Главная // Актуальные документы // ГОСТ (Государственный стандарт)СПРАВКА
Источник публикации
М.: Стандартинформ, 2019
Примечание к документу
Документ включен в
Перечень международных и региональных (межгосударственных) стандартов, а в случае их отсутствия - национальных (государственных) стандартов, содержащих правила и методы исследований (испытаний) и измерений, в том числе правила отбора образцов, необходимые для применения и исполнения требований технического
регламента Таможенного союза "О требованиях к автомобильному и авиационному бензину, дизельному и судовому топливу, топливу для реактивных двигателей и мазуту" (ТР ТС 013/2011) и осуществления оценки соответствия объектов технического регулирования (
Решение Коллегии Евразийской экономической комиссии от 15.08.2023 N 114).
Документ
введен в действие с 01.07.2020.
Название документа
"ГОСТ 34603-2019. Межгосударственный стандарт. Топлива для двигателей с искровым зажиганием. Определение бензола методом спектроскопии среднего инфракрасного диапазона"
(введен в действие Приказом Росстандарта от 22.11.2019 N 1238-ст)
"ГОСТ 34603-2019. Межгосударственный стандарт. Топлива для двигателей с искровым зажиганием. Определение бензола методом спектроскопии среднего инфракрасного диапазона"
(введен в действие Приказом Росстандарта от 22.11.2019 N 1238-ст)
по техническому регулированию
и метрологии
от 22 ноября 2019 г. N 1238-ст
МЕЖГОСУДАРСТВЕННЫЙ СТАНДАРТ
ТОПЛИВА ДЛЯ ДВИГАТЕЛЕЙ С ИСКРОВЫМ ЗАЖИГАНИЕМ
ОПРЕДЕЛЕНИЕ БЕНЗОЛА МЕТОДОМ СПЕКТРОСКОПИИ
СРЕДНЕГО ИНФРАКРАСНОГО ДИАПАЗОНА
Spark-ignition engine fuels. Determination of benzene
by mid infrared spectroscopy method
ГОСТ 34603-2019
Дата введения
1 июля 2020 года
Цели, основные принципы и общие правила проведения работ по межгосударственной стандартизации установлены
ГОСТ 1.0 "Межгосударственная система стандартизации. Основные положения" и
ГОСТ 1.2 "Межгосударственная система стандартизации. Стандарты межгосударственные, правила и рекомендации по межгосударственной стандартизации. Правила разработки, принятия, обновления и отмены"
1 ПОДГОТОВЛЕН Федеральным государственным унитарным предприятием "Российский научно-технический центр информации по стандартизации, метрологии и оценке соответствия" (ФГУП "СТАНДАРТИНФОРМ"), Межгосударственным техническим комитетом по стандартизации МТК 31 "Нефтяные топлива и смазочные материалы" на основе собственного перевода на русский язык англоязычной версии стандарта, указанного в
пункте 5
2 ВНЕСЕН Федеральным агентством по техническому регулированию и метрологии
3 ПРИНЯТ Межгосударственным советом по стандартизации, метрологии и сертификации (протокол от 30 октября 2019 г. N 123-П)
За принятие проголосовали:
Краткое наименование страны по МК (ИСО 3166) 004-97 | Код страны по МК (ИСО 3166) 004-97 | Сокращенное наименование национального органа по стандартизации |
Беларусь | BY | Госстандарт Республики Беларусь |
Казахстан | KZ | Госстандарт Республики Казахстан |
Киргизия | KG | Кыргызстандарт |
Россия | RU | Росстандарт |
Узбекистан | UZ | Узстандарт |
4
Приказом Федерального агентства по техническому регулированию и метрологии от 22 ноября 2019 г. N 1238-ст межгосударственный стандарт ГОСТ 34603-2019 введен в действие в качестве национального стандарта Российской Федерации с 1 июля 2020 г.
5 Настоящий стандарт идентичен стандарту ASTM D6277-07 (2017) "Стандартный метод определения бензола в топливе с искровым зажиганием с использованием спектроскопии среднего инфракрасного диапазона" ("Standard test method for determination of benzene in spark-ignition engine fuels using mid infrared spectroscopy", IDT).
Стандарт разработан подкомитетом D02.04.0F "Методы абсорбционной спектроскопии" комитета D02 "Нефтепродукты и смазочные материалы" Американского общества по испытаниям и материалам (ASTM).
Наименование настоящего стандарта изменено относительно наименования указанного стандарта ASTM для приведения в соответствие с ГОСТ 1.5
(подраздел 3.6).
При применении настоящего стандарта рекомендуется использовать вместо ссылочных стандартов ASTM соответствующие им межгосударственные стандарты, сведения о которых приведены в дополнительном
приложении ДА
6 ВВЕДЕН ВПЕРВЫЕ
Информация о введении в действие (прекращении действия) настоящего стандарта и изменений к нему на территории указанных выше государств публикуется в указателях национальных стандартов, издаваемых в этих государствах, а также в сети Интернет на сайтах соответствующих национальных органов по стандартизации.
В случае пересмотра, изменения или отмены настоящего стандарта соответствующая информация будет опубликована на официальном интернет-сайте Межгосударственного совета по стандартизации, метрологии и сертификации в каталоге "Межгосударственные стандарты"
1.1 Настоящий стандарт устанавливает метод определения бензола в топливах для двигателей с искровым зажиганием в диапазоне концентраций от 0,1% об. до 5,0% об.
1.2 Значения, указанные в единицах системы СИ, считают стандартными. Другие единицы измерения носят справочный характер.
1.3 В настоящем стандарте не предусмотрено рассмотрение всех вопросов обеспечения безопасности, связанных с его применением. Пользователь настоящего стандарта несет ответственность за установление соответствующих правил по технике безопасности и охране здоровья, а также определяет целесообразность применения законодательных ограничений перед его использованием.
В настоящем стандарте использованы нормативные ссылки на следующие стандарты [для датированных ссылок применяют только указанное издание ссылочного стандарта, для недатированных - последнее издание (включая все изменения к нему)]:
2.1 Стандарты ASTM <1>
--------------------------------
<1> Уточнить ссылки на стандарты ASTM можно на сайте ASTM www.astm.org или в службе поддержки клиентов ASTM по адресу электронной почты service@astm.org. Информацию о томе ежегодного сборника стандартов (Annual Book of ASTM Standards) следует смотреть на странице сводной информации о стандарте на сайте ASTM.
ASTM D1298, Standard test method for density, relative density, or API gravity of crude petroleum and liquid petroleum products by hydrometer method (Стандартный метод определения плотности, относительной плотности и плотности в градусах API ареометрическим методом)
ASTM D4052, Standard test method for density, relative density, and API gravity of liquids by digital density meter (Стандартный метод определения плотности, относительной плотности и плотности в градусах API жидкостей цифровым плотномером)
ASTM D4057, Standard practice for manual sampling of petroleum and petroleum products (Стандартная практика ручного отбора проб нефти и нефтепродуктов)
ASTM D4177, Standard practice for automatic sampling of petroleum and petroleum products (Стандартная практика автоматического отбора проб нефти и нефтепродуктов)
ASTM D4307, Standard practice for preparation of liquid blends for use as analytical standards (Стандартная практика приготовления жидких смесей для использования в качестве аналитических стандартов)
ASTM D5769, Standard test method for determination of benzene, toluene, and total aromatics in finished gasolines by gas chromatography/mass spectrometry (Стандартный метод определения бензола, толуола и общего содержания ароматических соединений в товарных бензинах газовой хроматографией/масс-спектрометрией)
ASTM D5842, Standard practice for sampling and handling of fuels for volatility measurement (Стандартная практика отбора проб и обращения с пробами топлив для измерения летучести)
ASTM D5854, Standard practice for mixing and handling of liquid samples of petroleum and petroleum products (Стандартная практика смешения и обращения с жидкими пробами нефти и нефтепродуктов)
ASTM E168, Standard practices for general techniques of infrared quantitative analysis (Стандартная практика по общей методике количественного анализа методом инфракрасной спектроскопии)
ASTM E1655, Standard practices for infrared multivariate quantitative analysis (Стандартная практика по многомерному количественному анализу методом инфракрасной спектроскопии)
ASTM E2056, Standard practice for qualifying spectrometers and spectrophotometers for use in multivariate analyses, calibrated using surrogate mixtures (Стандартная практика по квалификации спектрометров и спектрофотометров, калиброванных с использованием суррогатных смесей, для использования в многомерных анализах)
В настоящем стандарте применены следующие термины с соответствующими определениями:
3.1 многомерная калибровка (multivariate calibration): Процесс создания калибровочной модели, в которой применяется многомерный математический алгоритм для корреляции значений оптической плотности, измеренных для набора калибровочных образцов, с концентрациями контрольных компонентов или значениями свойств для набора образцов.
3.1.1 Пояснение. Полученную многомерную калибровочную модель применяют для анализа спектров неизвестных образцов при оценке концентрации компонента или определенных свойств неизвестного образца.
3.1.2 Пояснение. В многомерных калибровочных алгоритмах используют метод частных наименьших квадратов, множественную линейную регрессию и сопоставление пиков классическим методом наименьших квадратов.
3.2 оксигенат (oxygenate): Кислородсодержащее органическое соединение, которое может быть использовано в качестве топлива или присадки в топливо, например различные спирты и простые эфиры.
4.1 Образец топлива для двигателей с искровым зажиганием вводят в кювету для жидкого образца. Луч инфракрасного излучения, проходя через образец, улавливается детектором. Определяют отклик детектора. С использованием селективных полосно-пропускающих фильтров или математического отбора областей всего спектра выбирают для анализа длины волн спектра, которые высоко коррелируют с бензолом или помехами. Используя многомерный математический анализ, преобразуют отклик детектора для выбранных областей спектра неизвестного образца в концентрацию бензола.
5 Назначение и применение
5.1 Бензол - токсичное соединение, концентрация которого ограничивается органами охраны окружающей среды для производства менее токсичного бензина.
5.2 Настоящий метод - это быстрый, простой для выполнения и недорогой метод.
5.3 Настоящий метод применим при контроле качества при производстве и распределении топлив для двигателей с искровым зажиганием.
6.1 Первичными спектральными помехами являются толуол и другие монозамещенные ароматические соединения. Кроме того, оксигенаты могут мешать измерениям, проводимым с использованием аппарата с фильтром. Правильный выбор аппарата, структуры калибровочной матрицы и правильное использование методов многомерной калибровки могут свести к минимуму данные помехи.
7.1 Спектрометрический анализатор среднего инфракрасного диапазона
(одного из следующих типов)
7.1.1 Спектрометр среднего инфракрасного диапазона с фильтром
Тип аппарата, подходящего для использования в настоящем методе испытаний, минимум состоит из источника инфракрасного излучения (ИК-излучения), кюветы, пропускающей ИК-лучи, или жидкостной кюветы нарушенного полного внутреннего отражения (далее - кювета ATR), фильтров с селективностью по длинам волн, диска прерывателя, детектора, аналого-цифрового преобразователя, микропроцессора и приспособления для введения образца. Частоты и полосы пропускания фильтров приведены в
таблице 1.
Таблица 1
Требования к фильтрам, используемым в спектрометре
среднего инфракрасного диапазона с фильтром
Центральное волновое число  , см -1 (+/- 0,15% от волнового числа) | Полоса пропускания (в единицах длины волны) (полная ширина на половине высоты) |
673 | 1% от  |
729 | 1% от  |
769 | 1% от  |
1054 | 1% от  |
1117 | 1% от  |
1188 | 1% от  |
1205 | 1% от  |
7.1.2 Спектрометр среднего инфракрасного диапазона с Фурье-преобразованием
Тип аппарата, подходящего для использования в настоящем методе испытаний, минимум состоит из источника ИК-излучения, кюветы, пропускающей ИК-лучи, или жидкостной кюветы нарушенного полного внутреннего отражения, сканирующего интерферометра, детектора, аналого-цифрового преобразователя, микропроцессора и приспособления для введения образца. Аппарат должен соответствовать следующим техническим требованиям (с использованием кюветы ATR):
- диапазон сканирования - от 4000 до 600 см-1;
- разрешение - 4 см-1;
- S/N при 674 см-1 - более 300:1 RMS.
Соотношение сигнал - шум (S/N) устанавливают путем определения однолучевого спектра с использованием воздуха или азота в качестве эталона и характеристики данного спектра как шума. Полученный фоновый однолучевой спектр может быть средним для нескольких сканирований ИК-спектрометром с Фурье-преобразованием (FTIR), но общее время сбора сигнала не должно превышать 60 с. Если присутствуют значимые помехи от водяного пара или диоксида углерода, прибор продувают сухим воздухом или азотом. Следующий однолучевой спектр определяют при тех же условиях и соотносят с фоновым спектром. Среднеквадратическое значение шума (RMS) соотнесенных спектров (линия 100%) не должно превышать 0,3% коэффициента пропускания в диапазоне от 700 до 664 см-1.
7.2 Абсорбционная кювета
Используют абсорбционную кювету пропускающего типа или кювету нарушенного полного внутреннего отражения.
7.2.1 Пропускающие кюветы должны иметь окошки из бромида калия, селенида цинка или другого материала со значительным коэффициентом пропускания от 712 до 660 см-1. Оптическая длина пути пропускающей кюветы должна составлять (0,025 +/- 0,005) мм. Допускается использовать клиновидную пропускающую кювету с такой же номинальной оптической длиной пути.
7.2.2 Кюветы нарушенного полного внутреннего отражения (ATR) должны иметь следующие характеристики:
- материал элемента ATR - ZnSe;
- конденсорная оптика - коническая, нефокусирующая оптика, интегрированная в корпус кюветы;
- конфигурация элемента - круглого поперечного сечения с коаксиальными коническими концами;
- полуугол при вершине конуса - 60°;
- длина элемента - 3,94 см (1,55 дюйма);
- диаметр элемента - 0,318 см (0,125 дюйма);
- угол падения излучения на поверхность образца - 53,8°;
- максимальный диапазон углов падения излучения - +/- 1,5°;
- стандартная оптическая плотность (полоса ацетона при 1428 см-1) - (0,38 +/- 0,02) единиц оптической плотности;
- материал держателя элемента - нержавеющая сталь марки 316 или аналогичная;
- уплотнение - уплотнительные кольца круглого сечения Chemraz или Kalraz или аналогичные (при их наличии).
8.1 Стандарты для калибровки, квалификации и контроля качества
При приготовлении стандартов для контроля качества используют химические вещества квалификации х.ч. и чистотой не менее 99%, если таковые имеются (Предупреждение - Эти вещества легковоспламеняющиеся и могут быть токсичными при проглатывании или вдыхании).
8.1.1 трет-Амилметиловый эфир, TAME, CAS N 994-05-8.
8.1.2 Бензол, CAS N 1076-43-3.
8.1.3 Этил-трет-бутиловый эфир, ETBE, CAS N 637-92-3.
8.1.4 Метил-трет-бутиловый эфир, MTBE, CAS N 1634-04-4.
8.1.5 1,3-Диметилбензол (м-ксилол).
8.1.6 Этанол, CAS N 64-17-5.
8.1.7 Этилбензол, CAS N 100-41-4.
8.1.8 3-Этилтолуол, CAS N 620-14-4.
8.1.9 Тяжелая нефтяная фракция ароматических углеводородов/продукта риформинга [фракция с высокой температурой кипения: температура начала кипения IPB - (150 +/- 5) °C и температура конца кипения - (245 +/- 8) °C] с подтвержденным содержанием бензола менее 0,025% (оптическая плотность - менее 0,03 единиц при волновом числе 675 см-1 с использованием кюветы с оптической длиной пути 0,2 мм и базовой линией примерно от 680 до 670 см-1), CAS N 64741-68-0.
8.1.10 Гексан (оптическая плотность относительно воды менее 0,1 единиц при длине волны 250 нм с использованием кюветы с оптической длиной пути 1 см), CAS N 110-54-3.
8.1.11 2,2,4-Триметилпентан (изооктан), CAS N 540-84-1.
8.1.12 Пентан (оптическая плотность относительно воды - менее 0,1 единиц при длине волны 250 нм с использованием кюветы с оптической длиной пути 1 см), CAS N 109-66-0.
8.1.13 Пропилбензол, CAS N 103-65-1.
8.1.14 Толуол, CAS N 108-88-3.
8.1.15 1,3,5-Триметилбензол (мезитилен), CAS N 108-67-8.
8.1.16 м-Ксилол, CAS N 108-38-3.
Примечание 1 - В каждой процедуре калибровки или квалификации требуются только некоторые реагенты.
Примечание 2 - Допускается использовать аналогичные по характеристикам реактивы.
9 Отбор и обращение с пробами
9.1 Общие требования
9.1.1 Чувствительность измерения содержания бензола к потере бензола или других компонентов при испарении и возникающие в результате изменения в составе таковы, что требуются максимальная осторожность и наибольшее внимание к деталям при отборе проб и обращении с пробами.
9.1.2 Пробы испытуемых топлив отбирают по ASTM D4057, ASTM D4177 или ASTM D5842 в определенных случаях или в соответствии с требованиями национальных стандартов на отбор проб нефтепродуктов. Не используют отбор проб методом вытеснения воды. При отборе проб некоторых спиртосодержащих топлив спирт растворяется в водной фазе.
9.1.3 Перед испытанием защищают образцы от повышенных температур. Этого можно достичь путем их хранения в подходящей ледяной бане или холодильнике при температуре от 0 °C до 5 °C.
9.1.4 Не испытывают образцы, хранящиеся в негерметичных контейнерах. При обнаружении утечки утилизируют пробу и отбирают новую.
9.2 Обращение с пробами во время анализа
9.2.1 При анализе спектрометрическим анализатором среднего инфракрасного диапазона пробы должны быть температурой от 15 °C до 38 °C. Перед испытанием доводят температуру всех проб до температуры лаборатории (от 15 °C до 38 °C).
9.2.2 После анализа, если проба должна быть сохранена, закрывают контейнер и хранят пробу в ледяной бане или холодильнике при температуре от 0 °C до 5 °C.
10 Калибровка и квалификация аппарата
10.1 Перед использованием аппарат калибруют в соответствии с процедурой, описанной в
приложении A1. Эта калибровка может быть выполнена изготовителем аппарата до поставки конечному пользователю. Если после технического обслуживания повторяют калибровку прибора, также необходимо повторить процедуру квалификации.
10.2 Перед использованием прибор квалифицируют в соответствии с процедурой, описанной в
приложении A1. Квалификацию выполняют при первоначальном вводе аппарата в эксплуатацию, повторной калибровке или ремонте.
11.1 Подтверждают калибровку аппарата каждый день при использовании, измеряя концентрацию бензола по
разделу 12 не менее чем в одном стандарте контроля качества (далее - стандарт QC) с известной концентрацией бензола. Приготовление стандартов QC с известной концентрацией бензола описано в
11.1.1 и
11.1.2.
11.1.1 Стандарт(ы) QC с известной концентрацией бензола готовят по массе в соответствии с
A1.1 (приложение A1) и преобразовывают в концентрацию в объемных процентах с использованием измеренных значений плотности, как указано в
разделе 13. Минимум один стандарт QC должен иметь концентрацию бензола (1,2 +/- 0,2)% масс., т.е. номинально 1,0% об. Также можно приготовить дополнительные стандарты QC и использовать их для контроля качества.
11.1.2 Стандарт(ы) QC готовят в достаточном объеме, чтобы можно было проводить не менее 30 измерений для контроля качества на одной партии материала. Упаковывают и/или хранят стандарты QC для гарантии того, что все испытания стандартов QC данной партии выполнялись на практически идентичном материале.
11.2 Если при оценке концентрации бензола в объемных процентах в стандарте QC с концентрацией бензола (1,2 +/- 0,2)% масс. полученное значение отличается от известного более чем на 0,12% об., то это означает, что измерительная система вышла из-под статистического контроля и не может быть использована для оценки концентрации бензола до выявления и исправления причин такого состояния.
11.3 Если исправление неконтролируемого состояния требует ремонта или повторной калибровки аппарата, проводят квалификацию характеристик аппарата по
A1.3 до использования системы для измерения содержания бензола в образцах.
12.1 Перед анализом образцы доводят до температуры от 15 °C до 38 °C.
12.2 Очищают кювету для образца. Если требуется отдельная базовая линия, получаемая с использованием пустой кюветы, и если в кювете для образца находится оставшееся топливо, удаляют топливо, промывая кювету и входные/выходные линии достаточным количеством пентана, чтобы обеспечить их полную очистку. Выпаривают оставшийся пентан сухим воздухом или азотом.
12.3 При необходимости получают базовую линию в порядке, установленном изготовителем аппарата.
12.4 Перед анализом неизвестных испытуемых образцов убеждаются в том, что оборудование работает должным образом, получая спектр стандарта(ов) QC, анализируя спектр с использованием калибровочной модели и сравнивая оцененную концентрацию бензола с известным значением для стандарта(ов) QC. Вводят достаточное количество стандарта в кювету, чтобы промыть ее не менее трех раз раствором стандарта.
12.5 Вводят в кювету достаточное количество неизвестного образца топлива в порядке, установленном изготовителем, чтобы промыть ее топливом не менее трех раз.
12.6 Получают спектр образца топлива.
12.6.1 При использовании спектрометра среднего инфракрасного диапазона с фильтром определяют оптическую плотность образца топлива на длинах волн, соответствующих указанным фильтрам.
12.6.2 При использовании спектрометра FTIR получают цифровые спектральные данные для образца топлива в диапазоне волновых чисел от 4000 до 600 см-1.
12.7 Определяют концентрацию бензола (в объемных процентах) по соответствующему калибровочному уравнению, приведенному в
приложении A1.
12.7.1 Для спектрометра среднего инфракрасного диапазона с фильтром для преобразования оптической плотности на каждой из длин волн в концентрацию бензола в объемных процентах применяют калибровочное уравнение, приведенное в
A1.2.4.
12.7.2 Для спектрометра FTIR с калибровкой методом частных наименьших квадратов (PLS) определяют концентрацию бензола, используя калибровочные модели по
A1.2.5, выполнив следующие шаги:
12.7.2.1 Корректируют базовую линию спектра с использованием линейного приближения базовой линии для значений оптической плотности, измеренной в диапазоне от 712 до 658 см-1.
12.7.2.2 Оценивают концентрацию бензола в образце топлива, применяя калибровку для низкого уровня (см.
A1.2.5.1) к спектру со скорректированной базовой линией в диапазоне от 712 до 664 см
-1.
12.7.2.3 Если оцененная концентрация бензола (по
12.7.2.2) менее или равна 1,30% об., определяют концентрацию бензола, применяя калибровку для низкого уровня (см.
A1.2.5.1) к спектру со скорректированной базовой линией в диапазоне от 712 до 664 см
-1.
12.7.2.4 Если оцененная концентрация бензола (по
12.7.2.2) более 1,30% об., оценивают концентрацию бензола, применяя калибровку для высокого уровня (см.
A1.2.5.2) к спектру со скорректированной базовой линией в диапазоне от 712 до 664 см
-1.
12.7.2.5 Если значение, оцененное с применением калибровки для высокого уровня (по
12.7.2.4), менее или равно 1,30% об., регистрируют значение, определенное с применением калибровки для низкого уровня (даже если значение более 1,30% об.). Для оценочных значений, превышающих 1,30% об. (определенных по
12.7.2.4), регистрируют полученное значение.
12.7.3 Для спектрометра FTIR с калибровкой путем сопоставления пиков классическим методом наименьших квадратов (CLS) аппроксимируют спектр поглощения в диапазоне от 710 до 660 см
-1 с использованием классического метода наименьших квадратов (метод k-матрицы). Аппроксимирующая матрица должна включать производные спектры толуола, 1,3-диметилбензола, 3-этилтолуола, 1,3,5-триметилбензола, этилбензола и пропилбензола (см.
A1.2.6.1).
12.7.3.1 Для устранения перекрытия спектров вычитают производные спектры толуола, 1,3-диметилбензола, 3-этилтолуола, 1,3,5-триметилбензола, этилбензола и пропилбензола, умноженные на коэффициенты, полученные аппроксимацией классическим методом наименьших квадратов, из спектра поглощения. В результате получают остаточный пик бензола.
12.7.3.2 Аппроксимируют остаточный пик бензола с использованием Лоренцевой функции формы спектральной линии (см.
A.1.2.6.4) с линейной базовой линией в диапазоне от 691 до 660 см
-1 и определяют высоту остаточного пика бензола.
12.7.3.3 Определяют концентрацию бензола в массовых процентах в образце топлива, применяя калибровку (см.
A1.2.6) с использованием высоты остаточного пика бензола, определенной по
12.7.3.2.
12.7.3.4 Определяют плотность образца топлива по ASTM D1298 или ASTM D4052.
12.7.3.5 Преобразуют определенную концентрацию бензола в образце из массовых процентов в объемные проценты с использованием
формулы, приведенной в разделе 13.
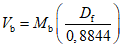
13.1 Преобразование концентрации бензола в объемные проценты
Преобразуют концентрацию бензола в стандартах для калибровки и квалификации из массовых процентов в объемные Vb, % об., по формуле

, (1)
где Mb - концентрация бензола, % масс.;
Df - относительная плотность стандарта для калибровки или квалификации при температуре 15,56 °C, определяемая по ASTM D1298 или ASTM D4052.
14.1 В протоколе испытаний регистрируют следующую информацию:
14.1.1 Спектрометры с фильтром.
14.1.1.1 Концентрация бензола (% об.) по методу с использованием спектрометров среднего инфракрасного диапазона с фильтром с точностью до 0,01% об.
14.1.2 Спектрометры FTIR с калибровкой PLS.
14.1.2.1 Концентрация бензола (% об.) по методу с использованием спектрометров FTIR с калибровкой PLS с точностью до 0,01% об.
14.1.3 Спектрометры FTIR с калибровкой CLS.
14.1.3.1 Концентрация бензола (% об.) по методу с использованием спектрометров FTIR с калибровкой CLS с точностью до 0,1% об.
15 Прецизионность и смещение
15.1 Межлабораторные испытания по каждой из процедур (с использованием спектрометров с фильтром, FTIR с калибровкой PLS и FTIR с калибровкой CLS) проводили с использованием 20 образцов, охватывавших диапазон концентраций бензола от 0% об. до 1,8% об., которые испытывали не менее шести лабораторий для каждой процедуры. Результаты испытаний дополнительного образца с концентрацией бензола примерно 4% об. были также включены в результаты межлабораторных испытаний. Прецизионность настоящего метода испытаний, полученная путем статистического анализа результатов межлабораторных испытаний <1>, кратко изложена в
таблицах 2 и
3.
--------------------------------
<1> Подтверждающие данные хранятся в Штаб-квартире ASTM International и могут быть получены по запросу исследовательского отчета RR:D02-1431.
Таблица 2
Зависимость значения повторяемости от концентрации бензола
В объемных процентах
Концентрация бензола | Значение повторяемости для спектрометра |
с фильтром | FTIR с калибровкой PLS | FTIR с калибровкой CLS |
0,1 | 0,02 | 0,02 | 0,05 |
0,3 | 0,03 | 0,03 | 0,06 |
0,5 | 0,03 | 0,04 | 0,07 |
0,7 | 0,04 | 0,05 | 0,08 |
0,9 | 0,05 | 0,06 | 0,09 |
1,1 | 0,05 | 0,07 | 0,09 |
1,3 | 0,06 | 0,08 | 0,10 |
1,5 | 0,06 | 0,09 | 0,11 |
1,8 | 0,07 | 0,11 | 0,12 |
4,0 | 0,18 | 0,14 | 0,18 |
Таблица 3
Зависимость значения воспроизводимости
от концентрации бензола
В объемных процентах
Концентрация бензола | Значение воспроизводимости для спектрометра |
с фильтром | FTIR с калибровкой PLS | FTIR с калибровкой CLS |
0,1 | 0,12 | 0,03 | 0,10 |
0,3 | 0,12 | 0,06 | 0,11 |
0,5 | 0,13 | 0,08 | 0,11 |
0,7 | 0,13 | 0,10 | 0,12 |
0,9 | 0,13 | 0,13 | 0,13 |
1,1 | 0,13 | 0,15 | 0,13 |
1,3 | 0,14 | 0,18 | 0,14 |
1,5 | 0,14 | 0,20 | 0,15 |
1,8 | 0,14 | 0,23 | 0,15 |
4,0 | 0,59 | 0,47 | 0,23 |
15.2 Повторяемость для спектрометров среднего инфракрасного диапазона с фильтром
Для концентраций бензола от 0,1% об. до 1,8% об. расхождение между последовательными результатами испытаний, полученными одним и тем же оператором на одном и том же аппарате при постоянных рабочих условиях на идентичном испытуемом материале в течение длительного времени при нормальном и правильном выполнении метода, превысит следующие значения только в одном случае из двадцати:
r = 0,021 + 0,027X, (2)
где X - концентрация бензола, % об.
Для одного образца с концентрацией бензола примерно 4% об. расхождение между последовательными результатами испытаний, полученными одним и тем же оператором на одном и том же аппарате при постоянных рабочих условиях на идентичном испытуемом материале в течение длительного времени при нормальном и правильном выполнении метода, превысит 0,18% об. только в одном случае из двадцати.
15.3 Повторяемость для спектрометров FTIR с калибровкой PLS
Для концентраций бензола от 0,1% об. до 1,8% об. расхождение между последовательными результатами испытаний, полученными одним и тем же оператором на одном и том же аппарате при постоянных рабочих условиях на идентичном испытуемом материале в течение длительного времени при нормальном и правильном выполнении метода, превысит следующие значения только в одном случае из двадцати:
r = 0,013 + 0,052X, (3)
где X - концентрация бензола, % об.
Для одного образца с концентрацией бензола примерно 4% об. расхождение между последовательными результатами испытаний, полученными одним и тем же оператором на одном и том же аппарате при постоянных рабочих условиях на идентичном испытуемом материале в течение длительного времени при нормальном и правильном выполнении метода, превысит 0,14% об. только в одном случае из двадцати.
15.4 Повторяемость для спектрометров FTIR с калибровкой CLS
Для концентраций бензола от 0,1% об. до 1,8% об. расхождение между последовательными результатами испытаний, полученными одним и тем же оператором на одном и том же аппарате при постоянных рабочих условиях на идентичном испытуемом материале в течение длительного времени при нормальном и правильном выполнении метода, превысит следующие значения только в одном случае из двадцати:
r = 0,047 + 0,043X, (4)
где X - концентрация бензола, % об.
Для одного образца с концентрацией бензола примерно 4% об. расхождение между последовательными результатами испытаний, полученными одним и тем же оператором на одном и том же аппарате при постоянных рабочих условиях на идентичном испытуемом материале в течение длительного времени при нормальном и правильном выполнении метода, превысит 0,18% об. только в одном случае из двадцати.
15.5 Воспроизводимость для спектрометров среднего инфракрасного диапазона с фильтром
Для концентраций бензола от 0,1% об. до 1,8% об. расхождение между двумя единичными и независимыми результатами, полученными разными операторами, работающими в разных лабораториях, на идентичном испытуемом материале в течение длительного времени при нормальном и правильном выполнении метода, превысит следующие значения только в одном случае из двадцати:
R = 0,121 + 0,012X, (5)
где X - концентрация бензола, % об.
Для одного образца с концентрацией бензола примерно 4% об. расхождение между двумя единичными и независимыми результатами, полученными разными операторами, работающими в разных лабораториях, на идентичном испытуемом материале в течение длительного времени при нормальном и правильном выполнении метода, превысит 0,59% об. только в одном случае из двадцати.
15.6 Воспроизводимость для спектрометров FTIR с калибровкой PLS
Для концентраций бензола от 0,1% об. до 1,8% об. расхождение между двумя единичными и независимыми результатами, полученными разными операторами, работающими в разных лабораториях, на идентичном испытуемом материале в течение длительного времени при нормальном и правильном выполнении метода, превысит следующие значения только в одном случае из двадцати:
R = 0,022 + 0,118X, (6)
где X - концентрация бензола, % об.
Для одного образца с концентрацией бензола примерно 4% об. расхождение между двумя единичными и независимыми результатами, полученными разными операторами, работающими в разных лабораториях, на идентичном испытуемом материале в течение длительного времени при нормальном и правильном выполнении метода, превысит 0,47% об. только в одном случае из двадцати.
15.7 Воспроизводимость для спектрометров FTIR с калибровкой CLS
Для концентраций бензола от 0,1% об. до 1,8% об. расхождение между двумя единичными и независимыми результатами, полученными разными операторами, работающими в разных лабораториях, на идентичном испытуемом материале в течение длительного времени при нормальном и правильном выполнении метода, превысит следующие значения только в одном случае из двадцати:
R = 0,099 + 0,031X, (7)
где X - концентрация бензола, % об.
Для одного образца с концентрацией бензола примерно 4% об. расхождение между двумя единичными и независимыми результатами, полученными разными операторами, работающими в разных лабораториях, на идентичном испытуемом материале в течение длительного времени при нормальном и правильном выполнении метода, превысит 0,23% об. только в одном случае из двадцати.
15.8 Смещение
Поскольку в программу межлабораторных испытаний не были включены подходящие стандартные образцы, смещение не было определено. Однако образцы данной программы межлабораторных испытаний были также испытаны в межлабораторном исследовании метода испытаний по ASTM D5769, в результате чего было обнаружено небольшое смещение (см.
примечание 2) относительно настоящего метода испытаний. Значения относительного смещения не были одинаковыми для всех аппаратов и не были одинаковыми для всех образцов для каждого аппарата. Поскольку такое смещение не может быть скорректировано, пользователям, желающим использовать настоящий метод испытаний вместо метода по ASTM D5769 или наоборот, следует рассмотреть конкретный источник или источники испытуемого топлива и с использованием периодических сравнительных испытаний убедиться в том, что любые расхождения являются согласованными и управляемыми.
| | ИС МЕГАНОРМ: примечание. Нумерация примечаний дана в соответствии с официальным текстом документа. | |
Примечание 2 - Среднее смещение относительно метода испытаний по ASTM D5769 составило минус 0,06% об. для спектрометров FTIR и плюс 0,06% об. - для спектрометров с фильтрами. После учета средних значений расхождения, зависящие от топлива, превысили 0,1% об. только для одного топлива на одну процедуру (из 62 комбинаций).
(обязательное)
КАЛИБРОВКА И КВАЛИФИКАЦИЯ АППАРАТА
A1.1 Калибровочная матрица
Стандарты для калибровки готовят по ASTM D4307 или соответствующим образом пересчитывают для большего количества и по ASTM D5842 и ASTM D5854 - в соответствующих случаях. По возможности используют реактивы чистотой не менее 99%. Для минимизации испарения легких компонентов охлаждают все реактивы и топливо, используемые для приготовления стандартов.
A1.1.1 Калибровочная матрица для спектрометров среднего инфракрасного диапазона с фильтром
Готовят набор стандартов для калибровки в соответствии с
таблицей A1.1.
Таблица A1.1
Набор стандартов для калибровки для спектрометров
среднего инфракрасного диапазона с фильтром
В массовых процентах
Номер стандарта | Бензол | Толуол | Ксилолы | | MTBE | Этанол | TAME | ETBE | Изооктан | |
1 | 0,00 | 2,50 | 12,50 | 5,00 | 0,00 | 00,0 | 20,00 | 0,00 | 30,00 | 30,00 |
2 | 0,00 | 2,50 | 25,00 | 2,50 | 0,00 | 0,00 | 0,00 | 0,00 | 35,00 | 35,00 |
3 | 0,00 | 5,00 | 7,50 | 10,00 | 1,00 | 0,00 | 2,50 | 15,00 | 25,00 | 34,00 |
4 | 0,00 | 12,50 | 12,50 | 3,00 | 20,00 | 0,00 | 2,50 | 0,00 | 25,00 | 24,50 |
5 | 0,00 | 20,00 | 10,00 | 1,00 | 0,00 | 10,00 | 0,00 | 0,00 | 25,00 | 34,00 |
6 | 0,00 | 25,00 | 7,50 | 2,50 | 0,00 | 0,00 | 0,00 | 0,00 | 40,00 | 25,00 |
7 | 0,00 | 25,00 | 2,50 | 7,50 | 0,00 | 4,00 | 0,00 | 0,00 | 20,00 | 41,00 |
8 | 0,25 | 0,00 | 10,00 | 5,00 | 0,00 | 0,00 | 0,00 | 20,00 | 25,00 | 39,75 |
9 | 0,25 | 2,50 | 6,00 | 2,50 | 0,00 | 0,00 | 0,00 | 0,00 | 35,00 | 53,75 |
10 | 0,25 | 4,75 | 15,00 | 1,00 | 0,00 | 7,50 | 0,00 | 0,00 | 25,00 | 46,50 |
11 | 0,25 | 10,00 | 0,00 | 10,00 | 15,00 | 0,00 | 0,00 | 0,00 | 30,00 | 34,75 |
12 | 0,25 | 14,00 | 7,50 | 3,00 | 0,00 | 5,00 | 0,00 | 0,00 | 30,00 | 40,25 |
13 | 0,50 | 2,50 | 12,50 | 5,00 | 5,00 | 0,00 | 5,00 | 5,00 | 20,00 | 44,50 |
14 | 0,50 | 5,00 | 10,00 | 2,00 | 0,00 | 0,00 | 0,00 | 0,00 | 30,00 | 42,50 |
15 | 0,50 | 6,00 | 7,50 | 7,50 | 0,00 | 0,00 | 20,00 | 0,00 | 25,00 | 33,50 |
16 | 0,50 | 10,00 | 15,00 | 2,50 | 0,00 | 12,50 | 0,00 | 0,00 | 25,00 | 34,50 |
17 | 0,50 | 12,50 | 4,00 | 7,50 | 0,00 | 0,00 | 0,00 | 20,00 | 20,00 | 35,50 |
18 | 0,50 | 25,00 | 10,00 | 1,00 | 0,00 | 0,00 | 0,00 | 0,00 | 25,00 | 38,50 |
19 | 0,75 | 5,00 | 25,00 | 1,00 | 0,00 | 0,00 | 0,00 | 0,00 | 30,00 | 38,25 |
20 | 0,75 | 10,00 | 10,00 | 5,00 | 0,00 | 0,00 | 0,00 | 0,00 | 30,00 | 44,25 |
21 | 0,75 | 12,50 | 0,00 | 10,00 | 0,00 | 5,00 | 0,00 | 0,00 | 35,00 | 36,75 |
22 | 0,75 | 12,50 | 12,50 | 1,00 | 0,00 | 0,00 | 0,00 | 0,00 | 30,00 | 43,25 |
23 | 0,75 | 25,00 | 20,00 | 10,00 | 0,00 | 0,00 | 0,00 | 0,00 | 14,25 | 30,00 |
24 | 1,00 | 15,00 | 25,00 | 1,00 | 7,50 | 0,00 | 15,00 | 2,50 | 10,00 | 23,00 |
25 | 1,00 | 5,00 | 7,50 | 10,00 | 0,00 | 2,00 | 0,00 | 0,00 | 35,00 | 39,50 |
26 | 1,00 | 7,50 | 10,00 | 7,50 | 20,00 | 0,00 | 0,00 | 0,00 | 20,00 | 34,00 |
27 | 1,00 | 10,00 | 10,00 | 5,00 | 0,00 | 10,00 | 0,00 | 0,00 | 30,00 | 34,00 |
28 | 1,00 | 15,00 | 2,00 | 2,50 | 15,00 | 0,00 | 2,50 | 7,50 | 20,00 | 37,00 |
29 | 1,00 | 25,00 | 20,00 | 0,00 | 0,00 | 0,00 | 0,00 | 0,00 | 25,00 | 29,00 |
30 | 1,50 | 5,00 | 15,00 | 5,00 | 5,00 | 0,00 | 10,00 | 5,00 | 20,00 | 33,50 |
31 | 1,50 | 15,00 | 15,00 | 1,00 | 0,00 | 0,00 | 5,00 | 20,00 | 20,00 | 22,50 |
32 | 1,50 | 15,00 | 15,00 | 1,00 | 0,00 | 0,00 | 0,00 | 0,00 | 30,00 | 37,50 |
33 | 1,50 | 10,00 | 5,00 | 7,50 | 0,00 | 7,50 | 0,00 | 2,50 | 25,00 | 41,00 |
34 | 1,50 | 25,00 | 10,00 | 0,00 | 0,00 | 0,00 | 0,00 | 0,00 | 25,00 | 38,50 |
35 | 2,00 | 5,00 | 7,50 | 2,50 | 7,50 | 0,00 | 2,50 | 2,00 | 30,00 | 41,00 |
36 | 2,00 | 5,00 | 20,00 | 0,00 | 0,00 | 0,00 | 0,00 | 0,00 | 30,00 | 43,00 |
37 | 2,00 | 12,50 | 12,50 | 5,00 | 0,00 | 8,00 | 0,00 | 0,00 | 25,00 | 35,00 |
38 | 2,00 | 25,00 | 5,00 | 3,00 | 20,00 | 0,00 | 0,00 | 0,00 | 20,00 | 25,00 |
39 | 2,00 | 25,00 | 20,00 | 0,00 | 0,00 | 0,00 | 0,00 | 0,00 | 20,00 | 33,00 |
40 | 2,50 | 0,00 | 15,00 | 2,50 | 0,00 | 0,00 | 15,00 | 0,00 | 25,00 | 40,00 |
41 | 2,50 | 5,00 | 5,00 | 10,00 | 15,00 | 0,00 | 0,00 | 0,00 | 25,00 | 37,50 |
42 | 2,50 | 15,00 | 0,00 | 7,50 | 0,00 | 10,00 | 0,00 | 0,00 | 30,00 | 35,00 |
43 | 2,50 | 10,00 | 15,00 | 2,50 | 0,00 | 0,00 | 0,00 | 15,00 | 25,00 | 30,00 |
44 | 2,50 | 20,00 | 20,00 | 3,00 | 0,00 | 0,00 | 0,00 | 0,00 | 25,00 | 29,50 |
45 | 3,00 | 5,00 | 25,00 | 5,00 | 0,00 | 0,00 | 7,50 | 7,50 | 20,00 | 27,00 |
46 | 3,00 | 10,00 | 15,00 | 5,00 | 0,00 | 7,50 | 0,00 | 7,50 | 20,00 | 32,00 |
47 | 3,00 | 15,00 | 5,00 | 2,00 | 2,50 | 0,00 | 10,00 | 2,50 | 25,00 | 35,00 |
48 | 3,00 | 20,00 | 20,00 | 5,00 | 0,00 | 0,00 | 0,00 | 0,00 | 25,00 | 27,00 |
49 | 3,00 | 25,00 | 10,00 | 2,00 | 0,00 | 0,00 | 0,00 | 0,00 | 30,00 | 30,00 |
50 | 4,00 | 0,00 | 20,00 | 2,50 | 0,00 | 5,00 | 0,00 | 0,00 | 25,00 | 43,50 |
51 | 4,00 | 2,50 | 5,00 | 10,00 | 5,00 | 0,00 | 5,00 | 5,00 | 25,00 | 38,50 |
52 | 4,00 | 15,00 | 2,50 | 5,00 | 2,00 | 10,00 | 2,00 | 0,00 | 20,00 | 39,50 |
53 | 4,00 | 20,00 | 15,00 | 2,00 | 0,00 | 0,00 | 0,00 | 0,00 | 25,00 | 34,00 |
54 | 4,00 | 25,00 | 20,00 | 1,00 | 0,00 | 0,00 | 0,00 | 0,00 | 25,00 | 25,00 |
55 | 5,00 | 5,00 | 25,00 | 4,00 | 0,00 | 0,00 | 0,00 | 0,00 | 25,00 | 36,00 |
56 | 5,00 | 7,50 | 5,00 | 7,50 | 0,00 | 0,00 | 0,00 | 15,00 | 25,00 | 35,00 |
57 | 5,00 | 12,50 | 12,50 | 2,50 | 15,00 | 0,00 | 0,00 | 0,00 | 20,00 | 32,50 |
58 | 5,00 | 20,00 | 5,00 | 5,00 | 0,00 | 5,00 | 0,00 | 0,00 | 25,00 | 35,00 |
59 | 5,00 | 20,00 | 2,50 | 2,50 | 0,00 | 0,00 | 7,50 | 0,00 | 25,00 | 37,50 |
60 | 5,00 | 25,00 | 20,00 | 0,00 | 0,00 | 0,00 | 0,00 | 0,00 | 20,00 | 30,00 |
<A> Тяжелая фракция продукта риформинга. <B> Смесь, содержащая по 50% об. пентана и гексана. |
A1.1.1.1 Измеряют плотность каждого из стандартов для калибровки в соответствии с ASTM D1298 или ASTM D4052.
A1.1.1.2 Для каждого из стандартов для калибровки преобразуют концентрацию бензола из массовых процентов в объемные проценты по
формуле, приведенной в 13.1 настоящего стандарта.
A1.1.2 Калибровочная матрица для спектрометров FTIR с калибровкой PLS
Для получения наилучшей прецизионности и точности калибровки готовят два калибровочных набора, как указано в
таблицах A1.2 и
A1.3. Первый набор (набор A) содержит 35 стандартов с бензолом концентрацией от 0,0% масс. до 1,5% масс. Второй набор (набор B) содержит не менее 25 стандартов с бензолом концентрацией от 1% масс. до 6% масс. Каждая подгруппа в наборе B должна содержать не менее пяти стандартов с бензолом концентрацией, равномерно распределенной в диапазоне от 1% масс. до 6% масс.
Таблица A1.2
Набор A стандартов для калибровки
для спектрометров FTIR с калибровкой PLS
В массовых процентах
Номер стандарта | Бензол | Толуол | Суммарные ксилолы | Изооктан |
1 | 0,00 | 0 | 0 | 100,00 |
2 | 0,00 | 7 | 0 | 93,00 |
3 | 0,00 | 14 | 0 | 86,00 |
4 | 0,00 | 21 | 0 | 79,00 |
5 | 0,00 | 15 | 15 | 70,00 |
6 | 0,25 | 0 | 0 | 99,75 |
7 | 0,50 | 0 | 0 | 99,50 |
8 | 0,75 | 0 | 0 | 99,25 |
9 | 1,00 | 0 | 0 | 99,00 |
10 | 1,25 | 0 | 0 | 98,75 |
11 | 1,50 | 0 | 0 | 98,50 |
12 | 0,25 | 7 | 0 | 92,75 |
13 | 0,50 | 7 | 0 | 92,50 |
14 | 0,75 | 7 | 0 | 92,25 |
15 | 1,00 | 7 | 0 | 92,00 |
16 | 1,25 | 7 | 0 | 91,75 |
17 | 1,50 | 7 | 0 | 91,50 |
18 | 0,25 | 14 | 0 | 85,75 |
19 | 0,50 | 14 | 0 | 85,50 |
20 | 0,75 | 14 | 0 | 85,25 |
21 | 1,00 | 14 | 0 | 85,00 |
22 | 1,25 | 14 | 0 | 84,75 |
23 | 1,50 | 14 | 0 | 84,50 |
24 | 0,25 | 21 | 0 | 78,75 |
25 | 0,50 | 21 | 0 | 78,50 |
26 | 0,75 | 21 | 0 | 78,25 |
27 | 1,00 | 21 | 0 | 78,00 |
28 | 1,25 | 21 | 0 | 77,75 |
29 | 1,50 | 21 | 0 | 77,50 |
30 | 0,25 | 15 | 15 | 69,75 |
31 | 0,50 | 15 | 15 | 69,50 |
32 | 0,75 | 15 | 15 | 69,25 |
33 | 1,00 | 15 | 15 | 69,00 |
34 | 1,25 | 15 | 15 | 68,75 |
35 | 1,50 | 15 | 15 | 68,50 |
Таблица A1.3
Набор B стандартов для калибровки
для спектрометров FTIR с калибровкой PLS
В массовых процентах
Подгруппа (не менее пяти стандартов) | Бензол | Толуол | Суммарные ксилолы | Изооктан |
Подгруппа 1 | 1 - 6 | 0 | 0 | До 100% |
Подгруппа 2 | 1 - 6 | 7 - 9 | 0 | До 100% |
Подгруппа 3 | 1 - 6 | 14 - 17 | 0 | До 100% |
Подгруппа 4 | 1 - 6 | 21 - 25 | 0 | До 100% |
Подгруппа 5 | 1 - 6 | 15 - 18 | 15 - 18 | До 100% |
A1.1.2.1 Измеряют плотность каждого из стандартов для калибровки в соответствии с ASTM D1298 или ASTM D4052.
A1.1.2.2 Для каждого из стандартов для калибровки преобразуют концентрацию бензола из массовых процентов в объемные проценты по
формуле, приведенной в 13.1 настоящего стандарта. Если плотности стандартов для калибровки не могут быть измерены, допускается преобразовать концентрацию бензола в объемные проценты, используя плотности отдельных компонентов, измеренные в соответствии с ASTM D1298 или ASTM D4052.
A1.1.3 Калибровочная матрица для спектрометров FTIR с калибровкой CLS
Готовят набор стандартов для калибровки, как указано в
таблице A1.4. Набор содержит стандарты с бензолом концентрацией от 0% масс. до 6% масс.
Таблица A1.4
Набор стандартов для калибровки
для спектрометров FTIR с калибровкой CLS
В массовых процентах
Номер стандарта | Бензол | Толуол | Изооктан |
1 | 0,0 | 5,0 | 95,0 |
2 | 0,0 | 15,0 | 85,0 |
3 | 0,5 | 5,0 | 94,5 |
4 | 0,5 | 15,0 | 84,5 |
5 | 1,0 | 5,0 | 94,0 |
6 | 1,0 | 15,0 | 84,0 |
7 | 1,5 | 5,0 | 93,5 |
8 | 1,5 | 15,0 | 83,5 |
9 | 2,0 | 5,0 | 93,0 |
10 | 2,0 | 15,0 | 83,0 |
11 | 3,0 | 5,0 | 92,0 |
12 | 3,0 | 15,0 | 82,0 |
13 | 4,0 | 5,0 | 91,0 |
14 | 4,0 | 15,0 | 81,0 |
15 | 5,0 | 5,0 | 90,0 |
16 | 5,0 | 15,0 | 80,0 |
17 | 6,0 | 5,0 | 89,0 |
18 | 6,0 | 15,0 | 79,0 |
A1.1.4 Смеси для коррекции базовой линии для спектрометров FTIR с калибровкой CLS
Готовят один раствор, содержащий 80% масс. гексана и 20% масс. соответствующего ароматического соединения для каждой из шести смесей (толуол, 1,3-диметилбензол, 3-этилтолуол, 1,3,5-триметилбензол, этилбензол и пропилбензол), как указано в
таблице A1.5.
Таблица A1.5
Смеси для коррекции базовой линии
для спектрометров FTIR с калибровкой CLS
В массовых процентах
Номер стандарта | Гексан | Толуол | 1,3-Диметилбензол | 3-Этилтолуол | 1,3,5-Триметилбензол | Этилбензол | Пропилбензол |
1 | 80 | 20 | 0 | 0 | 0 | 0 | 0 |
2 | 80 | 0 | 20 | 0 | 0 | 0 | 0 |
3 | 80 | 0 | 0 | 20 | 0 | 0 | 0 |
4 | 80 | 0 | 0 | 0 | 20 | 0 | 0 |
5 | 80 | 0 | 0 | 0 | 0 | 20 | 0 |
6 | 80 | 0 | 0 | 0 | 0 | 0 | 20 |
A1.2 Калибровка
A1.2.1 Каждый инструмент должен быть откалиброван в соответствии с математическим алгоритмом, как указано в ASTM E1655. Эта практика служит руководством по многомерной калибровке инфракрасных спектрометров, используемых при определении физических свойств нефтепродуктов и нефтехимических продуктов. Процедуры характеризуют обработку данных, разработку калибровочной модели и квалификацию аппарата. Если получен(ы) непрерывный(е) диапазон(ы) волновых чисел спектра, можно использовать калибровку методом частных наименьших квадратов (PLS) или калибровку путем сопоставления пиков классическим методом наименьших квадратов (CLS), а при использовании оптической плотности на дискретных волновых числах можно применять множественную линейную регрессию (MLR).
A1.2.2 Перед анализом доводят все образцы до температуры лаборатории (от 15 °C до 38 °C). Заполняют кювету для образца стандартами для калибровки в соответствии с ASTM E168 или инструкциями изготовителя.
A1.2.3 Для каждого из стандартов для калибровки получают цифровые спектральные данные или значения оптической плотности с использованием каждого установленного фильтра.
A1.2.3.1 При использовании спектрометра среднего инфракрасного диапазона с фильтром для каждого из стандартов для калибровки получают значения оптической плотности на длинах волн, соответствующих установленным фильтрам.
A1.2.3.2 При использовании спектрометра FTIR получают цифровые спектральные данные в области волновых чисел от 4000 до 600 см-1 для каждого стандарта для калибровки. Инфракрасный спектр представляет собой отрицательный логарифм отношения однолучевого инфракрасного спектра, полученного с образцом, и однолучевого спектра FTIR с сухим воздухом (или азотом). Для приборов FTIR с калибровкой PLS корректируют базовую линию спектра с использованием линейного приближения базовой линии для значений оптической плотности, измеренной в диапазоне от 712 до 658 см-1.
A1.2.4 Для спектрометров среднего инфракрасного диапазона с фильтром определяют калибровочную модель, используя корреляцию набора калибровочных спектров с известными концентрациями бензола (в объемных процентах) по ASTM E1655 путем подбора под следующее уравнение MLR:

, (A1.1)
где C - концентрация аналита, % об.;
an и bn - коэффициенты регрессии;
xn - оптическая плотность при длине волны фильтра n;
e - свободный член.
A1.2.5 Для спектрометров FTIR с калибровкой PLS разрабатывают две отдельные калибровочные модели.
A1.2.5.1 Разрабатывают первую калибровочную модель (с использованием стандартов с концентрацией бензола от 0,0% масс. до 1,5% масс.), называемую калибровкой низкого уровня, с использованием спектров, полученных для стандартов из калибровочного набора A в соответствии с
таблицей A1.2. Эта калибровка устанавливает связь между спектральными данными и концентрацией бензола (в объемных процентах). Для разработки калибровки низкого уровня используют данные со скорректированной базовой линией в диапазоне от 712 до 664 см
-1. При разработке модели используют центрирование по среднему значению и четыре скрытые переменные.
A1.2.5.2 Разрабатывают вторую калибровочную модель (с использованием стандартов с концентрацией бензола от 1,0% масс. до 6,0% масс.), называемую калибровкой высокого уровня, с использованием спектров, полученных для стандартов из калибровочного набора B в соответствии с
таблицей A1.3. Эта калибровка устанавливает связь между спектральными данными и концентрацией бензола (в объемных процентах). Для разработки калибровки высокого уровня используют данные со скорректированной базовой линией в диапазоне от 712 до 664 см
-1. При разработке модели используют центрирование по среднему значению и четыре скрытые переменные.
A1.2.6 Для спектрометров FTIR с калибровкой CLS разрабатывают одну калибровочную модель. Эта калибровка устанавливает связь между спектральными данными и концентрацией бензола (в массовых процентах). При разработке калибровочной модели используют спектр в диапазоне от 710 до 660 см
-1.
A1.2.6.1 Измеряют спектры шести смесей для коррекции базовой линии, указанных в
таблице A1.5, а также спектр чистого гексана в диапазоне от 710 до 660 см
-1. Из каждого спектра смесей (растворов концентрацией 20% масс.) вычитают в 0,80 спектра гексана. Полученный спектр представляет собой производный спектр соответствующего ароматического соединения.
A1.2.6.2 Аппроксимируют спектр поглощения в диапазоне от 710 до 660 см-1 с использованием классического метода наименьших квадратов (метод k-матрицы). Аппроксимирующая матрица должна включать производные спектры толуола, 1,3-диметилбензола, 3-этилтолуола, 1,3,5-триметилбензола, этилбензола и пропилбензола.
A1.2.6.3 Для устранения перекрытия спектров вычитают производные спектры толуола, 1,3-диметилбензола, 3-этилтолуола, 1,3,5-триметилбензола, этилбензола и пропилбензола, умноженные на коэффициенты, полученные аппроксимацией классическим методом наименьших квадратов, из спектра поглощения. В результате получают остаточный пик бензола.
A1.2.6.4 Аппроксимируют остаточный пик бензола с использованием Лоренцевой функции формы спектральной линии с линейной базовой линией в диапазоне от 691 до 660 см
-1. Лоренцева функция формы спектральной линии
L(v) имеет следующий вид:

, (A1.2)
где А - высота пика;
Г - половина ширины пика;

- центральное волновое число;

- волновое число;
k - угол наклона базовой линии;

- точка пересечения линейной базовой линии с осью ординат.
Искомыми параметрами при аппроксимации методом наименьших квадратов являются
А,
Г,

,
k и

.
A1.2.6.5 Получают уравнение калибровки, используя высоту остаточного пика (зависимость параметра А от концентрации бензола в массовых процентах).
A1.3 Квалификация рабочих характеристик аппарата
После проведения калибровки(ок) отдельный калиброванный аппарат должен быть квалифицирован, чтобы убедиться, что аппарат точно и прецизионно определяет концентрацию бензола в присутствии типичных компонентов топлив для двигателей с искровым зажиганием, которые в типичных концентрациях вызывают спектральные помехи. Общими классами соединений, вызывающих помехи, являются монозамещенные ароматические соединения (для всех процедур калибровки) и оксигенаты (для калибровки спектрометров с фильтром) в высоких концентрациях. Квалификацию выполняют только при первоначальном вводе в эксплуатацию, повторной калибровке или ремонте аппарата.
A1.3.1 Приготовление стандартов для квалификации
Готовят по массе многокомпонентные стандарты для квалификации в соответствии с ASTM D4307 (или соответствующим образом пересчитывают для большего количества) и по ASTM D5842 и ASTM D5854 - в соответствующих случаях. Эти стандарты должны быть аналогичными, но не идентичными смесям калибровочного набора. Стандарты для квалификации готовят таким образом, чтобы варьировать концентрацию бензола и мешающих компонентов в диапазоне, составляющем не менее 95% диапазона стандартов для калибровки. Число требуемых стандартов определяют по ASTM E1655 и, как правило, оно в пять раз больше числа независимых переменных в калибровочном уравнении. Для четырехкомпонентной модели PLS требуется не менее 20 стандартов для квалификации. Для спектрометра с семью фильтрами, использующего
формулу (A1.1) для калибровки, требуется 50 стандартов для квалификации. Для калибровок, основанных на сопоставлении пиков классическим методом наименьших квадратов, требуется не менее 20 стандартов для квалификации.
A1.3.2 Сбор данных квалификации
В каждом из стандартов для квалификации измеряют концентрацию бензола, выраженную в объемных процентах, в соответствии с
разделом 12 настоящего стандарта. Соответствие рабочих характеристик аппарата установленным требованиям определяют в соответствии с процедурами, аналогичными описанным в ASTM E2056.
Примечание A1.1 - Поскольку данный метод был разработан до разработки ASTM E2056, данные, необходимые для полной реализации ASTM E2056, не доступны. Процедуры, описанные ниже, согласуются с целью ASTM E2056.
A1.3.3 Среднеквадратическую погрешность квалификации (SEQ) вычисляют по следующей формуле:

(A1.3)
где q - количество суррогатных стандартов для квалификации;

- оценка концентрации компонента в
i-м стандарте для квалификации;
yi - концентрации компонента в i-м стандарте для квалификации.
A1.3.3.1 Для каждого типа аппарата вычисляют значение
F делением SEQ в квадрате на PSEQ в квадрате (объединенная среднеквадратическая погрешность квалификации для аппаратов, использованных в межлабораторных испытаниях, в квадрате). Значение
F сравнивают с критическим значением
F с числом степеней свободы и DOF(PSEQ) в знаменателе. Значения PSEQ и DOF(PSEQ) для трех типов аппаратов приведены в
таблице A1.6, критические значения
F - в
таблице A1.7.
Таблица A1.6
Объединенная среднеквадратическая погрешность квалификации
для аппаратов трех типов
Показатель | Спектрометр с фильтром | Спектрометр FTIR с калибровкой PLS | Спектрометр FTIR с калибровкой CLS |
PSEQ | 0,0750 | 0,0555 | 0,0812 |
DOF(PSEQ) | 389 | 306 | 270 |
Таблица A1.7
Числитель q | Знаменатель DOF(PSEQ) |
389 | 306 | 270 |
20 | 1,60 | 1,60 | 1,61 |
25 | 1,53 | 1,54 | 1,55 |
30 | 1,49 | 1,50 | 1,50 |
35 | 1,45 | 1,46 | 1,47 |
40 | 1,43 | 1,43 | 1,44 |
45 | 1,40 | 1,41 | 1,42 |
50 | 1,38 | 1,39 | 1,40 |
A1.3.3.2 Если значение F менее или равно табличному критическому значению F, аппарат квалифицирован для проведения испытаний.
A1.3.3.3 Если значение F более табличного критического значения F, аппарат не квалифицирован для проведения испытаний.
(справочное)
СВЕДЕНИЯ О СООТВЕТСТВИИ ССЫЛОЧНЫХ СТАНДАРТОВ ASTM
МЕЖГОСУДАРСТВЕННЫМ СТАНДАРТАМ
Таблица ДА.1
Обозначение ссылочного стандарта ASTM | Степень соответствия | Обозначение и наименование соответствующего межгосударственного стандарта |
ASTM D1298 | IDT | ГОСТ 33364-2015 "Нефть и нефтепродукты жидкие. Определение плотности, относительной плотности и плотности в градусах API ареометром" |
ASTM D4052 | - | |
ASTM D4057 | NEQ | |
ASTM D4177 | - | |
ASTM D4307 | - | |
ASTM D5769 | - | |
ASTM D5842 | - | |
ASTM D5854 | - | |
ASTM E168 | - | |
ASTM E1655 | - | |
ASTM E2056 | - | |
<*> Соответствующий межгосударственный стандарт отсутствует. До его принятия рекомендуется использовать перевод на русский язык данного стандарта. Официальный перевод данного стандарта находится в Федеральном информационном фонде стандартов. Примечание - В настоящей таблице использованы следующие условные обозначения степени соответствия стандартов: - IDT - идентичные стандарты; - NEQ - неэквивалентные стандарты. |
УДК 678.766.2:006.354 | | IDT |
Ключевые слова: топлива для двигателей с искровым зажиганием, определение бензола, метод спектроскопии среднего инфракрасного диапазона |