Главная // Актуальные документы // ГОСТ (Государственный стандарт)СПРАВКА
Источник публикации
М.: Стандартинформ, 2019
Примечание к документу
Текст данного документа приведен с учетом поправок, опубликованных в "ИУС",
N 4, 2020;
N 8, 2020;
поправки, опубликованной в "ИУС", N 8, 2023.
Документ
введен в действие с 01.07.2020.
Название документа
"ГОСТ 34570-2019. Межгосударственный стандарт. Фрукты, овощи и продукты их переработки. Потенциометрический метод определения нитратов"
(введен в действие Приказом Росстандарта от 04.10.2019 N 874-ст)
"ГОСТ 34570-2019. Межгосударственный стандарт. Фрукты, овощи и продукты их переработки. Потенциометрический метод определения нитратов"
(введен в действие Приказом Росстандарта от 04.10.2019 N 874-ст)
агентства по техническому
регулированию и метрологии
от 4 октября 2019 г. N 874-ст
МЕЖГОСУДАРСТВЕННЫЙ СТАНДАРТ
ФРУКТЫ, ОВОЩИ И ПРОДУКТЫ ИХ ПЕРЕРАБОТКИ
ПОТЕНЦИОМЕТРИЧЕСКИЙ МЕТОД ОПРЕДЕЛЕНИЯ НИТРАТОВ
Fruits, vegetables and derived products. Determination
of nitrate content by potentiometric method
ГОСТ 34570-2019
Дата введения
1 июля 2020 года
Цели, основные принципы и общие правила проведения работ по межгосударственной стандартизации установлены
ГОСТ 1.0 "Межгосударственная система стандартизации. Основные положения" и
ГОСТ 1.2 "Межгосударственная система стандартизации. Стандарты межгосударственные, правила и рекомендации по межгосударственной стандартизации. Правила разработки, принятия, обновления и отмены"
1 РАЗРАБОТАН Всероссийским научно-исследовательским институтом технологии консервирования - филиалом Федерального государственного бюджетного научного учреждения "Федеральный научный центр пищевых систем им. В.М. Горбатова" РАН (ВНИИТеК - филиал ФГБНУ "ФНЦ пищевых систем им. В.М. Горбатова" РАН)
2 ВНЕСЕН Федеральным агентством по техническому регулированию и метрологии
3 ПРИНЯТ Межгосударственным советом по стандартизации, метрологии и сертификации (протокол от 30 августа 2019 г. N 121-П)
За принятие проголосовали:
Краткое наименование страны по МК (ИСО 3166) 004-97 | Код страны по МК (ИСО 3166) 004-97 | Сокращенное наименование национального органа по стандартизации |
Азербайджан | AZ | Азстандарт |
Армения | AM | Минэкономики Республики Армения |
Беларусь | BY | Госстандарт Республики Беларусь |
Казахстан | KZ | Госстандарт Республики Казахстан |
Киргизия | KG | Кыргызстандарт |
Молдова | MD | Институт стандартизации Молдовы |
Россия | RU | Росстандарт |
Узбекистан | UZ | Узстандарт |
Украина | UA | Минэкономразвития Украины |
4
Приказом Федерального агентства по техническому регулированию и метрологии от 4 октября 2019 г. N 874-ст межгосударственный стандарт ГОСТ 34570-2019 введен в действие в качестве национального стандарта Российской Федерации с 1 июля 2020 г.
Информация о введении в действие (прекращении действия) настоящего стандарта и изменений к нему на территории указанных выше государств публикуется в указателях национальных стандартов, издаваемых в этих государствах, а также в сети Интернет на сайтах соответствующих национальных органов по стандартизации.
В случае пересмотра, изменения или отмены настоящего стандарта соответствующая информация будет опубликована на официальном интернет-сайте Межгосударственного совета по стандартизации, метрологии и сертификации в каталоге "Межгосударственные стандарты"
Настоящий стандарт распространяется на свежие фрукты, овощи и продукты их переработки (далее - продукты) и устанавливает потенциометрический метод определения (измерения) массовой доли нитратов.
Настоящий стандарт не распространяется на овощи семейства крестоцветных, соленые и квашеные овощи, соленые и моченые фрукты.
Диапазон измерения массовой доли нитратов (без учета разбавления пробы) от 30 до 5000 мг/кг включительно.
Примечание - 1 мг/кг соответствует 1 млн
-1. При необходимости пересчет из одних величин в другие проводят по
ГОСТ 8.417.
В настоящем стандарте использованы нормативные ссылки на следующие межгосударственные стандарты:
ГОСТ 8.417 Государственная система обеспечения единства измерений. Единицы величин
ГОСТ 12.1.004 Система стандартов безопасности труда. Пожарная безопасность. Общие требования
ГОСТ 12.1.005 Система стандартов безопасности труда. Общие санитарно-гигиенические требования к воздуху рабочей зоны
ГОСТ 12.1.007 Система стандартов безопасности труда. Вредные вещества. Классификация и общие требования безопасности
ГОСТ 12.1.018 Система стандартов безопасности труда. Пожаровзрывобезопасность статического электричества. Общие требования
ГОСТ 12.1.019 Система стандартов безопасности труда. Электробезопасность. Общие требования и номенклатура видов защиты
ГОСТ 12.2.007.0 Система стандартов безопасности труда. Изделия электротехнические. Общие требования безопасности
ГОСТ 12.4.009 Система стандартов безопасности труда. Пожарная техника для защиты объектов. Основные виды. Размещение и обслуживание
ГОСТ 12.4.021 Система стандартов безопасности труда. Системы вентиляционные. Общие требования
ГОСТ 1770-74 (ИСО 1042-83, ИСО 4788-80) Посуда мерная лабораторная стеклянная. Цилиндры, мензурки, колбы, пробирки. Общие технические условия
ГОСТ 4217 Реактивы. Калий азотнокислый. Технические условия
ГОСТ 4234 Реактивы. Калий хлористый. Технические условия
ГОСТ 4329 Реактивы. Квасцы алюмокалиевые. Технические условия
ГОСТ 4517 Реактивы. Методы приготовления вспомогательных реактивов и растворов, применяемых при анализе
ГОСТ 25336 Посуда и оборудование лабораторные стеклянные. Типы. Основные параметры и размеры
ГОСТ 26313 Продукты переработки фруктов и овощей. Правила приемки и методы отбора проб
ГОСТ 26671 Продукты переработки фруктов и овощей, консервы мясные и мясорастительные. Подготовка проб для лабораторных анализов
ГОСТ 28561 Продукты переработки плодов и овощей. Методы определения сухих веществ или влаги
ГОСТ 29227 (ИСО 835-1-81) Посуда лабораторная стеклянная. Пипетки градуированные. Часть 1. Общие требования
ГОСТ 33977 Продукты переработки фруктов и овощей. Методы определения общего содержания сухих веществ
ГОСТ 34125 Фрукты и овощи сушеные. Правила приемки, отбор и подготовка проб
ГОСТ OIML R 76-1 Государственная система обеспечения единства измерений. Весы неавтоматического действия. Часть 1. Метрологические и технические требования. Испытания
ГОСТ ISO 2173-2013 Продукты переработки фруктов и овощей. Рефрактометрический метод определения растворимых сухих веществ
ГОСТ ISO 3696
<*> Вода для лабораторного анализа. Технические требования и методы испытания
ГОСТ ИСО 5725-1-2003
<**> Точность (правильность и прецизионность) методов и результатов измерений. Часть 1. Основные положения и измерения
ГОСТ ИСО 5725-2-2003
<***> Точность (правильность и прецизионность) методов и результатов измерений. Часть 2. Основной метод определения повторяемости и воспроизводимости стандартного метода измерений
ГОСТ ИСО 5725-6-2003
<*4> Точность (правильность и прецизионность) методов и результатов измерений. Часть 6. Использование значений точности на практике
--------------------------------
<*> В Российской Федерации действуют:
ГОСТ Р 52501-2005 "Вода для лабораторного анализа. Технические условия",
ГОСТ Р 58144-2018 "Вода дистиллированная. Технические условия".
<**> В Российской Федерации действует
ГОСТ Р ИСО 5725-1-2002 "Точность (правильность и прецизионность) методов и результатов измерений. Часть 1. Основные положения и определения".
<***> В Российской Федерации действует
ГОСТ Р ИСО 5725-2-2002 "Точность (правильность и прецизионность) методов и результатов измерений. Часть 2. Основной метод определения повторяемости и воспроизводимости стандартного метода измерений".
<*4> В Российской Федерации действует
ГОСТ Р ИСО 5725-6-2002 "Точность (правильность и прецизионность) методов и результатов измерений. Часть 6. Использование значений точности на практике".
Примечание - При пользовании настоящим стандартом целесообразно проверить действие ссылочных стандартов и классификаторов на официальном интернет-сайте Межгосударственного совета по стандартизации, метрологии и сертификации (www.easc.by) или по указателям национальных стандартов, издаваемым в государствах, указанных в предисловии, или на официальных сайтах соответствующих национальных органов по стандартизации. Если на документ дана недатированная ссылка, то следует использовать документ, действующий на текущий момент, с учетом всех внесенных в него изменений. Если заменен ссылочный документ, на который дана датированная ссылка, то следует использовать указанную версию этого документа. Если после принятия настоящего стандарта в ссылочный документ, на который дана датированная ссылка, внесено изменение, затрагивающее положение, на которое дана ссылка, то это положение применяется без учета данного изменения. Если документ отменен без замены, то положение, в котором дана ссылка на него, применяется в части, не затрагивающей эту ссылку.
В настоящем стандарте применен следующий термин с соответствующим определением.
3.1 массовая доля нитратов: Содержание нитрат-ионов, определенное в соответствии с методом, установленным в настоящем стандарте, и выраженное в мг/кг.
Метод основан на извлечении нитратов из пробы экстрагирующим раствором алюмокалиевых квасцов, с последующим измерением концентрации нитрат-ионов в полученном растворе с помощью ионоселективного электрода. Неизвестную концентрацию нитратов в пробе рассчитывают путем экстраполяции градуировочной кривой к потенциалу исходного образца методом двойных добавок с градуировкой (или методом Грана).
5 Средства измерений, вспомогательное оборудование, материалы и реактивы
Весы неавтоматического действия по
ГОСТ OIML R 76-1, специального (I) класса точности с пределами допускаемой абсолютной погрешности однократного взвешивания +/- 0,005 г.
Иономер любого типа <*> (pX-метр), оснащенный встроенным микропроцессором и функцией автоматической термокомпенсации, с метрологическими и техническими характеристиками не хуже указанных в
таблице 1, по нормативным документам государств, принявших стандарт.
--------------------------------
<*> Например, иономер И-160МИ. Данная информация является рекомендуемой, приведена для удобства пользователей настоящего стандарта и не исключает возможность использования других типов иономеров с аналогичными характеристиками.
Рабочий диапазон измерений преобразователя | Предел допускаемых значений основной погрешности измерений |
активности нитрат-ионов, pNO3 | температуры, °C | активности нитрат-ионов, pNO3 | температуры, °C |
От минус 20,00 до плюс 20,00 | От 10 до 40 | +/- 0,05 | +/- 1,0 |
Ионоселективный электрод <**> с полимерной мембраной, с метрологическими и техническими характеристиками не хуже указанных в
таблице 2 или комбинированный по нормативным документам государств, принявших стандарт.
--------------------------------
<**> Например, электрод ЭЛИС-121NO3. Данная информация является рекомендуемой, приведена для удобства пользователей настоящего стандарта и не исключает возможность использования других типов электродов с аналогичными характеристиками.
Линейный диапазон измерений молярной концентрации нитрат-ионов, моль/дм3 | Диапазон рабочих температур, °C | Крутизна электродной характеристики в линейном диапазоне измерений при 20 °C, S, мВ/pNO3 | Отклонение электродной характеристики от линейности в диапазоне измерений pNO3 при 20 °C, мВ, не более |
5 x 10-1 - 5 x 10-5 (0,3 - 4,3pNO3) | 5 - 50 | 54 | +/- 6 |
Электрод сравнения общего назначения одноключевой хлорсеребряный (Ag/AgCl) по нормативным документам государств, принявших стандарт (по выбору пользователя настоящего стандарта).
Примечание - Для измерений допускается применять комбинированные электроды, в которых измерительный электрод и электрод сравнения совмещены в одном корпусе.
Гомогенизатор (измельчитель) лабораторный любого типа.
Магнитная мешалка с регулированием скорости вращения.
Сушильный шкаф, обеспечивающий поддержание температуры (105 +/- 5) °C.
Салфетки из нетканого материала.
Пипетки градуированные 1(2, 3, 5)-1(1а, 2, 2а)-1(2)-2(5, 10) по
ГОСТ 29227.
Цилиндры мерные 1-50-2, 1-1000-2 по
ГОСТ 1770.
Колбы мерные с пробкой 2а-100-2, 2а-1000-2 по
ГОСТ 1770.
Вода для лабораторного анализа по ГОСТ ISO 3696, не ниже 3-й степени чистоты, свободная от ионов нитратов.
Государственные (межгосударственные) стандартные образцы состава водных растворов нитрат-ионов, номинальным значением массовой концентрации 1,0 г/дм3 и границами допускаемой относительной погрешности аттестованного значения +/- 1% при P = 0,95 <*>.
--------------------------------
<*> Используют утвержденные типы стандартных образцов, зарегистрированные в Государственном реестре утвержденных типов стандартных образцов, признанные Межгосударственным советом по стандартизации, метрологии и сертификации и внесенные в Реестр межгосударственных стандартных образцов состава и свойств веществ и материалов. Например, ГСО 6696-93 (МСО 0025:1998).
Межгосударственные стандартные образцы (МСО) состава корнеплодов моркови (свеклы, картофеля) с указанным в паспорте аттестованным значением массовой доли нитратов <**>.
--------------------------------
<**> Например, корнеплоды моркови (М-03), ГСО 10394-2014.
Допускается применение других средств измерений с метрологическими характеристиками и вспомогательного оборудования с техническими характеристиками, а также реактивов и материалов по качеству не хуже указанных в настоящем стандарте.
6 Отбор и подготовка проб
Отбор проб свежих фруктов, овощей из защищенного и открытого грунта, со складов, из хранилищ, упакованных в потребительскую тару, проводят по нормативным документам государств, принявших стандарт.
Отбор проб продуктов переработки фруктов и овощей, соковой продукции - по
ГОСТ 26313 и по нормативным документам государств, принявших стандарт.
Отбор проб сушеных фруктов и овощей - по
ГОСТ 34125.
Подготовка проб - по
ГОСТ 26671,
ГОСТ 34125 и по нормативным документам государств, принявших стандарт.
Для концентрированных и сушеных продуктов при указании в нормативных документах о необходимости пересчета полученных значений в восстановленном и исходном продукте проводят предварительное разбавление продукта до заданного значения массовой доли растворимых сухих веществ водой по ГОСТ ISO 2173-2013 (
пункты 7.1.3,
7.1.5).
В случае, если определение не может быть проведено сразу после отбора проб, их хранят в холодильнике при температуре (4 +/- 2) °C не более суток.
7 Условия проведения измерений
При подготовке к проведению измерений и при проведении измерений температура и относительная влажность в лабораторном помещении должны соответствовать требованиям, указанным в нормативных документах на средства измерений, приведенным в
разделе 5.
В помещениях, предназначенных для проведения измерений, не допускается загрязненность воздуха рабочей зоны пылью, агрессивными веществами, должны отсутствовать факторы, влияющие на измерения массы и объема.
8 Подготовка к проведению измерений
8.1 Приготовление растворов
8.1.1 Растворы реактивов хранят в стеклянных или в полиэтиленовых флаконах с завинчивающимися крышками при температуре от 15 °C до 25 °C. При появлении осадка, хлопьев, помутнении растворы заменяют свежеприготовленными.
8.1.2 Приготовление насыщенного раствора хлорида калия для заполнения электрода сравнения
Приготовление насыщенного раствора хлорида калия проводят по
ГОСТ 4517.
8.1.3 Приготовление экстрагирующего раствора алюмокалиевых квасцов AlK(SO4)2 с массовой долей 1%
В мерной колбе вместимостью 1000 см3 в небольшом количестве теплой воды растворяют (10,0 +/- 0,1) г алюмокалиевых квасцов, раствор охлаждают, доводят до метки водой и тщательно перемешивают.
Срок хранения раствора - не более 1 мес.
8.1.4 Приготовление основного раствора азотнокислого калия молярной концентрации c(KNO3) = 0,1 моль/дм3 (pNO3 = 1)
Взвешивают (10,110 +/- 0,1) г азотнокислого калия, высушенного в сушильном шкафу при температуре (105 +/- 5) °C до постоянной массы, переносят в мерную колбу вместимостью 1000 см3, растворяют в экстрагирующем растворе по 8.1.5 и доводят объем до метки этим же раствором.
Срок хранения раствора - не более 1 мес.
8.1.5 Приготовление градуировочных растворов
8.1.5.1 Градуировочные растворы готовят из основного раствора азотнокислого калия по
8.1.4, для разбавления используют экстрагирующий раствор алюмокалиевых квасцов по
8.1.3.
Растворы готовят в день проведения испытаний.
8.1.5.2 Приготовление градуировочного раствора молярной концентрации
c(KNO
3) = 0,01 моль/дм
3 (
pNO
3 = 2)
В мерную колбу вместимостью 100 см
3 отбирают пипеткой 10 см
3 основного раствора по
8.1.4, доводят до метки экстрагирующим раствором и перемешивают.
8.1.5.3 Приготовление градуировочного раствора молярной концентрации
c(KNO
3) = 0,001 моль/дм
3 (
pNO
3 = 3)
В мерную колбу вместимостью 100 см
3 отбирают пипеткой 10 см
3 раствора по
8.1.5.2, доводят до метки экстрагирующим раствором и перемешивают.
8.1.5.4 Приготовление градуировочного раствора молярной концентрации
c(KNO
3) = 0,0001 моль/дм
3 (
pNO
3 = 4)
В мерную колбу вместимостью 100 см
3 отбирают пипеткой 10 см
3 раствора по
8.1.5.3, доводят до метки экстрагирующим раствором и перемешивают.
8.2 Подготовка иономера и электродов к работе
Включение и подготовку прибора к работе, выключение по окончании работы осуществляют в соответствии с руководством по эксплуатации. Режим работы прибора устанавливают в зависимости от типа применяемого оборудования в соответствии с рекомендациями изготовителя.
Подготовку к работе и хранение электродов осуществляют в соответствии с рекомендациями изготовителя или указаниями в эксплуатационной документации.
Перед началом измерений электроды ополаскивают водой не менее трех раз.
9 Порядок проведения измерений
9.1 Приготовление экстракта пробы
Проводят два параллельных определения в условиях повторяемости в соответствии с требованиями ГОСТ ИСО 5725-1-2003 (подраздел 3.14).
Пробу продукта массой (10,00 +/- 0,01) г взвешивают в стакане вместимостью 100 см
3, приливают мерным цилиндром 50 см
3 экстрагирующего раствора по
8.1.3 (
V) и гомогенизируют в течение 1 - 2 мин.
Полученную суспензию используют для проведения измерений по 9.2.
9.2.1 Измерение концентрации нитрат-ионов проводят методом стандартной добавки (или методом Грана).
Для построения градуировочного графика используют градуировочные растворы по
8.1.5.2 -
8.1.5.4 в соответствии с руководством по эксплуатации иономера.
9.2.2 В стакан с градуировочным раствором опускают электродную пару и термодатчик. Включают магнитную мешалку. Показания прибора считывают не ранее, чем через 1 мин после прекращения заметного дрейфа показаний прибора.
Регистрируют потенциал электродной пары (ЭДС) в каждом градуировочном растворе, Ei, мВ. Измерения проводят в каждом градуировочном растворе в порядке возрастания их концентраций.
По полученным значениям строят градуировочный график (см.
рисунок 1), откладывая по оси ординат значения ЭДС
Ei, мВ, а по оси абсцисс - значения
pCi, моль/дм
3, соответствующие концентрациям градуировочных растворов, вручную или с помощью программного обеспечения прибора.
Vд - объем вносимой добавки;

- изменение величины
потенциала после внесения добавки; S - крутизна электродной
функции;

- функция отклика;

,

- концентрация
вносимой добавки
Рисунок 1 - Графическая зависимость, иллюстрирующая метод
стандартных добавок
9.2.3 Перед измерениями и после градуировки прибора электроды тщательно ополаскивают водой, промокают салфеткой и погружают в раствор с экстрактом пробы по
9.1. Включают магнитную мешалку.
Регистрируют потенциал электродной пары (ЭДС) в растворе пробы E0, мВ.
9.2.4 При переходе от одного испытания к другому электроды ополаскивают водой и промокают салфеткой. Температуры экстракта пробы и градуировочных растворов не должны отличаться более чем на 1,5 °C.
9.2.5 Прибор переключают в режим измерения ЭДС (мВ) и регистрируют показания прибора. По градуировочному графику находят значение
pCx, моль/дм
3, в экстракте пробы.
9.2.6 На основании значения
pCx, полученного по
9.2.5, рассчитывают объем вводимой добавки исходя из того, что концентрация нитрата должна увеличиться примерно в три-четыре раза (25 - 35 мВ).
Для добавки используют один из градуировочных растворов по
8.1.5.2 -
8.1.5.4.
Регистрируют показания иономера после внесения первой добавки, E0 + Д1, мВ.
9.2.7 Делают еще одну добавку одного из градуировочных растворов по
8.1.5.2 -
8.1.5.4 так, чтобы потенциал изменился на 25 - 35 мВ.
Регистрируют показания иономера после внесения второй добавки, E0 + Д2, мВ.
Примечание - При работе с приборами, имеющими встроенные преобразователи значения

или значений, выраженных в моль/дм
3, в значения массовой доли нитрат-ионов, мг/кг, настройку и последующий расчет проводят непосредственно в этих единицах.
10 Обработка и оформление результатов измерений
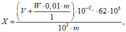
10.1 Массовую долю нитратов
X, мг/кг, в пробе продукта, используя зависимость, установленную по
9.2 при помощи программного обеспечения к прибору, вычисляют по формуле

(1)
где V - объем экстрагирующего раствора, см3;
0,01 - коэффициент перевода процентов в доли единиц;
m - масса пробы, г;
1 - плотность воды, г/см3;
- концентрация нитратов в пробе, вычисленная по градуировочному графику, моль/дм
3;
62 - молярная масса нитрат-иона, г/моль;
106 - коэффициент согласования единиц массы;
103 - коэффициент согласования единиц объема.
10.2 За окончательный результат принимают среднеарифметическое значение результатов двух параллельных измерений, выполненных в условиях повторяемости и удовлетворяющих условию приемлемости по
11.2.
10.3 Окончательный результат определения регистрируют в протоколе испытаний согласно
ГОСТ ИСО/МЭК 17025 с указанием настоящего стандарта в виде:
где
- среднеарифметическое значение результатов параллельных измерений массовой доли нитратов, мг/кг, признанных приемлемыми по
11.2;

- границы абсолютной погрешности измерения массовой доли нитратов, мг/кг, вычисляемые по формуле

(2)
где

- значение относительной погрешности (см.
таблицу 3), %.
Числовое значение результата измерения должно оканчиваться цифрой того же разряда, что и значение границы абсолютной погрешности. Значение границ абсолютной погрешности выражают целым числом.
Если массовая доля нитратов выходит за пределы нижней границы диапазона измерений, то приводят следующую запись в журнале: "Массовая доля нитратов менее 50 мг/кг".
10.4 В протоколе испытаний должны быть указаны все детали, необходимые для полной идентификации пробы. Также в протоколе указывают:
- обозначение настоящего стандарта;
- дату и способ отбора проб (если это возможно);
- дату доставки образца;
- дату проведения определения;
- результаты определения;
- обнаруженные в ходе определения особенности;
- а также любые обстоятельства, которые могли повлиять на конечный результат.
11 Контроль точности результатов измерений
11.1 Метрологические характеристики метода
Метрологические характеристики метода при доверительной вероятности P = 0,95 приведены в таблице 3.
Диапазон измерений массовой доли нитратов, мг/кг | Предел повторяемости, rотн, % | Предел воспроизводимости, Rотн, % | Показатель точности (границы относительной погрешности)  , % |
30 - 5000 | 15 | 25 | 18 |
Примечания 1 Показатели точности метода были установлены по результатам межлабораторного эксперимента, проведенного в соответствии с ГОСТ ИСО 5725-2-2003 (раздел 5) с участием пяти лабораторий. 2 Подтверждение соответствия (верификацию) метода проводят в соответствии с [1]. |
11.2 Проверка приемлемости результатов измерений, полученных в условиях повторяемости
Проверку приемлемости результатов измерений массовой доли нитрат-ионов, полученных в условиях повторяемости (два параллельных определения, n = 2), проводят с учетом требований ГОСТ ИСО 5725-6.
Результаты измерений считаются приемлемыми при условии:

(3)
где X1, X2 - результаты параллельных измерений массовой доли нитратов, мг/кг;

- среднеарифметическое значение результатов параллельных измерений массовой доли нитратов, мг/кг;
rотн - предел повторяемости (см.
таблицу 3), %.
Результаты измерений вычисляют до первого десятичного знака и округляют до целого числа.
При невыполнении
условия (3) получают еще два результата измерений в соответствии с
разделом 9 и затем устанавливают окончательный результат измерений в соответствии с ГОСТ ИСО 5725-6-2003 (подраздел 5.2).
Если расхождение между результатами параллельных измерений вновь превышает предел повторяемости, выясняют и устраняют причины плохой повторяемости результатов испытаний.
11.3 Проверка приемлемости результатов измерений, полученных в условиях воспроизводимости
Проверку приемлемости результатов измерений массовой доли нитрат-ионов, полученных в условиях воспроизводимости (в двух лабораториях, m = 2), проводят с учетом требований ГОСТ ИСО 5725-6.
Результаты измерений считаются приемлемыми при условии:

(4)
где

,

- окончательные результаты измерений массовой доли нитратов, полученные в первой и второй лабораториях соответственно, мг/кг;

- среднеарифметическое значение окончательных результатов измерений массовой доли нитратов, полученных в первой и второй лабораториях, мг/кг;
CD0,95 - значение критической разности, %, вычисленное по формуле

(5)
где
Rотн - предел воспроизводимости (см.
таблицу 3), %;
rотн - предел повторяемости (см.
таблицу 3), %;
n1 - количество параллельных измерений в первой лаборатории;
n2 - количество параллельных измерений во второй лаборатории.
Если
условия (3) и
(4) не выполняются, то лабораториям рекомендуется провести процедуры, предусмотренные ГОСТ 5725-6-2003 (пункты 5.3.3, 5.3.4).
11.4 Контроль правильности результатов измерений
Для контроля правильности результатов измерений используют межгосударственный стандартный образец (МСО) состава корнеплодов моркови или стандартные образцы других типов с такими же метрологическими характеристиками.
Проверку правильности результатов измерений проводят для каждой серии испытаний. Допустимое отклонение полученного результата от аттестованного значения считают приемлемым, если выполняется условие:
|X - XA| <= 3,11 + 0,15·XA, (6)
где X - массовая доля нитратов в стандартном образце, определенная по настоящему стандарту, мг/кг;
XA - аттестованное значение массовой доли нитратов в стандартном образце, мг/кг;
3,11 и 0,15 - коэффициенты пересчета.
Подготовку стандартного образца к измерениям проводят в соответствии с паспортом.
12 Контроль качества результатов измерений в лаборатории
12.1 Контроль качества результатов измерений осуществляют путем проверки приемлемости результатов измерений, получаемых в условиях повторяемости по
11.2, путем поверки и калибровки применяемых средств измерений, а также путем контроля правильности результатов измерений по
11.4.
12.2 Контроль стабильности результатов измерений осуществляют по ГОСТ ИСО 5725-6-2003 (пункты 6.2.2, 6.2.3), используя методы контроля стабильности среднеквадратического отклонения повторяемости и среднеквадратического отклонения промежуточной прецизионности с применением контрольных карт Шухарта.
Периодичность контроля и процедуры контроля стабильности результатов измерений регламентируют в руководстве по качеству лаборатории в соответствии с ГОСТ ИСО/МЭК 17025-2009
(пункт 4.2).
13 Требования безопасности
Требования безопасности должны соответствовать положениям, изложенным в руководствах по эксплуатации лабораторного оборудования.
13.2 Помещение, в котором проводится выполнение испытаний, должно быть снабжено приточно-вытяжной вентиляцией по
ГОСТ 12.4.021. Чистота воздуха в рабочей зоне должна соответствовать требованиям
ГОСТ 12.1.005.
13.3 Работу с химическими реактивами следует проводить в вытяжном шкафу.
14 Требования к квалификации оператора
К выполнению измерений и (или) обработке их результатов допускают лиц, имеющих высшее или среднее специальное образование и опыт работы в химической лаборатории, прошедших соответствующий инструктаж, освоивших метод в процессе обучения и уложившихся в нормативы оперативного контроля при выполнении процедуры контроля точности измерений.
| Рекомендации по метрологии | Государственная система обеспечения единства измерений. Внедрение стандартизованных методик количественного химического анализа в лаборатории. Подтверждение соответствия установленным требованиям |
УДК 637.12.04/07:576.8:006.354 | |
Ключевые слова: фрукты, овощи, продукты переработки фруктов и овощей, определение, содержание, нитраты, потенциометрический метод |