Главная // Актуальные документы // ГОСТ (Государственный стандарт)СПРАВКА
Источник публикации
М.: Стандартинформ, 2020
Примечание к документу
Текст данного документа приведен с учетом
поправки, опубликованной в "ИУС", N 11, 2022.
Документ
введен в действие с 01.03.2021.
Взамен ГОСТ 8929-75.
Название документа
"ГОСТ 8929-2020. Межгосударственный стандарт. Кокс каменноугольный. Метод определения прочности"
(введен в действие Приказом Росстандарта от 17.06.2020 N 257-ст)
"ГОСТ 8929-2020. Межгосударственный стандарт. Кокс каменноугольный. Метод определения прочности"
(введен в действие Приказом Росстандарта от 17.06.2020 N 257-ст)
Введен в действие
по техническому регулированию
и метрологии
от 17 июня 2020 г. N 257-ст
МЕЖГОСУДАРСТВЕННЫЙ СТАНДАРТ
КОКС КАМЕННОУГОЛЬНЫЙ
МЕТОД ОПРЕДЕЛЕНИЯ ПРОЧНОСТИ
Hard coal cokes.
Method for the determination of strength
ГОСТ 8929-2020
Дата введения
1 марта 2021 года
Цели, основные принципы и общие правила проведения работ по межгосударственной стандартизации установлены
ГОСТ 1.0 "Межгосударственная система стандартизации. Основные положения" и
ГОСТ 1.2 "Межгосударственная система стандартизации. Стандарты межгосударственные, правила и рекомендации по межгосударственной стандартизации. Правила разработки, принятия, обновления и отмены"
1 ПОДГОТОВЛЕН Акционерным обществом "Восточный научно-исследовательский углехимический институт" (АО "ВУХИН"), Техническим комитетом по стандартизации ТК 395 "Кокс и продукты коксохимии"
2 ВНЕСЕН Федеральным агентством по техническому регулированию и метрологии
3 ПРИНЯТ Межгосударственным советом по стандартизации, метрологии и сертификации (протокол от 29 мая 2020 г. N 130-П)
За принятие проголосовали:
Краткое наименование страны по МК (ИСО 3166) 004-97 | Код страны по МК (ИСО 3166) 004-97 | Сокращенное наименование национального органа по стандартизации |
Армения | AM | Минэкономики Республики Армения |
Беларусь | BY | Госстандарт Республики Беларусь |
Киргизия | KG | Кыргызстандарт |
Россия | RU | Росстандарт |
Таджикистан | TJ | Таджикстандарт |
Туркмения | TM | Главгосслужба "Туркменстандартлары" |
Узбекистан | UZ | Узстандарт |
4
Приказом Федерального агентства по техническому регулированию и метрологии от 17 июня 2020 г. N 257-ст межгосударственный стандарт ГОСТ 8929-2020 введен в действие в качестве национального стандарта Российской Федерации с 1 марта 2021 г.
5 ВЗАМЕН ГОСТ 8929-75
Информация о введении в действие (прекращении действия) настоящего стандарта и изменений к нему на территории указанных выше государств публикуется в указателях национальных стандартов, издаваемых в этих государствах, а также в сети Интернет на сайтах соответствующих национальных органов по стандартизации.
В случае пересмотра, изменения или отмены настоящего стандарта соответствующая информация будет опубликована на официальном интернет-сайте Межгосударственного совета по стандартизации, метрологии и сертификации в каталоге "Межгосударственные стандарты"
Настоящий стандарт распространяется на кокс каменноугольный всех классов крупности более 40 мм, а также класса 25 мм и более, предназначенный для литейных целей и для экспорта, и устанавливает метод определения его прочности.
Сущность метода заключается в механической обработке кокса во вращающемся барабане закрытого типа, определении гранулометрического состава кокса до и после обработки и последующем расчете показателей прочности.
В настоящем стандарте использованы нормативные ссылки на следующие межгосударственные стандарты:
ГОСТ 5954.1 (ИСО 728:95) Кокс. Ситовый анализ класса крупности 20 мм и более
ГОСТ 5954.2 (ИСО 2325:86) Кокс. Ситовый анализ класса крупности менее 20 мм
ГОСТ 23083 Кокс каменноугольный, пековый и термоантрацит. Методы отбора и подготовки проб для испытаний
Примечание - При пользовании настоящим стандартом целесообразно проверить действие ссылочных стандартов и классификаторов на официальном интернет-сайте Межгосударственного совета по стандартизации, метрологии и сертификации (www.easc.by) или по указателям национальных стандартов, издаваемым в государствах, указанных в
предисловии, или на официальных сайтах соответствующих национальных органов по стандартизации. Если на ссылочный документ дана недатированная ссылка, то следует использовать документ, действующий на текущий момент, с учетом всех внесенных в него изменений. Если заменен ссылочный документ, на который дана датированная ссылка, то следует использовать указанную версию этого документа. Если после принятия настоящего стандарта в ссылочный документ, на который дана датированная ссылка, внесено изменение, затрагивающее положение, на которое дана ссылка, то это положение применяется без учета данного изменения. Если ссылочный документ отменен без замены, то положение, в котором дана ссылка на него, применяется в части, не затрагивающей эту ссылку.
Для проведения испытания применяют:
3.1 Барабан стальной закрытого типа диаметром и длиной (1000 +/- 5) мм (размеры внутренние) с минимальной толщиной стенки 5 мм. Барабан необходимо заменить, если толщина стенок станет менее 5 мм.
На внутренней поверхности по всей длине барабана параллельно его продольной оси, через интервалы 90° по окружности, крепятся четыре угловых профиля размером 100 x 50 x 10 мм. Угловые профили устанавливаются так, чтобы полки длиной 100 мм были направлены к центру барабана, а полки длиной 50 мм - в направлении, обратном его вращению.
Угловые профили заменяют, если полка длиной 100 мм изнашивается до 95 мм.
Загрузку и выгрузку барабана в зависимости от его конструкции производят через люк на цилиндрической поверхности, закрывающийся крышкой из гнутого листа с уплотнением, или через торцевую сторону, закрывающуюся плоской крышкой с уплотнением.
Барабан снабжен счетчиком оборотов с устройством для автоматической остановки его после заданного числа оборотов. Частота вращения барабана (25 +/- 1) мин-1.
Проверку технического состояния механизмов барабана производят не реже одного раза в квартал, а герметичность уплотнения крышки и исправность автоматического включения - не реже одного раза в декаду.
3.2 Весы с погрешностью взвешивания не более 0,1 кг.
3.3 Ящики, изготовленные из материалов, не корродирующих в условиях эксплуатации, вмещающие не менее 25 (50) кг кокса; щетки; совковые лопаты.
3.4 Грохоты механические, оборудованные ситами с квадратными отверстиями размером 80 x 80; 60 x 60; 40 x 40 и 25 x 25 мм, а также с круглыми отверстиями диаметром 60, 40 и 10 мм по
ГОСТ 5954.1 и
ГОСТ 5954.2, либо ручные сита с отверстиями указанных размеров.
Допускается вместо барабана и грохота применять автоматизированный агрегат АПК, состоящий из барабана для испытания кокса и двухситного грохота, установленных на общей раме.
4.1 Массовая доля рабочей влаги в пробе кокса не должна превышать 5%. При массовой доле рабочей влаги более 5% пробу подвергают естественной или искусственной подсушке.
4.2 Испытанию в барабане подвергают или непосредственно объединенную пробу кокса, или объединенную пробу после определения гранулометрического состава.
В первом случае объединенную пробу кокса классов крупности 60 мм и более, 40 мм и более и 25 мм и более рассеивают на сите с круглыми отверстиями диаметром 60 мм, а в случае испытания кокса класса 40 - 60 мм - на сите с диаметром отверстий 40 мм. Для испытания из надрешетного продукта отбирают три пробы массой (50 +/- 0,5) кг каждая.
Во втором случае при проведении испытания после определения гранулометрического состава объединенной пробы кокс выделенных при рассеве классов крупности 80 мм и более и классов крупности 60 - 80 мм взвешивают и помещают раздельно, а выделенный при рассеве класс крупности 40 - 60 мм дополнительно рассеивают на сите с круглыми отверстиями диаметром 60 мм и взвешивают надрешетный продукт. Для испытания в барабане из выделенных классов крупности 80 мм и более, классов крупности 60 - 80 мм и надрешетного продукта класса крупности 40 - 60 мм составляют три пробы массой (50 +/- 0,5) кг пропорционально выходу каждого класса.
5.1 Приготовленную пробу массой (50 +/- 0,5) кг загружают в барабан и плотно, так, чтобы не просыпалась мелочь, закрывают крышкой. После 100 оборотов барабан автоматически останавливается. Пробу выгружают, тщательно собирая всю коксовую мелочь.
5.2 После испытания в барабане кокс подвергают ситовому анализу. Рассев производят на механическом грохоте, оборудованном ситами с круглыми отверстиями диаметром 40 и 10 мм.
При выходе грохота из строя допускается производить рассев вручную. Рассев производят в три приема отдельными порциями массой около 17 кг каждая до полного прекращения выделения подрешетного продукта.
Рассев начинают на сите с отверстиями диаметром 40 мм, а затем переходя на сито с отверстиями диаметром 10 мм.
5.3 Кокс отдельных классов, полученных при рассеве, взвешивают, при этом кокс последующего класса добавляют к предыдущему.
Разность между массой пробы, взятой для испытания, и массой кокса всех классов крупности после испытания в барабане прибавляют к массе кокса класса менее 10 мм.
Если эта разность превышает 0,7% от массы исходной пробы, испытание считают недействительным.
5.4 Испытанию в барабане подвергают две пробы.
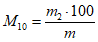
6.1 На основании данных ситового анализа пробы кокса после испытания в барабане вычисляют показатель выхода класса более 40 мм (M40), характеризующий дробимость кокса, и показатель выхода класса менее 10 мм (M10), характеризующий истираемость кокса, в процентах по формулам:

, (1)

, (2)
где m - масса пробы, загруженной в барабан, кг;
m1 - масса кокса, оставшегося на сите с отверстиями диаметром 40 мм, кг;
m2 - масса кокса, прошедшего через сито с отверстиями диаметром 10 мм, кг.
Полученный результат округляют до первого десятичного знака. За результат определения принимают среднее арифметическое результатов двух определений.
6.2 Расхождения между результатами двух определений не должны превышать: для M40 - 2,0%; для M10 - 1,0% при доверительной вероятности P = 0,95.
При получении результатов с расхождениями больше допускаемых производят третье определение и за окончательный результат принимают среднее арифметическое результатов трех определений.
УДК 662.749:006.354 | |
Ключевые слова: кокс каменноугольный, прочность кокса каменноугольного, гранулометрический состав кокса |