Главная // Актуальные документы // ГОСТ (Государственный стандарт)СПРАВКА
Источник публикации
М.: ФГБУ "Институт стандартизации", 2024
Примечание к документу
Документ включен в
Перечень международных и региональных (межгосударственных) стандартов, а в случае их отсутствия - национальных (государственных) стандартов, содержащих правила и методы исследований (испытаний) и измерений, в том числе правила отбора образцов, необходимые для применения и исполнения требований технического
регламента Таможенного союза "О безопасности машин и оборудования" (ТР ТС 010/2011) и осуществления оценки соответствия объектов технического регулирования (
Решение Коллегии Евразийской экономической комиссии от 09.03.2021 N 28).
Документ
вводится в действие с 01.01.2025.
Название документа
"ГОСТ ИСО 8909-3-2004. Межгосударственный стандарт. Комбайны кормоуборочные. Часть 3. Методы испытаний"
(введен в действие Приказом Росстандарта от 26.01.2024 N 106-ст)
"ГОСТ ИСО 8909-3-2004. Межгосударственный стандарт. Комбайны кормоуборочные. Часть 3. Методы испытаний"
(введен в действие Приказом Росстандарта от 26.01.2024 N 106-ст)
Приказом Федерального
агентства по техническому
регулированию и метрологии
от 26 января 2024 г. N 106-ст
МЕЖГОСУДАРСТВЕННЫЙ СТАНДАРТ
КОМБАЙНЫ КОРМОУБОРОЧНЫЕ
ЧАСТЬ 3
МЕТОДЫ ИСПЫТАНИЙ
Forage harvesters. Part 3. Test methods
(ISO 8909-3:1994, IDT)
ГОСТ ИСО 8909-3-2004
Дата введения
1 января 2025 года
Цели, основные принципы и общие правила проведения работ по межгосударственной стандартизации установлены
ГОСТ 1.0 "Межгосударственная система стандартизации. Основные положения" и
ГОСТ 1.2 "Межгосударственная система стандартизации. Стандарты межгосударственные, правила и рекомендации по межгосударственной стандартизации. Правила разработки, принятия, обновления и отмены"
1 ПОДГОТОВЛЕН Научно-инновационным республиканским унитарным предприятием "Промстандарт" (УП "Промстандарт") на основе собственного перевода на русский язык англоязычной версии стандарта, указанного в
пункте 5
2 ВНЕСЕН Комитетом по стандартизации, метрологии и сертификации Республики Беларусь
3 ПРИНЯТ Межгосударственным советом по стандартизации, метрологии и сертификации (протокол от 8 декабря 2004 г. N 26-2004)
За принятие проголосовали:
Краткое наименование страны по МК (ИСО 3166) 004-97 | Код страны по МК (ИСО 3166) 004-97 | Сокращенное наименование национального органа по стандартизации |
Азербайджан | AZ | Азстандарт |
Армения | AM | ЗАО "Национальный орган по стандартизации и метрологии" Республики Армения |
Беларусь | BY | Госстандарт Республики Беларусь |
Казахстан | KZ | Госстандарт Республики Казахстан |
Киргизия | KG | Кыргызстандарт |
Молдова | MD | Институт стандартизации Молдовы |
Россия | RU | Росстандарт |
Таджикистан | TJ | Таджикстандарт |
4 Приказом Федерального агентства по техническому регулированию и метрологии от 26 января 2024 г. N 106-ст межгосударственный стандарт ГОСТ ИСО 8909-3-2004 введен в действие в качестве национального стандарта Российской Федерации с 1 января 2025 г.
5 Настоящий стандарт идентичен международному стандарту ISO 8909-3:1994 "Комбайны кормоуборочные. Часть 3. Методы испытаний" ("Forage harvesters - Part 3: Test methods", IDT).
Сведения о соответствии ссылочных международных стандартов межгосударственным стандартам приведены в дополнительном
приложении ДА
6 ВВЕДЕН ВПЕРВЫЕ
Информация о введении в действие (прекращении действия) настоящего стандарта и изменений к нему на территории указанных выше государств публикуется в указателях национальных стандартов, издаваемых в этих государствах, а также в сети Интернет на сайтах соответствующих национальных органов по стандартизации.
В случае пересмотра, изменения или отмены настоящего стандарта соответствующая информация будет опубликована на официальном интернет-сайте Межгосударственного совета по стандартизации, метрологии и сертификации в каталоге "Межгосударственные стандарты"
ISO (Международная организация по стандартизации) представляет собой объединение национальных организаций по стандартизации (комитеты - члены ISO). Разработку международных стандартов осуществляют технические комитеты ISO. Каждый комитет-член может принимать участие в деятельности любого ТК по интересующему его вопросу. Международные правительственные и неправительственные организации, сотрудничающие с ISO, также принимают участие в этой работе. По всем вопросам стандартизации в области электротехники ISO сотрудничает с Международной электротехнической комиссией (IEC).
Проекты международных стандартов, принятые техническими комитетами, рассылаются комитетам-членам для голосования. Для публикации проекта в качестве международного стандарта требуется одобрение не менее 75% комитетов-членов, участвовавших в голосовании.
Международный стандарт ISO 8909-3 был разработан техническим комитетом ISO/TS 23 "Тракторы и машины для сельского хозяйства", подкомитетом ПК 7 "Оборудование для сбора урожая и его хранения".
ISO 8909 состоит из следующих частей, под общим заголовком "Комбайны кормоуборочные":
- Часть 1: Термины и определения
- Часть 2: Описание технических и эксплуатационных характеристик
- Часть 3: Методы испытаний
Настоящий стандарт устанавливает методы испытаний для оценки работы кормоуборочного комбайна, включая кормоуборочные комбайны, которые убирают культуру непосредственно по всей ширине захвата или с отдельных рядов, или подбирают предварительно скошенную культуру.
Настоящий стандарт распространяется на кормоуборочные комбайны, оборудованные работающими от привода ножами для уборки культуры, которые подают измельченную массу культуры в бункер (контейнер), отдельное транспортное средство или прицеп. Кормоуборочный комбайн может быть выполнен самоходным, на базе трактора или быть прицепным.
В настоящем стандарте использованы нормативные ссылки на следующие стандарты [для датированных ссылок применяют только указанное издание ссылочного стандарта, для недатированных - последнее издание (включая все изменения)]:
ISO 500:1991 Agricultural tractors - Rear-mounted power take-off - Types 1, 2 and 3 (Тракторы сельскохозяйственные. Задний вал отбора мощности. Типы 1, 2 и 3)
ISO 730-1:1990
<*> Agricultural wheeled tractors - Rear-mounted three-point linkage - Part 1: Categories 1, 2, 3 and 4 (Тракторы колесные сельскохозяйственные. Трехточечное заднее навесное устройство. Часть 1. Категории 1, 2, 3 и 4)
--------------------------------
<*> На территории Российской Федерации действует ГОСТ Р 51614-2000.
ISO 730-2:1979 Agricultural wheeled tractors - Three-point linkage - Part 2: Category 1 N (narrow hitch) (Тракторы колесные сельскохозяйственные. Трехточечное заднее навесное устройство. Часть 2. Категория 1 N (узкая сцепка))
ISO 730-3:1982 Agricultural wheeled tractors - Three-point linkage - Part 3: Category 4 (Тракторы колесные сельскохозяйственные. Трехточечное заднее навесное устройство. Часть 3. Категория 4)
ISO 789-3:1993 Agricultural tractors - Test procedures - Part 3: Turning and clearance diameters (Тракторы сельскохозяйственные. Методы испытаний. Часть 3. Определение диаметра окружностей, описываемых колесами и наиболее выступающими частями трактора при выполнении поворота)
ISO 3600:1981 Tractors and machinery for agriculture and forestry - Operator manuals and technical publications - Presentation (Тракторы и машины для сельского и лесного хозяйства, механизированное оборудование для работы в садах и на газонах. Инструкции по эксплуатации. Содержание и представление)
ISO 3767-1:1991 Tractors, machinery for agriculture and forestry, powered lawn and garden equipment - Symbols for operator controls and other displays - Part 1: Common symbols (Тракторы, машины для сельского и лесного хозяйства, механизированное оборудование для работы в садах и на газонах. Условные обозначения органов управления и другие обозначения. Часть 1. Общие обозначения)
ISO 3767-2:1991 Tractors, machinery for agriculture and forestry, powered lawn and garden equipment - Symbols for operator controls and other displays - Part 2: Symbols for agricultural tractors and machinery (Тракторы, машины для сельскохозяйственных работ и лесоводства, механизированное газонное и садовое оборудование. Символы для органов управления оператора и других средств отображения информации. Часть 2. Символы для сельскохозяйственных тракторов и машин)
ISO 3965:1990 Agricultural wheeled tractors - Maximum speeds - method of determination (Тракторы колесные сельскохозяйственные. Максимальные скорости. Метод определения)
ISO 4254-1:1989 Tractors and machinery for agriculture and forestry - Technical means for ensuring safety - Part 1: General (Тракторы и машины для сельского и лесного хозяйства. Технические средства обеспечения безопасности. Часть 1. Общие положения)
ISO 5007:1990 Agricultural wheeled tractors - Operator's seat - Laboratory measurement of transmitted vibration (Тракторы колесные сельскохозяйственные. Сиденье оператора. Лабораторное измерение передаваемой вибрации)
ISO 5008:1979 Agricultural wheeled tractors and field machinery - Measurement of whole-body vibration of the operator (Тракторы колесные сельскохозяйственные и полевые машины. Измерение вибрации тела водителя)
ISO 5131:1982
<*> Acoustics - Tractors and machinery for agriculture and forestry - Measurement of noise at the operator's position - Survey method (Акустика. Тракторы и машины для сельского и лесного хозяйства. Измерение шума на рабочем месте оператора. Контрольный метод)
--------------------------------
ISO 5675:1992 Agricultural tractors and machinery - General purpose quick-action hydraulic couplers (Тракторы и машины сельскохозяйственные. Гидромуфты общего назначения. Технические условия)
ISO 5697:1982 Agricultural and forestry vehicles - Determination of braking performance (Средства транспортные для сельского и лесного хозяйства. Определение характеристик торможения)
ISO 5715:1983 Equipment for harvesting - Dimensional compatibility of forage harvesting machinery (Оборудование уборочное. Совместимость размеров. Оборудование для уборки кормовых культур)
ISO 5718-1:1989 Harvesting equipment - Flat blades for rotary mowers - Specifications - Part 1: Type A flat blades (Оборудование уборочное. Плоские ножи ротационных косилок. Технические условия. Часть 1. Плоские ножи типа A)
ISO 5718-2:1991 Harvesting equipment - Flat blades for rotary mowers - Part 2: Specifications for type B flat blades (Оборудование уборочное. Плоские лопасти для роторных косилок. Часть 2. Технические условия для плоских лопастей типа B)
ISO 6097:1989 Tractors and self-propelled machines for agriculture - Performance of heating and ventilation systems in closed cabs - Test method (Тракторы и самоходные машины сельскохозяйственные. Характеристика систем обогрева и вентиляции закрытых кабин. Метод испытания)
ISO 6489-1:1991 Agricultural vehicles - Mechanical connections in towing vehicles - Part 1: Hook type (Транспортные средства сельскохозяйственные. Механические соединители между буксируемым и буксирующим транспортными средствами. Часть 1. Размеры тяговых крюков)
ISO 6489-2:1980 Agricultural vehicles - Mechanical connections between towed and towing vehicles - Part 2: Specifications for clevis coupling 40 (Транспортные средства сельскохозяйственные. Механические соединители между буксируемым и буксирующим транспортными средствами. Часть 2. Технические требования к тяговой вилке типа размера 40)
ISO 8909-1:1994 Forage harvesters - Part 1: Vocabulary (Кормоуборочные комбайны. Часть 1. Словарь)
ISO 8909-2:1994 Forage harvesters - Part 2: Specification of characteristics and performance (Кормоуборочные комбайны. Часть 2. Спецификация технических и эксплуатационных характеристик)
В настоящем стандарте применены термины по ISO 8909-1, а также следующие термины с соответствующими определениями.
3.1 испытываемая машина (test machine): Машина, эксплуатационные характеристики которой необходимо оценить.
3.2 образец-аналог (reference machine): Машина с известными эксплуатационными характеристиками, которая используется одновременно с испытываемой машиной.
3.3 серия испытаний (test series): Все случаи (события) и показатели нескольких испытаний, проведенных при уборке одной культуры и при одинаковых условиях.
3.4 сбор (catch): Масса вещества, собранного кормоуборочным комбайном во время испытания, в килограммах.
3.5 производительность (capacity): Постоянный выход (масса) влажной и сухой культуры, скошенной комбайном за единицу времени. Производительность измеряется в тоннах в час.
3.6 потребляемая мощность (power requirement): Среднее значение общей мощности в киловаттах, потребляемой кормоуборочным комбайном во время испытания при расчетной эксплуатационной скорости, за исключением мощности, используемой для движения.
3.7 потребляемая мощность при работе в режиме "без нагрузки" (no-load power requirement): Среднее значение общей мощности в киловаттах, потребляемой при работе комбайна с расчетной скоростью с испытываемым оборудованием в режиме "без нагрузки".
3.8 удельная мощность (specific energy requirement): Полная мощность, потребляемая кормоуборочным комбайном на единицу массы культуры в сухой и влажной массе. Измеряется в киловатт-часах на тонну.
3.9 теоретическая длина резки (theoretical length of cut): Длина резки в миллиметрах, рассчитанная с учетом количества ножей, скорости и эффективных размеров всех задействованных компонентов.
3.10 анализатор длины резки (length of cut analyser): Прибор для выделения типичных образцов скошенной культуры, собранной машиной в группы по длине частиц для определения процентного содержания накопленных частиц меньшего размера к массе, соответствующей каждой группе.
3.11
график распределения длины резки (length of cut distribution graph): Логарифмически нормальная вероятностная сетка процентного содержания массы накопленных частиц меньшего размера к средней длине частиц по анализу длины резки для каждой выборки (см.
приложение B).
3.12 средняя геометрическая длина резки (geometric mean length of cut): Длина частицы, в миллиметрах, рассчитанная по анализу показателей или взятая из графика распределения длины резки при 50%-ном уровне массы накопленных частиц меньшего размера. Она показывает качество скошенной культуры и является наиболее приемлемой величиной для сравнения с теоретической длиной резки.
3.13 геометрическое среднее квадратичное отклонение длины резки (geometric standard deviation of length of cut): Длина частицы, взятая из графика распределения длины резки при 84%-ном уровне массы накопленных частиц меньшего размера и разделенная на среднюю длину частицы на 50%-ном уровне массы накопленных частиц меньшего размера; отклонение также может быть рассчитано математически по анализу показателей. Геометрическое среднее квадратичное отклонение длины резки является показателем равномерности резки.
3.14
доля целого зерна (whole-grain fraction): Процентное содержание с точностью до 0,5% всех неповрежденных зерен или кукурузы (зерно) в образцах скошенной культуры по отношению к общей массе сбора (или к расчетному сбору зерна). Для определения невидимых повреждений зерна могут быть использованы красители проникающего типа.
4.1 Отчет (протокол) об испытаниях (см.
раздел 7) должен содержать информацию о том, каким образом был отобран или получен для испытаний кормоуборочный комбайн, а также какой объем работ был им выполнен до испытаний.
4.2 Кормоуборочным комбайном следует управлять строго в соответствии с инструкциями производителя. Отчет (протокол) об испытаниях должен содержать перечень всех отказов с указанием причин их возникновения.
4.3 Кормоуборочный комбайн обеспечивают промышленным навесным оборудованием по необходимости или при желании для уборки различных культур.
4.4 Наладку и регулировку машины осуществляют в соответствии с инструкцией, предоставленной производителем. Все отклонения от инструкции должны быть перечислены.
4.5 Представитель производителя должен быть приглашен для наблюдения за испытаниями кормоуборочного комбайна.
5 Требования к машинам для испытаний
5.1 Все оборудование кормоуборочного комбайна должно быть установлено и проверено в соответствии с определениями, характеристиками и указанными методами измерения.
5.2 Для самоходных кормоуборочных комбайнов скорость оборотов любого компонента в режиме "без нагрузки" измеряют с рычагом управления подачей топлива, установленным на номинальную частоту вращения коленчатого вала двигателя. Для машин, приводимых в действие от вала отбора мощности (ВОМ), эти скорости измеряют при стандартных частотах вращения ВОМ (540 мин-1 или 1000 мин-1). Скорости движения самоходного кормоуборочного комбайна измеряют на твердой горизонтальной поверхности с рычагом управления, установленным на номинальное число оборотов двигателя, и с установленным навесным оборудованием; указывают размер шин; давление в шинах должно соответствовать рекомендациям производителя.
Для машин с механизмом плавного изменения скорости определяют минимальную и максимальную скорость на каждом скоростном уровне. В других случаях измерение скорости проводят для всех комбинаций передач в соответствии с ИСО 3965.
5.3 Оценка соответствия конструкции и геометрии кормоуборочного комбайна - по ISO 730-1, ISO 730-2, ISO 730-3, ISO 5675, ISO 5715, ISO 5718-1, ISO 5718-2, ISO 6489-1 и/или ISO 6489-2.
5.4 Оценка полноты и четкости инструкций в руководстве для пользователя - по ISO 3600.
5.5 Требования безопасности и эргонометрические требования - по ISO 500, ISO 3767-1, ISO 3767-2, ISO 4254-1, ISO 5007, ISO 5008, ISO 5131, ISO 5697 и ISO 6097.
5.6 Для самоходных кормоуборочных комбайнов диаметры поворота (левосторонний и правосторонний) без включения тормозов измеряют в соответствии с ISO 789-3 и ISO 8909-1.
6 Проверка удельных характеристик
Испытания следует проводить на культурах и при условиях, специально отобранных для определения основных рабочих характеристик кормоуборочного комбайна методом измерения его физических параметров. В каждом случае наряду с испытываемой(ыми) машиной(ами) испытания должен проходить образец-аналог с уже определенными рабочими характеристиками. Испытания должны быть идентичны для получения данных и сравнения их в каждом виде эксплуатационных измерений, особенно с учетом настройки машин, состояния и характеристик культур и сезонных различий.
Для испытаний должны быть выбраны культуры однородного вида, относительно свободные от сорняков, не пораженные болезнями и имеющие среднюю урожайность. Поверхность земли должна быть плоской и ровной, за исключением тех случаев, когда проводят особые испытания. Культуры не должны быть полеглыми и не должны содержать избыточной влаги. Все отклонения от перечисленных условий следует регистрировать и приводить в отчете об испытаниях.
Испытания проводят на культурах, которые представляют наибольший национальный или региональный интерес. Для многоцелевых машин следует провести испытания по крайней мере с двумя видами из перечисленных ниже культур:
- травы: отдельные виды или смеси, свежие или подвянувшие, первый урожай;
- бобовые культуры: отдельный вид, свежие или подвянувшие, первый или второй урожай;
- культуры в рядах, например, кукуруза (зерно), сорго или капуста; отдельные виды, прямая уборка;
- кормовые злаки: отдельные виды или смеси, свежие или подвянувшие.
Для машин, которые специально предназначены для уборки культур в рядах, необходимо провести по крайней мере две серии испытаний по возможности на различных культурах. Межрядовое расстояние должно совпадать с рекомендуемой рабочей шириной уборочных элементов. Необходимо определить среднее содержание сухой массы каждой собранной культуры.
Образец-аналог должен быть функционально исправен и полностью идентифицироваться по конструкции, модели, типу, году выпуска и т.п. информации. Он также должен быть сопоставим по конструкции и производительности с испытываемой машиной.
6.3 Квалификация оператора
Квалификация оператора должна соответствовать требованиям для работы с различными типами испытываемой машины и образца-аналога.
6.4 Подготовка к проведению эксплуатационных испытаний
Во время испытаний образец-аналог и испытываемая машина должны быть в исправном состоянии. Рабочие компоненты и поверхности, соприкасающиеся с культурами, также должны быть готовы к работе. Ножи должны быть заточены. Если устанавливается сито повторного измельчения или другие измельчающие вспомогательные средства, то это должно быть отражено в отчете об испытаниях.
Непосредственно перед испытаниями обе машины должны быть отрегулированы в соответствии с рекомендациями производителя применительно к условиям на участке для испытания.
Теоретическая длина резки должна быть наиболее приемлемой для испытываемой культуры и типичной для данного географического региона. После начала испытаний никакие дальнейшие настройки не проводят. Важные настройки, например регулирование длины резки, следует приводить в отчете об испытаниях.
6.5 Аппаратура и испытательное оборудование
Кроме обычных средств и измерительных приборов при испытаниях используют следующую аппаратуру и оборудование:
a) оборудование для точного измерения массы сбора, например прицеп и весы в виде помоста (либо другое устройство для определения веса) или саморазгружающийся прицеп, оборудованный емкостями между корпусом прицепа и ходовой частью;
b) анализатор длины резки для классификации образцов измельченного фуража;
c) устройство для безопасного отбора образцов культур из рукава (желоба) кормоуборочного комбайна.
Для комбайнов с приводом от трактора необходимо иметь оборудование для измерения крутящего момента и частоты вращения ВОМ.
Для самоходных машин общую мощность, необходимую для приведения в действие узлов кормоуборочного комбайна, определяют с помощью датчиков крутящего момента и частоты вращения.
6.6.1 Проверка производительности и удельных энергетических требований
6.6.1.1 Все тракторы, которые проходят испытания, и образец-аналог должны постоянно иметь запас мощности, обеспечивающий выполнение технологического процесса при конкретных условиях, определенных для испытаний. При испытании комбайна с приводом от трактора или образца-аналога, приводимых в действие при рекомендуемой частоте вращения ВОМ, но с неподвижным оборудованием, указывают требования к мощности без нагрузки. Уборку культуры проводят комбайном при постоянной скорости с присоединенным к нему контейнером или прицепом для сборки урожая. Контейнер или прицеп для сборки урожая может буксироваться отдельным трактором параллельно комбайну.
При испытании самоходных комбайнов потребляемую мощность в режиме "без нагрузки" измеряют при номинальной частоте вращения коленчатого вала двигателя с неподвижным оборудованием и всех других блокировках приводов. Уборку культуры проводят при постоянной скорости движения комбайна.
Для кормоуборочных комбайнов с непосредственной срезкой используют полную рабочую ширину.
6.6.1.2 В начале работы кормоуборочного комбайна, по крайней мере первые 5 с, поток культуры пропускается через машину, не направляя его из разгрузочного рукава (желоба) в устройство для сбора, чтобы стабилизировать его работу. Затем начинается испытательный пробег, при котором культура направляется из рукава (желоба) кормоуборочного комбайна в накопительный прицеп или контейнер; одновременно измеряют время периода сбора. Во время испытательного пробега регистрируют мощность комбайна или крутящий момент и частоту вращения. Берут не менее одной выборки образца для анализа длины резки из потока культуры, выходящего из разгрузочного рукава (желоба) машины.
6.6.1.3 Время сбора должно длиться не менее 60 с или пока не будет собрано не менее 1 т материала. После окончания испытательного пробега измеряют его длину, вес сбора, берут две выборки для анализа содержания сухого вещества соответствующими методами и определяют эффективную рабочую ширину. Периодическую проверку загрязнения почвой возможно проводить лабораторным методом путем сжигания двух выборок, взятых с убранного участка, и выборки культуры с неубранного участка для сравнения содержания кремнезема в пепле. По результатам данных, полученных во время каждого испытательного пробега, рассчитывают следующие характеристики:
a) скорость движения, в километрах в час;
b) урожайность собранной культуры, выход сухой и влажной массы, в тоннах на гектар;
c) производительность в пересчете на сухую и влажную массы, в тоннах в час;
d) требования по мощности без нагрузки, в киловаттах;
e) потребляемая мощность, в киловаттах;
f) удельная мощность в пересчете на сухую и влажную массы, в киловатт-часах на тонну.
6.6.1.4 Испытания следует повторять не менее одного раза при каждой скорости движения для установления надежного соответствия эксплуатационных характеристик для каждого ряда скоростей. При самой высокой приемлемой скорости движения выявляют обстоятельства, которые препятствуют дальнейшему увеличению скорости, и приводят в отчете об испытаниях.
Для уменьшения эффекта градиента урожайности поля выполняют последовательные проходы по смежным полоскам культуры. Образец-аналог участвует в испытаниях одновременно с испытываемой машиной на одном и том же испытательном участке. Неудачные испытательные пробеги могут быть исключены с приведением соответствующих обоснований.
6.6.1.5 Результаты из серии испытательных пробегов могут быть использованы для построения следующих графиков, применяя линейные шкалы с зависимыми и независимыми переменными, например оси x и y соответственно:
- зависимость потребляемой мощности (y) от выхода сухой или влажной массы (x);
- зависимость удельной мощности (y) от выхода сухой или влажной массы (x).
6.6.1.6 Не менее чем для одной культуры проводят серию повторных испытательных пробегов с постоянной производительностью примерно 80% максимальной и нарастающим содержанием сухой массы материала предварительно скошенных культур. Такие пробеги проводят при равных содержаниях сухой массы материала, но с различной теоретической длиной резки. По результатам полученных данных строят дополнительные графики зависимости затрат удельной мощности (y) от содержания сухой массы культуры, сухой и влажной масс и теоретической длины резки (x).
6.6.2 Определение потерь
При использовании навесного оборудования для уборки культуры непосредственно на корню потери до среза и во время уборки на участках испытательного пробега определяют произвольно. Несобранные части культур собирают и их массу соотносят с площадью соответствующего участка. После разделения потерь до среза и во время уборки результаты следует выражать в килограммах на гектар для сухой массы культуры или в процентах к выходу сухой массы культуры.
6.6.3 Анализ длины резки
Анализ образцов, взятых из разгрузочного рукава (желоба) кормоуборочного комбайна во время испытательного пробега, производят с помощью ручной сортировки или механическими, пневматическими или другими классифицированными средствами. К допустимым типам классифицированных приборов относятся каскадные сепараторы и набор сит. Для каждого из таких приборов необходимо разработать процедуру, обеспечивающую высокую точность и повторяемость
<*>. Минимальный объем выборки - 1 л; фактический объем выборки должен удовлетворять требованиям анализа длины резки. Для уменьшения размера любой взятой выборки следует использовать признанный метод произвольного деления.
--------------------------------
<*> См. также ISO/TO 10391:1992 "Силосоуборочные комбайны. Метод определения измельченных фуражных материалов путем просеивания и выражения размера частиц".
Образцы обрабатывают при естественном уровне содержания влаги в культуре или просушивают перед классификацией. Процедура проверки для каждого прибора должна быть неизменной, полученные результаты необходимо периодически проверять методом ручной сортировки или механической классификацией выборки с известным распределением длины.
Соответствующие размеры сортировки должны изменяться в геометрической прогрессии, при которой самые наименьшие должны соответствовать размерному ряду частицы образца. Для определения длины частицы, соответствующей 100%-ному уровню частиц меньшего размера, необходимо определить среднюю длину трех наибольших частиц в выборке.
По результатам каждой классификации длины резки определяют среднюю геометрическую длину резки и геометрическое среднее квадратичное отклонение длины резки построением графика распределения длины резки или с помощью расчетов (пример деления культуры на десять интервалов длин приведен в
приложении B). Для зерновых культур, особенно кукурузы (зерно), желательно провести дополнительное измерение фракции целого зерна, как установлено в
3.14.
7 Отчет (протокол) об испытаниях
Отчет об испытаниях должен содержать следующую информацию:
a) общее описание, обозначение и фотографию испытываемой машины и обоснование выбранного метода испытания;
b) перечень основных проверенных величин и технические условия;
c) перечни расположения испытательных участков, культур и поля, климатические условия и перечень настроек машины и регулировок для каждого участка;
d) общее описание или указание методов испытаний и процедур, включая анализ длины резки;
e) основные данные, зарегистрированные во время испытания;
f) результаты, включая любой статистический анализ требований к испытываемой машине, характеристику испытания в соответствии с
разделами 5 и
6;
g) результаты любых дополнительных оценок и визуального контроля, выполненных в соответствии с
приложением A, включая перечень неисправностей с указанием причин всех вынужденных остановок по технической причине, например износ частей, а также возможные рекомендации по улучшению работы и обслуживания машины;
h) краткое изложение сравнительных результатов испытаний, проведенных с испытываемой машиной и образцом-аналогом.
(обязательное)
ДОПОЛНИТЕЛЬНЫЕ ОЦЕНКИ И ВИЗУАЛЬНЫЙ КОНТРОЛЬ
A.1 Общее
Субъективные оценки проводят после завершения всего периода уборки и включают все виды культур, их разновидности, состояние почвы, согласованные с производителем или его представителем. Результаты необходимо сформулировать должным образом и по возможности подкрепить доказательствами.
A.2 Информация, которая должна регистрироваться
Для каждого участка поля, на котором проводят уборку, следует регистрировать следующую информацию:
a) погоду и атмосферные условия;
b) вид культуры, ее разновидности, степень зрелости, содержание сухой массы, среднюю длину, состояние и среднюю урожайность;
c) уклон поля и состояние почвы;
d) размер и форму поля и участка;
e) время работы: общее и продуктивное;
f) марку и модель комбайна с приводом от ВОМ трактора;
g) тип и размер используемых прицепов с указанием их установки (сзади или сбоку);
h) количество загрузочных контейнеров и их грузоподъемность;
i) используемое топливо (для самоходных и приводных комбайнов).
A.3 Метод оценки
В период испытаний оценивается общее состояние и функционирование комбайна и отражается, как указано в
A.3.1 и
A.3.2.
A.3.1 Кормоуборочные комбайны всех типов
A.3.1.1 Приспособленность к различным видам культур и условиям, особенно:
a) эффективности и высоте среза и/или подборке культур при благоприятных и неблагоприятных условиях, включая точность движения вдоль и/или поперек рядов;
b) точности подачи собранной культуры в прицепы различного размера и конструкции во время загрузки в сторону или назад;
c) засорению: частоте и виду;
d) работе на склонах и неровном поле в сравнении с работой на ровной и гладкой поверхностях;
e) загрязнению собранного материала почвой при обычных и неблагоприятных условиях;
f) точности регулировок и дистанционного управления;
g) специальному оборудованию;
h) эффективности средств защиты в приводе машины и защищенности от повреждений посторонними предметами;
i) факторам и обстоятельствам, ограничивающим работу.
A.3.1.2 Удобство регулировки, эксплуатации, обслуживания и ремонта:
a) при соединении буксируемых и установленных механизмов на трактор и отсоединении от трактора, соблюдение соосности;
b) регулировка зазора между режущим ножом и режущей планкой, скорости подачи, скорости режущего ротора, натяжение ремней и цепей и направление подачи собранной культуры;
c) установка ножа, замена и заточка;
d) установка и снятие дополнительного специального оборудования;
e) периодический и полный циклы технического обслуживания и режимы смазки;
f) переход из рабочего положения в транспортное и наоборот;
g) замена навесного оборудования;
h) обзор зоны уборки культуры и подачи собранной культуры в прицеп.
A.3.2 Самоходные кормоуборочные комбайны
Визуальный контроль и комментарии по следующим пунктам:
a) удобство доступа к месту оператора;
b) идентификация и удобство обращения с управлением;
c) идентификация и видимость приборов;
d) соответствующие системы кондиционирования и отопления, и удобство управления ими, при наличии;
e) соответствующее осветительное оборудование для работы в темное время суток;
f) удобство и безопасность управления машиной.
A.4 Долговечность и безотказность
Отказ отдельных частей, признаки видимого износа и ремонтные работы во время испытаний следует указывать относительно полного рабочего времени в часах и объема выполненной работы в тоннах или гектарах.
A.5 Эффективность обеспечения безопасности
Эффективность защитных ограждений и устройств, а также всех специальных средств для защиты оператора и находящихся рядом людей должен оценивать квалифицированный персонал в соответствии с национальными требованиями.
(обязательное)
ОПРЕДЕЛЕНИЕ СРЕДНЕЙ ГЕОМЕТРИЧЕСКОЙ ДЛИНЫ РЕЗКИ
И ГЕОМЕТРИЧЕСКОГО СРЕДНЕГО КВАДРАТИЧНОГО ОТКЛОНЕНИЯ
ПО РЕЗУЛЬТАТАМ АНАЛИЗА ДЛИНЫ РЕЗКИ
B.1 Общие положения
Проведенные исследования в значительной мере свидетельствуют о том, что распределение длины измельченного материала в пересчете на массу соответствует логарифмически нормальной форме. Расчеты основных параметров распределения принимают следующую форму.
B.2 Расчеты параметров резки
B.2.1 Средняя геометрическая длина 
Среднюю геометрическую длину

рассчитывают по формуле, с использованием числа
n интервалов классификационных длин материала

(B.1)
где

- средняя длина материала в
i-м интервале классификационной длины;
mi - масса материала в i-м интервале классификационной длины.
На практике mi может быть фактической массой материала или может быть выражена в процентном выражении от общей массы выборки. В этом случае

(B.2)
B.2.2 Геометрическое среднее квадратичное отклонение 
Геометрическое среднее квадратичное отклонение

рассчитывают по формуле

(B.3)
B.2.3 Метод расчета
В формулах (
B.1,
B.2,
B.3) используется натуральный логарифм (ln), но может также применяться десятичный логарифм (lg). Наиболее простой метод - это использование процентного содержания массы в каждой классификации длины по отношению к общей массе выборки.
Средняя длина материала внутри отдельной классификации длины может быть взята как среднее арифметическое длины на верхнем пределе интервала (xu)i и длины на нижнем пределе (xl)i или как среднее геометрическое. Обычно разница между средними значениями мала, но для классификации материала, где длина намного важнее, чем поперечные размеры, предпочтительнее использовать среднее арифметическое значение.
B.3 Длина резки. Графическое определение
Если результаты представлены в виде логарифмически нормальной вероятной графической сетки, то точки будут лежать на прямой, при длине материала, соответствующей логарифмическому нормальному распределению. Процентное содержание массы материала для верхнего предела длины интервала (
xu)
i каждого класса выражается на основе накопления, как показано на
рисунке B.1.
Рисунок B.1 - Пример распределения общей массы выборки
к накопленной массе частиц меньшего размера
B.3.1 Средняя геометрическая длина 
Среднюю геометрическую длину можно определять с помощью графика по длине, соответствующей 50% на шкале вероятности. Для логарифмически нормального распределения среднее геометрическое значение равно средней величине. Поэтому 50% массы материала меньше средней величины и больше чем вторые 50%.
B.3.2 Геометрическое среднее квадратичное отклонение 
Геометрическое среднее квадратичное отклонение

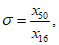
может быть определено по длине, соответствующей 84% на шкале вероятности:

(B.4)
где x84 - длина, соответствующая 84 процентилям;
x50 - длина, соответствующая 50 процентилям.
Геометрическое отклонение

можно рассчитать другим методом:

(B.5)
где x50 - длина, соответствующая 50 процентилям;
x16 - длина, соответствующая 16 процентилям.
B.4 Пример определения
и 
B.4.1 Распределение масс
Гипотетическое распределение выборки скошенной культуры приводят в
таблице B.1.
Интервал классификационной длины, мм | Процентное содержание выборки, % (м/м) | Среднее значение интервала классификационной длины <1> |
арифметическое | геометрическое |
< 5 | 4 | 2,5 | 2,5 |
от 5 до 10 | 19 | 7,5 | 7,07 |
от 10 до 15 | 23 | 12,5 | 12,3 |
от 15 до 20 | 18 | 17,5 | 17,3 |
от 20 до 30 | 19 | 25 | 24,5 |
от 30 до 40 | 9 | 35 | 34,6 |
от 40 до 60 | 6 | 50 | 49,0 |
от 60 до 80 | 1,3 | 70 | 69,3 |
от 80 до 100 | 0,45 | 90 | 89,4 |
от 100 до 140 | 0,25 | 120 | 118,3 |
<1> Среднее геометрическое значение  . |
Для определения самой длинной частицы в выборке, например самого большого классификационного интервала (т.е. более 100 мм и менее 140 мм), необходимо измерить длину самой длинной частицы в диапазоне 100 - 40 мм.
Среднее геометрическое значение для частиц длиной менее 5 мм принимается равным 2,5 мм. Поскольку некоторые частицы могут быть очень маленького размера, то их среднее геометрическое значение стремится к нулю.
B.4.2 Расчет величин
и 
B.4.2.1 Средняя арифметическая длина в классификационном интервале
Получены следующие величины:

;

.
B.4.2.2 Средняя геометрическая длина в интервале
Получены следующие величины:

;

.
Получены следующие величины:

;

.
B.5 Вероятное отклонение
Вероятное отклонение, дополнительное определение показывают диапазон длины материала между 25-м и 75-м процентилями. Это является полезной практической мерой, в которой 50% материала по массе имеет длину, которая находится между этими границами. Длины, соответствующие 25-му и 75-му процентилям, определяются как

(B.6)
и

(B.7)
соответственно.
Следующие значения относятся к распределениям, приведенным в
B.4:
a) средняя арифметическая длина в классификационном интервале
x25 = 10 мм;
x75 = 25,5 мм.
b) средняя геометрическая длина в классификационном интервале
x25 = 9,7 мм;
x75 = 25 мм.
Значения, полученные графическим путем:
x25 = 10,3 мм;
x75 = 24,6 мм.
(справочное)
СВЕДЕНИЯ О СООТВЕТСТВИИ ССЫЛОЧНЫХ МЕЖДУНАРОДНЫХ СТАНДАРТОВ
МЕЖГОСУДАРСТВЕННЫМ СТАНДАРТАМ
Таблица ДА.1
Обозначение ссылочного международного стандарта | Степень соответствия | Обозначение и наименование соответствующего межгосударственного стандарта |
ISO 500:1991 | MOD | ГОСТ 33032-2014 (ISO 500-1:2014, ISO 500-2:2004, ISO 500-3:2014, ISO 5673-1:2005, ISO 5673-2:2005) "Валы карданные сельскохозяйственных машин. Общие технические условия" |
ISO 730-1:1990 | IDT | ГОСТ ISO 730-2019 "Тракторы колесные сельскохозяйственные. Трехточечное заднее навесное устройство. Категории 1N, 1, 2N, 2, 3N, 3, 4N и 4" |
ISO 730-2:1979 | - | |
ISO 730-3:1982 | - | |
ISO 789-3:1993 | MOD | ГОСТ 30752-2001 (ИСО 789-3-93) "Тракторы сельскохозяйственные. Определение наименьшего и габаритного диаметров окружности поворота" |
ISO 3600:1981 | - | |
ISO 3767-1:1991 | MOD | ГОСТ 26336-97 "Тракторы, машины для сельского и лесного хозяйства, самоходные механизмы для газонов и садов. Условные обозначения (символы) элементов систем управления, обслуживания и отображения информации" |
ISO 3767-2:1991 | MOD | ГОСТ 26336-97 "Тракторы, машины для сельского и лесного хозяйства, самоходные механизмы для газонов и садов. Условные обозначения (символы) элементов систем управления, обслуживания и отображения информации" |
ISO 3965:1990 | MOD | ГОСТ 30748-2001 (ИСО 3965-90) "Тракторы сельскохозяйственные. Определение максимальной скорости" |
ISO 4254-1:1989 | IDT | ГОСТ ИСО 4254-1-2013 "Машины сельскохозяйственные. Требования безопасности. Часть 1. Общие требования" |
ISO 5007:1990 | MOD | ГОСТ 31316-2006 (ИСО 5007:2003) "Вибрация. Лабораторный метод оценки вибрации, передаваемой через сиденье оператора машины. Тракторы сельскохозяйственные колесные" |
ISO 5008:1979 | - | |
ISO 5131:1982 | - | |
ISO 5675:1992 | IDT | ГОСТ ISO 5675-2019 "Тракторы и машины сельскохозяйственные. Муфты быстроразъемные гидравлические общего назначения" |
ISO 5697:1982 | - | |
ISO 5715:1983 | - | |
ISO 5718-1:1989 | - | |
ISO 5718-2:1991 | - | |
ISO 6097:1989 | - | |
ISO 6489-1:1991 | - | |
ISO 6489-2:1980 | MOD | ГОСТ 3481-79 (ИСО 6489-1-80, ИСО 6489-2-80) "Тракторы сельскохозяйственные. Тягово-сцепные устройства. Типы, основные параметры и размеры" |
ISO 8909-1:1994 | IDT | |
ISO 8909-2:1994 | IDT | ГОСТ ИСО 8909-2-2003 "Комбайны кормоуборочные. Часть 2. Описание технических и эксплуатационных характеристик" |
<*> Соответствующий межгосударственный стандарт отсутствует. Примечание - В настоящей таблице использованы следующие условные обозначения степени соответствия стандарта: - IDT - идентичные стандарты; - MOD - модифицированные стандарты. |
УДК 631.53.06(083.74) | | |
Ключевые слова: кормоуборочные комбайны, испытываемая машина, технические и эксплуатационные характеристики, методы испытаний, урожай |