Главная // Актуальные документы // ГОСТ (Государственный стандарт)СПРАВКА
Источник публикации
М.: ФГБУ "Институт стандартизации", 2024
Примечание к документу
Отдельные положения данного документа включены в Перечень международных и региональных (межгосударственных) стандартов, а в случае их отсутствия - национальных (государственных) стандартов, в результате применения которых на добровольной основе обеспечивается соблюдение требований технического
регламента Таможенного союза "О безопасности продукции легкой промышленности" (ТР ТС 017/2011) и в
Перечень международных и региональных (межгосударственных) стандартов, а в случае их отсутствия - национальных (государственных) стандартов, содержащих правила и методы исследований (испытаний) и измерений, в том числе правила отбора образцов, необходимые для применения и исполнения требований технического
регламента Таможенного союза "О безопасности продукции легкой промышленности" (ТР ТС 017/2011) и осуществления оценки соответствия объектов технического регулирования (
Решение Коллегии Евразийской экономической комиссии от 22.12.2020 N 177).
Отдельные положения данного документа включены в Перечень международных и региональных (межгосударственных) стандартов, а в случае их отсутствия - национальных (государственных) стандартов, в результате применения которых на добровольной основе обеспечивается соблюдение требований технического
регламента Таможенного союза "О безопасности парфюмерно-косметической продукции" (ТР ТС 009/2011) и в
Перечень международных и региональных (межгосударственных) стандартов, а в случае их отсутствия - национальных (государственных) стандартов, содержащих правила и методы исследований (испытаний) и измерений, в том числе правила отбора образцов, необходимые для применения и исполнения требований технического
регламента Таможенного союза "О безопасности парфюмерно-косметической продукции" (ТР ТС 009/2011) и осуществления оценки соответствия объектов технического регулирования (
Решение Комиссии Таможенного союза от 23.09.2011 N 799).
Документ
вводится в действие с 01.05.2025 с правом досрочного применения.
Название документа
"ГОСТ 7983-2016. Межгосударственный стандарт. Пасты зубные. Общие технические условия"
(введен в действие Приказом Росстандарта от 08.04.2024 N 427-ст)
"ГОСТ 7983-2016. Межгосударственный стандарт. Пасты зубные. Общие технические условия"
(введен в действие Приказом Росстандарта от 08.04.2024 N 427-ст)
агентства по техническому
регулированию и метрологии
от 8 апреля 2024 г. N 427-ст
МЕЖГОСУДАРСТВЕННЫЙ СТАНДАРТ
ПАСТЫ ЗУБНЫЕ
ОБЩИЕ ТЕХНИЧЕСКИЕ УСЛОВИЯ
Toothpastes. General specifications
ГОСТ 7983-2016
Дата введения
1 мая 2025 года
с правом досрочного применения
Цели, основные принципы и общие правила проведения работ по межгосударственной стандартизации установлены
ГОСТ 1.0 "Межгосударственная система стандартизации. Основные положения" и
ГОСТ 1.2 "Межгосударственная система стандартизации. Стандарты межгосударственные, правила и рекомендации по межгосударственной стандартизации. Правила разработки, принятия, обновления и отмены"
1 ПОДГОТОВЛЕН Научно-производственным республиканским унитарным предприятием "Белорусский государственный институт стандартизации и сертификации" (БелГИСС)
2 ВНЕСЕН Госстандартом Республики Беларусь
3 ПРИНЯТ Межгосударственным советом по стандартизации, метрологии и сертификации по результатам голосования в АИС МГС (протокол от 27 июля 2016 г. N 89-П)
За принятие проголосовали:
Краткое наименование страны по МК (ИСО 3166) 004-97 | Код страны по МК (ИСО 3166) 004-97 | Сокращенное наименование национального органа по стандартизации |
Азербайджан | AZ | Азстандарт |
Армения | AM | ЗАО "Национальный орган по стандартизации и метрологии" Республики Армения |
Беларусь | BY | Госстандарт Республики Беларусь |
Казахстан | KZ | Госстандарт Республики Казахстан |
Киргизия | KG | Кыргызстандарт |
Молдова | MD | Молдова-Стандарт |
Россия | RU | Росстандарт |
Таджикистан | TJ | Таджикстандарт |
Узбекистан | UZ | Узстандарт |
4
Приказом Федерального агентства по техническому регулированию и метрологии от 8 апреля 2024 г. N 427-ст межгосударственный стандарт ГОСТ 7983-2016 введен в действие в качестве национального стандарта Российской Федерации с 1 мая 2025 г. с правом досрочного применения
Информация о введении в действие (прекращении действия) настоящего стандарта и изменений к нему на территории указанных выше государств публикуется в указателях национальных стандартов, издаваемых в этих государствах, а также в сети Интернет на сайтах соответствующих национальных органов по стандартизации.
В случае пересмотра, изменения или отмены настоящего стандарта соответствующая информация будет опубликована на официальном интернет-сайте Межгосударственного совета по стандартизации, метрологии и сертификации в каталоге "Межгосударственные стандарты"
Настоящий стандарт распространяется на зубные пасты, предназначенные для ухода за зубами и полостью рта.
Настоящий стандарт не распространяется на жидкие и порошкообразные средства гигиены полости рта.
Требования, обеспечивающие безопасность, изложены в
3.1.3 (водородный показатель, массовая доля фторида (в пересчете на молярную массу фтора)),
3.1.5,
3.2,
разделе 4, к маркировке - в
3.3.
В настоящем стандарте использованы нормативные ссылки на следующие межгосударственные стандарты:
ГОСТ 8.579-2002 <1> Государственная система обеспечения единства измерений. Требования к количеству фасованных товаров в упаковках любого вида при их производстве, расфасовке, продаже и импорте
--------------------------------
<1> На территории Республики Беларусь действует СТБ 8019-2002.
ГОСТ 61-75 Реактивы. Кислота уксусная. Технические условия
ГОСТ OIML R 76-1-2011 Государственная система обеспечения единства измерений. Весы неавтоматического действия. Часть 1. Метрологические и технические требования. Испытания
ГОСТ 199-78 Натрий уксуснокислый 3-водный. Технические условия
ГОСТ 1770-74 (ИСО 1042-83, ИСО 4788-80) Посуда мерная лабораторная стеклянная. Цилиндры, мензурки, колбы, пробирки. Общие технические условия
ГОСТ ISO 3696-2013
<2> Вода для лабораторного анализа. Технические требования и методы контроля
--------------------------------
<2> В Российской Федерации не действует.
ГОСТ 4214-78 Реактивы. Кислота кремневая водная. Технические условия
ГОСТ 4233-77 Реактивы. Натрий хлористый. Технические условия
ГОСТ 4328-77 Реактивы. Натрия гидроокись. Технические условия
ГОСТ 4463-76 Реактивы. Натрий фтористый. Технические условия
ГОСТ 5962-2013 <3> Спирт этиловый ректификованный из пищевого сырья. Технические условия
--------------------------------
<3> На территории Республики Беларусь действует СТБ 1334-2003.
--------------------------------
ГОСТ 8682-93 (ИСО 383-76) Посуда лабораторная стеклянная. Шлифы конические взаимозаменяемые
ГОСТ 10652-73 Реактивы. Соль динатриевая этилендиамин-N,N,N',N'-тетрауксусной кислоты, 2-водная (трилон Б). Технические условия
--------------------------------
ГОСТ ISO 21148-2013 <3> Продукция парфюмерно-косметическая. Микробиология. Общие требования к микробиологическому контролю.
--------------------------------
<3> В Российской Федерации действует ГОСТ ISO 21148-2020.
ГОСТ ISO 21149-2013 <4> Продукция парфюмерно-косметическая. Микробиология. Подсчет и обнаружение мезофильных аэробных микроорганизмов
--------------------------------
ГОСТ ISO 21150-2013
<5> Продукция парфюмерно-косметическая. Микробиология. Обнаружение Escherichia coli
--------------------------------
ГОСТ 22280-76 Реактивы. Натрий лимоннокислый 5,5-водный. Технические условия
ГОСТ ISO 22717-2013
<6> Продукция парфюмерно-косметическая. Микробиология. Обнаружение Pseudomonas aeruginosa
--------------------------------
ГОСТ ISO 22718-2013
<7> Продукция парфюмерно-косметическая. Микробиология. Обнаружение Staphylococcus aureus
--------------------------------
ГОСТ 25336-82 Посуда и оборудование лабораторные стеклянные. Типы, основные параметры и размеры
ГОСТ 28303-89 <8> Изделия парфюмерно-косметические. Упаковка, маркировка, транспортирование и хранение
--------------------------------
ГОСТ 28498-90 Термометры жидкостные стеклянные. Общие технические требования. Методы испытаний
ГОСТ 29188.0-2014 Продукция парфюмерно-косметическая. Правила приемки, отбор проб, методы органолептических испытаний
ГОСТ 29188.2-2014 Продукция парфюмерно-косметическая. Метод определения водородного показателя pH
ГОСТ 29227-91 (ИСО 835-1-81) Посуда лабораторная стеклянная. Пипетки градуированные. Часть 1. Общие требования
ГОСТ 31676-2012 Продукция парфюмерно-косметическая. Колориметрические методы определения массовых долей ртути, свинца, мышьяка, кадмия
ГОСТ 32117-2013 Продукция парфюмерно-косметическая. Информация для потребителя. Общие требования
ГОСТ 32936-2014 Продукция парфюмерно-косметическая. Инверсионно-вольтамперометрический метод определения ртути
ГОСТ 32937-2014 Продукция парфюмерно-косметическая. Инверсионно-вольтамперометрический метод определения свинца
ГОСТ 32938-2014 Продукция парфюмерно-косметическая. Инверсионно-вольтамперометрический метод определения мышьяка
ГОСТ 33021-2014 Продукция парфюмерно-косметическая. Определение массовой доли мышьяка методом атомной абсорбции с генерацией гидридов
ГОСТ 33022-2014 Продукция парфюмерно-косметическая. Определение массовой доли ртути методом беспламенной атомной абсорбции
ГОСТ 33023-2014 Продукция парфюмерно-косметическая. Определение массовой доли свинца методом атомной абсорбции с электротермической атомизацией
Примечание - При пользовании настоящим стандартом целесообразно проверить действие ссылочных стандартов и классификаторов на официальном интернет-сайте Межгосударственного совета по стандартизации, метрологии и сертификации (www.easc.by) или по указателям национальных стандартов, издаваемым в государствах, указанных в предисловии, или на официальных сайтах соответствующих национальных органов по стандартизации. Если на документ дана недатированная ссылка, то следует использовать документ, действующий на текущий момент, с учетом всех внесенных в него изменений. Если заменен ссылочный документ, на который дана датированная ссылка, то следует использовать указанную версию этого документа. Если после принятия настоящего стандарта в ссылочный документ, на который дана датированная ссылка, внесено изменение, затрагивающее положение, на которое дана ссылка, то это положение применяется без учета данного изменения. Если ссылочный документ отменен без замены, то положение, в котором дана ссылка на него, применяется в части, не затрагивающей эту ссылку.
3.1 Характеристики
3.1.1 Зубные пасты - косметическая продукция, предназначенная для гигиенического и/или профилактического ухода за зубами и полостью рта с применением зубной щетки с целью их очищения, ароматизации, изменения внешнего вида, защиты и поддержания в хорошем состоянии.
Зубные пасты могут содержать: абразивные вещества, влагоудерживающие вещества, связующие вещества, поверхностно-активные вещества, парфюмерную (ароматическую) композицию, антикариесные и другие ингредиенты, обеспечивающие заявленные потребительские свойства.
| | Применение на добровольной основе п.п. 3.1.2, 3.1.3 (в части водородного показателя (pH) и массовой доли фторидов) обеспечивают соблюдение требований технического регламента Таможенного союза "О безопасности продукции легкой промышленности" (ТР ТС 017/2011) (Решение Коллегии Евразийской экономической комиссии от 22.12.2020 N 177). | |
| | Применение на добровольной основе п.п. 3.1.2, 3.1.3 (в части водородного показателя (pH) и массовой доли фторидов) обеспечивают соблюдение требований технического регламента Таможенного союза "О безопасности парфюмерно-косметической продукции" (ТР ТС 009/2011) (Решение Комиссии Таможенного союза от 23.09.2011 N 799). | |
3.1.2 Зубные пасты должны соответствовать требованиям настоящего стандарта и изготавливаться по техническим документам (рецептурам, технологическим регламентам, инструкциям) с соблюдением требований
[1] и/или соблюдением нормативных документов, действующих на территории государства, принявшего стандарт.
3.1.3 По органолептическим и физико-химическим показателям зубные пасты должны соответствовать требованиям, указанным в
таблице 1. Значения показателей для зубных паст конкретного названия должны быть приведены в техническом документе изготовителя (рецептуре и/или технологическом регламенте (инструкции)).
Наименование показателя | Характеристика и норма |
1 Внешний вид и консистенция | Однородная масса кремообразной, пастообразной или гелеобразной консистенции (за исключением случаев, когда неоднородность массы и иная консистенция обусловлены рецептурой или заявлены изготовителем) |
2 Цвет | Свойственный цвету пасты данного названия |
3 Запах | Свойственный запаху пасты данного названия |
4 Вкус | Свойственный вкусу пасты данного названия |
5 Водородный показатель, pH | 4,5 - 10,5 |
6 Массовая доля фторида (в пересчете на молярную массу фтора), %, не более | 0,15 |
Примечание - Массовая доля фторида регламентирована для фторидсодержащих зубных паст. |
3.1.4 Рекомендуемая массовая доля фторида (в пересчете на молярную массу фтора) во фторидсодержащих зубных пастах для детей от 6 мес до 2 лет составляет 0,05%, для детей от 2 до 6 лет - 0,1%, для детей старше 6 лет - 0,145%.
| | Применение на добровольной основе п.п. 3.1.5, 3.2, 3.3.1, 3.3.4, 3.4.1, 3.4.2 обеспечивают соблюдение требований технического регламента Таможенного союза "О безопасности продукции легкой промышленности" (ТР ТС 017/2011) (Решение Коллегии Евразийской экономической комиссии от 22.12.2020 N 177). | |
| | Применение на добровольной основе п. 3.1.5, 3.2, 3.3.1, 3.3.4, 3.4.1, 3.4.2 обеспечивают соблюдение требований технического регламента Таможенного союза "О безопасности парфюмерно-косметической продукции" (ТР ТС 009/2011) (Решение Комиссии Таможенного союза от 23.09.2011 N 799). | |
3.1.5 Содержание токсичных элементов (свинца, мышьяка, ртути) и микробиологические показатели зубных паст должны соответствовать нормам, установленным
[1] и/или нормативными документами, действующими на территории государства, принявшего стандарт.
3.2.1 Сырье для изготовления зубных паст - в соответствии с требованиями
[1] и/или нормативных документов, действующих на территории государства, принявшего стандарт.
3.2.2 Запрещается использовать в качестве ингредиента зубной пасты сахарозу и другие легкоферментируемые углеводы. Соответствие данному требованию устанавливается при отсутствии таких соединений в рецептуре.
3.2.3 Для изготовления зубных паст должны использоваться абразивные наполнители, показатели абразивности которых известны, обеспечивающие выполнение требований по
4.2.
3.3.1 Маркировка потребительской тары с зубными пастами - в соответствии с
ГОСТ 32117,
[1] и/или нормативными документами государства, принявшего стандарт.
3.3.2 Маркировка транспортной тары - по
ГОСТ 28303.
3.3.3 Маркировка должна выполняться на государственном(ых) языке(ах) государств, в которых осуществляется реализация зубных паст. Название зубной пасты, наименование и местонахождение изготовителя могут быть приведены с использованием букв латинского алфавита. Список ингредиентов может быть предоставлен в соответствии с международной номенклатурой косметических ингредиентов (INCI) с использованием букв латинского алфавита.
3.3.4 Для зубных паст, содержащих фторид в концентрации от 0,1% до 0,15% (в пересчете на молярную массу фтора), если они не замаркированы как противопоказанные для детей (например, "только для взрослых"), в маркировке должны быть приведены следующие предупреждения: "Детям до 6 лет чистить зубы под контролем взрослых количеством пасты размером с горошину, чтобы минимизировать проглатывание. В случае использования других фторидсодержащих средств гигиены полости рта требуется консультация стоматолога или педиатра.
3.4 Упаковка
3.4.1 Зубные пасты фасуют в потребительскую тару, обеспечивающую безопасность и сохранность зубной пасты в течение срока годности.
3.4.2 Первичная упаковка должна соответствовать требованиям
[2] и/или нормативных документов, действующих на территории государства, принявшего стандарт.
3.4.3 Номинальное количество зубной пасты в первичной упаковке должно соответствовать установленному в технической документации на конкретное название зубной пасты. Для зубных паст с номинальной массой (объемом) более 5 г (5 мл) допускаемое отрицательное отклонение содержимого упаковки от номинального количества должно соответствовать ГОСТ 8.579
(приложение А).
3.4.4 Требования к допускаемым положительным отклонениям массы зубной пасты в первичной упаковке от номинального количества устанавливает изготовитель в технических документах на данную продукцию.
3.4.5 Транспортная тара - в соответствии с требованиями
ГОСТ 28303.
4 Требования безопасности
| | Применение на добровольной основе п.п. 4.1 - 4.4 обеспечивают соблюдение требований технического регламента Таможенного союза "О безопасности продукции легкой промышленности" (ТР ТС 017/2011) (Решение Коллегии Евразийской экономической комиссии от 22.12.2020 N 177). | |
| | Применение на добровольной основе п.п. 4.1 - 4.4 обеспечивают соблюдение требований технического регламента Таможенного союза "О безопасности парфюмерно-косметической продукции" (ТР ТС 009/2011) (Решение Комиссии Таможенного союза от 23.09.2011 N 799). | |
4.1 По клиническим (клинико-лабораторным) и токсикологическим показателям зубные пасты должны соответствовать требованиям
[1] и/или нормативных документов, действующих на территории государства, принявшего стандарт.
4.2 Зубные пасты не должны повреждать эмаль зубов и мягкие ткани полости рта.
4.3 Зубные пасты, водородный показатель (pH) которых ниже 5,5, должны иметь подтверждение отсутствия деминерализующего действия.
4.4 Производство зубных паст должно соответствовать требованиям
[1] и/или нормативных документов, действующих на территории государства, принявшего стандарт.
5.2 Для проверки соответствия зубных паст требованиям настоящего стандарта проводят приемо-сдаточные и периодические испытания.
5.3 Приемо-сдаточные испытания проводят по показателям: внешний вид и консистенция, цвет, запах, вкус, водородный показатель, количество зубной пасты в упаковочной единице.
5.4 Микробиологические показатели определяют периодически. Периодичность контроля устанавливает изготовитель в программе производственного контроля, но не реже одного раза в квартал.
5.5 Массовую долю фторида, содержание токсичных элементов определяют периодически. Периодичность контроля устанавливает изготовитель в программе производственного контроля.
5.6 Клинические (клинико-лабораторные), токсикологические показатели безопасности определяют при постановке на производство, при изменениях рецептуры зубных паст, приводящих к изменениям показателей безопасности.
6.1 Отбор проб проводят по ГОСТ 29188.0
(раздел 4).
6.1.1 Для проведения испытаний масса объединенной пробы должна быть не менее 300 г.
Для составления объединенной пробы зубную пасту из первичной упаковки помещают в банку, тщательно перемешивают шпателем и плотно закрывают крышкой.
6.1.2 Для проведения испытаний по физико-химическим показателям из пробы отбирают навески.
6.1.3 Для определения микробиологических показателей масса объединенной пробы должна быть не менее 40 г.
6.2 Отбор проб для определения микробиологических показателей проводят с учетом требований
ГОСТ ISO 21148.
6.3 Определение внешнего вида и консистенции - по ГОСТ 29188.0
(раздел 5).
6.4 Определение цвета - по ГОСТ 29188.0
(раздел 5).
6.5 Определение запаха - по ГОСТ 29188.0
(раздел 5).
6.6 Определение вкуса - органолептически.
6.7 Определение водородного показателя pH
Определение водородного показателя (pH) проводят по
ГОСТ 29188.2 в водной суспензии с массовой долей зубной пасты 25%.
| | Применение на добровольной основе п. 6.8 обеспечивает соблюдение требований технического регламента Таможенного союза "О безопасности продукции легкой промышленности" (ТР ТС 017/2011) (Решение Коллегии Евразийской экономической комиссии от 22.12.2020 N 177). | |
| | Применение на добровольной основе п. 6.8 обеспечивает соблюдение требований технического регламента Таможенного союза "О безопасности парфюмерно-косметической продукции" (ТР ТС 009/2011) (Решение Комиссии Таможенного союза от 23.09.2011 N 799). | |
6.8 Определение массовой доли фторида
Массовую долю фторида определяют потенциометрическим методом с фторидным электродом: после обработки зубной пасты раствором кислоты по
6.8.1 и
6.8.2 (арбитражный метод), в зубной пасте, содержащей ионизируемые фториды, - по
6.8.4.
6.8.1 Определение массовой доли фторида после обработки зубной пасты раствором кислоты
6.8.1.1 Аппаратура и реактивы
6.8.1.1.1 Весы лабораторные - по
ГОСТ OIML R 76-1, высокого класса точности, с наибольшим пределом взвешивания 200 г.
6.8.1.1.2 pH-метр-милливольтметр-иономер с погрешностью измерения не более +/- 0,25 мВ.
6.8.1.1.3 Ионселективный фторидный электрод "Эком-F".
6.8.1.1.4 Лабораторный стеклянный электрод ЭСЛ-43-87.
6.8.1.1.5 Хлорсеребряный электрод сравнения ЭВЛ-1М3.
6.8.1.1.6 Магнитная мешалка.
6.8.1.1.7 Водяная баня.
6.8.1.1.8 Колбы 2-100-2, 2-500-2, 2-1000-2 - по
ГОСТ 1770.
6.8.1.1.9 Колба П-1-100-29/32 ТХС - по
ГОСТ 25336.
6.8.1.1.10 Стакан Н-2-50 ТХС, Н-2-1000 ТХС - по
ГОСТ 25336.
6.8.1.1.11 Пипетка 1-1-2-10, 1-1-1-25 - по
ГОСТ 29227.
6.8.1.1.12 Полиэтиленовые сосуды вместимостью 100 и 1000 см3.
6.8.1.1.13 Воздушный холодильник, трубка с конусом КШ 29 - по
ГОСТ 8682, диаметром 10 - 15 мм, длиной 100 - 110 см.
6.8.1.1.14 Полулогарифмическая бумага.
6.8.1.1.15 Серная кислота - по
ГОСТ 4204, раствор концентрацией
c(1/2H
2SO
4) = 0,5 моль/дм
3 (0,5 н).
6.8.1.1.16 Хлорная кислота, раствор концентрацией c(HClO4) = 0,5 моль/дм3 (0,5 н).
6.8.1.1.17 Натрий уксуснокислый 3-водный - по
ГОСТ 199.
6.8.1.1.18 Динатриевая соль этилендиамин-N,N,N',N'-тетрауксусной кислоты, 2-водная (трилон Б) - по
ГОСТ 10652.
6.8.1.1.19 Кислота уксусная - по
ГОСТ 61.
6.8.1.1.20 Натрий фтористый - по
ГОСТ 4463, предварительно высушенный до постоянной массы при 105 °C.
6.8.1.1.22 Натрий лимоннокислый 5,5-водный - по
ГОСТ 22280.
6.8.1.1.23 Натрия гидроксид - по
ГОСТ 4328, раствор концентрацией
c(NaOH) = 5,0 моль/дм
3 (5 н).
6.8.1.1.24 Вода дистиллированная - по
ГОСТ 6709 или вода для лабораторного анализа - по ГОСТ ISO 3696,
[3].
Примечание - Допускается применение других аналогичных средств измерений, вспомогательного оборудования с метрологическими и техническими характеристиками, а также реактивов по качеству не ниже, чем у вышеуказанных.
6.8.1.2 Подготовка к испытанию
6.8.1.2.1 Приготовление буферного раствора pH 5,0 - 5,5
В мерную колбу вместимостью 500 см3 помещают 52,00 г уксуснокислого натрия, 29,20 г хлористого натрия, 3,00 г лимоннокислого натрия, 0,30 г трилона Б и 8 см3 уксусной кислоты. Добавляют 200 - 300 см3 дистиллированной воды и перемешивают. pH раствора определяют потенциометрическим методом и при необходимости доводят до требуемого значения раствором гидроксида натрия или уксусной кислотой.
Раствор хранят в полиэтиленовом сосуде. Срок хранения - 6 мес.
6.8.1.2.2 Приготовление основного градуировочного раствора фтористого натрия концентрацией фторид-иона 2000 мг/дм3
В мерную колбу вместимостью 1000 см3 помещают 4,422 г фтористого натрия, растворяют в дистиллированной воде и доводят объем раствора до метки. Раствор хранят в полиэтиленовом сосуде с плотно закрытой пробкой. Срок хранения - 6 мес.
6.8.1.2.3 Приготовление рабочих градуировочных растворов фтористого натрия концентрацией фторид-иона 200, 20 и 2 мг/дм3
Для приготовления раствора фтористого натрия концентрацией фторид-иона 200 мг/дм3 10 см3 основного градуировочного раствора фтористого натрия концентрацией фторид-иона 2000 мг/дм3 помещают в мерную колбу вместимостью 100 см3. Объем раствора доводят до метки дистиллированной водой и перемешивают.
Градуировочные растворы концентрацией фторид-иона 20 и 2 мг/дм3 готовят аналогично последовательным разбавлением предыдущих растворов.
Все рабочие градуировочные растворы готовят в день построения и проверки градуировочного графика.
6.8.1.2.4 Подготовка к работе фторидного электрода
Новый электрод следует предварительно выдержать в растворе фтористого натрия концентрацией фторид-иона 20 мг/дм3 в течение суток, затем тщательно промыть дистиллированной водой. Когда работу с электродом проводят ежедневно, его хранят, погрузив в раствор фтористого натрия концентрацией фторид-иона 2 мг/дм3. При длительных перерывах в работе электрод хранят в сухом состоянии.
Правильность работы фторидного электрода проверяют при построении градуировочного графика. Потенциал рабочих градуировочных растворов (от раствора к раствору) должен изменяться на величину (56 +/- 6) мВ при температуре (20 +/- 5) °C. Если такая зависимость не соблюдается, то фторидный электрод следует регенерировать вымачиванием в течение суток в растворе фтористого натрия концентрацией фторид-иона 20 мг/дм3, затем тщательно отмыть дистиллированной водой.
6.8.1.2.5 Построение градуировочного графика
Для построения градуировочного графика измеряют электродный потенциал каждого приготовленного градуировочного раствора фтористого натрия, начиная с раствора, имеющего наименьшую концентрацию фторид-иона.
В стакан вместимостью 50 см3 помещают 10 см3 градуировочного раствора концентрацией фторид-иона 2 мг/дм3, 10 см3 буферного раствора для устранения мешающего влияния алюминия и железа, магнит от магнитной мешалки и тщательно перемешивают. В раствор погружают фторидный и хлорсеребряный (ЭВЛ) электроды и через 3 мин измеряют значение потенциала. После этого электроды несколько раз тщательно промывают в дистиллированной воде. Далее аналогичным образом измеряют потенциалы электрода в градуировочных растворах концентрацией фторид-иона 20 и 200 мг/дм3.
При выполнении измерений необходимо следить, чтобы на поверхности мембраны фторидного электрода не налипали пузырьки воздуха.
Все измерения проводят при одинаковой температуре растворов.
На основании полученных результатов строят градуировочный график, откладывая на оси абсцисс с логарифмическими делениями соответствующие концентрации фторид-иона в миллиграммах на кубический дециметр, а на оси ординат - значение потенциала в милливольтах.
Градуировочный график следует проверять каждый раз перед работой по двум-трем градуировочным растворам.
В случае если измерительный прибор позволяет выполнять построение градуировочного графика автоматически, измерения и построение градуировочного графика проводятся в соответствии с эксплуатационной документацией на прибор.
6.8.1.3 Проведение испытания
Взвешивают с точностью до четвертого знака после запятой навеску зубной пасты массой 0,5 г, помещают в колбу
(6.8.1.1.9), добавляют 25 см
3 дистиллированной воды и 25 см
3 раствора серной или хлорной кислоты концентрацией 0,5 моль/дм
3.
Соединяют колбу с обратным холодильником и нагревают на кипящей водяной бане в течение 1 ч. После охлаждения до комнатной температуры содержимое количественно переносят в мерную колбу вместимостью 100 см
3, доводят до метки дистиллированной водой и перемешивают. 10 см
3 приготовленного раствора помещают в стакан вместимостью 50 см
3, приливают 10 см
3 буферного раствора, перемешивают и через 3 мин измеряют электродный потенциал, как описано в
6.8.1.2.5. Измерив потенциал, по градуировочному графику определяют концентрацию фторид-иона в растворе.
Измерение электродного потенциала для раствора выполняют дважды.
Проводят два параллельных определения.
6.8.1.4 Обработка результатов
Массовую долю фторида X3, %, в пересчете на молярную массу фтора вычисляют по формуле

(1)
где

- среднеарифметическое значение концентрации фторид-иона, г/см
3;
100 - вместимость мерной колбы, см3;
m - масса навески зубной пасты, г.
В случае если измерительный прибор позволяет считывать показания непосредственно в единицах концентрации фторид-иона, вышеуказанные вычисления концентрации не проводят.
За результат определения принимают среднеарифметическое значение результатов двух параллельных определений, расхождение между которыми не должно превышать 0,02%, расхождение между результатами определений в двух лабораториях не должно превышать 0,04%, абсолютная погрешность измерения - +/- 0,02% при доверительной вероятности P = 0,95.
6.8.2 Определение массовой доли фторида после обработки зубной пасты хлорной кислотой (арбитражный метод)
Метод основан на измерении концентрации фторид-иона с помощью фторидного электрода в растворе после обработки зубной пасты хлорной кислотой.
6.8.2.1 Аппаратура и реактивы
6.8.2.1.1 pH-метр-милливольтметр-иономер типа pH/ISE-metre ORION, модель 920A, АНИОН-410 или аналогичный.
6.8.2.1.2 Фторидный электрод (простой или комбинированный) ORION, модель 9409, 9609, Элит-221 или аналогичный.
6.8.2.1.3 Хлорсеребряный электрод сравнения ORION, модель 9001, ЭВЛ-1М3 или аналогичный.
6.8.2.1.4 Весы лабораторные - по
ГОСТ OIML R 76-1, высокого класса точности, с наибольшим пределом взвешивания 200 г.
6.8.2.1.5 Термостат, обеспечивающий температуру 60 °C.
6.8.2.1.6 Водяная баня.
6.8.2.1.7 Магнитная мешалка.
6.8.2.1.8 Секундомер.
6.8.2.1.9 Термометр - по
ГОСТ 28498, диапазон измерения - 0 °C - 100 °C, цена деления - 1 °C.
6.8.2.1.10 Колбы 2-25-2, 2-100-2, 2-1000-2 - по
ГОСТ 1770.
6.8.2.1.11 Пипетки 1-1-1-0,5, 1-1-2-2, 1-1-2-5, 1-1-1-25 - по
ГОСТ 29227.
6.8.2.1.12 Полиэтиленовые сосуды вместимостью 1000 см3.
6.8.2.1.13 Полиэтиленовые стаканы вместимостью 30 см3.
6.8.2.1.14 Цилиндры 1-25, 3-25 - по
ГОСТ 1770.
6.8.2.1.16 Кислота уксусная ледяная - по
ГОСТ 61.
6.8.2.1.17 Хлорная кислота, раствор массовой долей 57%.
6.8.2.1.18 Натрий лимоннокислый 5,5-водный - по
ГОСТ 22280.
6.8.2.1.20 Натрий фтористый - по
ГОСТ 4463, предварительно высушенный до постоянной массы при 105 °C.
6.8.2.1.22 Натрия гидроксид - по
ГОСТ 4328, спиртовой раствор концентрацией
c(NaOH) = 5 моль/дм
3 (5 н).
6.8.2.1.23 ЦДТА (комплексон IV) - циклогексилендинитрило-тетрауксусная кислота или 1,2-диамин-циклогексан-N,N,N,N-тетрауксусная кислота.
6.8.2.1.24 Вода дистиллированная - по
ГОСТ 6709 или вода для лабораторного анализа - по ГОСТ ISO 3696,
[3].
6.8.2.1.25 Спирт этиловый ректификованный - по
ГОСТ 5962.
Примечание - Допускается применение других аналогичных средств измерений, вспомогательного оборудования с метрологическими и техническими характеристиками, а также реактивов по качеству не ниже, чем у вышеуказанных.
6.8.2.2 Подготовка к испытанию
6.8.2.2.1 Приготовление буферного раствора, регулирующего общую ионную силу (БРОИС) pH 5,0 - 5,5
В колбу мерную вместимостью 1000 см3 помещают 58,0 г хлористого натрия, 57 см3 ледяной уксусной кислоты, добавляют 4,0 г ЦДТА (комплексона IV) или 0,3 г лимоннокислого натрия и 500 см3 дистиллированной воды, перемешивают на магнитной мешалке и добавляют 5 н раствор гидроксида натрия до достижения значения pH в пределах 5,0 - 5,5 (с охлаждением на ледяной бане). Объем содержимого колбы доводят до метки дистиллированной водой.
Раствор хранят в полиэтиленовом сосуде. Срок хранения - 12 мес.
6.8.2.2.2 Приготовление основного раствора фтористого натрия концентрацией фторид-иона 1000 мг/дм3
В мерную колбу вместимостью 1000 см3 помещают 2,211 г фтористого натрия, растворяют в дистиллированной воде, доводят объем раствора водой до метки и перемешивают.
Раствор хранят в полиэтиленовом сосуде с плотно закрытой пробкой. Срок хранения - 6 мес.
6.8.2.2.3 Приготовление рабочих градуировочных растворов фтористого натрия концентрацией фторид-иона 100, 10, 1,0 мг/дм3
Для приготовления раствора фтористого натрия концентрацией фторид-иона 100 мг/дм3 в мерную колбу вместимостью 1000 см3 помещают 100 см3 основного раствора фтористого натрия, доводят объем дистиллированной водой до метки и перемешивают.
Для приготовления раствора фтористого натрия концентрацией фторид-иона 10 мг/дм3 в мерную колбу вместимостью 1000 см3 помещают 100 см3 рабочего градуировочного раствора фтористого натрия концентрацией фторид-иона 100 мг/дм3, доводят объем дистиллированной водой до метки и перемешивают.
Для приготовления раствора фтористого натрия концентрацией фторид-иона 1 мг/дм3 в мерную колбу вместимостью 1000 см3 помещают 100 см3 рабочего градуировочного раствора фтористого натрия концентрацией фторид-иона 10 мг/дм3, доводят объем дистиллированной водой до метки и перемешивают.
Растворы хранят в холодильнике в полиэтиленовых сосудах с плотно закрытой пробкой. Срок хранения - 6 мес.
6.8.2.2.4 Приготовление спиртового раствора гидроксида натрия концентрацией 0,25 моль/дм3
10,0 г гидроксида натрия помещают в мерную колбу вместимостью 1000 см3, растворяют в этиловом спирте с объемной долей 96% при постоянном перемешивании на магнитной мешалке. После растворения гидроксида натрия объем доводят до метки этиловым спиртом.
Раствор хранят в полиэтиленовом сосуде с плотно закрытой пробкой. Срок хранения - 12 мес.
6.8.2.2.5 Градуировка измерительного устройства
Подготавливают электроды и pH-метр-милливольтметр-иономер в соответствии с инструкцией по эксплуатации прибора.
Градуировка заключается в последовательном измерении отклика иономера (мВ) при погружении фторидного и хлорсеребряного электродов в рабочие градуировочные растворы концентрацией фторид-иона 1, 10 и 100 мг/дм3, предварительно смешанные с буферным раствором БРОИС в объемном соотношении 1:1.
В ходе измерений растворы постоянно перемешивают на магнитной мешалке. Показания милливольтметра регистрируют через 3 мин после погружения электродов. Перед каждым измерением электроды тщательно промывают дистиллированной водой до постоянного значения потенциала, характерного для отмытого электрода. Мембрану фторидного электрода осторожно высушивают впитывающей бумагой или тканью.
Все измерения проводят при постоянной температуре растворов, равной (25 +/- 1) °C.
Крутизна градуировочной (электродной) функции в интервале концентрации фторид-иона 1 - 10 и 10 - 100 мг/дм3 должна составлять 52 - 60 мВ.
6.8.2.2.6 Подготовка зубной пасты к испытанию
К навеске зубной пасты массой 2,50 г добавляют 50 см3 дистиллированной воды и тщательно перемешивают в течение 3 мин на магнитной мешалке. Смесь количественно переносят в мерную колбу вместимостью 100 см3, доводят объем до метки дистиллированной водой и тщательно перемешивают.
В крышку чашки Петри вносят 0,3 см3 0,25 н спиртового раствора гидроокиси натрия и дают возможность спирту испариться на воздухе. В нижнюю часть чашки Петри вносят 2,0 см3 смеси из мерной колбы и добавляют 4,0 см3 раствора массовой долей хлорной кислоты 57%. Немедленно закрывают чашку Петри крышкой и помещают в термостат при температуре 60 °C на 15 - 20 ч.
Через 15 - 20 ч вынимают чашку Петри из термостата и немедленно снимают крышку. Крышку чашки промывают 3 - 5 раз дистиллированной водой объемом 2 - 3 см3. Промывные воды собирают в отдельную мерную колбу вместимостью 25 см3, доводят объем до метки дистиллированной водой и тщательно перемешивают (при этом конечное суммарное разведение составляет 1:500).
6.8.2.3 Проведение испытания
Отбирают 5 см
3 раствора, полученного по
6.8.2.2.6, добавляют 5 см
3 буферного раствора и через 3 мин после погружения электродов регистрируют показания милливольтметра, как указано в
6.8.2.2.5.
Показания милливольтметра для раствора регистрируют три раза.
Проводят два параллельных определения.
6.8.2.4 Обработка результатов
Концентрацию фторид-иона в пробе Cf, мг/дм3, определяют по уравнению Нернста (по результатам измерения разности потенциалов):

(2)
где c(1) - концентрация фторид-иона 1 мг/дм3;

- разность потенциалов пробы разведения и рабочего градуировочного раствора концентрацией фторид-иона 1 мг/дм
3, мВ;
S1 - крутизна градуировочной (электродной) функции в интервале концентраций фторид-иона 1 и 10 мг/дм3, мВ.
Вычисляют среднеарифметическое значение концентрации фторид-иона в пробе cf.
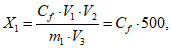
Массовую долю фторида X1, мг/кг, вычисляют по формуле

(3)
где Cf - среднеарифметическое значение концентрации фторид-иона, мг/дм3;
V1 - вместимость мерной колбы, V1 = 0,025 дм3;
V2 - вместимость мерной колбы, V2 = 0,1 дм3;
V3 - объем раствора пробы, внесенного в чашку Петри, V3 = 0,002 дм3;
m1 - масса взятой навески зубной пасты, m1 = 0,0025 кг.
В случае если измерительный прибор позволяет считывать показания непосредственно в единицах концентрации фторид-иона, вышеуказанные вычисления концентрации не проводят.
Массовую долю фторида

, %, в зубной пасте вычисляют по формуле

(4)
За результат определения принимают среднеарифметическое значение результатов двух параллельных определений, расхождение между которыми не должно превышать 0,02%, относительное расхождение между результатами определений в двух лабораториях не должно превышать 0,04%, абсолютная погрешность измерения - +/- 0,02% при доверительной вероятности P = 0,95.
6.8.3 Определение массовой доли фторида в зубной пасте, содержащей ионизируемые фториды
Метод заключается в измерении концентрации фторид-иона с помощью фторидного электрода в зубных пастах, содержащих соединения фторида, образующие в водной среде свободные ионы фтора.
6.8.3.1 Аппаратура и реактивы - по
6.8.1.1, а также центрифуга (10 тыс. об./мин).
6.8.3.2 Подготовка к испытанию - по
6.8.1.2.
6.8.3.3 Проведение испытания
Взвешивают с точностью до четвертого знака после запятой в стакане вместимостью 100 см3 навеску зубной пасты массой от 1,0 до 2,0 г. Добавляют в стакан 60 см3 дистиллированной воды и интенсивно перемешивают на магнитной мешалке в течение 10 мин. Содержимое стакана количественно переносят в мерную колбу вместимостью 100 см3, доводят объем дистиллированной водой до метки, перемешивают и оставляют для осаждения на 5 ч или центрифугируют в течение 10 мин.
От 5 до 10 см3 полученного прозрачного раствора помещают в стакан вместимостью 50 см3, добавляют равный объем буферного раствора и перемешивают на магнитной мешалке. Показания милливольтметра регистрируют через 3 мин после погружения электродов.
Показания милливольтметра для раствора регистрируют три раза.
Проводят два параллельных определения.
6.8.3.4 Обработка результатов
Концентрацию фторид-иона в пробе определяют по
формуле (2).
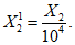
Массовую долю фторид-иона X2, мг/кг, вычисляют по формуле

(5)
где Cf - среднеарифметическое значение концентрации фторид-иона в испытуемой надосадочной жидкости, мг/дм3;
V - вместимость мерной колбы, V = 0,1 дм3;
m2 - масса взятой навески зубной пасты, кг.
Массовую долю фторида

, %, в зубной пасте вычисляют по формуле

(6)
За результат определения принимают среднеарифметическое значение результатов двух параллельных определений, расхождение между которыми не должно превышать 0,02%, относительное расхождение между результатами определений в двух лабораториях не должно превышать 0,04%, абсолютная погрешность измерения - +/- 0,02% при доверительной вероятности P = 0,95.
6.9 Определение содержания токсичных элементов
6.9.4 Метод контроля, указанный первым, является арбитражным.
6.10 Определение микробиологических показателей
6.10.1 Общее количество мезофильных аэробных микроорганизмов определяют по
ГОСТ ISO 21149 или по нормативным документам, действующим на территории государства, принявшего стандарт.
6.10.2 Содержание Candida albicans определяют по
ГОСТ ISO 18416 или по нормативным документам, действующим на территории государства, принявшего стандарт.
6.10.3 Содержание Escherichia coli определяют по ГОСТ ISO 21150 или по нормативным документам, действующим на территории государства, принявшего стандарт.
6.10.4 Содержание Staphylococcus aureus определяют по ГОСТ ISO 22718 или по нормативным документам, действующим на территории государства, принявшего стандарт.
6.10.5 Содержание Pseudomonas aeruginosa определяют по ГОСТ ISO 22717 или по нормативным документам, действующим на территории государства, принявшего стандарт.
6.11 Токсикологические и клинико-лабораторные показатели определяют по нормативным документам, действующим на территории государства, принявшего стандарт.
6.12 Количество зубной пасты в упаковочной единице изготовитель определяет по методу, установленному в технологической документации.
7 Транспортирование и хранение
7.1 Зубные пасты транспортируют всеми видами транспорта в крытых транспортных средствах, обеспечивающих сохранность продукции, в соответствии с правилами перевозки грузов, действующими на транспорте данного вида.
7.2 Зубные пасты хранят при температуре не ниже 0 °C и не выше 25 °C в крытых складских помещениях.
Не допускается хранить зубные пасты под непосредственным воздействием солнечного света и вблизи отопительных приборов.
8.1 Изготовитель гарантирует соответствие зубных паст требованиям настоящего стандарта при соблюдении условий транспортирования и хранения.
8.2 Срок годности зубной пасты каждого конкретного названия устанавливает изготовитель и указывает в техническом документе.
| | О безопасности парфюмерно-косметической продукции |
| | О безопасности упаковки |
| | Вода для лабораторного анализа. Технические условия |
УДК 668.583.44:006.354(083.74)(476) | |
Ключевые слова: зубные пасты, технические требования |