Главная // Актуальные документы // ГОСТ (Государственный стандарт)СПРАВКА
Источник публикации
М.: ФГБУ "Институт стандартизации", 2024
Примечание к документу
Текст данного документа приведен с учетом
поправки, опубликованной в "ИУС", N 5, 2024.
Документ
введен в действие с 30.06.2024.
Название документа
"ГОСТ ISO 2420-2023. Межгосударственный стандарт. Кожа. Физические и механические испытания. Определение кажущейся плотности и массы на единицу площади"
(введен в действие Приказом Росстандарта от 18.12.2023 N 1584-ст)
"ГОСТ ISO 2420-2023. Межгосударственный стандарт. Кожа. Физические и механические испытания. Определение кажущейся плотности и массы на единицу площади"
(введен в действие Приказом Росстандарта от 18.12.2023 N 1584-ст)
агентства по техническому
регулированию и метрологии
от 18 декабря 2023 г. N 1584-ст
МЕЖГОСУДАРСТВЕННЫЙ СТАНДАРТ
КОЖА
ФИЗИЧЕСКИЕ И МЕХАНИЧЕСКИЕ ИСПЫТАНИЯ.
ОПРЕДЕЛЕНИЕ КАЖУЩЕЙСЯ ПЛОТНОСТИ И МАССЫ НА ЕДИНИЦУ ПЛОЩАДИ
Leather. Physical and mechanical tests. Determination
of apparent density and mass per unit area
(ISO 2420:2017, IDT)
ГОСТ ISO 2420-2023
Дата введения
30 июня 2024 года
Цели, основные принципы и общие правила проведения работ по межгосударственной стандартизации установлены
ГОСТ 1.0 "Межгосударственная система стандартизации. Основные положения" и
ГОСТ 1.2 "Межгосударственная система стандартизации. Стандарты межгосударственные, правила и рекомендации по межгосударственной стандартизации. Правила разработки, принятия, обновления и отмены"
1 ПОДГОТОВЛЕН Акционерным обществом "Инновационный научно-производственный центр текстильной и легкой промышленности" (АО "ИНПЦ ТЛП") на основе собственного перевода на русский язык англоязычной версии стандарта, указанного в
пункте 5
2 ВНЕСЕН Федеральным агентством по техническому регулированию и метрологии
3 ПРИНЯТ Межгосударственным советом по стандартизации, метрологии и сертификации (протокол от 17 ноября 2023 г. N 167-П)
За принятие проголосовали:
Краткое наименование страны по МК (ИСО 3166) 004-97 | Код страны по МК (ИСО 3166) 004-97 | Сокращенное наименование национального органа по стандартизации |
Армения | AM | ЗАО "Национальный орган по стандартизации и метрологии" Республики Армения |
Беларусь | BY | Госстандарт Республики Беларусь |
Казахстан | KZ | Госстандарт Республики Казахстан |
Киргизия | KG | Кыргызстандарт |
Россия | RU | Росстандарт |
Таджикистан | TJ | Таджикстандарт |
Узбекистан | UZ | Узстандарт |
4
Приказом Федерального агентства по техническому регулированию и метрологии от 18 декабря 2023 г. N 1584-ст межгосударственный стандарт ГОСТ ISO 2420-2023 введен в действие в качестве национального стандарта Российской Федерации с 30 июня 2024 г.
5 Настоящий стандарт идентичен международному стандарту ISO 2420:2017 "Кожа. Физические и механические испытания. Определение кажущейся плотности и массы на единицу площади" ("Leather - Physical and mechanical tests - Determination of apparent density and mass per unit area", IDT).
Международный стандарт разработан Техническим комитетом по стандартизации TC 289 "Кожа" Европейского комитета по стандартизации (CEN).
При применении настоящего стандарта рекомендуется использовать вместо ссылочных международных стандартов соответствующие им межгосударственные стандарты, сведения о которых приведены в дополнительном приложении ДА
7 Некоторые элементы настоящего стандарта могут являться объектами патентных прав
Информация о введении в действие (прекращении действия) настоящего стандарта и изменений к нему на территории указанных выше государств публикуется в указателях национальных стандартов, издаваемых в этих государствах, а также в сети Интернет на сайтах соответствующих национальных органов по стандартизации.
В случае пересмотра, изменения или отмены настоящего стандарта соответствующая информация будет опубликована на официальном интернет-сайте Межгосударственного совета по стандартизации, метрологии и сертификации в каталоге "Межгосударственные стандарты"
Настоящий стандарт устанавливает метод определения кажущейся плотности и массы на единицу площади кожи. Применим для всех кож.
В настоящем стандарте использованы нормативные ссылки на следующие стандарты [для датированных ссылок применяют только указанное издание ссылочного стандарта, для недатированных - последнее издание (включая все изменения)]:
ISO 2418, Leather - Chemical, physical and mechanical and fastness tests - Sampling location (Кожа. Химические, физические и механические испытания и испытания на устойчивость. Установление места отбора образцов)
ISO 2419, Leather - Physical and mechanical tests - Sample preparation and conditioning (Кожа. Физические и механические испытания. Подготовка и кондиционирование образцов)
ISO 2589, Leather - Physical and mechanical tests - Determination of thickness (Кожа. Физические и механические испытания. Определение толщины)
EN 15987, Leather - Terminology - Key definitions for the leather trade (Кожа. Терминология. Ключевые определения для торговли кожей)
В настоящем стандарте применены термины по EN 15987.
ISO и IEC поддерживают терминологические базы данных, используемые в целях стандартизации по следующим адресам:
- платформа онлайн-просмотра ISO: доступна по адресу https://www.iso.org/obp/;
- Электропедия IEC: доступна по адресу http://www.electropedia.org/.
Объем испытуемой пробы вычисляют по показателям площади и толщины, при этом испытуемая проба может иметь форму круглого прямого цилиндра или форму прямого параллелепипеда с квадратным основанием. Кажущуюся плотность определяют путем деления массы на объем. Массу на единицу площади определяют путем деления массы на площадь.
5.1 Резак, соответствующий ISO 2419, внутренняя стенка которого представляет собой круг диаметром приблизительно 70 мм или квадрат размером приблизительно (100 x 100) мм.
5.2 Толщиномер, указанный в ISO 2589.
5.3 Весы, с ценой деления до 0,001 г.
5.4 Штангенциркули с нониусом, с ценой деления до 0,01 мм.
6 Отбор и подготовка образцов
Отбор образцов проводят в соответствии с ISO 2418. Из образца вырезают три испытуемые пробы, прикладывая резак
(5.1) к лицевой поверхности, и кондиционируют их в соответствии с ISO 2419.
Если требуется испытать более двух кож из одной партии, то следует брать только по одной испытуемой пробе от каждой кожи с учетом того, чтобы общее количество испытуемых проб для испытаний было не менее трех.
7.1 Условия испытаний
Все операции выполняют в стандартных атмосферных условиях, как указано в ISO 2419.
Толщину каждой испытуемой пробы измеряют в соответствии с ISO 2589. Толщину измеряют в миллиметрах в трех точках, образующих вершины углов равностороннего треугольника, каждая из которых расположена на расстоянии примерно 20 мм от центра испытуемой пробы. Измеряют толщину в центре испытуемой пробы. За толщину испытуемой пробы t принимают среднее арифметическое четырех результатов измерений.
Примечание - Центр испытуемой пробы и другие точки измерения оценивают визуально.
На испытуемых пробах круглой формы измеряют диаметр с помощью штангенциркуля с нониусом
(5.4) до ближайших 0,05 мм в двух направлениях под прямым углом друг к другу на лицевой поверхности и в двух направлениях под прямым углом на бахтармяной поверхности. За средний диаметр испытуемой пробы
d принимают среднее арифметическое четырех результатов измерений. Отбраковывают каждую испытуемую пробу, диаметры которой на лицевой поверхности или на бахтармяной поверхности отличаются более чем на 0,5 мм.
На испытуемых пробах квадратной формы измеряют расстояние
AC и
BD, где
A,
B,
C и
D - это средние точки, измеренные с помощью штангенциркуля с нониусом
(5.4) до ближайших 0,05 мм, как показано на
рисунке 1, для которых допустимое отклонение от середины испытуемой пробы составляет 0,5 мм. Измеряют расстояния как на лицевой поверхности кожи, так и на поверхности бахтармы. Берут среднее арифметическое результатов для двух измерений
AC (a) и
BD (b), соответственно. Отбраковывают каждую испытуемую пробу, если расстояние, измеренное на лицевой поверхности кожи, отличается более чем на 0,5 мм от расстояния, измеренного на поверхности бахтармы.
Рисунок 1 - Измерение расстояний
на испытуемых пробах квадратной формы
Измеряют массу испытуемой пробы m в граммах до ближайших 0,001 г.
8.1 Кажущаяся плотность
Кажущуюся плотность испытуемых проб цилиндрической формы
Da в килограммах на кубический метр рассчитывают по
формуле (1):

(1)
где
t - средняя толщина испытуемой пробы в миллиметрах (как получено в
7.2);
d - средний диаметр испытуемой пробы в миллиметрах (как получено в
7.3);
m - масса испытуемой пробы в граммах (как получено в
7.4).
Примечание -
Формула (1) предполагает, что образец представляет собой круглый цилиндр, объем которого,
V, в кубических миллиметрах задан:
что в упрощенном виде
Значение 1,273 - величина постоянная.
Кажущуюся плотность испытуемых проб формы прямого параллелепипеда с квадратным основанием,
Da, в килограммах на кубический метр рассчитывают по
формуле (2):

(2)
где
t - средняя толщина испытуемой пробы в миллиметрах (как получено в
7.2);
a - среднее расстояние
AC на испытуемой пробе в миллиметрах (как получено в
7.3);
b - среднее расстояние
BD на испытуемой пробе в миллиметрах (как получено в
7.3);
m - масса испытуемой пробы в граммах (как получено в
7.4).
Примечание - Кажущуюся плотность кожи часто выражают в г/см3. Если необходимо выразить ее в этих единицах, то 1 г/см3 = 1 000 кг/м3.
8.2 Масса на единицу площади
Массу на единицу площади испытуемых проб цилиндрической формы,
ma, в граммах на квадратный метр рассчитывают по
формуле (3):

(3)
где
d - средний диаметр испытуемой пробы в миллиметрах (как получено в
7.3);
m - масса испытуемой пробы в граммах (как получено в
7.4).
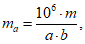
Массу на единицу площади испытуемых проб формы прямого параллелепипеда с квадратным основанием,
ma, в граммах на квадратный метр рассчитывают по
формуле (4):

(4)
где
a - среднее расстояние
AC на испытуемой пробе в миллиметрах (как получено в
7.3);
b - среднее расстояние
BD испытуемой пробы в миллиметрах (как получено в
7.3);
m - масса испытуемой пробы в граммах (как получено в
7.4).
Протокол испытаний должен включать по меньшей мере следующее:
a) ссылку на настоящий стандарт;
b) среднюю кажущуюся плотность Da в килограммах на кубический метр, выраженную тремя значащими цифрами;
c) среднюю массу на единицу площади ma в граммах на квадратный метр, выраженную тремя значащими цифрами;
d) стандартные атмосферные условия, используемые для кондиционирования и проведения испытания в соответствии с ISO 2419;
e) любые отклонения от метода, описанного в настоящем стандарте;
f) полные данные для идентификации образца и любые отклонения от ISO 2418 в отношении отбора образцов.
(справочное)
СВЕДЕНИЯ О СООТВЕТСТВИИ ССЫЛОЧНЫХ МЕЖДУНАРОДНЫХ СТАНДАРТОВ
МЕЖГОСУДАРСТВЕННЫМ СТАНДАРТАМ
Таблица ДА.1
Обозначение ссылочного международного стандарта | Степень соответствия | Обозначение и наименование соответствующего межгосударственного стандарта |
ISO 2418 | - | ГОСТ ISO 2418-2013 "Кожа. Химические, физические и механические испытания и испытания на устойчивость. Установление места отбора проб" |
ISO 2419 | IDT | ГОСТ ISO 2419-2013 "Кожа. Физические и механические испытания. Подготовка и кондиционирование проб" |
ISO 2589 | IDT | |
EN 15987 | - | <*> |
<*> Соответствующий межгосударственный стандарт отсутствует. До его принятия рекомендуется использовать перевод на русский язык данного международного стандарта. Примечание - В настоящей таблице использовано следующее условное обозначение степени соответствия стандартов: - IDT - идентичные стандарты. |
УДК 675.017.86:006.354 | | IDT |
Ключевые слова: кожа, физические и механические испытания, кажущаяся плотность, проба, толщина, масса, измерение |