Главная // Актуальные документы // ГОСТ (Государственный стандарт)СПРАВКА
Источник публикации
М.: ФГБУ "Институт стандартизации", 2024
Примечание к документу
Документ включен в
Перечень международных и региональных (межгосударственных) стандартов, а в случае их отсутствия - национальных (государственных) стандартов, содержащих правила и методы исследований (испытаний) и измерений, в том числе правила отбора образцов, необходимые для применения и исполнения требований технического
регламента Таможенного союза "О безопасности упаковки" (ТР ТС 005/2011) и осуществления оценки соответствия объектов технического регулирования (
Решение Коллегии Евразийской экономической комиссии от 29.01.2024 N 9).
Документ включен в
Перечень международных и региональных (межгосударственных) стандартов, а в случае их отсутствия - национальных (государственных) стандартов, содержащих правила и методы исследований (испытаний) и измерений, в том числе правила отбора образцов, необходимые для применения и исполнения требований технического
регламента Евразийского экономического союза "О безопасности оборудования для детских игровых площадок" (ТР ЕАЭС 042/2017) и осуществления оценки соответствия объектов технического регулирования (
Решение Коллегии Евразийской экономической комиссии от 07.02.2018 N 22).
Документ
введен в действие с 01.09.2024.
Название документа
"ГОСТ 33450-2015. Межгосударственный стандарт. Упаковка. Определение содержания диметилтерефталата методом газовой хроматографии в воздушной среде"
(введен в действие Приказом Росстандарта от 21.03.2024 N 347-ст)
"ГОСТ 33450-2015. Межгосударственный стандарт. Упаковка. Определение содержания диметилтерефталата методом газовой хроматографии в воздушной среде"
(введен в действие Приказом Росстандарта от 21.03.2024 N 347-ст)
агентства по техническому
регулированию и метрологии
от 21 марта 2024 г. N 347-ст
МЕЖГОСУДАРСТВЕННЫЙ СТАНДАРТ
УПАКОВКА
ОПРЕДЕЛЕНИЕ СОДЕРЖАНИЯ ДИМЕТИЛТЕРЕФТАЛАТА
МЕТОДОМ ГАЗОВОЙ ХРОМАТОГРАФИИ В ВОЗДУШНОЙ СРЕДЕ
Packaging.
Determination of dimethylterephthalate content
by gas chromatography method in air medium
ГОСТ 33450-2015
Дата введения
1 сентября 2024 года
Цели, основные принципы и общие правила проведения работ по межгосударственной стандартизации установлены
ГОСТ 1.0 "Межгосударственная система стандартизации. Основные положения" и
ГОСТ 1.2 "Межгосударственная система стандартизации. Стандарты межгосударственные, правила и рекомендации по межгосударственной стандартизации. Правила разработки, принятия, обновления и отмены"
1 РАЗРАБОТАН Государственным учреждением "Республиканский научно-практический центр гигиены"
2 ВНЕСЕН Государственным комитетом по стандартизации Республики Беларусь
3 ПРИНЯТ Межгосударственным советом по стандартизации, метрологии и сертификации по результатам голосования в АИС МГС (протокол от 27 августа 2015 г. N 79-П)
За принятие проголосовали:
Краткое наименование страны по МК (ИСО 3166) 004-97 | Код страны по МК (ИСО 3166) 004-97 | Сокращенное наименование национального органа по стандартизации |
Армения | AM | ЗАО "Национальный орган по стандартизации и метрологии" Республики Армения |
Беларусь | BY | Госстандарт Республики Беларусь |
Казахстан | KZ | Госстандарт Республики Казахстан |
Киргизия | KG | Кыргызстандарт |
Россия | RU | Росстандарт |
Таджикистан | TJ | Таджикстандарт |
Узбекистан | UZ | Узстандарт |
4
Приказом Федерального агентства по техническому регулированию и метрологии от 21 марта 2024 г. N 347-ст межгосударственный стандарт ГОСТ 33450-2015 введен в действие в качестве национального стандарта Российской Федерации с 1 сентября 2024 г.
5 ВВЕДЕН ВПЕРВЫЕ
Информация о введении в действие (прекращении действия) настоящего стандарта и изменений к нему на территории указанных выше государств публикуется в указателях национальных стандартов, издаваемых в этих государствах, а также в сети Интернет на сайтах соответствующих национальных органов по стандартизации.
В случае пересмотра, изменения или отмены настоящего стандарта соответствующая информация будет опубликована на официальном интернет-сайте Межгосударственного совета по стандартизации, метрологии и сертификации в каталоге "Межгосударственные стандарты"
Предупреждение - Лица, применяющие настоящий стандарт, должны знать обычные лабораторные методы. В настоящем стандарте не рассматриваются все вопросы безопасности, связанные с его применением. Пользователь несет всю ответственность за принятие соответствующих мер безопасности и охраны здоровья, а также обеспечение соответствия всем национальным требованиям.
Внимание! Испытания, проводимые в соответствии с настоящим стандартом, должны выполняться персоналом, прошедшим соответствующее обучение.
Настоящий стандарт устанавливает газохроматографический метод определения содержания диметилтерефталата, выделяющегося из упаковки в воздушную среду в диапазоне 0,0050 до 0,0200 мг/м3.
В настоящем стандарте использованы нормативные ссылки на следующие межгосударственные стандарты:
ГОСТ 1770 (ИСО 1042-83, ИСО 4788-80) Посуда мерная лабораторная стеклянная. Цилиндры, мензурки, колбы, пробирки. Общие технические условия
ГОСТ 4204 Реактивы. Кислота серная. Технические условия
ГОСТ ИСО 5725-1
<1> Точность (правильность и прецизионность) методов и результатов измерений. Часть 1. Основные положения и определения
--------------------------------
ГОСТ ИСО 5725-6-2003
<2> Точность (правильность и прецизионность) методов и результатов измерений. Часть 6. Использование значений точности на практике
--------------------------------
ГОСТ 5789 Реактивы. Толуол. Технические условия
--------------------------------
ГОСТ 9293 (ИСО 2435-73) Азот газообразный и жидкий. Технические условия
ГОСТ 9805 Спирт изопропиловый. Технические условия
--------------------------------
<4> В Российской Федерации действует
ГОСТ Р 53228-2008 "Весы неавтоматического действия. Часть 1. Метрологические и технические требования. Испытания".
ГОСТ 29227 (ИСО 835-1-81) Посуда лабораторная стеклянная. Пипетки градуированные. Часть 1. Общие требования
Примечание - При пользовании настоящим стандартом целесообразно проверить действие ссылочных стандартов и классификаторов на официальном интернет-сайте Межгосударственного совета по стандартизации, метрологии и сертификации (www.easc.by) или по указателям национальных стандартов, издаваемым в государствах, указанных в предисловии, или на официальных сайтах соответствующих национальных органов по стандартизации. Если на документ дана недатированная ссылка, то следует использовать документ, действующий на текущий момент, с учетом всех внесенных в него изменений. Если заменен ссылочный документ, на который дана датированная ссылка, то следует использовать указанную версию этого документа. Если после принятия настоящего стандарта в ссылочный документ, на который дана датированная ссылка, внесено изменение, затрагивающее положение, на которое дана ссылка, то это положение применяется без учета данного изменения. Если ссылочный документ отменен без замены, то положение, в котором дана ссылка на него, применяется в части, не затрагивающей эту ссылку.
В настоящем стандарте применены термины по ГОСТ ИСО 5725-1, а также следующие термины с соответствующими определениями:
3.1 упаковка: Изделие, которое используется для размещения, защиты, транспортирования, загрузки и разгрузки, доставки и хранения сырья и готовой продукции.
3.2 точность: Близость результата испытаний к принятому эталонному значению величины.
Примечание - Термин "точность", когда он относится к серии наблюдаемых значений, описывает сумму составляющих случайной погрешности и общих составляющих систематической погрешности. Точность включает правильность и прецизионность.
3.3 градуировочный раствор: Раствор, используемый для построения градуировочного графика.
3.4 контрольная проба: Проба воздуха эксикатора, не содержащего образец.
3.5 линейность: Пропорциональная зависимость между измеряемым содержанием определяемого компонента и аналитическим сигналом средства измерения выбранного метода.
Примечание - Линейная зависимость должна быть определена в пределах диапазона применения метода измерений.
3.6 прецизионность: Близость между независимыми результатами испытаний, полученными при определенных принятых условиях.
Примечание - Прецизионность зависит только от распределения случайных ошибок и не связана ни с истинным, ни с заданным значением.
3.7 воспроизводимость: Прецизионность в условиях воспроизводимости.
3.8 условия воспроизводимости: Условия, при которых результаты испытаний получены одним и тем же методом на идентичных образцах испытаний в различных лабораториях, разными операторами с использованием различного оборудования.
3.9 предел воспроизводимости R: Такое значение, что абсолютная разность между двумя результатами испытаний, полученными в условиях воспроизводимости, будет ожидаться меньше его или равной ему с вероятностью 95%.
3.10 повторяемость: Прецизионность в условиях повторяемости.
3.11 условия повторяемости: Условия, при которых независимые результаты испытаний получены одним методом на идентичных образцах испытаний в одной лаборатории одним оператором с использованием одного оборудования и за короткий интервал времени.
3.12 предел повторяемости r: Такое значение, что абсолютная разность между двумя результатами испытаний, полученных в условиях повторяемости, будет ожидаться меньше его или равной ему с вероятностью 95%.
3.13 градуировочный раствор: Раствор, используемый для построения градуировочного графика.
3.14 диметилтерефталат; ДМТ: Диметиловый эфир терефталевой кислоты.
Измерение концентраций диметилового эфира терефталевой кислоты в воздушной среде основано на его концентрировании из воздуха в изопропиловый спирт с последующим газохроматографическим определением на хроматографе с детектором по электронному захвату.
5 Реактивы, оборудование и материалы
5.1 Реактивы и материалы
Все реактивы должны иметь указание степени чистоты и подходить для данного метода.
5.1.1 Диметилтерефталат, х.ч.
5.1.3 Азот газообразный по
ГОСТ 9293, о.с.ч., с объемным содержанием вещества 99,99 об. %.
5.1.6 Кислота серная по
ГОСТ 4204, разбавленная 1:1 (по объему).
5.1.7 Насадка для хроматографической колонки: неполярная неподвижная фаза SE-30, 5% от массы твердого носителя хроматон N-AW-DMCS (зернением 0,16 - 0,20 мм).
5.2 Оборудование
5.2.1 Газовый хроматограф, оснащенный детектором по электронному захвату.
5.2.2 Стеклянная хроматографическая колонка, длиной 100 см, внутренним диаметром 0,3 см.
5.2.3 Весы лабораторные по
ГОСТ 24104 с пределами допускаемой абсолютной погрешности однократного взвешивания не более +0,0001 г.
5.2.4 Автоматический пробоотборник воздуха.
Автоматический пробоотборник воздуха ОП-442 ТЦ с основной приведенной погрешностью задания расхода в каждой точке не более +/- 5% и основной относительной погрешностью измерения времени не более +/- 0,5%.
5.2.5 Эксикатор, вместимость 10 литров.
5.2.6 Горизонтальный встряхиватель с не менее чем 300 горизонтальных движений в минуту.
5.2.7 Стандартная лабораторная посуда.
Пробирки градуированные по
ГОСТ 1770, П-2-15-14/23ХС.
5.2.8 Поглотительный прибор с пористой пластинкой.
5.2.9 Микрошприц Hamilton 701 RN (вместимостью 10 мм3), точность дозирования +/- 1% номинального объема.
Примечание - Допускается применение аналогичных средств измерений, оборудования, посуды и реактивов с метрологическими, техническими характеристиками и показаниями качества не хуже, чем у приведенных выше.
6 Условия выполнения измерений
При приготовлении растворов, подготовке проб и выполнении измерений соблюдают следующие условия окружающей среды:
- температура воздуха при работе - (20 +/- 5) °C;
- атмосферное давление - (84,0 - 106,7) кПа (630 - 800 мм ртутного столба);
- влажность воздуха - не более 80% при температуре 25 °C.
Перед выполнением измерений должны быть проведены следующие работы: подготовка измерительной и вспомогательной аппаратуры, приготовление градуировочных растворов диметилтерефталата, установление градуировочной характеристики прибора.
7.1 Подготовка измерительной аппаратуры
Систему газового хроматографа настраивают согласно инструкции по эксплуатации. Устанавливают рабочие режимы для термостата детектора, термостата испарителя и термостата колонки, устанавливают расход газа-носителя. Проводят стабилизацию работы хроматографа на рабочих режимах в течение 30 - 40 мин. Регулярно контролируют шум и дрейф нулевой линии на соответствие спецификации изготовителя. Если результаты испытаний не удовлетворяют допустимым величинам, необходимо выявить и устранить причины.
7.2 Приготовление растворов
7.2.1 Исходный градуировочный раствор диметилтерефталата в толуоле с концентрацией 1,0 мг/см3.
0,05 г диметилтерефталата взвешивают с точностью до 0,0001 г, помещают в мерную колбу вместимостью 50 см3, растворяют в толуоле и доводят до метки толуолом; 1 см3 раствора содержит 1,0 мг диметилтерефталата. Основной градуировочный раствор устойчив при хранении в мерной колбе в холодильнике в течение шести месяцев.
7.2.2 Рабочий градуировочный раствор с концентрацией диметилтерефталата 10 мкг/см
3 готовят из исходного градуировочного раствора.
1,0 см3 исходного градуировочного раствора вносят в мерную колбу вместимостью 100 см3 и доводят до метки толуолом. Раствор устойчив в течение шести месяцев в холодильнике.
7.2.3 Приготовление градуировочных растворов.
Градуировочные растворы готовят разбавлением рабочего градуировочного раствора (см.
7.2.2) толуолом. Приготавливают как минимум пять градуировочных растворов.
0,25; 0,4; 0,5; 0,75 и 1,0 см
3 стандартного раствора (см.
7.2.2) вносят в мерные колбы вместимостью 50 см
3 и доводят объемы до метки толуолом. Концентрация ДМТ в полученных растворах составляет соответственно 0,05; 0,08; 0,1; 0,15 и 0,2 мкг/см
3.
7.3 Установление градуировочной характеристики
Градуировочную характеристику, выражающую зависимость высоты (площади) хроматографического пика от концентрации вещества, устанавливают по трем сериям из пяти растворов. Расчет градуировочного графика зависимости высоты пика (площади) от концентрации диметилтерефталата проводят методом наименьших квадратов.
Градуировочный график подчиняется зависимости y = bx и имеет линейную зависимость высоты пика (площади) от концентрации диметилтерефталата в диапазоне от 0,05 - 0,20 мкг/см3.
7.3.1 Контроль градуировочного графика
Градуировочный график строится на длительное время (несколько месяцев).
Контроль градуировочного графика осуществляется каждый раз перед началом измерений не менее чем по двум точкам в рабочем диапазоне измерений. Для контроля градуировочного графика в точке 0,05 мкг/см3 норматив стабильности не должен превышать 7,5%, в точке 0,10 мкг/см3 - 4%.
В противном случае необходимо построение нового градуировочного графика не менее чем по 5 точкам.
7.4 Подготовка проб к анализу
Исследуемый образец упаковки помещают в стеклянную емкость (эксикатор), имеющую две отводные трубки: одну - доходящую до дна, вторую - оканчивающуюся под пробкой с таким расчетом, чтобы при взятии пробы протягиваемый воздух проходил через всю емкость. Обработка образцов проводится при определенной экспозиции, температурном режиме и с учетом площади поверхности образца (
[1],
приложение 2). Соотношение площади образца к объему воздуха эксикатора 1 см
2:2,5 см
3. Исследуют две параллельные пробы. После соответствующей экспозиции через емкость с образцом протягивают воздух. Количество протягиваемого воздуха должно быть в 3 раза больше объема емкости с образцом. Таким же образом отбирают контрольную пробу воздуха, подаваемого в эксикатор.
Для определения диметилтерефталата воздух со скоростью 1,0 дм3/мин отбирают из емкости в поглотительный прибор, содержащий 5 см3 изопропилового спирта при охлаждении (вода со льдом).
7.5 Проведение анализа
7.5.1 Подготовка проб
Поглотительный раствор после отбора пробы сливают в пробирку, добавляют четырехкратное количество воды, 1 см3 толуола, 1 - 2 капли раствора серной кислоты (1:1) для предотвращения пенообразования, смесь энергично встряхивают в течение 3 мин. Верхний толуольный слой используют для анализа. 5 мкл толуольного экстракта вводят в испаритель хроматографа не менее 2 раз.
7.5.2 Хроматографический анализ
Определение диметилтерефталата, выделившегося в воздушную среду из образца, проводится на газовом хроматографе. Условия хроматографирования приведены в
приложении А. Проводят анализ двух параллельных проб. Каждую пробу хроматографируют не менее двух раз.
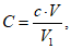
Массовую концентрацию диметилтерефталата в воздухе C, мг/м3, рассчитывают по формуле

(1)
где c - концентрация, найденная по градуировочному графику, мкг/см3;
V - объем толуольного экстракта, см3;
V1 - объем эксикатора, дм3.
За окончательный результат анализа принимают среднее арифметическое двух параллельных проб:

(2)
где
C1,
C2 - среднеарифметические значения концентрации диметилтерефталата, мг/м
3, в каждой из двух параллельных проб, рассчитанные по
формуле (1);
Cср - среднее значение концентрации, найденное по результатам двух параллельных определений (мг/м3).
Гарантированный результат анализа представляют в следующем виде:
C = Cср +/- U, (3)
где U - расширенная неопределенность концентрации диметилтерефталата в пробе воздуха.
Расширенная неопределенность U оценена для всего диапазона концентраций.
Установлена зависимость максимальной расширенной неопределенности U от значения измеряемой величины C (концентрации диметилтерефталата в воздухе):
U = 0,6519C2 - 0,0016C + 0,0007 мг/м3, k = 2, P = 95%. (4)
Окончательный результат определения выражают в виде концентрации диметилтерефталата в воздушной среде с округлением до четвертого десятичного знака.
9 Контроль точности результатов измерений
Проверку приемлемости результатов осуществляют согласно ГОСТ ИСО 5725-6 (пункт 5.2.2).
9.1 Контроль повторяемости
Расхождение между двумя результатами испытания, полученными одним и тем же оператором при работе на одном и том же оборудовании при одинаковых условиях испытания на идентичном испытуемом образце, не должно превышать предела повторяемости.
Если абсолютное значение разности между результатами двух проб параллельных определений не превышает показателя повторяемости
r (см.
таблицу 1):
где
C1,
C2 - результаты единичных измерений, рассчитанных по
формуле (1), мг/м
3;
r - предел повторяемости, мг/м
3 (см.
таблицу 1),
то все результаты параллельных измерений признаются приемлемыми, и конечный результат измерений является их средним арифметическим значением.
Таблица 1
Пределы повторяемости и внутрилабораторной воспроизводимости
методики при доверительной вероятности P = 0,95
Диапазон измерений в воздухе, мг/м3 | Предел повторяемости r, мг/м3 | Предел внутрилабораторной воспроизводимости R, мг/м3 |
От 0,0050 до 0,0200 | 0,0005 | 0,0009 |
При невыполнении
условия (5) контроль повторяют. При повторном превышении указанного норматива должны быть выяснены и устранены причины, приводящие к неудовлетворительным результатам контроля повторяемости.
9.2 Контроль воспроизводимости
Контроль воспроизводимости результатов измерений проводится не реже 2 - 3 раз в месяц с использованием рабочих проб. Контроль воспроизводимости обязателен после ремонта оборудования или существенных изменений условий выполнения измерений.
Значение абсолютной разности между двумя результатами испытаний - первичного и повторного - содержания диметилтерефталата в одной и той же пробе, полученное в условиях воспроизводимости, не должно превышать предела воспроизводимости
R (таблица 1):
где
C1,
C2 - результат первичного и повторного измерения, рассчитанного по
формуле (1);
R - предел воспроизводимости, мг/м
3 (см.
таблицу 1).
При выполнении
условия (6) оба результата считаются приемлемыми. При невыполнении
условия (6) контроль повторяют. При повторном превышении указанного норматива должны быть выяснены и устранены причины, приводящие к неудовлетворительным результатам контроля.
Отчет об испытаниях должен включать:
а) ссылку на настоящий стандарт;
б) детальную информацию, необходимую для полной идентификации образцов упаковки;
в) информацию, касающуюся подготовки проб для анализа образцов в соответствии с
разделом 7;
г) массовую концентрацию диметилтерефталата, рассчитанную и выраженную в соответствии с
разделом 8;
д) все проводимые операции, не включенные в настоящий стандарт, которые могут повлиять на конечный результат.
(обязательное)
УСЛОВИЯ ХРОМАТОГРАФИРОВАНИЯ
Набивка колонки | 5% SE-30 на хроматоне N-AW-DMCS (зернением 0,16 - 0,20 мм) |
Длина колонки | 100,0 см |
Внутренний диаметр колонки | 3,0 см |
Детектор | электронного захвата |
Температура термостата колонок | 160 °C |
Температура испарителя | 250 °C |
Температура детектора | 200 °C |
Скорость потока газа-носителя азота | 30 см3/мин |
Объем вводимой пробы | 5 мм3 |
Скорость протяжки ленты самописца | 0,6 см/мин |
Время удерживания ДМТ | 70 с |
УДК 621.798.08:661.744.24(083.74)(476) | |
Ключевые слова: упаковка, газовая хроматография, диметилтерефталат |