Главная // Актуальные документы // ГОСТ (Государственный стандарт)СПРАВКА
Источник публикации
М.: ФГБУ "РСТ", 2022
Примечание к документу
Текст данного документа приведен с учетом
поправки, опубликованной в "ИУС", N 8, 2023.
Документ
введен в действие с 01.02.2023.
Название документа
"ГОСТ EN 14025-2020. Межгосударственный стандарт. Цистерны для перевозки опасных грузов. Цистерны металлические под давлением. Требования к конструкции и изготовлению"
(введен в действие Приказом Росстандарта от 05.09.2022 N 875-ст)
"ГОСТ EN 14025-2020. Межгосударственный стандарт. Цистерны для перевозки опасных грузов. Цистерны металлические под давлением. Требования к конструкции и изготовлению"
(введен в действие Приказом Росстандарта от 05.09.2022 N 875-ст)
Приказом Федерального агентства
по техническому регулированию
и метрологии
от 5 сентября 2022 г. N 875-ст
МЕЖГОСУДАРСТВЕННЫЙ СТАНДАРТ
ЦИСТЕРНЫ ДЛЯ ПЕРЕВОЗКИ ОПАСНЫХ ГРУЗОВ
ЦИСТЕРНЫ МЕТАЛЛИЧЕСКИЕ ПОД ДАВЛЕНИЕМ
ТРЕБОВАНИЯ К КОНСТРУКЦИИ И ИЗГОТОВЛЕНИЮ
Tanks for transport of dangerous goods. Metallic
pressure tanks. Design and construction requirements
(EN 14025:2018, Tanks
die

- Metallische Drucktanks - Auslegung und Bau, IDT)
ГОСТ EN 14025-2020
Дата введения
1 февраля 2023 года
Цели, основные принципы и общие правила проведения работ по межгосударственной стандартизации установлены
ГОСТ 1.0 "Межгосударственная система стандартизации. Основные положения" и
ГОСТ 1.2 "Межгосударственная система стандартизации. Стандарты межгосударственные, правила и рекомендации по межгосударственной стандартизации. Правила разработки, принятия, обновления и отмены"
1 ПОДГОТОВЛЕН Научно-производственным республиканским унитарным предприятием "Белорусский государственный институт стандартизации и сертификации" (БелГИСС) на основе собственного перевода на русский язык немецкоязычной версии стандарта, указанного в
пункте 5
2 ВНЕСЕН Государственным комитетом по стандартизации Республики Беларусь
3 ПРИНЯТ Межгосударственным советом по стандартизации, метрологии и сертификации по результатам голосования в АИС МГС (протокол от 30 октября 2020 г. N 134-П)
За принятие проголосовали:
Краткое наименование страны по МК (ИСО 3166) 004-97 | Код страны по МК (ИСО 3166) 004-97 | Сокращенное наименование национального органа по стандартизации |
Азербайджан | AZ | Азстандарт |
Беларусь | BY | Госстандарт Республики Беларусь |
Киргизия | KG | Кыргызстандарт |
Россия | RU | Росстандарт |
Таджикистан | TJ | Таджикстандарт |
Узбекистан | UZ | Узстандарт |
4 Приказом Федерального агентства по техническому регулированию и метрологии от 5 сентября 2022 г. N 875-ст межгосударственный стандарт ГОСТ EN 14025-2020 введен в действие в качестве национального стандарта Российской Федерации с 1 февраля 2023 г.
5 Настоящий стандарт идентичен европейскому стандарту EN 14025:2018 "Цистерны для перевозки опасных грузов. Металлические напорные цистерны. Проектирование и конструкция" ("Tanks

die

- Metallische Drucktanks - Auslegung und Bau", IDT).
Европейский стандарт разработан Техническим комитетом CEN/TC 296 "Цистерны для перевозки опасных грузов" Европейского комитета по стандартизации (CEN).
Наименование настоящего стандарта изменено относительно наименования указанного европейского стандарта для приведения в соответствие с ГОСТ 1.5
(подраздел 3.6).
При применении настоящего стандарта рекомендуется использовать вместо ссылочных европейских и международных стандартов соответствующие им межгосударственные стандарты, сведения о которых приведены в дополнительном
приложении ДА
6 ВВЕДЕН ВПЕРВЫЕ
Информация о введении в действие (прекращении действия) настоящего стандарта и изменений к нему на территории указанных выше государств публикуется в указателях национальных стандартов, издаваемых в этих государствах, а также в сети Интернет на сайтах соответствующих национальных органов по стандартизации.
В случае пересмотра, изменения или отмены настоящего стандарта соответствующая информация будет опубликована на официальном интернет-сайте Межгосударственного совета по стандартизации, метрологии и сертификации в каталоге "Межгосударственные стандарты"
Европейский стандарт разработан Техническим комитетом по стандартизации CEN/TC 296 "Цистерны для перевозки опасных грузов" Европейского комитета по стандартизации (CEN).
Виды и периодичность проверок и испытаний, а также требования определяются соответствующими правилами, касающимися перевозки опасных грузов. Настоящий стандарт является обязательным, если он заявлен в соответствующих правилах, касающихся перевозки опасных грузов. Во всех остальных случаях он является добровольным для применения в отношении испытаний, проверок и маркировки металлических цистерн.
Настоящий стандарт устанавливает минимальные требования к конструкции и изготовлению металлических цистерн с максимальным рабочим давлением, превышающим 50 кПа (0,5 бар), используемых для перевозки опасных грузов автомобильным и железнодорожным транспортом, а также на морских судах. Настоящий стандарт содержит требования к отверстиям, крышкам и конструктивному оборудованию. Требования к эксплуатационному оборудованию не рассматриваются в настоящем стандарте. Для цистерн, используемых для перевозки криогенных жидкостей, применяют EN 13530-1 и EN 13530-2.
Конструирование и изготовление металлических цистерн под давлением осуществляют прежде всего с учетом требований
МПОГ/
ДОПОГ (Правила международной перевозки опасных грузов по железным дорогам/Европейское соглашение о международной дорожной перевозке опасных грузов) (пункты 6.8.2.1, 6.8.3.1 и 6.8.5). Также применяют требования, установленные в
МПОГ/
ДОПОГ (глава 3.2 (колонки 12 и 13 таблицы A), глава 4.3 и пункт 6.8.2.4). В отношении конструктивного оборудования применяют требования, установленные в
МПОГ/
ДОПОГ (пункты 6.8.2.2 или 6.8.3.2), а также термины с соответствующими определениями, установленные в
МПОГ/
ДОПОГ (пункт 1.2.1). В отношении переносных цистерн рассматриваются положения
МПОГ/
ДОПОГ (глава 4.2), а также требования пункта 6.7.2. Кроме того, применяют требования, установленные в
МПОГ/
ДОПОГ (глава 3.2 (колонки 10 и 11 таблицы A), глава 4.3), а также требования пунктов 6.7.2 и 6.7.3. Вышеуказанные пункты относятся к редакциям
МПОГ/
ДОПОГ 2017 года, актуализация которых может привести к некоторым несоответствиям с EN 14025.
Настоящий стандарт применяют при перевозке сжиженных газов, в том числе сжиженного нефтяного газа (LPG). Однако при перевозке специализированного сжиженного нефтяного газа (LPG) применяют EN 12493.
Требования, изложенные по всей ширине страницы, применяют ко всем видам цистерн, если не установлено иное. Требования, изложенные только в одной колонке, применяют исключительно к цистернам согласно
МПОГ/
ДОПОГ (глава 6.8, левая колонка), переносным цистернам согласно
МПОГ/
ДОПОГ (глава 6.7, правая колонка).
В настоящем стандарте использованы нормативные ссылки на следующие стандарты [для датированных ссылок применяют только указанное издание ссылочного стандарта, для недатированных - последнее издание (включая все изменения)]:
EN 1591-1, Flansche und ihre Verbindungen - Regeln

die Auslegung von Flanschverbindungen mit runden Flanschen und Dichtung - Teil 1: Berechnung (Фланцы и их соединения. Правила проектирования круглых фланцевых соединений с уплотнением. Часть 1. Расчет) (Flanges and their joints - Design rules for gasketed circular flange connections - Part 1: Calculation)
EN 12972, Tanks

die

-

, Inspektion und Kennzeichnung von Metalltanks (Цистерны для перевозки опасных грузов. Испытание, контроль и маркировка металлических резервуаров) (Tanks for transport of dangerous goods - Testing, inspection and marking of metallic tanks)
EN 13094:2015 <*>, Tanks

die

- Metalltanks mit einem Betriebsdruck von

0,5 bar - Auslegung und Bau (Цистерны для перевозки опасных грузов. Металлические цистерны с рабочим давлением не выше 0,5 бар. Проектирование и конструкция) (Tanks for the transport of dangerous goods - Metallic tanks with a working pressure not exceeding 0,5 bar - Design and construction)
--------------------------------
<*> Заменен на EN 13094:2020. Однако для однозначного соблюдения требования настоящего стандарта, выраженного в датированной ссылке, рекомендуется использовать только указанное в этой ссылке издание.
EN 13445-2, Unbefeuerte

- Teil 2: Werkstoffe (Сосуды, работающие под давлением, без огневого подвода теплоты. Часть 2. Материалы) (Unfired pressure vessels - Part 2: Materials)
EN 13445-3:2014, Unbefeuerte

- Teil 3: Konstruktion (Сосуды, работающие под давлением, без огневого подвода теплоты. Часть 3. Проектирование) (Unfired pressure vessels - Part 3: Design)
EN 13445-4, Unbefeuerte

- Teil 4: Herstellung (Сосуды, работающие под давлением, без огневого подвода теплоты. Часть 4. Изготовление) (Unfired pressure vessels - Part 4: Fabrication)
EN 13445-8, Unbefeuerte

- Teil 8:

Anforderungen an

aus Aluminium und Aluminiumlegierungen (Сосуды, работающие под давлением, без огневого подвода теплоты. Часть 8. Дополнительные требования к сосудам, работающим под давлением, из алюминия и алюминиевых сплавов) (Unfired pressure vessels - Part 8: Additional requirements for pressure vessels of aluminium and aluminium alloys)
EN ISO 3834-1,

das

von metallischen Werkstoffen - Teil 1: Kriterien

die Auswahl der geeigneten Stufe der

(ISO 3834-1) (Требования к качеству сварки металлов плавлением. Часть 1. Руководство по выбору и применению) (Quality requirements for fusion welding of metallic materials - Part 1: Criteria for the selection of the appropriate level of quality requirements)
EN ISO 3834-2,

das

von metallischen Werkstoffen - Teil 2: Umfassende

(ISO 3834-2) (Требования к качеству сварки металлов плавлением. Часть 2. Всесторонние требования) (Quality requirements for fusion welding of metallic materials - Part 2: Comprehensive quality requirements)
EN ISO 9606-1,

von

-

- Teil 1:

(ISO 9606-1) (Квалификационные испытания сварщиков. Сварка плавлением. Часть 1. Стали) (Qualification testing of welders - Fusion welding - Part 1: Steels)
EN ISO 9606-2,

von

-

- Teil 2: Aluminium und Aluminiumlegierungen (ISO 9606-2) (Квалификационные испытания сварщиков. Сварка плавлением. Часть 2. Алюминий и алюминиевые сплавы) (Qualification test of welders - Fusion welding - Part 2: Aluminium and aluminium alloys)
EN ISO 14732,

-

von Bedienern und Einrichtern zum mechanischen und automatischen

von metallischen Werkstoffen (ISO 14732) (Персонал, осуществляющий сварку. Квалификационные испытания операторов сварки и наладчиков сварки для механизированной и автоматической сварки металлических материалов) (Welding personnel - Qualification testing of welding operators and weld setters for mechanized and automatic welding of metallic materials)
EN ISO 15607, Anforderung und Qualifizierung von

metallische Werkstoffe - Allgemeine Regeln (ISO 15607) (Техническая инструкция и аттестация технологических процессов сварки металлических материалов. Общие правила) (Specification and qualification of welding procedures for metallic materials - General rules)
EN ISO 15609-1, Anforderung und Qualifizierung von

metallische Werkstoffe -

- Teil 1:

(ISO 15609-1) (Технические требования и квалификация технологии сварки металлических материалов. Технические требования к процессу сварки. Часть 1. Дуговая сварка) (Specification and qualification of welding procedures for metallic materials - Welding procedure specification - Part 1: Arc welding)
EN ISO 15609-3, Anforderung und Qualifizierung von

metallische Werkstoffe -

- Teil 3:

(ISO 15609-3) (Технические требования и квалификация технологии сварки металлических материалов. Технические требования к процессу сварки. Часть 3. Электронно-лучевая сварка) (Specification and qualification of welding procedures for metallic materials - Welding procedures specification - Part 3: Electron beam welding)
EN ISO 15609-4, Anforderung und Qualifizierung von

metallische Werkstoffe -

- Teil 4:

(ISO 15609-4) (Технические требования и квалификация технологии сварки металлических материалов. Технические требования к процессу сварки. Часть 4. Сварка лазерным лучом) (Specification and qualification of welding procedures for metallic materials - Welding procedures specification - Part 4: Laser beam welding)
EN ISO 15613, Anforderung und Qualifizierung von

metallische Werkstoffe - Qualifizierung aufgrund einer vorgezogenen

(ISO 15613) (Технические требования и квалификация технологии сварки металлических материалов. Оценка на основе испытания опытных образцов сварки) (Specification and qualification of welding procedures for metallic materials - Qualification based on pre-production welding test)
EN ISO 15614-1, Anforderung und Qualifizierung von

metallische Werkstoffe -

- Teil 1: Lichtbogen- und

von

und

von Nickel und Nickellegierungen (ISO 15614-1) (Технические требования и квалификация технологии сварки металлических материалов. Испытание технологического процесса сварки. Часть 1. Дуговая и газовая сварка сталей и дуговая сварка никеля и никелевых сплавов) (Specification and qualification of welding procedures for metallic materials - Welding procedure test - Part 1: Arc and gas welding of steels and arc welding of nickel and nickel alloys)
EN ISO 15614-2, Anforderung und Qualifizierung von

metallische Werkstoffe -

- Teil 2:

von Aluminium und seinen Legierungen (ISO 15614-2) (Технические требования и квалификация технологии сварки металлических материалов. Испытание технологического процесса сварки. Часть 2. Дуговая сварка алюминия и алюминиевых сплавов) (Specification and qualification of welding procedures for metallic materials - Welding procedure test - Part 2: Arc welding of aluminium and its alloys)
ISO 1496-3, Series 1 freight containers - Specification and testing - Part 3: Tank containers for liquids, gases and pressurized dry bulk (Контейнеры грузовые серии 1. Технические условия и испытания. Часть 3. Контейнеры-цистерны для жидкостей, газов и сухих насыпных грузов под давлением)
ISO 7005-1, Pipe flanges - Part 1: Steel flanges for industrial and general service piping systems (Фланцы труб. Часть 1. Стальные фланцы для систем трубопроводов промышленного и общего назначения)
3 Термины, определения и обозначения
3.1 Термины и определения
В настоящем стандарте применен следующий термин с соответствующим определением.
Терминологические базы данных ISO и IEC в области стандартизации находятся по следующим адресам:
- энциклопедия IEC: http://www.electropedia.org;
- онлайн-платформа просмотра ISO: http://www.iso.org/ob.
3.2
цистерна под давлением (pressure tank <*>; Drucktank <**>): Цистерна с максимальным рабочим давлением, превышающим 50 кПа (0,5 бар), как определено в международных правилах по перевозке опасных грузов автомобильным или железнодорожным транспортом (
МПОГ/
ДОПОГ).
--------------------------------
<*> en.
<**> de.
3.3 Обозначения
В тексте стандарта применены следующие общие обозначения. Они перечислены в алфавитном порядке, а специальные обозначения поясняются к соответствующим формулам. Дополнительные обозначения, применяемые в тексте стандарта, поясняются в
МПОГ/
ДОПОГ (глава 6.8),
МПОГ/
ДОПОГ (глава 6.7).
A1 | - минимальное относительное удлинение выбранного металла при разрыве, %; |
di | - внутренний диаметр отверстия; |
D | - внутренний диаметр корпуса цистерны, мм; |
Dc | - средний диаметр цилиндрической части цистерны в месте соединения с конической частью; |
De | - наружный диаметр цилиндрической части цистерны или прямого участка выпуклого днища; |
Di | - внутренний диаметр цилиндрической части цистерны или прямого участка выпуклого днища; | Di | - диаметр корпуса цистерны, м, составляющий не менее 1,8 м; |
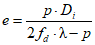
e | - требуемая минимальная толщина стенки корпуса цистерны, мм; |
e0 | - минимальная толщина стенки корпуса из мягкой стали в соответствии с МПОГ/ ДОПОГ (пункты 6.8.2.1.18 и 6.8.2.1.19), мм; |
e1 | - минимальная толщина стенки корпуса цистерны из выбранного металла, мм; |
eк | - толщина стенки конической части корпуса цистерны; |
eR | - толщина стенки полусферического днища; |
E | - модуль упругости; |
K | - коэффициент формы эллиптических днищ; |
fd | - номинальное расчетное напряжение (допустимое напряжение); |
h | - внутренняя высота эллиптического выпуклого днища; |
MWP | - максимальное рабочее давление, МПа; | MAWP | - максимально допустимое рабочее давление, МПа; |
p | - расчетное давление, МПа; | P | - расчетное давление, МПа |
pdyn | - эквивалентное динамическое давление; |
ptest | - испытательное давление, МПа; |
pvap | - давление паров при температуре 50 °C или при расчетной температуре, в зависимости от того, какое из этих значений больше, принятое в качестве числового значения абсолютного давления; | Pvap1 | - давление паров вещества при температуре 65 °C (по МПОГ/ ДОПОГ (пункт 6.7.2.1)); |
Pvap2 | - давление паров неохлажденного сжиженного газа в зависимости от типа переносной цистерны ( МПОГ/ ДОПОГ (пункт 6.7.3.1)); |
Pc | - расчетное давление, указанное в МПОГ/ ДОПОГ (пункт 6.8.2.1.14), МПа; |
PT | - испытательное давление, МПа; |
r | - внутренний радиус закатки, мм; |
R | - внутренний сферический радиус центральной части торосферического днища; |
Re | - гарантированный (верхний) предел текучести или гарантированный 0,2%-ный условный предел текучести (для аустенитных сталей может быть выбран 1%-ный условный предел текучести), Н/мм2; |
Re,t | - гарантированный (верхний) предел текучести или гарантированный 0,2%-ный условный предел текучести при соответствующей расчетной температуре (для аустенитных сталей может быть выбран 1%-ный условный предел текучести при соответствующей расчетной температуре), Н/мм2; |
Rm | - гарантированный минимальный предел прочности на разрыв, Н/мм2; |
Rm1 | - минимальный предел прочности на разрыв выбранного металла, Н/мм2; |
Rm,t | - гарантированный минимальный предел прочности на разрыв при соответствующей расчетной температуре, Н/мм2; |
| - допускаемое напряжение в соответствии с МПОГ/ ДОПОГ (пункт 6.8.2.1.16), Н/мм 2; |
S | - коэффициент запаса прочности; |
| - коэффициент прочности сварных соединений. |
4.1 Общие положения
Корпуса цистерн должны быть изготовлены из металлических материалов, устойчивых к разрушению и имеющих достаточную ударную вязкость в пределах расчетного интервала температур. Материал должен быть пригодным для формования.
Применяют EN 13445-2 и EN 13445-8, при этом минимальные требования к материалу - в соответствии с
МПОГ/
ДОПОГ (главы 6.7 и 6.8).
| Алюминий может использоваться для корпусов переносных цистерн только в том случае, если это предусмотрено в специальном положении по переносным цистернам, указанном для конкретного вещества в колонке 11 таблицы A главы 3.2, или при наличии официального разрешения компетентного органа. |
Примечание 1 - В отношении алюминия и алюминиевых сплавов применяют EN 14286.
Примечание 2 -
МПОГ/
ДОПОГ ограничивают использование материалов в отношении максимального предела текучести и предела прочности на разрыв, максимального соотношения предела текучести к пределу прочности для сварных корпусов из стали, а также в отношении минимального удлинения при разрыве для сварных корпусов из мелкозернистых сталей и из алюминия.
Сварные корпуса цистерн должны быть изготовлены из материалов, пригодных для получения качественного сварного шва.
4.2 Совместимость
Корпуса цистерн, фитинги, оборудование и трубопроводы, непосредственно контактирующие с транспортируемым(ыми) веществом(вами), должны быть изготовлены из материалов, которые:
a) устойчивы к воздействию перевозимого(ых) вещества (веществ); или
b) должным образом пассивированы или нейтрализованы с помощью химической реакции; или
c) покрыты коррозионно-стойким материалом, непосредственно связанным с корпусом или соединенным с ним эквивалентным способом.
Они должны соответствовать
МПОГ/
ДОПОГ (пункт 6.8.2.1.9),
МПОГ/
ДОПОГ (пункты 6.7.2.2 и 6.7.3.2).
Прокладки должны быть изготовлены из материалов, не восприимчивых к воздействию перевозимых веществ. Материалы цистерны, включая любые устройства, накладки, покрытия и вспомогательные элементы, не должны оказывать негативное воздействие на вещества, предназначенные для перевозки в цистерне.
Рекомендации по выбору материалов в отношении веществ, подлежащих перевозке, указаны в EN 12285-1:2003 (приложение B).
5 Требования к конструкции
5.1 Общие положения
Цистерны должны быть сконструированы таким образом, чтобы выдерживать без потери содержимого:
1) условия эксплуатации, включая статические и динамические нагрузки, возникающие при нормальных условиях перевозки. Кроме того, при конструировании переносных цистерн учитывают усталостное воздействие, обусловленное неоднократным приложением этих нагрузок в течение предполагаемого срока службы переносных цистерн;
2) условия испытаний;
3) давление взрыва, сопротивление удару (при необходимости) (см.
приложение B);
Если при заполнении или опорожнении цистерны возможны внезапные колебания температуры, то следует учитывать влияние продольной деформации при одностороннем расширении или сжатии.
5.2 Минимальная толщина стенки корпуса цистерны
Толщина стенки корпуса цистерны должна быть не менее величин, указанных в:
Рисунок 1 - Схема расчета толщины стенок корпуса
металлических цистерн под давлением, указанных
Рисунок 2 - Схема расчета толщины стенок корпуса
металлических съемных цистерн под давлением,
5.3 Уменьшение толщины стенки корпуса цистерны
Допускается уменьшение минимальной толщины стенки корпуса цистерны (см. рисунок 1), если он защищен от повреждений в результате бокового удара или опрокидывания (см. 5.4 и МПОГ/ ДОПОГ (пункты 6.8.2.1.19, 6.8.2.1.20 или 6.8.2.1.21)), при этом должны выполняться минимальные требования, указанные в МПОГ/ ДОПОГ (пункт 6.8.2.1.17). В соответствии с МПОГ для корпусов цистерн не допускается уменьшение минимальной толщины стенки в целях защиты. | Если предусмотрена дополнительная защита корпуса от повреждения согласно 5.4, то минимальная толщина стенки корпуса переносных цистерн, испытательное давление которых составляет менее 2,65 бар, может быть уменьшена пропорционально предусмотренной защите (см. МПОГ/ ДОПОГ (пункты 6.7.2.4.3 - 6.7.2.4.5)). |
5.4 Защита корпуса цистерны
5.4.1 Если требуется дополнительная защита согласно
5.3, то корпуса
контейнеров-цистерн | переносных цистерн |
считаются защищенными от повреждений, если предусмотрена одна из следующих мер:
- конструкция, у которой корпус цистерны защищен посредством сплошного ограждающего каркаса с продольными и поперечными конструктивными элементами. Конструкция должна соответствовать требованиям ISO 1496-3;
- конструкция с двойной стенкой, у которой совокупная толщина наружной металлической стенки и стенки корпуса должна соответствовать минимальной толщине стенки, установленной в:
МПОГ/ ДОПОГ (пункт 6.8.2.1.18), толщина стенки корпуса цистерны должна быть не менее минимальной толщины, установленной в МПОГ/ ДОПОГ (пункт 6.8.2.1.19). | МПОГ/ ДОПОГ (пункты 6.7.2.4.1 и 6.7.2.4.2), толщина стенки корпуса цистерны должна быть не менее значения минимальной толщины стенки, установленного в МПОГ/ ДОПОГ (пункты 6.7.2.4.3 и 6.7.2.4.4); |
- конструкция типа "сэндвич", т.е. цистерны имеют двойные стенки с промежуточным слоем из твердого материала (например, жесткий пенопласт толщиной не менее 50 мм), толщина наружной стенки должна составлять не менее 0,5 мм, если она изготовлена из мягкой стали, не менее 0,8 мм, если она изготовлена из алюминия, или не менее 2 мм, если она изготовлена из пластмассы, армированной стекловолокном. В случае применения других слоистых материалов (например, минеральная вата толщиной не менее 100 мм) толщина наружной стенки должна составлять не менее 0,8 мм, если она изготовлена из аустенитной стали. Если для защиты от повреждения используют другие комбинации материалов, то они должны иметь эквивалентную прочность. Метод сравнения прочности листов из различных материалов указан в EN 13094:2015 (приложение B).
5.4.2 Для корпусов автоцистерн - см. EN 13094:2015 (пункт 6.9.2). | |
5.5 Защита оборудования
Элементы оборудования должны быть защищены от опасности их срыва или повреждения при перевозке или погрузочно-разгрузочных работах.
Элементы оборудования цистерн, кроме вагонов-цистерн, должны быть защищены усиливающими кольцами, предохранительными колпаками, а также поперечными или продольными элементами. Защита оборудования должна соответствовать EN 13094:2015 (подраздел 6.14). Элементы оборудования контейнеров-цистерн должны быть защищены, если они находятся внутри ограждающей конструкции контейнера. Оборудование автоцистерн для перевозки веществ, в отношении которых действует специальное положение TE 19 ДОПОГ (пункт 6.8.4), требует дополнительной защиты. Также применяют требования МПОГ/ ДОПОГ (пункт 6.8.2.2). Примечание - В отношении вакуумных цистерн для отходов применяют требования МПОГ/ ДОПОГ (пункт 6.10.3.1). | Применяют требования, установленные в МПОГ/ ДОПОГ (пункты 6.7.2.5, 6.7.2.6 и 6.7.3.5). |
5.6 Дополнительные требования к конструкции
Требования к конструкции в отношении:
- люков (смотровых отверстий) с откидными крышками - см.
6.3.6.5;
- фланцевых и болтовых соединений - см.
6.3.7.
Примечание -
МПОГ/
ДОПОГ содержат требования к теплоизоляции соединений между корпусом цистерны и транспортным средством, конструкции перегородок и волногасящих переборок, герметичности прокладок, неметаллическим прокладкам, электрическому заземлению, требования в отношении обеспечения безопасной опорной конструкции при перевозке и подъемных устройств (см.
МПОГ/
ДОПОГ (пункты 6.7.2, 6.7.3, 6.8.2.1.22, 6.8.2.1.24 - 6.8.2.1.27 и 6.8.5.1.5)), которые не рассматриваются в настоящем стандарте.
Согласно
МПОГ/
ДОПОГ корпуса переносных цистерн, изготовленные из алюминия, должны быть изолированы (покрыты изоляционным слоем) для предотвращения значительного ухудшения физических свойств при воздействии на него в течение не менее 30 мин тепловой нагрузки, равной 110 кВт/м
2. Изоляция должна оставаться эффективной при любой температуре ниже 649 °C и быть покрыта материалом, имеющим температуру плавления не менее 700 °C.
6.1 Общие положения
6.1.1 Общие требования
Минимальную толщину стенки корпуса цистерны определяют в соответствии со схемами расчета, приведенными в
6.1.2 и
6.1.3.
Дополнительная прибавка на коррозию (постепенное уменьшение толщины стенки) не должна учитываться при расчете толщины стенки корпуса цистерны.
Схемы расчета, приведенные на
рисунках 1 и
2, используют для определения толщины стенок корпуса цистерн с целью соблюдения требований настоящего стандарта и
МПОГ/
ДОПОГ. При этом
рисунок 1 применяют к цистернам, указанным в
МПОГ/
ДОПОГ (глава 6.8), а
рисунок 2 - к цистернам, указанным в
МПОГ/
ДОПОГ (глава 6.7).
6.1.2 Схема расчета толщины стенок корпуса металлических цистерн под давлением, указанных в МПОГ/ДОПОГ (глава 6.8)
Выбранная толщина стенки корпуса цистерны должна быть не менее наибольшего из значений, рассчитанных в соответствии с ответвлениями A и B (
МПОГ/
ДОПОГ (пункт 6.8.2)), с одной стороны, и в соответствии с нижеследующими формулами, относящимися к условиям эксплуатации и испытаний (ответвления C и D), с другой стороны.
6.1.3 Схема расчета толщины стенок корпуса металлических переносных цистерн под давлением, указанных в МПОГ/ДОПОГ (глава 6.7)
Выбранная толщина стенки корпуса цистерны должна быть не менее наибольшего из значений, рассчитанных в соответствии с ответвлением B (
МПОГ/
ДОПОГ, пункты 6.7.2 и 6.7.3), с одной стороны, и в соответствии с нижеследующими формулами, относящимися к условиям эксплуатации и испытаний (ответвления C и D), с другой стороны.
6.2 Конструктивные критерии
Конструктивные критерии (нагрузки, допустимые напряжения, расчетная температура и т.д.), которые следует применять, определены в
таблицах 1 и
2.
Таблица 1
Конструктивные критерии для цистерн, указанных
| Условия эксплуатации | Условия испытаний |
p | MWP, но не менее чем ( pvap - 1 бар) + pdyn, в случае применения <a> | |
fd для ферритных сталей, сплавов алюминия и аустенитно-ферритных сталей | min (Re,t/1,5; Rm/2,4) | min (0,75 Re; 0,5 Rm) |
fd для аустенитных сталей с 30% <= A < 35% | Re,t/1,5 | |
fd для аустенитных сталей с A >= 35% | max [ Re,t/1,5; min ( Re,t/1,2; Rm,t/3)] <c> |
Расчетная температура | 20 °C при условии, что рабочая температура цистерны находится в диапазоне от минус 20 °C до плюс 50 °C. Если рабочая температура находится за пределами этого диапазона, то в качестве расчетной температуры принимают предельное значение рабочей температуры | Температура при испытании давлением (обычно плюс 20 °C) |
<a> Динамические нагрузки должны быть учтены. Это осуществляется путем применения эквивалентного динамического давления pdyn не менее 35 кПа (0,35 бар), определенного на основе нагрузок, указанных в МПОГ/ ДОПОГ (пункт 6.8.2.1), прибавив его к избыточному давлению пара ( pvap - 1 бар), где pvap составляет не менее 1 бар. Учитывают наибольший отсек цистерны. <b> В соответствии с МПОГ/ ДОПОГ (пункт 6.8.2.4.1). <c> Следует отметить, что гарантированные минимальные значения зависят от температуры и их выбирают соответствующим образом. В случае отсутствия стандартизированных значений применяемые значения определяют иным способом. |
Таблица 2
Конструктивные критерии для цистерн, указанных
| Условия эксплуатации | Условия испытаний |
p | MWP, но не менее чем ( pvap - 1 бар) + pdyn, в случае применения <a> | |
fd для ферритных сталей, сплавов алюминия и аустенитно-ферритных сталей | min (Re,t/1,5; Rm/2,4) | min (0,75 Re; 0,5 Rm) |
fd для аустенитных сталей с 30% <= A < 35% | Re,t/1,5 |
fd для аустенитных сталей с A >= 35% | max [ Re,t/1,5; min ( Re,t/1,2; Rm,t/3)] <c> |
Расчетная температура | 20 °C при условии, что рабочая температура цистерны находится в диапазоне от минус 20 °C до плюс 50 °C. Если рабочая температура находится за пределами этого диапазона, то в качестве расчетной температуры принимают предельное значение рабочей температуры | Температура при испытании давлением (обычно плюс 20 °C) |
<a> Динамические нагрузки должны быть учтены. Это осуществляется путем применения эквивалентного динамического давления pdyn не менее 35 кПа (0,35 бар), определенного на основе нагрузок, указанных в МПОГ/ ДОПОГ (пункт 6.8.2.1), прибавив его к избыточному давлению пара ( pvap - 1 бар), где pvap составляет не менее 1 бар. Учитывают наибольший отсек цистерны. <b> В соответствии с МПОГ/ ДОПОГ (пункты 6.7.2.3 и 6.7.3.3). <c> Следует отметить, что гарантированные минимальные значения зависят от температуры и их выбирают соответствующим образом. В случае отсутствия стандартизированных значений применяемые значения определяют иным способом. |
6.3 Расчет внутреннего давления
6.3.1 Общие положения
Толщину стенки цилиндрического участка корпуса цистерны определяют согласно
6.3.2. Толщину стенки днища (включая перегородки) определяют согласно
6.3.3.
Толщину стенки конического участка и усиления соединения конуса с цилиндром определяют согласно
6.3.4. Фланцевые и резьбовые соединения - в соответствии с
6.3.6.
Отверстия в корпусе цистерны должны быть сконструированы в соответствии с
6.3.5.
Расчет типов конструкций, не приведенных ниже, - в соответствии с EN 13445-3.
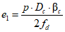
6.3.2 Толщина стенки цилиндрического участка корпуса цистерны
Толщина стенки должна быть не меньше значения, рассчитанного по
формуле (1):

. (1)
6.3.3 Толщина стенки днищ
6.3.3.1 Общие положения
Толщина стенки днищ с учетом ограничений, указанных в
6.3.3.2, должна быть не меньше указанной в
6.3.3.3 и
6.3.3.4 или
6.3.3.5 в зависимости от выбранных пунктов.
6.3.3.2 Конструктивные ограничения
Для днищ должны соблюдаться следующие конструктивные ограничения (см.
рисунок 3):
a) полусферические днища | 0,001 De <= e <= 0,16 De |
| 0,001 De <= e <= 0,08 0,06 Di <= r <= 0,2 Di r >= 2e R <= De |
| 0,001 Di <= e <= 0,08 Di 3,4 <= Di/h <= 4,4 |
Примечание - Днища типов kloepper и korbbogen являются частными случаями торосферических днищ. Днище типа kloepper - торосферическое днище, для которого R/De = 1,0 и r/De = 0,1. Днище типа korbbogen - торосферическое днище, для которого R/De = 0,8 и r/De = 0,154.
Рисунок 3 - Геометрическая форма днищ
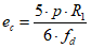
6.3.3.3 Толщина стенки полусферических днищ
Толщина стенки полусферических днищ должна быть не менее значения, рассчитанного по
формуле (2).

. (2)
6.3.3.4 Толщина стенки торосферических днищ
6.3.3.4.1 Общие положения
Минимальная толщина стенки торосферических днищ должна соответствовать наибольшему из значений
ey,
es или
eb, определенных по
формулам (3) -
(5):

, (3)

, (4)

, (5)
где eb - толщина отбортовки, необходимая для предотвращения пластической деформации;
es - толщина стенки днища, необходимая для ограничения мембранного напряжения в центральной части;
ey - толщина отбортовки, необходимая для предотвращения асимметричной деформации.
Примечание - При ey > 0,005 Di рассчитывать eb не требуется.
Допускается уменьшение толщины стенки сферического участка днища до значения
es в пределах цилиндрической поверхности, которая должна сохранять расстояние от отбортовки в

, как показано на
рисунке 3.
Прямой цилиндрический участок должен соответствовать требованиям
6.3.2, если его длина превышает

. Если его длина равна или меньше

, то допускается применять толщину, необходимую для отбортовки.
Если днища изготавливают из нескольких частей и если сварной шов пересекает цилиндрическую поверхность диаметром 0,6
De, то коэффициент прочности сварного шва принимают равным

(только для расчета толщины стенки) (см.
рисунок 4).
a) Наружный сварной шов 0,6 De
b) Внутренний сварной шов 0,6 De
c) Составные днища
Рисунок 4 - Расположение сварных швов в днищах
6.3.3.4.2 Формулы для расчета

Z = log10(1/Y), (7)
X = r/Di, (8)

. (9)
При
X = 0,06:

. (10)
При 0,06 <
X < 0,1:

. (11)
При
X = 0,1:

. (12)
При 0,1 <
X < 0,2:

. (13)
При
X = 0,2:

. (14)
6.3.3.4.3 Начало участка отбортовки днищ типов kloepper и korbbogen
6.3.3.4.3.1 В данном пункте указаны нормы увеличения толщины стенки выпуклого днища для уравнивания в пределах участка отбортовки.
Нормы ограничены в своем применении для днищ типов kloepper и korbbogen, для которых
di/De <= 0,6, (15)

. (16)
Требуемая увеличенная толщина стенки относится ко всему участку отбортовки. Уравнивание путем наваривания не допускается.
6.3.3.4.3.2 Коэффициент ослабления

определяют, используя порядок, указанный в
таблице 3.
Таблица 3
Порядок расчета коэффициента ослабления

для отверстий на участке отбортовки
Этап | Днище типа kloepper | Днище типа korbbogen |
1 | | |
2 | A = max{0,5; 0,264 + 0,938V - 0,592V2 + 0,14V3} | A = 0,54 + 0,41V - 0,044V3 |
3 | B = min{4,2; 4,91 - 2,165V + 0,151V2} | B = 7,77 - 4,53V + 0,744V2 |
4 | | |
Для определения необходимой толщины в
формуле (3) p следует заменить на

.
Формулы (4) и
(5) сохраняются, и их применяют без изменений.
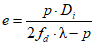
6.3.3.5 Толщина стенки эллиптических днищ
Эллиптическими днищами являются днища, изготовленные в форме правильного эллипса. Эллиптические днища должны иметь коэффициент формы K от 1,7 до 2,2.

. (17)
Эллиптические днища должны быть сконструированы как торосферические днища в соответствии с 6.3.3.5 со значениями r и R, определяемыми следующим образом:

, (18)
R = (0,44K + 0,02)Di. (19)
6.3.4 Толщина стенки конических участков
Конический участок корпуса цистерны должен соответствовать конструктивным ограничениям, указанным в
6.3.4.2. Толщину стенки определяют в соответствии с
6.3.4.3. Для получения дополнительной информации см. EN 13445-3.
6.3.4.2 Конструктивные ограничения конического участка
В данном пункте указаны нормы для правильных круглых конусов и пересечений конуса с цилиндром, где конус и цилиндр имеют одну и ту же ось вращения. Их применяют только к конусам с углом при вершине не более 120° и к конусам, для которых:

. (20)
Рисунок 5 - Геометрическая форма места соединения
цилиндра с конусом, угол

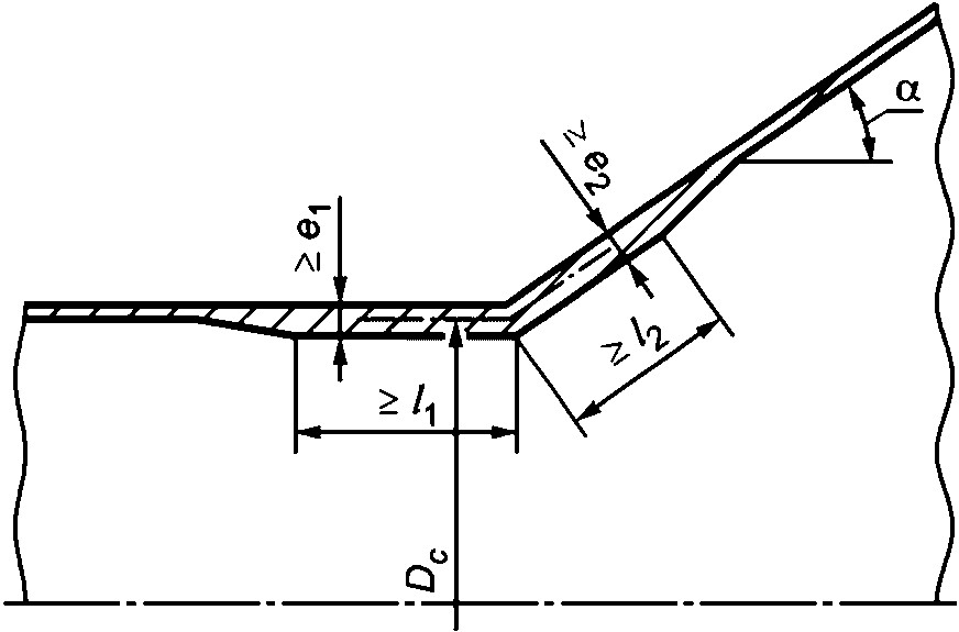
При смещении конусов между двумя цилиндрами цилиндры должны иметь смещение параллельных осевых линий по отношению друг к другу не более разности их радиусов. Требуемую толщину стенки рассчитывают в месте соединения с конусом у большого основания согласно
6.3.4.3.3 и в месте соединения с конусом у малого основания согласно
6.3.4.3.4. Так как толщина, рассчитанная таким образом, является минимально допустимой в этом случае, то конус допускается изготавливать из листового металла различной толщины при условии, что в любом месте достигается минимальная толщина стенки.
6.3.4.3 Определение толщины стенки конического участка
6.3.4.3.1 Минимальная толщина стенки конического участка
ek должна быть не менее наименьшего значения, определенного по
формуле (21), если иное не установлено в 6.3.4.3.

. (21)
6.3.4.3.2 Толщина стенки в месте соединения цилиндрического и конического участков корпуса
Условия и расчеты конструкции у большого основания конуса приведены в
6.3.4.3.3, а у малого основания конуса - в
6.3.4.3.4.
6.3.4.3.3 Место соединения с конусом у большого основания без бурта
Соединение должно быть выполнено с помощью стыкового сварного шва с плавным переходом от цилиндрического участка к коническому.
Минимальную толщину стенки в месте соединения конического и цилиндрического участков корпуса определяют по следующим двум формулам путем итерации:

, (22)

. (23)
Данная толщина должна сохраняться на расстоянии не менее 1,4
l1 от места соединения вдоль цилиндра. Требуемая толщина стенки конуса
e2, примыкающего к соединению, больше, чем
e и
ek. Эта толщина должна сохраняться на расстоянии не менее 1,4
l2 от места соединения вдоль конуса в соответствии с
рисунком 5. Расстояния
l1 и
l2 определяют следующим образом:

, (24)

. (25)
6.3.4.3.4 Минимальная толщина стенки конуса у малого основания
Этот пункт применяют при условии, если:
a) длина соединения данной толщины составляет более 2 l1 вдоль цилиндра и 2 l2 вдоль конуса от любого другого соединения или резкого изменения толщины, такого, например, как другого соединения между конусом и цилиндром или фланцем;
b) минимальная толщина стенки цилиндра
e1 сохраняется на расстоянии
l1, а минимальная толщина стенки конуса
e2 - на расстоянии
l2 от места соединения, при этом
l1 и
l2 рассчитывают по
формулам (24) и
(25) с использованием
рисунка 6;
Рисунок 6 - Геометрическая форма места соединения конуса
у малого основания с цилиндром
Минимальные толщины e1 и e2 выбирают таким образом, чтобы:

, (26)
где

, (27)

, если
S < 1, (28)

, если
S >= 1, (29)

. (30)
Примечание - Вышеуказанные требования не предусматривают отдельных значений для e1 и e2. Их следует при необходимости привести в соответствие с требованиями конструкции.
6.3.5 Отверстия и усиления
6.3.5.1 Отверстия в корпусе цистерны
6.3.5.1.1 Общие положения
Отверстия в корпусе цистерны должны быть круглыми или эллиптическими. Размер отверстий должен быть не более указанного в
6.3.5.1.2. Расстояние между отверстиями должно быть не менее указанного в
6.3.5.1.3.
Соотношение большой и малой осей эллиптических отверстий не должно превышать 2. Ось эллиптических отверстий в корпусе, расположенная вдоль продольной оси корпуса, принимают в качестве диаметра отверстия при конструировании. Для эллиптических отверстий в выпуклых днищах выбирают большую ось.
Для продолговатых отверстий в качестве диаметра принимают их наибольшую длину.
Соотношение толщины стенки патрубков и толщины стенки корпуса должно соответствовать ограничениям, указанным на
рисунке 7.
Рисунок 7 - Соотношение толщины стенки патрубков
6.3.5.1.2 Размеры отверстий в корпусе
Размер отверстий в корпусе с цилиндрическим поперечным сечением должен быть не более:

, (31)
в выпуклых днищах:

. (32)
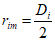
6.3.5.1.3 Расстояние между отверстиями
Расстояние между отверстиями, измеренное с наружной стороны патрубка или усилительного элемента, должно быть менее 2lm,
где

, (33)
для корпусов

, (34)
для торосферических днищ
rim = R, (35)
для эллиптических днищ

, (36)
где em - расчетная толщина стенки корпуса (днища), сохраняемая в пределах длины lm;
lm - длина корпуса цистерны, рассматриваемая как достаточная для обеспечения прочности и измеренная по осевой линии материала от кромки отверстия без патрубка или вне патрубка.
Для расстояний, меньших чем 2
lm, остающееся между отверстиями поперечное сечение следует измерять на предмет его способности выдерживать оказываемую на него нагрузку [см.
формулу (37)].
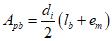
6.3.5.2 Усиления корпуса цистерны
6.3.5.2.1 Метод расчета, указанный ниже, применяют к цилиндрическим корпусам и выпуклым днищам с круглыми или эллиптическими отверстиями, соответствующими допущениям и условиям, указанным в
6.3.5.1.
6.3.5.2.2 Корпуса цистерн с отверстиями при необходимости должны быть усилены. Усиление корпуса достигают путем:
a) вставных или накладных проставок;
b) вставных или накладных патрубков; или
c) их сочетаний.
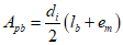
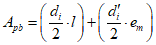
6.3.5.2.3 Площадь усиления основного корпуса цистерны с отверстиями не может быть рассчитана напрямую, а первоначально ее следует оценить. Эту оценку проводят, используя следующий метод. Применяемый метод основан на определении значений толщины стенки, полученных из формул, приведенных в
6.3.2 для цилиндрических корпусов, в
6.3.3 - для выпуклых днищ, что приводит к взаимосвязи между площадью
Ap, находящейся под давлением, и площадью поперечного сечения, находящейся под напряжением, являющейся суммой
Afm,
Afp и
Afb (см.
рисунок 8). При необходимости расчет следует повторить с исправленной оценкой площади усиления.
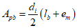
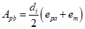
| Ap = Aps + Apb Afm = em·(lm + eb) Afb = eb·lb |
| |
| Ap = Aps + Apb Afm = em·lm Afb = (lb + em + lbi)·eb |
| |
| Ap = Aps + Apb Afm = em·lm Afb = ep·lp |
| |
| Ap = Aps Afm = em·lm Afb = ep·lp |
| |
| Ap = Aps + Apb Afm = em·lm Afb = ep·lp |
| |
| Ap = Aps + Apb Afm = em·lm Afb = eb·(lb + em + lbi) Afp = ep·lp |
| |
| Ap = Aps + Apb Afm = em·lm Afp = (ep·lp) + (eb·l) |
| |
корпусов;
Рисунок 8 - Корпуса с отдельными отверстиями; примеры
усиления корпуса
6.3.5.2.4 При необходимости следует обеспечить достаточное усиление во всех плоскостях, проходящих через ось патрубка.
6.3.5.2.5 Посредством угловых швов вваренные или наваренные патрубки могут учитываться при расчете только тогда, когда соотношение диаметра
di/
De <= 1/3 и соотношение толщин стенок
eb/
em < 0,7. Толщина каждого углового шва должна быть не менее 0,7-кратного значения толщины наиболее тонкой стенки.
6.3.5.2.6 Все отверстия должны удовлетворять следующим общим условиям:
p·
Ap + 0,5(
Afm +
Afb +
Afp) <=
<= (fd·Afm + fd,b·Afb + fd,p·Afp), (37)
где p - расчетное давление;
Ap - площадь, находящаяся под давлением, как показано на
рисунке 8, рассчитанная с использованием внутренних размеров;
Afb - площадь поперечного сечения патрубка в пределах усиления;
Afm - площадь поперечного сечения корпуса цистерны в пределах усиления;
Afp - площадь поперечного сечения диска в пределах усиления;
fd,b - нижнее значение номинального расчетного напряжения патрубка и fd;
fd,p - нижнее значение номинального расчетного напряжения проставки и fd.
Примечание - Упрощенные формулы для расчета
Afm,
Afp и Afb со схемами для различных геометрических форм корпусов приведены на
рисунке 8. Данные формулы обеспечивают приемлемые результаты в пределах точности метода. Однако конструктор может по своему усмотрению рассчитать более точные значения, основываясь на реальной геометрической форме.
6.3.5.2.7 Допускается применять только вваренные или наваренные накладки в соответствии с
рисунком 8.
Ширина lp усилительных накладок не должна превышать lm:
lp <= lm. (38)
Значение толщины втулки ep, используемое для определения Afp, не должно превышать значение толщины стенки em корпуса цистерны (за вычетом допуска и износа):
6.3.5.2.8 Толщина стенки патрубков должна при необходимости превышать толщину, рассчитанную для выдерживания внутреннего давления, а именно по длине lp, измеренной от наружной поверхности корпуса цистерны:

, (40)
где di - внутренний диаметр патрубка;
ea,b - расчетная толщина стенки патрубка, сохраняющаяся в пределах длины lb.
Для Afb толщину стенки ea,b учитывают только на длине lb, измеренной от наружной поверхности корпуса цистерны.
6.3.5.2.9 Площади
Ap,
Afm и
Afp определяют согласно
рисунку 8, при этом длина для усиления корпуса цистерны не должна превышать
lm, а для патрубка -
lb.
Максимальное значение, применяемое для расчета выступающего внутрь элемента, если имеется, должно в случае вваренных патрубков соответствовать следующему условию (см.
рисунок 8):
lb i <= 0,5lb. (41)
6.3.5.3 Люки и смотровые отверстия
6.3.5.3.1 Общие положения
Корпус цистерны или каждый из его отсеков должны быть оборудованы средствами доступа для проведения осмотра изнутри. В качестве средств для проведения осмотра должны использоваться:
- люк; или
- смотровое отверстие диаметром dn не более 400 мм для цистерн или отсеков цистерн вместимостью менее 3000 л.
При конструировании отверстий для люка следует учитывать возможность обеспечения доступа с полным комплектом спасательного оборудования, включая автономный дыхательный аппарат. Люки должны быть достаточно большими для обеспечения возможности входа. Смотровые отверстия должны быть таких размеров, чтобы в них не смогли проникнуть люди, однако достаточными для проведения надлежащего осмотра.
Минимальные размеры люка и смотровых отверстий в корпусах с покрытиями должны сохраняться после нанесения покрытия.
Расстояние между соседними люками или смотровыми отверстиями должно быть не менее указанного в
6.3.5.1.3.
6.3.5.3.2 Усиления люка и смотровых отверстий
Корпус, содержащий люк или смотровое отверстие, должен иметь достаточное усиление в зоне, прилегающей к люку или смотровому отверстию. Усиление должно соответствовать
6.3.5.2 и быть достигнуто путем:
- увеличения толщины стенок корпуса;
- применения усилительных проставок;
- применения огибающего усилительного кольца;
- увеличения толщины стенки горловины; или
- сочетания вышеуказанных мер.
Примеры усилений, которые допускается использовать, показаны на
рисунке 8.
6.3.5.3.3 Размеры отверстий
Диаметры отверстий должны быть:
- не менее 100 мм и не более 400 мм для смотровых отверстий;
- не менее 500 мм для круглых люков.
Для некруглых люков размеры должны быть не менее 500 мм.
6.3.5.3.4 Горловины
Минимальная толщина стенки горловины должна быть не менее требуемой толщины стенки корпуса.
6.3.6.1 Круглые плоские крышки
6.3.6.1.1 Минимальная толщина
e круглых плоских крышек с узкой контактной поверхностью уплотнения, как показано на
рисунке 9, должна составлять:

, (42)
e1 = [(1,909·Wm·hG/(dG·SF))]0,5, (43)
где dG - диаметр уплотнительной прокладки;
hG - расстояние от прокладки до центра отверстия под болт;
SF - расчетная прочность материала фланца;
Wm = 0,5 (Ab + Am) Sa - расчетная нагрузка на болт:
где Ab - фактическая общая площадь поперечного сечения болта;
Рисунок 9 - Круглая или эллиптическая плоская крышка
с узкой контактной поверхностью уплотнения
6.3.6.1.2 Минимальная толщина
e круглых плоских крышек с уплотнением по всему стыку, как показано на
рисунке 10, должна составлять:
e = 0,41·C·(p/SF)0,5, (44)
где C - диаметр болта;
SF - расчетная прочность материала фланца.
Рисунок 10 - Круглая или эллиптическая плоская крышка
с уплотнением по всему стыку
Прокладки с уплотнением по всему стыку не должны применяться при перевозке веществ класса 2.
6.3.6.2 Эллиптические плоские крышки
6.3.6.2.1 Минимальная толщина эллиптических плоских крышек с узкой контактной поверхностью уплотнения, как показано на
рисунке 9, должна составлять:

(45)
(dG измеряют по длине наименьшей оси) и
e1 = [6·Wm·hG/(n·m·SF)]0,5, (46)
Z - коэффициент эллиптических днищ (см.
рисунок 11);
n - количество болтов;
m - межосевое расстояние, измеренное по окружности центров отверстий под болты.
X - соотношение между наименьшей и наибольшей осью;
Y - коэффициент Z
Рисунок 11 - Коэффициент Z эллиптических днищ
6.3.6.2.2 Минимальная толщина эллиптических плоских крышек с уплотнением по всему стыку, как показано на
рисунке 10, должна составлять:
| | ИС МЕГАНОРМ: примечание. Формула дана в соответствии с официальным текстом документа. | |
e = 0,41Z·a·/(p/SF)0,5, (47)
где A - наименьший диаметр эллиптического днища;
Z - коэффициент эллиптических днищ (см.
рисунок 11).
Минимальная толщина
ec выпуклой части крышки, как показано на
рисунке 12, должна составлять:

. (48)
1 - сварной шов с полным проплавлением; 2 - точка приложения
нагрузки HD; 3 - центроид; 4 - соответствующее уплотнение
Рисунок 12 - Сферическая выпуклая крышка с отверстиями
под болты и узкой контактной поверхностью уплотнения
Минимальную толщину
T фланцевого кольца рассчитывают по
формуле (49), но она должна быть не менее чем в два раза больше толщины выпуклой части.
a) Для прокладок с узкой поверхностью уплотнения:
T =
F + (
F2 +
J0)
0,5, (49)
где

, (50)

, (51)
где A - наружный диаметр фланца;
B - внутренний диаметр фланца;
SF - расчетная прочность материала фланца;
MF - абсолютное значение общего (суммарного) момента, приложенного к фланцу:
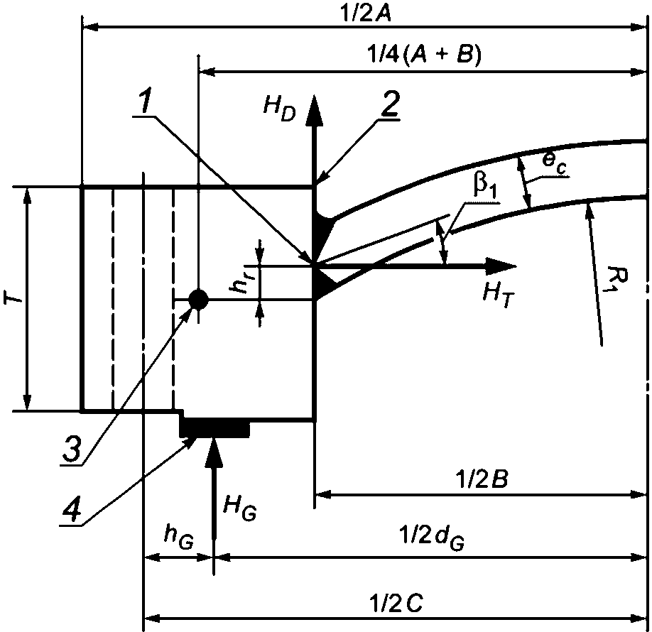
MF = HDhD + HGhG + HTbt - Hrhr;
где HD - гидростатическое конечное усилие от нагрузки, воздействующей на поверхность, расположенную внутри фланца (т.е. HD = 0,785 B2p);
hD - расстояние по радиусу от окружности центра отверстия под болт до радиуса действия HD, т.е. hD = (C - B)/2;
HG - сжимающее усилие, действующее на уплотнение для обеспечения герметичного соединения, т.е.
HG = 2
b·3,142
dG·
m·
p, где
b рассчитывают согласно
6.3.6.4;
hG - расстояние по радиусу от точки приложения усилия к уплотнительной прокладке до окружности центра отверстия под болт, т.е. hG = (C - dG)/2;
HT - гидростатическое конечное усилие, возникающее в результате давления на поверхность фланца, т.е.
HT =
H -
HD при общем гидростатическом конечном усилии
H (т.е.

;
ht - расстояние по радиусу от окружности центра отверстия под болт до радиуса действия HT, т.е. ht = (2C - B - dG)/4;
Hr - радиальная составляющая усилия мембраны, возникающего в выпуклой части и прилагаемого к кромке, т.е.

, где

- угол между линией, касательной к выпуклой коронной части крышки и плоскости, параллельной контактной поверхности фланца (см.
рисунок 12);
hr - расстояние вдоль оси крышки от середины выпуклой части у кромки внутреннего кольца фланца до центроида поперечного сечения фланцевого кольца;
b) для уплотнений по всему стыку:
T = 2·F·[A - B/(A - B - 2d)], (52)
где d - диаметр отверстия под болт.
6.3.6.4 Требования к креплениям крышек болтами
Нагрузки для болтов и их номинальная площадь поперечного сечения должны быть рассчитаны как для условий эксплуатации, так и болтовых соединений.
Для условий эксплуатации минимальная нагрузка на болт Wm1 должна составлять:

, (53)
где dG - диаметр уплотнительной прокладки;
m - коэффициент уплотнения согласно
таблице 4;
b - рабочая ширина контактной поверхности уплотнения;
b = b0, если b0 <= 6,3 мм;

, если
b0 > 6,3 мм;
где b0 = N/2 - ширина посадочного места уплотнения (или соединения) (за исключением уплотнений с О-образным кольцом, для которых b0 = N/8), где N - наибольшая ширина уплотнения.
Также если b0 < 6,3 мм, то dG - средний диаметр контактной поверхности уплотнения; и если b0 > 6,3 мм, то dG - наружный диаметр контактной поверхности уплотнения за вычетом 2b.
При затяжке болтов усилие, действующее на болт Wm2, должно составлять:
Wm2 = 3,14b·dG·y, (54)
где
y - минимальное расчетное напряжение смятия для уплотнений согласно
таблице 4.
Таблица 4
Уплотнительные материалы и контактные покрытия: коэффициент
уплотнения m для условий эксплуатации и минимальное
расчетное напряжение смятия y
Материал прокладки | Коэффициент уплотнения m | Минимальное расчетное напряжение смятия y, Н/мм2 |
Резина с хлопчатобумажной вставкой | 1,25 | 2,8 |
Растительные волокна | 1,75 | 7,6 |
Гофрированный металл | Мягкий алюминий | 2,75 | 25,5 |
Мягкая медь или латунь | 3,00 | 31,0 |
Сталь (железо) или мягкая сталь | 3,25 | 37,9 |
Монель-металл или хром 4% - 6% | 3,50 | 44,8 |
Нержавеющая сталь | 3,75 | 52,4 |
Рифленый металл | Мягкий алюминий | 3,25 | 37,9 |
Мягкая медь или латунь | 3,50 | 44,8 |
Сталь (железо) или мягкая сталь | 3,75 | 52,4 |
Монель-металл или хром 4% - 6% | 3,75 | 62,0 |
Нержавеющая сталь | 4,25 | 69,5 |
Плоский металлический профиль | Мягкий алюминий | 4,00 | 60,6 |
Мягкая медь или латунь | 4,75 | 89,5 |
Сталь или мягкая сталь | 5,50 | 124 |
Монель-металл или хром 4% - 6% | 6,00 | 150 |
Нержавеющая сталь | 6,50 | 179 |
Муфтовое соединение (кольцевое соединение) | Сталь или мягкая сталь | 5,50 | 124 |
Монель-металл или хром 4% - 6% | 6,00 | 150 |
Нержавеющая сталь | 6,50 | 179 |
Эластомеры | Натуральный каучук | 0,5 | 0 |
Белый каучук SWR | 0,5 | 0 |
СКФ (синтетический каучук фторированный) | 0,5 | 0 |
Этилен-пропилен-диен-каучук (EPDM) | 0,5 | 0 |
Силикон | 0,5 | 0 |
Хлоропреновый каучук | 1,0 | 1,38 |
Нитрил | 1,0 | 1,38 |
Бутил | 1,0 | 1,38 |
Сжатое безасбестовое волокно (CNAF) | 1,0 | 1,38 |
Политетрафторэтилен (ПТФЭ) | ПТФЭ-покрытие | 2,0 | 13,8 |
ПТФЭ толщиной 1,5 мм | 2,75 | 25,4 |
ПТФЭ сплошной толщиной 3 мм | 2,0 | 11,0 |
ПТФЭ плетеный | 2,0 | 11,0 |
Минимальное поперечное сечение болта
Am определяют для
Wm1 и
Wm2, используя расчетное напряжение болта, при температуре, соответствующей двум условиям, указанным в
формулах (55) и
(56):
Am2 =
Wm2/
Sa (в зависимости от того, что больше), (56)
где Sb - расчетное напряжение болта при расчетной температуре;
Sa - расчетное напряжение болта при температуре окружающей среды.
6.3.6.5 Крышки откидные в сборе для люков
Откидные крышки для люков могут быть плоскими согласно
6.3.6.1 или
6.3.6.2 либо выпуклыми согласно
6.3.6.3. Шарнирный палец крышки люка должен иметь достаточный зазор для обеспечения равномерного расположения крышки люка. Шарнирный палец должен быть невыпадающим для предотвращения перемещения или потери.
Откидные крышки для люков не должны применяться в цистернах с испытательным давлением более 0,6 МПа.
6.3.7 Фланцевые и болтовые соединения
Для фланцевых соединений применяют EN 1591-1 и ISO 7005-1.
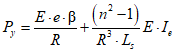
6.4 Расчет внешнего давления
6.4.1 Общие положения
Внешнее давление рассчитывают согласно EN 13445-3:2014 (раздел 8).
В отношении обозначений, применяемых в EN 13445-3:2014 (раздел 8) и установленных в подразделе 8.3 и таблице 4-1, а также обозначений, применяемых и установленных в настоящем стандарте, необходимо учитывать следующее:
ea (в EN 13445-3) = | требуемая минимальная толщина стенки компонента корпуса цистерны (цилиндрический элемент, днище и/или конус) | = e (в EN 14025) |
 (в EN 13445-3) = | номинальное расчетное напряжение (допустимое напряжение) | = fd (в EN 14025) |
P (в EN 13445-3) = | расчетное давление | = p (в EN 14025) |
Расчеты проводят при температуре плюс 20 °C для цистерн с рабочим температурным диапазоном:
от минус 20 °C до плюс 50 °C | от минус 40 °C до плюс 50 °C |
для цистерн с рабочей температурой выше плюс 50 °C расчеты проводят при экстремальном значении рабочей температуры материала.
Для метода конечных элементов (FEM) применяют отклонение от круглости u, составляющее не менее 1% от внутреннего диаметра Di.
6.4.2 Цистерны, у которых внешнее избыточное давление является частью условий эксплуатации
При расчете цистерн, у которых внешнее избыточное давление является частью условий эксплуатации, применяют коэффициент запаса прочности S = 1,5.
Если температура окружающей среды (климатическая температура) является частью условий эксплуатации, то применяют коэффициент запаса прочности S = 1,1.
6.4.3 Цистерны, у которых внешнее избыточное давление не является частью условий эксплуатации
При расчете цистерн, у которых внешнее избыточное давление не является частью условий эксплуатации:
| см. МПОГ/ ДОПОГ (пункты 6.7.2.2.10 и 6.7.3.2.8), |
применяют коэффициент запаса прочности S = 1,1.
6.4.4 Испытание
Сопротивление внешнему давлению проверяют посредством испытания, описанного в EN 12972.
6.5 Соединение цистерны с опорной конструкцией/интерфейс
Соединение цистерны с опорной конструкцией должно быть сконструировано и изготовлено таким образом, чтобы не превышались допустимые напряжения, установленные в
таблицах 1 и
2.
Это может быть подтверждено либо путем расчета, либо проведением соответствующих испытаний, например, согласно:
- ISO 1496-3 для контейнеров-цистерн/переносных цистерн; или
- EN 1432 для съемных цистерн; или
- проведением испытаний компетентными органами в отношении железнодорожных вагонов-цистерн; или
- EN 13094 для встроенных цистерн.
Цистерна и ее усилительные элементы должны выдерживать наиболее жесткие сочетания вышеуказанных внешних нагрузок и давлений.
7 Требования к изготовлению
7.1 Общие требования
7.1.1 При конструировании, изготовлении и разрушающих испытаниях корпусов цистерн применяют EN 13445-4 дополнительно к требованиям, установленным в 7.1 -
7.5.
7.1.2 В процессе изготовления следует обеспечивать соответствие свойств материала цистерны конструктивным требованиям после изготовления.
7.1.3 Изготовитель корпуса цистерны должен поддерживать систему идентификации используемых при изготовлении материалов, чтобы можно было проследить происхождение всех используемых для находящихся под давлением элементов материалов в готовом изделии. Система должна включать все соответствующие процедуры для проверки происхождения полученных от поставщиков материалов. Данные процедуры должны базироваться на сертификатах изготовителей материалов и/или приемочных испытаниях. Материалы должны иметь сертификаты изготовителя и/или приемочных испытаний, например сертификат испытаний 3.1 согласно EN 10204, согласно договоренности с покупателем или заказчиком. Кроме того, система должна до разрезания и формования элементов корпуса цистерны обеспечивать перенесение первоначальной маркировки материала на все элементы, которые после завершения процесса не имели бы маркировки.
7.2 Разрезание
7.2.1 Материал следует подгонять по размеру и форме посредством термической резки, механической обработки, холодной резки или другим подходящим способом. Термически разрезаемые поверхности следует сглаживать посредством механической обработки или шлифовки для удаления надрезов, шлаков и окалины. Незначительное, обусловленное термической резкой оксидирование поверхности среза не требует дальнейшей обработки.
Листовой металл, подвергнутый холодной резке, толщина которого превышает 10 мм, перед сваркой следует шлифовать.
Поверхности среза ферритных, легированных сталей, подвергнутых термической резке, следует сглаживать как минимум на 1,5 мм посредством шлифовки или механической обработки, за исключением случая, когда изготовитель может подтвердить, что процесс резки не повлиял негативно на материал.
7.2.2 Подлежащие сварке края после резки и подготовки не должны иметь нижеприведенных дефектов:
- надрывы материала (расслоение);
- места с прокатной окалиной;
- трещины, образовавшиеся под действием напряжений в процессе газовой термической резки;
- медные или углеродистые отложения;
- раздвоенные, открытые к поверхности края;
- следы краски, если краска может негативно повлиять на качество сварки;
- маслянистые следы;
- шлаковые включения.
7.2.3 При проверке области вокруг исправленного дефекта следует действовать таким же образом, как и при обнаружении дефекта.
7.3 Формование
7.3.1 Общие положения
Стальным листам следует придавать требуемую форму любым подходящим способом.
Крупные окалины, оставшиеся после процесса горячего формования, должны быть удалены подходящим способом удаления окалины.
После формования и любого способа удаления окалины материал должен сохранять минимальные свойства, используемые в конструкции.
Стальным листам следует придавать правильный контур, за исключением случая, когда после формования они должны быть сглажены.
Листовую сталь допускается соединять до формования посредством контактной стыковой сварки при условии, что соединение после формования подвергнуто неразрушающему контролю.
7.3.2 Метод холодного формования
Термическая обработка элементов холодного формования, являющихся составными частями корпуса цистерны под давлением, должна проводиться, если внутренний радиус кривизны менее 20-кратной толщины материала.
7.3.3 Метод горячего формования
7.3.3.1 Общие положения
Формование должно проводиться по аттестованной технологии. Технология формования должна определять скорость нагрева, температуру изотермической выдержки, диапазон температур и время, в течение которого осуществляется формование, а также должна содержать подробную информацию относительно каждой термической обработки, которой подвергается формованная деталь.
7.3.3.2 Особые условия для аустенитных сталей
Листовой металл из аустенитных сталей, которые должны подвергаться нагреву или термической обработке, следует нагревать равномерно в нейтральной или окислительной атмосфере без прямого воздействия пламени, при этом не должны превышаться рекомендуемые температуры для горячего формования материала. Формование недопустимо проводить при температуре материала ниже 900 °C. Локальное нагревание проводить не следует.
7.3.4 Днища
Днища должны быть изготовлены из максимально меньшего количества отдельных конструктивных элементов. Формование должно проводиться механически. Отбортовка по возможности должна быть проведена в ходе единичной операции. Фланцы должны быть цилиндрическими и не должны иметь локальных неровностей.
7.3.5 Термическая обработка и нормализация
Если проводится термическая обработка, то испытательную (поверочную) пластину вместе с цистерной подвергают такой же термической обработке и проводят проверку для подтверждения соответствия материала требованиям.
Ферритные стальные листы, подвергнутые локальному нагреву и холодному формованию, должны быть нормализованы, если речь идет об углеродистой стали, или подвергнуты соответствующей термической обработке, если речь идет о легированной стали. Это требование не применяют, если изготовитель подтвердил, что свойства материала в сформованном днище не ниже, чем требуемые в первоначальном конструкторском проекте.
Аустенитные стали, подвергнутые горячему или холодному формованию, должны быть нагреты до рекомендуемой температуры размягчения в течение не менее 30 мин. После размягчения с поверхностей следует удалить окалину посредством абразивно-струйной очистки или травления. Данное требование не применяют для подвергнутой холодному формованию аустенитной стали, если изготовитель может подтвердить, что объем холодного формования не требует смягчающей термообработки.
Холодноформованные днища, изготовленные из алюминия или алюминиевого сплава, не требуют последующей термической обработки после формования, за исключением случая, когда при эксплуатации существует риск коррозионного растрескивания под напряжением.
7.4 Сварка
7.4.1 Квалификационная оценка
7.4.1.1 Изготовители сварных корпусов цистерн должны применять систему обеспечения качества сварки, которая в целом соответствует принципам EN ISO 3834-1 и EN ISO 3834-2.
7.4.1.2 Методы сварки должны быть одобрены в соответствии с EN ISO 15609-4, EN ISO 15613, EN ISO 15607, EN ISO 15609-1 и EN ISO 15614-1 для стали или EN ISO 15614-2 для алюминия.
7.4.1.3 Сварщики должны иметь квалификацию в соответствии с EN ISO 9606-1 или EN ISO 9606-2 при необходимости, а операторы сварочной линии - в соответствии с EN ISO 14732.
7.4.2 Сварные соединения
7.4.2.1 Изготовитель при выборе соответствующей формы сварного шва должен учитывать следующие моменты:
- метод производства;
- режим работы;
- способность к проведению требуемого неразрушающего контроля.
Рекомендуемые формы сварного шва приведены в EN 1708-1.
Примечание - Эти данные соответствуют установившейся и в настоящее время повсеместно признанной практике. Тем самым не предполагается ни исключительность, ни каким-либо образом воспрепятствование развитию в области технологии сварки.
Другие формы сварного шва также допустимы, если их пригодность подтверждена путем признания метода согласно EN ISO 15614-1, EN ISO 15614-2 или EN ISO 15613.
7.4.2.2 Если любой элемент корпуса цистерны изготавливается из двух или более обшивных поясов, то продольные сварные швы соседних обшивных поясов следует смещать на расстояние не менее 50 мм. Альтернативно в месте пересечения сварных швов следует наваривать круглый стальной лист диаметром не менее 150 мм из такого же материала.
7.4.3 Проверка и испытания сварных швов
Проверку и испытания сварных швов следует проводить согласно EN 12972 и действующим правилам (нормативным требованиям).
Швы сварных соединений между конусом у большого основания и цилиндром без бурта должны подвергаться 100%-ному радиографическому контролю в соответствии с EN ISO 17636-1 либо ультразвуковому контролю в соответствии с EN ISO 17640, если фактическая толщина стенки корпуса не превышает определенную согласно
6.3.4.3.3 минимальную толщину стенки на 40%.
7.4.4 Технологические (временные) крепления
Технологические (временные) крепления, приваренные к находящимся под давлением частям, должны быть сведены к минимуму и совместимы с непосредственно прилегающим материалом.
Допускается наваривать крепления из различных металлов на промежуточные элементы, такие, например, как накладки из листового металла, которые прочно связаны с находящимся под давлением элементом. Для соединений из различных металлов следует использовать подходящие сварочные материалы.
Технологические (временные) крепления следует удалять до первого подвода давления к корпусу цистерны. При этом следует применять технологию, обеспечивающую целостность корпуса цистерны. Любое устранение сваркой поврежденных мест должно осуществляться с применением квалифицированного процесса сварки.
7.5 Допуски на изготовление (производственные допуски)
7.5.1 Расположение стального листа
Если скос кромки не предусмотрен, то смещение h поверхностей соседних металлических листов в сварных швах не должно превышать 25% толщины более тонкого листа, однако не должно быть более 3 мм.
Если между поверхностями предусмотрена фаска, то ее наклон не должен превышать 30%. Фаска может включать ширину сварного шва, и нижняя поверхность при необходимости может создаваться с дополнительным металлом сварного шва. Если для создания фаски необходимо удалить материал листа, то толщина обоих листов не должна быть меньше, чем значение, указанное в конструкторской документации.
Для скошенных стыков расстояние e между любой поверхностью более толстого листа и средней линией профиля более тонкого листа должно составлять:
- в случае продольных сварных швов - не менее 35% толщины t более тонкого металлического листа;
- в случае кольцевых сварных швов - не менее 25% толщины t более тонкого листа.
Поверхность ни одного из металлических листов не должна находиться между средней линией профиля обоих металлических листов.
Данные требования наглядно представлены на
рисунке 13.
Рисунок 13 - Сварные швы, требующие скоса кромки
7.5.2 Дефект формы
Отдельные вмятины и выступы должны быть гладкими, и их глубина, измеренная как отклонение от нормальной кривизны или от внешнего контура цилиндрического корпуса цистерны, не должна превышать 1% длины или 2% ширины дефекта.
7.5.3 Толщина
Толщина стенки корпуса после изготовления цистерны не должна быть меньше минимальной толщины, указанной в конструкторской документации.
7.5.4 Сферические днища
Высота выпуклости, за исключением имеющегося прямого цилиндрического участка, должна быть не менее высоты, указанной в конструкторской документации. Радиус отбортовки должен быть не менее, а радиус сферы днища - не более значений, указанных в конструкторской документации. Ни одно из отклонений в профиле не должно быть резким, а должно постепенно переходить в заданную форму.
7.5.5 Цилиндрические отсеки
7.5.5.1 Фактический объем не должен отклоняться от объема, рассчитанного на основании установленного диаметра, более чем на +/- 1,5%.
7.5.5.2 Отклонение от круглости u, рассчитанное по следующей формуле, должно составлять не более 1,5%:

, (57)
где Dmax - максимальный диаметр цилиндрического элемента, мм;
Dmin - минимальный диаметр цилиндрического элемента, мм.
7.5.5.3 Отклонение от профиля продольного сечения цилиндрического корпуса не должно превышать 0,5% длины корпуса цистерны.
8 Ремонтно-восстановительные работы
8.1 Общие положения
Дефекты должны быть устранены посредством механического или термического процесса либо их сочетания в соответствии с нижеследующими требованиями.
После завершения ремонта толщина материала должна находиться в пределах допусков конструкции и не должна быть менее минимальной толщины, определенной в
разделе 6.
После завершения ремонта материал должен быть подвергнут такому же неразрушающему контролю, который первоначально был применен к отремонтированной области.
Если необходимы ремонтные работы с применением сварки после проведения послесварочной термообработки, то подвергшийся ремонту корпус цистерны должен быть подвергнут последующей послесварочной термообработке согласно первоначальным условиям.
8.2 Устранение дефектов поверхности в основном металле
Незначительные дефекты поверхности, такие, например, как следы сварочной дуги, следы от инструмента, следы резки и т.д., устраняют посредством шлифовки. Должен быть плавный переход между зашлифованным местом и окружающими поверхностями.
Ремонт, включающий сварку наплавлением, следует проводить, используя процедуру, квалифицированную согласно EN ISO 15607, EN ISO 15609-1, EN ISO 15609-3, EN ISO 15609-4, EN ISO 15613, EN ISO 15614-1 или EN ISO 15614-2. Сварщики должны быть квалифицированы согласно EN ISO 9606-1 и EN ISO 9606-2, а операторы сварочной линии должны иметь квалификацию согласно EN ISO 14732.
8.3 Устранение дефектов сварного шва
Объем ремонта определяется местоположением, размером и видом дефекта. Это может быть ремонт, включающий только дефект и прилегающую к нему область, либо полное удаление сварного шва, содержащего дефект.
Ремонтные работы посредством шлифовки или другого способа, включающего удаление материала, следует выполнять таким образом, чтобы был обеспечен плавный переход с окружающими поверхностями.
Термическая обработка выполняется с использованием электродов, минимизирующих загрязнение оставшихся поверхностей материала. Если для корпусов цистерн из нержавеющих сталей используются угольные электроды или электроды для сварки углеродистой стали, то поверхность материала в месте термической обработки зашлифовывают как минимум на 0,3 мм до проведения дальнейших ремонтных работ.
Ремонт следует проводить, используя процедуру, квалифицированную согласно EN ISO 15607, EN ISO 15609-1, EN ISO 15609-3, EN ISO 15609-4, EN ISO 15613, EN ISO 15614-1 или EN ISO 15614-2. Сварщики должны быть квалифицированы согласно EN ISO 9606-1 и EN ISO 9606-2, а операторы сварочной линии должны иметь квалификацию согласно EN ISO 14732.
(справочное)
ПРИМЕР РАСЧЕТА КОНТЕЙНЕРОВ-ЦИСТЕРН В СООТВЕТСТВИИ
A.1 Введение
Ниже для наглядности применения настоящего стандарта приведен пример расчета на основе исходных данных и формул, содержащихся в настоящем стандарте. Расчеты соответствуют схеме расчета, представленной на
рисунке 1.
A.2 Габаритные размеры, свойства материалов, условия эксплуатации и испытаний
Примечание - В отдельных случаях обозначения были модифицированы по отношению к EN 13445-3:2014. Обозначение ea, установленное в EN 13445-3:2014, соответствует обозначению e, установленному в настоящем стандарте.
Внутренний диаметр цилиндрического участка корпуса цистерны: Di = 2 300 мм Длина цилиндрического участка корпуса цистерны: lcyl = 5 000 мм Внутренние усилительные элементы: (полосовая сталь): 8 x 46 мм Выпуклое днище: днище типа korbbogen (торосферическое днище) Внутренний радиус центральной части: R = 1 848 мм Внутренний радиус отбортовки: r = 355,7 мм Внутренняя высота выпуклого днища: h = 0,255 De + 0,365e ~= 0,255·2 310 + 0,365·5 = 591 мм Люк:  Усилительный элемент люка: горловина 200 x 5 мм (установленная) Материал: 1.4404 H согласно EN 10028-7 | Расчетное давление: PC = 0,4 МПа Испытательное давление: ptest = 0,4 МПа Максимальное рабочее давление: MWP = 0,3 МПа Давление паров: pvap = 0,2 МПа Внешнее давление: pext = 0,04 МПа Расчетная температура: t = 100 °C Принятое в соответствии с кодом IMDG значение для цистерны без вакуумного вентиля Полезная нагрузка: PL = 30 t Масса без нагрузки: T = 4 t Общая масса: GW = 34 t |
| 20 °C | 100 °C |
Re | 260 Н/мм2 | 199 Н/мм2 |
Rm | 530 Н/мм2 | 430 Н/мм2 |
A | 40% | - |
E | 200 000 Н/мм2 | 195 000 Н/мм2 |
Rp0,2 | 220 Н/мм2 | 166 Н/мм2 |
Коэффициент прочности сварного шва:

для корпуса;

для днищ.
Размеры в миллиметрах
Рисунок A.1 - Пример цистерны, общий вид
A.3 Расчет согласно ответвлению A
Примечание - Установить минимальную толщину стенки согласно
ДОПОГ.
Проверка на соответствие требованиям
МПОГ/
ДОПОГ (пункт 6.8.2.1.17):
| |
с  | с  |
= min (265; 195) = 195 Н/мм2 | |
| |
A.4 Расчет согласно ответвлению B
Примечание - Установить минимальную толщину стенки согласно
ДОПОГ.
Проверка на соответствие требованиям
МПОГ/
ДОПОГ (пункт 6.8.2.1.18):
с e0 = 6,0 мм

.
A.5 Расчет согласно ответвлению C
Примечание - Установить минимальную толщину стенки с учетом формул настоящего стандарта, но с использованием допустимого сопротивления, указанного в
ДОПОГ.
A.5.1 Для цилиндрического корпуса цистерны проводят проверку по
формуле (1):

,
где p = ptest = 0,4 Мпа;
| | ИС МЕГАНОРМ: примечание. В официальном тексте документа, видимо, допущена опечатка: рисунок A.3 отсутствует. | |

(см. рисунок A.3);

.

.
A.5.2 Для выпуклого днища типа korbbogen проводят проверку по
формулам (3) -
(5):
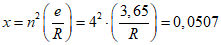
где R = 0,8·De = 0,8 [2 300 + 2·5 <*>] = 1 848 мм;
--------------------------------
<*> Значение, принятое на основании предполагаемых результатов.
r = 0,154·De = 0,154·2 310 = 355,74 мм

,

.

,

,
Z = log10(1/Y) = log10(1/0,0027) = 2,569,

.

.
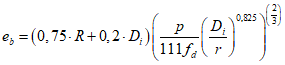
ey = 0,769·3,79 = 2,91 мм.
Выбирают наибольшее значение ey, es и eb.
emin = eb = 3,60 мм.
A.5.3 Пример расчета параметров внутренней перегородки (днище типа korbbogen с выбранной толщиной стенки
e = 8,0 мм), нагруженной внешним (испытательным) давлении
pt = 0,4 МПа, согласно EN 13445-3:2014 (подраздел 8.3), с использованием EN 13445-3:2014 (подраздел 8.7 и пункт 8.8.2).
a)  | [EN 13445-3:2014, формула (8.7.1-1)] |
при использовании  |
b)  | [EN 13445-3:2014, формула (8.7.1-2)] |
c)  Pr = 0,433·Py = 0,433·1,524 = 0,659 | из EN 13445-3:2014, рисунок 8.5-5, график 2 |
Данные результаты обеспечивают выполнение EN 13445-3:2014, формула (8.7.1-3):
Ptest = 0,4 МПа <= 0,659/1,1 = Pr/S = 0,6 МПа | [EN 13445-3:2014, формула (8.7.1-3)] |
(при использовании S = 1,1 для условий проведения испытаний) |
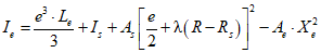
A.6 Расчет согласно ответвлению D
Примечание - Установить минимальную толщину стенки согласно настоящему стандарту в условиях эксплуатации.
A.6.1 Проверка по
формуле (1) цилиндрического корпуса цистерны и сравнение динамических нагрузок с максимальным рабочим давлением
MWP
1) с p = MWP = 0,3 МПа и fd для аустенитной стали с A > 35% (при 100 °C)
fd = max{Re,t/1,5; min(Re,t/1,2; Re,t/3)} =
= max{199/1,5; min(199/1,2; 430/3)} =
= max{133; min(166; 143)} = 143 Н/мм2,

,

;
2) с p = (pvap - 1 bar) + pdyn)
pvap = 0,2 Н/мм2.
В данном примере для расчета pdyn внутренние перегородки не учитываются.
p = (0,2 - 0,1) + 0,142 = 0,242 МПа < MWP = 0,3 МПа (не актуально).
A.6.2 Проверка по
формулам (3) -
(5) выпуклого днища типа korbbogen (для внутреннего давления) с
R = 1 848 мм,
r = 355,74 мм и

для
p =
MWP = 0,3 МПа и
fd = 143 Н/мм
2 (см. выше).

.

.
Для emin выбирают наибольшее значение ey, es и eb.
emin = eb = 3,65 мм.
A.6.3 Пример расчета параметров внутренней перегородки (выпуклое днище типа korbbogen с выбранной толщиной стенки
e = 8,0 мм, см.
A.5.3), нагруженной внешним максимальным рабочим давлением
MWP = 0,3 МПа согласно EN 13445-3:2014 (подраздел 8.3), с использованием EN 13445-3:2014 (подраздел 8.7 и пункт 8.8.2).
a)  | [EN 13445-3:2014, формула (8.7.1-1)] |
при использовании  |
b)  | [EN 13445-3:2014, формула (8.7.1-2)] |
c)  Pr = 0,5·Py = 0,5·1,150 = 0,575. | из EN 13445-3:2014, рисунок 8.5-5, график 2 |
Данные результаты обеспечивают выполнение EN 13445-3:2014, формула (8.7.1-3):
Ptest = 0,3 МПа <= 0,575/1,5 = Pr/S = 0,383 МПа | [EN 13445-3:2014, формула (8.7.1-3)] |
(при использовании S = 1,5 для рабочих условий) |
A.6.4 Проверка по EN 13445-3:2014 (формулы 8.5.2-4 - 8.5.2-8) цилиндрического корпуса цистерны между элементами жесткости (расчет внешнего давления по
6.4).
A.6.4.1 С тремя элементами жесткости из полосового металла 46·8 (AS = 368 мм2; IS = 64 891 мм3) и (при использовании достигнутых результатов):
- Rp0,2/t = 1,66 Н/мм2; E = 195 000 Н/мм2; v = 0,3;
- e = 3,65 мм; Da = 2 307,3 мм;
-

(согласно EN 13445-3:2014, таблица 8.5-1);
- p = 0,04 МПа
(принятое значение в соответствии с IMDG-кодом для цистерн без вакуумного вентиля).
A.6.4.2 Проверка цилиндрического корпуса цистерны между элементами жесткости
| [EN 13445-3:2014, формула (8.4.3-1)] |
| [EN 13445-3:2014, формула (8.5.2-4)] |
| [EN 13445-3:2014, формула (8.5.2-5)] |
при использовании
| [EN 13445-3:2014, формула (8.5.2-6)] |
| [EN 13445-3:2014, формула (8.5.2-7)] |
ncyl = 10 (EN 13445-3:2014, рисунок 8.5-4, или рассчитанное так, чтобы
Pm было минимальным). С
Pm/
Py = 0,088 4/0,421 = 0,210 0 из графика 1 на рисунке 8.5-5 получают
Pr/
Py = 0,105; следующее из этого допустимое давление

, что соответствует фактическому давлению
P = 0,04 МПа.
A.6.4.3 Проверка на разрушение конструкции между элементами жесткости
Согласно EN 13445-3:2014 (пункт 8.5.3.4) Py рассчитывают следующим образом:
| [EN 13445-3:2014, формула (8.5.3-15)] |
где
| [EN 13445-3:2014, формула (8.5.3-16)] |
где
| [EN 13445-3:2014, формула (8.5.3-17)] |
| [EN 13445-3:2014, формула (8.5.3-18)] |
| [EN 13445-3:2014, формула (8.5.3-20)] |
Для

получают на основе EN 13445-3:2014, таблица 8.5-2.
N = 1 и G = 0, что приводит к
и тем самым к такому же результату, как уже определено в
A.6.4.2.
A.6.4.4 Расчет элементов жесткости согласно EN 13445-3:2014 (пункт 8.5.3.6):
a) расчет в отношении потери устойчивости при упругих деформациях
| [EN 13445-3:2014, формула (8.5.3-24)] |
с n = 4 (другие значения для n ведут к неопределенным результатам)
| [EN 13445-3:2014, формула (8.5.3-25)] |
 , | [EN 13445-3:2014, формула (8.5.3-26)] |
где
| EN 13445-3:2014, формула (8.5.3-35)] |
с  и |
Y1, Y2 и Y3 определено на основе EN 13445-3:2014 (таблица 8.5-3) при использовании
| [EN 13445-3:2014, формула (8.5.3-36)] |
Y1 = 1,556 + 0,183/u = 1,5647 Y2 = 1,2 Y3 = 1,65 + 1,5/u = 0,721 |
Ae = As + e·Le = 368 + 3,65·99,57 = 731,43 мм2 | [EN 13445-3:2014, формула (8.5.3-30)] |
с

для элементов жесткости, расположенных внутри [EN 13445-3:2014, формулы (8.5.3-27) и (8.5.3-28)].

.

.
При использовании
| | ИС МЕГАНОРМ: примечание. В официальном тексте документа, видимо, допущена опечатка: имеется в виду п. 6.4.3, а не 6.4.2.1. | |
Sf = 1,33 для элементов жесткости, гнутых в холодном состоянии (т.е. с высокими остаточными напряжениями), и
S =
k = 1,10 согласно
6.4.2.1
получают для допустимого давления
 , | [EN 13445-3:2014, формула (8.5.3-31)], |
что больше фактического давления p = 0,04 МПа;
b) максимальные напряжения в элементах жесткости
Максимальные напряжения в элементах жесткости определяют:
 , | [EN 13445-3:2014, формула (8.5.3-37)] |
где
 ; | [EN 13445-3:2014, формула (8.4.3-2)] |
| [EN 13445-3:2014, формула (8.5.3-40)] |
| [EN 13445-3:2014, формула (8.5.3-38)] |
и получают посредством других уже рассчитанных значений

,
что меньше допустимого напряжения

;
c) проверка элементов жесткости согласно EN 13445-3:2014 (пункт 8.5.3.8.2) при опрокидывании цистерны
Должно быть:
| [EN 13445-3:2014, формула (8.5.3-54)], |
при этом

берут из EN 13445-3:2014 (таблица 8.5-4):
d/R = 46/1 151,83 = 0,039 9.
Для
n = 4 в итоге получается

;

.
Тем самым вышеуказанное требование выполнено:

; 191,68 > 5,700.
A.6.5 Проверка выпуклого днища цистерны по EN 13445-3:2014, формулы (8.7.1-1) - (8.7.1-3) (расчет внешнего давления - по
6.4)
a)  | [EN 13445-3:2014, формула (8.7.1-1)] |
при использовании  | [EN 13445-3:2014, формула (8.7.1-2)] |
b)  | |
c)  Pr = 0,290·Py = 0,290·0,525 = 0,152 | из EN 13445-3:2014 (рисунок 8.5-5, график 2) |
Выполнено требование EN 13445-3:2014 (формула (8.7.1-3)):
P = 0,04 МПа <= 0,152/1,1 = Pr/S = 0,138 МПа | [EN 13445-3:2014, формула (8.7.1-3)] |
при применении S = k = 1,10 согласно 6.4.3)). |
A.6.6 Расчет усилительного элемента люка; выбрана горловина (установленная дисковая накладка 200 x 5 мм) согласно
рисунку A.2 с
l = 150 мм.
Ap = Aps + Apb = 398 555 + 13 460 = 412 015 мм2
| |
Afm = em·lm = 3,64·91,57 = 333,31 мм2 Afp = lp·ep = 91,57·3,64 = 333,61 мм2 Afb = (lb + em)·eb = (50,2 + 3,64)·5 = 269,2 мм2. | |
p·[Ap + 0,5(Afm + Afb + Afp)] <=
<= (fd·Afm + fd,b·Afb + fd,p·Afp).
Для рабочих условий с
p =
MWP = 0,3 МПа и
fd = 143 Н/мм
2 (см.
A.6.1)
0,3·[412 015 + 0,5 (333,31 + 269,2 + 333,31)] <= (143·333,31 + 143·269,2 + 143·333,31)
0,3·[412 482] = 123 745 <= (143·333,31 + 143·269,2 + 143·333,31) = 133 822;
требование выполнено.
Для рабочих условий с
p =
pt = 0,4 МПа и
fd = 195 Н/мм
2 (см.
A.5.1)
0,4·[412 015 + 0,5 (333,31 + 269,2 + 333,31)] <= (195·333,31 + 195·269,2 + 195·333,31)
0,4·[412 482] = 164 993 <= (195·333,31 + 195·269,2 + 195·333,31) = 182 484
требование выполнено.
Усилительный элемент, выбранный для люка, является достаточным.
Рисунок A.2 - Пример отверстия для люка 500 x 150 мм
с выбранной горловиной 200 x 5 мм в качестве
усилительного элемента
A.7 Результаты
В качестве минимальной толщины стенки e для цилиндрической части корпуса цистерны выбирают наибольшее значение, полученное в результате расчетов по ответвлениям A - D:
emin = max {A; B; C; D} = max {2,95; 3,64; 2,95; 3,02} = 3,64 мм.
В качестве минимальной толщины стенки e для выпуклого днища выбирают наибольшее значение, полученное в результате расчетов по ответвлениям A - D:
emin = max {A; B; C; D} = max {2,95; 3,64; 3,60; 3,65} = 3,65 мм.
Таблица A.1
Результаты предварительного расчета
(толщина стенки e в мм; X не применяется)
| A | B | C | D |
Допустимое напряжение/коэффициент запаса прочности | | Rm; A | | fd для аустенитной стали с A > 35% |
| | |  для корпуса цистерны и  для сферического (выпуклого) днища |
Проверено для | T = 20 °C | | T = 20 °C | |
Цилиндрический корпус цистерны, внутреннее давление | 2,95 | 3,64 | 2,95 | 3,02 |
Цилиндрический корпус цистерны, внешнее давление | X | X | X | |
Сферическое (выпуклое) днище, внутреннее давление | 2,95 | 3,64 | 3,60 | 3,65 |
Сферическое (выпуклое) днище, внешнее давление | X | X | X | 3,65 является достаточным |
Люк, горловое кольцо/щелевое уплотнение (установленная дисковая насадка) | X | X | Армирующий элемент достаточен | Армирующий элемент достаточен |
Внутренняя перегородка (сферическое (выпуклое) днище) | X | X | | |
<a> Расчетная температура T = 20 °C и расчетная нагрузка [( pvap - 1 бар) + pdyn] не применяется. <b> С  согласно EN 13445-3:2014 и коэффициентом запаса прочности S = 1,1 согласно 6.4.3. <c> С тремя элементами жесткости из полосовой стали 46 x 8; l = 1 368 мм. <d> С  согласно EN 13445-3:2014 и коэффициентом запаса прочности S = 1,1 для условий испытаний. <e> С  согласно EN 13445-3:2014 и коэффициентом запаса прочности S = 1,5 для рабочих условий. |
(справочное)
ПРОЕКТИРОВАНИЕ ЦИСТЕРН, УСТОЙЧИВЫХ
К УДАРНОМУ ДАВЛЕНИЮ ВЗРЫВА
B.1 Цистерны являются устойчивыми к ударному давлению взрыва, если они сконструированы и изготовлены таким образом, чтобы выдерживать без разрушения давление, возникающее при взрыве внутри цистерны.
Давление взрыва, определяющее устойчивость к ударному давлению, зависит от характеристик огнеопасных веществ и от существующего давления внутри цистерны, при котором происходит воспламенение. Что касается цистерн для перевозки огнеопасных веществ, то предполагается, что воздействие, приводящее к воспламенению, происходит вне цистерны и вызывает взрыв, распространяющийся через свободный проход (незакрытое отверстие) внутрь цистерны.
Следовательно, исходное давление внутри цистерны может устанавливаться равным атмосферному давлению 1 000 мбар. Среди всех веществ, исследованных к настоящему времени (вещества, склонные к спонтанному разложению, не должны использоваться в вышеуказанных целях) при исходном давлении 1 000 мбар, смесь 8,0% (по объему) этилена в воздухе демонстрирует наибольшее давление взрыва 9,7 бар (абсолютное значение).
B.2 Цистерна считается устойчивой к ударному давлению взрыва, если конструкцию цистерны оценивают экспериментально, главным образом проведением успешного испытания взрывом образца, конструкция которого при атмосферных условиях применяет вышеназванную газовоздушную смесь.
B.3 Кроме того, цистерна считается устойчивой к ударному давлению взрыва, если расчеты всех находящихся под давлением элементов цистерны проводятся на основе максимального давления взрыва (т.е. не менее 9,7 бар [абсолютное значение]) согласно требованиям настоящего стандарта. С учетом хорошей способности к пластической деформации применяемых материалов цистерны (удлинение при разрыве согласно
МПОГ/
ДОПОГ, подпункты 6.8.2.1.12 и 6.8.3.1.1), ссылаясь на EN 14460:2006 (подраздел 6.1, первый абзац), расчетное давление должно составлять 8,7 бар/1,5 в качестве расчетной нагрузки при рабочих условиях.
Сферические днища и перегородки могут считаться устойчивыми к ударному давлению взрыва при соблюдении следующих условий, даже если расчет приводил бы к более высокой толщине стенок, чем предусмотрено для цилиндрической части цистерны:
a) цилиндрическая часть, если имеется, перегородки и сферические днища должны быть из одного материала;
b) толщина стенок должна выдерживать испытательное давление не менее 4 бар;
c) толщина стенок должна быть не менее толщины стенок цилиндрической части, рассчитанной из условий устойчивости к ударному давлению взрыва;
d) перегородка должна подвергаться испытанию в рамках утверждения типа конструкции с испытательным давлением 8,7 бар на ее выпуклой стороне (это значит внешнее давление на перегородке).
B.4 Также цистерна считается устойчивой к ударному давлению взрыва, если подтверждено, что она выдерживает без разрушения гидравлическое испытание давлением, составляющим 1,3-кратное максимальное давление взрыва (т.е. не менее 9,7 бар [абсолютное значение]).
B.5 Подтверждения согласно
B.3 и
B.4 могут применяться только для цистерн без оборудования, которое существенно уменьшает поперечное сечение секции цистерны (в частности, перегородки), что может привести к дальнейшему увеличению давления взрыва и его воздействию.
(справочное)
СВЕДЕНИЯ О СООТВЕТСТВИИ ССЫЛОЧНЫХ ЕВРОПЕЙСКИХ
И МЕЖДУНАРОДНЫХ СТАНДАРТОВ МЕЖГОСУДАРСТВЕННЫМ СТАНДАРТАМ
Таблица ДА.1
Обозначение ссылочного европейского, международного стандарта | Степень соответствия | Обозначение и наименование соответствующего межгосударственного стандарта |
EN 1591-1 | - | |
EN 12972 | - | |
EN 13094:2015 | - | |
EN 13445-2 | - | |
EN 13445-3:2014 | - | |
EN 13445-4 | - | |
EN 13445-8 | - | |
EN ISO 3834-1 (ISO 3834-1) | - | |
EN ISO 3834-2 (ISO 3834-2) | - | |
EN ISO 9606-1 (ISO 9606-1) | - | |
EN ISO 9606-2 (ISO 9606-2) | - | |
EN ISO 14732 (ISO 14732) | - | |
EN ISO 15607 (ISO 15607) | - | |
EN ISO 15609-1 (ISO 15609-1) | - | |
EN ISO 15609-3 (ISO 15609-3) | IDT | ГОСТ ISO 15609-3-2020 "Технические требования и аттестация процедур сварки металлических материалов. Технические требования к процедуре сварки. Часть 3. Электронно-лучевая сварка" |
| | ИС МЕГАНОРМ: примечание. В официальном тексте документа, видимо, допущена опечатка: стандарт имеет номер ГОСТ ISO 15609-4-2017, а не ГОСТ ISO 15609-2017. | |
|
EN ISO 15609-4 (ISO 15609-4) | IDT | ГОСТ ISO 15609-2017 "Технические требования и аттестация процедур сварки металлических материалов. Технические требования к процедуре сварки. Часть 4. Лазерная сварка" |
EN ISO 15613 (ISO 15613) | - | |
EN ISO 15614-1 (ISO 15614-1) | - | |
EN ISO 15614-2 (ISO 15614-2) | - | |
ISO 1496-3 | - | |
ISO 7005-1 | - | |
<*> Соответствующий межгосударственный стандарт отсутствует. Примечание - В настоящей таблице использовано следующее условное обозначение степени соответствия стандартов: - IDT - идентичные стандарты. |
[1] | EN 1432, Swap bodies - Swap tanks - Dimensions, requirements, test methods, operation conditions (Контейнеры съемные. Съемные цистерны. Размеры, требования, методы испытаний, режимы эксплуатации) |
[2] | EN 1708-1, Welding - Basic welded joint details in steel - Part 1: Pressurized components (Сварка. Сварные соединения стальных деталей. Часть 1. Компоненты под давлением) |
[3] | EN 10028-7, Flat products made of steels for pressure purposes - Part 7: Stainless steels (Изделия плоские стальные для использования под давлением. Часть 7. Нержавеющие стали) |
[4] | EN 10204, Metallic products - Types of inspection documents (Изделия металлические. Типы документов приемочного контроля) |
[5] | EN 12285-1:2003, Workshop fabricated steel tanks - Part 1: Horizontal cylindrical single skin and double skin tanks for the underground storage of flammable and non-flammable water polluting liquids (Баки стальные фабричного изготовления. Часть 1. Горизонтальная однослойная оболочка и двухслойная оболочка для баков подземного хранения воспламеняемых и невоспламеняемых водных загрязненных жидкостей) |
[6] | EN 12493, LPG equipment and accessories - Welded steel pressure vessels for LPG road tankers - Design and manufacture (Оборудование и устройства для сжиженного углеводородного газа. Сварные стальные резервуары высокого давления автоцистерн для сжиженного углеводородного газа (LPG). Проектирование и изготовление) |
[7] | EN 13530-1, Cryogenic vessels - Large transportable vacuum insulated vessels - Part 1: Fundamental requirements (Сосуды криогенные. Большие транспортируемые сосуды с вакуумной изоляцией. Часть 1. Основные требования) |
[8] | EN 13530-2, Cryogenic vessels - Large transportable vacuum insulated vessels - Part 2: Design, fabrication, inspection and testing (Сосуды криогенные. Большие транспортируемые сосуды с вакуумной изоляцией. Часть 2. Расчет, изготовление, контроль и испытание) |
[9] | EN 14286, Aluminium and aluminium alloys - Weldable rolled products for tanks for the storage and transportation of dangerous goods (Алюминий и алюминиевые сплавы. Сварочные прокатные изделия для резервуаров для хранения и перевозки опасных грузов) |
[10] | EN 14460:2006, Explosion resistant equipment (Оборудование взрывостойкое) |
[11] | EN ISO 3452-1, Non-destructive testing - Penetrant testing - Part 1: General principles (ISO 3452-1) (Контроль неразрушающий. Метод проникающих жидкостей. Часть 1. Общие принципы) |
[12] | RID - Regulations concerning the international carriage of dangerous goods by rail (Международные правила перевозки опасных грузов по железным дорогам) |
[13] | ADR - European agreement concerning the international carriage of dangerous goods by road (Европейское соглашение о международной дорожной перевозке опасных грузов) |
[14] | Directive 2010/35/EU of the European Parliament and of the Council of 16 June 2010 on transportable pressure equipment and repealing Council Directives 76/767/EEC, 84/525/EEC, 84/526/EEC, 84/527/EEC and 1999/36/EC, OJ L 165, 30.6.2010, p. 1 - 18 ( Директива 2010/35/EU Европейского парламента и Совета от 16 июня 2010 г., касающаяся транспортируемого оборудования под давлением и отменяющая Директивы Совета 76/767/ЕЭС, 84/525/ЕЭС, 84/526/ЕЭС, 84/527/ЕЭС и 1999/36/ЕС, ОЖ OJ L 165, 30.6.2010, с. 1 - 18) |
УДК 621.642.34-98-034:656.073.436(083.74)(476) | | IDT |
Ключевые слова: цистерны металлические под давлением, перевозка опасных грузов, требования к конструкции и изготовлению |