Главная // Актуальные документы // ГОСТ (Государственный стандарт)СПРАВКА
Источник публикации
М.: ФГБУ "РСТ", 2021
Примечание к документу
Текст данного документа приведен с учетом
поправки, введенной в действие с 01.10.2021, опубликованной в "ИУС", N 2, 2022.
Документ
введен в действие с 01.03.2022.
Название документа
"ГОСТ ISO 81060-2-2021. Межгосударственный стандарт. Сфигмоманометры (измерители артериального давления) неинвазивные. Часть 2. Клинические испытания моделей с автоматическим типом измерения"
(введен в действие Приказом Росстандарта от 22.10.2021 N 1258-ст)
"ГОСТ ISO 81060-2-2021. Межгосударственный стандарт. Сфигмоманометры (измерители артериального давления) неинвазивные. Часть 2. Клинические испытания моделей с автоматическим типом измерения"
(введен в действие Приказом Росстандарта от 22.10.2021 N 1258-ст)
Приказом Федерального агентства
по техническому регулированию
и метрологии
от 22 октября 2021 г. N 1258-ст
МЕЖГОСУДАРСТВЕННЫЙ СТАНДАРТ
СФИГМОМАНОМЕТРЫ (ИЗМЕРИТЕЛИ АРТЕРИАЛЬНОГО ДАВЛЕНИЯ)
НЕИНВАЗИВНЫЕ
ЧАСТЬ 2
КЛИНИЧЕСКИЕ ИСПЫТАНИЯ МОДЕЛЕЙ
С АВТОМАТИЧЕСКИМ ТИПОМ ИЗМЕРЕНИЯ
Non-invasive sphygmomanometers (measuring devices
of arterial pressure). Part 2. Clinical investigation
of intermittent automated measurement type
(ISO 81060-2:2018+Amd.1:2020, Non-invasive
sphygmomanometers - Part 2: Clinical investigation
of intermittent automated measurement type, IDT)
ГОСТ ISO 81060-2-2021
Дата введения
1 марта 2022 года
Цели, основные принципы и общие правила проведения работ по межгосударственной стандартизации установлены
ГОСТ 1.0 "Межгосударственная система стандартизации. Основные положения" и
ГОСТ 1.2 "Межгосударственная система стандартизации. Стандарты межгосударственные, правила и рекомендации по межгосударственной стандартизации. Правила разработки, принятия, обновления и отмены".
1 ПОДГОТОВЛЕН Федеральным государственным бюджетным учреждением "Российский институт стандартизации" (ФГБУ "РСТ") и Обществом с ограниченной ответственностью "Медтехстандарт" (ООО "Медтехстандарт") на основе собственного перевода на русский язык англоязычной версии стандарта, указанного в
пункте 5
2 ВНЕСЕН Федеральным агентством по техническому регулированию и метрологии
3 ПРИНЯТ Межгосударственным советом по стандартизации, метрологии и сертификации (протокол от 26 августа 2021 г. N 142-П)
За принятие проголосовали:
Краткое наименование страны по МК (ИСО 3166) 004-97 | Код страны по МК (ИСО 3166) 004-97 | Сокращенное наименование национального органа по стандартизации |
Армения | AM | ЗАО "Национальный орган по стандартизации и метрологии" Республики Армения |
Беларусь | BY | Госстандарт Республики Беларусь |
Киргизия | KG | Кыргызстандарт |
Россия | RU | Росстандарт |
Таджикистан | TJ | Таджикстандарт |
Узбекистан | UZ | Узстандарт |
4 Приказом Федерального агентства по техническому регулированию и метрологии от 22 октября 2021 г. N 1258-ст межгосударственный стандарт ГОСТ ISO 81060-2-2021 введен в действие в качестве национального стандарта Российской Федерации с 1 марта 2022 г.
| | ИС МЕГАНОРМ: примечание. Изменения, выделенные в официальном тексте документа двойной вертикальной линией, расположенной на полях напротив соответствующего текста, в электронной версии документа выделены одинарной вертикальной линией справа от текста. | |
5 Настоящий стандарт идентичен международному стандарту ISO 81060-2:2018 "Сфигмоманометры неинвазивные. Часть 2. Клинические испытания моделей с автоматическим типом измерения" ("Non-invasive sphygmomanometers - Part 2: Clinical investigation of intermittent automated measurement type", IDT), включая изменение Amd.1:2020. Изменение внесено в текст настоящего стандарта и выделено двойной вертикальной линией, расположенной на полях напротив соответствующего текста.
Международный стандарт разработан подкомитетом SC 3 "Вентиляторы легких и сопутствующее оборудование" Технического комитета по стандартизации ISO/TC 121 "Оборудование для анестезии и искусственной вентиляции легких" Международной организации по стандартизации (ISO) и подкомитетом SC D "Медицинская электроаппаратура" Технического комитета по стандартизации IEC/TC 62 "Электрооборудование в медицинской практике" Международной электротехнической комиссии (IEC).
Наименование настоящего стандарта изменено относительно наименования указанного международного стандарта для увязки с наименованиями, принятыми в существующем комплексе межгосударственных стандартов.
При применении настоящего стандарта рекомендуется использовать вместо ссылочных международных стандартов соответствующие им межгосударственные стандарты, сведения о которых приведены в дополнительном
приложении ДА
6 ВВЕДЕН ВПЕРВЫЕ
Информация о введении в действие (прекращении действия) настоящего стандарта и изменений к нему на территории указанных выше государств публикуется в указателях национальных стандартов, издаваемых в этих государствах, а также в сети Интернет на сайтах соответствующих национальных органов по стандартизации.
В случае пересмотра, изменения или отмены настоящего стандарта соответствующая информация будет опубликована на официальном интернет-сайте Межгосударственного совета по стандартизации, метрологии и сертификации в каталоге "Межгосударственные стандарты"
Третье издание (ISO 81060-2:2018) отменяет и заменяет второе издание (ISO 81060-2:2013), которое было технически пересмотрено.
Основные изменения по сравнению с предыдущим изданием следующие:
- метод одновременного определения на одной руке удален;
- добавлен ряд пояснений, а также включены эквивалентные значения в кПа для значений в мм рт. ст.
Измерение АРТЕРИАЛЬНОГО ДАВЛЕНИЯ является важной ПРОЦЕДУРОЙ, которая используется в практической медицине для оценки состояния ПАЦИЕНТА.
АРТЕРИАЛЬНОЕ ДАВЛЕНИЕ выступает в качестве средства контроля скорости введения лекарственных препаратов во время инфузионной терапии, а также средством предупреждения об изменениях состояния ПАЦИЕНТА.
Измерение АРТЕРИАЛЬНОГО ДАВЛЕНИЯ часто является рутинной процедурой во время анестезии. АРТЕРИАЛЬНОЕ ДАВЛЕНИЕ выступает в качестве средства контроля скорости введения лекарственных препаратов во время инфузионной терапии, а также средством предупреждения об изменениях состояния ПАЦИЕНТА.
В настоящем стандарте приняты следующие шрифтовые выделения:
- требования, соответствие которым может быть проверено, и определения - прямой шрифт;
- информационный материал, приведенный вне таблиц (примечания, примеры и справочная информация), а также нормативный текст таблиц - шрифт уменьшенного размера;
- методы испытаний - курсив;
- ТЕРМИНЫ, ОПРЕДЕЛЕННЫЕ В РАЗДЕЛЕ 3 ОБЩЕГО СТАНДАРТА И В НАСТОЯЩЕМ СТАНДАРТЕ - ЗАГЛАВНЫЕ БУКВЫ.
В настоящем стандарте союз "или" будет использован как включающее "или", т.е. утверждение будет истинным при любой комбинации условий.
Глагольные формы, используемые в настоящем стандарте, совпадают по форме с описанными в приложении H Директив ИСО/МЭК (часть 2).
Значение вспомогательных глаголов:
- "должен" - соответствие требованиям или испытаниям обязательно для соответствия настоящему стандарту;
- "следует" - соответствие требованиям или испытаниям рекомендовано, но не обязательно для соответствия настоящему стандарту;
- "может" - описание допустимых путей достижения соответствия требованиям или испытаниям.
Знак звездочки (*) у номера пункта или подпункта раздела, или заголовка таблицы указывает, что в
приложении A приведены соответствующие пояснения.
В
приложении B приведена схема соответствия пунктов и подпунктов настоящего стандарта ОСНОВНЫМ ПРИНЦИПАМ ISO 16142-1:2016.
Настоящий стандарт устанавливает требования и методы для КЛИНИЧЕСКОГО ИСПЫТАНИЯ ME ИЗДЕЛИЯ, используемого для ПЕРИОДИЧЕСКОЙ неинвазивной автоматической оценки АРТЕРИАЛЬНОГО ДАВЛЕНИЯ с использованием МАНЖЕТЫ.
Настоящий стандарт применим ко всем СФИГМОМАНОМЕТРАМ, которые воспринимают или отображают пульсации, поток или звуки для оценки, отображения или записи АРТЕРИАЛЬНОГО ДАВЛЕНИЯ. Для этих СФИГМОМАНОМЕТРОВ не требуется автоматическая накачка МАНЖЕТЫ.
Настоящий стандарт распространяется на СФИГМОМАНОМЕТРЫ, предназначенные для использования у всех групп ПАЦИЕНТОВ (например, всех возрастов и весовых категорий), и при всех условиях использования (например, амбулаторный мониторинг АРТЕРИАЛЬНОГО ДАВЛЕНИЯ, мониторинг АРТЕРИАЛЬНОГО ДАВЛЕНИЯ с нагрузкой и мониторинг АРТЕРИАЛЬНОГО ДАВЛЕНИЯ в условиях ЛЕЧЕНИЯ НА ДОМУ для самоконтроля, а также для использования в медицинской организации).
Пример - АВТОМАТИЧЕСКИЕ СФИГМОМАНОМЕТРЫ в соответствии с IEC 80601-2-30 подвергаются КЛИНИЧЕСКИМ ИСПЫТАНИЯМ согласно настоящему стандарту.
Настоящий стандарт устанавливает дополнительные требования к ЭКСПЛУАТАЦИОННЫМ ДОКУМЕНТАМ на СФИГМОМАНОМЕТРЫ, прошедшие процедуру КЛИНИЧЕСКОГО ИСПЫТАНИЯ в соответствии с настоящим стандартом.
Настоящий стандарт не применим к КЛИНИЧЕСКИМ ИСПЫТАНИЯМ НЕАВТОМАТИЧЕСКИХ СФИГМОМАНОМЕТРОВ, соответствующих ISO 81060-1, или ПРИБОРОВ ДЛЯ ИНВАЗИВНОГО МОНИТОРИНГА ДАВЛЕНИЯ КРОВИ, соответствующих IEC 60601-2-34.
В настоящем стандарте использованы нормативные ссылки на следующие стандарты [для датированных ссылок применяют только указанное издание ссылочного стандарта, для недатированных - последнее издание (включая все изменения)]:
Примечание 1 - Способ, при помощи которого указанные ссылочные стандарты приведены в тексте нормативных требований, определяет степень их применения (полностью или частично).
Примечание 2 - Справочные ссылки приведены в
разделе "Библиография".
ISO 14155:2011 <1>, Clinical investigation of medical devices for human subjects - Good clinical practice (Клинические исследования медицинских изделий для людей. Надлежащая клиническая практика)
--------------------------------
<1> Заменен на ISO 14155:2020, Clinical investigation of medical devices for human subjects. Good clinical practice (Клинические исследования медицинских изделий для людей. Надлежащая клиническая практика). Однако для однозначного соблюдения требований настоящего стандарта, выраженного в датированной ссылке, рекомендуется использовать только указанное в этой ссылке издание.
ISO 14971:2007, Medical devices - Application of risk management to medical devices <2> (Изделия медицинские. Применение менеджмента риска к медицинским изделиям)
--------------------------------
<2> Заменен на ISO 14971:2019, Medical devices Application of risk management to medical devices (Изделия медицинские. Применение менеджмента риска к медицинским изделиям). Однако для однозначного соблюдения требований настоящего стандарта, выраженного в датированной ссылке, рекомендуется использовать только указанное в этой ссылке издание.
ISO 16142-1:2016, Medical devices - Recognized essential principles of safety and performance of medical devices - Part 1: General essential principles and additional specific essential principles for all non-IVD medical devices and guidance on the selection of standards (Изделия медицинские. Важнейшие принципы обеспечения безопасности и эксплуатационных характеристик медицинских изделий. Часть 1. Общие и дополнительные специфические важнейшие принципы для всех медицинских изделий, кроме изделий для диагностики in vitro, и руководство по выбору стандартов)
ISO 81060-1:2007, Non-invasive sphygmomanometers - Part 1: Requirements and test methods for non-automated measurement type (Сфигмоманометры неинвазивные. Часть 1. Требования и методы испытания моделей с неавтоматическим типом измерения)
IEC 60601-1:2005+Amendment 1:2012, Medical electrical equipment - Part 1: General requirements for basic safety and essential performance (Изделия медицинские электрические. Часть 1. Общие требования безопасности с учетом основных функциональных характеристик)
IEC 60601-1-11:2015, Medical electrical equipment - Part 1-11: General requirements for basic safety and essential performance - Collateral Standard: Requirements for medical electrical equipment and medical electrical systems used in the home healthcare environment (Изделия медицинские электрические. Часть 1-11. Общие требования безопасности с учетом основных функциональных характеристик. Дополнительный стандарт. Требования к медицинским изделиям и системам, используемым для ухода за больными в домашней среде)
IEC 60601-2-34:2011, Medical electrical equipment - Part 2-34: Particular requirements for the basic safety and essential performance of invasive blood pressure monitoring equipment (Изделия медицинские электрические. Часть 2-34. Частные требования безопасности с учетом основных функциональных характеристик к приборам для инвазивного мониторинга кровяного давления)
IEC 80601-2-30:2018, Medical electrical equipment - Part 2-30: Particular requirements for the basic safety and essential performance of automated non-invasive sphygmomanometers (Изделия медицинские электрические. Часть 2-30. Частные требования безопасности с учетом основных функциональных характеристик к автоматическим неинвазивным сфигмоманометрам)
В настоящем стандарте применены термины по ISO 14155:2011, ISO 14971:2007, ISO 16142-1:2016, ISO 81060-1:2007, IEC 60601-1:2005+AMD1:2012, IEC 60601-1-11:2015, IEC 60601-2-34:2011 и IEC 80601-2-30:2018, а также следующие термины с соответствующими определениями.
Примечание - Для удобства в
приложении C приведен алфавитный указатель терминов, используемых в настоящем стандарте.
3.1
периодический (intermittent): Неинвазивный СФИГМОМАНОМЕТР, использующий ПРОЦЕСС оценки АРТЕРИАЛЬНОГО ДАВЛЕНИЯ, обеспечивающий единственный набор значений давления на основании некоторого числа циклов активности сердца.
3.2
эталонный; ЭТ (reference, ref): С установленной точностью, используемый для КЛИНИЧЕСКИХ ИСПЫТАНИЙ других приборов.
3.3
сфигмоманометр (sphygmomanometer): ME ИЗДЕЛИЕ для неинвазивной оценки системного АРТЕРИАЛЬНОГО ДАВЛЕНИЯ.
3.4
испытуемый сфигмоманометр; ИС (sphygmomanometer-under-test, sut): АВТОМАТИЧЕСКИЙ СФИГМОМАНОМЕТР, проходящий КЛИНИЧЕСКОЕ ИСПЫТАНИЕ.
3.5 полный диапазон охватов конечностей (total limb circumference range): диапазон от наименьшего охвата конечности до наибольшего охвата конечности, предназначенный ИЗГОТОВИТЕЛЕМ для использования с АВТОМАТИЧЕСКИМ СФИГМОМАНОМЕТРОМ. |
4 Общие требования к КЛИНИЧЕСКИМ ИСПЫТАНИЯМ
4.1 Методы КЛИНИЧЕСКИХ ИСПЫТАНИЙ
a) АВТОМАТИЧЕСКИЕ СФИГМОМАНОМЕТРЫ должны подвергаться КЛИНИЧЕСКИМ ИСПЫТАНИЯМ в соответствии с настоящим стандартом в каждом режиме эксплуатации с применением одного из следующих:
1) неинвазивного (аускультативного) ЭТАЛОННОГО СФИГМОМАНОМЕТРА, применяемого на плече; либо
2) ЭТАЛОННОГО ПРИБОРА ДЛЯ ИНВАЗИВНОГО МОНИТОРИНГА ДАВЛЕНИЯ КРОВИ.
Пример 1 - Режим для взрослых и новорожденных.
Пример 2 - Режим быстрого и медленного стравливания воздуха из МАНЖЕТЫ.
b) КЛИНИЧЕСКОЕ ИСПЫТАНИЕ считается ТИПОВЫМ ИСПЫТАНИЕМ.
c) Для клинического испытания автоматического сфигмоманометра, предназначенного для отображения значений центрального или внутриаортального давления, необходимо пользоваться справочным сайтом инвазивного измерения центрального или внутриаортального давления (см.
6.2.2).
Примечание - Такой автоматический СФИГМОМАНОМЕТР подвергают испытаниям в соответствии с требованиями
раздела 6.
Соответствие требованиям настоящего подпункта считается достигнутым, если соблюдены критерии соответствующих проверок и испытаний настоящего стандарта.
4.2 Надлежащая клиническая практика
a) все КЛИНИЧЕСКИЕ ИСПЫТАНИЯ должны соответствовать требованиям ISO 14155:2011;
b) КЛИНИЧЕСКОЕ ИСПЫТАНИЕ ЭТАЛОННЫМ ПРИБОРОМ ДЛЯ ИНВАЗИВНОГО МОНИТОРИНГА ДАВЛЕНИЯ КРОВИ не следует проводить с участием ПАЦИЕНТОВ или добровольцев лишь в целях оценки функциональных характеристик СФИГМОМАНОМЕТРА.
Примечание - Некоторые полномочные органы имеют дополнительные требования;
c) приоритет имеют требования настоящего стандарта, которые в большей степени конкретизированы, чем соответствующие требования ISO 14155:2011.
Соответствие проверяют путем применения требований ISO 14155:2011.
4.3 Статус предыдущих КЛИНИЧЕСКИХ ИСПЫТАНИЙ
Результаты КЛИНИЧЕСКИХ ИСПЫТАНИЙ СФИГМОМАНОМЕТРОВ, успешно прошедших клиническую оценку в соответствии с требованиями предыдущих версий настоящего стандарта, остаются действительными, поэтому для обеспечения соответствия требованиям настоящего стандарта нет необходимости проводить никакие другие КЛИНИЧЕСКИЕ ИСПЫТАНИЯ.
4.4 Раскрытие сводных данных по КЛИНИЧЕСКИМ ИСПЫТАНИЯМ
Техническое описание СФИГМОМАНОМЕТРА должно включать контактную информацию, позволяющую ОТВЕТСТВЕННОЙ ОРГАНИЗАЦИИ получить копию данных по проведенным КЛИНИЧЕСКИМ ИСПЫТАНИЯМ.
5 КЛИНИЧЕСКОЕ ИСПЫТАНИЕ с аускультативным ЭТАЛОННЫМ СФИГМОМАНОМЕТРОМ
5.1 Требования к субъектам
a) КЛИНИЧЕСКОЕ ИСПЫТАНИЕ с аускультативным ЭТАЛОННЫМ СФИГМОМАНОМЕТРОМ должно состоять из, как минимум, 85 субъектов.
b) Если не установлено иное требование, то для каждого субъекта должно быть получено не менее трех достоверных значений АРТЕРИАЛЬНОГО ДАВЛЕНИЯ [см.
5.2.4.1.1, o)].
c) Должно быть получено, как минимум, 255 достоверных значений АРТЕРИАЛЬНОГО ДАВЛЕНИЯ.
Соответствие устанавливают путем проверки ОТЧЕТА О КЛИНИЧЕСКИХ ИСПЫТАНИЯХ.
5.1.2* Распределение по полу
a) Не менее 30% субъектов должны быть мужчинами.
b) Не менее 30% субъектов должны быть женщинами.
Соответствие устанавливают путем проверки ОТЧЕТА О КЛИНИЧЕСКИХ ИСПЫТАНИЯХ.
5.1.3* Распределение по возрасту
a) Для СФИГМОМАНОМЕТРОВ, предназначенных для взрослых ПАЦИЕНТОВ или ПАЦИЕНТОВ подросткового возраста, возраст всех субъектов, включенных в КЛИНИЧЕСКОЕ ИСПЫТАНИЕ, должен быть старше 12 лет.
Примечание 1 - Всего минимум 85 субъектов.
b) Для СФИГМОМАНОМЕТРОВ, дополнительно предназначенных для использования у детей, в КЛИНИЧЕСКИЕ ИСПЫТАНИЯ должны быть включены 35 субъектов-детей в возрасте от 3 до 12 лет.
Примечание 2 - Всего минимум 85 субъектов (35 детей в возрасте от 3 до 12 лет, и 50 субъектов старше 12 лет).
c) Если СФИГМОМАНОМЕТР имеет специальный режим для детей, то в этом режиме дети считаются специальной выборкой ПАЦИЕНТОВ (см.
5.1.6). В данном исследовании дети освобождаются от требований
5.1.5 по распределению АРТЕРИАЛЬНОГО ДАВЛЕНИЯ.
d) Детей в возрасте менее 3 лет не следует включать в КЛИНИЧЕСКИЕ ИСПЫТАНИЯ с применением аускультативных ЭТАЛОННЫХ показаний наблюдателями, использующими ЭТАЛОННЫЙ СФИГМОМАНОМЕТР.
Соответствие устанавливают путем проверки ЭКСПЛУАТАЦИОННОГО ДОКУМЕНТА и ОТЧЕТА О КЛИНИЧЕСКИХ ИСПЫТАНИЯХ.
5.1.4* Распределение по размерам конечностей a) Охваты конечностей должны быть распределены следующим образом: 1) не менее 20% испытуемых должны иметь охват конечности, который находится в пределах каждой четверти ПОЛНОГО ДИАПАЗОНА ОХВАТОВ КОНЕЧНОСТЕЙ; 2) не менее 10% испытуемых должны иметь охват конечности, который находится в пределах наибольшего октиля от ПОЛНОГО ДИАПАЗОНА ОХВАТОВ КОНЕЧНОСТЕЙ; и 3) не менее 10% испытуемых должны иметь охват конечности, который находится в пределах наименьшего октиля от ПОЛНОГО ДИАПАЗОНА ОХВАТОВ КОНЕЧНОСТЕЙ. b) Кроме того, для СФИГМОМАНОМЕТРА, предназначенного для использования с несколькими размерами МАНЖЕТЫ, каждая манжета должна быть испытана по меньшей мере на Ncuff субъектах согласно формуле (1) , (1) где Ntotal - общее количество испытуемых в исследовании; rcuff - размер диапазона охватов конечностей для индивидуальной манжеты; rtotal - размер ПОЛНОГО ДИАПАЗОНА ОХВАТОВ КОНЕЧНОСТЕЙ. c) ОТЧЕТ О КЛИНИЧЕСКОМ ИСПЫТАНИИ должен содержать установленный диапазон охватов руки каждой МАНЖЕТЫ в сантиметрах (дюймах). d) ОТЧЕТ О КЛИНИЧЕСКОМ ИСПЫТАНИИ должен содержать графики, показывающие все результаты испытания по охвату руки, где ось Y показывает разницу между ИСПЫТУЕМЫМ СФИГМОМАНОМЕТРОМ и ЭТАЛОННЫМИ ЗНАЧЕНИЯМИ АРТЕРИАЛЬНОГО ДАВЛЕНИЯ, а ось X показывает фактический охват руки испытуемых. e) На этих графиках также должны быть указаны границы каждой МАНЖЕТЫ с помощью вертикальных линий. f) Графики должны быть предоставлены для: 1) СИСТОЛИЧЕСКОГО ДАВЛЕНИЯ; и 2) ДИАСТОЛИЧЕСКОГО ДАВЛЕНИЯ. Соответствие устанавливают путем проверки ОТЧЕТА О КЛИНИЧЕСКИХ ИСПЫТАНИЯХ. |
5.1.5 Распределение значений давления крови
a) Не менее 5% показаний должны соответствовать значению СИСТОЛИЧЕСКОГО ДАВЛЕНИЯ <= 100 мм рт. ст. (13,33 кПа).
b) Не менее 5% показаний должны соответствовать значению СИСТОЛИЧЕСКОГО ДАВЛЕНИЯ >= 160 мм рт. ст. (21,33 кПа).
c) Не менее 20% показаний должны соответствовать значению СИСТОЛИЧЕСКОГО ДАВЛЕНИЯ >= 140 мм рт. ст. (18,66 кПа).
d) Не менее 5% показаний должны соответствовать значению ДИАСТОЛИЧЕСКОГО ДАВЛЕНИЯ <= 60 мм рт. ст. (8,0 кПа).
e) Не менее 5% показаний должны соответствовать значению ДИАСТОЛИЧЕСКОГО ДАВЛЕНИЯ >= 100 мм рт. ст. (13,33 кПа).
f) Не менее 20% показаний должны соответствовать значению ДИАСТОЛИЧЕСКОГО ДАВЛЕНИЯ >= 85 мм рт. ст. (11,33 кПа).
Соответствие устанавливают путем проверки ОТЧЕТА О КЛИНИЧЕСКИХ ИСПЫТАНИЯХ.
5.1.6* Специальные выборки ПАЦИЕНТОВ
a) СФИГМОМАНОМЕТРЫ, предназначенные для использования в специальных выборках ПАЦИЕНТОВ, если существуют ОБЪЕКТИВНЫЕ СВИДЕТЕЛЬСТВА, что точность СФИГМОМАНОМЕТРА может быть проблематичной в этих выборках ПАЦИЕНТОВ, должны подвергаться КЛИНИЧЕСКОМУ ИСПЫТАНИЮ в этих выборках ПАЦИЕНТОВ.
Примечание - В
разделе 7 приведен конкретный пример специальной выборки ПАЦИЕНТОВ, к которым применяют особые требования.
b) Если СФИГМОМАНОМЕТРЫ прошли КЛИНИЧЕСКОЕ ИСПЫТАНИЕ в соответствии с требованиями
5.1.1 и
5.2, они должны быть затем КЛИНИЧЕСКИ ИСПЫТАНЫ не менее чем на 35 дополнительных субъектах специальной выборки.
c) Если СФИГМОМАНОМЕТР не прошел успешно КЛИНИЧЕСКОЕ ИСПЫТАНИЕ в соответствии с требованиями
5.1.1 и
5.2, то КЛИНИЧЕСКОЕ ИСПЫТАНИЕ в соответствии с требованиями
5.1.1 и
5.2 должно состоять только из субъектов из специальной выборки.
d) Термины, определяющие специальную выборку ПАЦИЕНТОВ, должны быть четкими и отражать следующие параметры:
3) охват конечности (см.
5.1.4); и
4) АРТЕРИАЛЬНОЕ ДАВЛЕНИЕ (см.
5.1.5).
e) Краткое определение специальной выборки ПАЦИЕНТОВ приводится в инструкции по эксплуатации.
Соответствие устанавливают путем проверки инструкции по эксплуатации и ОТЧЕТА О КЛИНИЧЕСКИХ ИСПЫТАНИЯХ.
5.2 Метод КЛИНИЧЕСКОГО ИСПЫТАНИЯ с ЭТАЛОННЫМ СФИГМОМАНОМЕТРОМ
5.2.1* Подготовка субъекта
a) Если в инструкции по эксплуатации ИСПЫТУЕМОГО СФИГМОМАНОМЕТРА не указано иное требование, субъект располагают так, чтобы он:
1) чувствовал себя комфортно.
Пример - Субъект находится в удобном сидячем положении, ноги не перекрещиваются, ступни на полу;
2) имел опору для спины, локтей и предплечий;
3) имел место измерения давления на уровне правого желудочка сердца.
b) Рекомендуется, чтобы:
1) субъект максимально расслабился, и
2) не разговаривал во время всей ПРОЦЕДУРЫ.
c) МАНЖЕТУ накладывают на кожу руки, около манжеты рука не должна испытывать никаких сдавливаний, например одеждой, проксимальнее МАНЖЕТЫ.
d) До считывания первых ЭТАЛОННЫХ значений должно пройти 5 мин.
Примечание - Дополнительные детали см. в справочном материале
[16].
Соответствие устанавливают путем проверки инструкции по эксплуатации и ОТЧЕТА О КЛИНИЧЕСКИХ ИСПЫТАНИЯХ.
5.2.2* Подготовка наблюдателя
a) Наблюдатели должны быть подготовлены к использованию соответствующих методик измерения АРТЕРИАЛЬНОГО ДАВЛЕНИЯ покоя, используя утвержденные клинические протоколы измерения АРТЕРИАЛЬНОГО ДАВЛЕНИЯ. См.
[15],
[16] и
[25], в которых содержится дополнительная информация.
b) Наблюдатели должны иметь достаточный опыт измерения АРТЕРИАЛЬНОГО ДАВЛЕНИЯ.
c) Данные ЭТАЛОННОГО СФИГМОМАНОМЕТРА, фиксируемые наблюдателями, не должны быть видимы другим наблюдателям.
d) Результаты измерения ИСПЫТУЕМОГО СФИГМОМАНОМЕТРА не должны быть видимы никому из этих наблюдателей.
Пример 1 - Использование третьего наблюдателя для записи показаний ИСПЫТУЕМОГО СФИГМОМАНОМЕТРА.
Пример 2 - Использование электронных средств записи показаний ИСПЫТУЕМОГО СФИГМОМАНОМЕТРА.
e) Наблюдатели должны использовать тон Короткова [пятая фаза или К5] для определения ЭТАЛОННОГО ДИАСТОЛИЧЕСКОГО ДАВЛЕНИЯ.
f) Если тон Короткова [пятая фаза или К5] не слышим для определения ЭТАЛОННОГО ДИАСТОЛИЧЕСКОГО ДАВЛЕНИЯ, то субъект должен быть исключен.
Соответствие устанавливают путем проверки ОТЧЕТА О КЛИНИЧЕСКИХ ИСПЫТАНИЯХ.
5.2.3* ЭТАЛОННЫЕ результаты измерения
a) Два наблюдателя должны проводить одновременное определение значений СИСТОЛИЧЕСКОГО ДАВЛЕНИЯ и ДИАСТОЛИЧЕСКОГО ДАВЛЕНИЯ на каждом субъекте, используя двойной стетоскоп.
b) Если ИСПЫТУЕМЫЙ СФИГМОМАНОМЕТР не предназначен только для использования при существенно нерегулярном ритме сердца и если любой из наблюдателей определяет существенно нерегулярный ритм сердца, то такое показание должно быть исключено.
Пример - Бигеминия, тригеминия, единичные желудочковые экстрасистолы (VPB), мерцательная аритмия (трепетание предсердий).
Примечание 1 - Хотя оценка АРТЕРИАЛЬНОГО ДАВЛЕНИЯ у ПАЦИЕНТОВ с мерцательной аритмией (трепетанием предсердий) имеет важное клиническое значение, в настоящее время отсутствуют общепринятые руководящие указания по определению АРТЕРИАЛЬНОГО ДАВЛЕНИЯ у таких лиц.
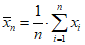
c) Любая пара показаний СИСТОЛИЧЕСКОГО ДАВЛЕНИЯ или ДИАСТОЛИЧЕСКОГО ДАВЛЕНИЯ, предоставленная наблюдателями, в значении которых есть разница более 4 мм рт. ст. (0,53 кПа), должна быть исключена.
d) Отдельные значения, предоставленные наблюдателями по каждому показанию, должны быть приведены к среднему показателю по
формуле (2) для получения значения ЭТАЛОННОГО АРТЕРИАЛЬНОГО ДАВЛЕНИЯ.

, (2)

- значение АРТЕРИАЛЬНОГО ДАВЛЕНИЯ, определенное наблюдателем 1 для
i-го показания;

- значение АРТЕРИАЛЬНОГО ДАВЛЕНИЯ, определенное наблюдателем 2 для
i-го показания;

- значение ЭТАЛОННОГО АРТЕРИАЛЬНОГО ДАВЛЕНИЯ для
i-го показания.
e) Различия между данными наблюдателей должны быть проанализированы после завершения ряда парных определений при ЭТАЛОННОМ испытании.
1) Если какие-либо результаты измерения исключаются, должна быть получена дополнительная пара(ы) для гарантии того, что имеется необходимое количество достоверных пар при ЭТАЛОННОМ измерении.
2) Для каждого субъекта должно быть зафиксировано максимум восемь пар результатов измерений.
f) Необходимо использовать ЭТАЛОННЫЙ СФИГМОМАНОМЕТР, соответствующий требованиям ISO 81060-1, за исключением того, что максимальная допустимая погрешность должна быть +/- 1 мм рт. ст. (0,13 кПа).
1) Считывание результатов измерений на ЭТАЛОННОМ СФИГМОМАНОМЕТРЕ должно быть максимально точным.
2) При считывании результатов измерений на ЭТАЛОННОМ СФИГМОМАНОМЕТРЕ наблюдателям следует избегать ошибок от параллакса и округлений.
Примечание 2 - Округление оказывает негативное влияние на результаты КЛИНИЧЕСКОГО ИСПЫТАНИЯ.
g) Измерение охвата плеча:
1) Отмечают середину плеча, поставив отметку на задней поверхности руки в точке, расположенной посредине между плечевым и локтевым суставами, когда рука согнута под углом 90 градусов в локте, ладонь обращена вверх.
2) Охват плеча субъекта определяют путем измерения в срединной точке плеча, когда локоть расслаблен, а рука свободно свисает сбоку от туловища.
h)* МАНЖЕТЫ для эталонного СФИГМОМАНОМЕТРА должны иметь: 1) длину, равную 75% - 100% охвата плеча; 2) ширину 37% - 50% охвата плеча; и 3) конструкцию из 2 частей, содержащую: i) эластичную внутреннюю камеру; и ii) неэластичный наружный рукав (оболочку). Соответствие устанавливают путем проверки ОТЧЕТА О КЛИНИЧЕСКИХ ИСПЫТАНИЯХ. |
5.2.4 Методы КЛИНИЧЕСКОГО ИСПЫТАНИЯ
5.2.4.1 Метод последовательного определения на одной руке
a) Для исследования можно использовать любую руку
Выполняют следующие действия:
b)
Используя ЭТАЛОННЫЙ СФИГМОМАНОМЕТР, наблюдатели определяют значение АРТЕРИАЛЬНОГО ДАВЛЕНИЯ субъекта (см. рисунок 1).
1 - двойной стетоскоп; 2 - дисплей ЭТАЛОННОГО
СФИГМОМАНОМЕТРА; 3 - ручной нагнетатель воздуха ЭТАЛОННОГО
СФИГМОМАНОМЕТРА; 4 - ИСПЫТУЕМЫЙ СФИГМОМАНОМЕТР
Примечание - Только одна МАНЖЕТА соединена с ИСПЫТУЕМЫМ СФИГМОМАНОМЕТРОМ.
Рисунок 1 - Иллюстрация метода последовательного
определения на одной и той же руке
c) Заменяют МАНЖЕТЫ и ожидают не менее 60 с.
d)
Определяют АРТЕРИАЛЬНОЕ ДАВЛЕНИЕ субъекта при помощи ИСПЫТУЕМОГО СФИГМОМАНОМЕТРА.
e) Очищают память ИСПЫТУЕМОГО СФИГМОМАНОМЕТРА от предыдущего результата измерения и затем ожидают не менее 60 с.
Примеры - Выключение и включение питания, удаление модуля АРТЕРИАЛЬНОГО ДАВЛЕНИЯ и его повторная установка, а также запуск команды перезагрузки являются методами очистки памяти от предыдущего результата измерения.
f)
При определении точности не используют данные, полученные по пунктам b) и d).
g) Наблюдатели определяют АРТЕРИАЛЬНОЕ ДАВЛЕНИЕ субъекта, используя ЭТАЛОННЫЙ СФИГМОМАНОМЕТР.
h) Заменяют МАНЖЕТЫ и выжидают не менее 60 с.
i)
Определяют АРТЕРИАЛЬНОЕ ДАВЛЕНИЕ субъекта, используя ИСПЫТУЕМЫЙ СФИГМОМАНОМЕТР.
j) Заменяют МАНЖЕТЫ и выжидают не менее 60 с.
k) Наблюдатели при помощи ЭТАЛОННОГО СФИГМОМАНОМЕТРА определяют ЭТАЛОННОЕ значение АРТЕРИАЛЬНОГО ДАВЛЕНИЯ субъекта.
l)
Заменяют МАНЖЕТЫ и выжидают не менее 60 с.
m)
Повторяют действия по пунктам с i) по l) до тех пор, пока не будет выполнено необходимое число достоверных ЭТАЛОННЫХ измерений.
n)
Все данные по субъекту должны быть исключены, если:
1) любые два ЭТАЛОННЫХ ЗНАЧЕНИЯ СИСТОЛИЧЕСКОГО ДАВЛЕНИЯ отличаются более, чем на 12 мм рт. ст. (1,60 кПа); или
2) любые два ЭТАЛОННЫХ ЗНАЧЕНИЯ ДИАСТОЛИЧЕСКОГО ДАВЛЕНИЯ отличаются более, чем на 8 мм рт. ст. (1,07 кПа).
o)
Несмотря на требование пункта n), если ЭТАЛОННОЕ АРТЕРИАЛЬНОЕ ДАВЛЕНИЕ отдельного субъекта не отвечает этим критериям в период выполнения испытания, могут использоваться две отвечающие требованиям последовательные пары ЭТАЛОННЫХ измерений и их результатов.
1) В этом случае должны быть привлечены дополнительные субъекты для обеспечения минимального числа измерений.
2) Не более 10% субъектов должны иметь меньше трех достоверных пар ЭТАЛОННЫХ значений и ОПРЕДЕЛЕНИЙ.
Соответствие устанавливают путем проверки ОТЧЕТА О КЛИНИЧЕСКИХ ИСПЫТАНИЯХ.
ИСПЫТУЕМЫЙ СФИГМОМАНОМЕТР должен соответствовать следующим двум критериям.
a) Критерий 1
1) Средняя погрешность определения для n-го количества отдельных парных ОПРЕДЕЛЕНИЙ, полученных ИСПЫТУЕМЫМ СФИГМОМАНОМЕТРОМ и ЭТАЛОННЫМ СФИГМОМАНОМЕТРОМ для всех субъектов, рассчитанная отдельно для СИСТОЛИЧЕСКОГО и ДИАСТОЛИЧЕСКОГО ДАВЛЕНИЯ, должна:
I) в соответствии с
формулой (3) иметь среднее значение разницы

, в пределах или равное +/- 5,0 мм рт. ст. (+/- 0,67 кПа); и
II) в соответствии с
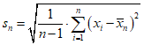
формулой (4) иметь стандартную величину отклонения
sn, не превышающую 8,0 мм рт. ст. (1,07 кПа):

, (3)

, (4)
где

- средняя величина разницы показаний;

- разница между
i-ми парными значениями АРТЕРИАЛЬНОГО ДАВЛЕНИЯ (ОПРЕДЕЛЕНИЕ ИСПЫТУЕМОГО СФИГМОМАНОМЕТРА - ПОКАЗАНИЕ ЭТАЛОННОГО АРТЕРИАЛЬНОГО ДАВЛЕНИЯ);
i - индекс отдельного элемента;
n - количество ИЗМЕРЕНИЙ;

- ЭТАЛОННОЕ АРТЕРИАЛЬНОЕ ДАВЛЕНИЕ для
i-го значения согласно расчету по
формуле (5).
III) xn и sn должны быть рассчитаны и выражены с точностью, как минимум, до 0,1 мм рт. ст. (0,01 кПа).
2) ПОКАЗАНИЕ ЭТАЛОННОГО АРТЕРИАЛЬНОГО ДАВЛЕНИЯ

должно быть средним значением показаний, полученных наблюдателями с использованием ЭТАЛОННОГО СФИГМОМАНОМЕТРА до и после определения с помощью ИСПЫТУЕМОГО СФИГМОМАНОМЕТРА

, (5)
где

- значение АРТЕРИАЛЬНОГО ДАВЛЕНИЯ, определенное наблюдателем 1 для
i-го показания;

- значение АРТЕРИАЛЬНОГО ДАВЛЕНИЯ, определенное наблюдателем 2 для
i-го показания.
Пример 1 - n = 255 для СФИГМОМАНОМЕТРОВ, предназначенных для взрослых ПАЦИЕНТОВ или подростков (исследование на 85 субъектах).
Пример 2 - n = 255 для СФИГМОМАНОМЕТРОВ, предназначенных для взрослых ПАЦИЕНТОВ или подростков и детей в возрасте от 3 до 12 лет (исследование на 85 субъектах).
Пример 3 - n = 105 для СФИГМОМАНОМЕТРОВ, предназначенных для специального ПРЕДУСМОТРЕННОГО ПРИМЕНЕНИЯ (исследование на 35 субъектах), когда СФИГМОМАНОМЕТР прошел КЛИНИЧЕСКОЕ ИСПЫТАНИЕ в процессе отдельного изучения на 85 субъектах в соответствии с 5.1.1 и 5.2.
b) Критерий 2
1) Для СИСТОЛИЧЕСКОГО и ДИАСТОЛИЧЕСКОГО ДАВЛЕНИЯ для каждого из m субъектов среднеквадратическое отклонение sm усредненных парных ОПРЕДЕЛЕНИЙ для субъекта на ИСПЫТУЕМОМ СФИГМОМАНОМЕТРЕ и показаний, полученных наблюдателем на ЭТАЛОННОМ СФИГМОМАНОМЕТРЕ, должно отвечать критериям, перечисленным:

, (6)
где

- среднее значение разницы согласно расчету по
формуле (3);
m - число субъектов;
j - индекс отдельного элемента;
xj - погрешность ИСПЫТУЕМОГО СФИГМОМАНОМЕТРА, рассчитанная по
формуле (7)

, (7)
где d - количество ИЗМЕРЕНИЙ на субъект;
k - индекс отдельного элемента;

- значение ЭТАЛОННОГО АРТЕРИАЛЬНОГО ДАВЛЕНИЯ, рассчитанное по
формуле (8)

. (8)
Таблица 1
Приемлемость усредненных данных субъекта
(критерий 2), мм рт. ст.
| Максимально допустимое среднеквадратическое отклонение sm как функция  , мм рт. ст. |
0,0 | 0,1 | 0,2 | 0,3 | 0,4 | 0,5 | 0,6 | 0,7 | 0,8 | 0,9 |
+/- 0, | 6,95 | 6,95 | 6,95 | 6,95 | 6,93 | 6,92 | 6,91 | 6,90 | 6,89 | 6,88 |
+/- 1, | 6,87 | 6,86 | 6,84 | 6,82 | 6,80 | 6,78 | 6,76 | 6,73 | 6,71 | 6,68 |
+/- 2, | 6,65 | 6,62 | 6,58 | 6,55 | 6,51 | 6,47 | 6,43 | 6,39 | 6,34 | 6,30 |
+/- 3, | 6,25 | 6,20 | 6,14 | 6,09 | 6,03 | 5,97 | 5,89 | 5,83 | 5,77 | 5,70 |
+/- 4, | 5,64 | 5,56 | 5,49 | 5,41 | 5,33 | 5,25 | 5,16 | 5,08 | 5,01 | 4,90 |
+/- 5, | 4,79 | - | - | - | - | - | - | - | - | - |
Пример - Для среднего значения +/- 4,2 мм рт. ст. максимально допустимое среднеквадратическое отклонение 5,49 мм рт. ст. |
Таблица 2
Приемлемость усредненных данных субъекта (критерий 2), кПа
| Максимально допустимое среднеквадратическое отклонение sm как функция  , кПа |
0,000 | 0,010 | 0,020 | 0,030 | 0,040 | 0,050 | 0,060 | 0,070 | 0,080 | 0,090 |
+/- 0,0 | 0,926 6 | 0,926 6 | 0,926 6 | 0,926 6 | 0,926 6 | 0,924 6 | 0,923 3 | 0,922 3 | 0,921 3 | 0,920 3 |
+/- 0,1 | 0,919 3 | 0,918 3 | 0,917 3 | 0,916 3 | 0,915 2 | 0,913 8 | 0,911 9 | 0,909 9 | 0,907 9 | 0,905 9 |
+/- 0,2 | 0,903 9 | 0,900 7 | 0,898 9 | 0,897 0 | 0,894 6 | 0,890 6 | 0,887 8 | 0,885 5 | 0,882 6 | 0,878 5 |
+/- 0,3 | 0,875 6 | 0,872 3 | 0,867 9 | 0,864 1 | 0,860 1 | 0,856 2 | 0,851 9 | 0,847 1 | 0,841 4 | 0,837 4 |
+/- 0,4 | 0,833 3 | 0,828 3 | 0,822 6 | 0,816 9 | 0,811 9 | 0,805 9 | 0,799 9 | 0,793 3 | 0,785 3 | 0,779 3 |
+/- 0,5 | 0,773 9 | 0,766 9 | 0,759 9 | 0,753 1 | 0,746 3 | 0,738 8 | 0,731 9 | 0,723 7 | 0,715 7 | 0,707 7 |
+/- 0,6 | 0,699 9 | 0,689 1 | 0,680 2 | 0,672 3 | 0,667 0 | 0,659 5 | 0,648 8 | 0,638 6 | - | - |
Пример - Для среднего значения +/- 0,520 кПа максимально допустимое среднеквадратическое отклонение 0,759 кПа |
Пример 4 - m = 85 для СФИГМОМАНОМЕТРОВ, предназначенных для взрослых ПАЦИЕНТОВ или подростков (исследование на 85 субъектах).
Пример 5 - m = 85 для СФИГМОМАНОМЕТРОВ, предназначенных для взрослых ПАЦИЕНТОВ или подростков и детей в возрасте от 3 до 12 лет (исследование на 85 субъектах).
Пример 6 - m = 35 для СФИГМОМАНОМЕТРОВ, предназначенных для специального ПРЕДУСМОТРЕННОГО ПРИМЕНЕНИЯ (исследование на 35 субъектах). Когда СФИГМОМАНОМЕТР прошел КЛИНИЧЕСКОЕ ИСПЫТАНИЕ на отдельных 85 субъектах в соответствии с 5.1.1 и 5.2.
Пример 7 - m = 85 для СФИГМОМАНОМЕТРОВ, предназначенных только для специального ПРЕДУСМОТРЕННОГО ПРИМЕНЕНИЯ (исследование на 85 субъектах).
Соответствие устанавливают путем проверки ОТЧЕТА О КЛИНИЧЕСКИХ ИСПЫТАНИЯХ.
5.2.4.2* Метод одновременного определения на противоположных руках
a) Исходная сторона при измерении ИСПЫТУЕМЫМ СФИГМОМАНОМЕТРОМ и ЭТАЛОННЫМ СФИГМОМАНОМЕТРОМ должна отличаться у разных субъектов.
Выполняют следующие действия:
b)
Наблюдатели одновременно определяют значение АРТЕРИАЛЬНОГО ДАВЛЕНИЯ субъекта на противоположных руках при помощи ЭТАЛОННОГО СФИГМОМАНОМЕТРА и ИСПЫТУЕМОГО СФИГМОМАНОМЕТРА (см. рисунок 2).
1 - двойной стетоскоп; 2 - дисплей ЭТАЛОННОГО
СФИГМОМАНОМЕТРА; 3 - ручной нагнетатель воздуха ЭТАЛОННОГО
СФИГМОМАНОМЕТРА, 4 - ИСПЫТУЕМЫЙ СФИГМОМАНОМЕТР
Рисунок 2 - Иллюстрация метода одновременного
определения на противоположных руках
c) Эти данные не используются при определении точности.
d) Очищают память ИСПЫТУЕМОГО СФИГМОМАНОМЕТРА от значений предыдущего ОПРЕДЕЛЕНИЯ.
Примеры - Выключение и включение питания, удаление и восстановление модуля АРТЕРИАЛЬНОГО ДАВЛЕНИЯ или запуск команды перезагрузки являются методами очистки памяти от предыдущих ОПРЕДЕЛЕНИЙ.
e)
Меняют руки для ЭТАЛОННОГО СФИГМОМАНОМЕТРА и ИСПЫТУЕМОГО СФИГМОМАНОМЕТРА.
f) Выжидают не менее 60 с со времени завершения предыдущего ЭТАЛОННОГО ОПРЕДЕЛЕНИЯ или показания.
g)
Наблюдатели при помощи ЭТАЛОННОГО СФИГМОМАНОМЕТРА и ИСПЫТУЕМОГО СФИГМОМАНОМЕТРА одновременно определяют АРТЕРИАЛЬНОЕ ДАВЛЕНИЕ субъекта на противоположных руках.
h) Если наблюдатели не выполнили успешно снятие показаний с ЭТАЛОННОГО СФИГМОМАНОМЕТРА и ИСПЫТУЕМОГО СФИГМОМАНОМЕТРА, ожидают не менее 60 с и повторяют всю процедуру на той же руке (то есть без изменения стороны рук).
i)
Повторяют действия по пунктам e) - g), пока не будет выполнено шесть парных ОПРЕДЕЛЕНИЙ.
j)
Повторяют действия по пунктам b) - i), пока не будет получено необходимое количество достоверных результатов ОПРЕДЕЛЕНИЙ по субъектам.
k) Все данные от субъекта должны быть исключены, если:
1) любые два значения ЭТАЛОННОГО СИСТОЛИЧЕСКОГО ДАВЛЕНИЯ на одной и той же руке отличаются более, чем на 12 мм рт. ст. (1,60 кПа);
2) любые два значения ЭТАЛОННОГО ДИАСТОЛИЧЕСКОГО ДАВЛЕНИЯ на одной и той же руке отличаются более, чем на 8 мм рт. ст. (1,07 кПа);
3) перепад значений ЭТАЛОННОГО СИСТОЛИЧЕСКОГО ДАВЛЕНИЯ превышает 15 мм рт. ст. (2,00 кПа), или
4) перепад значений ЭТАЛОННОГО ДИАСТОЛИЧЕСКОГО ДАВЛЕНИЯ превышает 10 мм рт. ст. (1,33 кПа).
l) Перепад
LD вычисляют отдельно для СИСТОЛИЧЕСКОГО И ДИАСТОЛИЧЕСКОГО ДАВЛЕНИЯ по
формуле (9)

, (9)
где

и

- это ЭТАЛОННОЕ АРТЕРИАЛЬНОЕ ДАВЛЕНИЕ в правой (R) и левой (L) руке соответственно.
Соответствие устанавливают путем проверки ОТЧЕТА О КЛИНИЧЕСКИХ ИСПЫТАНИЯХ.
a) Погрешность ИСПЫТУЕМОГО СФИГМОМАНОМЕТРА
x вычисляют методом сложения разницы между значением АРТЕРИАЛЬНОГО ДАВЛЕНИЯ ИСПЫТУЕМОГО СФИГМОМАНОМЕТРА и значением АРТЕРИАЛЬНОГО ДАВЛЕНИЯ ЭТАЛОННОГО СФИГМОМАНОМЕТРА, и перепада
LD в соответствии с
формулой (10), если значение АРТЕРИАЛЬНОГО ДАВЛЕНИЯ ИСПЫТУЕМОГО СФИГМОМАНОМЕТРА было получено на левой руке, или методом вычитания перепада
LD в соответствии с
формулой (11), если значение АРТЕРИАЛЬНОГО ДАВЛЕНИЯ ИСПЫТУЕМОГО СФИГМОМАНОМЕТРА было получено на правой руке:
x =
pSUT_L -
pREF_R +
LD, (10)
x =
pSUT_R -
pREF_L -
LD, (11)
где pSUT_R и pSUT_L - АРТЕРИАЛЬНОЕ ДАВЛЕНИЕ ИСПЫТУЕМОГО СФИГМОМАНОМЕТРА на правой (R) руке и левой (L) руке, соответственно.
b) ИСПЫТУЕМЫЙ СФИГМОМАНОМЕТР должен отвечать следующим двум критериям
1) Для СИСТОЛИЧЕСКОГО и ДИАСТОЛИЧЕСКОГО ДАВЛЕНИЯ средняя разница определения xn для отдельных парных ОПРЕДЕЛЕНИЙ ИСПЫТУЕМЫМ СФИГМОМАНОМЕТРОМ и ЭТАЛОННЫМ СФИГМОМАНОМЕТРОМ для всех субъектов должна:
I) по
формуле (12) быть в пределах или равна 5,0 мм рт. ст. (+/- 0,67 кПа) со среднеквадратическим отклонением
xn;
II) по
формуле (13) быть не более 8,0 мм рт. ст. (1,07 кПа) при величине стандартного отклонения
sn:

, (12)

, (13)
где
xi -
погрешность ИСПЫТУЕМОГО СФИГМОМАНОМЕТРА, вычисленная по
формулам (10) и
(11);
n - количество ОПРЕДЕЛЕНИЙ;
i - индекс отдельного элемента.
Пример 1 - n = 510 для СФИГМОМАНОМЕТРОВ, предназначенных для взрослых ПАЦИЕНТОВ или подростков (исследование на 85 субъектах).
Пример 2 - n = 510 для СФИГМОМАНОМЕТРОВ, предназначенных для взрослых ПАЦИЕНТОВ или подростков и детей в возрасте от 3 до 12 лет (исследование на 85 субъектах).
Пример 3 - n = 210 для СФИГМОМАНОМЕТРОВ, предназначенных (дополнительно) для специального ПРЕДУСМОТРЕННОГО ПРИМЕНЕНИЯ (исследование на 35 субъектах), когда СФИГМОМАНОМЕТР прошел клиническое исследование на 85 субъектах в соответствии с 5.1.1 и 5.2.
1) Для среднего значения СИСТОЛИЧЕСКОГО и ДИАСТОЛИЧЕСКОГО ДАВЛЕНИЯ для каждого субъекта стандартное отклонение sm усредненного парного ОПРЕДЕЛЕНИЯ для субъекта на ИСПЫТУЕМОМ СФИГМОМАНОМЕТРЕ и ЭТАЛОННОМ СФИГМОМАНОМЕТРЕ, на каждого субъекта, должно отвечать критериям, перечисленным:

, (14)
где

- среднее значение разницы между всеми субъектами, вычисленное по
формуле (12);
m - число субъектов;
j - индекс отдельного элемента;
xj - среднее значение разницы между субъектами, вычисленное по
формуле (15)

, (15)
где
xk - погрешность ИСПЫТУЕМОГО СФИГМОМАНОМЕТРА для каждого субъекта, вычисленная по
формулам (10) и
(11);
k - индекс отдельного элемента.
Пример 4 - m = 85 для СФИГМОМАНОМЕТРОВ, предназначенных для взрослых ПАЦИЕНТОВ или подростков (исследование на 85 субъектах).
Пример 5 - m = 85 для СФИГМОМАНОМЕТРОВ, предназначенных для взрослых ПАЦИЕНТОВ или подростков и детей в возрасте от 3 до 12 лет (исследование на 85 субъектах).
Пример 6 - m = 35 для СФИГМОМАНОМЕТРОВ, предназначенных (дополнительно) для специального ПРЕДУСМОТРЕННОГО ПРИМЕНЕНИЯ (исследование на 35 субъектах), когда СФИГМОМАНОМЕТР прошел КЛИНИЧЕСКОЕ ИСПЫТАНИЕ на отдельных 85 субъектах в соответствии с 5.1.1 и 5.2.
Пример 7 - m = 85 для СФИГМОМАНОМЕТРОВ, предназначенных только для специального ПРЕДУСМОТРЕННОГО ПРИМЕНЕНИЯ (исследование на 85 субъектах).
Соответствие устанавливают путем проверки ОТЧЕТА О КЛИНИЧЕСКИХ ИСПЫТАНИЯХ.
5.2.5* Дополнительные требования к СФИГМОМАНОМЕТРАМ, предназначенным для использования в условиях тестов с физической нагрузкой
a) Для СФИГМОМАНОМЕТРОВ, предназначенных для использования в условиях физической нагрузки, должно быть проведено дополнительное КЛИНИЧЕСКОЕ ИСПЫТАНИЕ.
1) Во время этого КЛИНИЧЕСКОГО ИСПЫТАНИЯ субъекты должны подвергаться динамической (аэробной) нагрузке на велоэргометре, чтобы увеличить частоту их сердечных сокращений, как минимум, на 30% по сравнению с частотой сердечных сокращений состояния покоя.
2) Фиксируют частоту сердечных сокращений в состоянии покоя.
3) Фиксируют частоту сердечных сокращений для каждого ОПРЕДЕЛЕНИЯ.
4) Рука, используемая для снятия ЭТАЛОННЫХ показаний, должна иметь опору.
5) МАНЖЕТА должна находиться на уровне левого желудочка во время снятия ЭТАЛОННОГО показания и ОПРЕДЕЛЕНИЯ АРТЕРИАЛЬНОГО ДАВЛЕНИЯ.
b) Может быть использован любой из методов КЛИНИЧЕСКОГО ИСПЫТАНИЯ, описанных в
5.2.4.
1) В КЛИНИЧЕСКОМ ИСПЫТАНИИ должно участвовать не менее 35 субъектов.
2) Исследование в условиях физической нагрузки должно быть освобождено от требований
5.1.1,
5.1.3,
5.1.4 и
5.1.5.
3) Не менее 10% субъектов должны иметь СИСТОЛИЧЕСКОЕ ДАВЛЕНИЕ покоя >= 140 мм рт. ст. (18,66 кПа).
4) Нет необходимости оценивать исследования в условиях физической нагрузки с применением критерия 2 в
5.2.4.1.2 или
5.2.4.2.2.
c) Для метода последовательных замеров на той же руке
5.2.4.1 заменяют критерий исключения изменений ЭТАЛОННОГО АРТЕРИАЛЬНОГО ДАВЛЕНИЯ
5.2.4.1.1, n) следующим:
1) Данные по любому субъекту должны быть исключены, если любые два последовательных:
I) показания ЭТАЛОННОГО СИСТОЛИЧЕСКОГО ДАВЛЕНИЯ отличаются более, чем на 8 мм рт. ст. (1,07 кПа); или
II) показания ЭТАЛОННОГО ДИАСТОЛИЧЕСКОГО ДАВЛЕНИЯ отличаются более, чем на 6 мм рт. ст. (0,80 кПа).
2) Субъект может быть не исключен из процедуры КЛИНИЧЕСКОГО ИСПЫТАНИЯ, а серия ЭТАЛОННЫХ показаний и ОПРЕДЕЛЕНИЙ может быть продолжена.
3) Не обязательно повторять процедуру снятия первоначальных ЭТАЛОННЫХ показаний и ОПРЕДЕЛЕНИЙ в состоянии покоя.
Соответствие устанавливают путем проверки ОТЧЕТА О КЛИНИЧЕСКИХ ИСПЫТАНИЯХ.
5.2.6* Дополнительные требования к СФИГМОМАНОМЕТРАМ, предназначенным для использования при амбулаторном наблюдении
a) Для СФИГМОМАНОМЕТРОВ, предназначенных для использования в целях амбулаторного контроля, должно быть проведено дополнительное КЛИНИЧЕСКОЕ ИСПЫТАНИЕ.
1) Во время этого КЛИНИЧЕСКОГО ИСПЫТАНИЯ субъекты должны подвергаться динамической (аэробной) нагрузке на велоэргометре так, чтобы частота их сердечных сокращений увеличилась не менее, чем на 15% относительно частоты сердечных сокращений состояния покоя.
2) Частота сердечных сокращений состояния покоя должна быть зафиксирована.
3) Частота сердечных сокращений для каждого ОПРЕДЕЛЕНИЯ должна быть зафиксирована.
4) Во время снятия ЭТАЛОННОГО показания и ОПРЕДЕЛЕНИЯ ИСПЫТУЕМОГО СФИГМОМАНОМЕТРА локоть и предплечье руки должны иметь опору.
5) МАНЖЕТА должна находиться на уровне левого желудочка сердца во время снятия ЭТАЛОННОГО показания и ОПРЕДЕЛЕНИЯ АРТЕРИАЛЬНОГО ДАВЛЕНИЯ.
b) Любой из методов КЛИНИЧЕСКОГО ИСПЫТАНИЯ, описанный в
5.2.4, может быть применен.
1) КЛИНИЧЕСКОЕ ИСПЫТАНИЕ должно охватывать не менее 35 субъектов.
2) Исследования в рамках амбулаторного наблюдения освобождаются от требований
5.1.1,
5.1.3,
5.1.4 и
5.1.5.
3) Не менее 30% субъектов должны иметь СИСТОЛИЧЕСКОЕ ДАВЛЕНИЕ > 140 мм рт. ст. (18,66 кПа).
4) Исследования в рамках амбулаторного наблюдения освобождаются от критериев приемлемости 2
5.2.4.1.2 или
5.2.4.2.2.
c) Для метода последовательного замера на той же руке согласно
5.2.4.1 критерий исключения изменений ЭТАЛОННОГО АРТЕРИАЛЬНОГО ДАВЛЕНИЯ
5.2.4.2.1 заменяют на следующее:
1) Данные по субъекту исключаются, если любые два последовательных:
I) показания ЭТАЛОННОГО СИСТОЛИЧЕСКОГО ДАВЛЕНИЯ различаются более, чем на 8 мм рт. ст. (1,07 кПа); или
II) показания ЭТАЛОННОГО ДИАСТОЛИЧЕСКОГО ДАВЛЕНИЯ различаются более, чем на 6 мм рт. ст. (0,80 кПа).
2) Субъект может быть не исключен из процедуры КЛИНИЧЕСКОГО ИСПЫТАНИЯ, а серия ЭТАЛОННЫХ показаний и ОПРЕДЕЛЕНИЙ может быть продолжена.
3) Не обязательно повторять процедуру снятия первоначальных ЭТАЛОННЫХ показаний и ОПРЕДЕЛЕНИЙ в состоянии покоя.
Соответствие устанавливают путем проверки ОТЧЕТА О КЛИНИЧЕСКИХ ИСПЫТАНИЯХ.
6 КЛИНИЧЕСКОЕ ИСПЫТАНИЕ с ЭТАЛОННЫМ ПРИБОРОМ ДЛЯ ИНВАЗИВНОГО МОНИТОРИНГА ДАВЛЕНИЯ КРОВИ
6.1 Требования к субъектам
a) Любое КЛИНИЧЕСКОЕ ИСПЫТАНИЕ с ЭТАЛОННЫМ ПРИБОРОМ ДЛЯ ИНВАЗИВНОГО МОНИТОРИНГА ДАВЛЕНИЯ КРОВИ должно включать не менее 15 субъектов.
b) Для каждого субъекта должно быть проведено не более 10 достоверных измерений АРТЕРИАЛЬНОГО ДАВЛЕНИЯ.
c) При КЛИНИЧЕСКОМ ИСПЫТАНИИ должно быть проведено не менее 150 достоверных измерений АРТЕРИАЛЬНОГО ДАВЛЕНИЯ.
Соответствие устанавливают путем проверки ОТЧЕТА О КЛИНИЧЕСКИХ ИСПЫТАНИЯХ.
6.1.2* Распределение по полу
Измерения должны быть проведены с участием:
a) не менее 30% субъектов-мужчин, и
b) не менее 30% субъектов-женщин.
Соответствие устанавливают путем проверки ОТЧЕТА О КЛИНИЧЕСКИХ ИСПЫТАНИЯХ.
6.1.3* Распределение по возрастам
6.1.3.1 СФИГМОМАНОМЕТРЫ, предназначенные для использования у взрослых, подростков или детей
a) Для СФИГМОМАНОМЕТРОВ, предназначенных для взрослых ПАЦИЕНТОВ или ПАЦИЕНТОВ подросткового возраста, возраст ПАЦИЕНТОВ, включенных в исследования, должен быть более 12 лет.
Примечание 1 - Всего минимум 15 субъектов и 150 ОПРЕДЕЛЕНИЙ.
b) Для СФИГМОМАНОМЕТРОВ, дополнительно предназначенных для использования у детей, в КЛИНИЧЕСКОЕ ИСПЫТАНИЕ должны быть дополнительно включены не менее 5 детей в возрасте от 3 до 12 лет.
Примечание 2 - Всего минимум 20 субъектов и 200 ОПРЕДЕЛЕНИЙ.
c) Для СФИГМОМАНОМЕТРОВ, дополнительно предназначенных для использования у детей, должен быть объединен анализ данных (см.
6.2.6) взрослых, подростков и детей.
d) Дети освобождаются от требований к распределению АРТЕРИАЛЬНОГО ДАВЛЕНИЯ по
6.1.5.
Соответствие устанавливают путем проверки ЭКСПЛУАТАЦИОННОГО ДОКУМЕНТА и ОТЧЕТА О КЛИНИЧЕСКИХ ИСПЫТАНИЯХ.
6.1.3.2 СФИГМОМАНОМЕТР для новорожденных или младенцев
a) СФИГМОМАНОМЕТРЫ, предназначенные для использования у новорожденных, младенцев или детей младше 3 лет, должны быть исследованы на такой выборке ПАЦИЕНТОВ.
b) Для КЛИНИЧЕСКИХ ИСПЫТАНИЙ у новорожденных требуются следующие диапазоны возраста и массы тела:
1) Не менее 3 ПАЦИЕНТОВ должны иметь массу менее 1000 г.
2) Не менее 3 ПАЦИЕНТОВ должны иметь массу от 1000 до 2000 г.
3) Не менее 3 ПАЦИЕНТОВ должны иметь массу более 2000 г.
4) Не менее 3 ПАЦИЕНТОВ должны иметь возраст более 29 дней и менее 1 года.
5) Не менее 3 ПАЦИЕНТОВ должны иметь возраст более 1 года и менее 3 лет.
6) Оставшиеся ПАЦИЕНТЫ могут быть из любой перечисленной выше группы возрастов или массы для того, чтобы достигнуть размера выборки 18 ПАЦИЕНТОВ.
Примечание 1 - Всего минимум 18 ПАЦИЕНТОВ и 180 ОПРЕДЕЛЕНИЙ.
Примечание 2 - ПАЦИЕНТ может одновременно находиться более чем в одной категории.
c) Новорожденные, младенцы и дети возрастом менее 3 лет освобождаются от
1) требований
6.1.5 к распределению АРТЕРИАЛЬНОГО ДАВЛЕНИЯ,
2) требований
6.1.2 к распределению по полу, и
3) требований
6.1.4 к распределению по размерам конечностей.
Соответствие устанавливают путем проверки ЭКСПЛУАТАЦИОННОГО ДОКУМЕНТА и ОТЧЕТА О КЛИНИЧЕСКИХ ИСПЫТАНИЯХ.
6.1.4 Распределение по охвату конечностей a) охваты конечностей распределяются следующим образом: 1) не менее 20% испытуемых должны иметь охват конечности, который находится в пределах каждой четверти ПОЛНОГО ДИАПАЗОНА ОХВАТОВ КОНЕЧНОСТЕЙ; 2) не менее 10% испытуемых должны иметь охват конечности, который находится в пределах наибольшего октиля от ПОЛНОГО ДИАПАЗОНА ОХВАТОВ КОНЕЧНОСТЕЙ; и 3) не менее 10% испытуемых должны иметь охват конечности, который находится в пределах наименьшего октиля от ПОЛНОГО ДИАПАЗОНА ОХВАТОВ КОНЕЧНОСТЕЙ; b) кроме того, для СФИГМОМАНОМЕТРА, предназначенного для использования с несколькими размерами МАНЖЕТЫ, каждая манжета должна быть испытана по меньшей мере на Ncuff субъектах согласно формуле (1); c) ОТЧЕТ О КЛИНИЧЕСКОМ ИСПЫТАНИИ должен содержать установленный диапазон охватов руки каждой МАНЖЕТЫ в сантиметрах (дюймах); d) ОТЧЕТ О КЛИНИЧЕСКОМ ИСПЫТАНИИ должен содержать графики, показывающие все результаты испытания по охвату руки, где ось Y показывает разницу между ИСПЫТУЕМЫМ СФИГМОМАНОМЕТРОМ и ЭТАЛОННЫМИ ЗНАЧЕНИЯМИ АРТЕРИАЛЬНОГО ДАВЛЕНИЯ, а ось X показывает фактический охват руки испытуемых. e) На этих графиках также должны быть указаны границы каждой МАНЖЕТЫ с помощью вертикальных линий. f) Графики должны быть предоставлены для: 1) СИСТОЛИЧЕСКОГО ДАВЛЕНИЯ; и 2) ДИАСТОЛИЧЕСКОГО ДАВЛЕНИЯ. Соответствие устанавливают путем проверки ОТЧЕТА О КЛИНИЧЕСКИХ ИСПЫТАНИЯХ. |
6.1.5 Распределение АРТЕРИАЛЬНОГО ДАВЛЕНИЯ
a) Не менее 10% субъектов должны иметь ЭТАЛОННОЕ СИСТОЛИЧЕСКОЕ ДАВЛЕНИЕ <= 100 мм рт. ст. (13,33 кПа).
b) Не менее 10% субъектов должны иметь ЭТАЛОННОЕ СИСТОЛИЧЕСКОЕ ДАВЛЕНИЕ >= 160 мм рт. ст. (21,33 кПа).
c) Не менее 10% субъектов должны иметь ЭТАЛОННОЕ ДИАСТОЛИЧЕСКОЕ ДАВЛЕНИЕ <= 70 мм рт. ст. (9,33 кПа).
d) Не менее 10% субъектов должны иметь ЭТАЛОННОЕ ДИАСТОЛИЧЕСКОЕ ДАВЛЕНИЕ >= 85 мм рт. ст. (11,33 кПа).
e) Дополнительные ЭТАЛОННЫЕ измерения могут быть выполнены перед исследованием для помощи в определении критерия включения.
Соответствие устанавливают путем проверки ОТЧЕТА О КЛИНИЧЕСКИХ ИСПЫТАНИЯХ.
6.1.6 Специальные выборки субъектов
a) СФИГМОМАНОМЕТРЫ, предназначенные для использования в специальных выборках ПАЦИЕНТОВ, если существуют ОБЪЕКТИВНЫЕ СВИДЕТЕЛЬСТВА, что точность СФИГМОМАНОМЕТРА может быть проблематичной в этих выборках ПАЦИЕНТОВ, должны пройти КЛИНИЧЕСКОЕ ИСПЫТАНИЕ в этих выборках ПАЦИЕНТОВ.
Примечание - В
разделе 7 приведен конкретный пример специальной выборки ПАЦИЕНТОВ.
b) Если СФИГМОМАНОМЕТРЫ прошли КЛИНИЧЕСКОЕ ИСПЫТАНИЕ в соответствии с требованиями
6.1.1, то в КЛИНИЧЕСКОЕ ИСПЫТАНИЕ необходимо включить только семь дополнительных субъектов специальной выборки.
Примечание - Общее минимальное количество - 22 ПАЦИЕНТА и 220 ОПРЕДЕЛЕНИЙ.
c) В противном случае КЛИНИЧЕСКОЕ ИСПЫТАНИЕ в соответствии с требованиями
6.1.1 должно состоять только из ПАЦИЕНТОВ из специальной выборки.
Соответствие устанавливают путем проверки ЭКСПЛУАТАЦИОННОГО ДОКУМЕНТА и ОТЧЕТА О КЛИНИЧЕСКИХ ИСПЫТАНИЯХ.
6.2 Методы КЛИНИЧЕСКОГО ИСПЫТАНИЯ с ЭТАЛОННЫМ ПРИБОРОМ ДЛЯ ИНВАЗИВНОГО МОНИТОРИНГА ДАВЛЕНИЯ КРОВИ
6.2.1* ЭТАЛОННОЕ измерение
a) ЭТАЛОННЫЙ ПРИБОР ДЛЯ ИНВАЗИВНОГО МОНИТОРИНГА ДАВЛЕНИЯ КРОВИ должен соответствовать требованиям IEC 60601-2-34:2011, за исключением того, что максимально допустимая погрешность должна быть +/- 2 мм рт. ст. (+/- 0,27 кПа).
b) Должны быть определены резонансная частота и коэффициент затухания ЭТАЛОННОГО ПРИБОРА ДЛЯ ИНВАЗИВНОГО МОНИТОРИНГА ДАВЛЕНИЯ КРОВИ.
Примечание 1 - Рекомендации
[9] и
[23] содержат дополнительную информацию относительно характеристик ПРИБОРА ДЛЯ ИНВАЗИВНОГО МОНИТОРИНГА ДАВЛЕНИЯ КРОВИ.
c) Преобразователь для:
1) внутриартериального катетера, и
2) МАНЖЕТЫ ИСПЫТУЕМОГО СФИГМОМАНОМЕТРА
оба должны располагаться на уровне левого желудочка сердца.
d) Если только ИСПЫТУЕМЫЙ СФИГМОМАНОМЕТР не предназначен для использования при клинически существенном нерегулярном ритме сердца или ЭТАЛОННАЯ внутриартериальная запись показывает наличие существенно нерегулярного ритма сердца, эта запись внутриартериального ДАВЛЕНИЯ КРОВИ и соответствующее определение АРТЕРИАЛЬНОГО ДАВЛЕНИЯ ИСПЫТУЕМЫМ СФИГМОМАНОМЕТРОМ должны быть исключены.
1) Записи значений внутриартериального ДАВЛЕНИЯ КРОВИ должны быть проверены на наличие аритмии согласно критерию исключения ИЗГОТОВИТЕЛЯ ИСПЫТУЕМОГО СФИГМОМАНОМЕТРА.
2) В инструкции по эксплуатации должно быть сказано, что эффективность данного СФИГМОМАНОМЕТРА при наличии любой аритмии, включенной в критерий исключения, не была установлена.
3) Влияние единичных желудочковых экстрасистол (VPB) может быть нивелировано путем удаления пульсовых колебаний АРТЕРИАЛЬНОГО ДАВЛЕНИЯ, связанных с VPB, и последующим компенсирующим циклом.
Примеры - Бигеминия, тригеминия, единичные VPB, мерцательная аритмия (трепетание предсердий).
Примечание 2 - Хотя КЛИНИЧЕСКОЕ ИСПЫТАНИЕ АРТЕРИАЛЬНОГО ДАВЛЕНИЯ у ПАЦИЕНТОВ с мерцательной аритмией (трепетанием предсердий) клинически важно, в настоящее время отсутствуют общепринятые руководящие указания по определению АРТЕРИАЛЬНОГО ДАВЛЕНИЯ у таких лиц.
6.2.2* Место (артерия) ЭТАЛОННОГО ИЗМЕРЕНИЯ
a) Не исключается никакая артерия, но в инструкции по эксплуатации СФИГМОМАНОМЕТРА должна быть указана та артерия, которая используется как ЭТАЛОННАЯ.
Примечание - Различные артерии приводят к различным результатам из-за разницы давлений в центральной аорте и других артериях.
b) Части на той же руке, центральные, подключичные, бедренные могут использоваться для одновременного сравнения записей данных внутриартериального ДАВЛЕНИЯ КРОВИ и определения АРТЕРИАЛЬНОГО ДАВЛЕНИЯ ИСПЫТУЕМЫМ СФИГМОМАНОМЕТРОМ.
1) Артериальный преобразователь следует располагать на уровне левого желудочка сердца.
2) ЭТАЛОННАЯ часть может быть на противоположной конечности.
3) Если используется противоположная конечность, результаты должны корректироваться на величину перепада.
4) В
формуле (A.1) приводится пример неинвазивного метода корректировки.
5) Для определения перепада могут использоваться одновременные неинвазивные аускультивные измерения, полученные наблюдателями.
6) Перепад АРТЕРИАЛЬНОГО ДАВЛЕНИЯ должен быть вычислен до получения инвазивных данных.
7) Все данные субъекта должны быть исключены из клинического исследования, если:
I) перепад показаний ЭТАЛОННОГО СИСТОЛИЧЕСКОГО ДАВЛЕНИЯ превышает 15 мм рт. ст. (2,00 кПа); или
II) перепад показаний ЭТАЛОННОГО ДИАСТОЛИЧЕСКОГО ДАВЛЕНИЯ превышает 10 мм рт. ст. (1,33 кПа).
Примечание - Для ИСПЫТУЕМОГО СФИГМОМАНОМЕТРА, в котором используется место измерения, отличное от конечности, можно игнорировать показатели перепада. Однако в настоящее время Комитет по стандартизации не имеет достаточно информации для того, чтобы сделать выводы в отношении всех будущих ИСПЫТУЕМЫХ СФИГМОМАНОМЕТРОВ.
Соответствие устанавливают путем проверки ЭКСПЛУАТАЦИОННОГО ДОКУМЕНТА и ОТЧЕТА О КЛИНИЧЕСКИХ ИСПЫТАНИЯХ.
a) Должны быть предприняты соответствующие меры для удаления воздушных пузырьков и тромбов из системы перед проведением ЭТАЛОННОГО измерения.
Примечание - Возможность точного измерения внутриартериального ДАВЛЕНИЯ КРОВИ может снижаться в присутствии воздушных пузырьков или сгустков крови в системе катетер/преобразователь.
Выполняют следующие действия:
b)
Наблюдатели определяют АРТЕРИАЛЬНОЕ ДАВЛЕНИЕ при помощи ИСПЫТУЕМОГО СФИГМОМАНОМЕТРА.
c) Очищают память ИСПЫТУЕМОГО СФИГМОМАНОМЕТРА от предыдущих ОПРЕДЕЛЕНИЙ и затем ожидают не менее 3 мин.
Пример - Выключение и включение питания, удаление и восстановление модуля АРТЕРИАЛЬНОГО ДАВЛЕНИЯ или запуск команды перезагрузки являются методами очистки памяти от предыдущих ОПРЕДЕЛЕНИЙ.
d)
При определении точности не используют данные, полученные в b).
e)
При каждой соответствующей процедуре измерения начинают запись показаний ЭТАЛОННОГО ПРИБОРА ДЛЯ ИНВАЗИВНОГО МОНИТОРИНГА ДАВЛЕНИЯ КРОВИ, как минимум, за 40 с до того, как ИСПЫТУЕМЫЙ СФИГМОМАНОМЕТР начнет нагнетать воздух в МАНЖЕТУ для определения АРТЕРИАЛЬНОГО ДАВЛЕНИЯ субъекта. Останавливают режим записи ЭТАЛОННОГО ПРИБОРА ДЛЯ ИНВАЗИВНОГО МОНИТОРИНГА ДАВЛЕНИЯ КРОВИ не раньше, чем через 40 с после того, как будет выпущен воздух из манжеты ИСПЫТУЕМОГО СФИГМОМАНОМЕТРА.
Примечание - Допустимо, чтобы режим записи ЭТАЛОННОГО ПРИБОРА ДЛЯ ИНВАЗИВНОГО МОНИТОРИНГА ДАВЛЕНИЯ КРОВИ был включенным в течение всего периода исследования АРТЕРИАЛЬНОГО ДАВЛЕНИЯ субъекта.
f)
Между определениями делают выдержку не менее 60 с или 3 мин для новорожденных ПАЦИЕНТОВ.
g)
Повторяют действия по пунктам e) и f) до тех пор, пока не будет получено необходимое количество записей и ОПРЕДЕЛЕНИЙ.
6.2.4* Определение ЭТАЛОННОГО АРТЕРИАЛЬНОГО ДАВЛЕНИЯ
a) Инвазивные значения СИСТОЛИЧЕСКОГО и ДИАСТОЛИЧЕСКОГО ДАВЛЕНИЯ должны быть определены на основании записей по
6.2.3. Среднее и экспериментальное стандартное отклонение СИСТОЛИЧЕСКОГО и ДИАСТОЛИЧЕСКОГО ДАВЛЕНИЯ определяют на основании записей.
b) В тех случаях, когда запись:
1) не прерывается по причине нагнетания воздуха в МАНЖЕТУ, диапазоны ЭТАЛОННОГО ДАВЛЕНИЯ КРОВИ определяют по показаниям инвазивного ДАВЛЕНИЯ КРОВИ в течение не менее 30 с, включая период ОПРЕДЕЛЕНИЯ ИСПЫТУЕМОГО СФИГМОМАНОМЕТРА;
2) прерывается по причине нагнетания воздуха в МАНЖЕТУ, диапазоны ЭТАЛОННОГО ДАВЛЕНИЯ КРОВИ определяют по показаниям инвазивного ДАВЛЕНИЯ КРОВИ в течение не менее 30 с (например, приблизительно от 40 с до 10 с) до начала нагнетания воздуха в МАНЖЕТУ.
c) ЭТАЛОННОЕ СИСТОЛИЧЕСКОЕ ДАВЛЕНИЕ определяют как диапазон в пределах +/- 1 от экспериментального стандартного отклонения от средних значений инвазивного АРТЕРИАЛЬНОГО ДАВЛЕНИЯ, полученных в процессе ОПРЕДЕЛЕНИЯ, выполненного ИСПЫТУЕМЫМ СФИГМОМАНОМЕТРОМ. ЭТАЛОННОЕ ДИАСТОЛИЧЕСКОЕ ДАВЛЕНИЕ определяют тем же методом.
Примечание - Эти диапазоны АРТЕРИАЛЬНОГО ДАВЛЕНИЯ (+/- 1 от экспериментального стандартного отклонения от среднего значения) представляют собой фактические колебания АРТЕРИАЛЬНОГО ДАВЛЕНИЯ, в то время как ИСПЫТУЕМЫЙ СФИГМОМАНОМЕТР определяет АРТЕРИАЛЬНОЕ ДАВЛЕНИЕ ПАЦИЕНТА. В результате погрешность ИСПЫТУЕМОГО СФИГМОМАНОМЕТРА считается равной 0 мм ср. ст. (0 кПа), когда ОПРЕДЕЛЕНИЕ находится в этих диапазонах.
d) Если только ИСПЫТУЕМЫЙ СФИГМОМАНОМЕТР не предусмотрен для использования в период существенного нарушения сердечного ритма и никаких критериев исключения нарушений сердечного ритма не установлено в инструкции по эксплуатации, во время записи:
1) все данные субъекта должны быть исключены, если диапазон инвазивного ЭТАЛОННОГО СИСТОЛИЧЕСКОГО ДАВЛЕНИЯ превышает 20 мм рт. ст. (2,67 кПа) или если диапазон инвазивного ЭТАЛОННОГО ДИАСТОЛИЧЕСКОГО ДАВЛЕНИЯ превышает 12 мм рт. ст. (1,6 кПа) во время или до ОПРЕДЕЛЕНИЯ при помощи ИСПЫТУЕМОГО СФИГМОМАНОМЕТРА; и
2) изолированная желудочковая экстрасистола должна быть учтена путем удаления пульсовых колебаний давления, связанных с ней, и последующего компенсаторного кардиоцикла.
e) Поскольку вычисление значения СРЕДНЕГО ДАВЛЕНИЯ на основании полученных записей требует специального алгоритма, диапазон СРЕДНЕГО ДАВЛЕНИЯ может:
1) считываться с ЭТАЛОННОГО ПРИБОРА ДЛЯ ИНВАЗИВНОГО МОНИТОРИНГА ДАВЛЕНИЯ КРОВИ; или
2) высчитываться вручную для каждого отдельного кардиоцикла с использованием площади, расположенной под кривой ДАВЛЕНИЯ КРОВИ, поделенной на продолжительность кардиоцикла.
f) Записывают диапазон изменения ЭТАЛОННОГО ДАВЛЕНИЯ КРОВИ для всех трех значений ДАВЛЕНИЯ КРОВИ (СИСТОЛИЧЕСКОЕ ДАВЛЕНИЕ, ДИАСТОЛИЧЕСКОЕ ДАВЛЕНИЕ, СРЕДНЕЕ ДАВЛЕНИЕ), как установлено в данном подпункте.
Соответствие устанавливают путем проверки ЭКСПЛУАТАЦИОННОГО ДОКУМЕНТА и ОТЧЕТА О КЛИНИЧЕСКИХ ИСПЫТАНИЯХ.
6.2.5 Определение погрешности измерения АРТЕРИАЛЬНОГО ДАВЛЕНИЯ
a) Если значение, полученное при ОПРЕДЕЛЕНИИ ИСПЫТУЕМЫМ СФИГМОМАНОМЕТРОМ, лежит в диапазоне ЭТАЛОННОГО ДАВЛЕНИЯ КРОВИ, как установлено в
6.2.4, то данному ОПРЕДЕЛЕНИЮ присваивается погрешность 0 мм рт. ст. (0 кПа).
b) Если значение, полученное при ОПРЕДЕЛЕНИИ ИСПЫТУЕМЫМ СФИГМОМАНОМЕТРОМ, лежит за пределами диапазона изменения ЭТАЛОННОГО ДАВЛЕНИЯ КРОВИ, как установлено в
6.2.4, то прилегающий предел диапазона ЭТАЛОННОГО ДАВЛЕНИЯ КРОВИ вычитают из ОПРЕДЕЛЕНИЯ ИСПЫТУЕМЫМ СФИГМОМАНОМЕТРОМ. Эта разность является погрешностью для данного ОПРЕДЕЛЕНИЯ.
Пример 1 - Диапазон изменений ЭТАЛОННОГО ДИАСТОЛИЧЕСКОГО ДАВЛЕНИЯ КРОВИ составляет от 73 мм рт. ст. (9,73 кПа) до 82 мм рт. ст. (10,93). Значение ДИАСТОЛИЧЕСКОГО ДАВЛЕНИЯ, определенное ИСПЫТУЕМЫМ СФИГМОМАНОМЕТРОМ, составляет 76 мм рт. ст. (10,13 кПа). Погрешность данного определения составляет 0 мм рт. ст. (0 кПа).
Пример 2 - Диапазон изменений ЭТАЛОННОГО ДИАСТОЛИЧЕСКОГО ДАВЛЕНИЯ КРОВИ составляет от 73 мм рт. ст. (9,73 кПа) до 82 мм рт. ст. (10,93). Значение ДИАСТОЛИЧЕСКОГО ДАВЛЕНИЯ, определенное ИСПЫТУЕМЫМ СФИГМОМАНОМЕТРОМ, составляет 70 мм рт. ст. (9,33 кПа). Погрешность данного определения составляет 3 мм рт. ст. (0,40 кПа).
c) На основании погрешностей каждого ОПРЕДЕЛЕНИЯ для каждого ПАЦИЕНТА и для каждого значения АРТЕРИАЛЬНОГО ДАВЛЕНИЯ (СИСТОЛИЧЕСКОЕ ДАВЛЕНИЕ, ДИАСТОЛИЧЕСКОЕ ДАВЛЕНИЕ, СРЕДНЕЕ ДАВЛЕНИЕ) вычисляют среднюю арифметическую величину погрешности и ее экспериментальное стандартное отклонение.
Для СИСТОЛИЧЕСКОГО и ДИАСТОЛИЧЕСКОГО ДАВЛЕНИЯ средняя погрешность определения

для
n-количества отдельных парных определений ИСПЫТУЕМЫМ СФИГМОМАНОМЕТРОМ, как установлено в
6.2.5 для всех субъектов, должна быть в пределах или равна +/- 5,0 мм рт. ст. (+/- 0,67 кПа), при экспериментальном стандартном отклонении
sn, не превышающем 8,0 мм рт. ст. (1,07 кПа) при вычислении по
формулам (16) и
(17):

, (16)

, (17)
где
xi - погрешность индивидуального ОПРЕДЕЛЕНИЯ, как установлено в
6.2.5;
n - общее количество ОПРЕДЕЛЕНИЙ;
i - индекс индивидуального ОПРЕДЕЛЕНИЯ.
Пример 1 - n = 150 для СФИГМОМАНОМЕТРОВ, предназначенных для взрослых ПАЦИЕНТОВ или подростков (исследование на 15 субъектах).
Пример 2 - n = 200 для СФИГМОМАНОМЕТРОВ, предназначенных для взрослых ПАЦИЕНТОВ или подростков и детей в возрасте от 3 до 12 лет (исследование на 20 субъектах).
6.2.7 СРЕДНЕЕ ДАВЛЕНИЕ (MAD)
Если СФИГМОМАНОМЕТР отображает значение СРЕДНЕГО ДАВЛЕНИЯ (MAD), в ЭКСПЛУАТАЦИОННОМ ДОКУМЕНТЕ должен быть указан метод определения и проверки СРЕДНЕГО ДАВЛЕНИЯ [см.
6.2.4, e)].
Соответствие устанавливают путем проверки ЭКСПЛУАТАЦИОННОГО ДОКУМЕНТА и ОТЧЕТА О КЛИНИЧЕСКИХ ИСПЫТАНИЯХ.
a) СФИГМОМАНОМЕТРЫ, предназначенные для беременных, должны пройти КЛИНИЧЕСКОЕ ИСПЫТАНИЕ на этой выборке.
b) Если СФИГМОМАНОМЕТРЫ прошли КЛИНИЧЕСКОЕ ИСПЫТАНИЕ в соответствии с требованиями, приведенными в
5.1 и
5.2, то они также должны пройти КЛИНИЧЕСКОЕ ИСПЫТАНИЕ в соответствии с
5.2 дополнительно с участием не менее 45 беременных.
c) Если СФИГМОМАНОМЕТРЫ прошли КЛИНИЧЕСКОЕ ИСПЫТАНИЕ в соответствии с требованиями, приведенными в
6.1 и
6.2, то они также должны пройти КЛИНИЧЕСКОЕ ИСПЫТАНИЕ в соответствии с
6.2 дополнительно с участием не менее 15 беременных.
d) Если СФИГМОМАНОМЕТРЫ не прошли успешное КЛИНИЧЕСКОЕ ИСПЫТАНИЕ в соответствии с требованиями, приведенными в
5.1 и
5.2 или
6.1 и
6.2, то должно быть проведено КЛИНИЧЕСКОЕ ИСПЫТАНИЕ в соответствии с
5.1.1 и
5.2 или
6.1.1 и
6.2 с участием только беременных.
e) Для КЛИНИЧЕСКИХ ИСПЫТАНИЙ на беременных выборка должна быть равномерно распределена с допуском +/- 1 субъекта исследования, по следующим трем подгруппам:
1) нормотензивные беременные, имеющие срок гестации более трех месяцев, с СИСТОЛИЧЕСКИМ ДАВЛЕНИЕМ менее 140 мм рт. ст. (18,66 кПа) и ДИАСТОЛИЧЕСКИМ ДАВЛЕНИЕМ менее 90 мм рт. ст. (12 кПа);
2) беременные с гипертензией, имеющие срок гестации более трех месяцев:
I) без протеинурии > 300 мг за 24 ч, и
II) с СИСТОЛИЧЕСКИМ ДАВЛЕНИЕМ >= 140 мм рт. ст. (18,66 кПа) или ДИАСТОЛИЧЕСКИМ ДАВЛЕНИЕМ выше 90 мм рт. ст. (12 кПа);
3) ПАЦИЕНТКИ с преэклампсией
I) с протеинурией > 300 мг за 24 ч, и
II) с СИСТОЛИЧЕСКИМ ДАВЛЕНИЕМ >= 140 мм рт. ст. (18,66 кПа) или ДИАСТОЛИЧЕСКИМ ДАВЛЕНИЕМ выше 90 мм рт. ст. (12 кПа).
f) Специалисты, несущие ответственность за состояние здоровья беременных, должны определять, насколько безопасно участие конкретных ПАЦИЕНТОК в КЛИНИЧЕСКИХ ИСПЫТАНИЯХ.
g) Анализ данных выполняют в соответствии с
5.2.4.1.2 или
5.2.4.2.2 на основании критерия 1 или
6.2.6, в зависимости от условий, совокупно по всем трем подгруппам.
h) Инструкция по эксплуатации СФИГМОМАНОМЕТРА, исследованного для работы с беременными, должна содержать информацию, что СФИГМОМАНОМЕТР подходит для использования беременными, включая беременных с преэклампсией.
i) Инструкция по эксплуатации СФИГМОМАНОМЕТРА, не исследованного для работы с беременными, должна содержать информацию, что результативность данного СФИГМОМАНОМЕТРА не определена для беременных, включая беременных с преэклампсией.
Соответствие устанавливают путем проверки инструкции по применению и ОТЧЕТА О КЛИНИЧЕСКИХ ИСПЫТАНИЯХ.
(справочное)
ОБОСНОВАНИЕ И РУКОВОДСТВО
A.1 Общие положения
В настоящем приложении изложены обоснования некоторых требований настоящего стандарта. Оно предназначено для тех, кто хорошо знаком с объектом настоящего стандарта, но не принимал участия в его разработке. Понимание причин, лежащих в основе основных требований, считается существенным для правильного применения настоящего стандарта. Кроме того, так как клиническая практика и технологии меняются, считается, что объяснение текущих требований облегчает последующий пересмотр настоящего стандарта, вызванный этим изменением.
Нумерация приведенного ниже обоснования соответствует нумерации разделов и подразделов настоящего стандарта. По этой причине она не будет последовательной.
Размер выборки, состоящей из 85 субъектов, был определен на основании статистики для нормального распределения.
Примечание 1 - В
ссылке [4] содержится дополнительная информация.
Доверительный интервал 98%

и статистическая значимость 95%

приводят к требованиям к размеру выборки, состоящей из 85 субъектов. Эти требования берут начало в ранней работе комитета по артериальному давлению AAMI (Ассоциация содействия развитию медицинской техники США), датированной 1987 годом.
Примечание 2 - В
ссылке [3] содержится дополнительная информация.
Дополнительно, размер выборки, состоящей из 85 субъектов, может быть определен на основании статистики для t-распределения. Доверительный интервал 95%

и статистическая значимость 98%

приводят к требованиям к размеру выборки, состоящей из 85 субъектов.
5.1.2 Распределение по полу
Хотя нет убедительных данных, что СФИГМОМАНОМЕТР работает по-разному у мужчин и женщин, некоторые исследования показывают, что может наблюдаться систематическая ошибка.
Если смещение и существует, оно скорее всего вызвано отличиями в охвате рук и распределении жировых отложений по телу. Настоящий стандарт уже содержит требование, чтобы ИСПЫТУЕМЫЙ СФИГМОМАНОМЕТР проходил испытания во всем диапазоне охвата рук. Требование по распределению по полу позволяет исследовать различия между полами без возникновения сложностей в выполнении.
5.1.3 Распределение по возрастам
Деление между детьми и взрослыми в возрасте 12 лет основано на единственной известной публикации, в которой сравниваются возможности использования либо четвертого или пятого тонов Короткова (К4, К5) для аускультативной оценки ДИАСТОЛИЧЕСКОГО ДАВЛЕНИЯ. В 1963 году Мосс и Адамс (Moss and Adams)
[14] провели исследование с целью определения наиболее подходящей оценки аортального ДАВЛЕНИЯ КРОВИ, измеренного во время катетеризации сердца, - К4 или К5. Данные показывали, что до возраста 13 (менее 12) лет К4 был выше. В 1987 году Рабочая группа по контролю артериального давления у детей
[6] изменила свои рекомендации, заявив, что К5 может использоваться у лиц старше 3 лет. К сожалению, эти рекомендации были даны без подтверждающих данных.
Во время периода роста в возрасте от 3 до 12 лет средний ребенок (50-й процентиль) прибавляет в росте с 93 - 96 см (в возрасте 3 лет) до 150 - 152 см (в возрасте 12 лет). В диапазоне между 3-м и 97-м процентилем может быть разница в 30 см (в возрасте 12 лет). Нормальный рост имеет явную линейную характеристику во время этого возрастного интервала, хотя дети имеют различные типы телосложения и, следовательно, охват руки существенно изменяется. Комитеты ISO/TC 121 и IEC/TC 62 не имели информации о каких-либо проведенных исследованиях продольных изменений охвата руки детей в возрасте от 3 до 12 лет. Так как точность неинвазивного АРТЕРИАЛЬНОГО ДАВЛЕНИЯ в большей степени зависит от охвата руки, чем роста от субъекта, комитет ISO/TC 121 посчитал более важным включить в стандарт все размеры МАНЖЕТЫ, а не возрастные категории детей. Например, "крупный" 6-летний ребенок может иметь существенно больший охват руки, чем "маленький" 9- или 10-летний ребенок.
Верхнее нормальное СИСТОЛИЧЕСКОЕ/ДИАСТОЛИЧЕСКОЕ ДАВЛЕНИЕ у детей увеличивается с приблизительного значения 114/66 мм рт. ст. (15,20/8,80 кПа) в возрасте 1 года до 135/91 мм рт. ст. (18,00/12,13 кПа) в возрасте 12 лет у самых высоких детей, прошедших обследование.
Примечание - В
ссылке [5] содержится дополнительная информация.
По этой причине было бы непрактично определять требования к "повышенным" значениям АРТЕРИАЛЬНОГО ДАВЛЕНИЯ, как это делается в исследованиях у взрослых. Кроме того, распространенность существенной гипертензии у детей очень мала, что делает требование наличия детей с гипертензией в КЛИНИЧЕСКИХ ИСПЫТАНИЯХ трудновыполнимым. Кроме того, значения СИСТОЛИЧЕСКОГО ДАВЛЕНИЯ и ДИАСТОЛИЧЕСКОГО ДАВЛЕНИЯ у младенцев с гипертензией соответствуют средним нормальным значениям для взрослых субъектов. Следовательно, ИСПЫТУЕМЫЙ СФИГМОМАНОМЕТР не вызывает существенных "сомнений" в вопросах точности для данного диапазона АРТЕРИАЛЬНОГО ДАВЛЕНИЯ. Исходя из этого комитеты ISO/TC 121 и IEC/TC 62 сочли, что не существует обоснованных причин требовать наличия детей с гипертензией в любых клинических исследованиях на детях младше 12 лет, и что детей старше 12 лет следует объединить со взрослыми при выполнении анализа данных.
5.1.6 Специальные выборки ПАЦИЕНТОВ
В некоторых выборках ПАЦИЕНТОВ обеспечение точности показаний СФИГМОМАНОМЕТРОВ может быть проблематичным. Это может быть вызвано такими характеристиками ПАЦИЕНТОВ как диабет, заболевания периферических сосудов или другие условия, влияющие на состояние артерий. Аналогичные проблемы могут возникать во время КЛИНИЧЕСКИХ ИСПЫТАНИЙ, когда характеристики пациента, усиливающие вариабельность АРТЕРИАЛЬНОГО ДАВЛЕНИЯ субъекта, могут оказать влияние на точность показаний как ИСПЫТУЕМЫХ СФИГМОМАНОМЕТРОВ, так и ЭТАЛОННЫХ СФИГМОМАНОМЕТРОВ. Примером может служить предсердная или желудочковая аритмия.
Хотя измерения АРТЕРИАЛЬНОГО ДАВЛЕНИЯ у ПАЦИЕНТОВ с мерцательной аритмией (трепетанием предсердий) клинически важны, в настоящее время отсутствуют общепринятые клинические рекомендации по измерению АРТЕРИАЛЬНОГО ДАВЛЕНИЯ у таких ПАЦИЕНТОВ. Так как точность аускультативного метода определения значения АРТЕРИАЛЬНОГО ДАВЛЕНИЯ у ПАЦИЕНТОВ с мерцательной аритмией (фибрилляцией предсердий) не известна, желательно установить другой ЭТАЛОННЫЙ метод для оценки СФИГМОМАНОМЕТРОВ для ПАЦИЕНТОВ с мерцательной аритмией.
5.2.1 Подготовка субъекта
Так как важно снизить колебания АРТЕРИАЛЬНОГО ДАВЛЕНИЯ субъекта во время клинического исследования, факторы, которые могут вызвать изменения в стабильности АРТЕРИАЛЬНОГО ДАВЛЕНИЯ, должны находиться под контролем.
Примеры - Следует попросить ПАЦИЕНТОВ опорожнить их мочевой пузырь перед измерением, и, особенно для пожилых людей, измерения должны выполняться не ранее, чем через 2 ч после еды.
5.2.2 Подготовка наблюдателя
В настоящее время общепризнано, что для определения ДИАСТОЛИЧЕСКОГО ДАВЛЕНИЯ должен использоваться пятый тон Короткова.
В прошлом возникали вопросы, следует ли использовать четвертый (К4) или пятый (К5) тон Короткова для определения ДИАСТОЛИЧЕСКОГО ДАВЛЕНИЯ во время беременности. Международное общество по изучению гипертензии у беременных в настоящее время рекомендует использовать К5 для определения ДИАСТОЛИЧЕСКОГО ДАВЛЕНИЯ у беременных.
5.2.3 ЭТАЛОННЫЕ результаты измерения
Специалисты пришли к выводу, что если требуется более восьми пар измерений прибора для получения достоверных данных для определенного субъекта, то наблюдатели или субъект вызывают определенное недоверие.
Исследования показывают, что имеет место существенная погрешность при аускультативных измерениях, когда применяемая МАНЖЕТА слишком широкая или слишком узкая для охвата руки субъекта, в сравнении с инвазивным ЭТАЛОНОМ
[10]. Данное явление нашло широкое признание среди специалистов и было принято в качестве главной причины, вызывающей неточность измерений АРТЕРИАЛЬНОГО ДАВЛЕНИЯ по всему миру. Данные подтверждают надлежащие характеристики МАНЖЕТЫ, когда ширина пневмокамеры МАНЖЕТЫ находится в диапазоне от 37% до 50% охвата плеча субъекта, при замере в середине плеча. Данные показывают, что за пределами этого верхнего и нижнего предела погрешность значительно возрастает.
Исследования показывают, что коэффициент соотношения охвата руки и длины пневмокамеры МАНЖЕТЫ < 75% является слишком низким и не обеспечивает надлежащей окклюзии руки субъекта, и что коэффициент соотношения > 100% может вызвать погрешность при аускультативных измерениях. Комитеты пришли к выводу, что коэффициент длины пневмокамеры должен быть в пределах диапазона 75% - 100% для обеспечения точности ЭТАЛОННЫХ измерений.
Значение АРТЕРИАЛЬНОГО ДАВЛЕНИЯ вариативно в зависимости от частоты сердечных сокращений и времени. Поэтому метод последовательного измерения АРТЕРИАЛЬНОГО ДАВЛЕНИЯ на одной руке подвержен существенным изменениям во времени. Влияние этого явления в значительной степени снижается, если применяется метод одновременного измерения на противоположных руках. В этой связи существует общее мнение, что некоторый допуск на временную вариативность является приемлемым в методе последовательных измерений на той же руке, поскольку учитывает такую вариативность.
Преимущество метода последовательных измерений на той же руке в том, что на результаты исследований не влияет латеральное отклонение (LD, связанное со стороной измерения) в значениях АРТЕРИАЛЬНОГО ДАВЛЕНИЯ. Однако в этом методе вариативность АРТЕРИАЛЬНОГО ДАВЛЕНИЯ прибавляется к погрешности ИСПЫТУЕМОГО СФИГМОМАНОМЕТРА, и поэтому стандартное отклонение погрешности ИСПЫТУЕМОГО СФИГМОМАНОМЕТРА может быть завышено. Эта гипотеза нашла свое экспериментальное подтверждение в независимом исследовании, проведенном несколькими научными центрами под эгидой технических комитетов ISO/TC 121/SC 3 и IEC/SC 62D, с участием 120 субъектов. Была показана существенная положительная корреляция между ЭТАЛОННЫМ АРТЕРИАЛЬНЫМ ДАВЛЕНИЕМ и погрешностью ИСПЫТУЕМОГО СФИГМОМАНОМЕТРА, возникающая в результате стандартного отклонения между субъектами исследования.
Комитеты ISO/TC 121/SC 3 и IEC/SC 62D тщательно изучили различные возможные методологии, с помощью которых можно выполнять последовательные исследования. Поскольку ЭТАЛОННЫЕ измерения и ОПРЕДЕЛЕНИЯ выполняют во временной последовательности, важно, чтобы в течение периода испытаний существовали гемодинамически стабильные условия. Существовали некоторые опасения по поводу того, что такие условия трудно создать у пациентов с гипертензией. Как результат этих опасений, до 10% субъектов разрешено иметь только два замера, если они отвечают критериям стабильности. Три следующих примера иллюстрируют применение этой ПРОЦЕДУРЫ к конкретному субъекту.
Пример 1 - Первое показание ЭТАЛОННОГО СИСТОЛИЧЕСКОГО ДАВЛЕНИЯ равно 122 мм рт. ст. Второе показание ЭТАЛОННОГО СИСТОЛИЧЕСКОГО ДАВЛЕНИЯ равно 128 мм рт. ст. Третье показание ЭТАЛОННОГО СИСТОЛИЧЕСКОГО ДАВЛЕНИЯ равно 132 мм рт. ст. Результат: разница между любыми двумя показаниями ЭТАЛОННОГО СИСТОЛИЧЕСКОГО ДАВЛЕНИЯ меньше или равна 12 мм рт. ст.; в исследование включены все показания.
Пример 2 - Первое показание ЭТАЛОННОГО СИСТОЛИЧЕСКОГО ДАВЛЕНИЯ равно 120 мм рт. ст. Второе показание ЭТАЛОННОГО СИСТОЛИЧЕСКОГО ДАВЛЕНИЯ равно 134 мм рт. ст. Третье показание ЭТАЛОННОГО СИСТОЛИЧЕСКОГО ДАВЛЕНИЯ равно 107 мм рт. ст. Результат: Нет показаний ЭТАЛОННОГО СИСТОЛИЧЕСКОГО ДАВЛЕНИЯ с разницей менее или равной 12 мм рт. ст.; все показания исключены из исследования.
Пример 3 - Первое показание ЭТАЛОННОГО СИСТОЛИЧЕСКОГО ДАВЛЕНИЯ равно 119 мм рт. ст. Второе показание ЭТАЛОННОГО СИСТОЛИЧЕСКОГО ДАВЛЕНИЯ равно 121 мм рт. ст. Третье показание ЭТАЛОННОГО СИСТОЛИЧЕСКОГО ДАВЛЕНИЯ равно 134 мм рт. ст. Результат: разница между первым и третьим ЭТАЛОННЫМИ показаниями превышает 12 мм рт. ст.; все ЭТАЛОННЫЕ показания могут быть исключены из исследования. Или как вариант, первое и второе показания могут быть использованы в исследовании, а данные третьего показания могут быть исключены и потребуется привлечение дополнительного ПАЦИЕНТА.
Также обсуждался вопрос использования малых различий (4 мм рт. ст. и 6 мм рт. ст.) (0,53 кПа и 0,80 кПа) между последовательными ЭТАЛОННЫМИ показаниями в качестве критерия стабильности, но это вызвало опасение, что исключение показаний будет слишком частым.
Были проанализированы существующие протоколы и вероятные источники отклонений и погрешностей. Специалисты пришли к выводу, что допущение выбора предыдущего или последующего ЭТАЛОННОГО показания, на основании которого одно находится ближе к значению от ИСПЫТУЕМОГО СФИГМОМАНОМЕТРА, не имело научного обоснования. Кроме того, был сделан вывод, что усреднение значений предыдущего и последующего ЭТАЛОННЫХ показаний обеспечивает более точное показание АРТЕРИАЛЬНОГО ДАВЛЕНИЯ субъекта. Временные изменения АРТЕРИАЛЬНОГО ДАВЛЕНИЯ субъекта являются нормальными и оказываются проблематичными при использовании метода последовательного исследования. Технические комитеты ISO/TC 121 и IEC/TC 62 рассмотрели возможность использования только предыдущего или последующего показаний АРТЕРИАЛЬНОГО ДАВЛЕНИЯ в качестве ЭТАЛОННОЙ величины; однако было установлено, что среднее значение предыдущего и последующего ЭТАЛОННЫХ показаний дает более точную оценку АРТЕРИАЛЬНОГО ДАВЛЕНИЯ субъекта в то время, когда ИСПЫТУЕМЫЙ СФИГМОМАНОМЕТР делает свое измерение.
Это нашло подтверждение в независимом исследовании, проведенном несколькими научными центрами с участием 120 субъектов, где срединные показания, выполненные наблюдателями, рассматривались как референтные значения для ИСПЫТУЕМОГО СФИГМОМАНОМЕТРА.
Данные исследования показывают, что средние значения погрешности в
таблице A.1 уменьшены (и приближены к 0,0 мм рт. ст.), тогда как среднее арифметическое значение предыдущего и последующего среднего значения используется в качестве ЭТАЛОННОГО значения, и что стандартное отклонение было уменьшено. Полученное стандартное отклонение отражает различия между данными, полученными наблюдателем (включая погрешность измерений, проведенных наблюдателем), и обусловленными фактором времени изменениями АРТЕРИАЛЬНОГО ДАВЛЕНИЯ субъекта.
Таблица A.1
Результаты исследований, проведенных комитетами
| Предыдущее ЭТАЛОННОЕ значение АРТЕРИАЛЬНОГО ДАВЛЕНИЯ, используемое в качестве ЭТАЛОННОГО АРТЕРИАЛЬНОГО ДАВЛЕНИЯ | Последующее ЭТАЛОННОЕ значение АРТЕРИАЛЬНОГО ДАВЛЕНИЯ, используемое в качестве ЭТАЛОННОГО АРТЕРИАЛЬНОГО ДАВЛЕНИЯ | Средняя величина значений предыдущего и последующего ЭТАЛОННОГО АРТЕРИАЛЬНОГО ДАВЛЕНИЯ, используемая в качестве ЭТАЛОННОГО АРТЕРИАЛЬНОГО ДАВЛЕНИЯ |
Систолическое давление | Диастолическое давление | Систолическое давление | Диастолическое давление | Систолическое давление | Диастолическое давление |
Погрешность среднего значения (мм рт. ст.) | -0,8 | 0,2 | 0,6 | -0,2 | -0,1 | 0,0 |
Стандартное отклонение (мм рт. ст.) | 5,7 | 3,9 | 5,5 | 4,0 | 4,7 | 3,3 |
Число сравнений | 234 | 234 | 234 | 234 | 234 | 234 |
Первоначальное показание ЭТАЛОННОГО АРТЕРИАЛЬНОГО ДАВЛЕНИЯ и измерение, не включенные в анализ данных, предназначены для смягчения "предупредительной" или "тревожной" реакции со стороны субъекта, которая может временно увеличить первоначальные значения у многих лиц
[12].
5.2.4.2 Метод одновременного определения на противоположных руках
Метод одновременного определения на противоположных руках используется, если ИСПЫТУЕМЫЙ СФИГМОМАНОМЕТР работает в режиме, не позволяющем одновременно проводить снятие ЭТАЛОННОГО показания и ОПРЕДЕЛЕНИЯ значения. Это может быть по причине использования ИСПЫТУЕМЫМ СФИГМОМАНОМЕТРОМ скорости сброса воздуха, которая находится за допустимыми пределами для ручного аускультативного определения, использования метода измерения (например, ОПРЕДЕЛЕНИЕ при нагнетании), не поддерживающего аускультацию, или использования участка измерения, не поддерживающего аускультацию (например, запястье).
Стандарты, такие как
[1], используют метод одновременного определения на противоположных руках с компенсацией латеральной разницы, основанной на трех измерениях латерального отклонения, проводимых до и после серии сравнений, с использованием ЭТАЛОННОГО СФИГМОМАНОМЕТРА и ИСПЫТУЕМОГО СФИГМОМАНОМЕТРА. Однако при помощи эксперимента, проведенного комитетами ISO/TC 121 и IEC/TC 62, было продемонстрировано, что компенсация латеральной разницы в данном методе была недостаточно точной. Неточность компенсации латеральной разницы может в какой-то степени объясняться продолжительными временными интервалами между измерением латерального отклонения и сравнениями ЭТАЛОННОГО СФИГМОМАНОМЕТРА с ИСПЫТУЕМЫМ СФИГМОМАНОМЕТРОМ.
Новый метод одновременного определения на противоположных руках в настоящем стандарте был разработан с целью преодоления этих недостатков метода, используемого в настоящее время. Так как он проводит одновременное сравнение ЭТАЛОННОГО СФИГМОМАНОМЕТРА с ОПРЕДЕЛЕНИЯМИ ИСПЫТУЕМОГО СФИГМОМАНОМЕТРА, его результаты более устойчивы к пульсовым колебаниям объема крови. Точность компенсации латеральной разницы улучшается за счет использования ЭТАЛОННОГО показания, снимаемого одновременно с ОПРЕДЕЛЕНИЕМ ИСПЫТУЕМОГО СФИГМОМАНОМЕТРА, т.е., по существу, временной интервал между измерением латеральной разницы и сравнением ЭТАЛОННОГО СФИГМОМАНОМЕТРА с ИСПЫТУЕМЫМ СФИГМОМАНОМЕТРОМ отсутствует.
Дополнительные преимущества данного нового метода:
- время, затрачиваемое на каждого отдельного субъекта, значительно меньше по сравнению с обычным методом одновременного определения на противоположных руках (шесть против девяти ОПРЕДЕЛЕНИЙ, за исключением подготовительных измерений);
- доступно больше парных сравнительных данных (шесть против трех точек на субъект).
Можно осуществить попытку изменить число повторений для каждого субъекта. Однако было подтверждено, что компенсация латеральной разницы не будет успешной всего при четырех повторениях. Это может быть по причине использования недостаточного числа ЭТАЛОННЫХ показаний (всего два на каждую сторону) для оценки латеральной разницы. Если количество повторений увеличить до восьми, точность оценки латеральной разницы может также снизиться из-за длительного временного периода и возникающего пульсового колебания объема крови, между первым и последним ОПРЕДЕЛЕНИЯМИ. Следовательно, шесть повторений в большей степени соответствуют данному методу.
5.2.5 Дополнительные требования к СФИГМОМАНОМЕТРАМ, предназначенным для использования в условиях тестов с физической нагрузкой
Дополнительные требования к КЛИНИЧЕСКИМ ИСПЫТАНИЯМ с нагрузкой были выбраны для оценки СФИГМОМАНОМЕТРА во время моделированной активности и движения. Достижение целевой частоты сердечных сокращений минимум на 30% выше частоты сердечных сокращений субъекта в состоянии покоя обеспечивает условия нагрузки, которые можно поддерживать во время оценки без подвергания субъекта чрезмерному риску. Кроме того, нагрузка, необходимая для обеспечения такой частоты сердечных сокращений, не должна приводить к артефактам движения настолько сильным, чтобы делать данные неприемлемыми.
Примечание - В
ссылке [8] содержится дополнительная информация.
Хотя любое оборудование для физической нагрузки может быть использовано в таком исследовании, большинство экспертов ISO/TC 121 и IEC/TC 62 считают, что велоэргометр, а не беговая дорожка, более подходит для КЛИНИЧЕСКИХ ИСПЫТАНИЙ СФИГМОМАНОМЕТРА. Это обусловлено главным образом тем, что рука может быть расположена на уровне левого желудочка более надежно. Кроме того, при нагрузке на беговой дорожке вибрация от шага часто вызывает артефакт движения при осциллографическом измерении, а аускультация часто затруднена из-за слышимого шума шагов и двигателя беговой дорожки.
5.2.6 Дополнительные требования к СФИГМОМАНОМЕТРАМ, предназначенным для использования при амбулаторном наблюдении
Амбулаторное наблюдение (например, в течение 24 ч или более) имеет большое значение для диагностики гипертонии, особенно при наличии эффекта белого халата и скрытой гипертонии. При выполнении обычных ежедневных действий АРТЕРИАЛЬНОЕ ДАВЛЕНИЕ ПАЦИЕНТА измеряется в соответствии с запрограммированным графиком, хранящимся в памяти АВТОМАТИЧЕСКОГО СФИГМОМАНОМЕТРА. Как правило, АРТЕРИАЛЬНОЕ ДАВЛЕНИЕ ПАЦИЕНТА измеряется приблизительно каждые 15 мин в течение дня и немного реже в ночное время, чтобы не нарушать сон ПАЦИЕНТА. Дневной ритм сердечных сокращений и значения АРТЕРИАЛЬНОГО ДАВЛЕНИЯ во время амбулаторного наблюдения являются повышенными в сравнении с базовыми значениями состояния покоя. По этой причине и были разработаны дополнительные требования для оценки результативности АВТОМАТИЧЕСКОГО СФИГМОМАНОМЕТРА при слегка повышенных частотах сердцебиения, аналогично тем, что возникают при выполнении действий, не сопровождающихся физической нагрузкой. Кроме того, велоэргометр обеспечивает незначительный двигательный артефакт, предназначенный для демонстрации того, что АВТОМАТИЧЕСКИЙ СФИГМОМАНОМЕТР способен снимать точные оценочные показания АРТЕРИАЛЬНОГО ДАВЛЕНИЯ при минимальном уровне подвижности, наподобие того, что имеет место при использовании в амбулаторных условиях.
С клинической точки зрения, амбулаторное наблюдение наиболее часто применяется для диагностики и контроля гипертонии. Именно по этой причине установлено требование иметь при проведении исследования определенный процент субъектов-гипертоников в состоянии покоя.
Каждый субъект вращает педали велоэргометра с установленной скоростью и нагрузкой, после того, как будет соблюден критерий повышения частоты сердечного ритма субъекта не менее, чем на 15% выше частоты состояния покоя. Эта нагрузка позволит обеспечить стабильное состояние, при котором сердечный ритм и АРТЕРИАЛЬНОЕ ДАВЛЕНИЕ сохраняют свои постоянные значения.
6.1.2 Распределение по полу
Хотя нет убедительных данных, что СФИГМОМАНОМЕТР работает по-разному на мужчинах и женщинах, некоторые исследования указывают на возможность таких различий.
Если различие существует, оно, скорее всего, вызвано отличиями в охвате рук и распределения жировых отложений по телу. Настоящий стандарт уже требует, чтобы ИСПЫТУЕМЫЙ СФИГМОМАНОМЕТР испытывался во всем диапазоне охвата рук. Требование к распределению по полу позволяет исследовать различия между полами без каких-либо сложностей выполнения.
6.1.3 Распределение по возрастам
Возрастная классификация ПАЦИЕНТОВ-детей согласуется с руководящими материалами FDA
[4] (Управление по контролю за качеством пищевых продуктов и лекарственных средств США, далее - FDA). Предложенный FDA переход из категории младенцев в категорию детей в возрасте 2 лет был скорректирован до возраста 3 лет в соответствии с физиологией тонов Короткова (см.
обоснование 5.1.3). В
таблице A.2 показаны предложенные FDA подгруппы детей.
Таблица A.2
Предложенные возрастные диапазоны детских подгрупп
по классификации FDA
Подгруппы | Приблизительный возрастной диапазон |
Новорожденные (неонатальная) | С рождения до возраста 1 месяц |
Младенцы | Возраст > 1 месяца до 2 лет |
Дети | Возраст > 2 лет до 12 лет |
Подростки | Возраст > 12 лет до 21 года |
6.2.1 ЭТАЛОННОЕ измерение
Внутриартериальное давление может быть измерено с использованием катетера, заполненного физиологическим раствором, и внешнего датчика давления или катетера-преобразователя. Катетерный преобразователь реже используется в клинической практике, но обеспечивает улучшенные динамические характеристики по сравнению с катетерными системами с внешними датчиками.
Точное измерение внутриартериального ЭТАЛОННОГО ДАВЛЕНИЯ КРОВИ требует использования компьютеризированной системы сбора данных или многоканального ленточного самописца (data collection system, DCS). Значения, отображаемые на канале инвазивного ДАВЛЕНИЯ КРОВИ системы наблюдения за ПАЦИЕНТОМ, подлежат фильтрации и не представляют значения один в один. Кроме того, запись внутриартериальной кривой давления позволит распознать существенную аритмию или артефакты, которые искажают значения внутриартериального ДАВЛЕНИЯ КРОВИ.
ИСПЫТУЕМЫЙ СФИГМОМАНОМЕТР должен быть откалиброван по тому же манометру, что и инвазивный измеритель, чтобы предотвратить возможные отклонения показаний между ними. Все записи по калибровке должны быть сохранены в системе сбора данных. Статическая калибровка как инвазивного преобразователя, так и ИСПЫТУЕМОГО СФИГМОМАНОМЕТРА должна быть в пределах +/- 2 мм рт. ст. (+/- 0,27 кПа) от ЭТАЛОННОГО ДАВЛЕНИЯ КРОВИ.
Частотная характеристика и коэффициент затухания в совокупности должны отвечать динамическим требованиям, предложенным Гарднером
[9]. Использование короткой, жесткой трубки и удаление воздушных пузырьков из системы катетер - преобразователь улучшает частотные характеристики. Во время исследования любое ухудшение формы кривой, получаемой с внутриартериального катетера, должно фиксироваться с незамедлительным выполнением соответствующих корректирующих действий (например, промывка или корректировка положения катетера).
Инвазивный преобразователь ДАВЛЕНИЯ КРОВИ должен быть расположен на том же уровне, что и МАНЖЕТА СФИГМОМАНОМЕТРА, чтобы предотвратить гидростатические эффекты. Разница в высоте по вертикали +1,3 см между преобразователем инвазивного давления и МАНЖЕТОЙ вызывает погрешность смещения -1 мм рт. ст. (-0,13 кПа) в измеренном давлении между двумя показаниями. Как МАНЖЕТА, так и инвазивный преобразователь должны быть на уровне левого желудочка сердца (флебостатическая ось).
Во время каждого измерения ИСПЫТУЕМЫМ СФИГМОМАНОМЕТРОМ система сбора данных должна записывать значения внутриартериального давления и аналоговые сигналы ИСПЫТУЕМОГО СФИГМОМАНОМЕТРА (если они доступны).
6.2.2 Место (артерия) ЭТАЛОННОГО ИЗМЕРЕНИЯ
Ссылка [2] исключает область лучевой артерии из-за опасений по поводу возникновения разницы между центральным и периферическим давлением из-за импульсного усиления и влияния отраженных волн. Маловероятно, что данные, полученные с лучевой артерии, имеют клиническое подтверждение для диагностики гипертонии (т.е. все данные по заболеваемости/смертности основываются на значениях давления в плечевой артерии), эти данные не эквивалентны измерению, проведенному на лучевой артерии. Однако признано, что частое использование катетера лучевой артерии для инвазивного измерения ДАВЛЕНИЯ КРОВИ в операционных и блоках интенсивной терапии снизит сложность поиска ПАЦИЕНТОВ для исследования.
Измерение латеральной разницы может быть выполнено с использованием предварительно утвержденного АВТОМАТИЧЕСКОГО СФИГМОМАНОМЕТРА. Значение разницы следует вычислять методом одновременного ОПРЕДЕЛЕНИЯ на обеих конечностях (используя два идентичных АВТОМАТИЧЕСКИХ СФИГМОМАНОМЕТРА). Однако значение разницы может быть также получено используя один АВТОМАТИЧЕСКИЙ СФИГМОМАНОМЕТР и меняя область измерения между противоположными конечностями.
Значение латеральной разницы (
LD) вычисляют как среднюю величину отклонения между ЭТАЛОННЫМИ показаниями или ОПРЕДЕЛЕНИЯМИ, выполненными на каждой конечности, по
формуле (A.1).

, (A.1)
где i - индекс ОПРЕДЕЛЕНИЯ на конечности, используемый для ОПРЕДЕЛЕНИЯ на ИСПЫТУЕМОМ СФИГМОМАНОМЕТРЕ;
j - индекс показания на конечности, используемый для ЭТАЛОННОГО показания.
6.2.4 Определение ЭТАЛОННОГО АРТЕРИАЛЬНОГО ДАВЛЕНИЯ
Для определения ЭТАЛОННОГО СИСТОЛИЧЕСКОГО ДАВЛЕНИЯ и ЭТАЛОННОГО ДИАСТОЛИЧЕСКОГО ДАВЛЕНИЯ обсуждались несколько вариантов действий. В частности, нормальные колебания АРТЕРИАЛЬНОГО ДАВЛЕНИЯ, возникающие в процессе неинвазивного снятия показания, или ОПРЕДЕЛЕНИЯ АРТЕРИАЛЬНОГО ДАВЛЕНИЯ (например, при дыхании) и методы обращения с выпадающими значениями также должны быть рассмотрены. Использование среднего значения АРТЕРИАЛЬНОГО ДАВЛЕНИЯ будет неправильным по причине нормальных колебаний АРТЕРИАЛЬНОГО ДАВЛЕНИЯ в процессе неинвазивного снятия показания или ОПРЕДЕЛЕНИЯ АРТЕРИАЛЬНОГО ДАВЛЕНИЯ, поэтому было высказано мнение, что более подходящим методом будет использование диапазона значений. Разброс значений, получаемых на основании инвазивных данных, не подходит для использования, потому что выпадающие значения слишком сильно расширяют диапазон измерений. Диапазон одного экспериментального стандартного отклонения был выбран в качестве надлежащего компромисса, охватывающего все аспекты.
Беременность является фундаментально отличным гемодинамическим состоянием и, следовательно, существует вероятность того, что СФИГМОМАНОМЕТРЫ будут работать по-другому. Тем не менее, клинические данные говорят о том, что результаты большинства исследований, проведенных с участием беременных, не имеющих синдрома преэклампсии, эквивалентны результатам клинических исследований взрослых (около 20 исследований)
[24]. Преэклампсия изменяет гемодинамику (уменьшает внутрисосудистый объем, снижает объемную скорость кровотока сердца, увеличивает внутритканевой отек) и данные исследований показывают, что большинство АВТОМАТИЧЕСКИХ СФИГМОМАНОМЕТРОВ занижает значение АРТЕРИАЛЬНОГО ДАВЛЕНИЯ у беременных с преэклампсией. См. дополнительную информацию по
ссылкам [7],
[11],
[17],
[18],
[19] и
[20]. Хотя преэклампсия возникает менее чем у 5% беременных, появление гипертонии, связанной с этими условиями, является потенциально опасным. Акцент на точности в данных условиях очень важен для обеспечения безопасности этих ПАЦИЕНТОК.
Для определения размера выборки, необходимой для обеспечения объективности показаний СФИГМОМАНОМЕТРА, с истинной средней разницей 0 мм рт. ст. и истинным стандартным отклонением 8 мм рт. ст., которые могут иметь отклонения не более чем в 5% от всех случаев по причине отказа оборудования:
- наблюдались две группы беременных (n1 - беременные без синдрома преэклампсии, n2 - с преэклампсией), в каждой группе делалось три пары ЭТАЛОННЫХ измерений и ОПРЕДЕЛЕНИЙ, в результате которых в трех случаях имело место отклонение значения (погрешность) для каждого замера СИСТОЛИЧЕСКОГО ДАВЛЕНИЯ и ДИАСТОЛИЧЕСКОГО ДАВЛЕНИЯ у каждой женщины;
- результаты не считаются успешными, только когда наблюдаемые средние значения погрешности любых пар АРТЕРИАЛЬНОГО ДАВЛЕНИЯ в этих двух группах отличаются на 5 мм рт. ст. и более.
Рекомендуется рассмотреть крайний случай: когда стандартное отклонение равно 8 мм рт. ст., измерения хорошо коррелируются, поэтому представляется, что одного измерения на каждую женщину будет достаточно. На практике стандартное отклонение, как правило, меньше 8 мм рт. ст. (если нет отказа СФИГМОМАНОМЕТРА), и будут иметь место некоторые различия в измерениях у субъектов; эти два эффекта снижают возможность возникновения искажения данных по причине отказа СФИГМОМАНОМЕТРА.
Стандарт требует, чтобы в рамках выборки разница значений СИСТОЛИЧЕСКОГО и ДИАСТОЛИЧЕСКОГО ДАВЛЕНИЯ находилась в пределах от -5 мм рт. ст. до +5 мм рт. ст., таким образом, 2·SE = 5 мм рт. ст, с использованием распределения Стьюдента.
SE = 5/1,96 = ((1/n1 + 1/n2)1/2)·SD
(1/n1 + 2/n1)1/2 = 5/(1,96·8)
(1/n1)1/2 = (5/(1,96·8))1/3
n1 = 3·(1,96·8/5)2 = 30 и n2 = n1/2 = 15.
Поэтому, чтобы получить достаточную статистическую значимость и иметь возможность выделить две подгруппы с гипертензией в рамках двух стандартных отклонений, равных 5 мм рт. ст. (0,67 кПа) (максимально допустимая погрешность среднего значения), используя распределение Стьюдента, требуется подгруппа из 15 человек.
(справочное)
ССЫЛКИ НА ОСНОВНЫЕ ПРИНЦИПЫ
Настоящий стандарт подготовлен с целью соблюдения ОСНОВНЫХ ТРЕБОВАНИЙ БЕЗОПАСНОСТИ И ОСНОВНЫХ ФУНКЦИОНАЛЬНЫХ ХАРАКТЕРИСТИК медицинских приборов, в частности, АВТОМАТИЧЕСКИХ ЭЛЕКТРОННЫХ СФИГМОМАНОМЕТРОВ, в соответствии с ISO 16142:2016. Настоящий стандарт предназначен для целей оценки соответствия.
Соответствие настоящему стандарту является одним из способов демонстрации соблюдения специальных ОСНОВНЫХ ПРИНЦИПОВ ISO 16142:2016. Также возможны и другие способы. В
таблице B.1 приводится схема соответствия пунктов и подпунктов настоящего стандарта основным принципам ISO 16142:2016.
Таблица B.1
Соответствие между настоящим стандартом
и ОСНОВНЫМИ ПРИНЦИПАМИ
Соответствующий ОСНОВНОЙ ПРИНЦИП ISO 16142-1:2016, приложение B | Пункт(ы)/подпункт(ы) настоящего стандарта | Уточняющие замечания/Примечания |
7.1 | Все | Часть, относящаяся к риску/эффективности, не рассматривается |
7.2 | Все | |
13.1 | | Рассматриваются только характеристики измерений (точность), а также соответствующие методы испытаний |
21.1 | | В указанных подразделах содержатся только определенные дополнительные предупреждения и меры предосторожности, специфические для конкретных ситуаций и групп субъектов |
(справочное)
ТЕРМИНОЛОГИЯ. АЛФАВИТНЫЙ УКАЗАТЕЛЬ ТЕРМИНОВ
ДАВЛЕНИЕ АРТЕРИАЛЬНОЕ .......................... | ISO 81060-1:2007, 3.3 | |
ДАВЛЕНИЕ ДИАСТОЛИЧЕСКОЕ ................... | IEC 80601-2-30:2018, 201.3.204 |
ДАВЛЕНИЕ СИСТОЛИЧЕСКОЕ ...................... | IEC 80601-2-30:2018, 201.3.215 |
ДАВЛЕНИЕ СРЕДНЕЕ ........................................ | IEC 80601-2-30:2018, 201.3.206 |
ДИАПАЗОН ОХВАТОВ КОНЕЧНОСТЕЙ ПОЛНЫЙ .............................................................. | | |
ДОКУМЕНТ ЭКСПЛУАТАЦИОННЫЙ ......... | IEC 60601-1:2005+AMD1:2012, 3.4 | |
ЗНАЧЕНИЕ ДИАСТОЛИЧЕСКОГО ДАВЛЕНИЯ ......................................................... | IEC 80601-2-30:2018, 201.3.204 |
ЗНАЧЕНИЕ СИСТОЛИЧЕСКОГО ДАВЛЕНИЯ | IEC 80601-2-30:2018, 201.3.215 |
ИЗГОТОВИТЕЛЬ ................................................ | IEC 60601-1:2005+AMD1:2012, 3.55 |
ИЗДЕЛИЕ МЕДИЦИНСКОЕ ЭЛЕКТРИЧЕСКОЕ ............................................ | IEC 60601-1:2005+AMD1:2012, 3.63 |
ИС ........................................................................... | |
ИСПЫТАНИЕ ТИПОВОЕ ................................. | IEC 60601-1:2005+AMD1:2012, 3.135 |
ИСПЫТАНИЕ КЛИНИЧЕСКОЕ ..................... | ISO 14155:2011, 3.6 |
КАМЕРА ............................................................... | ISO 81060-1:2007, 3.2 | |
МАНЖЕТА ........................................................... | IEC 80601-2-30:2018, 201.3.202 | |
ОРГАНИЗАЦИЯ ОТВЕТСТВЕННАЯ .............. | IEC 60601-1:2005, 3.101 |
ОТЧЕТ О КЛИНИЧЕСКОМ ИСПЫТАНИИ ... | ISO 14155:2011, 3.8 |
ПЕРИОДИЧЕСКИЙ ............................................ | |
ПРИБОР ДЛЯ ИНВАЗИВНОГО МОНИТОРИНГА ДАВЛЕНИЯ КРОВИ ......... | IEC 60601-2-34:2011, 3.3 |
ПРИМЕНЕНИЕ ПРЕДУСМОТРЕННОЕ ........ | IEC 60601-1:2005+AMD1:2012, 3.44 |
ПРИНЦИПЫ БЕЗОПАСНОСТИ ОСНОВНЫЕ И ФУНКЦИОНАЛЬНЫЕ ХАРАКТЕРИСТИКИ ОСНОВНЫЕ ........................................................ | ISO 16142-1:2016, 3.3 |
ПАЦИЕНТ ............................................................ | IEC 60601-1:2005+AMD1:2012, 3.76 |
ПРИНЦИПЫ ОСНОВНЫЕ .............................. | ISO 16142-1:2016, 3.3 |
ПРОЦЕДУРА ...................................................... | ISO 14971:2007, 2.12 |
РЕЗУЛЬТАТ ИЗМЕРЕНИЙ ............................. | IEC 80601-2-30:2018, 201.3.203 |
СВИДЕТЕЛЬСТВО ОБЪЕКТИВНОЕ ........... | IEC 60601-1:2005+AMD1:2012, 3.72 |
СФИГМОМАНОМЕТР .................................... | |
СФИГМОМАНОМЕТР АВТОМАТИЧЕСКИЙ | IEC 80601-2-30:2018, 201.3.201 |
СФИГМОМАНОМЕТР ИСПЫТУЕМЫЙ ... | |
СФИГМОМАНОМЕТР НЕАВТОМАТИЧЕСКИЙ ................................. | IEC 80601-2-30:2018, 201.3.208 | |
УСЛОВИЯ ОКАЗАНИЯ МЕДИЦИНСКОЙ ПОМОЩИ НА ДОМУ ...................................... | IEC 60601-1-11:2015, 3.1 |
ЭТ .......................................................................... | |
ЭТАЛОННЫЙ ..................................................... | |
(справочное)
СВЕДЕНИЯ О СООТВЕТСТВИИ ССЫЛОЧНЫХ МЕЖДУНАРОДНЫХ СТАНДАРТОВ
МЕЖГОСУДАРСТВЕННЫМ СТАНДАРТАМ
Таблица ДА.1
Обозначение ссылочного международного стандарта | Степень соответствия | Обозначение и наименование соответствующего межгосударственного стандарта |
ISO 14155:2011 | - | |
ISO 14971:2007 | IDT | |
ISO 16142-1:2016 | - | |
ISO 81060-1:2007 | IDT | ГОСТ ISO 81060-1-2021 "Сфигмоманометры (измерители артериального давления) неинвазивные. Часть 1. Требования и методы испытаний моделей с неавтоматическим типом измерения" |
IEC 60601-1:2005 | - | |
IEC 60601-1-11:2015 | - | |
IEC 60601-2-34:2011 | - | |
IEC 80601-2-30:2018 | - | |
<*> Соответствующий межгосударственный стандарт отсутствует. До его принятия рекомендуется использовать перевод на русский язык данного международного стандарта. Примечание - В настоящей таблице использовано следующее условное обозначение степени соответствия стандартов: - IDT - идентичные стандарты. |
| EN 1060-4, Non-invasive sphygmomanometers - Part 4: Test procedures to determine the overall system accuracy of automated non-invasive sphygmomanometers |
| ANSI/AAMI SP10:2002, Manual, Electronic, or Automated Sphygmomanometers |
| ANSI/AAMI SP10:1987, Electronic or Automated Sphygmomanometers |
| FDA Guidance for Industry and FDA Staff, Premarket Assessment of Pediatric Medical Devices, March 24, 2014. Available at http://www.fda.gov |
| Fourth Report on the Diagnosis, Evaluation, and Treatment of High Blood Pressure in Children and Adolescents, (2004) Pediatrics 114, pp. 555 - 576 |
| Task Force on Blood Pressure Control in Children. 1987) Report of the Second Task Force on Blood Pressure Control in Children - 1987, Pediatrics, 79, pp. 1 - 25 |
| CLARK S.G. 1991) Ambulatory blood pressure monitoring during pregnancy: validation of the TM-2420 monitor, Obstet. Gynecol., 77, pp. 152 - 155 |
| FLETCHER F. 2001) Exercise Standards, A Statement for Healthcare Professionals from the American Heart Association, Circulation, 104, pp. 1694 - 1740 |
| GARDNER R.M. 1981) Direct blood pressure measurement - Dynamic response requirements, Anaesthesiology, 54, pp. 227 - 236 |
| GEDDES L.A., & TIVEY R. 1976) The importance of cuff width in measurement of blood pressure indirectly, Cardiovasc Res Cent Bull. 14 (3), pp. 69 - 79 |
| GOLARA M. 2002) Inflationary oscillometry provides accurate measurement of blood pressure in pre-eclampsia, Br. J. Obstet. Gynaecol., 109 (10), pp. 1143 - 1147 |
| GROSSARDT BR., GRAVES J.W., GULLERUD R.E., BAILEY K.R., FELDSTEIN J. 2006) The occurrence of the alerting response is independent of the method of blood pressure measurement in hypertensive patients, Blood Press. Monit., 11 (6), pp. 321 - 327 |
| LINDHEIMER M.D. 1993) Hypertension in pregnancy [clinical conference], Hypertension, 22, pp. 127 - 137 |
| MOSS A.J., & ADAMS F.H. 1963) Index of indirect estimations of diastolic blood pressure, Am. J. Dis. Child., 106, pp. 364 - 367 |
| O'BRIEN E. Working Group on Blood Pressure Monitoring of the European Society of Hypertension. 2010) European Society of Hypertension International Protocol revision 2010 for the validation of blood pressure measuring devices in adults, Blood Press. Monit. 15, pp. 23 - 38 |
| PICKERING T. 2005) Recommendations for blood pressure measurement in humans and experimental animals, Hypertension, 45, pp. 142 - 161 |
| PIRIE A.M., & QUINN M. 1996) Oscillometric blood pressure measurements in severe pre-eclampsia: validation of SpaceLabs 90207, Br. J. Obstet. Gynaecol., 103 (7), pp. 721 - 722 |
| REINDERS A. 2003) Validation of the Welch Allyn "Vital Signs" blood pressure measurement device in pregnancy and pre-eclampsia, Br. J. Obstet. Gynaecol., 110 (2), pp. 134 - 138 |
| SHENNAN A.H. 1993) Validation of the SpaceLabs 90207 ambulatory blood pressure monitor for use in pregnancy, Br. J. Obstet. Gynaecol., 100 (10), pp. 904 - 908 |
| SHENNAN A. 1996) Oscillometric blood pressure measurements in severe pre-eclampsia: validation of the SpaceLabs 90207. Br. J. Obstet. Gynaecol., 103 (2), pp. 171 - 173 |
| THOLL U. 2003) The "Stamp of Quality" (Guetesiegel) protocol of the German League against Hypertension - a new validation protocol for blood pressure measuring devices and results of 28 device tests, J. Hypertens., 21 (4) pp. 232 - 233 |
| THOLL U. 2006) The Stamp of Quality  of the German Hypertension League for the clinical validation of blood pressure measuring devices: results from 51 devices under test, Dtsch. Med. Wochenschr, 131, pp. 1 - 7 |
| WATANABE H. 2006) Recommendation of a clinical impulse response analysis for catheter calibration - dumping coefficient and natural frequency are incomplete parameters for clinical evaluation, J. Clin. Mon. Comp., 20, pp. 37 - 42 |
| DE GREEFF Annemarie 2010) Accuracy assessment of the Dinamap ProCare 400 in pregnancy and preeclampsia. Hypertension in pregnancy, 29 (2), pp. 198 - 205 |
| OSTCHEGA Y, PRINEAS RJ, PAULOSE-RAM R, GRIM CM, WILLARD C, COLLINS C National Health and Nutrition Examination Survey (NHANES) 1999 - 2000: Effect of observer training and protocol standardization on reducing blood pressure measurement error. J Clin Epidemiology. 2003 Aug; 56 (8): 768 - 74 |
УДК 612.141:006.354 | |
Ключевые слова: сфигмоманометр, артериальное давление, систолическое давление, диастолическое давление, среднее давление, измерения, клиническое испытание, точность, безопасность |