на анализаторе спектра (
EM или
PM).
Примечание - Небольшой датчик электрического поля нет необходимости калибровать. Несмотря на то, что датчик электрического поля может применяться, калиброванный датчик применяться не должен;
g) располагают небольшой электрический датчик поля в положение для калибровки (обычно центральная точка высоты септа);
h) подводят такую подаваемую мощность, чтобы она была аналогична мощности в шаге
b); записывают первичную составляющую напряженности поля или данные от датчика на анализаторе спектра (
EC или
PC).
Рисунок E.5.a - Применение монопольной антенны
Рисунок E.5.b - Применение небольшого датчика
электрического поля
Рисунок E.5 - Схема расположения оборудования для калибровки
датчика электрического поля другим методом
Эталонное электрическое поле может быть рассчитано по следующим уравнениям:

. (E.9)
Коэффициент калибровки Fp может быть получен по формуле:

, (E.10)
где Em - первичная составляющая напряженности поля, полученная калибруемым датчиком.
Процедура коэффициента калибровки монопольной антенны устанавливается в E.4.3.3.
E.4.3.3 Расчет коэффициента калибровки антенны из полного сопротивления антенны при использовании эквивалента длины
| | ИС МЕГАНОРМ: примечание. В официальном тексте документа, видимо, допущена опечатка: п. [56] отсутствует. | |
Полное сопротивление антенны может быть получено путем измерения коэффициента отражения антенны с помощью сетевого анализатора или расчета с помощью формулы Лабуса [56] или другими цифровыми методами, такими как метод моментов.
Рисунок E.6 - Эквивалентная схема антенны
и измерительной аппаратуры
Эквивалентная схема приемной антенны и измерительной аппаратуры показана на
рисунке E.6. Напряжение на зажимах антенны
V0 получаем по следующей формуле:

, (E.11)
где Z0 и Zant - характеристическое полное сопротивление аппаратуры и полное сопротивление антенны соответственно;
E - электрическое поле на месте, где расположен элемент антенны;
le - эффективная длина антенны, которая рассчитывается по формулам:

(E.12)

, (E.13)
где
l и

- элементы длины антенны и длина волны соответственно.
Коэффициент антенны AF выражается через электрическое поле и напряжение на зажимах по следующей формуле:

. (E.14)

. (E.15)
(справочное)
СВЕДЕНИЯ О СООТВЕТСТВИИ ССЫЛОЧНЫХ МЕЖДУНАРОДНЫХ СТАНДАРТОВ
МЕЖГОСУДАРСТВЕННЫМ СТАНДАРТАМ
Таблица ДА.1
Обозначение ссылочного международного стандарта | Степень соответствия | Обозначение и наименование соответствующего межгосударственного стандарта |
IEC 60050-161:1990 | IDT | ГОСТ 30372-2017 "Совместимость технических средств электромагнитная. Термины и определения" |
IEC 61000-2-11:1999 | - | |
IEC 61000-4-23 | - | |
IEC/TR 61000-4-32 | - | |
IEC/TR 61000-5-3 | - | |
CISPR 16-1-1 | IDT | ГОСТ CISPR 16-1-1-2016 "Требования к аппаратуре для измерения радиопомех и помехоустойчивости и методы измерения. Часть 1-1. Аппаратура для измерения радиопомех и помехоустойчивости. Измерительная аппаратура" |
CISPR 16-1-4 | IDT | ГОСТ CISPR 16-1-4-2013 "Совместимость технических средств электромагнитная. Требования к аппаратуре для измерения параметров индустриальных радиопомех и помехоустойчивости и методы измерений. Часть 1-4. Аппаратура для измерения радиопомех и помехоустойчивости. Антенны и испытательные площадки для измерения излучаемых помех" |
CISPR 16-2-3:2006 | IDT | ГОСТ CISPR 16-2-3-2016 "Требования к аппаратуре для измерения радиопомех и помехоустойчивости и методы измерения. Часть 2-3. Методы измерения радиопомех и помехоустойчивости. Измерения излучаемых помех" |
CISPR 22 | MOD | ГОСТ 30805.22-2013 "Совместимость технических средств электромагнитная. Оборудование информационных технологий. Радиопомехи индустриальные. Нормы и методы измерений" |
<*> Соответствующий межгосударственный стандарт отсутствует. До его принятия рекомендуется использовать перевод на русский язык данного международного стандарта. Примечание - В настоящей таблице использованы следующие условные обозначения степени соответствия стандартов: - IDT - идентичные стандарты; - MOD - модифицированный стандарт. |
ANSI C63.4 | Methods of Measurement of Radio-Noise Emissions from Low-Voltage Electrical and Electronic Equipment in the Range of 9 kHz to 40 GHz (Методы измерения эмиссии радиопомех от низковольтного электротехнического и электронного оборудования в диапазоне частот от 9 кГц до 40 ГГц) |
ANSI C63.19-2007 | Methods of Measurement of Compatibility between Wireless Communication Devices and Hearing Aids (Методы измерения электромагнитной совместимости беспроводных устройств связи и слуховых аппаратов) |
CISPR 20 | Sound and television broadcast receivers and associated equipment - Immunity characteristics - Limits and methods of measurement (Радио- и телевизионные приемники и связанное с ними оборудование. Характеристики помехоустойчивости. Пределы и методы измерений) |
CISPR 25 | Vehicles, boats and internal combustion engines - Radio disturbance characteristics - Limits and methods of measurement for the protection of on-board receivers (Транспортные средства, суда и машины, работающие от двигателей внутреннего сгорания. Характеристики радиопомех. Нормы и методы измерений для защиты бортовых приемников) |
EIA/TIA-631 | Telecommunications Telephone Terminal Equipment - Radio Frequency Immunity Requirements for Equipment Having an Acoustic Output (Телекоммуникационное телефонное оконечное оборудование - Требования устойчивости к радиочастотам для оборудования с акустическим выходным сигналом) |
ETSI TR 102 273-5 | Electromagnetic Compatibility and Radio Spectrum Matters (ERM); Improvement on Radiated Methods of Measurement (using test sites) and evaluation of the corresponding measurement uncertainties - Part 5: Striplines (Электромагнитная совместимость и вопросы радиочастотного спектра. Улучшение радиочастотных методов измерений (с использованием испытательных площадок) и оценка неопределенности измерений. Часть 5. Симметричные полосковые линии) |
IEC 60068-1 | Environmental testing - Part 1: General and guidance (Испытания на воздействие внешних факторов. Часть 1. Общие положения и руководство) |
IEC 60118-13 | Electroacoustics - Hearing aids - Part 13: Electromagnetic compatibility (EMC) [Электроакустика. Аппараты слуховые. Часть 13. Электромагнитная совместимость (EMC)] |
IEC 60489-1 | Methods of measurement for radio equipment used in the mobile services - Part 1: General definitions and standard conditions of measurement (Методы измерений параметров радиоаппаратуры, используемой в подвижных службах. Часть 1. Общие определения и стандартные условия измерения) |
IEC 60489-3 | Methods of measurement for radio equipment used in the mobile services - Part 3: Receivers for A3E or F3E emissions (Методы измерений параметров радиоаппаратуры, используемой в подвижных службах. Часть 3. Приемники излучений A3E или F3E) |
IEC 61967-2 | Integrated circuits - Measurement of electromagnetic emissions, 150 kHz to 1 GHz - Part 2: Measurement of radiated emission, TEM cell and wideband TEM cell method (Схемы интегральные. Измерение электромагнитных излучений от 150 кГц до 1 ГГц. Часть 2. Измерение излучений. Метод с применением TEM-элементы и широкополосных TEM-элементов) |
IEC 62132-2 | Integrated circuits - Measurement of electromagnetic immunity - Part 2: Measurement of radiated immunity - TEM-cell and wideband TEM-cell method (Схемы интегральные. Измерение электромагнитной помехоустойчивости. Часть 2. Измерение устойчивости к излучаемым помехам. Метод с применением TEM-камеры и широкополосной TEM-камеры) |
IEEE Std C95.3 | IEEE recommended practice for the measurement of potentially hazardous electromagnetic fields - RF and microwave (Практические рекомендации IEEE для измерения потенциально радиочастотных и микроволновых опасных электромагнитных полей) |
IEEE Std 1309-2005 | IEEE Standard for Calibration of electromagnetic Field Sensors and Probes, Excluding Antennas, from 9 kHz to 40 GHz (Стандарт IEEE, касающийся калибровки датчиков электромагнитного поля и щупов кроме антенн в диапазоне частот от 9 кГц до 40 ГГц) |
IEEE Std 145-1993 | IEEE Standard Definitions of Terms for Antennas (Стандарт IEEE, касающийся определений терминов для антенн) |
IEEE Std 211-1997 | IEEE Standard Definitions of Terms for Radio Wave Propagation ISO 11452 (all parts), Road vehicles - Component test methods for electrical disturbances from narrowband radiated electromagnetic energy (Стандарт IEEE, касающийся определений терминов в области распространения радиоволн ISO 11452 (все части). Дорожный транспорт. Методы испытаний компонентов электрических помех от узкополосного излучения электромагнитной энергии) |
ISO 11452-3 | Road vehicles - Component test methods for electrical disturbances from narrowband radiated electromagnetic energy - Part 3: Transverse electromagnetic mode (TEM) cell [Транспорт дорожный. Методы испытаний компонентов на устойчивость к воздействию узкополосного излучения электромагнитной энергии. Часть 3. Камера поперечной электромагнитной волны (TEM-камера)] |
MIL-STD 461F | Requirements for the Control of Electromagnetic Interference Characteristics of Subsystems and Equipment (Требования для управления характеристик электромагнитных помех подсистем и оборудования) |
| M. Alexander, A. Nothofer, R.C. Dixon, "The use of ferrite clamps and clip-on ferrites," CISPR/A-TC77 (JTF-TEM-Alexander-Nothofer-Dixon) 01-01, June 2001 (Использование ферритовых зажимов и ферритов без разрыва цепи) |
| ANSI C63.4-2008, American National Standard for Methods of Measurement of Radio-Noise Emissions from Low-Voltage Electrical and Electronic Equipment in the Range of 9 kHz to 40 GHz, The Institute of Electrical and Electronics Engineers, Inc., New York, Dec. 2000 (Национальный американский стандарт, устанавливающий методы измерений эмиссии радиопомех от низковольтного электрического и электронного оборудования в полосе частот от 9 кГц до 40 ГГц) |
[3] | T.M. Babij, "Evaluation of errors in the calibration of TEM cells," IEEE Miami Technicon 87, Miami, FL, pp. 199 - 201, 1987 (Оценка ошибок при калибровке TEM-камер) |
| A. Beggio, G. Borio, and R.E. Zich, "On the unwanted effects on the radiated emission and susceptibility measurements due to the introduction of a wooden table," International Symposium on Electromagnetic Compatibility, Tokyo, Japan, pp. 252 - 255, May 1999 (Побочные эффекты помехоэмиссии и чувствительность измерений при использовании деревянного стола) |
| S. Bentz, "Use of the TEM cell for compliance testing of emission and immunity, an IEC perspective," IEEE International Symposium on Electromagnetic Compatibility, Santa Clara, CA, pp. 43 - 47, 1996 (Использование TEM-камеры при испытаниях на соответствие стандартам в области электромагнитной совместимости, перспективное видение МЭК) |
| H.S. Berger, and A. Tsaliovich, "Unlicensed PCS product EMC compliance measurement rational and alternatives," IEEE International Symposium on Electromagnetic Compatibility, Santa Clara, CA, pp. 396 - 401, 1996 (Оптимальные и альтернативные измерения на подтверждение соответствия в области электромагнитной совместимости нелицензируемой продукции персональных услуг связи) |
| J. van Bladel, Electromagnetic Fields, Hemisphere Publishing Corporation, 1985 [8] Ch. Braun, W. Graf, P. Guidi, H.U. Schmidt "Beeinflussung der Stromverteilung auf Testobjekten in TEM-Wellenleitern bei Variation des  ," (translation: "Influence of current distribution on test objects in TEM waveguides for variable object size"), Kleinheubach Symposium of URSI German NC and ITG, Kleinheubacher Berichte, Deutsche Telekom, Darmstadt, Germany, vol. 39, 1996 (Влияние распределения токов на испытуемые объекты с изменяемыми размерами в TEM-волноводах) |
| Ch. Braun, W. Graf, P. Guidi, H.U. Schmidt "Beeinflussung der Stromverteilung auf Testobjekten in TEM-Wellenleitern bei Variation des  ," (translation: "Influence of current distribution on test objects in TEM waveguides for variable object size"), Kleinheubach Symposium of URSI German NC and ITG, Kleinheubacher Berichte, Deutsche Telekom, Darmstadt, Germany, vol. 39, 1996 (Влияние тока помех на испытуемый объект с изменяющимися размерами в TEM-волноводах) |
[9] | E.L. Bronaugh, "Simplifying EMI immunity (susceptibility) tests in TEM cells," IEEE International Symposium on Electromagnetic Compatibility, Washington, D.C., pp. 488 - 491, August 1990 (Упрощение испытаний в TEM-камерах на устойчивость к электромагнитным помехам (восприимчивость)) |
| E. Bronaugh, and J. Osburn, "Radiated emissions test performance of the GHz TEM cell," IEEE International Symposium on Electromagnetic Compatibility, Cherry Hill, NJ, pp. 1 - 7, Aug. 1991 (Проведение испытаний на помехоэмиссию в TEM-камерах в гигагерцовой полосе частот) |
[11] | CISPR 14 (all parts), Electromagnetic compatibility - Requirements for household appliances, electric tools and similar apparatus (Совместимость электромагнитная. Требования к бытовой аппаратуре, электрическому инструменту и аналогичным приборам) |
| | ИС МЕГАНОРМ: примечание. Нумерация пунктов дана в соответствии с официальным текстом документа. | |
|
[13] | R. E. Collin, Field Theory of Guided Waves, 2nd ed., IEEE Press, Piscataway, NJ, 1991 (Теория поля направленных волн) |
| M. Crawford, and J. Workman, "Predicting free-space radiated emissions from electronic equipment using TEM cell and open-field site measurements," IEEE International Symposium on Electromagnetic Compatibility, Baltimore, MD, pp. 80 - 85, 1980 (Расчет помехоэмиссии в свободном пространстве от электронного оборудования с применением TEM-камеры и измерений на площадке в открытом пространстве) |
| H. Garbe, H. Haase, M. Koch, "Specification of alternative test sites with respect to given EMC field standards," International Zurich Symposium on Electromagnetic Compatibility, Zurich, Switzerland, pp. 459 - 464, Feb. 1997 (Технические требования к альтернативным испытательным площадкам с учетом стандартов в области электромагнитной совместимости) |
[16] | J. Glimm, K.  , M. Spitzer, Th.  , Th. Schrader, "Influence of calibration and measurement techniques on the inhomogeneity of electromagnetic fields for immunity tests," International Symposium on Electromagnetic Compatibility, Tokyo, Japan, pp. 600 - 603, May 1999 (Влияние калибровки и процедур измерений на неоднородность электромагнитных полей при испытаниях на помехоустойчивость) |
| C. Groh, J.P Kaerst, M. Koch, and H. Garbe, "TEM Waveguides for EMC measurements," IEEE Transactions on Electromagnetic Compatibility, vol. 41, no. 4, pp. 440 - 445, Nov. 1999 (TEM-волноводы для измерений в части электромагнитной совместимости) |
| C. Groh, J.P. Kaerst, and H, Garbe, "Einfluss der Beladung auf die Feldmoden in TEM Wellenleitern," (translation: "Influence of load on field modes in TEM waveguides"), Elektromagnetische Vertraeglichkeit EMV 2000 (8. Intl. Symp. and Exhb. on EMC), VDE Verlag, Berlin, Germany, pp. 287 - 294, Feb. 2000, ISBN 3-8007-2522-3 (Влияние нагрузки на виды колебаний в TEM-волноводах) |
| C. Groh, TEM Zellen zur Kalibration von elektromagnetischen Feldsensoren (translation: TEM cells for calibration of electromagnetic field probes), PhD-thesis, University of Hannover, Germany, VDE Verlag, 2002 (TEM-камеры для калибровки датчиков электромагнитного поля) |
| T.E. Harrington, Z. Chen, and M. D. Foegelle, "GTEM radiated emissions testing and FDTD modeling," IEEE International Symposium on Electromagnetic Compatibility, Seattle, WA, pp. 770 - 775, 1999 (GTEM испытания на эмиссию радиопомех и моделирование FDTD) |
| T.E. Harrington, "Total-radiated-power-based OATS-equivalent emissions testing in reverberation chambers and GTEM cells," IEEE International Symposium on Electromagnetic Compatibility, Washington, DC, pp. 23 - 28, 2000 (Испытания на открытой измерительной площадке в части эмиссии в эхо- и GTEM-камерах, основанные на общей излучаемой мощности) |
| T.E. Harrington, and E.L. Bronaugh, "EUT directivity and other uncertainty considerations for GHz-range use of TEM waveguides," IEEE International Symposium on Electromagnetic Compatibility, Montreal, QC, Canada, pp. 117 - 122, 2001 (Направленность испытуемого оборудования и другие аспекты неопределенности TEM-волноводов в гигагерцовой полосе частот) |
| IEC 61000-2-9, Electromagnetic compatibility (EMC) - Part 2: Environment - Section 9: Description of HEMP environment - Radiated disturbance (Электромагнитная совместимость (EMC). Часть 2. Условия окружающей среды. Раздел 9. Описание электромагнитного импульса при высотных (ядерных) взрывах (HEMP). Испускаемые помехи. Основная публикация по EMC) |
| IEEE Std 1309-2005: IEEE Standard for Calibration of Electromagnetic Field Sensors and Probes, Excluding Antennas, from 9 kHz to 40 GHz, The Institute of Electrical and Electronics Engineers, Inc., New York, 1996 (Стандарт IEEE, касающийся калибровки датчиков и детекторов электромагнитного поля кроме антенн в полосе частот от 9 кГц до 40 ГГц) |
| J.P. Kaerst, C. Groh, and H. Garbe, "Field mode properties of loaded waveguides," International Zurich Symposium on Electromagnetic Compatibility, Zurich, Switzerland, pp. 481 - 486, Feb. 2001 (Свойства видов колебаний нагруженных волноводов) |
[26] | J.P. Kaerst, Qualifikation beladener TEM Wellenleiter (translation: Validation of loaded TEM waveguides), PhD-thesis, University of Hannover, Germany, VDE Verlag, 2002 (Валидация нагруженных TEM-волноводов) |
| M. Klingler, J. Rioult, J.-P. Ghys, and S. Ficheux, "Wideband total radiated power measurements of electronic equipment in TEM and GTEM cells," International Zurich Symposium on Electromagnetic Compatibility, Zurich, Switzerland, pp. 665 - 670, 1999 (Измерения полной излучаемой мощности электронного оборудования в TEM- и GTEM-камерах в широкой полосе частот) |
| M. Koch, Analytische Feldberechnung in TEM Zellen (translation: Analytical Field Calculation in TEM Cells"), PhD-thesis, University of Hannover, Shaker-Verlag, Aachen, Germany, 1999, ISBN 3-8265-6017-5 (Аналитический расчет поля в TEM-камерах) |
| G. Koepke, and M. Ma, "A new method to quantify the radiation characteristics of an unknown interference source," International Zurich Symposium on Electromagnetic Compatibility, Zurich, Switzerland, pp. 35 - 40, March 1983 (Новый метод определения характеристик излучения неизвестного источника радиопомех) |
| M. Ma, and G. Koepke, Uncertainties in Extracting Radiation Parameters for an Unknown Interference Source Based on Power and Phase Measurements, National Institute of Standards and Technology (NIST, formerly NBS), Technical Note 1064, June 1983 (Неопределенности в полученных параметрах излучения неизвестного источника радиопомех на основе измерений мощности и фазы, национальный институт стандартов и технологии) |
| A. Nothofer, A.C. Marvin, and J.F. Dawson, "Uncertainties due to cross-polar coupling in GTEM cell emission measurement," International Symposium on Electromagnetic Compatibility, Rome, Italy, pp. 590 - 595, 1998 (Неопределенности измерения эмиссии, вносимые кроссполярной связью в GTEM-камере) |
| A. Nothofer, A.C. Marvin, and J.F. Dawson: "Indirect measurements of field uniformity in TEM cells Including cross-polar field components," International Zurich Symposium on Electromagnetic Compatibility, Zurich, Switzerland, pp. 659 - 664, March, 1999 (Косвенные измерения однородности поля в TEM-камерах, включая компоненты кроссполярного поля) |
| D.M. Pozar, Microwave Engineering, 2nd ed., John Wiley & Sons, NY, 1998 (Микроволновая техника) |
| T. Schrader, Vergleich von Feldgeneratoren  (translation: Comparison of Field Generators for EMC Tests), PhD-thesis, University of Braunschweig, Germany, 1997 (Сравнение генераторов поля для испытаний в области электромагнитной совместимости) |
| I. Sreenivasiah, D. Chang, and M. Ma, "Emission characteristics of electrically small radiating sources from tests inside a TEM cell," IEEE Transactions on Electromagnetic Compatibility, vol. 23, no. 3, pp. 113 - 121, Aug. 1981 (Характеристики эмиссии малых электрических источников излучения от испытаний внутри TEM-камеры) |
| E. Steinke, P. Wilson, and H. Garbe, "An equivalent "radiated emission" voltage measurement standard for TEM cells," International Wroclaw Symposium on Electromagnetic Compatibility, Wroclaw, Poland, pp. 301 - 304, Sept. 1992 (Эквивалентный стандарт измерения напряжения "излучений" для TEM-камер) |
| M.J. Thelberg, E.L. Bronaugh, and J.D.M. Osburn, "GTEM to OATS radiated emissions correlation from 1 - 5 GHz," IEEE International Symposium on Electromagnetic Compatibility, Chicago, IL, pp. 387 - 392, 1994 (GTEM-камера для измерения корреляции эмиссии радиопомех на открытой измерительной площадке в диапазоне частот 1 - 5 ГГц) |
| J. Tippet, and D. Chang, "Radiation characteristics of electrically small devices in a TEM transmission cell," IEEE Transactions on Electromagnetic Compatibility, vol. 18, no. 4, pp. 134 - 140, Nov. 1976 (Характеристики излучения от малого электротехнического устройства в передающей TEM-камере) |
| L. Turnbull, and A. Marvin, "A treatment of the phase properties of GTEM to open-area test-site correlation techniques," IEEE Transactions on Electromagnetic Compatibility, vol. 40, no. 1, pp. 62 - 69, Feb. 1998 (Обработка свойств фазы GTEM-камеры, предназначенной для измерений корреляции на открытой испытательной площадке) |
| P. Wilson, D. Hansen, and D. Koenigstein, "Simulating open area test site emission measurements based on data obtained in a novel broadband TEM cell," IEEE National Symposium on Electromagnetic Compatibility, Denver, CO, pp. 171 - 177, May 1989 (Моделирование измерений эмиссии на открытой испытательной площадке на основе данных, полученных в инновационной широкополосной TEM-камере) |
| P. Wilson, "On correlating TEM cell and OATS emission measurements," IEEE Transactions on Electromagnetic Compatibility, vol. 37, no. 1, pp. 1 - 16, Feb. 1995 (Измерения корреляции в TEM-камере и эмиссии на открытой измерительной площадке) |
[42] | IEC 61000-4-3, Electromagnetic compatibility (EMC) - Part 4-3: Testing and measurement techniques - Radiated, radio-frequency, electromagnetic field immunity test (Электромагнитная совместимость (EMC). Часть 4-3. Методы испытаний и измерений. Испытание на устойчивость к излучаемому радиочастотному электромагнитному полю) |
[43] | CISPR/TR 16-4-1, Specification for radio disturbance and immunity measuring apparatus and methods - Part 4-1: Uncertainties, statistics and limit modelling - Uncertainties in standardized EMC tests (Технические условия на оборудование и методы измерений радиопомех и помехоустойчивости. Часть 4-1. Погрешности, статистика и моделирование пределов. Погрешности при стандартизованных испытаниях электромагнитной совместимости (ЭМС) |
[44] | CISPR 16-4-2, Specification for radio disturbance and immunity measuring apparatus and methods - Part 4-2: Uncertainties, statistics and limit modelling - Uncertainty in EMC measurements (Технические условия на оборудование и методы измерений радиопомех и помехоустойчивости. Часть 4-2. Погрешности, статистика и моделирование пределов. Погрешности средств измерений) |
[45] | CISPR/TR 16-4-3, Specification for radio disturbance and immunity measuring apparatus and methods - Part 4-3: Uncertainties, statistics and limit modelling - Statistical considerations in the determination of EMC compliance of mass-produced products (Технические условия на оборудование и методы измерений радиопомех и помехоустойчивости. Часть 4-3. Неопределенности, статистика и моделирование пределов. Статистический анализ при определении электромагнитной совместимости для продукции массового производства) |
[46] | CISPR/TR 16-4-4, Specification for radio disturbance and immunity measuring apparatus and methods - Part 4-4: Uncertainties, statistics and limit modelling - Statistics of complaints and a model for the calculation of limits for the protection of radio services (Технические условия на оборудование и методы измерений радиопомех и помехоустойчивости. Часть 4-4. Погрешности, статистика и моделирование пределов. Статистика рекламаций и модель расчета пределов для защиты радиосвязи) |
[47] | J. Glimm, K.  , R. Pape, T. Schrader, and M. Spitzer, "The New National Standard of EM Field Strength; Realisation and Dissemination", 12th Int. Symposium on EMC, February 18 - 20, 1997, Zurich, Switzerland, ISBN 3-9521199-1-1, Page 611 - 613 (Новый национальный стандарт, касающийся силы электромагнитного поля; реализация и распространение) |
[48] | H. Garn, M. Buchmayr, and W. Mullner, "Precise calibration of electric field sensors for radiated susceptibility testing", Frequenz 53 (1999) 9 - 10, Page 190 - 194 (Высокоточная калибровка сенсоров электрического поля для испытаний на помехоустойчивость) |
[49] | IEEE Standard 1309-2005, for Calibration of Electromagnetic Field Sensors and Probes, Excluding Antennas, from 9 kHz to 40 GHz, 2005 (Стандарт IEEE 1309-2005, касающийся калибровки сенсоров и датчиков электромагнитного поля в диапазоне частот от 9 кГц до 40 ГГц кроме антенн) |
[50] | ISO/IEC Guide 98-3:2008, Uncertainty of Measurement - Part 3: Guide to the expression of Uncertainty in Measurement (GUM: 1995) (Неопределенность измерения. Часть 3. Руководство по выражению неопределенности измерения (GUM: 1995)) |
| S. Ishigami and M. Hirata, "A New Calibration Method for an E-field Probe using TEM Waveguides", The 20th International Zurich Symposium on Electromagnetic Compatibility (EMC Zurich 2009), January 2009 (Новый метод калибровки датчиков электрического поля с помощью TEM-волноводов) |
| BIPM, IEC, IFCC, ISO, IUPAC, IUPAP, OIML. Guide to the Expression of Uncertainty in Measurement. International Organization for Standardization, Geneva, Switzerland, ISBN 92-67-10188-9, First Edition, 1993 (Руководство по расчету неопределенности измерений) |
| UKAS M3003 The Expression of Uncertainty and Confidence in Measurement, Ed.2, 2007 (Расчет неопределенности и достоверности измерений) |
| J.Labus, "Rechnerische Ermittlung der Impedanz von Antennen. (Mathematical calculation of the impedance of antennas) Hochfrequenz und Elektroakustik, vol. 41, pp. 17 - 23; January, 1933 (Математический расчет импеданса антенны) |
УДК 621.397.82.016.35(083.74)476 | | КП 03 | IDT |
Ключевые слова: помехоэмиссия, помехоустойчивость, однородность поля, электромагнитные помехи, TEM-волновод, симметричная полосковая линия, калибровка, валидация, верификация, испытуемое оборудование, испытательное оборудование |