Главная // Актуальные документы // ГОСТ (Государственный стандарт)СПРАВКА
Источник публикации
М.: ФГБУ "РСТ", 2022
Примечание к документу
Текст данного документа приведен с учетом
поправки, опубликованной в "ИУС", N 9, 2022.
Документ
введен в действие с 01.01.2023.
Название документа
"ГОСТ ISO 15797-2022. Межгосударственный стандарт. Материалы и изделия текстильные. Процедуры промышленной стирки и отделки для испытаний одежды для работников"
(введен в действие Приказом Росстандарта от 17.06.2022 N 479-ст)
"ГОСТ ISO 15797-2022. Межгосударственный стандарт. Материалы и изделия текстильные. Процедуры промышленной стирки и отделки для испытаний одежды для работников"
(введен в действие Приказом Росстандарта от 17.06.2022 N 479-ст)
по техническому регулированию
и метрологии
от 17 июня 2022 г. N 479-ст
МЕЖГОСУДАРСТВЕННЫЙ СТАНДАРТ
МАТЕРИАЛЫ И ИЗДЕЛИЯ ТЕКСТИЛЬНЫЕ
ПРОЦЕДУРЫ ПРОМЫШЛЕННОЙ СТИРКИ И ОТДЕЛКИ
ДЛЯ ИСПЫТАНИЙ ОДЕЖДЫ ДЛЯ РАБОТНИКОВ
Textile materials and products. Industrial washing
and finishing procedures for testing of workwear
(ISO 15797:2017, Textiles - Industrial washing and
finishing procedures for testing of workwear, IDT)
ГОСТ ISO 15797-2022
Дата введения
1 января 2023 года
Цели, основные принципы и общие правила проведения работ по межгосударственной стандартизации установлены
ГОСТ 1.0 "Межгосударственная система стандартизации. Основные положения" и
ГОСТ 1.2 "Межгосударственная система стандартизации. Стандарты межгосударственные, правила и рекомендации по межгосударственной стандартизации. Правила разработки, принятия, обновления и отмены"
1 ПОДГОТОВЛЕН Производственно-внедренческим обществом с ограниченной ответственностью "Фирма "Техноавиа" (ПВ ООО "Фирма "Техноавиа") на основе собственного перевода на русский язык англоязычной версии стандарта, указанного в
пункте 5
2 ВНЕСЕН Федеральным агентством по техническому регулированию и метрологии
3 ПРИНЯТ Межгосударственным советом по стандартизации, метрологии и сертификации (протокол от 29 апреля 2022 г. N 150-П)
За принятие проголосовали:
Краткое наименование страны по МК (ИСО 3166) 004-97 | Код страны по МК (ИСО 3166) 004-97 | Сокращенное наименование национального органа по стандартизации |
Армения | AM | ЗАО "Национальный орган по стандартизации и метрологии" Республики Армения |
Беларусь | BY | Госстандарт Республики Беларусь |
Киргизия | KG | Кыргызстандарт |
Россия | RU | Росстандарт |
Таджикистан | TJ | Таджикстандарт |
Узбекистан | UZ | Узстандарт |
4
Приказом Федерального агентства по техническому регулированию и метрологии от 17 июня 2022 г. N 479-ст межгосударственный стандарт ГОСТ ISO 15797-2022 введен в действие в качестве национального стандарта Российской Федерации с 1 января 2023 г.
5 Настоящий стандарт идентичен международному стандарту ISO 15797:2017 "Текстиль. Процедуры промышленной стирки и заключительной отделки для испытаний одежды для работников" ("Textiles - Industrial washing and finishing procedures for testing of workwear", IDT).
Международный стандарт разработан Техническим комитетом ISO/TC 38 "Текстиль", подкомитетом SC 2 "Чистка, отделка и испытания на водонепроницаемость", Международной организации по стандартизации (ISO).
Наименование настоящего стандарта изменено относительно наименования указанного международного стандарта для приведения в соответствие с ГОСТ 1.5
(подраздел 3.6).
При применении настоящего стандарта рекомендуется использовать вместо ссылочных международных стандартов соответствующие им межгосударственные стандарты, сведения о которых приведены в дополнительном
приложении ДА.
Дополнительные сноски в тексте стандарта, выделенные курсивом, приведены для пояснения текста оригинала
6 ВВЕДЕН ВПЕРВЫЕ
7 Некоторые элементы настоящего стандарта могут являться объектами патентных прав
Информация о введении в действие (прекращении действия) настоящего стандарта и изменений к нему на территории указанных выше государств публикуется в указателях национальных стандартов, издаваемых в этих государствах, а также в сети Интернет на сайтах соответствующих национальных органов по стандартизации.
В случае пересмотра, изменения или отмены настоящего стандарта соответствующая информация будет опубликована на официальном интернет-сайте Межгосударственного совета по стандартизации, метрологии и сертификации в каталоге "Межгосударственные стандарты"
Настоящий стандарт позволяет изготовителям текстильных материалов и изделий испытывать текстильные материалы и предметы одежды на устойчивость к интенсивным процессам стирки и сушки, используемым в промышленных прачечных для ухода и обслуживания.
Нецелесообразно проводить точные испытания в условиях промышленной прачечной. Настоящий стандарт позволяет проводить испытание в стандартных условиях с более строгими лабораторными настройками, с использованием промежуточного оборудования <1>.
--------------------------------
<1> В настоящем стандарте под промежуточным оборудованием подразумевают машины для промышленного ухода, имеющие средние показатели по размеру и коэффициенту загрузки.
Настоящий стандарт устанавливает метод испытаний и не содержит инструкций или рекомендаций по стирке и сушке в промышленной прачечной. Он также не содержит спецификаций на оборудование, используемое работниками промышленной прачечной.
Цикл ухода состоит из процедур стирки и сушки/отделки.
Настоящий стандарт устанавливает процедуры испытаний и оборудование, которое может быть использовано при оценке одежды для работников [включая, при необходимости, некоторые предметы одежды, относящиеся к средствам индивидуальной защиты (СИЗ)], для которой предполагается промышленный уход. Процедуры испытаний служат основой для определения соответствующих свойств, таких как стабильность размеров, цветовые характеристики, образование складок, стягивание шва, пиллинг и сохранение внешнего вида в целом.
Настоящий стандарт не содержит инструкций и описаний для процедур и оборудования, используемых сотрудниками промышленных прачечных.
Поскольку зачастую нецелесообразно воспроизводить в лабораторных условиях процессы промышленной прачечной (стирка и сушка/отделка), данный стандарт предусматривает подход с использованием определенного промежуточного оборудования и строгие процедуры испытаний, которые можно использовать для оценки одежды для работников, для которой предполагается промышленный уход.
Поскольку настоящий стандарт отражает имитацию реальных условий промышленной прачечной, в некоторых случаях при окончательном определении совместимости изделия и процесса рекомендуется проводить испытание одежды для работников на реальном оборудовании для промышленного ухода и в соответствии с процессами, которые предполагаются при уходе.
Необходимость проводить испытания с использованием всех восьми процедур стирки или обеих процедур сушки отсутствует. Выбирают процедуру(ы) стирки и сушки, которые наиболее соответствуют характеристикам или составу материала и предполагаемому использованию.
В настоящем стандарте использованы нормативные ссылки на следующие стандарты [для датированных ссылок применяют только указанное издание ссылочного стандарта, для недатированных - последнее издание (включая все изменения)]:
ISO 139, Textiles - Standard atmospheres for conditioning and testing (Изделия текстильные. Стандартные атмосферные условия для проведения кондиционирования и испытаний)
ISO 3071, Textiles - Determination of pH of aqueous extract (Материалы текстильные. Определение pH водного экстракта)
ISO 3759, Textiles - Preparation, marking and measuring of fabric specimens and garments in tests for determination of dimensional change (Материалы текстильные. Подготовка, нанесение меток и измерение проб текстильных материалов и одежды для проведения испытаний по определению изменения размеров)
В настоящем стандарте применены следующие термины с соответствующими определениями.
ISO и IEC поддерживают терминологическую базу данных, используемую в целях стандартизации по следующим адресам:
- платформа онлайн-просмотра ISO: доступна по адресу https://www.iso.org/obp/
- Электропедия IEC: доступна по адресу http://www.electropedia.org/
3.1
барабан (cage): Вращающаяся емкость, внутри которой загрузка находится в процессе ухода.
Примечание - Барабан обычно изготавливается из перфорированной нержавеющей стали.
3.2
остаточный объем (dead volume): Объем воды, оставшийся в баке
(3.4), в котором в неподвижном положении поверхность воды находится по касательной с внутренней частью барабана
(3.1).
3.3
домашний уход (domestic laundering): Стирка/отделка текстильных изделий в соответствии с размером и объемом, необходимым для одной семьи.
Примечание - Обычный размер барабана
(3.1) для домашнего ухода составляет приблизительно 60 л.
3.4
бак (drum): Невращающаяся емкость, в которой вращается барабан
(3.1).
3.5
коэффициент загрузки (load ratio): Соотношение массы сухой загрузки и объема пустого барабана
(3.1).
Примечания
1 Коэффициент загрузки выражают в килограммах на литр.
2 Объем пустого барабана определяют объемом барабана за вычетом выступающих частей, задней стенки и дверцы.
3.6 g-фактор (g-factor): Коэффициент, определяемый по формуле:

, (1)
где n - число оборотов в минуту, об./мин;
d - диаметр барабана, мм.
3.7
промышленный уход (industrial laundering): Профессиональный уход за одеждой для работников
(3.9) в больших по сравнению с домашним уходом
(3.3) количествах.
3.8 коэффициент жидкости (liquor ratio): Соотношение массы сухой загрузки и общего количества воды.
Примечание - Коэффициент жидкости выражают в килограммах на литр.
3.9
одежда для работников (workwear): Одежда, специально предназначенная для ношения на рабочем месте.
Примечание - Свойства одежды для работников определяются сферой ее использования, видом деятельности на рабочем месте и требованием к ее восстановлению для повторного использования.
Испытуемую пробу (или соответствующее количество испытуемых проб) стирают в стиральной машине/экстракторе и сушат/подвергают отделке согласно одной из указанных процедур. Если требуется несколько циклов ухода, каждый цикл стирки должен включать сушку/отделку.
5.1 Стиральная машина/экстрактор со следующими характеристиками:
a) горизонтально вращающийся барабан с открывающимся люком с фронтальной или боковой загрузкой;
b) объем барабана: от 220 до 250 л;
c) диаметр барабана: от 750 до 850 мм;
d) глубина барабана: от 400 до 600 мм;
e) соотношение (диаметр барабана к глубине барабана): 1,5 +/- 15,0%;
f) остаточный объем: от 10 до 20 л;
g) выступающие лопасти (ребра): три; каждая имеет высоту от 10% до 12% диаметра барабана; ширина основания < 100 мм;
h) нагревание: прямое паровое или электрическое, с термостатическим управлением;
i) g-факторы: стирка 0,75 +/- 10,00%; слив 0,75 +/- 10,00%; промежуточный отжим от 50 до 100; заключительный отжим от 250 до 350;
j) программируемые скорости отжима;
k) реверсивное вращение: от пяти до 10 оборотов в одном направлении, затем в противоположном;
l) время вращения с полной скоростью от общего времени стирки: 80%.
5.2 Сушильная машина барабанного типа со следующими характеристиками:
a) сушильный барабан периодического действия с вентиляцией воздуха с системой определения влажности отработанного воздуха с допуском +/- 5%;
b) термостатически контролируемое нагревание;
c) диаметр барабана: от 900 до 1100 мм;
d) глубина барабана: от 630 до 1000 мм;
e) объем барабана: от 600 до 720 л;
f) g-фактор: от 0,7 до 1,0;
g) реверсивное вращение: да;
h) номинальная скорость испарения: 45 л/ч +/- 20%;
i) радиальный поток воздуха: да;
j) перфорированный бак: да.
5.3 Оборудование для отделки со следующими характеристиками:
a) паровой шкаф с порционной загрузкой;
b) вместимость: от восьми до 18 шт./предметов одежды;
c) давление распыляемого пара: от 2 до 5 бар (от 200 до 500 кПа);
d) удельный объемный расход (внутри шкафа): от 6900 до 8900 м3/(м2·ч);
e) направление воздушного потока: сверху вниз;
f) настройка температуры: регулируемая;
g) температура на входе: требуемая опция 160 °C;
h) расстояние от вешалки до вешалки: (75 +/- 10) мм.
5.4 Загрузочный балласт, состоящий из чистой одежды для работников (халаты, полукомбинезоны, комбинезоны, куртки, брюки), предварительно подвергнутой стирке не более 100 раз и аналогичной испытуемым пробам по типу предмета одежды, материалу (например, полиэфир/хлопок или хлопок) и цвету (например, белый, цветной или флуоресцентный цвет). В случаях, когда материал балласта может оказать существенное влияние на результат испытания, весь загрузочный балласт должен состоять из материала испытуемой пробы, например при испытании контрастно окрашенных или разноцветных текстильных материалов в текстильных изделиях.
6.1 Эталонные моющие средства
Номинальный состав эталонных моющих средств приведен в
6.1.1 и
6.1.2. Эталонное моющее средство (с оптическим отбеливателем)
(6.1.1) можно использовать, кроме случаев, когда оценивают цветовые характеристики. Эталонное моющее средство следует хранить в закрытых емкостях в прохладном и сухом месте.
6.1.1 Эталонное моющее средство (с оптическим отбеливателем)
Значения в %, основанные на 100% сырья (в чистом виде).
Номинальный процентный состав по массе | Процентное содержание |
ABS-Na (цепь C-12) ...................................................................... | 0,425 |
Неионогенное поверхностно-активное вещество (C13/15 7EO или C12/14 7EO) ................................................................................... | 6,000 |
Натрий цитрат дигидрат .............................................................. | 5,000 |
Натриевая соль гидроксиэтандифосфоновой кислоты (HEDP) .. | 1,000 |
Метасиликат безводный ............................................................... | 42,300 |
Полимер (полималеиновая кислота) ............................................ | 2,000 |
Ингибитор пены (эфир фосфорной кислоты) ............................. | 3,000 |
Карбонат натрия .......................................................................... | 39,500 |
Оптический отбеливатель ............................................................ | 0,300 |
Оставшаяся вода из сырья .......................................................... | 0,475 |
| 100,000 |
Из-за изменчивости, которая может возникнуть в результате процедуры производства моющего средства или его старения, для сравнительных испытаний рекомендуется использовать эталонное моющее средство, поставляемое одним определенным изготовителем из одной производственной партии и недавних поставок. Рекомендуется хранить моющее средство и отбеливатели отдельно. Также рекомендуется хранить моющие средства и отбеливатели в небольших количествах и использовать их в течение ограниченного времени.
6.1.2 Эталонное моющее средство (без оптического отбеливателя)
Значения в %, основанные на 100% сырья (в чистом виде)
Номинальный процентный состав по массе | Процентное содержание |
ABS-Na (цепь C-12) ...................................................................... | 0,425 |
Неионогенное поверхностно-активное вещество (C13/15 7EO или C12/14 7EO) ................................................................................... | 6,000 |
Натрий цитрат дигидрат .............................................................. | 5,000 |
Натриевая соль гидроксиэтандифосфоновой кислоты (HEDP) .. | 1,000 |
Метасиликат безводный .............................................................. | 42,600 |
Полимер (полималеиновая кислота) ............................................ | 2,000 |
Ингибитор пены (эфир фосфорной кислоты) ............................. | 3,000 |
Карбонат натрия .......................................................................... | 39,500 |
Оставшаяся вода из сырья .......................................................... | 0,475 |
| 100,000 |
Из-за изменчивости, которая может возникнуть в результате процедуры производства моющего средства или его старения, для сравнительных испытаний рекомендуется использовать эталонное моющее средство, поставляемое одним определенным изготовителем из одной производственной партии и недавних поставок. Рекомендуется хранить моющее средство и отбеливатели отдельно. Также рекомендуется хранить моющие средства и отбеливатели в небольших количествах и использовать их в течение ограниченного времени.
6.2 Отбеливатель на основе перуксусной кислоты
Номинальный состав стандартного отбеливателя на основе перуксусной кислоты следующий:
- перуксусная кислота: от 4% до 5%;
- пероксид водорода: от 20% до 30%.
Состав можно использовать в течение 30 дней с момента приготовления.
Номинальный состав стандартного хлорного отбеливателя следующий:
- 150 г/л активного хлора (NaOCl).
Необходимо проверить концентрацию перед использованием.
Состав можно использовать в течение 30 дней с момента приготовления.
6.4 Отбеливатель на основе пероксида водорода
Используют один из следующих доступных растворов пероксида водорода.
| Вариант A | Вариант B |
Концентрация в выражении объем/объем | 100 | 130 |
Концентрация в выражении масса/объем % | 30 | 40 |
Концентрация в выражении масса/масса % | 27,5 | 35,0 |
Необходимо проверить концентрацию перед использованием.
Состав допускается использовать в течение 30 дней с момента приготовления.
6.5 Антихлор
Пример - Метабисульфит натрия, бисульфит натрия.
6.6 Вода со следующими качественными характеристиками:
a) жесткость: <= 100 мг/л CaCO3;
b) pH: от 6,0 до 7,5;
c) содержание металлов: Fe <= 0,1 мг/л; Mn <= 0,03 мг/л; Cu <= 0,05 мг/л;
d) температура: (15 +/- 5) °C (отклонения должны быть указаны в протоколе испытаний).
7 Испытуемая(ые) проба(ы)
Испытуемая проба должна представлять собой готовый предмет одежды или составной образец. Составной образец должен включать все части элементов, представленные в готовом изделии, объединенные в репрезентативный пакет элементов <1>, особенно в отношении измерений.
--------------------------------
<1> В настоящем стандарте под "репрезентативным пакетом элементов" подразумевается типовой образец продукции в виде совокупности всех материалов и фурнитуры, представленной в точном соответствии с конструкцией готового изделия.
Минимум три испытуемые пробы должны быть подвергнуты процедурам стирки и сушки/отделки, указанным в настоящем стандарте. Фактическое количество испытуемых проб должно определяться целью, для которой испытывают материал.
8.1 Процедуру стирки, которая будет использоваться, выбирают из приведенных в
таблицах 1,
2,
3 и
4.
Таблица 1
Процедуры стирки белой одежды для работников и/или
с деликатной цветной отделкой - Перуксусная кислота
| | | 2 Уменьшенная загрузка <b> |
Коэффициент загрузки | 1:12 | 1:17 |
Перемешивание при нагревании, стирке и полоскании | Нормальное | Нормальное |
Стирка |
| Коэффициент жидкости | 1:4 | 1:4 |
| Моющие средства и добавки | | |
| Температура | (75 +/- 2) °C | (75 +/- 2) °C |
| | 20 мин | 20 мин |
| | Нет | Да |
| Слив | 1 мин | 1 мин |
| Промежуточный отжим | 1 мин | Нет |
Полоскание 1 |
| Коэффициент жидкости | 1:5 | 1:5 |
| | 3 мин | 3 мин |
| Слив | 1 мин | 1 мин |
| Промежуточный отжим | 1 мин | 1 мин |
Полоскание 2 |
| Коэффициент жидкости | 1:5 | 1:5 |
| | 3 мин | 3 мин |
| Слив | 1 мин | 1 мин |
| Промежуточный отжим | 1 мин | 1 мин |
Полоскание 3 |
| Коэффициент жидкости | 1:5 | 1:5 |
| | 3 мин | 3 мин |
| Слив | 1 мин | 1 мин |
| Заключительный отжим (предполагаемое время) | 6 мин | 6 мин |
| Остаточная влажность | 50% - 55% | 35% - 40% |
<b> Например, смесь полиэфира с хлопком. <c> Время стирки отсчитывают от момента достижения необходимой температуры. <d> Охлаждение: 10 мин доливается холодная вода, чтобы снизить температуру максимум до 55 °C (не более чем на 3 °C/мин). <e> Время полоскания отсчитывают от момента достижения необходимого уровня жидкости. |
Таблица 2
Процедуры стирки белой одежды для работников -
Хлорный отбеливатель
| | | 2 Уменьшенная загрузка <b> |
Коэффициент загрузки | 1:12 | 1:17 |
Перемешивание при нагревании, стирке и полоскании | Нормальное | Нормальное |
Стирка |
| Коэффициент жидкости | 1:4 | 1:4 |
| Моющие средства | | |
| Температура | (85 +/- 2) °C | (75 +/- 2) °C |
| | 20 мин | 20 мин |
| | Нет | Да |
| Слив | 1 мин | 1 мин |
| Промежуточный отжим | 1 мин | Нет |
Полоскание 1 |
| Коэффициент жидкости | 1:5 | 1:5 |
| | 3 мин | 3 мин |
| Слив | 1 мин | 1 мин |
| Промежуточный отжим | 1 мин | 1 мин |
Полоскание 2 |
| Коэффициент жидкости | 1:5 | 1:5 |
| Добавки (хлор) | | |
| | 3 мин | 3 мин |
| Слив | 1 мин | 1 мин |
| Промежуточный отжим | 1 мин | 1 мин |
Полоскание 3 |
| Коэффициент жидкости | 1:5 | 1:5 |
| Добавки (антихлор) | 1 г/л | 1 г/л |
| | 3 мин | 3 мин |
| Слив | 1 мин | 1 мин |
| Заключительный отжим (предполагаемое время) | 6 мин | 6 мин |
| Остаточная влажность | 50% - 55% | 35% - 40% |
<b> Например, смесь полиэфира с хлопком. <c> Время стирки отсчитывают с момента достижения необходимой температуры. <d> Охлаждение: 10 мин доливается холодная вода, чтобы снизить температуру максимум до 55 °C (не более чем на 3 °C/мин). <e> Время полоскания отсчитывают от момента достижения необходимого уровня жидкости. |
Таблица 3
Процедуры стирки белой одежды для работников и/или
с деликатной цветной отделкой - Пероксид водорода
| | | 2 Уменьшенная загрузка <b> |
Коэффициент загрузки | 1:12 | 1:17 |
Перемешивание при нагревании, стирке и полоскании | Нормальное | Нормальное |
Стирка |
| Коэффициент жидкости | 1:4 | 1:4 |
| Моющие средства и добавки | | |
| Температура | (85 +/- 2) °C | (85 +/- 2) °C |
| | 20 мин | 20 мин |
| | Нет | Да |
| Слив | 1 мин | 1 мин |
| Промежуточный отжим | 1 мин | Нет |
Полоскание 1 |
| Коэффициент жидкости | 1:5 | 1:5 |
| | 3 мин | 3 мин |
| Слив | 1 мин | 1 мин |
| Промежуточный отжим | 1 мин | 1 мин |
Полоскание 2 |
| Коэффициент жидкости | 1:5 | 1:5 |
| | 3 мин | 3 мин |
| Слив | 1 мин | 1 мин |
| Промежуточный отжим | 1 мин | 1 мин |
Полоскание 3 |
| Коэффициент жидкости | 1:5 | 1:5 |
| | 3 мин | 3 мин |
| Слив | 1 мин | 1 мин |
| Заключительный отжим (предполагаемое время) | 6 мин | 6 мин |
| Остаточная влажность | 50% - 55% | 35% - 40% |
<b> Например, смесь полиэфира с хлопком. <c> Время стирки отсчитывают от момента достижения необходимой температуры. <d> Охлаждение: 10 мин доливается холодная вода, чтобы снизить температуру максимум до 55 °C (не более чем на 3 °C/мин). <e> Время полоскания отсчитывают от момента достижения необходимого уровня жидкости. |
Таблица 4
Процедуры стирки цветной одежды для работников
| | | 2 Уменьшенная загрузка <b> |
Коэффициент загрузки | 1:12 | 1:17 |
Перемешивание при нагревании, стирке и полоскании | Нормальное | Нормальное |
Стирка |
| Коэффициент жидкости | 1:4 | 1:4 |
| Моющие средства | | |
| Температура | (85 +/- 2) °C | (75 +/- 2) °C |
| | 20 мин | 20 мин |
| | Нет | Да |
| Слив | 1 мин | 1 мин |
| Промежуточный отжим | 1 мин | Нет |
Полоскание 1 |
| Коэффициент жидкости | 1:5 | 1:5 |
| | 3 мин | 3 мин |
| Слив | 1 мин | 1 мин |
| Промежуточный отжим | 1 мин | 1 мин |
Полоскание 2 |
| Коэффициент жидкости | 1:5 | 1:5 |
| | 3 мин | 3 мин |
| Слив | 1 мин | 1 мин |
| Промежуточный отжим | 1 мин | 1 мин |
Полоскание 3 |
| Коэффициент жидкости | 1:5 | 1:5 |
| | 3 мин | 3 мин |
| Слив | 1 мин | 1 мин |
| Заключительный отжим (предполагаемое время) | 6 мин | 6 мин |
| Остаточная влажность | 50% - 55% | 35% - 40% |
<b> Например, смесь полиэфира с хлопком. <c> Время стирки отсчитывается от момента достижения необходимой температуры. <d> Охлаждение: 10 мин доливается холодная вода, чтобы снизить температуру максимум до 55 °C (не более чем на 3 °C/мин). <e> Время полоскания отсчитывается от момента достижения необходимого уровня жидкости. |
8.2 Испытуемые пробы (и балласт) кондиционируют в соответствии с ISO 139 (20 °C, 65% относительной влажности) и подготавливают в соответствии с ISO 3759, если это необходимо. Определяют массу кондиционированной испытуемой пробы. Помещают испытуемые пробы для стирки в стиральную машину/экстрактор
(5.1) и добавляют загрузочный балласт
(5.4), достаточный для создания загрузки в соответствии с размерами машины и коэффициентом загрузки. Следуют описаниям соответствующей процедуры стирки, выбранной из
таблиц 1,
2,
3 или
4.
8.3 Используют воду, как указано в
6.6. Добавляют моющее средство и добавки в соответствии с выбранной процедурой стирки. Допускается использовать эталонное моющее средство с оптическим отбеливателем
(6.1.1), за исключением случаев, когда необходимо оценить цветовые характеристики.
8.4 В процессе заключительного полоскания для корректировки значения pH испытуемой пробы можно использовать уксусную кислоту. Если используют уксусную кислоту, это фиксируют вместе со значением pH высушенной испытуемой пробы (измеренным в соответствии с ISO 3071). Значение pH высушенной испытуемой пробы (определенное в соответствии с ISO 3071) должно находиться в диапазоне pH от 5,5 до 7,0.
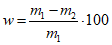
8.5 После завершения заключительного отжима в процедуре стирки испытуемые пробы вынимают, не растягивая и не деформируя их. Определяют массу постиранных испытуемых проб, чтобы можно было рассчитать удержание влаги в испытуемых пробах в соответствии с процедурой стирки. Остаточная влажность текстильного изделия должна быть определена по формуле:

, (2)
где w - остаточная влажность текстильного изделия, выраженная в процентах от кондиционированной массы;
m1 - масса кондиционированных испытуемых проб текстильного изделия, кг;
m2 - масса испытуемых проб текстильного изделия после отжима, кг.
8.6 Всю загрузку сушат, используя одну из процедур сушки/отделки, описанных в
разделе 9.
9.1 Процедура A. Сушка в сушильной машине барабанного типа
Помещают всю загрузку (коэффициент загрузки от 1:25 до 1:35) в сушильную машину барабанного типа
(5.2), температура на выходе из барабанной установки не должна превышать 90 °C. Сушат до полного высыхания загрузки, затем отключают нагрев и продолжают вращение в течение 5 мин (остывание). Загрузка считается сухой, когда остаточное содержание влаги по отношению к кондиционированным испытуемым пробам составляет (0 +/- 3)%. Затем загрузку вынимают.
9.2 Процедура B. Отделка в машине туннельного типа/шкафу
Испытуемые пробы на вешалках помещают в предварительно нагретый паровой шкаф
(5.3). Паровой шкаф эксплуатируют полностью загруженным, с не менее чем одним предметом одежды балласта с каждого конца. На машине для отделки устанавливают температуру воздуха 155 °C и время работы не менее 3 мин. Если температура на входе не измеряется автоматически и показания не отображаются на дисплее панели управления, температура окружающего воздуха должна измеряться с помощью системы измерения температуры в верхней части сушильной камеры. Распыляемый пар должен подаваться в течение от 1 мин до одной трети от общего времени отделки. Загрузку считают сухой, когда температура загрузки достигает 135 °C - 140 °C. Температуру испытуемой пробы измеряют с использованием системы измерения температуры на расстоянии от 150 мм до 200 мм от верхнего края вешалки, как указано в
приложении A.
Для получения дополнительной информации о свойствах испытуемых проб может быть использована машина для отделки туннельного типа непрерывного действия. Отклонения от условий эксплуатации в
5.3 должны быть указаны в
10 e) и
10 k).
В протоколе испытаний должна быть указана следующая информация:
a) наименование испытательного центра и идентификационный номер протокола;
b) дата проведения испытания;
c) ссылка на настоящий стандарт;
d) идентификация и описание испытуемых проб;
e) тип машины в соответствии с
5.1,
5.2 и
5.3, а также используемые процедуры стирки и сушки/отделки;
f) общее число процедур стирки и сушки/отделки, проведенных на испытуемых пробах;
g) тип и концентрация используемого моющего средства/оптического отбеливателя
(6.1) и добавок (
6.2,
6.3,
6.4);
h) если при заключительном полоскании использована уксусная кислота - концентрация используемой уксусной кислоты и значение pH высушенных испытуемых проб;
i) общая масса испытуемых проб и загрузочного балласта и тип загрузочного балласта
(5.4);
j) настройки/заданные температуры сушки;
k) сведения о любом отклонении от указанных процедур.
(обязательное)
ДОПОЛНИТЕЛЬНАЯ ИНФОРМАЦИЯ ДЛЯ ПРОЦЕДУРЫ B.
МАШИНА ТУННЕЛЬНОГО ТИПА/ШКАФ ДЛЯ ОТДЕЛКИ
Температура должна определяться на поверхности испытуемого образца на расстоянии от 150 до 200 мм от верхнего края вешалки (см.
рисунок A.1).
--------------------------------
<a> Измерение температуры.
Рисунок A.1 - Положение датчика температуры
на испытуемой пробе
Система измерения температуры должна определять температуру на поверхности испытуемой пробы. При использовании датчика необходимо убедиться в правильности измерений, изолировав его от температуры окружающего воздуха (см.
рисунок A.2). Крепление может быть выполнено с помощью подходящей клейкой ленты, двух стежков или соответствующих зажимов. Измерительная часть датчика должна быть размещена на внутренней поверхности образца в холодной пограничной фазе (см.
рисунок A.3).
1 - стежки для фиксации; 2 - измерительная часть датчика
Рисунок A.2 - Крепление датчика температуры
на испытуемой пробе (вид спереди)
--------------------------------
<a> Горячий воздушный поток.
<b> Измерительная часть датчика.
1 - влажная испытуемая проба; 2 - стежки для фиксации;
3 - соединительный штекер; 4 - холодная пограничная фаза
Рисунок A.3 - Крепление датчика температуры
на испытуемом образце (вид сбоку)
При использовании температурных полосок для каждой загрузки должен быть выполнен цикл калибровки для установки подходящего времени сушки.
При измерении с использованием инфракрасных датчиков не должно быть никаких препятствий между испытуемой пробой и датчиком.
При измерении с использованием датчиков температуры или инфракрасных датчиков должна быть проведена перекрестная проверка температуры с помощью температурных сенсорных полосок. Для измерения температуры должна быть сделана калибровка блоков управления.
Если должны быть испытаны определенные зоны на испытуемой пробе (например, швы), в этих зонах также должна быть определена температура.
(справочное)
СВЕДЕНИЯ О СООТВЕТСТВИИ ССЫЛОЧНЫХ МЕЖДУНАРОДНЫХ СТАНДАРТОВ
МЕЖГОСУДАРСТВЕННЫМ СТАНДАРТАМ
Таблица ДА.1
Обозначение ссылочного международного стандарта | Степень соответствия | Обозначение и наименование соответствующего межгосударственного стандарта |
ISO 139 | IDT | ГОСТ ISO 139-2014 "Материалы текстильные. Стандартные атмосферные условия для проведения кондиционирования и испытаний" |
ISO 3071 | IDT | |
ISO 3759 | IDT | ГОСТ ISO 3759-2013 "Материалы текстильные. Подготовка, нанесение меток и измерение проб текстильных материалов и одежды для проведения испытаний по определению изменения размеров" |
Примечание - В настоящей таблице использовано следующее условное обозначение степени соответствия стандартов: - IDT - идентичные стандарты. |
--------------------------------
<1>
Настоящий стандарт идентичен ISO 3071:2005. В настоящее время действует ISO 3071:2020.
УДК 677.017.855:006.354 | | IDT |
Ключевые слова: одежда для работников, материалы текстильные, изделия текстильные, процедура, промышленный уход, стирка, отделка, сушка |