Главная // Актуальные документы // ГОСТ (Государственный стандарт)СПРАВКА
Источник публикации
М.: Стандартинформ, 2020
Примечание к документу
Текст данного документа приведен с учетом поправок, опубликованных в "ИУС",
N 4, 2021;
N 12, 2021.
Документ
введен в действие с 01.06.2021.
Взамен ГОСТ 8002-74.
Название документа
"ГОСТ 8002-2020. Межгосударственный стандарт. Двигатели внутреннего сгорания поршневые. Воздухоочистители. Методы стендовых безмоторных испытаний"
(введен в действие Приказом Росстандарта от 30.10.2020 N 1017-ст)
"ГОСТ 8002-2020. Межгосударственный стандарт. Двигатели внутреннего сгорания поршневые. Воздухоочистители. Методы стендовых безмоторных испытаний"
(введен в действие Приказом Росстандарта от 30.10.2020 N 1017-ст)
Приказом Федерального агентства
по техническому регулированию
и метрологии
от 30 октября 2020 г. N 1017-ст
МЕЖГОСУДАРСТВЕННЫЙ СТАНДАРТ
ДВИГАТЕЛИ ВНУТРЕННЕГО СГОРАНИЯ ПОРШНЕВЫЕ
ВОЗДУХООЧИСТИТЕЛИ
МЕТОДЫ СТЕНДОВЫХ БЕЗМОТОРНЫХ ИСПЫТАНИЙ
Internal combustion engines piston. Air cleaners.
Methods of motorless bench testing
ГОСТ 8002-2020
Дата введения
1 июня 2021 года
Цели, основные принципы и общие правила проведения работ по межгосударственной стандартизации установлены
ГОСТ 1.0 "Межгосударственная система стандартизации. Основные положения" и
ГОСТ 1.2 "Межгосударственная система стандартизации. Стандарты межгосударственные, правила и рекомендации по межгосударственной стандартизации. Правила разработки, принятия, обновления и отмены"
1 РАЗРАБОТАН Федеральным государственным унитарным предприятием "Центральный ордена Трудового Красного Знамени научно-исследовательский автомобильный и автомоторный институт "НАМИ" (ФГУП "НАМИ")
2 ВНЕСЕН Межгосударственным техническим комитетом по стандартизации МТК 56 "Дорожный транспорт"
3 ПРИНЯТ Межгосударственным советом по стандартизации, метрологии и сертификации (протокол от 30 октября 2020 г. N 134-П)
За принятие проголосовали:
Краткое наименование страны по МК (ИСО 3166) 004-97 | Код страны по МК (ИСО 3166) 004-97 | Сокращенное наименование национального органа по стандартизации |
Армения | AM | ЗАО "Национальный орган по стандартизации и метрологии" Республики Армения |
Беларусь | BY | Госстандарт Республики Беларусь |
Киргизия | KG | Кыргызстандарт |
Россия | RU | Росстандарт |
Туркмения | TM | Главгосслужба "Туркменстандартлары" |
Узбекистан | UZ | Узстандарт |
Украина | UA | Минэкономразвития Украины |
4 Приказом Федерального агентства по техническому регулированию и метрологии от 30 октября 2020 г. N 1017-ст межгосударственный стандарт ГОСТ 8002-2020 введен в действие в качестве национального стандарта Российской Федерации с 1 июня 2021 г.
5 ВЗАМЕН ГОСТ 8002-74
Информация о введении в действие (прекращении действия) настоящего стандарта и изменений к нему на территории указанных выше государств публикуется в указателях национальных стандартов, издаваемых в этих государствах, а также в сети Интернет на сайтах соответствующих национальных органов по стандартизации.
В случае пересмотра, изменения или отмены настоящего стандарта соответствующая информация будет опубликована на официальном интернет-сайте Межгосударственного совета по стандартизации, метрологии и сертификации в каталоге "Межгосударственные стандарты"
Настоящий стандарт распространяется на воздухоочистители поршневых двигателей внутреннего сгорания и устанавливает методы приемочных и периодических контрольных стендовых безмоторных испытаний воздухоочистителей.
Стандарт не распространяется на воздухоочистители авиационных двигателей и специальных гусеничных машин с дизельными двигателями.
В настоящем стандарте использованы нормативные ссылки на следующие межгосударственные стандарты:
ГОСТ 982 Масла трансформаторные. Технические условия
ГОСТ 2138 Пески формовочные. Общие технические условия
Примечание - При пользовании настоящим стандартом целесообразно проверить действие ссылочных стандартов и классификаторов на официальном интернет-сайте Межгосударственного совета по стандартизации, метрологии и сертификации (www.easc.by) или по указателям национальных стандартов, издаваемым в государствах, указанных в
предисловии, или на официальных сайтах соответствующих национальных органов по стандартизации. Если на документ дана недатированная ссылка, то следует использовать документ, действующий на текущий момент, с учетом всех внесенных в него изменений. Если заменен ссылочный стандарт, на который дана датированная ссылка, то следует использовать указанную версию этого документа. Если после принятия настоящего стандарта в ссылочный документ, на который дана датированная ссылка, внесено изменение, затрагивающее положение, на которое дана ссылка, то это положение применяется без учета данного изменения. Если ссылочный документ отменен без замены, то положение, в котором дана ссылка на него, применяется в части, не затрагивающей эту ссылку.
3 Параметры и характеристики работы, определяемые при испытаниях воздухоочистителей
3.1 Параметры и характеристики работы, определяемые при испытаниях воздухоочистителей разных типов, приведены в
таблице 1.
Параметры и характеристики работы воздухоочистителей, определяемые при испытаниях | Наименование и обозначение типа воздухоочистителя |
Инерционно-масляный | Со смачиваемым фильтрующим элементом | С сухой фильтрующей перегородкой | Сухой инерционный, у которого отсепарированная пыль | Комбинированный, состоящий из любого набора указанных типов |
собирается в бункер | отсасывается посторонним источником | автоматически выбрасывается в атмосферу |
I | II | III | IVа | IVб | IVв | V |
Унос масла | | | - | - | - | - | О |
Сопротивление воздухоочистителя в зависимости от расхода воздуха | | | | | | | |
Разрежение в патрубке отсоса пыли в зависимости от расхода воздуха | - | - | - | - | | - | О |
Коэффициент пропуска пыли в зависимости от расхода воздуха <*> | | | | | | | |
Средний коэффициент пропуска пыли | | | | - | - | - | О |
Продолжительность работы до достижения предельного сопротивления или до технического обслуживания | | | | | - | - | О |
Количество пыли, задержанное воздухоочистителем до достижения предельного значения сопротивления или до технического обслуживания | - | - | | - | - | - | - |
Коэффициент использования масла | | | - | - | - | - | О |
Герметичность воздухоочистителя | - | - | | - | - | - | О |
<*> Для воздухоочистителей, не работающих в широком диапазоне расхода воздуха (например, типа тракторных, комбайновых и стационарных двигателей), допускается эффективность очистки воздуха оценивать средним коэффициентом пропуска пыли. Примечание - В настоящей таблице использованы следующие условные обозначения: -  - определяется; - "О" - определяется, если в состав комбинированного воздухоочистителя входят воздухоочистители, для которых данный параметр определяется; - "-" - не определяется. |
3.2 Объем и периодичность испытаний и величины параметров устанавливаются конструкторской документацией (КД), утвержденной в установленном порядке.
4 Установка для испытаний и материалы
4.1 Испытания проводят на установке, принципиальная схема которой приведена на
рисунке 1. Просасывание воздуха через испытываемый воздухоочиститель
1 и трубопроводы стенда
6,
14 и
18 осуществляется устройством
12 (вакуумный насос, вентилятор и т.д.). В зависимости от типа воздухоочистителя и метода определения запыленности воздуха за воздухоочистителем схема соответствующим образом изменяется.
1 - испытываемый воздухоочиститель; 2 - пылевая камера;
3 - датчик дифференциального давления-разрежения;
4 - пыледозатор; 5 - распылитель пыли; 6 - трубопровод
отсоса воздуха; 7 - циклон с пылесборником; 8 - абсолютный
фильтр трубопровода отсоса воздуха; 9 - датчик
дифференциального давления; 10 - расходомер воздуха;
11 - кран; 12 - устройство (вакуумный насос, вентилятор
и т.п.), обеспечивающее просасывание воздуха
через трубопроводы стенда; 13 - абсолютный фильтр
трубопровода основного воздуха; 14 - трубопровод основного
воздуха; 15 - трубка замера полного давления; 16 - трубка
частичного отбора; 17 - абсолютный фильтр трубопровода
частичного отбора; 18 - трубопровод трассы частичного отбора
Примечание - Допускается применение отдельных устройств, обеспечивающих просасывание воздуха через трубопроводы 6 и 18.
4.1.1 Помимо установки применяют следующее оборудование:
- весы аналитические 2-го класса точности с пределом взвешивания 200 г. Допускается применять весы технические 1-го класса точности с пределом взвешивания 1 кг;
- весы образцовые 3-го разряда с пределами взвешивания, соответствующими весовым параметрам испытываемых воздухоочистителей;
- прибор для определения удельной поверхности пыли типа ПСХ (см.
приложение А);
- приборы для измерения давления и температуры окружающей среды;
- сушильный шкаф;
- эксикаторы;
- счетчик времени;
- линейки измерительные.
4.1.2 Конструкция пылевой камеры 2 должна быть такой, чтобы количество осевшей пыли в ней не превышало 10% количества подаваемой пыли. Если воздухоочиститель имеет входной патрубок, то допускается проведение испытаний без пылевой камеры. В этом случае пыль подается в воздухоочиститель с помощью специального устройства, обеспечивающего равномерное распределение ее по сечению входного патрубка.
4.1.3 Размеры внутреннего сечения трубопровода 14 должны быть равны размерам выходного отверстия воздухоочистителя, к которому присоединяются узлы или детали, соединяющие воздухоочиститель с двигателем или другими ступенями очистки.
За внутренний диаметр D трубопровода принимается больший размер его внутреннего сечения. Длина прямолинейного участка трубопровода не должна быть менее 8 D.
Примечание - При определении запыленности воздуха методом фильтрации полного потока воздуха допускается иметь длину прямолинейного участка, равную 5 D.
4.1.4 Торец трубки измерения полного давления
15 должен быть расположен в трубопроводе
14 на расстоянии 6
D от выходного отверстия воздухоочистителя.
Примечание - При определении запыленности воздуха методом фильтрации полного потока допускается располагать торец трубки 15 на расстоянии 3 D.
4.1.5 Торец трубки частичного отбора воздуха
16 должен быть расположен, как указано в
4.1.4. Взаимное расположение трубок
15 и
16 и их размеры приведены на
рисунке 2. Допускается применять пневмометрическую отборную трубку.
4.1.6 Входное отверстие корпуса абсолютного фильтра 13 должно быть расположено на расстоянии 8 D от выходного отверстия воздухоочистителя.
Примечание - Допускается располагать входное отверстие корпуса абсолютного фильтра 13 на расстоянии 5 D.
4.1.7 Если внутренний диаметр трубопровода 14 больше 200 мм или имеет некруглое сечение, то при определении запыленности воздуха методом частичного отбора необходимо измерять поля скоростей и запыленность воздуха по сечению трубы, учитывая их неравномерность.
4.1.8 Пыледозатор 4 и распылитель пыли 5 должны обеспечивать равномерную подачу пыли на входе в воздухоочиститель. Применение пыледозаторов, у которых подача пыли происходит с помощью вибрации, не допускается.
Давление эжектирующего воздуха перед распылителем 5 должно быть равным (2,943 +/- 0,245) кПа [(300 +/- 25) мм вод. ст.].
Примечание - При испытаниях воздухоочистителей без пылевой камеры допускается давление перед распылителем равным (2,452 +/- 0,245) кПа [(250 +/- 25) мм вод. ст.].
4.1.9 Размеры внутреннего сечения трубопровода 6 должны быть равны размерам внутреннего сечения патрубка отсоса пыли. За внутренний диаметр трубопровода D1 принимается больший размер его внутреннего сечения.
Прямолинейный участок трубопровода должен быть не менее 8 D1.
Точка замера статического давления располагается на расстоянии 6 D1 от патрубка отсоса пыли.
4.1.10 Корпусы испытываемого воздухоочистителя
1, распылителя пыли
5, пылевой камеры
2, абсолютных фильтров
8,
13 и
17, циклона
7 и трубопроводы
6,
14 и
18 должны быть заземлены.
4.2 Испытательная пыль
4.2.1 Для испытаний применяется пыль, приготовленная из кварцевого песка, соответствующего требованиям
ГОСТ 2138.
4.2.2 Пыль, применяемая при испытаниях, должна иметь удельную поверхность (5600 +/- 150) см
2/г и влажность не более 1,2%. Удельную поверхность определяют методом воздухопроницаемости на приборе типа ПСХ. Примерный дисперсный состав пыли приведен в
приложении В.
4.2.3 Испытательную пыль изготавливают путем помола кварцевого песка в вибрационной или шаровой мельнице. Смолотую пыль полностью извлекают из мельницы и тщательно перемешивают. Время помола определяют исходя из условий получения требуемого значения удельной поверхности пыли (после просеивания размолотого песка через сито, имеющее отверстия в свету не более 250 мкм), указанной в
4.2.2. Не допускается применение установок для помола, имеющих в своем составе классификаторы.
4.3 Масло
Для заправки воздухоочистителей типов I, II и V, если последний в своем составе имеет воздухоочистители типов I и II, следует применять трансформаторное масло по
ГОСТ 982. Допускается применение масла, используемого при эксплуатации двигателя.
4.4 Фильтровальные материалы
При определении запыленности воздуха на выходе из воздухоочистителя в качестве фильтровального материала абсолютного фильтра применяют материал типов ФПП-Д, ФПП-15.
5 Подготовка к испытаниям
5.1 Все типы воздухоочистителей испытывают при существующих в помещении климатических условиях.
5.2 Все типы воздухоочистителей испытывают в рабочем положении.
5.3 Все виды испытаний проводят на стационарном потоке воздуха. Допускается проводить испытания воздухоочистителей одно- и двухцилиндровых двигателей непосредственно на двигателе.
5.4 Перед каждым испытанием воздухоочиститель тщательно очищают и продувают чистым воздухом. Проверяют герметичность соединений узлов воздухоочистителя, установки для испытаний и исправность приборов.
5.5 Воздухоочиститель типа V, имеющий воздухопроводы, соединяющие ступени очистки, испытывают с этими воздухопроводами.
5.6 Испытания проводят при постоянной запыленности воздуха

, величину которой устанавливают в соответствии с условиями эксплуатации воздухоочистителя и выбирают из следующих значений с отклонением +/- 10%:
- 0,2 г/м3 - при малой запыленности;
- 0,4 г/м3 - при средней запыленности;
- 1,0 г/м3 - при большой запыленности;
- 2,0 г/м3 - при очень большой запыленности.
Для землеройно-транспортных машин допускается проводить испытания воздухоочистителей при запыленности воздуха более 2 г/м3.
5.7 Воздухоочистители типов I, II и V, если последний в своем составе имеет воздухоочиститель типа I или II, должны быть заполнены маслом в количестве, указанном в КД предприятия-изготовителя.
5.8 Величину фильтрующей поверхности абсолютного фильтра выбирают из расчета максимальной скорости фильтрации (при Qном), равной 1,0 м/с для воздухоочистителей типов III и V, если последний в своем составе имеет тип III, и 0,5 м/с для остальных типов. Предельно допустимое сопротивление запыленного абсолютного фильтра не должно превышать 19,6 кПа (2000 мм вод. ст.).
5.9 Фильтровальный материал абсолютного фильтра до и после испытания взвешивают на аналитических весах в одном и том же стеклянном химическом стакане или в пакете из кальки.
5.10 Расход воздуха
5.10.1 Максимальный часовой расход воздуха на входе в воздухоочиститель
Qв max, м
3/ч, вычисляют по формуле
Qв max =
A·
B'·
Qном +
C, (1)
где
A - коэффициент, учитывающий пульсацию воздуха во всасывающем тракте двигателя (см.
таблицу 2);
Число цилиндров двигателя | Значение коэффициента A |
для четырехтактных двигателей | для двухтактных двигателей |
2 | 2,0 | 1,3 |
3 | 1,5 | 1,0 |
4 и более | 1,0 | 1,0 |
B' - коэффициент, зависящий от вида испытаний (см.
таблицу 3);
C - дополнительный расход воздуха, зависящий от типа воздухоочистителя (см.
таблицу 3).
Тип воздухоочистителя | Значения коэффициентов B' и C |
при определении уноса масла | при определении сопротивления | при определении коэффициента пропуска и продолжительности работы до обслуживания |
в вертикальном положении | в наклонном положении | методом частичного отбора | методом фильтрации всего потока воздуха абсолютным фильтром |
B' | C | B' | C | B' | C | B' | C | B' | C |
I | 1,1 | 0 | 1,0 | 0 | 1,0 | 0 | 1,0 | 0 | 1,0 | 0 |
II | 1,1 | 0 | - | - | 1,0 | 0 | 1,0 | 0 | 1,0 | 0 |
III | - | - | - | - | 1,0 | 0 | 1,0 | 0 | 1,0 | 0 |
IVа | - | - | - | - | 1,0 | 0 | 1,0 | 0 | 1,0 | 0 |
IVб | - | - | - | - | 1,0 | Qотс | 1,0 | Qотс | 1,0 | Qотс |
IVв | - | - | - | - | 1,0 | 0 | 1,0 | 0 | 1,0 | 0 |
V | 1,1 <**> | Qотс <*> | 1,0 <***> | Qотс <*> | 1,0 | Qотс <*> | 1,0 | Qотс <*> | 1,0 | Qотс <*> |
<*> Только для воздухоочистителя типа V, имеющего в своем составе воздухоочиститель типа IVб. <**> Только для воздухоочистителя типа V, имеющего в своем составе воздухоочистители типа I или II; в остальных случаях испытания не проводят. <***> Только для воздухоочистителя типа V, имеющего в своем составе воздухоочиститель типа I; в остальных случаях испытания не проводят. |
5.10.2 Расход воздуха на отсосе пыли
Qотс из воздухоочистителей типа IVб устанавливают по экспериментальным или расчетным характеристикам отсосного агрегата и тракта отсоса пыли. Отсос должен соответствовать режиму работы воздухоочистителя по расходу воздуха.
5.10.3 Расход воздуха через трубку частичного отбора устанавливают исходя из равенства средних скоростей воздуха в трубопроводе 14 и трубке частичного отбора 16.
6.1 Определение уноса масла
6.1.1 При определении уноса масла расходы воздуха вычисляют по
формуле (1). Испытания проводят без подачи пыли и пылевой камеры.
6.1.2 Воздухоочистители типов I и V, если последний имеет в своем составе воздухоочиститель типа I, испытывают на определение уноса масла в вертикальном и наклонном положениях.
Продолжительность опыта должна составлять:
- в вертикальном положении - 30 мин;
- в наклонном положении - 10 мин.
Наклоны воздухоочистителя принимают равными максимальным углам наклона, которые предусмотрены техническими требованиями на данное автотранспортное средство или силовую установку. При этом, если воздухоочиститель имеет боковой вход или выход воздуха, плоскости наклона при испытаниях должны соответствовать плоскостям наклона на автотранспортном средстве или силовой установке.
6.1.3 Воздухоочистители типов II и V, если последний имеет в своем составе воздухоочиститель типа II, испытывают на унос масла только в вертикальном положении. Продолжительность испытания должна составлять 30 мин.
6.1.4 Для воздухоочистителей одно-, двух- и трехцилиндровых двигателей допускается определять унос масла в рабочем положении непосредственно на двигателе при его работе на максимальной мощности. Продолжительность испытания должна составлять 5 мин.
6.1.5 Унос масла определяют разностью массы воздухоочистителя до и после испытания; допустимое значение уноса масла устанавливают в КД.
Для визуального определения уноса масла допускается устанавливать в трубопровод 14 прозрачный патрубок, внутренний диаметр которого равен внутреннему диаметру трубопровода 14.
6.2 Определение сопротивлений
6.2.1 Сопротивление воздухоочистителя
6.2.1.1 Сопротивление воздухоочистителя определяют разностью полных давлений до и после чистого воздухоочистителя.
Измеренное сопротивление

, кПа, приводят к нормальным атмосферным условиям по формуле

, (2)
где

- сопротивление воздухоочистителя, кПа;
B - атмосферное давление при испытаниях, кПа;
T - температура воздуха при испытаниях, К.
6.2.1.2 Сопротивление воздухоочистителя следует определять на пяти расходах воздуха, вычисленных по формуле
Qв = A·Kр·Qном + Qотс, (3)
где Qв - часовой расход воздуха на входе в воздухоочиститель в данном испытании, м3/ч;
A - коэффициент, учитывающий пульсацию воздуха во всасывающем тракте двигателя (см.
таблицу 2);
Kр - коэффициент, определяющий режим испытаний по расходу воздуха, принимающий следующие значения: 0,2; 0,4; 0,6; 0,8; 1,0;
Qном - часовой расход воздуха двигателем, м3/ч;
Qотс - часовой расход воздуха на отсосе пыли из воздухоочистителя, приведенный к условиям входа в воздухоочиститель, м3/ч.
Примечание -
Qотс принимает значения в соответствии с
5.10.2.
6.2.1.3 Для воздухоочистителя типа V определяют сопротивление воздухоочистителя в сборе и отдельно каждой ступени. Если ступени очистки объединены в моноблок, то сопротивление отдельных ступеней определяют по методике предприятия-изготовителя, согласованной с потребителем.
6.2.1.4 На каждом расходе воздуха, перед фиксацией сопротивления, воздухоочиститель должен проработать 5 мин.
6.2.1.5 Если установка для испытаний оборудована устройством для равномерной подачи пыли во входной патрубок воздухоочистителя, то измерение сопротивления осуществляют без этого устройства (см.
4.1.2).
6.2.2 Разрежение в патрубке отсоса пыли
6.2.2.1 Разрежение в патрубке отсоса пыли определяют у воздухоочистителей типов IVб и V, если последний в своем составе имеет воздухоочиститель типа IVб.
6.2.2.2 Разрежение в патрубке отсоса пыли определяют разностью атмосферного давления и статического давления в трубопроводе отсоса пыли. Измеренное разрежение Hотс, кПа, приводят к нормальным атмосферным условиям (T = 293 К, B = 101,396 кПа) по формуле

, (4)
где B - атмосферное давление при испытаниях, кПа;
T - температура воздуха при испытаниях, К.
6.2.2.3 Разрежение в патрубке отсоса пыли определяют одновременно с определением сопротивления воздухоочистителя.
6.2.2.4 Разрежение в патрубке отсоса пыли измеряют на режимах работы воздухоочистителя, предусмотренных
6.2.1.2 с учетом
5.10.2.
6.3 Определение коэффициента пропуска пыли
6.3.1 Коэффициент пропуска пыли, %, представляет собой отношение запыленности воздуха на выходе из воздухоочистителя к запыленности воздуха на входе в него, вычисляется по формуле

, (5)
где

- запыленность воздуха на входе в воздухоочиститель, г/м
3;

- запыленность воздуха на выходе из воздухоочистителя, г/м
3.
Примечание - В случае определения

методом фильтрации полного потока воздуха (кроме воздухоочистителей типов IVб и V, если в последний входит воздухоочиститель типа IVб) допускается выражать

отношением массы пропущенной пыли к массе, поданной в воздухоочиститель, и вычислять по формуле

, (6)
где g - масса пыли, задержанной абсолютным фильтром, мг;
m1 - масса пыли, поданной пыледозатором, г;
m2 - масса пыли, осевшей в устройствах для подачи пыли в воздухоочиститель, г.
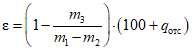
6.3.2 Коэффициент пропуска пыли воздухоочистителей типов IVа и IVб допускается вычислять по массе задержанной пыли из соотношений:
- для воздухоочистителей типа IVа:

; (7)
- для воздухоочистителей типа IVб:

, (8)
где qотс - коэффициент отсоса воздуха, %, вычисляемый по формуле

. (9)
За величину m3 принимают:
- массу пыли, задержанной в бункере и осевшей на корпусных деталях воздухоочистителя - для воздухоочистителей типа IVа;
- массу пыли, задержанной циклоном
7, абсолютным фильтром
8 (см.
рисунок 1) и осевшей на корпусных деталях воздухоочистителя и абсолютного фильтра, - для воздухоочистителей типа IVб.
6.3.3 Коэффициент пропуска пыли воздухоочистителей типа IVв определяют методом фильтрации полного потока воздуха. Рекомендуется перед абсолютным фильтром 13 устанавливать циклон с пылесборником. В этом случае за величину g принимают массу пыли, задержанной в пылесборнике циклона абсолютным фильтром и осевшей на корпусных деталях циклона и абсолютного фильтра.
6.3.4 Средний коэффициент пропуска пыли

представляет собой средневзвешенное значение коэффициентов пропуска

, полученных при определении продолжительности работы воздухоочистителя по
6.4.
6.3.5 Запыленность воздуха на входе в воздухоочиститель
6.3.5.1 Запыленность воздуха на входе в воздухоочиститель

, г/м
3, характеризуется количеством пыли в граммах, содержащимся в 1 м
3 воздуха, входящего в воздухоочиститель, вычисляют по формуле

, (10)
где

- продолжительность испытания, ч.
Примечание -
Qотс принимает значения в соответствии с
5.10.2.
6.3.6 Запыленность воздуха на выходе из воздухоочистителя
6.3.6.1 Запыленность воздуха на выходе из воздухоочистителя

, г/м
3, характеризуется количеством пыли в миллиграммах, содержащимся в 1 м
3 воздуха, выходящего из воздухоочистителя.
6.3.6.2 Запыленность воздуха на выходе из воздухоочистителя может быть определена двумя способами:
- методом частичного отбора;
- методом фильтрации полного потока воздуха.
Способ определения запыленности воздуха выбирают в зависимости от типа воздухоочистителя, значения расхода воздуха и эффективности очистки воздуха от пыли. Запыленность воздуха на выходе из воздухоочистителя вычисляют по формуле

, (11)
где q - часовой расход воздуха через абсолютный фильтр, приведенный к условиям входа в воздухоочиститель, м3/ч.
Значение q вычисляют по формулам:
- при определении запыленности воздуха методом частичного отбора

, (12)

, (13)
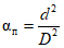
где

- отношение площадей отборной трубки и площади трубопровода;
d - внутренний диаметр отборной трубки, мм;
D - внутренний диаметр трубы, выходящий из воздухоочистителя, мм;
- при определении запыленности методом фильтрации полного потока воздуха
q = A·Kр·Qном. (14)
Примечание -
Kр принимает значения по
6.2.1.2.
Если в процессе испытаний расход q вследствие повышения сопротивления абсолютного фильтра или воздухоочистителя уменьшится на 2,5%, то его необходимо откорректировать так, чтобы он принял расчетное значение.
Примечания
1 При применении для частичного отбора пневмометрической отборной трубки имеющиеся в ее конструкции трубки статического давления внутри и вне ее соединяются с U-образным водяным манометром.
2 Перед началом испытания следует установить по расходомеру
10 частичного отбора необходимый перепад давления

и откорректировать его так, чтобы перепад давлений на манометре, соединенном с трубками статического давления, был равен нулю. Полученный при этом действительный расход воздуха регистрируют по расходомеру
10.
3 Во время опыта поддерживают перепад давлений на манометре, соединенном с трубками статического давления, равным нулю.
6.3.6.3 Коэффициент пропуска пыли всех типов воздухоочистителей, за исключением типа III, определяют при расходах воздуха в соответствии с
6.2.1.2. Фильтрующие элементы воздухоочистителей типов I, II и V (если в состав воздухоочистителя типа V входят воздухоочистители типов I и II) перед каждым испытанием должны быть обслужены в соответствии с инструкцией.
6.3.7 Масса пыли, подаваемой в воздухоочиститель за одно испытание при разных расходах воздуха, должна быть одинаковой с допустимым отклонением +/- 10%, при этом время испытания на разных расходах воздуха будет разным, исходя из того, что запыленность воздуха на входе в воздухоочиститель была постоянной. Масса пыли, подаваемой за одно испытание, принимается равной

, (15)
где

- продолжительность работы воздухоочистителя до достижения предельного сопротивления или до технического обслуживания, ч.
6.3.8 При испытаниях воздухоочистителей типов I и V, если последний имеет в своем составе воздухоочиститель типа I, перед каждым испытанием по определению эффективности очистки воздухоочиститель продувают в течение 10 мин на расходе воздуха, равном
Qв max.
6.3.9 Воздухоочистители типов III и V, если последний имеет в своем составе воздухоочиститель типа III, испытывают на эффективность очистки воздуха от пыли на двух расходах воздуха: 0,2
Qв max и 1,0
Qв max. Каждое испытание проводят не менее чем с двумя новыми сменными фильтрующими элементами на каждом расходе воздуха.
6.3.10 Испытания воздухоочистителей всех типов на каждом расходе воздуха проводят дважды, кроме воздухоочистителей, указанных в
6.3.9. Если отклонение полученных коэффициентов пропуска превышает 10% от их среднего арифметического, то проводят третье испытание. За коэффициент пропуска принимают среднее арифметическое значение результатов испытаний.
6.4 Определение продолжительности работы воздухоочистителя
6.4.1 Продолжительность работы воздухоочистителя представляет собой время работы воздухоочистителя до момента появления необходимости технического обслуживания, т.е. промывки и заправки маслом, очистки или замены фильтрующего элемента.
6.4.2 Продолжительность работы воздухоочистителя

определяют при постоянных запыленности и расходе воздуха на входе в воздухоочиститель до момента появления одного из признаков:
- достижение предельно допустимого сопротивления

, установленного КД;
- превышение коэффициента пропуска пыли, полученного на данном расходе воздуха при чистом воздухоочистителе, вследствие увеличения пыли или уноса масла.
6.4.3 Запыленность воздуха на входе в воздухоочиститель

устанавливают такой же, как при проведении испытаний по
6.3.
6.4.4 Испытания проводят при расходе воздуха на входе в воздухоочиститель, равном
Qв = 0,8·A·Qном + Qотс, (16)
где
Qотс принимается в соответствии с
5.10.2.
Если в процессе испытаний значение Qв вследствие повышения сопротивления воздухоочистителя уменьшится на 2,5%, то его необходимо откорректировать так, чтобы оно приняло расчетное значение.
6.4.5 Воздухоочистители типов I и V, если последний содержит в своем составе воздухоочиститель типа I, испытывают в вертикальном положении.
6.4.6 Во время испытаний воздухоочистителей через равные промежутки времени определяют:
- сопротивление;
- коэффициент пропуска пыли.
6.4.7 Во время испытаний воздухоочистителей типов I, II, III и V, если последний имеет в своем составе воздухоочистители указанных типов, через каждые 2 ч работы делают перерыв в испытаниях не менее чем на 15 мин. После перерыва воздухоочистители типов I и V, если последний имеет в своем составе воздухоочиститель типа I, продувают, как указано в
6.3.8.
6.4.8 При определении запыленности воздуха на выходе из воздухоочистителя методом частичного отбора смену фильтровального материала абсолютного фильтра осуществляют без прекращения прососа воздуха через воздухоочиститель.
6.4.9 При достижении предельно допустимого сопротивления делают остановку, указанную в
6.4.7. После остановки испытания возобновляют и при повторном достижении предельно допустимого сопротивления прекращают. Время работы воздухоочистителя с подачей в него пыли до момента прекращения испытаний считается продолжительностью его работы.
6.4.10 Воздухоочистители типов IVб и IVв испытывают при

в течение 5 ч с определением коэффициента пропуска пыли

через каждый час работы.
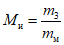
6.5 Определение коэффициента использования масла
6.5.1 Коэффициент использования масла Mи, %, представляет собой отношение массы пыли, задержанной воздухоочистителем во время испытаний по определению продолжительности работы до достижения предельного сопротивления, к массе масла, заправленного в воздухоочиститель, который вычисляют по формуле

(17)
где m3 - масса пыли, задержанной воздухоочистителем во время испытаний, г;
mм - масса масла, заправленного в воздухоочиститель, г.
6.5.2 Коэффициент использования масла определяют у воздухоочистителей типов I, II и V, если в последнем имеются воздухоочистители типов I и II. Коэффициент использования масла определяют только для оценки новых и модернизированных воздухоочистителей.
6.6 Определение герметичности воздухоочистителя
Воздухоочиститель типов III и V, если последний имеет в своем составе воздухоочиститель типа III, считают герметичным, если при визуальном контроле его сменного элемента не выявлено нарушений целостности фильтрующей шторы и мест соединений и присоединительные размеры соответствуют КД изготовителя.
6.7 Окончательную оценку пригодности новых и модернизированных воздухоочистителей для установки на определенный двигатель проводят непосредственно по данным его испытаний на этом двигателе в эксплуатационных условиях.
7 Обработка результатов испытаний
7.1 По результатам испытаний составляют отчет. Пример обработки результатов приведен в
приложении Г. В отчете приводят следующие данные.
7.1.1 Наименование организации, проводившей испытания, и дата испытаний.
7.1.2 Данные по воздухоочистителю:
- предприятие - изготовитель воздухоочистителя;
- дата выпуска;
- тип воздухоочистителя;
- модель воздухоочистителя;
- тип двигателя, для которого предназначен воздухоочиститель;
- часовой расход воздуха через воздухоочиститель;
- схема (чертеж) воздухоочистителя (в отчет внутреннего пользования допускается не вносить);
- конструктивные данные;
- габаритные размеры;
- сухая масса;
- размеры входного патрубка;
- размеры выходного патрубка;
- конструктивные данные фильтрующих элементов (для воздухоочистителей типа III);
- масса масла, заправляемого в воздухоочиститель.
7.1.3 Данные по условиям испытаний:
- атмосферные условия в помещении;
- схема безмоторной установки (в отчет внутреннего пользования допускается не вносить);
- запыленность воздуха на входе в воздухоочиститель;
- метод определения коэффициента пропуска пыли;
- дополнительные данные об условиях или методике испытаний (в случае необходимости).
7.1.4 Результаты испытаний:
- данные по уносу масла (для воздухоочистителей типов I, II и V, если последний в своем составе имеет воздухоочистители типов I и II);
- график зависимости сопротивления

воздухоочистителя от часового расхода воздуха
Qв, выраженного в процентах от
Qв max;
- график зависимости разрежения Hотс.прив в патрубке отсоса пыли от часового расхода воздуха Qв, выраженного в процентах от Qв max для воздухоочистителей типов IVб и V, если последний имеет в своем составе воздухоочиститель типа IVб;
- график зависимости коэффициента пропуска пыли

от расхода воздуха
Qв, выраженного в процентах от
Qв max, для воздухоочистителей типов III и V, если последний содержит воздухоочиститель типа III, указанная зависимость приводится в табличной форме;
- график зависимости коэффициента пропуска пыли

от времени работы воздухоочистителя

(время работы должно быть пересчитано на запыленность, выбранную при испытаниях по
5.6). Допускается взамен указанного приводить график зависимости

от количества пыли, поступившей в воздухоочиститель (
m1 -
m2);
- график зависимости сопротивления воздухоочистителя

от времени работы

(время работы должно быть пересчитано на запыленность, выбранную при испытаниях по
5.6). Допускается взамен указанного приводить график зависимости

от количества пыли, поступившей в воздухоочиститель (
m1 -
m2);
- коэффициент использования масла Mи.
7.1.5 Выводы и заключение
(рекомендуемое)
ПРИБОР ТИПА ПСХ ДЛЯ ОПРЕДЕЛЕНИЯ УДЕЛЬНОЙ ПОВЕРХНОСТИ ПЫЛИ
А.1 Устройство прибора
А.1.1 Прибор предназначен для определения удельной поверхности порошковых материалов и, в частности, удельной поверхности пыли, применяемой для испытания воздухоочистителей. Принципиальная схема прибора приведена на
рисунке А.1.
1 - резиновая груша и соединительные трубки; 2 - кран;
3 - манометр; 4 - плунжер; 5 - кювета
Рисунок А.1 - Принципиальная схема прибора
Стеклянные части прибора смонтированы на панели, прикрепленной к внутренней стенке футляра.
А.1.2 Кювета предназначена для укладки в ней слоя испытуемого материала; она представляет собой металлический цилиндр, перегороженный на некоторой высоте диском с высверленными в нем отверстиями. Часть цилиндра, ограниченная диском и дном кюветы, с помощью штуцера и гибкой резиновой трубки присоединена к жидкостному манометру. На внешней поверхности кюветы нанесена миллиметровая шкала.
А.1.3 Плунжер, посредством которого осуществляется уплотнение слоя материала в кювете, выполнен в виде цилиндра с упорным диском. В теле плунжера просверлен канал, а в его донышке - отверстия для прохождения воздуха. К вырезу упорного диска прикреплена планка с нониусом, которая вместе со шкалой на внешней поверхности кюветы позволяет измерять толщину слоя испытуемого материала.
А.1.4 Резиновая груша с клапанами служит для создания разрежения под слоем материала.
А.1.5 Манометр предназначен для определения разрежения воздуха под слоем испытуемого материала и в сочетании с секундомером используется для определения воздухопроницаемости слоя испытуемого материала. Прибор снабжен стеклянным одноколенным манометром высотой около 300 мм, заполненным подкрашенной водой.
В комплект прибора входят секундомер, аптекарские весы и разновесы.
А.2 Проведение анализа
А.2.1 Для определения удельной поверхности необходимо:
- взять порцию пыли массой

, где

- плотность пыли, г/см
3. Плотность пыли, приготовленной из кварца, можно принимать равной 2,7 г/см
3;
- положить в кювету кружок фильтровальной бумаги, вырезанной по внутреннему диаметру кюветы, и высыпать на него порцию пыли, предназначенную для испытания. Легким постукиванием разровнять слои, покрыть сверху вторым кружком фильтровальной бумаги и уплотнить плунжером, нажимая на него рукой;
- с помощью нониуса на планке плунжера и шкалы на внешней поверхности кюветы измерить высоту слоя пыли;
- удалить плунжер из кюветы, открыть кран и посредством груши создать разрежение под слоем пыли. Это разрежение должно быть таким, чтобы жидкость в манометре поднялась до уровня верхней колбочки;
- закрыть кран, измерить по секундомеру время Tс прохождения мениска жидкости в манометре между двумя рисками (при быстром оседании столба жидкости - между рисками 03 - 04, при медленном - между рисками 01 - 02);
- записать температуру воздуха в помещении.
А.3 Вычисления
А.3.1 Для расчета значения удельной поверхности следует:
- по измеренным значениям высоты слоя
L, см, температуре воздуха
T, К, найти в
таблице А.1 величину
M;
Таблица А.1
Значение величины
M при различных
L и
T
L, см | T, К |
286 | 288 | 290 | 292 | 294 | 296 | 298 | 299 |
1,11 | 316 | 315 | 314 | 313 | 312 | 311 | 310 | 308 |
1,12 | 325 | 324 | 323 | 322 | 321 | 320 | 319 | 317 |
1,13 | 333 | 332 | 331 | 330 | 329 | 328 | 327 | 325 |
1,14 | 341 | 340 | 339 | 338 | 337 | 336 | 335 | 333 |
1,15 | 349 | 348 | 347 | 346 | 345 | 344 | 343 | 340 |
1,16 | 357 | 356 | 355 | 354 | 353 | 352 | 351 | 348 |
1,17 | 365 | 364 | 363 | 362 | 361 | 360 | 359 | 356 |
1,18 | 374 | 373 | 372 | 371 | 370 | 369 | 368 | 365 |
1,19 | 383 | 382 | 381 | 380 | 379 | 377 | 376 | 373 |
1,20 | 391 | 390 | 389 | 388 | 387 | 386 | 385 | 382 |
1,21 | 399 | 398 | 397 | 396 | 394 | 393 | 392 | 389 |
1,22 | 407 | 406 | 405 | 404 | 402 | 401 | 400 | 397 |
1,23 | 416 | 414 | 413 | 412 | 410 | 409 | 408 | 405 |
1,24 | 423 | 422 | 421 | 420 | 419 | 418 | 416 | 413 |
1,25 | 430 | 429 | 428 | 427 | 425 | 424 | 423 | 420 |
1,26 | 438 | 437 | 436 | 434 | 433 | 432 | 431 | 428 |
1,27 | 445 | 444 | 443 | 441 | 440 | 439 | 438 | 435 |
1,28 | 453 | 452 | 451 | 450 | 448 | 447 | 446 | 443 |
1,29 | 461 | 460 | 459 | 457 | 456 | 455 | 454 | 451 |
1,30 | 469 | 468 | 467 | 465 | 464 | 463 | 462 | 459 |
1,31 | 479 | 477 | 475 | 473 | 472 | 471 | 469 | 466 |
1,32 | 487 | 485 | 483 | 481 | 479 | 478 | 477 | 474 |
1,33 | 495 | 493 | 491 | 489 | 487 | 486 | 485 | 483 |
1,34 | 503 | 501 | 499 | 497 | 495 | 494 | 493 | 489 |
1,35 | 510 | 508 | 506 | 504 | 502 | 501 | 500 | 496 |
1,36 | 517 | 515 | 513 | 512 | 510 | 509 | 507 | 504 |
1,37 | 524 | 522 | 520 | 519 | 517 | 515 | 514 | 513 |
1,38 | 531 | 529 | 527 | 526 | 524 | 523 | 521 | 518 |
1,39 | 538 | 536 | 534 | 532 | 531 | 529 | 528 | 524 |
1,40 | 546 | 544 | 542 | 540 | 538 | 537 | 536 | 532 |
1,41 | 554 | 552 | 550 | 549 | 547 | 546 | 544 | 540 |
1,42 | 561 | 559 | 557 | 556 | 554 | 553 | 551 | 547 |
1,43 | 569 | 567 | 565 | 564 | 562 | 561 | 559 | 555 |
1,44 | 576 | 574 | 572 | 571 | 569 | 568 | 566 | 561 |
1,45 | 583 | 581 | 579 | 578 | 576 | 575 | 574 | 570 |
1,46 | 590 | 588 | 586 | 584 | 582 | 581 | 578 | 574 |
1,47 | 597 | 595 | 593 | 591 | 589 | 588 | 586 | 581 |
1,48 | 604 | 602 | 600 | 599 | 597 | 595 | 593 | 589 |
1,49 | 611 | 609 | 607 | 606 | 604 | 602 | 600 | 596 |
1,50 | 618 | 616 | 614 | 613 | 611 | 609 | 607 | 603 |
- вычислить удельную поверхность пыли S, см2/г, по формуле

, (А.1)
где M - табличное значение;
K - постоянная прибора по паспорту для той пары рисок, между которыми наблюдалось падение столба жидкости за время Tс;
T - время прохождения мениска жидкости в манометре между двумя рисками, с;
P - значение порции пыли, г.
А.4 Проверка исправности прибора
А.4.1 Количество жидкости в манометре должно быть таким, чтобы ее уровень приходился против нижней риски. Уровень жидкости проверить при пустой и открытой кювете.
А.4.2 Прибор должен быть герметичен. Для проверки герметичности кювету следует плотно закрыть резиновой пробкой. В приборе, как описано выше, создается разрежение и наблюдается положение уровня жидкости в манометре. Если прибор герметичен, этот уровень не опускается.
А.4.3 Опустить плунжер в кювету, в которую положено два слоя фильтровальной бумаги, и проверить совпадение нулевых делений нониуса и шкалы. Если имеется какое-либо несоответствие (нулевые деления не совпадают), то его следует учитывать при измерении высоты слоя испытуемого материала.
А.5 Определение удельной поверхности грубодисперсных порошков
А.5.1 Для определения удельной поверхности грубодисперсных порошков (с удельной поверхностью менее 1500 см
2/г) берут порцию пыли, численно равную удесятеренной плотности, и измеряют время падения столба манометра между рисками 03 и 04. Значение
M в этом случае определяют по
таблице А.1 для одной трети измеренной высоты слоя, а удельную поверхность
S, см
2/г, вычисляют по формуле

, (А.2)
где

, (А.3)
где L - высота слоя, см;

- динамическая вязкость воздуха при проведении анализа, г/см·с.
(рекомендуемое)
Б.1 Схема распылителя пыли и ее основные размеры приведены на
рисунке Б.1.
Рисунок Б.1 - Распылитель пыли
(рекомендуемое)
ПРИМЕРНЫЙ ДИСПЕРСНЫЙ СОСТАВ ПЫЛИ, СООТВЕТСТВУЮЩИЙ
УДЕЛЬНОЙ ПОВЕРХНОСТИ 5600 СМ2/Г
В.1 Примерный дисперсный состав пыли, соответствующий удельной поверхности 5600 см
2/г, представлен в
таблице В.1.
Интервал диаметра частиц, мкм | 0 - 5 | 0 - 10 | 0 - 15 | 0 - 20 | 0 - 25 | 0 - 30 | Св. 30 |
Содержание частиц по массе, % | 15 | 41 | 63 | 75 | 83 | 88 | Остальное |
(рекомендуемое)
ПРИМЕР ОБРАБОТКИ ЭКСПЕРИМЕНТАЛЬНЫХ ДАННЫХ
Г.1 Двигатель - автомобильный, четырехтактный, восьмицилиндровый.
Номинальный расход воздуха Qном = 490 м3/ч.
Воздухоочиститель - тип I (инерционно-масляный), внутренний диаметр выходного отверстия воздухоочистителя D = 70 мм. Количество заливаемого масла mм = 1000 г.
Условия испытаний
Атмосферные условия в помещении:
- барометрическое давление = 99,38 кПа;
- температура окружающего воздуха T = 293 К;
- плотность окружающего воздуха

;
- запыленность воздуха на входе в воздухоочиститель

.
Установка для испытаний
Внутренний диаметр трубопровода перед сужающим устройством D = 80 мм.
Диаметр отверстия сужающего устройства d = 51,8 мм.
Модуль сужающего устройства

.
Измерение запыленности воздуха за воздухоочистителем проводят методом частичного отбора. Измерение расхода воздуха на линии частичного отбора проводят с помощью тарированного дроссельного расходомера.
Г.2 Определение расхода воздуха на входе в воздухоочиститель
Расходы воздуха на входе в воздухоочиститель определяют по
5.10.1. Например, для испытаний воздухоочистителя на унос масла часовой расход воздуха на входе в воздухоочиститель
Qв, м
3/ч, рассчитывают по формуле
Qв = A·B·Qном = 1,0·1,1·490 = 539, (Г.1)
где
A - коэффициент, учитывающий пульсацию воздуха во всасывающем тракте двигателя (см.
таблицу 2);
B - коэффициент, зависящий от вида испытаний (см.
таблицу 3);
Qном - часовой расход воздуха двигателем, м3/ч.
Для обеспечения расхода воздуха необходимо определить перепад давлений в сопле
10 (см.
рисунок 1). Перепад давлений в сопле определяют двумя этапами. Вначале подсчитывают предварительный перепад давлений, кПа, без учета поправок на вязкость
K1, расширение

и состояние воздуха перед соплом. Перепад давлений

, кПа, вычисляют по формуле

, (Г.2)
где Qв - расход воздуха, м3/ч;

- плотность окружающего воздуха, г/см
3;

- исходный коэффициент расхода сопла, равный 1,049;
K2 - поправочный множитель на шероховатость, равный 1,0028;
d - диаметр отверстия сужающего устройства, мм.
Перепад давлений, кПа, равен

.
Уточненный перепад давлений, кПа, в сопле вычисляют по формуле

, (Г.3)
где K1 - поправочный множитель на вязкость;

- поправочный множитель на расширение;

- плотность воздуха перед соплом, кг/м
3;
Устанавливают перепад

, кПа (274 мм вод. ст.), и измеряют значение разрежения перед соплом
h1 = 2,423 кПа (245 мм. вод. ст.).
Вычисляют абсолютное давление перед соплом, кПа:
P1 = B - h1 = 99,395 - 2,403 = 96,992 (Г.4)
Плотность воздуха перед соплом

.
Поправочный множитель на вязкость вычисляют с учетом числа Рейнольдса, которое вычисляется по формуле

, (Г.5)
где D - внутренний диаметр трубопровода перед сужающим устройством, мм;

- динамическая вязкость воздуха перед соплом, кг/м·с.
Для нашего случая K1 = 0,998.
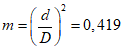
Поправочный множитель на расширение

с достаточной степенью точности может быть определен по отношению

и по модулю
m = 0,419. Для нашего случая

.
Уточненный перепад давления в сопле, кПа, обеспечивающий заданный расход воздуха на входе в воздухоочиститель, равен

.
Г.3 Значение уноса масла определяют по
6.1.
Масса воздухоочистителя до опыта mв1 = 6270 г.
Масса воздухоочистителя после опыта mв2 = 6269 г.
Значение уноса масла из воздухоочистителя, г, равно
mв1 - mв2 = 6270 - 6269 = 1.
Г.4 Определение сопротивления воздухоочистителя

проводят по
6.2 на пяти расходах воздуха.
Расходы воздуха определяют в соответствии с
Г.2.
Измеренные значения

, кПа, приводят к нормальным атмосферным условиям по формуле

. (Г.6)
На основании полученных данных строят график зависимости приведенного сопротивления от расхода воздуха (см.
рисунок Г.1).
Рисунок Г.1 - График зависимости приведенного сопротивления
от расхода воздуха
Г.5 Определение коэффициента пропуска пыли проводят по
6.3. Ниже приведен пример расчета коэффициента пропуска пыли для режима
Kр = 1.
Расход воздуха на входе в воздухоочиститель, м3/ч:
Qв = Kр·A·B·Qном = 490. (Г.7)
Расход воздуха в линии частичного отбора, приведенный к условиям входа в воздухоочиститель, м3/ч

, (Г.8)
Расход воздуха через сопло, м3/ч, приведенный к условиям входа в воздухоочиститель:
Qс = Qв - q = 490 - 6,4 = 483,6. (Г.9)
Перепад давления в сопле на трассе основного расхода воздуха вычисляют в соответствии с
Г.2.
Подсчитанный таким образом перепад давлений в сопле

(242) мм. вод. ст.).
Запыленность воздуха на входе в воздухоочиститель подсчитывают исходя из следующих данных.
Продолжительность опыта принимается

.
Объем воздуха, прошедшего через воздухоочиститель за время опыта, м3:

. (Г.10)
За время опыта в воздухоочиститель было подано (G1 - G2) г пыли.
Запыленность воздуха на входе в воздухоочиститель, г/м3, вычисляют по формуле

. (Г.11)
Определяют запыленность воздуха за воздухоочистителем.
По тарировочной кривой дроссельного расходомера расход воздуха
q = 6,4 м
3/ч соответствует перепаду давлений в расходомере

(120 мм вод. ст.).
Чтобы выдержать равенство скоростей в трубопроводе
14 (см.
рисунок 1) и в устье отборной трубки
16, следует учесть различие в значениях плотности воздуха: на входе в воздухоочиститель, в месте отбора воздуха в трубе
14, перед расходомером
10 и при тарировке расходомера. Для этого необходимо определить уточненный перепад в дроссельном расходомере

, предварительно экспериментально определив разрежение воздуха в месте отбора запыленного воздуха в трубопроводе
14 и перед расходомером
10.
На соответствующих расходомерах устанавливают перепады

(242 мм вод. ст.) и

(120 мм вод. ст.) и измеряют

(183 мм вод. ст.) и
hотб = 16,667 кПа (125 мм вод. ст.).
По этим данным вычисляют условный расход
q', м
3/ч, необходимый для определения по тарировочной кривой

:

(Г.12)
По тарировочной кривой находят

(136 мм вод. ст.).
Объем воздуха, м3, прошедшего через абсолютный фильтр за время опыта, составил

. (Г.13)
Привес абсолютного фильтра за испытание g = 20,9 мг.
Запыленность воздуха на выходе из воздухоочистителя, мг/м3:

. (Г.14)
Коэффициент пропуска пыли воздухоочистителя, %:

. (Г.15)
На основании полученных данных строят график зависимости коэффициента пропуска пыли от расхода воздуха (см.
рисунок Г.2).
Рисунок Г.2 - График зависимости коэффициента
пропуска пыли от расхода воздуха
Г.6 Определение продолжительности работы воздухоочистителя до предельного сопротивления или технического обслуживания
Подсчет расходов воздуха и перепадов на мерных расходомерах выполняют для первого испытания. В процессе испытаний выполняют корректировку перепадов на расходомерах по
6.4.4. Продолжительность опыта

из условий соблюдения
6.3.7 принята равной

.
После проведения испытаний на основании полученных данных строят графики зависимости

и

от продолжительности работы.
Обработку результатов испытаний рекомендуется проводить в табличной форме (см.
таблицу Г.1).
Номер испытания | Количество поступившей пыли в воздухоочиститель | Данные по сопротивлению | Данные по коэффициенту пропуска пыли |
m1i - m2i, г |  , г | Сопротивление воздухоочистителя, приведенное  , кПа | Приведенная продолжительность работы  , ч | Коэффициент пропуска пыли за испытание  , % | Приведенная продолжительность испытания  , ч | Приведенная продолжительность работы  , ч |
1 | 2 | 3 | 4 | 5 | 6 | 7 | 8 |
1 | 126 | 126 | В начале испытания 1,874 | 0 | 1,10 | 0,92 | 0,46 |
| | | В конце испытания 1,923 | 0,92 | - | - | - |
2 | 136 | 262 | В начале испытания 1,923 | 0,92 | 1,05 | 0,99 | 1,37 |
| | | В конце испытания 1,952 | 1,91 | - | - | - |
... ... | ... ... | ... ... | ... ... | ... ... | ... ... | ... ... | ... ... |
... | ... | ... | ... | ... | ... | ... | ... |
12 | 138 | 772 | В начале испытания 4,316 | 10,92 | 0,33 | 1,01 | 11,43 |
| | | В конце испытания 4,905 | 11,93 | - | - | - |
13 | 142 | 914 | В начале испытания 3,944 | 11,93 | 0,30 | 1,04 | 12,44 |
| | | В конце испытания 4,905 | 12,97 | - | - | - |
Значение приведенной продолжительности работы, ч, необходимое для построения графика

, вычисляют по формуле

, (Г.16)
где Gр - расчетная часовая подача пыли при принятых расходе и запыленности воздуха, г/ч, вычисляемая по формуле

. (Г.17)
В связи с тем, что действительная запыленность воздуха в испытаниях не остается постоянной, продолжительность испытания т, ч, пересчитывают на заданную запыленность

по формуле

, (Г.18)
где

- приведенная продолжительность испытания.
Значения приведенной продолжительности работы, ч, необходимые для построения графика

, вычисляют по формулам:
- для первого опыта

, (Г.19)
- для последующих опытов

, (Г.20)
На основании полученных данных строят графики

и

(см.
рисунок Г.3).
Продолжительность работы воздухоочистителя до предельного сопротивления 500 мм вод. ст.

.
Г.7 Определение коэффициента использования масла

. (Г.21)
Г.8 Средний коэффициент пропуска пыли, %, вычисляют по формулам:
а) при использовании метода частичного отбора

; (Г.22)
б) при использовании метода фильтрации полного потока

. (Г.23)
Примечание - Для воздухоочистителей типа IVб при подсчете средневзвешенного коэффициента пропуска пыли следует дополнить множителем (1 + qотс), где величина qотс принимается в долях единицы.
УДК 621.431.73:006.354 | |
Ключевые слова: двигатели внутреннего сгорания, воздухоочистители, методы стендовых испытаний |