Список изменяющих документов Росстандарта от 21.04.2021 N 251-ст) |
Краткое наименование страны по МК (ИСО 3166) 004-97 | Код страны по МК (ИСО 3166) 004-97 | Сокращенное наименование национального органа по стандартизации |
Азербайджан | AZ | Азстандарт |
Беларусь | BY | Госстандарт Республики Беларусь |
Казахстан | KZ | Госстандарт Республики Казахстан |
Киргизия | KG | Кыргызстандарт |
Молдова | MD | Молдова-Стандарт |
Россия | RU | Росстандарт |
Таджикистан | TJ | Таджикстандарт |
Узбекистан | UZ | Узстандарт |
Украина | UA | Госпотребстандарт Украины |

d | D | B | rsmin | |||
Серия ширин | ||||||
1 | 2 | 3 | 4 | 1 - 4 | ||
Размерная серия | ||||||
10 | 20 | 30 | 40 | 10 - 40 | ||
0,6 | 2,0 | 0,8 | - | - | - | 0,05 |
1,0 | 2,5 | 1,0 | - | - | - | 0,05 |
1,5 | 3,0 | 1,0 | - | 1,8 | - | 0,05 |
2,0 | 4,0 | 1,2 | - | 2,0 | - | 0,05 |
2,5 | 5,0 | 1,5 | 1,8 | 2,3 | - | 0,08 |
3,0 | 6,0 | 2,0 | 2,5 | 3,0 | - | 0,08 |
4,0 | 7,0 | 2,0 | 2,5 | 3,0 | - | 0,08 |
5,0 | 8,0 | 2,0 | 2,5 | 3,0 | - | 0,08 |
6,0 | 10,0 | 2,5 | 3,0 | 3,5 | - | 0,10 |
7,0 | 11,0 | 2,5 | 3,0 | 3,5 | - | 0,10 |
8,0 | 12,0 | 2,5 | - | 3,5 | - | 0,10 |
9,0 | 14,0 | 3,0 | - | 4,5 | - | 0,10 |
10,0 | 15,0 | 3,0 | - | 4,5 | - | 0,10 |
12,0 | 18,0 | 4,0 | - | 5,0 | - | 0,20 |
15,0 | 21,0 | 4,0 | - | 5,0 | - | 0,20 |
17,0 | 23,0 | 4,0 | - | 5,0 | - | 0,20 |
20,0 | 27,0 | 4,0 | - | 5,0 | 7 | 0,20 |
22,0 | 30,0 | 4,0 | - | 5,0 | 7 | 0,20 |
25,0 | 32,0 | 4,0 | - | 5,0 | 7 | 0,20 |
28,0 | 35,0 | 4,0 | - | 5,0 | 7 | 0,20 |
30,0 | 37,0 | 4,0 | - | 5,0 | 7 | 0,20 |
32,0 | 40,0 | 4,0 | - | 6,0 | 8 | 0,20 |
35,0 | 44,0 | 5,0 | - | 7,0 | 9 | 0,30 |
40,0 | 50,0 | 6,0 | - | 8,0 | 10 | 0,30 |
45,0 | 55,0 | 6,0 | - | 8,0 | 10 | 0,30 |
50,0 | 62,0 | 6,0 | - | 10,0 | 12 | 0,30 |
55,0 | 68,0 | 7,0 | - | 10,0 | 13 | 0,30 |
60,0 | 75,0 | 7,0 | - | 12,0 | 15 | 0,30 |
65,0 | 80,0 | 7,0 | - | 12,0 | 15 | 0,30 |
70,0 | 85,0 | 7,0 | - | 12,0 | 15 | 0,30 |
75,0 | 90,0 | 7,0 | - | 12,0 | 15 | 0,30 |
80,0 | 95,0 | 7,0 | - | 12,0 | 15 | 0,30 |
85,0 | 105,0 | 10,0 | - | 15,0 | - | 0,60 |
90,0 | 110,0 | 10,0 | - | 15,0 | - | 0,60 |
95,0 | 115,0 | 10,0 | - | 15,0 | - | 0,60 |
100 | 120 | 10 | - | 15 | - | 0,6 |
105 | 125 | 10 | - | 15 | - | 0,6 |
110 | 135 | 13 | - | 19 | - | 1,0 |
120 | 145 | 13 | - | 19 | - | 1,0 |
130 | 160 | 16 | - | 23 | - | 1,0 |
140 | 170 | 16 | - | 23 | - | 1,0 |
150 | 180 | 16 | - | 23 | - | 1,0 |
160 | 190 | 16 | - | 23 | - | 1,0 |
170 | 200 | 16 | - | 23 | - | 1,0 |
180 | 215 | 18 | - | 26 | - | 1,1 |
190 | 230 | 20 | - | 30 | - | 1,1 |
200 | 240 | 20 | - | 30 | - | 1,1 |
d | D | B | rsmin | |||||||
Серия ширин | ||||||||||
7 | 1 | 2 | 3 | 4 | 5 | 6 | 7 | 1 - 6 | ||
Размерная серия | ||||||||||
78 | 18 | 28 | 38 | 48 | 58 | 68 | 78 | 18 - 68 | ||
0,6 | 2,5 | - | 1,0 | - | 1,4 | - | - | - | - | 0,05 |
1,0 | 3,0 | - | 1,0 | - | 1,5 | - | - | - | - | 0,05 |
1,5 | 4,0 | - | 1,2 | 1,7 | 2,0 | - | - | - | - | 0,05 |
2,0 | 5,0 | - | 1,5 | - | 2,3 | - | - | - | - | 0,08 |
2,5 | 6,0 | - | 1,8 | - | 2,6 | - | - | - | - | 0,08 |
3,0 | 7,0 | - | 2,0 | 2,5 | 3,0 | - | - | - | - | 0,10 |
4,0 | 9,0 | - | 2,5 | 3,5 | 4,0 | - | - | - | - | 0,10 |
5,0 | 11,0 | - | 3,0 | 4,0 | 5,0 | - | - | - | - | 0,15 |
6,0 | 13,0 | - | 3,5 | 5,0 | 6,0 | - | - | - | - | 0,15 |
7,0 | 14,0 | - | 3,5 | 5,0 | 6,0 | - | - | - | - | 0,15 |
8,0 | 16,0 | - | 4,0 | 5,0 | 6,0 | 8 | - | - | - | 0,20 |
9,0 | 17,0 | - | 4,0 | 5,0 | 6,0 | 8 | - | - | - | 0,20 |
10,0 | 19,0 | - | 5,0 | 6,0 | 7,0 | 9 | - | - | - | 0,30 |
12,0 | 21,0 | - | 5,0 | 6,0 | 7,0 | 9 | - | - | - | 0,30 |
15,0 | 24,0 | - | 5,0 | 6,0 | 7,0 | 9 | - | - | - | 0,30 |
17 | 26 | - | 5 | 6 | 7 | 9 | - | - | - | 0,3 |
20 | 32 | 4 | 7 | 8 | 10 | 12 | 16 | 22 | 0,3 | 0,3 |
22 | 34 | 4 | 7 | - | 10 | - | 16 | 22 | 0,3 | 0,3 |
25 | 37 | 4 | 7 | 8 | 10 | 12 | 16 | 22 | 0,3 | 0,3 |
28 | 40 | 4 | 7 | - | 10 | - | 16 | 22 | 0,3 | 0,3 |
30 | 42 | 4 | 7 | 8 | 10 | 12 | 16 | 22 | 0,3 | 0,3 |
32 | 44 | 4 | 7 | - | 10 | - | 16 | 22 | 0,3 | 0,3 |
35 | 47 | 4 | 7 | 8 | 10 | 12 | 16 | 22 | 0,3 | 0,3 |
40 | 52 | 4 | 7 | 8 | 10 | 12 | 16 | 22 | 0,3 | 0,3 |
45 | 58 | 4 | 7 | 8 | 10 | 13 | 18 | 23 | 0,3 | 0,3 |
50 | 65 | 5 | 7 | 10 | 12 | 15 | 20 | 27 | 0,3 | 0,3 |
55 | 72 | 7 | 9 | 11 | 13 | 17 | 23 | 30 | 0,3 | 0,3 |
60 | 78 | 7 | 10 | 12 | 14 | 18 | 24 | 32 | 0,3 | 0,3 |
65 | 85 | 7 | 10 | 13 | 15 | 20 | 27 | 36 | 0,3 | 0,6 |
70 | 90 | 8 | 10 | 13 | 15 | 20 | 27 | 36 | 0,3 | 0,6 |
75 | 95 | 8 | 10 | 13 | 15 | 20 | 27 | 36 | 0,3 | 0,6 |
80 | 100 | 8 | 10 | 13 | 15 | 20 | 27 | 36 | 0,3 | 0,6 |
85 | 110 | 9 | 13 | 16 | 19 | 25 | 34 | 45 | 0,3 | 1,0 |
90 | 115 | 9 | 13 | 16 | 19 | 25 | 34 | 45 | 0,3 | 1,0 |
95 | 120 | 9 | 13 | 16 | 19 | 25 | 34 | 45 | 0,3 | 1,0 |
100 | 125 | 9 | 13 | 16 | 19 | 25 | 34 | 45 | 0,3 | 1,0 |
105 | 130 | 9 | 13 | 16 | 19 | 25 | 34 | 45 | 0,3 | 1,0 |
110 | 140 | 10 | 16 | 19 | 23 | 30 | 40 | 54 | 0,6 | 1,0 |
120 | 150 | 10 | 16 | 19 | 23 | 30 | 40 | 54 | 0,6 | 1,0 |
130 | 165 | 11 | 18 | 22 | 26 | 35 | 46 | 63 | 0,6 | 1,1 |
140 | 175 | 11 | 18 | 22 | 26 | 35 | 46 | 63 | 0,6 | 1,1 |
150 | 190 | 13 | 20 | 24 | 30 | 40 | 54 | 71 | 0,6 | 1,1 |
160 | 200 | 13 | 20 | 24 | 30 | 40 | 54 | 71 | 0,6 | 1,1 |
170 | 215 | 14 | 22 | 27 | 34 | 45 | 60 | 80 | 0,6 | 1,1 |
180 | 225 | 14 | 22 | 27 | 34 | 45 | 60 | 80 | 0,6 | 1,1 |
190 | 240 | 16 | 24 | 30 | 37 | 50 | 67 | 90 | 1,0 | 1,5 |
200 | 250 | 16 | 24 | 30 | 37 | 50 | 67 | 90 | 1,0 | 1,5 |
220 | 270 | 16 | 24 | 30 | 37 | 50 | 67 | 90 | 1,0 | 1,5 |
240 | 300 | 19 | 28 | 36 | 45 | 60 | 80 | 109 | 1,0 | 2,0 |
260 | 320 | 19 | 28 | 36 | 45 | 60 | 80 | 109 | 1,0 | 2,0 |
280 | 350 | 22 | 33 | 42 | 52 | 69 | 95 | 125 | 1,1 | 2,0 |
300 | 380 | 25 | 38 | 48 | 60 | 80 | 109 | 145 | 1,5 | 2,1 |
320 | 400 | 25 | 38 | 48 | 60 | 80 | 109 | 145 | 1,5 | 2,1 |
340 | 420 | 25 | 38 | 48 | 60 | 80 | 109 | 145 | 1,5 | 2,1 |
360 | 440 | 25 | 38 | 48 | 60 | 80 | 109 | 145 | 1,5 | 2,1 |
380 | 480 | 31 | 46 | 60 | 75 | 100 | 136 | 180 | 2,0 | 2,1 |
400 | 500 | 31 | 46 | 60 | 75 | 100 | 136 | 180 | 2,0 | 2,1 |
420 | 520 | 31 | 46 | 60 | 75 | 100 | 136 | 180 | 2,0 | 2,1 |
440 | 540 | 31 | 46 | 60 | 75 | 100 | 136 | 180 | 2,0 | 2,1 |
460 | 580 | 37 | 56 | 72 | 90 | 118 | 160 | 218 | 2,1 | 3,0 |
480 | 600 | 37 | 56 | 72 | 90 | 118 | 160 | 218 | 2,1 | 3,0 |
500 | 620 | 37 | 56 | 72 | 90 | 118 | 160 | 218 | 2,1 | 3,0 |
530 | 650 | 37 | 56 | 72 | 90 | 118 | 160 | 218 | 2,1 | 3,0 |
560 | 680 | 37 | 56 | 72 | 90 | 118 | 160 | 218 | 2,1 | 3,0 |
600 | 730 | 42 | 60 | 78 | 98 | 128 | 175 | 236 | 3,0 | 3,0 |
630 | 780 | 48 | 69 | 88 | 112 | 150 | 200 | 272 | 3,0 | 4,0 |
670 | 820 | 48 | 69 | 88 | 112 | 150 | 200 | 272 | 3,0 | 4,0 |
710 | 870 | 50 | 74 | 95 | 118 | 160 | 218 | 290 | 4,0 | 4,0 |
750 | 920 | 54 | 78 | 100 | 128 | 170 | 230 | 308 | 4,0 | 5,0 |
800 | 980 | 57 | 82 | 106 | 136 | 180 | 243 | 325 | 4,0 | 5,0 |
850 | 1030 | 57 | 82 | 106 | 136 | 180 | 243 | 325 | 4,0 | 5,0 |
900 | 1090 | 60 | 85 | 112 | 140 | 190 | 258 | 345 | 5,0 | 5,0 |
950 | 1150 | 63 | 90 | 118 | 150 | 200 | 272 | 355 | 5,0 | 5,0 |
1000 | 1220 | 71 | 100 | 128 | 165 | 218 | 300 | 400 | 5,0 | 6,0 |
1060 | 1280 | 71 | 100 | 128 | 165 | 218 | 300 | 400 | 5,0 | 6,0 |
1120 | 1360 | 78 | 106 | 140 | 180 | 243 | 325 | 438 | 5,0 | 6,0 |
1180 | 1420 | 78 | 106 | 140 | 180 | 243 | 325 | 438 | 5,0 | 6,0 |
1250 | 1500 | 80 | 112 | 145 | 185 | 250 | 335 | 450 | 6,0 | 6,0 |
1320 | 1600 | 88 | 122 | 165 | 206 | 280 | 375 | 500 | 6,0 | 6,0 |
1400 | 1700 | 95 | 132 | 175 | 224 | 300 | 400 | 545 | 6,0 | 7,5 |
1500 | 1820 | - | 140 | 185 | 243 | 315 | - | - | - | 7,5 |
1600 | 1950 | - | 155 | 200 | 265 | 345 | - | - | - | 7,5 |
1700 | 2060 | - | 160 | 206 | 272 | 355 | - | - | - | 7,5 |
1800 | 2180 | - | 165 | 218 | 290 | 375 | - | - | - | 9,5 |
1900 | 2300 | - | 175 | 230 | 300 | 400 | - | - | - | 9,5 |
2000 | 2430 | - | 190 | 250 | 325 | 425 | - | - | - | 9,5 |
d | D | B | rsmin | ||||||||
Серия ширин | |||||||||||
7 | 1 | 2 | 3 | 4 | 5 | 6 | 7 | 1 - 3 | 4 - 6 | ||
Размерная серия | |||||||||||
79 | 19 | 29 | 39 | 49 | 59 | 69 | 79 | 19 - 39 | 49 - 69 | ||
1,0 | 4 | - | 1,6 | - | 2,3 | - | - | - | - | 0,10 | - |
1,5 | 5 | - | 2,0 | - | 2,6 | - | - | - | - | 0,15 | - |
2,0 | 6 | - | 2,3 | - | 3,0 | - | - | - | - | 0,15 | - |
2,5 | 7 | - | 2,5 | - | 3,5 | - | - | - | - | 0,15 | - |
3,0 | 8 | - | 3,0 | - | 4,0 | - | - | - | - | 0,15 | - |
4,0 | 11 | - | 4,0 | - | 5,0 | - | - | - | - | 0,15 | - |
5,0 | 13 | - | 4,0 | - | 6,0 | 10 | - | - | - | 0,20 | 0,15 |
6,0 | 15 | - | 5,0 | - | 7,0 | 10 | - | - | - | 0,20 | 0,15 |
7,0 | 17 | - | 5,0 | - | 7,0 | 10 | - | - | - | 0,30 | 0,15 |
8,0 | 19 | - | 6,0 | - | 9,0 | 11 | - | - | - | 0,30 | 0,20 |
9,0 | 20 | - | 6,0 | - | 9,0 | 11 | - | - | - | 0,30 | 0,30 |
10,0 | 22 | - | 6,0 | 8,0 | 10,0 | 13 | 16 | 22 | - | 0,30 | 0,30 |
12,0 | 24 | - | 6,0 | 8,0 | 10,0 | 13 | 16 | 22 | - | 0,30 | 0,30 |
15,0 | 28 | - | 7,0 | 8,5 | 10,0 | 13 | 18 | 23 | - | 0,30 | 0,30 |
17,0 | 30 | - | 7,0 | 8,5 | 10,0 | 13 | 18 | 23 | - | 0,30 | 0,30 |
20,0 | 37 | 7 | 9,0 | 11,0 | 13,0 | 17 | 23 | 30 | 0,3 | 0,30 | 0,30 |
22,0 | 39 | 7 | 9,0 | 11,0 | 13,0 | 17 | 23 | 30 | 0,3 | 0,30 | 0,30 |
25,0 | 42 | 7 | 9,0 | 11,0 | 13,0 | 17 | 23 | 30 | 0,3 | 0,30 | 0,30 |
28,0 | 45 | 7 | 9,0 | 11,0 | 13,0 | 17 | 23 | 30 | 0,3 | 0,30 | 0,30 |
30,0 | 47 | 7 | 9,0 | 11,0 | 13,0 | 17 | 23 | 30 | 0,3 | 0,30 | 0,30 |
32,0 | 52 | 7 | 10,0 | 13,0 | 15,0 | 20 | 27 | 36 | 0,3 | 0,60 | 0,60 |
35,0 | 55 | 7 | 10,0 | 13,0 | 15,0 | 20 | 27 | 36 | 0,3 | 0,60 | 0,60 |
40,0 | 62 | 8 | 12,0 | 14,0 | 16,0 | 22 | 30 | 40 | 0,3 | 0,60 | 0,60 |
45,0 | 68 | 8 | 12,0 | 14,0 | 16,0 | 22 | 30 | 40 | 0,3 | 0,60 | 0,60 |
50,0 | 72 | 8 | 12,0 | 14,0 | 16,0 | 22 | 30 | 40 | 0,3 | 0,60 | 0,60 |
55,0 | 80 | 9 | 13,0 | 16,0 | 19,0 | 25 | 34 | 45 | 0,3 | 1,00 | 1,00 |
60,0 | 85 | 9 | 13,0 | 16,0 | 19,0 | 25 | 34 | 45 | 0,3 | 1,00 | 1,00 |
65,0 | 90 | 9 | 13,0 | 16,0 | 19,0 | 25 | 34 | 45 | 0,3 | 1,00 | 1,00 |
70,0 | 100 | 10 | 16,0 | 19,0 | 23,0 | 30 | 40 | 54 | 0,6 | 1,00 | 1,00 |
75,0 | 105 | 10 | 16,0 | 19,0 | 23,0 | 30 | 40 | 54 | 0,6 | 1,00 | 1,00 |
80,0 | 110 | 10 | 16,0 | 19,0 | 23,0 | 30 | 40 | 54 | 0,6 | 1,00 | 1,00 |
85,0 | 120 | 11 | 18,0 | 22,0 | 26,0 | 35 | 46 | 63 | 0,6 | 1,10 | 1,10 |
90,0 | 125 | 11 | 18,0 | 22,0 | 26,0 | 35 | 46 | 63 | 0,6 | 1,10 | 1,10 |
95,0 | 130 | 11 | 18,0 | 22,0 | 26,0 | 35 | 46 | 63 | 0,6 | 1,10 | 1,10 |
100,0 | 140 | 13 | 20,0 | 24,0 | 30,0 | 40 | 54 | 71 | 0,6 | 1,10 | 1,10 |
105,0 | 145 | 13 | 20,0 | 24,0 | 30,0 | 40 | 54 | 71 | 0,6 | 1,10 | 1,10 |
110,0 | 150 | 13 | 20,0 | 24,0 | 30,0 | 40 | 54 | 71 | 0,6 | 1,10 | 1,10 |
120,0 | 165 | 14 | 22,0 | 27,0 | 34,0 | 45 | 60 | 80 | 0,6 | 1,10 | 1,10 |
130,0 | 180 | 16 | 24,0 | 30,0 | 37,0 | 50 | 67 | 90 | 1,0 | 1,50 | 1,50 |
140,0 | 190 | 16 | 24,0 | 30,0 | 37,0 | 50 | 67 | 90 | 1,0 | 1,50 | 1,50 |
150 | 210 | 19 | 28 | 36 | 45 | 60 | 80 | 109 | 1,0 | 2,0 | 2,0 |
160 | 220 | 19 | 28 | 36 | 45 | 60 | 80 | 109 | 1,0 | 2,0 | 2,0 |
170 | 230 | 19 | 28 | 36 | 45 | 60 | 80 | 109 | 1,0 | 2,0 | 2,0 |
180 | 250 | 22 | 33 | 42 | 52 | 69 | 95 | 125 | 1,1 | 2,0 | 2,0 |
190 | 260 | 22 | 33 | 42 | 52 | 69 | 95 | 125 | 1,1 | 2,0 | 2,0 |
200 | 280 | 25 | 38 | 48 | 60 | 80 | 109 | 145 | 1,5 | 2,1 | 2,1 |
220 | 300 | 25 | 38 | 48 | 60 | 80 | 109 | 145 | 1,5 | 2,1 | 2,1 |
240 | 320 | 25 | 38 | 48 | 60 | 80 | 109 | 145 | 1,5 | 2,1 | 2,1 |
260 | 360 | 31 | 46 | 60 | 75 | 100 | 136 | 180 | 2,0 | 2,1 | 2,1 |
280 | 380 | 31 | 46 | 60 | 75 | 100 | 136 | 180 | 2,0 | 2,1 | 2,1 |
300 | 420 | 37 | 56 | 72 | 90 | 118 | 160 | 218 | 2,1 | 3,0 | 3,0 |
320 | 440 | 37 | 56 | 72 | 90 | 118 | 160 | 218 | 2,1 | 3,0 | 3,0 |
340 | 460 | 37 | 56 | 72 | 90 | 118 | 160 | 218 | 2,1 | 3,0 | 3,0 |
360 | 480 | 37 | 56 | 72 | 90 | 118 | 160 | 218 | 2,1 | 3,0 | 3,0 |
380 | 520 | 44 | 65 | 82 | 106 | 140 | 190 | 250 | 3,0 | 4,0 | 4,0 |
400 | 540 | 44 | 65 | 82 | 106 | 140 | 190 | 250 | 3,0 | 4,0 | 4,0 |
420 | 560 | 44 | 65 | 82 | 106 | 140 | 190 | 250 | 3,0 | 4,0 | 4,0 |
440 | 600 | 50 | 74 | 95 | 118 | 160 | 218 | 290 | 4,0 | 4,0 | 4,0 |
460 | 620 | 50 | 74 | 95 | 118 | 160 | 218 | 290 | 4,0 | 4,0 | 4,0 |
480 | 650 | 54 | 78 | 100 | 128 | 170 | 230 | 308 | 4,0 | 5,0 | 5,0 |
500 | 670 | 54 | 78 | 100 | 128 | 170 | 230 | 308 | 4,0 | 5,0 | 5,0 |
530 | 710 | 57 | 82 | 106 | 136 | 180 | 243 | 325 | 4,0 | 5,0 | 5,0 |
560 | 750 | 60 | 85 | 112 | 140 | 190 | 258 | 345 | 5,0 | 5,0 | 5,0 |
600 | 800 | 63 | 90 | 118 | 150 | 200 | 272 | 355 | 5,0 | 5,0 | 5,0 |
630 | 850 | 71 | 100 | 128 | 165 | 218 | 300 | 400 | 5,0 | 6,0 | 6,0 |
670 | 900 | 73 | 103 | 136 | 170 | 230 | 308 | 412 | 5,0 | 6,0 | 6,0 |
710 | 950 | 78 | 106 | 140 | 180 | 243 | 325 | 438 | 5,0 | 6,0 | 6,0 |
750 | 1000 | 80 | 112 | 145 | 185 | 250 | 335 | 450 | 6,0 | 6,0 | 6,0 |
800 | 1060 | 82 | 115 | 150 | 195 | 258 | 355 | 462 | 6,0 | 6,0 | 6,0 |
850 | 1120 | 85 | 118 | 155 | 200 | 272 | 365 | 488 | 6,0 | 6,0 | 6,0 |
900 | 1180 | 88 | 122 | 165 | 206 | 280 | 375 | 500 | 6,0 | 6,0 | 6,0 |
950 | 1250 | 95 | 132 | 175 | 224 | 300 | 400 | 545 | 6,0 | 7,5 | 7,5 |
1000 | 1320 | 103 | 140 | 185 | 236 | 315 | 438 | 580 | 6,0 | 7,5 | 7,5 |
1060 | 1400 | 109 | 150 | 195 | 250 | 335 | 462 | 615 | 7,5 | 7,5 | 7,5 |
1120 | 1460 | 109 | 150 | 195 | 250 | 335 | 462 | 615 | 7,5 | 7,5 | 7,5 |
1180 | 1540 | 115 | 160 | 206 | 272 | 355 | 488 | 650 | 7,5 | 7,5 | 7,5 |
1250 | 1630 | 122 | 170 | 218 | 280 | 375 | 515 | 690 | 7,5 | 7,5 | 7,5 |
1320 | 1720 | 128 | 175 | 230 | 300 | 400 | 545 | 710 | 7,5 | 7,5 | 7,5 |
1400 | 1820 | - | 185 | 243 | 315 | 425 | - | - | - | 9,5 | 9,5 |
1500 | 1950 | - | 195 | 258 | 335 | 450 | - | - | - | 9,5 | 9,5 |
1600 | 2060 | - | 200 | 265 | 345 | 462 | - | - | - | 9,5 | 9,5 |
1700 | 2180 | - | 212 | 280 | 355 | 475 | - | - | - | 9,5 | 9,5 |
1800 | 2300 | - | 218 | 290 | 375 | 500 | - | - | - | 12,0 | 12,0 |
1900 | 2430 | - | 230 | 308 | 400 | 530 | - | - | - | 12,0 | 12,0 |
d | D | B | rsmin | |||||||
Серия ширин | ||||||||||
7 | 0 | 2 | 3 | 4 | 5 | 6 | 7 | 0 - 6 | ||
Размерная серия | ||||||||||
71 | 01 | 21 | 31 | 41 | 51 | 61 | 71 | 01 - 61 | ||
1,5 | 6 | - | 2,5 | - | 3,0 | - | - | - | - | 0,15 |
2,0 | 7 | - | 2,8 | - | 3,5 | - | - | - | - | 0,15 |
2,5 | 8 | - | 2,8 | - | 4,0 | - | - | - | - | 0,15 |
3,0 | 9 | - | 3,0 | - | 5,0 | - | - | - | - | 0,15 |
4,0 | 12 | - | 4,0 | - | 6,0 | - | - | - | - | 0,20 |
5,0 | 14 | - | 5,0 | - | 7,0 | - | - | - | - | 0,20 |
6,0 | 17 | - | 6,0 | - | 9,0 | - | - | - | - | 0,30 |
7,0 | 19 | - | 6,0 | 8 | 10,0 | - | - | - | - | 0,30 |
8,0 | 22 | - | 7,0 | 9 | 11,0 | 14 | 19 | 25 | - | 0,30 |
9,0 | 24 | - | 7,0 | 10 | 12,0 | 15 | 20 | 27 | - | 0,30 |
10,0 | 26 | - | 8,0 | 10 | 12,0 | 16 | 21 | 29 | - | 0,30 |
12,0 | 28 | 7 | 8,0 | 10 | 12,0 | 16 | 21 | 29 | 0,3 | 0,30 |
15,0 | 32 | 8 | 9,0 | 11 | 13,0 | 17 | 23 | 30 | 0,3 | 0,30 |
17,0 | 35 | 8 | 10,0 | 12 | 14,0 | 18 | 24 | 32 | 0,3 | 0,30 |
20,0 | 42 | 8 | 12,0 | 14 | 16,0 | 22 | 30 | 40 | 0,3 | 0,60 |
22,0 | 44 | 8 | 12,0 | 14 | 16,0 | 22 | 30 | 40 | 0,3 | 0,60 |
25,0 | 47 | 8 | 12,0 | 14 | 16,0 | 22 | 30 | 40 | 0,3 | 0,60 |
28,0 | 52 | 8 | 12,0 | 15 | 18,0 | 24 | 32 | 43 | 0,3 | 0,60 |
30,0 | 55 | 9 | 13,0 | 16 | 19,0 | 25 | 34 | 45 | 0,3 | 1,00 |
32,0 | 58 | 9 | 13,0 | 16 | 20,0 | 26 | 35 | 47 | 0,3 | 1,00 |
35,0 | 62 | 9 | 14,0 | 17 | 20,0 | 27 | 36 | 48 | 0,3 | 1,00 |
40,0 | 68 | 9 | 15,0 | 18 | 21,0 | 28 | 38 | 50 | 0,3 | 1,00 |
45,0 | 75 | 10 | 16,0 | 19 | 23,0 | 30 | 40 | 54 | 0,6 | 1,00 |
50,0 | 80 | 10 | 16,0 | 19 | 23,0 | 30 | 40 | 54 | 0,6 | 1,00 |
55,0 | 90 | 11 | 18,0 | 22 | 26,0 | 35 | 46 | 63 | 0,6 | 1,10 |
60 | 95 | 11 | 18 | 22 | 26 | 35 | 46 | 63 | 0,6 | 1,1 |
65 | 100 | 11 | 18 | 22 | 26 | 35 | 46 | 63 | 0,6 | 1,1 |
70 | 110 | 13 | 20 | 24 | 30 | 40 | 54 | 71 | 0,6 | 1,1 |
75 | 115 | 13 | 20 | 24 | 30 | 40 | 54 | 71 | 0,6 | 1,1 |
80 | 125 | 14 | 22 | 27 | 34 | 45 | 60 | 80 | 0,6 | 1,1 |
85 | 130 | 14 | 22 | 27 | 34 | 45 | 60 | 80 | 0,6 | 1,1 |
90 | 140 | 16 | 24 | 30 | 37 | 50 | 67 | 90 | 1,0 | 1,5 |
95 | 145 | 16 | 24 | 30 | 37 | 50 | 67 | 90 | 1,0 | 1,5 |
100 | 150 | 16 | 24 | 30 | 37 | 50 | 67 | 90 | 1,0 | 1,5 |
105 | 160 | 18 | 26 | 33 | 41 | 56 | 75 | 100 | 1,0 | 2,0 |
110 | 170 | 19 | 28 | 36 | 45 | 60 | 80 | 109 | 1,0 | 2,0 |
120 | 180 | 19 | 28 | 36 | 46 | 60 | 80 | 109 | 1,0 | 2,0 |
130 | 200 | 22 | 33 | 42 | 52 | 69 | 95 | 125 | 1,1 | 2,0 |
140 | 210 | 22 | 33 | 42 | 53 | 69 | 95 | 125 | 1,1 | 2,0 |
150 | 225 | 24 | 35 | 45 | 56 | 75 | 100 | 136 | 1,1 | 2,1 |
160 | 240 | 25 | 38 | 48 | 60 | 80 | 109 | 145 | 1,5 | 2,1 |
170 | 260 | 28 | 42 | 54 | 67 | 90 | 122 | 160 | 1,5 | 2,1 |
180 | 280 | 31 | 46 | 60 | 74 | 100 | 136 | 180 | 2,0 | 2,1 |
190 | 290 | 31 | 46 | 60 | 75 | 100 | 136 | 180 | 2,0 | 2,1 |
200 | 310 | 34 | 51 | 66 | 82 | 109 | 150 | 200 | 2,0 | 2,1 |
220 | 340 | 37 | 56 | 72 | 90 | 118 | 160 | 218 | 2,1 | 3,0 |
240 | 360 | 37 | 56 | 72 | 92 | 118 | 160 | 218 | 2,1 | 3,0 |
260 | 400 | 44 | 65 | 82 | 104 | 140 | 190 | 250 | 3,0 | 4,0 |
280 | 420 | 44 | 65 | 82 | 106 | 140 | 190 | 250 | 3,0 | 4,0 |
300 | 460 | 50 | 74 | 95 | 118 | 160 | 218 | 290 | 4,0 | 4,0 |
320 | 480 | 50 | 74 | 95 | 121 | 160 | 218 | 290 | 4,0 | 4,0 |
340 | 520 | 57 | 82 | 106 | 133 | 180 | 243 | 325 | 4,0 | 5,0 |
360 | 540 | 57 | 82 | 106 | 134 | 180 | 243 | 325 | 4,0 | 5,0 |
380 | 560 | 57 | 82 | 106 | 135 | 180 | 243 | 325 | 4,0 | 5,0 |
400 | 600 | 63 | 90 | 118 | 148 | 200 | 272 | 355 | 5,0 | 5,0 |
420 | 620 | 63 | 90 | 118 | 150 | 200 | 272 | 355 | 5,0 | 5,0 |
440 | 650 | 67 | 94 | 122 | 157 | 212 | 280 | 375 | 5,0 | 6,0 |
460 | 680 | 71 | 100 | 128 | 163 | 218 | 300 | 400 | 5,0 | 6,0 |
480 | 700 | 71 | 100 | 128 | 165 | 218 | 300 | 400 | 5,0 | 6,0 |
500 | 720 | 71 | 100 | 128 | 167 | 218 | 300 | 400 | 5,0 | 6,0 |
530 | 780 | 80 | 112 | 145 | 185 | 250 | 335 | 450 | 6,0 | 6,0 |
560 | 820 | 82 | 115 | 150 | 195 | 258 | 355 | 462 | 6,0 | 6,0 |
600 | 870 | 85 | 118 | 155 | 200 | 272 | 365 | 488 | 6,0 | 6,0 |
630 | 920 | 92 | 128 | 170 | 212 | 290 | 388 | 515 | 6,0 | 7,5 |
670 | 980 | 100 | 136 | 180 | 230 | 308 | 425 | 560 | 6,0 | 7,5 |
710 | 1030 | 103 | 140 | 185 | 236 | 315 | 438 | 580 | 6,0 | 7,5 |
750 | 1090 | 109 | 150 | 195 | 250 | 335 | 462 | 615 | 7,5 | 7,5 |
800 | 1150 | 112 | 155 | 200 | 258 | 345 | 475 | 630 | 7,5 | 7,5 |
850 | 1220 | 118 | 165 | 212 | 272 | 365 | 500 | 670 | 7,5 | 7,5 |
900 | 1280 | 122 | 170 | 218 | 280 | 375 | 515 | 690 | 7,5 | 7,5 |
950 | 1360 | 132 | 180 | 236 | 300 | 412 | 560 | 730 | 7,5 | 7,5 |
1000 | 1420 | 136 | 185 | 243 | 308 | 412 | 560 | 750 | 7,5 | 7,5 |
1060 | 1500 | 140 | 195 | 250 | 325 | 438 | 600 | 800 | 9,5 | 9,5 |
1120 | 1580 | 145 | 200 | 265 | 345 | 462 | 615 | 825 | 9,5 | 9,5 |
1180 | 1660 | 155 | 212 | 272 | 355 | 475 | 650 | 875 | 9,5 | 9,5 |
1250 | 1750 | - | 218 | 290 | 375 | 500 | - | - | - | 9,5 |
1320 | 1850 | - | 230 | 300 | 400 | 530 | - | - | - | 12,0 |
1400 | 1950 | - | 243 | 315 | 412 | 545 | - | - | - | 12,0 |
1500 | 2120 | - | 272 | 355 | 462 | 615 | - | - | - | 12,0 |
1600 | 2240 | - | 280 | 365 | 475 | 630 | - | - | - | 12,0 |
1700 | 2360 | - | 290 | 375 | 500 | 650 | - | - | - | 15,0 |
1800 | 2500 | - | 308 | 400 | 530 | 690 | - | - | - | 15,0 |
d | D | B | rsmin | |||||||
Серия ширин | ||||||||||
7 | 1 | 2 | 3 | 4 | 5 | 6 | 7 | 1 - 6 | ||
Размерная серия | ||||||||||
77 | 17 | 27 | 37 | 47 | 57 | 67 | 77 | 17 - 67 | ||
5 | 15 | - | - | - | 7 | - | - | - | - | 0,3 |
6 | 18 | - | - | 8 | 10 | - | - | - | - | 0,3 |
7 | 21 | - | - | 9 | 11 | 14 | 19 | 25 | - | 0,3 |
8 | 23 | - | - | 10 | 12 | 15 | 20 | 27 | - | 0,3 |
9 | 25 | - | - | 10 | 12 | 16 | 21 | 29 | - | 0,3 |
10 | 28 | - | - | 12 | 14 | 18 | 24 | 32 | - | 0,3 |
12 | 30 | - | - | 12 | 14 | 18 | 24 | 32 | - | 0,3 |
15 | 33 | - | - | 12 | 14 | 18 | 24 | 32 | - | 0,3 |
17 | 37 | - | - | 13 | 15 | 20 | 27 | 36 | - | 0,6 |
20 | 44 | - | - | 15 | 18 | 24 | 32 | 43 | - | 0,6 |
22 | 47 | - | - | 16 | 19 | 25 | 34 | 45 | - | 1,0 |
25 | 50 | - | - | 16 | 19 | 25 | 34 | 45 | - | 1,0 |
28 | 55 | - | - | 17 | 20 | 27 | 36 | 48 | - | 1,0 |
30 | 58 | - | - | 18 | 21 | 28 | 38 | 50 | - | 1,0 |
32 | 62 | - | - | 19 | 23 | 30 | 40 | 54 | - | 1,0 |
35 | 68 | - | - | 21 | 25 | 33 | 43 | 60 | - | 1,1 |
40 | 75 | - | - | 22 | 26 | 35 | 46 | 63 | - | 1,1 |
45 | 80 | - | - | 22 | 26 | 35 | 46 | 63 | - | 1,1 |
50 | 85 | - | - | 22 | 26 | 35 | 46 | 63 | - | 1,1 |
55 | 95 | - | - | 24 | 30 | 40 | 54 | 71 | - | 1,1 |
60 | 100 | - | - | 24 | 30 | 40 | 54 | 71 | - | 1,1 |
65 | 110 | - | - | 27 | 34 | 45 | 60 | 80 | - | 1,5 |
70 | 115 | - | - | 27 | 34 | 45 | 60 | 80 | - | 1,5 |
75 | 125 | - | - | 30 | 37 | 50 | 67 | 90 | - | 1,5 |
80 | 130 | - | - | 30 | 37 | 50 | 67 | 90 | - | 1,5 |
85 | 140 | - | - | 31 | 41 | 56 | 75 | 100 | - | 1,5 |
90 | 150 | - | - | 33 | 45 | 60 | 80 | 109 | - | 2,0 |
95 | 160 | - | - | 39 | 52 | 65 | 88 | 118 | - | 2,0 |
100 | 165 | 21 | 30 | 39 | 52 | 65 | 88 | 118 | 1,1 | 2,0 |
105 | 175 | 22 | 33 | 42 | 56 | 69 | 95 | 125 | 1,1 | 2,0 |
110 | 180 | 22 | 33 | 42 | 56 | 69 | 95 | 125 | 1,1 | 2,0 |
120 | 200 | 25 | 38 | 48 | 62 | 80 | 109 | 145 | 1,5 | 2,0 |
130 | 210 | 25 | 38 | 48 | 64 | 80 | 109 | 145 | 1,5 | 2,0 |
140 | 225 | 27 | 40 | 50 | 68 | 85 | 115 | 155 | 1,5 | 2,1 |
150 | 250 | 31 | 46 | 60 | 80 | 100 | 136 | 180 | 2,0 | 2,1 |
160 | 270 | 34 | 51 | 66 | 86 | 109 | 150 | 200 | 2,0 | 2,1 |
170 | 280 | 34 | 51 | 66 | 88 | 109 | 150 | 200 | 2,0 | 2,1 |
180 | 300 | 37 | 56 | 72 | 96 | 118 | 160 | 218 | 2,1 | 3,0 |
190 | 320 | 42 | 60 | 78 | 104 | 128 | 175 | 236 | 3,0 | 3,0 |
200 | 340 | 44 | 65 | 82 | 112 | 140 | 190 | 250 | 3,0 | 3,0 |
220 | 370 | 48 | 69 | 88 | 120 | 150 | 200 | 272 | 3,0 | 4,0 |
240 | 400 | 50 | 74 | 95 | 128 | 160 | 218 | 290 | 4,0 | 4,0 |
260 | 440 | 57 | 82 | 106 | 144 | 180 | 243 | 325 | 4,0 | 4,0 |
280 | 460 | 57 | 82 | 106 | 146 | 180 | 243 | 325 | 4,0 | 5,0 |
300 | 500 | 63 | 90 | 118 | 160 | 200 | 272 | 355 | 5,0 | 5,0 |
320 | 540 | 71 | 100 | 128 | 176 | 218 | 300 | 400 | 5,0 | 5,0 |
340 | 580 | 78 | 106 | 140 | 190 | 243 | 325 | 438 | 5,0 | 5,0 |
360 | 600 | 78 | 106 | 140 | 192 | 243 | 325 | 438 | 5,0 | 5,0 |
380 | 620 | 78 | 106 | 140 | 194 | 243 | 325 | 438 | 5,0 | 5,0 |
400 | 650 | 80 | 112 | 145 | 200 | 250 | 335 | 450 | 6,0 | 6,0 |
420 | 700 | 88 | 122 | 165 | 224 | 280 | 375 | 500 | 6,0 | 6,0 |
440 | 720 | 88 | 122 | 165 | 226 | 280 | 375 | 500 | 6,0 | 6,0 |
460 | 760 | 95 | 132 | 175 | 240 | 300 | 400 | 545 | 6,0 | 7,5 |
480 | 790 | 100 | 136 | 180 | 248 | 308 | 425 | 560 | 6,0 | 7,5 |
500 | 830 | 106 | 145 | 190 | 264 | 325 | 450 | 600 | 7,5 | 7,5 |
530 | 870 | 109 | 150 | 195 | 272 | 335 | 462 | 615 | 7,5 | 7,5 |
560 | 920 | 115 | 160 | 206 | 280 | 355 | 488 | 650 | 7,5 | 7,5 |
600 | 980 | 122 | 170 | 218 | 300 | 375 | 515 | 690 | 7,5 | 7,5 |
630 | 1030 | 128 | 175 | 230 | 315 | 400 | 545 | 710 | 7,5 | 7,5 |
670 | 1090 | 136 | 185 | 243 | 336 | 412 | 560 | 750 | 7,5 | 7,5 |
710 | 1150 | 140 | 195 | 250 | 345 | 438 | 600 | 800 | 9,5 | 9,5 |
750 | 1220 | 150 | 206 | 272 | 365 | 475 | 630 | - | 9,5 | 9,5 |
800 | 1280 | 155 | 212 | 272 | 375 | 475 | 650 | - | 9,5 | 9,5 |
850 | 1360 | 165 | 224 | 290 | 400 | 500 | 690 | - | 12,0 | 12,0 |
900 | 1420 | 165 | 230 | 300 | 412 | 515 | 710 | - | 12,0 | 12,0 |
950 | 1500 | 175 | 243 | 315 | 438 | 545 | 750 | - | 12,0 | 12,0 |
1000 | 1580 | 185 | 258 | 335 | 462 | 580 | 775 | - | 12,0 | 12,0 |
1060 | 1660 | 190 | 265 | 345 | 475 | 600 | 800 | - | 12,0 | 15,0 |
1120 | 1750 | - | 280 | 365 | 475 | 630 | - | - | - | 15,0 |
1180 | 1850 | - | 290 | 388 | 500 | 670 | - | - | - | 15,0 |
1250 | 1950 | - | 308 | 400 | 530 | 710 | - | - | - | 15,0 |
1320 | 2060 | - | 325 | 425 | 560 | 750 | - | - | - | 15,0 |
1400 | 2180 | - | 345 | 450 | 580 | 775 | - | - | - | 19,0 |
1500 | 2300 | - | 355 | 462 | 600 | 800 | - | - | - | 19,0 |
d | D | B | rsmin | ||||||||
Серия диаметров | |||||||||||
2 | 5 | 2 | 2 и 5 | ||||||||
Серия ширин | |||||||||||
8 | 0 | 1 | 0 | 3 | 4 | 5 | 6 | 8 | 0 - 6 | ||
Размерная серия | |||||||||||
82 | 02 | 12 | 05 | 32 | 42 | 52 | 62 | 82 | 02 - 62 | ||
3 | 10 | 2,5 | 4 | - | - | 5,0 | - | - | - | 0,10 | 0,15 |
4 | 13 | 3,0 | 5 | - | - | 7,0 | - | - | - | 0,15 | 0,20 |
5 | 16 | 3,5 | 5 | - | - | 8,0 | - | - | - | 0,15 | 0,30 |
6 | 19 | 4,0 | 6 | - | - | 10,0 | - | 18 | 23 | 0,20 | 0,30 |
7 | 22 | 5,0 | 7 | - | - | 11,0 | - | 20 | 27 | 0,30 | 0,30 |
8 | 24 | 5,0 | 8 | - | - | 12,0 | - | 21 | 29 | 0,30 | 0,30 |
9 | 26 | 6,0 | 8 | - | - | 13,0 | - | 23 | 30 | 0,30 | 0,30 |
10 | 30 | 7,0 | 9 | - | 14 | 14,3 | - | 27 | 36 | 0,30 | 0,60 |
12 | 32 | 7,0 | 10 | - | 14 | 15,9 | - | 27 | 36 | 0,30 | 0,60 |
15 | 35 | 8,0 | 11 | - | 14 | 15,9 | 20 | 27 | 36 | 0,30 | 0,60 |
17 | 40 | 8,0 | 12 | - | 16 | 17,5 | 22 | 30 | 40 | 0,30 | 0,60 |
20 | 47 | 9,0 | 14 | - | 18 | 20,6 | 27 | 36 | 48 | 0,30 | 1,00 |
22 | 50 | 9,0 | 14 | - | 18 | 20,6 | 27 | 36 | 48 | 0,30 | 1,00 |
25 | 52 | 10,0 | 15 | - | 18 | 20,6 | 27 | 36 | 48 | 0,30 | 1,00 |
28 | 58 | 10,0 | 16 | - | 19 | 23,0 | 30 | 40 | 54 | 0,60 | 1,00 |
30 | 62 | 10,0 | 16 | - | 20 | 23,8 | 32 | 43 | 58 | 0,60 | 1,00 |
32 | 65 | 11,0 | 17 | - | 21 | 25,0 | 33 | 43 | 60 | 0,60 | 1,00 |
35 | 72 | 12,0 | 17 | - | 23 | 27,0 | 37 | 50 | 67 | 0,60 | 1,10 |
40 | 80 | 13,0 | 18 | - | 23 | 30,2 | 40 | 54 | 71 | 0,60 | 1,10 |
45 | 85 | 13,0 | 19 | - | 23 | 30,2 | 40 | 54 | 71 | 0,60 | 1,10 |
50 | 90 | 13,0 | 20 | - | 23 | 30,2 | 40 | 54 | 71 | 0,60 | 1,10 |
55 | 100 | 14,0 | 21 | - | 25 | 33,3 | 45 | 60 | 80 | 0,60 | 1,50 |
60 | 110 | 16,0 | 22 | - | 28 | 36,5 | 50 | 67 | 90 | 1,00 | 1,50 |
65 | 120 | 18,0 | 23 | - | 31 | 38,1 | 56 | 75 | 100 | 1,00 | 1,50 |
70 | 125 | 18,0 | 24 | - | 31 | 39,7 | 56 | 75 | 100 | 1,00 | 1,50 |
75 | 130 | 18,0 | 25 | - | 31 | 41,3 | 56 | 75 | 100 | 1,00 | 1,50 |
80 | 140 | 19,0 | 26 | - | 33 | 44,4 | 60 | 80 | 109 | 1,00 | 2,00 |
85 | 150 | 21,0 | 28 | - | 36 | 49,2 | 65 | 88 | 118 | 1,10 | 2,00 |
90 | 160 | 22,0 | 30 | - | 40 | 52,4 | 69 | 95 | 125 | 1,10 | 2,00 |
95 | 170 | 24,0 | 32 | - | 43 | 55,6 | 75 | 100 | 136 | 1,10 | 2,10 |
100 | 180 | 25,0 | 34 | - | 46 | 60,3 | 80 | 109 | 145 | 1,50 | 2,10 |
105 | 190 | 27,0 | 36 | - | 50 | 65,1 | 85 | 115 | 155 | 1,50 | 2,10 |
110 | 200 | 28,0 | 38 | - | 53 | 69,8 | 90 | 122 | 160 | 1,50 | 2,10 |
120 | 215 | - | 40 | 42 | 58 | 76,0 | 95 | 128 | 170 | - | 2,10 |
130 | 230 | - | 40 | 46 | 64 | 80,0 | 100 | 136 | 180 | - | 3,00 |
140 | 250 | - | 42 | 50 | 68 | 88 | 109 | 150 | 200 | - | 3,0 |
150 | 270 | - | 45 | 54 | 73 | 96 | 118 | 160 | 218 | - | 3,0 |
160 | 290 | - | 48 | 58 | 80 | 104 | 128 | 175 | 236 | - | 3,0 |
170 | 310 | - | 52 | 62 | 86 | 110 | 140 | 190 | 250 | - | 4,0 |
180 | 320 | - | 52 | 62 | 86 | 112 | 140 | 190 | 250 | - | 4,0 |
190 | 340 | - | 55 | 65 | 92 | 120 | 150 | 200 | 272 | - | 4,0 |
200 | 360 | - | 58 | 70 | 98 | 128 | 160 | 218 | 290 | - | 4,0 |
220 | 400 | - | 65 | 78 | 108 | 144 | 180 | 243 | 325 | - | 4,0 |
240 | 440 | - | 72 | 85 | 120 | 160 | 200 | 272 | 355 | - | 4,0 |
260 | 480 | - | 80 | 90 | 130 | 174 | 218 | 300 | 400 | - | 5,0 |
280 | 500 | - | 80 | 90 | 130 | 176 | 218 | 300 | 400 | - | 5,0 |
300 | 540 | - | 85 | 98 | 140 | 192 | 243 | 325 | 438 | - | 5,0 |
320 | 580 | - | 92 | 105 | 150 | 208 | 258 | 355 | 462 | - | 5,0 |
340 | 620 | - | 92 | 118 | 165 | 224 | 280 | 375 | 500 | - | 6,0 |
360 | 650 | - | 95 | 122 | 170 | 232 | 290 | 388 | 515 | - | 6,0 |
380 | 680 | - | 95 | 132 | 175 | 240 | 300 | 400 | 545 | - | 6,0 |
400 | 720 | - | 103 | 140 | 185 | 256 | 315 | 438 | 580 | - | 6,0 |
420 | 760 | - | 109 | 150 | 195 | 272 | 335 | 462 | 615 | - | 7,5 |
440 | 790 | - | 112 | 155 | 200 | 280 | 345 | 475 | 630 | - | 7,5 |
460 | 830 | - | 118 | 165 | 212 | 296 | 365 | 500 | 670 | - | 7,5 |
480 | 870 | - | 125 | 170 | 224 | 310 | 388 | 530 | 710 | - | 7,5 |
500 | 920 | - | 136 | 185 | 243 | 336 | 412 | 560 | 750 | - | 7,5 |
530 | 980 | - | 145 | 200 | 258 | 355 | 450 | 600 | - | - | 9,5 |
560 | 1030 | - | 150 | 206 | 272 | 365 | 475 | 630 | - | - | 9,5 |
600 | 1090 | - | 155 | 212 | 280 | 388 | 488 | 670 | - | - | 9,5 |
630 | 1150 | - | 165 | 230 | 300 | 412 | 515 | 710 | - | - | 12,0 |
670 | 1220 | - | 175 | 243 | 315 | 438 | 545 | 750 | - | - | 12,0 |
710 | 1280 | - | 180 | 250 | 325 | 450 | 560 | 775 | - | - | 12,0 |
750 | 1360 | - | 195 | 265 | 345 | 475 | 615 | 825 | - | - | 15,0 |
800 | 1420 | - | 200 | 272 | 355 | 488 | 615 | - | - | - | 15,0 |
850 | 1500 | - | 206 | 280 | 375 | 515 | 650 | - | - | - | 15,0 |
900 | 1580 | - | 218 | 300 | 388 | 515 | 670 | - | - | - | 15,0 |
950 | 1660 | - | 230 | 315 | 412 | 530 | 710 | - | - | - | 15,0 |
1000 | 1750 | - | 243 | 330 | 425 | 560 | 750 | - | - | - | 15,0 |
d | D | B | rsmin | |||||
Серия диаметров | ||||||||
3 | 6 | 3 | 3 и 6 | |||||
Серия ширин | ||||||||
8 | 0 | 1 | 0 | 3 | 8 | 0 - 3 | ||
Размерная серия | ||||||||
83 | 03 | 13 | 06 | 33 | 83 | 03 - 33 | ||
3 | 13 | - | 5 | - | - | 7,0 | - | 0,2 |
4 | 16 | - | 5 | - | - | 9,0 | - | 0,3 |
5 | 19 | - | 6 | - | - | 10,0 | - | 0,3 |
6 | 22 | - | 7 | - | 11 | 13,0 | - | 0,3 |
7 | 26 | - | 9 | - | 13 | 15,0 | - | 0,3 |
8 | 28 | - | 9 | - | 13 | 15,0 | - | 0,3 |
9 | 30 | - | 10 | - | 14 | 16,0 | - | 0,6 |
10 | 35 | 9 | 11 | - | 17 | 19,0 | 0,3 | 0,6 |
12 | 37 | 9 | 12 | - | 17 | 19,0 | 0,3 | 1,0 |
15 | 42 | 9 | 13 | - | 17 | 19,0 | 0,3 | 1,0 |
17 | 47 | 10 | 14 | - | 19 | 22,2 | 0,6 | 1,0 |
20 | 52 | 10 | 15 | - | 21 | 22,2 | 0,6 | 1,1 |
22 | 56 | 11 | 16 | - | 21 | 25,0 | 0,6 | 1,1 |
25 | 62 | 12 | 17 | - | 24 | 25,4 | 0,6 | 1,1 |
28 | 68 | 13 | 18 | - | 24 | 30,0 | 0,6 | 1,1 |
30 | 72 | 13 | 19 | - | 27 | 30,2 | 0,6 | 1,1 |
32 | 75 | 14 | 20 | - | 28 | 32,0 | 0,6 | 1,1 |
35 | 80 | 14 | 21 | - | 31 | 34,9 | 0,6 | 1,5 |
40 | 90 | 16 | 23 | - | 33 | 36,5 | 1,0 | 1,5 |
45 | 100 | 17 | 25 | - | 36 | 39,7 | 1,0 | 1,5 |
50 | 110 | 19 | 27 | - | 40 | 44,4 | 1,0 | 2,0 |
55 | 120 | 21 | 29 | - | 43 | 49,2 | 1,1 | 2,0 |
60 | 130 | 22 | 31 | - | 46 | 54,0 | 1,1 | 2,1 |
65 | 140 | 24 | 33 | - | 48 | 58,7 | 1,1 | 2,1 |
70 | 150 | 25 | 35 | - | 51 | 63,5 | 1,5 | 2,1 |
75 | 160 | 27 | 37 | - | 55 | 68,3 | 1,5 | 2,1 |
80 | 170 | 28 | 39 | - | 58 | 68,3 | 1,5 | 2,1 |
85 | 180 | 30 | 41 | - | 60 | 73,0 | 2,0 | 3,0 |
90 | 190 | 30 | 43 | - | 64 | 73,0 | 2,0 | 3,0 |
95 | 200 | 33 | 45 | - | 67 | 77,8 | 2,0 | 3,0 |
100 | 215 | 36 | 47 | 51 | 73 | 82,6 | 2,1 | 3,0 |
105 | 225 | 37 | 49 | 53 | 77 | 87,3 | 2,1 | 3,0 |
110 | 240 | 42 | 50 | 57 | 80 | 92,1 | 3,0 | 3,0 |
120 | 260 | 44 | 55 | 62 | 86 | 106,0 | 3,0 | 3,0 |
130 | 280 | 48 | 58 | 66 | 93 | 112,0 | 3,0 | 4,0 |
140 | 300 | 50 | 62 | 70 | 102 | 118 | 4 | 4,0 |
150 | 320 | - | 65 | 75 | 108 | 128 | - | 4,0 |
160 | 340 | - | 68 | 79 | 114 | 136 | - | 4,0 |
170 | 360 | - | 72 | 84 | 120 | 140 | - | 4,0 |
180 | 380 | - | 75 | 88 | 126 | 150 | - | 4,0 |
190 | 400 | - | 78 | 92 | 132 | 155 | - | 5,0 |
200 | 420 | - | 80 | 97 | 138 | 165 | - | 5,0 |
220 | 460 | - | 88 | 106 | 145 | 180 | - | 5,0 |
240 | 500 | - | 95 | 114 | 155 | 195 | - | 5,0 |
260 | 540 | - | 102 | 123 | 165 | 206 | - | 6,0 |
280 | 580 | - | 108 | 132 | 175 | 224 | - | 6,0 |
300 | 620 | - | 109 | 140 | 185 | 236 | - | 7,5 |
320 | 670 | - | 112 | 155 | 200 | 258 | - | 7,5 |
340 | 710 | - | 118 | 165 | 212 | 272 | - | 7,5 |
360 | 750 | - | 125 | 170 | 224 | 290 | - | 7,5 |
380 | 780 | - | 128 | 175 | 230 | 300 | - | 7,5 |
400 | 820 | - | 136 | 185 | 243 | 308 | - | 7,5 |
420 | 850 | - | 136 | 190 | 250 | 315 | - | 9,5 |
440 | 900 | - | 145 | 200 | 265 | 345 | - | 9,5 |
460 | 950 | - | 155 | 212 | 280 | 365 | - | 9,5 |
480 | 980 | - | 160 | 218 | 290 | 375 | - | 9,5 |
500 | 1030 | - | 170 | 230 | 300 | 388 | - | 12,0 |
530 | 1090 | - | 180 | 243 | 325 | 412 | - | 12,0 |
560 | 1150 | - | 190 | 258 | 335 | 438 | - | 12,0 |
600 | 1220 | - | 200 | 272 | 355 | 462 | - | 15,0 |
630 | 1280 | - | 206 | 280 | 375 | 488 | - | 15,0 |
670 | 1360 | - | 218 | 300 | 400 | 515 | - | 15,0 |
710 | 1420 | - | 224 | 308 | 412 | 530 | - | 15,0 |
750 | 1500 | - | 236 | 325 | 438 | 560 | - | 15,0 |
800 | 1600 | - | 258 | 355 | 462 | 600 | - | 15,0 |
850 | 1700 | - | 272 | 375 | 488 | 630 | - | 19,0 |
900 | 1780 | - | 280 | 388 | 500 | 650 | - | 19,0 |
950 | 1850 | - | 290 | 400 | 515 | 670 | - | 19,0 |
1000 | 1950 | - | 300 | 412 | 545 | 710 | - | 19,0 |
d | D | B | rsmin | d | D | B | rsmin | ||
Серия ширин | Серия ширин | ||||||||
0 | 2 | 0 - 2 | 0 | 2 | 0 - 2 | ||||
Размерная серия | Размерная серия | ||||||||
04 | 24 | 04 - 24 | 04 | 24 | 04 - 24 | ||||
8 | 30 | 10 | 14 | 0,6 | 170 | 420 | 92 | 145 | 5,0 |
9 | 32 | 11 | 15 | 0,6 | 180 | 440 | 95 | 150 | 6,0 |
10 | 37 | 12 | 16 | 0,6 | 190 | 460 | 98 | 155 | 6,0 |
12 | 42 | 13 | 19 | 1,0 | 200 | 480 | 102 | 160 | 6,0 |
15 | 52 | 15 | 24 | 1,1 | 220 | 540 | 115 | 180 | 6,0 |
17 | 62 | 17 | 29 | 1,1 | 240 | 580 | 122 | 190 | 6,0 |
20 | 72 | 19 | 33 | 1,1 | 260 | 620 | 132 | 206 | 7,5 |
25 | 80 | 21 | 36 | 1,5 | 280 | 670 | 140 | 224 | 7,5 |
30 | 90 | 23 | 40 | 1,5 | 300 | 710 | 150 | 236 | 7,5 |
35 | 100 | 25 | 43 | 1,5 | 320 | 750 | 155 | 250 | 9,5 |
40 | 110 | 27 | 46 | 2,0 | 340 | 800 | 165 | 265 | 9,5 |
45 | 120 | 29 | 50 | 2,0 | 360 | 850 | 180 | 280 | 9,5 |
50 | 130 | 31 | 53 | 2,1 | 380 | 900 | 190 | 300 | 9,5 |
55 | 140 | 33 | 57 | 2,1 | 400 | 950 | 200 | 315 | 12,0 |
60 | 150 | 35 | 60 | 2,1 | 420 | 980 | 206 | 325 | 12,0 |
65 | 160 | 37 | 64 | 2,1 | 440 | 1030 | 212 | 335 | 12,0 |
70 | 180 | 42 | 74 | 3,0 | 460 | 1060 | 218 | 345 | 12,0 |
75 | 190 | 45 | 77 | 3,0 | 480 | 1120 | 230 | 365 | 15,0 |
80 | 200 | 48 | 80 | 3,0 | 500 | 1150 | 236 | 375 | 15,0 |
85 | 210 | 52 | 86 | 4,0 | 530 | 1220 | 250 | 400 | 15,0 |
90 | 225 | 54 | 90 | 4,0 | |||||
560 | 1280 | 258 | 412 | 15,0 | |||||
95 | 240 | 55 | 95 | 4,0 | |||||
600 | 1360 | 272 | 438 | 15,0 | |||||
100 | 250 | 58 | 98 | 4,0 | |||||
630 | 1420 | 280 | 450 | 15,0 | |||||
105 | 260 | 60 | 100 | 4,0 | |||||
670 | 1500 | 290 | 475 | 15,0 | |||||
110 | 280 | 65 | 108 | 4,0 | |||||
120 | 310 | 72 | 118 | 5,0 | |||||
130 | 340 | 78 | 128 | 5,0 | |||||
140 | 360 | 82 | 132 | 5,0 | |||||
150 | 380 | 85 | 138 | 5,0 | |||||
160 | 400 | 88 | 142 | 5,0 | |||||

d | D | B = T | r1smin | r2smin | |
Серия ширин | |||||
2 | 3 | ||||
Размерная серия | |||||
29 | 39 | ||||
20 | 37 | 12,0 | 14 | 0,3 | 0,3 |
25 | 42 | 12,0 | 14 | 0,3 | 0,3 |
30 | 47 | 12,0 | 14 | 0,3 | 0,3 |
35 | 55 | 14,0 | 16 | 0,6 | 0,6 |
40 | 62 | 15,0 | 17 | 0,6 | 0,6 |
45 | 68 | 15,0 | 17 | 0,6 | 0,6 |
50 | 72 | 15,0 | 17 | 0,6 | 0,6 |
55 | 80 | 17,0 | 20 | 1,0 | 1,0 |
60 | 85 | 17,0 | 20 | 1,0 | 1,0 |
65 | 90 | 17,0 | 20 | 1,0 | 1,0 |
70 | 100 | 20,0 | 24 | 1,0 | 1,0 |
75 | 105 | 20,0 | 24 | 1,0 | 1,0 |
80 | 110 | 20,0 | 24 | 1,0 | 1,0 |
85 | 120 | 23,0 | 27 | 1,5 | 1,5 |
90 | 125 | 23,0 | 27 | 1,5 | 1,5 |
95 | 130 | 23,0 | 27 | 1,5 | 1,5 |
100 | 140 | 25,0 | 31 | 1,5 | 1,5 |
105 | 145 | 25,0 | 31 | 1,5 | 1,5 |
110 | 150 | 25,0 | 31 | 1,5 | 1,5 |
120 | 165 | 29,0 | 36 | 1,5 | 1,5 |
130 | 180 | 32,0 | 39 | 2,0 | 1,5 |
140 | 190 | 32,0 | 39 | 2,0 | 1,5 |
150 | 210 | 38,0 | 47 | 2,5 | 2,0 |
160 | 220 | 38,0 | - | 2,5 | 2,0 |
170 | 230 | 38,0 | - | 2,5 | 2,0 |
180 | 250 | 45,0 | - | 2,5 | 2,0 |
190 | 260 | 45,0 | - | 2,5 | 2,0 |
200 | 280 | 51,0 | - | 3,0 | 2,5 |
220 | 300 | 51,0 | - | 3,0 | 2,5 |
240 | 320 | 51,0 | - | 3,0 | 2,5 |
260 | 360 | 63,5 | - | 3,0 | 2,5 |
280 | 380 | 63,5 | - | 3,0 | 2,5 |
300 | 420 | 76,0 | - | 4,0 | 3,0 |
320 | 440 | 76,0 | - | 4,0 | 3,0 |
340 | 460 | 76,0 | - | 4,0 | 3,0 |
360 | 480 | 76,0 | - | 4,0 | 3,0 |
d | D | B = T | r1smin | r2smin | |
Серия ширин | |||||
2 | 3 | ||||
Размерная серия | |||||
21 | 31 | ||||
12 | 28 | 11 | 13 | 0,3 | 0,3 |
15 | 32 | 12 | 14 | 0,3 | 0,3 |
17 | 35 | 13 | 15 | 0,3 | 0,3 |
20 | 42 | 15 | 17 | 0,6 | 0,6 |
22 | 44 | 15 | - | 0,6 | 0,6 |
25 | 47 | 15 | 17 | 0,6 | 0,6 |
28 | 52 | 16 | - | 1,0 | 1,0 |
30 | 55 | 17 | 20 | 1,0 | 1,0 |
32 | 58 | 17 | - | 1,0 | 1,0 |
35 | 62 | 18 | 21 | 1,0 | 1,0 |
40 | 68 | 19 | 22 | 1,0 | 1,0 |
45 | 75 | 20 | 24 | 1,0 | 1,0 |
50 | 80 | 20 | 24 | 1,0 | 1,0 |
55 | 90 | 23 | 27 | 1,5 | 1,5 |
60 | 95 | 23 | 27 | 1,5 | 1,5 |
65 | 100 | 23 | 27 | 1,5 | 1,5 |
70 | 110 | 25 | 31 | 1,5 | 1,5 |
75 | 115 | 25 | 31 | 1,5 | 1,5 |
80 | 125 | 29 | 36 | 1,5 | 1,5 |
85 | 130 | 29 | 36 | 1,5 | 1,5 |
90 | 140 | 32 | 39 | 2,0 | 1,5 |
95 | 145 | 32 | 39 | 2,0 | 1,5 |
100 | 150 | 32 | 39 | 2,0 | 1,5 |
105 | 160 | 35 | 43 | 2,5 | 2,0 |
110 | 170 | 38 | 47 | 2,5 | 2,0 |
120 | 180 | 38 | 48 | 2,5 | 2,0 |
130 | 200 | 45 | 55 | 2,5 | 2,0 |
140 | 210 | 45 | 56 | 2,5 | 2,0 |
150 | 225 | 48 | 59 | 3,0 | 2,5 |
160 | 240 | 51 | - | 3,0 | 2,5 |
170 | 260 | 57 | - | 3,0 | 2,5 |
180 | 280 | 64 | - | 3,0 | 2,5 |
190 | 290 | 64 | - | 3,0 | 2,5 |
200 | 310 | 70 | - | 3,0 | 2,5 |
220 | 340 | 76 | - | 4,0 | 3,0 |
240 | 360 | 76 | - | 4,0 | 3,0 |
260 | 400 | 87 | - | 5,0 | 4,0 |
280 | 420 | 87 | - | 5,0 | 4,0 |
300 | 460 | 100 | - | 5,0 | 4,0 |
320 | 480 | 100 | - | 5,0 | 4,0 |
d | D | B = T | r1smin | r2smin | d | D | B = T | r1smin | r2smin |
Серия ширин | Серия ширин | ||||||||
3 | 3 | ||||||||
Разм. серия | Разм. серия | ||||||||
37 | 37 | ||||||||
40 | 75 | 26 | 1,5 | 1,5 | 80 | 130 | 37 | 2,0 | 1,5 |
45 | 80 | 26 | 1,5 | 1,5 | 85 | 140 | 41 | 2,5 | 2,0 |
50 | 85 | 26 | 1,5 | 1,5 | 90 | 150 | 45 | 2,5 | 2,0 |
55 | 95 | 30 | 1,5 | 1,5 | 95 | 160 | 49 | 2,5 | 2,0 |
60 | 100 | 30 | 1,5 | 1,5 | 100 | 165 | 52 | 2,5 | 2,0 |
65 | 110 | 34 | 1,5 | 1,5 | 105 | 171 | 56 | 2,5 | 2,0 |
70 | 120 | 37 | 2,0 | 1,5 | 110 | 180 | 56 | 2,5 | 2,0 |
75 | 125 | 37 | 2,0 | 1,5 | 120 | 200 | 62 | 2,5 | 2,0 |
d | D | B | T | B | T | B = T | r1smin | r2smin |
Серия диаметров | ||||||||
2 | 5 | 2 | ||||||
Серия ширин | ||||||||
0 | 0 | 3 | ||||||
Размерная серия | ||||||||
02 | 05 | 32 | ||||||
10 | 30 | 9 | 9,75 | 14 | 14,70 | - | 0,6 | 0,6 |
12 | 32 | 10 | 10,75 | 14 | 14,75 | - | 0,6 | 0,6 |
15 | 35 | 11 | 11,75 | 14 | 14,75 | - | 0,6 | 0,6 |
17 | 40 | 12 | 13,25 | 16 | 17,25 | - | 1,0 | 1,0 |
20 | 47 | 14 | 15,25 | 18 | 19,25 | - | 1,0 | 1,0 |
22 | 50 | 14 | 15,25 | 18 | 19,25 | - | 1,0 | 1,0 |
25 | 52 | 15 | 16,25 | 18 | 19,25 | 22 | 1,0 | 1,0 |
28 | 58 | 16 | 17,25 | 19 | 20,25 | 24 | 1,0 | 1,0 |
30 | 62 | 16 | 17,25 | 20 | 21,25 | 25 | 1,0 | 1,0 |
32 | 65 | 17 | 18,25 | 21 | 22,25 | 26 | 1,5 | 1,5 |
35 | 72 | 17 | 18,25 | 23 | 24,25 | 28 | 1,5 | 1,5 |
40 | 80 | 18 | 19,75 | 23 | 24,75 | 32 | 1,5 | 1,5 |
45 | 85 | 19 | 20,75 | 23 | 24,75 | 32 | 1,5 | 1,5 |
50 | 90 | 20 | 21,75 | 23 | 24,75 | 32 | 1,5 | 1,5 |
55 | 100 | 21 | 22,75 | 25 | 26,75 | 35 | 2,0 | 1,5 |
60 | 110 | 22 | 23,75 | 28 | 29,75 | 38 | 2,0 | 1,5 |
65 | 120 | 23 | 24,75 | 31 | 32,75 | 41 | 2,0 | 1,5 |
70 | 125 | 24 | 26,25 | 31 | 33,25 | 41 | 2,0 | 1,5 |
75 | 130 | 25 | 27,25 | 31 | 33,25 | 41 | 2,0 | 1,5 |
80 | 140 | 26 | 28,25 | 33 | 35,25 | 46 | 2,5 | 2,0 |
85 | 150 | 28 | 30,50 | 36 | 38,50 | 49 | 2,5 | 2,0 |
90 | 160 | 30 | 32,50 | 40 | 42,50 | 55 | 2,5 | 2,0 |
95 | 170 | 32 | 34,50 | 43 | 45,50 | 58 | 3,0 | 2,5 |
100 | 180 | 34 | 37,00 | 46 | 49,00 | 63 | 3,0 | 2,5 |
105 | 190 | 36 | 39,00 | 50 | 53,00 | 68 | 3,0 | 2,5 |
110 | 200 | 38 | 41,00 | 53 | 56,00 | - | 3,0 | 2,5 |
120 | 215 | 40 | 43,50 | 58 | 61,50 | - | 3,0 | 2,5 |
130 | 230 | 40 | 43,75 | 64 | 67,75 | - | 4,0 | 3,0 |
140 | 250 | 42 | 45,75 | 68 | 71,75 | - | 4,0 | 3,0 |
150 | 270 | 45 | 49,00 | 73 | 77,00 | - | 4,0 | 3,0 |
160 | 290 | 48 | 52,00 | 80 | 84,00 | - | 4,0 | 3,0 |
170 | 310 | 52 | 57,00 | 86 | 91,00 | - | 5,0 | 4,0 |
180 | 320 | 52 | 57,00 | 86 | 91,00 | - | 5,0 | 4,0 |
190 | 340 | 55 | 60,00 | 92 | 97,00 | - | 5,0 | 4,0 |
200 | 360 | 58 | 64,00 | 98 | 104,00 | - | 5,0 | 4,0 |
220 | 400 | 65 | 72 | 108 | 114 | - | 5 | 4 |
240 | 440 | 72 | 79 | 120 | 127 | - | 5 | 4 |
260 | 480 | 80 | 89 | - | - | - | 6 | 5 |
280 | 500 | 80 | 89 | - | - | - | 6 | 5 |
300 | 540 | 85 | 96 | - | - | - | 6 | 5 |
320 | 580 | 92 | 104 | - | - | - | 6 | 5 |
d | D | B | T | B | T | B | T | r1smin | r2smin |
Серия диаметров | |||||||||
3 | 3 | 6 | |||||||
Серия ширин | |||||||||
0 | 1 | 0 | |||||||
Размерная серия | |||||||||
03 | 13 | 06 | |||||||
10 | 35 | 11 | 11,90 | - | - | 17 | 17,90 | 0,6 | 0,6 |
12 | 37 | 12 | 12,90 | - | - | 17 | 17,90 | 1,0 | 1,0 |
15 | 42 | 13 | 14,25 | - | - | 17 | 18,25 | 1,0 | 1,0 |
17 | 47 | 14 | 15,25 | - | - | 19 | 20,25 | 1,0 | 1,0 |
20 | 52 | 15 | 16,25 | - | - | 21 | 22,25 | 1,5 | 1,5 |
22 | 56 | 16 | 17,25 | - | - | 21 | 22,25 | 1,5 | 1,5 |
25 | 62 | 17 | 18,25 | 17 | 18,25 | 24 | 25,25 | 1,5 | 1,5 |
28 | 68 | 18 | 19,75 | - | - | 24 | 25,75 | 1,5 | 1,5 |
30 | 72 | 19 | 20,75 | 19 | 20,75 | 27 | 28,75 | 1,5 | 1,5 |
32 | 75 | 20 | 21,75 | - | - | 28 | 29,75 | 1,5 | 1,5 |
35 | 80 | 21 | 22,75 | 21 | 22,75 | 31 | 32,75 | 2,0 | 1,5 |
40 | 90 | 23 | 25,25 | 23 | 25,25 | 33 | 35,25 | 2,0 | 1,5 |
45 | 100 | 25 | 27,25 | 25 | 27,25 | 36 | 38,25 | 2,0 | 1,5 |
50 | 110 | 27 | 29,25 | 27 | 29,25 | 40 | 42,25 | 2,5 | 2,0 |
55 | 120 | 29 | 31,50 | 29 | 31,50 | 43 | 45,50 | 2,5 | 2,0 |
60 | 130 | 21 | 33,50 | 31 | 33,5 | 46 | 48,50 | 3,0 | 2,5 |
65 | 140 | 33 | 36,00 | 33 | 36,0 | 48 | 51,00 | 3,0 | 2,5 |
70 | 150 | 35 | 38,00 | 35 | 38,0 | 51 | 51,00 | 3,0 | 2,5 |
75 | 160 | 37 | 40,00 | 37 | 40,0 | 55 | 58,00 | 3,0 | 2,5 |
80 | 170 | 39 | 42,50 | 39 | 42,5 | 58 | 61,50 | 3,0 | 2,5 |
85 | 180 | 41 | 44,50 | 41 | 44,5 | 60 | 63,50 | 3,0 | 2,5 |
90 | 190 | 43 | 46,50 | 43 | 46,5 | 64 | 67,50 | 4,0 | 3,0 |
95 | 200 | 45 | 49,50 | 45 | 49,5 | 67 | 71,50 | 4,0 | 3,0 |
100 | 215 | 47 | 51,50 | 51 | 56,5 | 73 | 77,50 | 4,0 | 3,0 |
105 | 225 | 49 | 53,50 | 53 | 58,0 | 77 | 81,50 | 4,0 | 3,0 |
110 | 240 | 50 | 54,50 | 57 | 63,0 | 80 | 84,50 | 4,0 | 3,0 |
120 | 260 | 55 | 59,50 | 62 | 68,0 | 86 | 90,50 | 4,0 | 3,0 |
130 | 280 | 58 | 63,75 | 66 | 72,0 | 93 | 98,75 | 5,0 | 4,0 |
140 | 300 | 62 | 67,75 | 70 | 77,0 | 102 | 107,75 | 5,0 | 4,0 |
150 | 320 | 65 | 72,00 | 75 | 82,0 | 108 | 114,00 | 5,0 | 4,0 |
160 | 340 | 68 | 75,00 | 79 | 87,0 | 114 | 121,00 | 5,0 | 4,0 |
170 | 360 | 72 | 80,00 | 84 | 92,0 | - | - | 5,0 | 4,0 |
180 | 380 | 75 | 83,00 | 88 | 97,0 | - | - | 5,0 | 4,0 |
190 | 400 | 78 | 86,00 | 92 | 101,0 | - | - | 6,0 | 5,0 |
200 | 420 | 80 | 89,00 | 97 | 107,0 | - | - | 6,0 | 5,0 |
220 | 460 | 88 | 97,00 | 106 | 117,0 | - | - | 6,0 | 5,0 |
240 | 500 | 98 | 105,00 | 114 | 125,0 | - | - | 6,0 | 5,0 |
260 | 540 | 102 | 113,00 | 123 | 135,0 | - | - | - | - |
280 | 580 | 108 | 119,00 | 132 | 145,0 | - | - | - | - |
300 | 620 | - | - | 140 | 154,0 | - | - | - | - |

d | D | T | rsmin | d | D | T | rsmin | |||||
Серия высот | Серия высот | |||||||||||
7 | 9 | 1 | 7 | 9 | 1 | |||||||
Размерная серия | Размерная серия | |||||||||||
79 | 99 | 19 | 79 | 99 | 19 | |||||||
4 | 12 | 4 | - | 6 | 0,3 | 260 | 290 | 14 | - | 22 | 1,0 | |
6 | 16 | 5 | - | 7 | 0,3 | 280 | 310 | 14 | - | 22 | 1,0 | |
8 | 18 | 5 | - | 7 | 0,3 | 300 | 340 | 18 | 24 | 30 | 1,0 | |
10 | 20 | 5 | - | 7 | 0,3 | 320 | 360 | 18 | 24 | 30 | 1,0 | |
12 | 22 | 5 | - | 7 | 0,3 | 340 | 380 | 18 | 24 | 30 | 1,0 | |
15 | 26 | 5 | - | 7 | 0,3 | 360 | 400 | 18 | 24 | 30 | 1,0 | |
17 | 28 | 5 | - | 7 | 0,3 | 380 | 420 | 18 | 24 | 30 | 1,0 | |
20 | 32 | 6 | - | 8 | 0,3 | 400 | 440 | 18 | 24 | 30 | 1,0 | |
25 | 37 | 6 | - | 8 | 0,3 | 420 | 460 | 18 | 24 | 30 | 1,0 | |
30 | 42 | 6 | - | 8 | 0,3 | 440 | 480 | 18 | 24 | 30 | 1,0 | |
35 | 47 | 6 | - | 8 | 0,3 | 460 | 500 | 18 | 24 | 30 | 1,0 | |
40 | 52 | 6 | - | 9 | 0,3 | 480 | 520 | 18 | 24 | 30 | 1,0 | |
45 | 60 | 7 | - | 10 | 0,3 | 500 | 540 | 18 | 24 | 30 | 1,0 | |
50 | 65 | 7 | - | 10 | 0,3 | 530 | 580 | 23 | 30 | 38 | 1,1 | |
55 | 70 | 7 | - | 10 | 0,3 | 560 | 610 | 23 | 30 | 38 | 1,1 | |
60 | 75 | 7 | - | 10 | 0,3 | 600 | 650 | 23 | 30 | 38 | 1,1 | |
65 | 80 | 7 | - | 10 | 0,3 | 630 | 680 | 23 | 30 | 38 | 1,1 | |
70 | 85 | 7 | - | 10 | 0,3 | 670 | 730 | 27 | 36 | 45 | 1,5 | |
75 | 90 | 7 | - | 10 | 0,3 | 710 | 780 | 32 | 42 | 53 | 1,5 | |
80 | 95 | 7 | - | 10 | 0,3 | 750 | 820 | 32 | 42 | 53 | 1,5 | |
85 | 100 | 7 | - | 10 | 0,3 | 800 | 870 | 32 | 42 | 53 | 1,5 | |
90 | 105 | 7 | - | 10 | 0,3 | 850 | 920 | 32 | 42 | 53 | 1,5 | |
100 | 120 | 9 | - | 14 | 0,6 | 900 | 980 | 36 | 48 | 63 | 2,0 | |
110 | 130 | 9 | - | 14 | 0,6 | 950 | 1030 | 36 | 48 | 63 | 2,0 | |
120 | 140 | 9 | - | 14 | 0,6 | 1000 | 1090 | 41 | 54 | 70 | 2,1 | |
130 | 150 | 9 | - | 14 | 0,6 | 1060 | 1150 | 41 | 54 | 70 | 2,1 | |
140 | 160 | 9 | - | 14 | 0,6 | 1120 | 1220 | 45 | 60 | 80 | 2,1 | |
150 | 170 | 9 | - | 14 | 0,6 | 1180 | 1280 | 45 | 60 | 80 | 2,1 | |
160 | 180 | 9 | - | 14 | 0,6 | 1250 | 1360 | 50 | 67 | 85 | 3,0 | |
170 | 190 | 9 | - | 14 | 0,6 | 1320 | 1440 | - | - | 95 | 3,0 | |
180 | 200 | 9 | - | 14 | 0,6 | 1400 | 1520 | - | - | 95 | 3,0 | |
190 | 215 | 11 | - | 17 | 1,0 | 1500 | 1630 | - | - | 105 | 4,0 | |
200 | 225 | 11 | - | 17 | 1,0 | 1600 | 1730 | - | - | 105 | 4,0 | |
220 | 250 | 14 | - | 22 | 1,0 | 1700 | 1840 | - | - | 112 | 4,0 | |
240 | 270 | 14 | - | 22 | 1,0 | 1800 | 1950 | - | - | 120 | 4,0 | |
d | D | T | rsmin | ||
Серия высот | |||||
7 | 9 | 1 | |||
Размерная серия | |||||
79 | 99 | 19 | |||
1900 | 2060 | - | - | 130 | 5 |
2000 | 2160 | - | - | 130 | 5 |
2120 | 2300 | - | - | 140 | 5 |
2240 | 2430 | - | - | 150 | 5 |
2360 | 2550 | - | - | 150 | 5 |
2500 | 2700 | - | - | 160 | 5 |
d | D | T | d1smax | D1smin | rsmin | d | D | T | d1smax | D1smin | rsmin | ||||
Серия высот | Серия высот | ||||||||||||||
7 | 9 | 0 | 7 | 9 | 0 | ||||||||||
Размерная серия | Размерная серия | ||||||||||||||
71 | 91 | 01 | 71 | 91 | 01 | ||||||||||
10 | 24 | 6 | - | 9 | 24 | 11 | 0,3 | 220 | 270 | 23 | 30 | 37 | 267 | 223 | 1,1 |
12 | 26 | 6 | - | 9 | 26 | 13 | 0,3 | 240 | 300 | 27 | 36 | 45 | 297 | 243 | 1,5 |
15 | 28 | 6 | - | 9 | 28 | 16 | 0,3 | 260 | 320 | 27 | 36 | 45 | 317 | 263 | 1,5 |
17 | 30 | 6 | - | 9 | 30 | 18 | 0,3 | 280 | 350 | 32 | 42 | 53 | 347 | 283 | 1,5 |
20 | 35 | 7 | - | 10 | 35 | 21 | 0,3 | 300 | 380 | 36 | 48 | 62 | 376 | 304 | 2,0 |
25 | 42 | 8 | - | 11 | 42 | 26 | 0,6 | 320 | 400 | 36 | 48 | 63 | 396 | 324 | 2,0 |
30 | 47 | 8 | - | 11 | 47 | 32 | 0,6 | 340 | 420 | 36 | 48 | 64 | 416 | 344 | 2,0 |
35 | 52 | 8 | - | 12 | 52 | 37 | 0,6 | 360 | 440 | 36 | 48 | 65 | 436 | 364 | 2,0 |
40 | 60 | 9 | - | 13 | 60 | 42 | 0,6 | 380 | 460 | 36 | 48 | 65 | 456 | 384 | 2,0 |
45 | 65 | 9 | - | 14 | 65 | 47 | 0,6 | 400 | 480 | 36 | 48 | 65 | 476 | 404 | 2,0 |
50 | 70 | 9 | - | 14 | 70 | 52 | 0,6 | 420 | 500 | 36 | 48 | 65 | 495 | 424 | 2,0 |
55 | 78 | 10 | - | 16 | 78 | 57 | 0,6 | 440 | 540 | 45 | 60 | 80 | 535 | 444 | 2,1 |
60 | 85 | 11 | - | 17 | 85 | 62 | 1,0 | 460 | 560 | 45 | 60 | 80 | 555 | 464 | 2,1 |
65 | 90 | 11 | - | 18 | 90 | 67 | 1,0 | 480 | 580 | 45 | 60 | 80 | 575 | 484 | 2,1 |
70 | 95 | 11 | - | 18 | 95 | 72 | 1,0 | 500 | 600 | 45 | 60 | 80 | 595 | 504 | 2,1 |
75 | 100 | 11 | - | 19 | 100 | 77 | 1,0 | 530 | 640 | 50 | 67 | 85 | 635 | 534 | 3,0 |
80 | 105 | 11 | - | 19 | 105 | 82 | 1,0 | 560 | 670 | 50 | 67 | 85 | 665 | 564 | 3,0 |
85 | 110 | 11 | - | 19 | 110 | 87 | 1,0 | 600 | 710 | 50 | 67 | 85 | 705 | 604 | 3,0 |
90 | 120 | 14 | - | 22 | 120 | 92 | 1,0 | 630 | 750 | 54 | 73 | 95 | 745 | 634 | 3,0 |
100 | 135 | 16 | 21 | 25 | 135 | 102 | 1,0 | 670 | 800 | 58 | 78 | 105 | 795 | 674 | 4,0 |
110 | 145 | 16 | 21 | 25 | 145 | 112 | 1,0 | 710 | 850 | 63 | 85 | 112 | 845 | 714 | 4,0 |
120 | 155 | 16 | 21 | 25 | 155 | 122 | 1,0 | 750 | 900 | 67 | 90 | 120 | 895 | 755 | 4,0 |
130 | 170 | 18 | 24 | 30 | 170 | 132 | 1,0 | 800 | 950 | 67 | 90 | 120 | 945 | 805 | 4,0 |
140 | 180 | 18 | 24 | 31 | 178 | 142 | 1,0 | 850 | 1000 | 67 | 90 | 120 | 995 | 855 | 4,0 |
150 | 190 | 18 | 24 | 31 | 188 | 152 | 1,0 | 900 | 1060 | 73 | 95 | 130 | 1055 | 905 | 5,0 |
160 | 200 | 18 | 24 | 31 | 198 | 162 | 1,0 | 950 | 1120 | 78 | 103 | 135 | 1115 | 955 | 5,0 |
170 | 215 | 20 | 27 | 34 | 213 | 172 | 1,1 | 1000 | 1180 | 82 | 109 | 140 | 1175 | 1005 | 5,0 |
180 | 225 | 20 | 27 | 34 | 222 | 183 | 1,1 | 1060 | 1250 | 85 | 115 | 150 | 1245 | 1065 | 5,0 |
190 | 240 | 23 | 30 | 37 | 237 | 193 | 1,1 | 1120 | 1320 | 90 | 122 | 160 | 1315 | 1125 | 5,0 |
200 | 250 | 23 | 30 | 37 | 247 | 203 | 1,1 | 1180 | 1400 | 100 | 132 | 175 | 1395 | 1185 | 6,0 |
1250 | 1460 | - | - | 175 | 1455 | 1255 | 6,0 | 2240 | 2570 | - | - | 258 | 2560 | 2250 | 9,5 |
1320 | 1540 | - | - | 175 | 1535 | 1325 | 6,0 | 2360 | 2700 | - | - | 265 | 2690 | 2370 | 9,5 |
1400 | 1630 | - | - | 180 | 1620 | 1410 | 6,0 | 2500 | 2850 | - | - | 272 | 2840 | 2510 | 9,5 |
1500 | 1750 | - | - | 195 | 1740 | 1510 | 6,0 | ||||||||
1600 | 1850 | - | - | 195 | 1840 | 1610 | 6,0 | ||||||||
1700 | 1970 | - | - | 212 | 1960 | 1710 | 7,5 | ||||||||
1800 | 2080 | - | - | 220 | 2070 | 1810 | 7,5 | ||||||||
1900 | 2180 | - | - | 220 | 2170 | 1910 | 7,5 | ||||||||
2000 | 2300 | - | - | 236 | 2290 | 2010 | 7,5 | ||||||||
2120 | 2430 | - | - | 243 | 2420 | 2130 | 7,5 | ||||||||
d | D | T | d1smax | D1smin | rsmin | d | D | T | d1smax | D1smin | rsmin | ||||
Серия высот | Серия высот | ||||||||||||||
7 | 9 | 0 | 7 | 9 | 0 | ||||||||||
Размерная серия | Размерная серия | ||||||||||||||
72 | 92 | 02 | 72 | 92 | 02 | ||||||||||
4 | 16 | 6 | - | 8 | 16 | 4 | 0,3 | 130 | 190 | 27 | 36 | 45 | 187 | 133 | 1,5 |
6 | 20 | 6 | - | 9 | 20 | 6 | 0,3 | 140 | 200 | 27 | 36 | 46 | 197 | 143 | 1,5 |
8 | 22 | 6 | - | 9 | 22 | 8 | 0,3 | 150 | 215 | 29 | 39 | 50 | 212 | 153 | 1,5 |
10 | 26 | 7 | - | 11 | 26 | 12 | 0,6 | 160 | 225 | 29 | 39 | 51 | 222 | 163 | 1,5 |
12 | 28 | 7 | - | 11 | 28 | 14 | 0,6 | 170 | 240 | 32 | 42 | 55 | 237 | 173 | 1,5 |
15 | 32 | 8 | - | 12 | 32 | 17 | 0,6 | 180 | 250 | 32 | 42 | 56 | 247 | 183 | 1,5 |
17 | 35 | 8 | - | 12 | 35 | 19 | 0,6 | 190 | 270 | 36 | 48 | 62 | 267 | 194 | 2,0 |
20 | 40 | 9 | - | 14 | 40 | 22 | 0,6 | 200 | 280 | 36 | 48 | 62 | 277 | 204 | 2,0 |
25 | 47 | 10 | - | 15 | 47 | 27 | 0,6 | 220 | 300 | 36 | 48 | 63 | 297 | 224 | 2,0 |
30 | 52 | 10 | - | 16 | 52 | 32 | 0,6 | 240 | 340 | 45 | 60 | 78 | 335 | 244 | 2,1 |
35 | 62 | 12 | - | 18 | 62 | 37 | 1,0 | 260 | 360 | 45 | 60 | 79 | 355 | 264 | 2,1 |
40 | 68 | 13 | - | 19 | 68 | 42 | 1,0 | 280 | 380 | 45 | 60 | 80 | 375 | 284 | 2,1 |
45 | 73 | 13 | - | 20 | 73 | 47 | 1,0 | 300 | 420 | 54 | 73 | 95 | 415 | 304 | 3,0 |
50 | 78 | 13 | - | 22 | 78 | 52 | 1,0 | 320 | 440 | 54 | 73 | 95 | 435 | 325 | 3,0 |
55 | 90 | 16 | 21 | 25 | 90 | 57 | 1,0 | 340 | 460 | 54 | 73 | 96 | 455 | 345 | 3,0 |
60 | 95 | 16 | 21 | 26 | 95 | 62 | 1,0 | 360 | 500 | 63 | 85 | 110 | 495 | 365 | 4,0 |
65 | 100 | 16 | 21 | 27 | 100 | 67 | 1,0 | 380 | 520 | 63 | 85 | 112 | 515 | 385 | 4,0 |
70 | 105 | 16 | 21 | 27 | 105 | 72 | 1,0 | 400 | 540 | 63 | 85 | 112 | 535 | 405 | 4,0 |
75 | 110 | 16 | 21 | 27 | 110 | 77 | 1,0 | 420 | 580 | 73 | 95 | 130 | 575 | 425 | 5,0 |
80 | 115 | 16 | 21 | 28 | 115 | 82 | 1,0 | 440 | 600 | 73 | 95 | 130 | 595 | 445 | 5,0 |
85 | 125 | 18 | 24 | 31 | 125 | 88 | 1,0 | 460 | 620 | 73 | 95 | 130 | 615 | 465 | 5,0 |
90 | 135 | 20 | 27 | 35 | 135 | 93 | 1,1 | 480 | 650 | 78 | 103 | 135 | 645 | 485 | 5,0 |
100 | 150 | 23 | 30 | 38 | 150 | 103 | 1,1 | 500 | 670 | 78 | 103 | 135 | 665 | 505 | 5,0 |
110 | 160 | 23 | 30 | 38 | 160 | 113 | 1,1 | 530 | 710 | 82 | 109 | 140 | 705 | 535 | 5,0 |
120 | 170 | 23 | 30 | 39 | 170 | 123 | 1,1 | 560 | 750 | 85 | 115 | 150 | 745 | 565 | 5,0 |
600 | 800 | 90 | 122 | 160 | 795 | 605 | 5,0 | 1060 | 1400 | 155 | 206 | 265 | 1395 | 1065 | 9,5 |
630 | 850 | 100 | 132 | 175 | 845 | 635 | 6,0 | 1120 | 1460 | - | 206 | - | - | - | 9,5 |
670 | 900 | 103 | 140 | 180 | 895 | 675 | 6,0 | 1180 | 1520 | - | 206 | - | - | - | 9,5 |
710 | 950 | 109 | 145 | 190 | 945 | 715 | 6,0 | 1250 | 1610 | - | 216 | - | - | - | 9,5 |
750 | 1000 | 112 | 150 | 195 | 995 | 755 | 6,0 | 1320 | 1700 | - | 228 | - | - | - | 9,5 |
800 | 1060 | 118 | 155 | 205 | 1055 | 805 | 7,5 | 1400 | 1790 | - | 234 | - | - | - | 12,0 |
850 | 1120 | 122 | 160 | 212 | 1115 | 855 | 7,5 | 1500 | 1920 | - | 252 | - | - | - | 12,0 |
900 | 1180 | 125 | 170 | 220 | 1175 | 905 | 7,5 | 1600 | 2040 | - | 264 | - | - | - | 15,0 |
950 | 1250 | 136 | 180 | 236 | 1245 | 955 | 7,5 | 1700 | 2160 | - | 276 | - | - | - | 15,0 |
1000 | 1320 | 145 | 190 | 250 | 1315 | 1005 | 9,5 | 1800 | 2280 | - | 288 | - | - | - | 15,0 |
d | D | T | d1smax | D1smin | rsmin | d | D | T | d1smax | D1smin | rsmin | ||||
Серия высот | Серия высот | ||||||||||||||
7 | 9 | 0 | 7 | 9 | 0 | ||||||||||
Размерная серия | Размерная серия | ||||||||||||||
73 | 93 | 03 | 73 | 93 | 03 | ||||||||||
4 | 20 | 7 | - | 11 | 20 | 4 | 0,6 | 260 | 420 | 73 | 95 | 130 | 415 | 265 | 5,0 |
6 | 24 | 8 | - | 12 | 24 | 6 | 0,6 | 280 | 440 | 73 | 95 | 130 | 435 | 285 | 5,0 |
8 | 26 | 8 | - | 12 | 26 | 8 | 0,6 | 300 | 480 | 82 | 109 | 140 | 475 | 305 | 5,0 |
10 | 30 | 9 | - | 14 | 30 | 10 | 0,6 | 320 | 500 | 82 | 109 | 140 | 495 | 325 | 5,0 |
12 | 32 | 9 | - | 14 | 32 | 12 | 0,6 | 340 | 540 | 90 | 122 | 160 | 535 | 345 | 5,0 |
15 | 37 | 10 | - | 15 | 37 | 15 | 0,6 | 360 | 560 | 90 | 122 | 160 | 555 | 365 | 5,0 |
17 | 40 | 10 | - | 16 | 40 | 19 | 0,6 | 380 | 600 | 100 | 132 | 175 | 595 | 385 | 6,0 |
20 | 47 | 12 | - | 18 | 47 | 22 | 1,0 | 400 | 620 | 100 | 132 | 175 | 615 | 405 | 6,0 |
25 | 52 | 12 | - | 18 | 52 | 27 | 1,0 | 420 | 650 | 103 | 140 | 180 | 645 | 425 | 6,0 |
30 | 60 | 14 | 18 | 21 | 60 | 32 | 1,0 | 440 | 680 | 109 | 145 | 190 | 675 | 445 | 6,0 |
35 | 68 | 15 | 20 | 24 | 68 | 37 | 1,0 | 460 | 710 | 112 | 150 | 195 | 705 | 465 | 6,0 |
40 | 78 | 17 | 22 | 26 | 78 | 42 | 1,0 | 480 | 730 | 112 | 150 | 195 | 725 | 485 | 6,0 |
45 | 85 | 18 | 24 | 28 | 85 | 47 | 1,0 | 500 | 750 | 112 | 150 | 195 | 745 | 505 | 6,0 |
50 | 95 | 20 | 27 | 31 | 95 | 52 | 1,1 | 530 | 800 | 122 | 160 | 212 | 795 | 535 | 7,5 |
55 | 105 | 23 | 30 | 35 | 105 | 57 | 1,1 | 560 | 850 | 132 | 175 | 224 | 845 | 565 | 7,5 |
60 | 110 | 23 | 30 | 35 | 110 | 62 | 1,1 | 600 | 900 | 136 | 180 | 236 | 895 | 605 | 7,5 |
65 | 115 | 23 | 30 | 36 | 115 | 67 | 1,1 | 630 | 950 | 145 | 190 | 250 | 945 | 635 | 9,5 |
70 | 125 | 25 | 34 | 40 | 125 | 72 | 1,1 | 670 | 1000 | 150 | 200 | 258 | 995 | 675 | 9,5 |
75 | 135 | 27 | 36 | 44 | 135 | 77 | 1,5 | 710 | 1060 | 160 | 212 | 272 | 1055 | 715 | 9,5 |
80 | 140 | 27 | 36 | 44 | 140 | 82 | 1,5 | 750 | 1120 | 165 | 224 | 290 | 1115 | 755 | 9,5 |
85 | 150 | 29 | 39 | 49 | 150 | 88 | 1,5 | 800 | 1180 | 170 | 230 | 300 | 1175 | 805 | 9,5 |
90 | 155 | 29 | 39 | 50 | 155 | 93 | 1,5 | 850 | 1250 | 180 | 243 | 315 | 1245 | 855 | 12,0 |
100 | 170 | 32 | 42 | 55 | 170 | 103 | 1,5 | 900 | 1320 | 190 | 250 | 335 | 1315 | 905 | 12,0 |
110 | 190 | 36 | 48 | 63 | 187 | 113 | 2,0 | 950 | 1400 | 200 | 272 | 355 | 1395 | 955 | 12,0 |
120 | 210 | 41 | 54 | 70 | 205 | 123 | 2,1 | 1000 | 1460 | - | 276 | - | - | - | 12,0 |
130 | 225 | 42 | 58 | 75 | 220 | 134 | 2,1 | 1060 | 1540 | - | 288 | - | - | - | 15,0 |
140 | 240 | 45 | 60 | 80 | 235 | 144 | 2,1 | 1120 | 1630 | - | 306 | - | - | - | 15,0 |
150 | 250 | 45 | 60 | 80 | 245 | 154 | 2,1 | 1180 | 1710 | - | 318 | - | - | - | 15,0 |
160 | 270 | 50 | 67 | 87 | 265 | 164 | 3,0 | 1250 | 1800 | - | 330 | - | - | - | 19,0 |
170 | 280 | 50 | 67 | 87 | 275 | 174 | 3,0 | 1320 | 1900 | - | 348 | - | - | - | 19,0 |
180 | 300 | 54 | 73 | 95 | 295 | 184 | 3,0 | 1400 | 2000 | - | 360 | - | - | - | 19,0 |
190 | 320 | 58 | 78 | 105 | 315 | 195 | 4,0 | 1500 | 2140 | - | 384 | - | - | - | 19,0 |
200 | 340 | 63 | 85 | 110 | 335 | 205 | 4,0 | 1600 | 2270 | - | 402 | - | - | - | 19,0 |
220 | 360 | 63 | 85 | 112 | 355 | 225 | 4,0 | ||||||||
240 | 380 | 63 | 85 | 112 | 375 | 245 | 4,0 | ||||||||
d | D | T | d1smax | D1smin | rsmin | d | D | T | d1smax | D1smin | rsmin | ||||
Серия высот | Серия высот | ||||||||||||||
7 | 9 | 0 | 7 | 9 | 0 | ||||||||||
Размерная серия | Размерная серия | ||||||||||||||
74 | 94 | 04 | 74 | 94 | 04 | ||||||||||
25 | 60 | 16 | 21 | 24 | 60 | 27 | 1,0 | 320 | 580 | 118 | 155 | 205 | 575 | 325 | 7,5 |
30 | 70 | 18 | 24 | 28 | 70 | 32 | 1,0 | 340 | 620 | 125 | 170 | 220 | 615 | 345 | 7,5 |
35 | 80 | 20 | 27 | 32 | 80 | 37 | 1,1 | 360 | 640 | 125 | 170 | 220 | 635 | 365 | 7,5 |
40 | 90 | 23 | 30 | 36 | 90 | 42 | 1,1 | 380 | 670 | 132 | 175 | 224 | 665 | 385 | 7,5 |
45 | 100 | 25 | 34 | 39 | 100 | 47 | 1,1 | 400 | 710 | 140 | 185 | 243 | 705 | 405 | 7,5 |
50 | 110 | 27 | 36 | 43 | 110 | 52 | 1,5 | 420 | 730 | 140 | 185 | 243 | 725 | 425 | 7,5 |
55 | 120 | 29 | 39 | 48 | 120 | 57 | 1,5 | 440 | 780 | 155 | 206 | 265 | 775 | 445 | 9,5 |
60 | 130 | 32 | 42 | 51 | 130 | 62 | 1,5 | 460 | 800 | 155 | 206 | 265 | 795 | 465 | 9,5 |
65 | 140 | 34 | 45 | 56 | 140 | 68 | 2,0 | 480 | 850 | 165 | 224 | 290 | 845 | 485 | 9,5 |
70 | 150 | 36 | 48 | 60 | 150 | 73 | 2,0 | 500 | 870 | 165 | 224 | 290 | 865 | 505 | 9,5 |
75 | 160 | 38 | 51 | 65 | 160 | 78 | 2,0 | 530 | 920 | 175 | 236 | 308 | 915 | 535 | 9,5 |
80 | 170 | 41 | 54 | 68 | 170 | 83 | 2,1 | 560 | 980 | 190 | 250 | 335 | 975 | 565 | 12,0 |
85 | 180 | 42 | 58 | 72 | 177 | 88 | 2,1 | 600 | 1030 | 195 | 258 | 335 | 1025 | 605 | 12,0 |
90 | 190 | 45 | 60 | 77 | 187 | 93 | 2,1 | 630 | 1090 | 206 | 280 | 365 | 1085 | 635 | 12,0 |
100 | 210 | 50 | 67 | 85 | 205 | 103 | 3,0 | 670 | 1150 | 218 | 290 | 375 | 1145 | 675 | 15,0 |
110 | 230 | 54 | 73 | 95 | 225 | 113 | 3,0 | 710 | 1220 | 230 | 308 | 400 | 1215 | 715 | 15,0 |
120 | 250 | 58 | 78 | 102 | 245 | 123 | 4,0 | 750 | 1280 | 236 | 315 | 412 | 1275 | 755 | 15,0 |
130 | 270 | 63 | 85 | 110 | 265 | 134 | 4,0 | 800 | 1360 | 250 | 335 | 438 | 1355 | 805 | 15,0 |
140 | 280 | 63 | 85 | 112 | 275 | 144 | 4,0 | 850 | 1440 | - | 354 | - | - | - | 15,0 |
150 | 300 | 67 | 90 | 120 | 295 | 154 | 4,0 | 900 | 1520 | - | 372 | - | - | - | 15,0 |
160 | 320 | 73 | 95 | 130 | 315 | 164 | 5,0 | 950 | 1600 | - | 390 | - | - | - | 15,0 |
170 | 340 | 78 | 103 | 135 | 335 | 174 | 5,0 | 1000 | 1670 | - | 402 | - | - | - | 15,0 |
180 | 360 | 82 | 109 | 140 | 355 | 184 | 5,0 | 1060 | 1770 | - | 426 | - | - | - | 15,0 |
190 | 380 | 85 | 115 | 150 | 375 | 195 | 5,0 | 1120 | 1860 | - | 444 | - | - | - | 15,0 |
200 | 400 | 90 | 122 | 155 | 395 | 205 | 5,0 | 1180 | 1950 | - | 462 | - | - | - | 19,0 |
220 | 420 | 90 | 122 | 160 | 415 | 225 | 6,0 | 1250 | 2050 | - | 480 | - | - | - | 19,0 |
240 | 440 | 90 | 122 | 160 | 435 | 245 | 6,0 | 1320 | 2160 | - | 505 | - | - | - | 19,0 |
260 | 480 | 100 | 132 | 175 | 475 | 265 | 6,0 | 1400 | 2280 | - | 530 | - | - | - | 19,0 |
280 | 520 | 109 | 145 | 190 | 515 | 285 | 6,0 | ||||||||
300 | 540 | 109 | 145 | 190 | 535 | 305 | 6,0 | ||||||||
d | D | T | rsmin | d | D | T | rsmin |
Серия высот | Серия высот | ||||||
9 | 9 | ||||||
Размерная серия | Размерная серия | ||||||
95 | 95 | ||||||
17 | 52 | 21 | 1,0 | 40 | 110 | 42 | 1,5 |
20 | 60 | 24 | 1,0 | 45 | 120 | 45 | 2,0 |
25 | 73 | 29 | 1,1 | 50 | 135 | 51 | 2,0 |
30 | 85 | 34 | 1,1 | 55 | 150 | 58 | 2,1 |
35 | 100 | 39 | 1,1 | 60 | 160 | 60 | 2,1 |
65 | 170 | 63 | 2,1 | 280 | 620 | 206 | 9,5 |
70 | 180 | 67 | 3,0 | 300 | 670 | 224 | 9,5 |
75 | 190 | 69 | 3,0 | 320 | 710 | 236 | 9,5 |
80 | 200 | 73 | 3,0 | 340 | 750 | 243 | 12,0 |
85 | 215 | 78 | 4,0 | 360 | 780 | 250 | 12,0 |
90 | 225 | 82 | 4,0 | 380 | 820 | 265 | 12,0 |
100 | 250 | 90 | 4,0 | 400 | 850 | 272 | 12,0 |
110 | 270 | 95 | 5,0 | 420 | 900 | 290 | 15,0 |
120 | 300 | 109 | 5,0 | 440 | 950 | 308 | 15,0 |
130 | 320 | 115 | 5,0 | 460 | 980 | 315 | 15,0 |
140 | 340 | 122 | 5,0 | 480 | 1000 | 315 | 15,0 |
150 | 360 | 125 | 6,0 | 500 | 1060 | 335 | 15,0 |
160 | 380 | 132 | 6,0 | 530 | 1090 | 335 | 15,0 |
170 | 400 | 140 | 6,0 | 560 | 1150 | 355 | 15,0 |
180 | 420 | 145 | 6,0 | 600 | 1220 | 375 | 15,0 |
190 | 440 | 150 | 6,0 | 630 | 1280 | 388 | 15,0 |
200 | 460 | 155 | 7,5 | 670 | 1320 | 388 | 15,0 |
220 | 500 | 170 | 7,5 | 710 | 1400 | 412 | 15,0 |
240 | 540 | 180 | 7,5 | ||||
260 | 580 | 190 | 9,5 |

d2 | d <a> | D | T1 | B | d3smax | D1smin | rsmin | r1smin |
10 | 15 | 32 | 22 | 5 | 32,0 | 17 | 0,6 | 0,3 |
15 | 20 | 40 | 26 | 6 | 40,0 | 22 | 0,6 | 0,3 |
20 | 25 | 47 | 28 | 7 | 47,0 | 27 | 0,6 | 0,3 |
25 | 30 | 52 | 29 | 7 | 52,0 | 32 | 0,6 | 0,3 |
30 | 35 | 62 | 34 | 8 | 62,0 | 37 | 1,0 | 0,3 |
30 | 40 | 68 | 36 | 9 | 68,0 | 42 | 1,0 | 0,6 |
35 | 45 | 73 | 37 | 9 | 73,0 | 47 | 1,0 | 0,6 |
40 | 50 | 78 | 39 | 9 | 78,0 | 52 | 1,0 | 0,6 |
45 | 55 | 90 | 45 | 10 | 90,0 | 57 | 1,0 | 0,6 |
50 | 60 | 95 | 46 | 10 | 95,0 | 62 | 1,0 | 0,6 |
55 | 65 | 100 | 47 | 10 | 100,0 | 67 | 1,0 | 0,6 |
55 | 70 | 105 | 47 | 10 | 105,0 | 72 | 1,0 | 1,0 |
60 | 75 | 110 | 47 | 10 | 110,0 | 77 | 1,0 | 1,0 |
65 | 80 | 115 | 48 | 10 | 115,0 | 82 | 1,0 | 1,0 |
70 | 85 | 125 | 55 | 12 | 125,0 | 88 | 1,0 | 1,0 |
75 | 90 | 135 | 62 | 14 | 135,0 | 93 | 1,1 | 1,0 |
85 | 100 | 150 | 67 | 15 | 150,0 | 103 | 1,1 | 1,0 |
95 | 110 | 160 | 67 | 15 | 160,0 | 113 | 1,1 | 1,0 |
100 | 120 | 170 | 68 | 15 | 170,0 | 123 | 1,1 | 1,1 |
110 | 130 | 190 | 80 | 18 | 189,5 | 133 | 1,5 | 1,1 |
120 | 140 | 200 | 81 | 18 | 199,5 | 143 | 1,5 | 1,1 |
130 | 150 | 215 | 89 | 20 | 214,5 | 153 | 1,5 | 1,1 |
140 | 160 | 225 | 90 | 20 | 224,5 | 163 | 1,5 | 1,1 |
150 | 170 | 240 | 97 | 21 | 239,5 | 173 | 1,5 | 1,1 |
150 | 180 | 250 | 98 | 21 | 249,0 | 183 | 1,5 | 2,0 |
160 | 190 | 270 | 109 | 24 | 269,0 | 194 | 2,0 | 2,0 |
170 | 200 | 280 | 109 | 24 | 279,0 | 204 | 2,0 | 2,0 |
190 | 220 | 300 | 110 | 24 | 299,0 | 224 | 2,0 | 2,0 |
<a> d - диаметр отверстия тугого кольца соответствующего одинарного подшипника серии диаметров 2, указанный в таблице 16, приведен для построения условного обозначения подшипника. | ||||||||
d2 | d <a> | D | T1 | B | d3smax | D1smin | rsmin | r1smin |
20 | 25 | 52 | 34 | 8 | 52,0 | 27 | 1,0 | 0,3 |
25 | 30 | 60 | 38 | 9 | 60,0 | 32 | 1,0 | 0,3 |
30 | 35 | 68 | 44 | 10 | 68,0 | 37 | 1,0 | 0,3 |
30 | 40 | 78 | 49 | 12 | 78,0 | 42 | 1,0 | 0,6 |
35 | 45 | 85 | 52 | 12 | 85,0 | 47 | 1,0 | 0,6 |
40 | 50 | 95 | 58 | 14 | 95,0 | 52 | 1,1 | 0,6 |
45 | 55 | 105 | 64 | 15 | 105,0 | 57 | 1,1 | 0,6 |
50 | 60 | 110 | 64 | 15 | 110,0 | 62 | 1,1 | 0,6 |
55 | 65 | 115 | 65 | 15 | 115,0 | 67 | 1,1 | 0,6 |
55 | 70 | 125 | 72 | 16 | 125,0 | 72 | 1,1 | 1,0 |
60 | 75 | 135 | 79 | 18 | 135,0 | 77 | 1,5 | 1,0 |
65 | 80 | 140 | 79 | 18 | 140,0 | 82 | 1.5 | 1,0 |
70 | 85 | 150 | 87 | 19 | 150,0 | 88 | 1,5 | 1,0 |
75 | 90 | 155 | 88 | 19 | 155,0 | 93 | 1,5 | 1,0 |
85 | 100 | 170 | 97 | 21 | 170,0 | 103 | 1,5 | 1,0 |
95 | 110 | 190 | 110 | 24 | 189,5 | 113 | 2,0 | 1,0 |
100 | 120 | 210 | 123 | 27 | 209,5 | 123 | 2,1 | 1,1 |
110 | 130 | 225 | 130 | 30 | 224,0 | 134 | 2,1 | 1,1 |
120 | 140 | 240 | 140 | 31 | 239,0 | 144 | 2,1 | 1,1 |
130 | 150 | 250 | 140 | 31 | 249,0 | 154 | 2,1 | 1,1 |
140 | 160 | 270 | 153 | 33 | 269,0 | 164 | 3,0 | 1,1 |
150 | 170 | 280 | 153 | 33 | 279,0 | 174 | 3,0 | 1,1 |
150 | 180 | 300 | 165 | 37 | 299,0 | 184 | 3,0 | 2,0 |
160 | 190 | 320 | 183 | 40 | 319,0 | 195 | 4,0 | 2,0 |
170 | 200 | 340 | 192 | 42 | 339,0 | 205 | 4,0 | 2,0 |
<a> d - диаметр отверстия тугого кольца соответствующего одинарного подшипника серии диаметров 3, указанный в таблице 17, приведен для построения условного обозначения подшипника. | ||||||||
d2 | d <a> | D | T1 | B | d3smax | D1smin | rsmin | r1smin |
15 | 25 | 60 | 45 | 11 | 60 | 27 | 1,0 | 0,6 |
20 | 30 | 70 | 52 | 12 | 70 | 32 | 1,0 | 0,6 |
25 | 35 | 80 | 59 | 14 | 80 | 37 | 1,1 | 0,6 |
30 | 40 | 90 | 65 | 15 | 90 | 42 | 1,1 | 0,6 |
35 | 45 | 100 | 72 | 17 | 100 | 47 | 1,1 | 0,6 |
40 | 50 | 110 | 78 | 18 | 110,0 | 52 | 1,5 | 0,6 |
45 | 55 | 120 | 87 | 20 | 120,0 | 57 | 1,5 | 0,6 |
50 | 60 | 130 | 93 | 21 | 130,0 | 62 | 1,5 | 0,6 |
50 | 65 | 140 | 101 | 23 | 140,0 | 68 | 2,0 | 1,0 |
55 | 70 | 150 | 107 | 24 | 150,0 | 73 | 2,0 | 1,0 |
60 | 75 | 160 | 115 | 26 | 160,0 | 78 | 2,0 | 1,0 |
65 | 80 | 170 | 120 | 27 | 170,0 | 83 | 2,1 | 1,0 |
65 | 85 | 180 | 128 | 29 | 179,5 | 88 | 2,1 | 1,1 |
70 | 90 | 190 | 135 | 30 | 189,5 | 93 | 2,1 | 1,1 |
80 | 100 | 210 | 150 | 33 | 209,5 | 103 | 3,0 | 1,1 |
90 | 110 | 230 | 166 | 37 | 229,0 | 113 | 3,0 | 1,1 |
95 | 120 | 250 | 177 | 40 | 249,0 | 123 | 4,0 | 1,5 |
100 | 130 | 270 | 192 | 42 | 269,0 | 134 | 4,0 | 2,0 |
110 | 140 | 280 | 196 | 44 | 279,0 | 144 | 4,0 | 2,0 |
120 | 150 | 300 | 209 | 46 | 299,0 | 154 | 4,0 | 2,0 |
130 | 160 | 320 | 226 | 50 | 319,0 | 164 | 5,0 | 2,0 |
135 | 170 | 340 | 236 | 50 | 339,0 | 174 | 5,0 | 2,1 |
140 | 180 | 360 | 245 | 52 | 359,0 | 184 | 5,0 | 3,0 |
<a> d - диаметр отверстия тугого кольца соответствующего одинарного подшипника серии диаметров 4, указанный в таблице 18, приведен для построения условного обозначения подшипника. | ||||||||


rnom | rsmin | d | rsmax | rasmax | ||
Свыше | До | в радиальном направлении | в осевом направлении | |||
0,10 | 0,05 | - | - | 0,10 | 0,2 | 0,05 |
0,15 | 0,08 | - | - | 0,16 | 0,3 | 0,08 |
0,20 | 0,10 | - | - | 0,20 | 0,4 | 0,10 |
0,30 | 0,15 | - | - | 0,30 | 0,6 | 0,15 |
0,40 | 0,20 | - | - | 0,50 | 0,8 | 0,20 |
0,50 | 0,30 | - | 40 | 0,60 | 1,0 | 0,30 |
0,50 | 0,30 | 40 | - | 0,80 | 1,0 | 0,30 |
1,00 | 0,60 | - | 40 | 1,00 | 2,0 | 0,60 |
1,00 | 0,60 | 40 | - | 1,30 | 2,0 | 0,60 |
1,50 | 1,00 | - | 50 | 1,50 | 3,0 | 1,00 |
1,5 | 1,0 | 50 | - | 1,9 | 3,0 | 1,0 |
2,0 | 1,1 | - | 120 | 2,0 | 3,5 | 1,1 |
2,0 | 1,1 | 120 | - | 2,5 | 4,0 | 1,1 |
2,5 | 1,5 | - | 120 | 2,3 | 4,0 | 1,5 |
2,5 | 1,5 | 120 | - | 3,0 | 5,0 | 1,5 |
3,0 | 2,0 | - | 80 | 3,0 | 4,5 | 2,0 |
3,0 | 2,0 | 80 | 220 | 3,5 | 5,0 | 2,0 |
3,0 | 2,0 | 220 | - | 3,8 | 6,0 | 2,0 |
3,5 | 2,1 | - | 280 | 4,0 | 6,5 | 2,1 |
3,5 | 2,1 | 280 | - | 4,5 | 7,0 | 2,1 |
- | 2,5 | - | 100 | 3,8 | 6,0 | 2,5 |
- | 2,5 | 100 | 280 | 4,5 | 6,0 | 2,5 |
- | 2,5 | 280 | - | 5,0 | 7,0 | 2,5 |
4,0 | 3,0 | - | 280 | 5,0 | 8,0 | 3,0 |
4,0 | 3,0 | 280 | - | 5,5 | 8,0 | 3,0 |
5,0 | 4,0 | - | - | 6,5 | 9,0 | 4,0 |
6,0 | 5,0 | - | - | 8,0 | 10,0 | 5,0 |
8,0 | 6,0 | - | - | 10,0 | 13,0 | 6,0 |
10,0 | 7,5 | - | - | 12,5 | 17,0 | 7,5 |
12,0 | 9,5 | - | - | 15,0 | 19,0 | 9,5 |
15,0 | 12,0 | - | - | 18,0 | 24,0 | 12,0 |
18,0 | 15,0 | - | - | 21,0 | 30,0 | 15,0 |
22,0 | 19,0 | - | - | 25,0 | 38,0 | 19,0 |
rnom | rsmin | d или D | rsmax | rasmax | ||
Свыше | До | в радиальном направлении | в осевом направлении | |||
0,5 | 0,3 | - | 40 | 0,7 | 1,4 | 0,3 |
0,5 | 0,3 | 40 | - | 0,9 | 1,6 | 0,3 |
0,8 | 0,5 | - | - | 1,2 | 1,2 | 0,5 |
1,0 | 0,6 | - | 40 | 1,1 | 1,7 | 0,6 |
1,0 | 0,6 | 40 | - | 1,3 | 2,0 | 0,6 |
1,2 | 0,9 | - | - | 1,7 | 1,7 | 0,9 |
1,5 | 1,0 | - | 50 | 1,6 | 2,5 | 1,0 |
1,5 | 1,0 | 50 | - | 1,9 | 3,0 | 1,0 |
2,0 | 1,5 | - | 120 | 2,3 | 3,0 | 1,5 |
2,0 | 1,5 | 120 | 250 | 2,8 | 3,5 | 1,5 |
2,0 | 1,5 | 250 | - | 3,5 | 4,0 | 1,5 |
2,5 | 2,0 | - | 120 | 2,8 | 4,0 | 2,0 |
2,5 | 2,0 | 120 | 250 | 3,5 | 4,5 | 2,0 |
2,5 | 2,0 | 250 | - | 4,0 | 5,0 | 2,0 |
3,0 | 2,5 | - | 120 | 3,5 | 5,0 | 2,5 |
3,0 | 2,5 | 120 | 250 | 4,0 | 5,5 | 2,5 |
3,0 | 2,5 | 250 | - | 4,5 | 6,0 | 2,5 |
3,5 | 3,0 | - | 120 | 4,0 | 5,5 | 3,0 |
3,5 | 3,0 | 120 | 250 | 4,5 | 6,5 | 3,0 |
3,5 | 3,0 | 250 | 400 | 5,0 | 7,0 | 3,0 |
3,5 | 3,0 | 400 | - | 5,5 | 7,5 | 3,0 |
4,0 | 4,0 | - | 120 | 5,0 | 7,0 | 4,0 |
4,0 | 4,0 | 120 | 250 | 5,5 | 7,5 | 4,0 |
4,0 | 4,0 | 250 | 400 | 6,0 | 8,0 | 4,0 |
4,0 | 4,0 | 400 | - | 6,5 | 8,5 | 4,0 |
5,0 | 5,0 | - | 180 | 6,5 | 8,0 | 5,0 |
5,0 | 5,0 | 180 | - | 7,5 | 9,0 | 5,0 |
6,0 | 6,0 | - | 180 | 7,5 | 10,0 | 6,0 |
6,0 | 6,0 | 180 | - | 9,0 | 11,0 | 6,0 |
rnom | rsmin | rsmax <a> | rasmax |
0,10 | 0,05 | 0,10 | 0,05 |
0,15 | 0,08 | 0,16 | 0,08 |
0,20 | 0,10 | 0,20 | 0,10 |
0,30 | 0,15 | 0,30 | 0,15 |
0,40 | 0,20 | 0,50 | 0,20 |
0,50 | 0,30 | 0,80 | 0,30 |
1,00 | 0,60 | 1,50 | 0,60 |
1,50 | 1,00 | 2,20 | 1,00 |
2,00 | 1,10 | 2,70 | 1,10 |
2,50 | 1,50 | 3,50 | 1,50 |
3,00 | 2,00 | 4,00 | 2,00 |
3,50 | 2,10 | 4,50 | 2,10 |
4,00 | 3,00 | 5,50 | 3,00 |
5,00 | 4,00 | 6,50 | 4,00 |
6,00 | 5,00 | 8,00 | 5,00 |
8,00 | 6,00 | 10,00 | 6,00 |
10,00 | 7,50 | 12,50 | 7,50 |
12,00 | 9,50 | 15,00 | 9,50 |
15,00 | 12,00 | 18,00 | 12,00 |
18,00 | 15,00 | 21,00 | 15,00 |
22,00 | 19,00 | 25,00 | 19,00 |
rnom | rsmin | rsmax | rasmax |
0,2 | 0,1 | 0,4 | 0,1 |
0,3 | 0,2 | 0,5 | 0,2 |
0,4 | 0,2 | 0,7 | 0,2 |
0,5 | 0,3 | 0,8 | 0,3 |
0,8 | 0,5 | 1,2 | 0,5 |
1,0 | 0,7 | 1,5 | 0,6 |
1,2 | 0,9 | 1,7 | 0,8 |
1,5 | 1,1 | 2,1 | 1,0 |
2,0 | 1,3 | 2,7 | 1,0 |
2,5 | 1,8 | 3,3 | 1,5 |
3,0 | 2,3 | 4,0 | 2,0 |
3,5 | 2,5 | 4,5 | 2,0 |
4,0 | 3,0 | 5,2 | 2,5 |
5,0 | 3,7 | 6,3 | 3,0 |
6,0 | 4,7 | 7,5 | 4,0 |
8,0 | 6,0 | 10,0 | 5,0 |
10,0 | 7,5 | 12,5 | 6,0 |
12,0 | 9,5 | 15,0 | 8,0 |
15,0 | 12,0 | 19,0 | 10,0 |
18,0 | 14,0 | 23,0 | 12,0 |
ГОСТ 3478 | ИСО 15:2011 | ГОСТ 3478 | ИСО 15:2011 | ||||
Серия ширин | Серия диаметров | Серия ширин | Серия диаметров | Серия ширин | Серия диаметров | Серия ширин | Серия диаметров |
1 | 0 | 1 | 7 | 7 | 7 | 0 | 1 |
3 | 3 | 1 | 1 | ||||
7 | 8 | 0 | 8 | 2 | 2 | ||
1 | 1 | 3 | 3 | ||||
2 | 2 | 4 | 4 | ||||
3 | 3 | 8 | 2 | 8 | 2 | ||
4 | 4 | 0 | 0 | ||||
5 | 5 | 1 | 1 | ||||
6 | 6 | 0 | 5 | 2 | |||
7 | 9 | 0 | 9 | 3 | 2 | 3 | |
1 | 1 | 4 | 4 | ||||
2 | 2 | 8 | 3 | 8 | 3 | ||
3 | 3 | 0 | 0 | ||||
4 | 4 | 1 | 1 | ||||
5 | 5 | 0 | 6 | 2 | |||
6 | 6 | 3 | 3 | 3 | |||
7 | 1 | 0 | 0 | 0 | 4 | 0 | 4 |
0 | 1 | 2 | 2 | ||||
2 | 2 | ||||||
3 | 3 | ||||||
4 | 4 | ||||||
5 | 5 | ||||||
6 | 6 | ||||||
ГОСТ 3478 | ИСО 355:1977 | ГОСТ 3478 | ИСО 355:1977 | ||||
Серия ширин | Серия диаметров | Серия ширин | Серия диаметров | Серия ширин | Серия диаметров | Серия ширин | Серия диаметров |
2 | 9 | 2 | 9 | 0 | 2 | 0 | 2 |
3 | 3 | 0 | 5 | 2 | |||
2 | 1 | 2 | 0 | 3 | 2 | 3 | |
3 | 3 | 0 | 3 | 0 | 3 | ||
3 | 7 | 3 | 1 | 1 | 1 | ||
0 | 6 | 2 | |||||
ГОСТ 3478 | ИСО 104:2002 | ГОСТ 3478 | ИСО 104:2002 | ||||
Серия высот | Серия диаметров | Серия высот | Серия диаметров | Серия высот | Серия диаметров | Серия высот | Серия диаметров |
7 | 9 | 7 | 0 | 7 | 3 | 7 | 3 |
9 | 9 | 9 | 9 | ||||
1 | 1 | 0 | 1 | ||||
7 | 1 | 7 | 1 | 7 | 4 | 7 | 4 |
9 | 9 | 9 | 9 | ||||
0 | 1 | 0 | 1 | ||||
7 | 2 | 7 | 2 | 9 | 5 | 9 | 5 |
9 | 9 | ||||||
0 | 1 | ||||||
ГОСТ 3478 | ИСО 104:2002 | ||
Серия высот | Серия диаметров | Серия высот | Серия диаметров |
0 | 2 | 2 | 2 |
0 | 3 | 2 | 3 |
0 | 4 | 2 | 4 |
fD для серии диаметров | |||||||
0 | 8 | 9 | 1 | 7 | 2 и 5 | 3 и 6 | 4 |
0,34 | 0,45 | 0,62 | 0,84 | 1,12 | 1,48 | 1,92 | 2,56 |
D | Точность округления |
До 3 включ. | 0,5 |
Св. 3 " 80 " | 1 |
" 80 " 230 " | 5 |
" 230 | 10 |
fB для серии ширин | |||||||
0 | 1 | 2 | 3 | 4 | 5 | 6 | 7 |
0,64 | 0,88 | 1,15 | 1,5 | 2 | 2,7 | 3,6 | 4,8 |
B | Точность округления |
До 3 включ. | 0,1 |
Св. 3 " 4 " | 0,5 |
" 4 " 500 " | 1 |
" 500 | 5 |
fD для серии диаметров | |||||
9 | 1 | 2 | 3 | 4 | 5 |
0,36 | 0,72 | 1,2 | 1,84 | 2,68 | 3,8 |
D | Точность округления |
До 3 включ. | 0,5 |
Св. 3 " 80 " | 1 |
" 80 " 230 " | 5 |
" 230 | 10 |
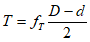
, (В.2)fT для серии высот | ||
7 | 9 | 1 и 0 |
0,9 | 1,2 | 1,6 |
ИС МЕГАНОРМ: примечание. В официальном тексте документа, видимо, допущена опечатка: имеется в виду таблица В.4, а не таблица Б.4. |
D | Точность округления |
До 3 включ. | 0,1 |
Св. 3 " 4 " | 0,5 |
" 4 " 500 " | 1 |
" 500 | 5 |
ИСО 15:2011 | Подшипники качения. Радиальные и радиально-упорные подшипники. Присоединительные размеры, общая программа (ISO 15:2011 Rolling bearings - Radial bearings - Boundary dimensions, general plan) | |
ИСО 355:1977 | Подшипники качения. Метрические конические роликовые подшипники. Присоединительные размеры и обозначения серий (ISO 355:1977 Rolling bearings; Metric tapered roller bearings; Boundary dimensions and series designations) | |
ИСО 104:2002 | Подшипники качения. Упорно-радиальные и упорные подшипники. Присоединительные размеры, общая программа (ISO 104:2002 Rolling bearings - Thrust bearings - Boundary dimensions, general plan) | |
ИСО 355:2019 | Подшипники качения. Роликовые конические подшипники. Присоединительные размеры и обозначения серий (ISO 355:2019 Rolling bearings - Tapered roller bearings - Boundary dimensions and series designations) | |
(позиция [4] в ред. Изменения N 1, введенного в действие Приказом Росстандарта от 21.04.2021 N 251-ст) | ||
УДК 621.822.6:006.354 | МКС 21.100.20 | ОКП 46 0000 | NEQ |
Ключевые слова: подшипник качения, шариковый, роликовый, радиальный, упорный; размер; фаска; галтель; вал; корпус | |||