Главная // Актуальные документы // ГОСТ (Государственный стандарт)СПРАВКА
Источник публикации
М.: ФГБУ "Институт стандартизации", 2024
Примечание к документу
Документ включен в
Перечень международных и региональных (межгосударственных) стандартов, а в случае их отсутствия - национальных (государственных) стандартов, содержащих правила и методы исследований (испытаний) и измерений, в том числе правила отбора образцов, необходимые для применения и исполнения требований технического
регламента Таможенного союза "О безопасности упаковки" (ТР ТС 005/2011) и осуществления оценки соответствия объектов технического регулирования (
Решение Коллегии Евразийской экономической комиссии от 29.01.2024 N 9).
Документ включен в
Перечень международных и региональных (межгосударственных) стандартов, а в случае их отсутствия - национальных (государственных) стандартов, содержащих правила и методы исследований (испытаний) и измерений, в том числе правила отбора образцов, необходимые для применения и исполнения требований технического
регламента Таможенного союза "О безопасности игрушек" (ТР ТС 008/2011) и осуществления оценки соответствия объектов технического регулирования (
Решение Комиссии Таможенного союза от 23.09.2011 N 798).
Документ
введен в действие с 01.09.2024.
Название документа
"ГОСТ 33449-2015. Межгосударственный стандарт. Упаковка. Определение содержания диметилтерефталата методом газовой хроматографии в модельных средах"
(введен в действие Приказом Росстандарта от 21.03.2024 N 346-ст)
"ГОСТ 33449-2015. Межгосударственный стандарт. Упаковка. Определение содержания диметилтерефталата методом газовой хроматографии в модельных средах"
(введен в действие Приказом Росстандарта от 21.03.2024 N 346-ст)
агентства по техническому
регулированию и метрологии
от 21 марта 2024 г. N 346-ст
МЕЖГОСУДАРСТВЕННЫЙ СТАНДАРТ
УПАКОВКА
ОПРЕДЕЛЕНИЕ СОДЕРЖАНИЯ ДИМЕТИЛТЕРЕФТАЛАТА
МЕТОДОМ ГАЗОВОЙ ХРОМАТОГРАФИИ В МОДЕЛЬНЫХ СРЕДАХ
Packaging. Determination of dimethylterephthalate content
by gas chromatography method in model media
ГОСТ 33449-2015
Дата введения
1 сентября 2024 года
Цели, основные принципы и общие правила проведения работ по межгосударственной стандартизации установлены
ГОСТ 1.0 "Межгосударственная система стандартизации. Основные положения" и
ГОСТ 1.2 "Межгосударственная система стандартизации. Стандарты межгосударственные, правила и рекомендации по межгосударственной стандартизации. Правила разработки, принятия, обновления и отмены"
1 РАЗРАБОТАН Государственным учреждением "Республиканский научно-практический центр гигиены"
2 ВНЕСЕН Государственным комитетом по стандартизации Республики Беларусь
3 ПРИНЯТ Межгосударственным советом по стандартизации, метрологии и сертификации по результатам голосования в АИС МГС (протокол от 27 августа 2015 г. N 79-П)
За принятие проголосовали:
Краткое наименование страны по МК (ИСО 3166) 004-97 | Код страны по МК (ИСО 3166) 004-97 | Сокращенное наименование национального органа по стандартизации |
Армения | AM | ЗАО "Национальный орган по стандартизации и метрологии" Республики Армения |
Беларусь | BY | Госстандарт Республики Беларусь |
Казахстан | KZ | Госстандарт Республики Казахстан |
Киргизия | KG | Кыргызстандарт |
Россия | RU | Росстандарт |
Таджикистан | TJ | Таджикстандарт |
Узбекистан | UZ | Узстандарт |
4
Приказом Федерального агентства по техническому регулированию и метрологии от 21 марта 2024 г. N 346-ст межгосударственный стандарт ГОСТ 33449-2015 введен в действие в качестве национального стандарта Российской Федерации с 1 сентября 2024 г.
5 ВВЕДЕН ВПЕРВЫЕ
Информация о введении в действие (прекращении действия) настоящего стандарта и изменений к нему на территории указанных выше государств публикуется в указателях национальных стандартов, издаваемых в этих государствах, а также в сети Интернет на сайтах соответствующих национальных органов по стандартизации.
В случае пересмотра, изменения или отмены настоящего стандарта соответствующая информация будет опубликована на официальном интернет-сайте Межгосударственного совета по стандартизации, метрологии и сертификации в каталоге "Межгосударственные стандарты"
Предупреждение - Лица, применяющие настоящий стандарт, должны знать обычные лабораторные методы. В настоящем стандарте не рассматриваются все вопросы безопасности, связанные с его применением. Пользователь несет всю ответственность за принятие соответствующих мер безопасности и охраны здоровья, а также обеспечение соответствия всем национальным требованиям.
Внимание! Испытания, проводимые в соответствии с настоящим стандартом, должны выполняться персоналом, прошедшим соответствующее обучение.
Настоящий стандарт устанавливает газохроматографический метод определения содержания диметилтерефталата, выделяющегося из упаковки, в модельные среды, имитирующие пищевые продукты, в диапазоне от 0,75 до 4,50 мг/дм3.
В настоящем стандарте использованы нормативные ссылки на следующие межгосударственные стандарты:
ГОСТ 1770 (ИСО 1042-83, ИСО 4788-80) Посуда мерная лабораторная стеклянная. Цилиндры, мензурки, колбы, пробирки. Общие технические условия
ГОСТ ИСО 5725-1
<1> Точность (правильность и прецизионность) методов и результатов измерений. Часть 1. Основные положения и определения
--------------------------------
ГОСТ ИСО 5725-6-2003
<2> Точность (правильность и прецизионность) методов и результатов измерений. Часть 6. Использование значений точности на практике
--------------------------------
ГОСТ 5962 Спирт этиловый ректификованный из пищевого сырья. Технические условия
--------------------------------
ГОСТ 9293 (ИСО 2435-73) Азот газообразный и жидкий. Технические условия
--------------------------------
<4> В Российской Федерации действует
ГОСТ Р 53228-2008 "Весы неавтоматического действия. Часть 1. Метрологические и технические требования. Испытания".
ГОСТ 29227 (ИСО 835-1-81) Посуда лабораторная стеклянная. Пипетки градуированные. Часть 1. Общие требования
Примечание - При пользовании настоящим стандартом целесообразно проверить действие ссылочных стандартов и классификаторов на официальном интернет-сайте Межгосударственного совета по стандартизации, метрологии и сертификации (www.easc.by) или по указателям национальных стандартов, издаваемым в государствах, указанных в предисловии, или на официальных сайтах соответствующих национальных органов по стандартизации. Если на документ дана недатированная ссылка, то следует использовать документ, действующий на текущий момент, с учетом всех внесенных в него изменений. Если заменен ссылочный документ, на который дана датированная ссылка, то следует использовать указанную версию этого документа. Если после принятия настоящего стандарта в ссылочный документ, на который дана датированная ссылка, внесено изменение, затрагивающее положение, на которое дана ссылка, то это положение применяется без учета данного изменения. Если ссылочный документ отменен без замены, то положение, в котором дана ссылка на него, применяется в части, не затрагивающей эту ссылку.
В настоящем стандарте применены термины по ГОСТ ИСО 5725-1, а также следующие термины с соответствующими определениями:
3.1 упаковка: Изделие, которое используется для размещения, защиты, транспортирования, загрузки и разгрузки, доставки и хранения сырья и готовой продукции.
3.2 точность: Близость результата испытаний к принятому эталонному значению величины.
Примечание - Термин "точность", когда он относится к серии наблюдаемых значений, описывает сумму составляющих случайной погрешности и общих составляющих систематической погрешности. Точность включает правильность и прецизионность.
3.3 градуировочный раствор: Раствор, используемый для построения градуировочного графика.
3.4 линейность: Пропорциональная зависимость между измеряемым содержанием определяемого компонента и аналитическим сигналом средства измерения выбранного метода.
Примечание - Линейная зависимость должна быть определена в пределах диапазона применения метода измерений.
3.5 прецизионность: Близость между независимыми результатами испытаний, полученными при определенных принятых условиях.
Примечание - Прецизионность зависит только от распределения случайных ошибок и не связана ни с истинным, ни с заданным значением.
3.6 воспроизводимость: Прецизионность в условиях воспроизводимости.
3.7 условия воспроизводимости: Условия, при которых результаты испытаний получены одним и тем же методом на идентичных образцах испытаний в различных лабораториях, разными операторами с использованием различного оборудования.
3.8 предел воспроизводимости R: Такое значение, что абсолютная разность между двумя результатами испытаний, полученными в условиях воспроизводимости, будет ожидаться меньше его или равной ему с вероятностью 95%.
3.9 повторяемость: Прецизионность в условиях повторяемости.
3.10 условия повторяемости: Условия, при которых независимые результаты испытаний получены одним методом на идентичных образцах испытаний в одной лаборатории одним оператором с использованием одного оборудования и за короткий интервал времени.
3.11 предел повторяемости r: Такое значение, что абсолютная разность между двумя результатами испытаний, полученных в условиях повторяемости, будет ожидаться меньше его или равной ему с вероятностью 95%.
3.12 диметилтерефталат; ДМТ: Диметиловый эфир терефталевой кислоты.
Измерение концентраций диметилового эфира терефталевой кислоты в модельных средах основано на его экстракции гексаном с последующим газохроматографическим определением на хроматографе с детектором по электронному захвату.
5 Реактивы, оборудование и материалы
Диметилтерефталат, х.ч.
Гексан, х.ч.
Пробирки градуированные по
ГОСТ 1770, П-2-15-14/23ХС.
Весы лабораторные по
ГОСТ 24104, специального (I) класса точности.
Микрошприц Hamilton 701 RN (вместимость 10 мм3), точность дозирования +/- 1% номинального объема.
Газовый хроматограф, оснащенный детектором по электронному захвату.
Стеклянная хроматографическая колонка со следующими свойствами: неполярная неподвижная фаза, SE-30, 5% от массы твердого носителя хроматон N-AW-DMCS (зернением 0,16 - 0,20 мм), длиной 100 см, внутренним диаметром 0,3 см.
Примечание - Допускается применение аналогичных средств измерений, оборудования, посуды и реактивов с метрологическими, техническими характеристиками и показаниями качества не хуже, чем у приведенных выше.
6 Условия выполнения измерений
При приготовлении растворов, подготовке проб и выполнении измерений соблюдают следующие условия окружающей среды:
- температура воздуха при работе - (20 +/- 5) °C;
- атмосферное давление - (84,0 - 106,7) кПа (630 - 800 мм ртутного столба);
- влажность воздуха - не более 80% при температуре 25 °C.
Перед выполнением измерений должны быть проведены следующие работы: подготовка измерительной и вспомогательной аппаратуры, приготовление градуировочных растворов диметилтерефталата, установление градуировочной характеристики прибора.
7.1 Подготовка измерительной аппаратуры
Систему газового хроматографа настраивают согласно инструкции по эксплуатации. Устанавливают рабочие режимы для термостата детектора, термостата испарителя и термостата колонки, устанавливают расход газа-носителя. Проводят стабилизацию работы хроматографа на рабочих режимах в течение 30 - 40 мин. Регулярно контролируют шум и дрейф нулевой линии на соответствие спецификации изготовителя. Если результаты испытаний не удовлетворяют допустимым величинам, необходимо выявить и устранить причины.
7.2 Приготовление растворов
7.2.1 Исходный градуировочный раствор диметилтерефталата в этиловом спирте с концентрацией 1,0 мг/см3.
Навеску диметилтерефталата 0,0500 г взвешивают с точностью до 0,0001 г, помещают в мерную колбу вместимостью 50 см3, растворяют в этиловом спирте и доводят до метки этиловым спиртом; 1 см3 раствора содержит 1,0 мг диметилтерефталата. Исходный градуировочный раствор устойчив при хранении в мерной колбе в холодильнике в течение 6 месяцев.
7.2.2 Рабочий градуировочный раствор с концентрацией ДМТ 75 мкг/см
3 готовят из исходного градуировочного раствора. 7,5 см
3 исходного градуировочного раствора вносят в мерную колбу вместимостью 100 см
3 и доводят до метки этиловым спиртом. Раствор устойчив в течение шести месяцев в холодильнике.
7.2.3 Приготовление градуировочных растворов.
Разбавлением рабочего раствора
(7.2.2) дистиллированной водой приготавливают как минимум пять градуировочных растворов.
0,1; 0,2; 0,3; 0,4 и 0,6 см
3 градуировочного раствора
(7.2.2) вносят в градуировочные пробирки с полиэтиленовыми пробками вместимостью 15 см
3 и доводят дистиллированной водой объемы растворов в пробирках до 10 см
3. Концентрация ДМТ в полученных растворах составляет соответственно 0,75; 1,5; 2,25; 3,0 и 4,5 мкг/см
3.
7.3 Установление градуировочной характеристики
Градуировочную характеристику, выражающую зависимость высоты (площади) хроматографического пика от концентрации вещества в экстракте, устанавливают по трем сериям из пяти растворов для каждой модельной среды. В пробирки с градуировочными растворами, полученными по
7.2.3, добавляют по 1 см
3 гексана и, тщательно закрыв пробирки пробками, энергично встряхивают их в течение 3 - 5 мин. После четкого расслаивания содержимого в пробирках из верхнего гексанового слоя микрошприцем отбирают аликвоту объемом 2 мкл и вводят в испаритель хроматографа.
Расчет градуировочного графика зависимости высоты (площади) пика от концентрации диметилтерефталата проводят методом наименьших квадратов.
Градуировочный график подчиняется зависимости y = bx и имеет линейную зависимость высоты (площади) пика от концентрации диметилтерефталата в экстракте в диапазоне концентраций 7,5 - 45 мг/дм3.
7.3.1 Контроль градуировочного графика
Контроль градуировочного графика осуществляется каждый раз перед началом измерений не менее чем по двум точкам в рабочем диапазоне измерений. Полученные при хроматографировании значения y не должны отклоняться от градуировочной прямой более чем на 12,0%.
В противном случае необходимо построение нового градуировочного графика не менее чем по 5 точкам.
7.4 Подготовка проб к анализу
Обработку образцов исследуемого упаковочного материала для получения вытяжек осуществляют необходимыми модельными средами (модельными растворами), выбираемыми в зависимости от того, для контакта с какими пищевыми продуктами предназначается использовать данное изделие. Обработка образцов проводится при определенной экспозиции, температурном режиме и с учетом площади поверхности образца (
[1],
приложение 2). Соотношение площади образца к объему модельного раствора 2:1 см
2/см
3 (с учетом площади обеих поверхностей). Для анализа отбирают две параллельные пробы.
7.5 Проведение анализа
Две пробы объемом по 10 см
3 модельной среды, после контакта с полимерным материалом, вносят в пробирки вместимостью 15 см
3 и добавляют к ним 1 см
3 гексана. Тщательно закрывают пробирки полиэтиленовыми пробками и энергично встряхивают их в течение 3 - 5 мин. После четкого разделения содержимого пробирок по 2 мкл верхнего гексанового слоя вводят в испаритель хроматографа. Каждый экстракт хроматографируют дважды. Условия хроматографирования приведены в
приложении А.
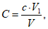
Массовую концентрацию диметилтерефталата в вытяжках из упаковки рассчитывают по формуле

(1)
где C - массовая концентрация диметилтерефталата в вытяжке из упаковки, мг/дм3;
c - концентрация, найденная по градуировочному графику, мкг/см3;
V - объем вытяжки, взятый для анализа, см3 (10 см3);
V1 - объем гексанового экстракта, см3 (1 см3).
За окончательный результат анализа принимают среднее арифметическое двух параллельных определений:

(2)
где
C1,
C2 - среднеарифметические значения концентраций диметилтерефталата, мг/дм
3, в каждом из 2 образцов упаковки в параллельном определении в модельной среде, рассчитанные по
формуле (1);
Cср - среднее значение концентрации диметилтерефталата, мг/дм3.
Гарантированный результат анализа представляют в следующем виде:

(3)
где

- показатель точности результатов измерения, мг/дм
3 (абсолютное значение).
Показатель точности в абсолютных единицах рассчитывают по формуле

(4)
Таблица 1
Относительные значения пределов повторяемости,
воспроизводимости и показателя точности методики,
при доверительной вероятности P = 0,95
Наименование измеряемого вещества | Диапазон измерений, мг/дм3 | Предел повторяемости r, % | Предел воспроизводимости R, % | Показатель точности  , % |
Диметилтерефталат | 0,75 до 4,50 | 4,0 | 11,0 | 16,0 |
Окончательный результат определения выражают в виде концентрации диметилтерефталата в модельной среде с округлением до второго десятичного знака.
9 Контроль точности результатов измерений
Проверку приемлемости результатов осуществляют согласно ГОСТ ИСО 5725-6 (пункт 5.2.2).
9.1 Контроль повторяемости
Если относительное значение разности между результатами двух параллельных измерений не превышает показателя повторяемости (см.
таблицу 1):

(5)
где
C1,
C2 - результаты единичных измерений, рассчитанных по
формуле (1);
Cср - среднее арифметическое двух параллельных определений;
то все результаты параллельных измерений признаются приемлемыми, и конечный результат измерений является их средним арифметическим значением.
При невыполнении
условия (5) контроль повторяют. При повторном превышении указанного норматива должны быть выяснены и устранены причины, приводящие к неудовлетворительным результатам контроля повторяемости.
9.2 Контроль воспроизводимости
Значение относительной разности между двумя результатами испытаний - первичного и повторного - содержания диметилтерефталата в одной и той же пробе, полученное в условиях воспроизводимости, не должно превышать предела внутрилабораторной воспроизводимости
(таблица 1):

(6)
где
C1,
C2 - результат первичного и повторного измерения, рассчитанные по
формуле (1);
Cср - среднее арифметическое первичного и повторного определения;
R - предел воспроизводимости (см.
таблицу 1), %.
При выполнении
условия (6) оба результата считаются приемлемыми. При невыполнении
условия (6) контроль повторяют. При повторном превышении указанного норматива должны быть выяснены и устранены причины, приводящие к неудовлетворительным результатам контроля.
9.3 Контроль точности
Контроль точности осуществляют с использованием метода добавок. Образцами для контроля являются рабочие пробы и эти же пробы с добавкой любой градуировочной смеси. К пробе с добавкой предъявляются следующие требования: добавка должна вводиться в пробу на самой ранней стадии измерений; проба с введенной добавкой не должна выходить за верхнюю границу определяемого диапазона концентраций диметилтерефталата.
Контроль точности проводится по результатам измерений пробы до введения добавки Cпр и после введения добавки градуировочной смеси Cпр.доб концентрацией Cдоб в исходную пробу. Результат анализа считается удовлетворительным, если соблюдается условие:

(7)
где

- показатель точности (см.
таблицу 1), %.
При превышении указанного норматива анализ повторяют с использованием другой реальной пробы. При повторном несоответствии полученных результатов нормативу погрешности выясняют и устраняют причины, приводящие к неудовлетворительным результатам контроля.
Отчет об испытаниях должен включать следующее:
а) ссылку на настоящий стандарт;
б) детальную информацию, необходимую для полной идентификации образцов упаковки;
в) информацию, касающуюся подготовки проб для анализа в соответствии с
разделом 7;
г) массовую концентрацию диметилтерефталата, рассчитанную и выраженную в соответствии с
разделом 8;
д) все проводимые операции, не включенные в настоящий стандарт, которые могут повлиять на конечный результат.
(обязательное)
УСЛОВИЯ ХРОМАТОГРАФИРОВАНИЯ ПРИ ОПРЕДЕЛЕНИИ
ДИМЕТИЛТЕРЕФТАЛАТА В МОДЕЛЬНЫХ СРЕДАХ
МЕТОДОМ ГАЗОВОЙ ХРОМАТОГРАФИИ
Набивка колонки | 5% SE-30 на хроматоне N-AW-DMCS (зернением 0,16 - 0,20 мм) |
Длина колонки | 100,0 см |
Внутренний диаметр колонки | 3,0 см |
Детектор | "электронного захвата" |
Температура термостата колонок | 160 °C |
Температура испарителя | 250 °C |
Температура детектора | 200 °C |
Скорость потока газа-носителя азота | 30 см3/мин |
Объем вводимой пробы | 2 мм3 |
Скорость протяжки ленты самописца | 0,6 см/мин |
Время удерживания ДМТ | 70 сек |
УДК 621.798.08:661.744.24(083.74)(476) | |
Ключевые слова: упаковка, газовая хроматография, диметилтерефталат |