Главная // Актуальные документы // ГОСТ (Государственный стандарт)СПРАВКА
Источник публикации
М.: ФГБУ "Институт стандартизации", 2024
Примечание к документу
Документ
вводится в действие с 01.07.2025 с правом досрочного применения.
Название документа
"ГОСТ 4338-2024. Межгосударственный стандарт. Топлива для реактивных двигателей. Определение максимальной высоты некоптящего пламени"
(введен в действие Приказом Росстандарта от 10.07.2024 N 907-ст)
"ГОСТ 4338-2024. Межгосударственный стандарт. Топлива для реактивных двигателей. Определение максимальной высоты некоптящего пламени"
(введен в действие Приказом Росстандарта от 10.07.2024 N 907-ст)
Введен в действие
агентства по техническому
регулированию и метрологии
от 10 июля 2024 г. N 907-ст
МЕЖГОСУДАРСТВЕННЫЙ СТАНДАРТ
ТОПЛИВА ДЛЯ РЕАКТИВНЫХ ДВИГАТЕЛЕЙ
ОПРЕДЕЛЕНИЕ МАКСИМАЛЬНОЙ ВЫСОТЫ НЕКОПТЯЩЕГО ПЛАМЕНИ
Jet fuels. Determination of smoke point
(ISO 3014:1993, NEQ)
ГОСТ 4338-2024
Дата введения
1 июля 2025 года
с правом досрочного применения
Цели, основные принципы и общие правила проведения работ по межгосударственной стандартизации установлены
ГОСТ 1.0 "Межгосударственная система стандартизации. Основные положения" и
ГОСТ 1.2 "Межгосударственная система стандартизации. Стандарты межгосударственные, правила и рекомендации по межгосударственной стандартизации. Правила разработки, принятия, обновления и отмены"
1 РАЗРАБОТАН Межгосударственным техническим комитетом по стандартизации МТК 031 "Нефтяные топлива и смазочные материалы", Федеральным государственным бюджетным учреждением "Российский институт стандартизации" (ФГБУ "Институт стандартизации")
2 ВНЕСЕН Федеральным агентством по техническому регулированию и метрологии
3 ПРИНЯТ Межгосударственным советом по стандартизации, метрологии и сертификации (протокол от 21 июня 2024 г. N 65-2024)
За принятие проголосовали:
Краткое наименование страны по МК (ИСО 3166) 004-97 | Код страны по МК (ИСО 3166) 004-97 | Сокращенное наименование национального органа по стандартизации |
Азербайджан | AZ | Азстандарт |
Армения | AM | ЗАО "Национальный орган по стандартизации и метрологии" Республики Армения |
Беларусь | BY | Госстандарт Республики Беларусь |
Казахстан | KZ | Госстандарт Республики Казахстан |
Киргизия | KG | Кыргызстандарт |
Россия | RU | Росстандарт |
Узбекистан | UZ | Узбекское агентство по техническому регулированию |
4
Приказом Федерального агентства по техническому регулированию и метрологии от 10 июля 2024 г. N 907-ст межгосударственный стандарт ГОСТ 4338-2024 введен в действие в качестве национального стандарта Российской Федерации с 1 июля 2025 г. с правом досрочного применения
5 Настоящий стандарт разработан с учетом основных нормативных положений международного стандарта ISO 3014:1993 "Нефтепродукты. Определение высоты некоптящего пламени керосина" ("Petroleum products - Determination of the smoke point of kerosine", NEQ)
Информация о введении в действие (прекращении действия) настоящего стандарта и изменений к нему на территории указанных выше государств публикуется в указателях национальных стандартов, издаваемых в этих государствах, а также в сети Интернет на сайтах соответствующих национальных органов по стандартизации.
В случае пересмотра, изменения или отмены настоящего стандарта соответствующая информация будет опубликована на официальном интернет-сайте Межгосударственного совета по стандартизации, метрологии и сертификации в каталоге "Межгосударственные стандарты"
1.1 Настоящий стандарт распространяется на топлива для реактивных двигателей (далее - топливо) и устанавливает метод определения максимальной высоты некоптящего пламени.
1.2 Настоящий стандарт допускается применять для определения максимальной высоты некоптящего пламени осветительных керосинов.
Примечание - Максимальная высота некоптящего пламени зависит от углеводородного состава испытуемого продукта и является показателем диффузионного пламени.
В настоящем стандарте использованы нормативные ссылки на следующие межгосударственные стандарты:
ГОСТ 427 Линейки измерительные металлические. Технические условия
ГОСТ 1770 (ИСО 1042-83, ИСО 4788-80) Посуда мерная лабораторная стеклянная. Цилиндры, мензурки, колбы, пробирки. Общие технические условия
ГОСТ 2517 Нефть и нефтепродукты. Методы отбора проб
ГОСТ 5789 Реактивы. Толуол. Технические условия
ГОСТ 8505 Нефрас-С 50/170. Технические условия
ГОСТ 12026 Бумага фильтровальная лабораторная. Технические условия
ГОСТ 12433 Изооктаны эталонные. Технические условия
ГОСТ 25336 Посуда и оборудование лабораторные стеклянные. Типы, основные параметры и размеры
ГОСТ 25828 Гептан нормальный эталонный. Технические условия
ГОСТ 29251 (ИСО 385-1-84) Посуда лабораторная стеклянная. Бюретки. Часть 1. Общие требования
Примечание - При пользовании настоящим стандартом целесообразно проверить действие ссылочных стандартов и классификаторов на официальном интернет-сайте Межгосударственного совета по стандартизации, метрологии и сертификации (www.easc.by) или по указателям национальных стандартов, издаваемым в государствах, указанных в предисловии, или на официальных сайтах соответствующих национальных органов по стандартизации. Если на документ дана недатированная ссылка, то следует использовать документ, действующий на текущий момент, с учетом всех внесенных в него изменений. Если заменен ссылочный документ, на который дана датированная ссылка, то следует использовать указанную версию этого документа. Если после принятия настоящего стандарта в ссылочный документ, на который дана датированная ссылка, внесено изменение, затрагивающее положение, на которое дана ссылка, то это положение применяется без учета данного изменения. Если ссылочный документ отменен без замены, то положение, в котором дана ссылка на него, применяется в части, не затрагивающей эту ссылку.
В настоящем стандарте применен следующий термин с соответствующим определением:
3.1 максимальная высота некоптящего пламени: Наибольшая высота в миллиметрах бездымного пламени топлива, сжигаемого в лампе определенной конструкции.
Сущность метода заключается в измерении наибольшей высоты бездымного пламени испытуемого образца топлива, сжигаемого в лампе определенной конструкции, оснащенной шкалой.
5.2 Изооктан (2,2,4-триметилпентан) эталонный по
ГОСТ 12433.
5.3 Нефрас-С 50/170 по
ГОСТ 8505 или аналогичный растворитель.
5.4 Петролейный эфир или диэтиловый эфир.
5.6 Допускается использовать реактивы, отличные от указанных, с характеристиками не хуже установленных настоящим стандартом и обеспечивающие получение достоверных результатов определения.
6 Аппаратура, средства измерений и посуда
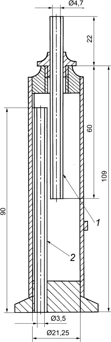
6.1 Лампа для определения высоты некоптящего пламени (см.
рисунки 1 -
3).
1 - резервуар; 2 - втулка для резервуара; 3 - камера;
4 - направляющая фитиля; 5 - шкала; 6 - вытяжная труба
Рисунок 1 - Лампа для определения высоты некоптящего пламени
1 - фитильная трубка; 2 - воздушный канал
Рисунок 2 - Резервуар
1 - втулка для резервуара; 2 - направляющая фитиля;
3 - вентиляционные отверстия; 4 - камера;
5 - корпус лампы; 6 - вытяжная труба
Рисунок 3 - Корпус лампы для определения высоты
некоптящего пламени
6.1.1 Размеры лампы и ее элементов приведены в
таблицах 1 и
2.
Таблица 1
Размеры резервуара в лампе для определения высоты
некоптящего пламени
Параметр | Значение |
Корпус резервуара |
Внутренний диаметр, мм | 21,25 +/- 0,05 |
Наружный диаметр | Посадка с зазором во втулке для резервуара |
Длина без колпачка, мм | 109,00 +/- 0,05 |
Резьба на колпачке, мм |  ; шаг резьбы 1,0 |
Фитильная трубка |
Внутренний диаметр, мм | 4,70 +/- 0,05 |
Наружный диаметр | Посадка с натягом |
Длина, мм | 82,00 +/- 0,05 |
Воздушный канал |
Внутренний диаметр, мм | 3,50 +/- 0,05 |
Длина, мм | 90,00 +/- 0,05 |
Таблица 2
Размеры корпуса лампы для определения высоты
некоптящего пламени
Параметр | Значение |
Втулка для резервуара |
Внутренний диаметр, мм | 23,80 +/- 0,05 |
Направляющая фитиля |
Внутренний диаметр, мм | 6,00 +/- 0,02 |
Вентиляционные отверстия (20 шт.) |
Диаметр, мм | 2,90 +/- 0,05 |
Камера |
Наружный диаметр, мм | 35,00 +/- 0,05 |
Диаметр вентиляционного отверстия, мм (20 шт.) | 3,50 +/- 0,05 |
Корпус лампы |
Внутренний диаметр, мм | 81,0 +/- 1,0 |
Глубина, мм | 81,0 +/- 1,0 |
Вытяжная труба |
Внутренний диаметр, мм | 40,0 +/- 1,0 |
Высота от верхнего края до центра корпуса лампы, мм | 130,0 +/- 1,0 |
6.1.2 Лампа должна соответствовать следующим основным положениям:
- верхний конец направляющей фитиля должен располагаться точно на уровне нулевой отметки шкалы;
- шкала должна быть нанесена белыми горизонтальными линиями на черном стекле по обе стороны от вертикальной белой или черной линии шириной 2 мм. Диапазон шкалы 50 мм, цена деления 1 мм, оцифровка через каждые 10 мм, цена большого деления 5 мм;
- лампа должна иметь устройство, позволяющее равномерно и плавно менять положение резервуара (поднимать/опускать). Расстояние для перемещения резервуара - не менее 10 мм;
- стекло в дверце лампы должно иметь вогнутую в сторону от шкалы форму для предотвращения многократных отражений;
- соединение между основанием и резервуаром горелки должно быть непроницаемым для топлива.
Примечание - Допускается при наблюдении использовать кобальтовое стекло средней плотности для снижения яркости пламени.
6.2 Фитиль, представляющий собой круглый жгут из хлопчатобумажных нитей, со следующими характеристиками:
- оболочка - 17 нитей, 66 текс x 3;
- основа - 9 нитей, 100 текс x 4;
- уток - 40 текс x 2;
- число нитей на 1 см - 6.
Примечание - Допускается использовать фитили с характеристиками, отличными от указанных, если их применение обеспечивает получение достоверных результатов определения.
6.7 Бюретки 1-2-50-0,10 и 3-2-100-0,20 по
ГОСТ 29251.
6.8 Бумага фильтровальная лабораторная марок Ф, ФБ или ФС по
ГОСТ 12026.
6.9 Ножницы или нож, или другое приспособление без защитного покрытия для подрезки фитилей.
6.10 Пинцет.
6.11 Приспособление для очистки вытяжной трубы.
6.12 Барометр-анероид, обеспечивающий подготовку и проведение испытания по настоящему стандарту.
6.13 Шкаф сушильный, обеспечивающий температуру нагрева от 100 °C до 110 °C.
6.14 Аппарат для экстракции.
6.15 Секундомер, обеспечивающий подготовку и проведение испытания по настоящему стандарту.
6.16 Допускается использовать аппаратуру (в т.ч. автоматическую и полуавтоматическую), стеклянную лабораторную посуду, отличные от указанных, с характеристиками не хуже установленных настоящим стандартом и обеспечивающие получение достоверных результатов определения.
Примечание - Пробу термостатируют в условиях окружающей среды не менее 2 ч. Мутные или содержащие посторонние примеси пробы предварительно фильтруют через фильтровальную бумагу.
8 Подготовка к проведению испытания
8.1 Контрольные топливные смеси
Тщательно готовят контрольные топливные смеси из толуола и эталонного изооктана (2,2,4-триметилпентана) с использованием бюреток в соотношении, указанном в
таблице 3 в зависимости от максимальной высоты некоптящего пламени.
Таблица 3
Состав контрольных топливных смесей
Максимальная высота некоптящего пламени при давлении 101,3 кПа, мм | Объемная доля толуола, % | Объемная доля изооктана, % |
14,7 | 40 | 60 |
20,2 | 25 | 75 |
22,7 | 20 | 80 |
25,8 | 15 | 85 |
30,2 | 10 | 90 |
35,4 | 5 | 95 |
42,8 | 0 | 100 |
8.2 Подготовка аппаратуры
8.2.1 Устанавливают лампу в вертикальном положении в помещении, оборудованном вентиляцией, в месте, полностью защищенном от сквозняков. Каждую новую лампу тщательно осматривают, следя за тем, чтобы все вентиляционные отверстия в камере и резервуаре были чистыми и имели требуемые размеры. Камера должна быть расположена таким образом, чтобы вентиляционные отверстия были открытыми.
Примечание - Для исключения влияния сквозняков устанавливают лампу в вертикальном положении в ящик из термостойкого материала (не содержащего асбест), открытый спереди. Расстояние между верхней стенкой ящика и верхним краем вытяжной трубы должно быть не менее 150 мм. Внутренняя поверхность ящика должна быть окрашена матовой черной краской.
8.2.2 Экстрагируют новые и использованные ранее фитили в аппарате для экстракции, проводя не менее 25 циклов экстракций, применяя петролейный или диэтиловый эфир, или другой аналогичный растворитель. Подсушивают фитили на воздухе или в вытяжном шкафу перед помещением в сушильный шкаф. Сушат при температуре от 100 °C до 110 °C в течение 30 мин. Хранят фитили до использования в эксикаторе.
8.2.3 Промывают топливный резервуар гептаном или петролейным эфиром, или нефрасом-С 50/170 по
ГОСТ 8505, продувают воздухом, высушивают в сушильном шкафу при температуре от 100 °C до 110 °C в течение 30 мин и охлаждают до температуры окружающей среды. Проверяют, чтобы воздушный канал в топливном резервуаре не был закрыт.
8.3 Определение поправочного коэффициента лампы
8.3.1 Поправочный коэффициент лампы определяют посредством испытания (см.
раздел 9) двух контрольных топливных смесей, имеющих такие значения максимальной высоты некоптящего пламени, при которых значение максимальной высоты некоптящего пламени испытуемого образца находится между ними.
Примечание - Если выполнение указанного условия невозможно, то используют две контрольные топливные смеси, максимальная высота некоптящего пламени которых близка к максимальной высоте некоптящего пламени испытуемого образца. Если максимальная высота некоптящего пламени образца точно совпадает с максимальной высотой некоптящего пламени одной из контрольных топливных смесей, то в качестве второй следует использовать смесь с большей максимальной высотой некоптящего пламени.
Рассчитывают поправочный коэффициент f по формуле

(1)
где As - максимальная высота некоптящего пламени первой контрольной топливной смеси, мм;
Ad - измеренная максимальная высота некоптящего пламени первой контрольной топливной смеси, мм;
Bs - максимальная высота некоптящего пламени второй контрольной топливной смеси, мм;
Bd - измеренная максимальная высота некоптящего пламени второй контрольной топливной смеси, мм.
8.3.2 Регистрируют и округляют значение поправочного коэффициента до второго десятичного знака.
8.3.3 Определение поправочного коэффициента выполняют не реже одного раза в смену, повторно в один и тот же день при замене лампы для определения высоты некоптящего пламени, смене оператора, изменении барометрического давления более чем на 0,7 кПа (0,007 бар).
9.1 Пропитывают испытуемым образцом фитиль длиной не менее 125 мм, подготовленный по
8.2.2, и устанавливают его в фитильную трубку так, чтобы его свободный конец выступал из трубки приблизительно на расстояние от 8 до 10 мм. Вращательные движения, связанные с этой операцией, проводят осторожно. При возникновении перекручивания оно должно быть устранено путем легкого натяжения фитиля и осторожного продвижения его вдоль фитильной трубки. Затем зажигаемый конец фитиля вновь смачивают испытуемым образцом.
Примечание - При наличии разногласий в результатах испытаний проводят повторные испытания только с использованием нового фитиля, подготовленного по
8.2.2.
9.2 Наливают 20 см
3 испытуемого образца в резервуар, подготовленный по
8.2.3. Следят за тем, чтобы испытуемый образец не попадал в воздушные каналы резервуара.
Примечание - Допускается использовать меньшее количество образца, но не менее 10 см3.
9.3 Устанавливают фитильную трубку в резервуар и завинчивают до упора. Обрезают фитиль горизонтально таким образом, чтобы он выступал над фитильной трубкой на 6 мм и не имел распустившегося конца. Устанавливают резервуар в лампу.
9.4 Зажигают фитиль, устанавливают высоту пламени приблизительно 10 мм и прогревают камеру лампы в течение 5 мин. Постепенно увеличивают высоту пламени до появления тонкой струи дыма (копоти), затем медленно опускают. При этом форма пламени меняется следующим образом (см.
рисунок 4):
- пламя с длинным языком, подвижное и неустойчивое с едва заметной струей дыма (копоти);
- пламя с вытянутым заостренным концом языка и вогнутыми краями (см.
рисунок 4,
A);
- пламя со слегка закругленным концом языка (см.
рисунок 4,
B);
- пламя с сильно закругленным концом языка (см.
рисунок 4,
C).
Примечание - Иногда около языка пламени может наблюдаться зубчатое неустойчивое яркое пламя, которое не учитывают.
A - слишком высокое пламя; B - нормальное пламя;
C - слишком низкое пламя; l - основание пламени
9.5 Измеряют высоту некоптящего пламени (см.
рисунок 4,
B) и регистрируют значение до 0,5 мм.
Примечание - Чтобы избежать погрешностей в результате параллакса, глаз наблюдателя должен быть слегка смещен в сторону от центральной вертикальной линии шкалы так, чтобы по одну сторону этой линии на шкале можно было видеть пламя, а по другую - его отражение. При этом уровни концов пламени должны находиться на одной горизонтали. Для предотвращения параллакса и облегчения измерения высоты пламени допускается использовать визир.
9.6 Выполняют три измерения высоты некоптящего пламени (см.
9.5). Если расхождение между наибольшим и наименьшим результатами более 1,0 мм, то повторяют определение с использованием новой порции испытуемого образца и другого фитиля. Вычисляют среднее арифметическое значение трех измерений высоты некоптящего пламени
L. Полученный результат округляют до первого десятичного знака.
9.7 Извлекают резервуар из лампы, промывают растворителем и продувают воздухом для подготовки к следующему использованию. В качестве растворителя применяют Нефрас-С 50/170 по
ГОСТ 8505 или гептан, или петролейный эфир.
10 Обработка результатов испытания
10.1 Вычисляют максимальную высоту некоптящего пламени Lmax, мм, по формуле
Lmax = L·f, (2)
где
L - среднее арифметическое значение результатов трех измерений высоты некоптящего пламени, мм (см.
9.6);
f - поправочный коэффициент (см.
8.3).
Полученное значение округляют до первого десятичного знака.
10.2 За результат испытания принимают среднее арифметическое значение двух последовательных определений, округленное до первого десятичного знака.
11.1 Повторяемость
Расхождение между результатами двух последовательных определений, полученными одним и тем же оператором на одной и той же аппаратуре в постоянных рабочих условиях на идентичном испытуемом материале при нормальном и правильном выполнении метода, может превышать значение 2,0 мм не более чем в одном случае из 20.
11.2 Воспроизводимость
Расхождение между двумя единичными и независимыми результатами, полученными разными операторами, работающими в разных лабораториях, на идентичном испытуемом материале при нормальном и правильном выполнении метода, может превышать значение 3,0 мм не более чем в одном случае из 20.
Отчет об испытании должен содержать следующие данные:
- наименование, тип и марку испытуемого продукта;
- обозначение настоящего стандарта;
- результат испытания;
- информацию о любых отклонениях от установленной процедуры проведения испытания;
- дату проведения испытания.
УДК 665.743.3:006.354 | | NEQ |
Ключевые слова: авиационное топливо для реактивных двигателей, определение максимальной высоты некоптящего пламени |