Главная // Актуальные документы // ГОСТ (Государственный стандарт)СПРАВКА
Источник публикации
М.: ФГБУ "Институт стандартизации", 2024
Примечание к документу
Документ
вводится в действие с 25.12.2025 с правом досрочного применения.
Название документа
"ГОСТ 33188-2024. Межгосударственный стандарт. Муфты тягового привода моторвагонного подвижного состава. Резинокордные оболочки. Общие технические условия"
(введен в действие Приказом Росстандарта от 05.03.2024 N 275-ст)
"ГОСТ 33188-2024. Межгосударственный стандарт. Муфты тягового привода моторвагонного подвижного состава. Резинокордные оболочки. Общие технические условия"
(введен в действие Приказом Росстандарта от 05.03.2024 N 275-ст)
агентства по техническому
регулированию и метрологии
от 5 марта 2024 г. N 275-ст
МЕЖГОСУДАРСТВЕННЫЙ СТАНДАРТ
МУФТЫ ТЯГОВОГО ПРИВОДА МОТОРВАГОННОГО ПОДВИЖНОГО СОСТАВА.
РЕЗИНОКОРДНЫЕ ОБОЛОЧКИ
ОБЩИЕ ТЕХНИЧЕСКИЕ УСЛОВИЯ
Traction drive couplings of railway electrical multiple
units. Rubber cord casings. General specifications
ГОСТ 33188-2024
Дата введения
25 декабря 2025 года
с правом досрочного применения
Цели, основные принципы и общие правила проведения работ по межгосударственной стандартизации установлены
ГОСТ 1.0 "Межгосударственная система стандартизации. Основные положения" и
ГОСТ 1.2 "Межгосударственная система стандартизации. Стандарты межгосударственные, правила и рекомендации по межгосударственной стандартизации. Правила разработки, принятия, обновления и отмены"
1 РАЗРАБОТАН Акционерным обществом "Научно-исследовательский и конструкторско-технологический институт подвижного состава" (АО "ВНИКТИ")
2 ВНЕСЕН Межгосударственным техническим комитетом по стандартизации МТК 524 "Железнодорожный транспорт"
3 ПРИНЯТ Межгосударственным советом по стандартизации, метрологии и сертификации (протокол от 29 февраля 2024 г. N 170-П)
За принятие проголосовали:
Краткое наименование страны по МК (ИСО 3166) 004-97 | Код страны по МК (ИСО 3166) 004-97 | Сокращенное наименование национального органа по стандартизации |
Армения | AM | ЗАО "Национальный орган по стандартизации и метрологии" Республики Армения |
Беларусь | BY | Госстандарт Республики Беларусь |
Казахстан | KZ | Госстандарт Республики Казахстан |
Киргизия | KG | Кыргызстандарт |
Россия | RU | Росстандарт |
Таджикистан | TJ | Таджикстандарт |
Узбекистан | UZ | Узстандарт |
4
Приказом Федерального агентства по техническому регулированию и метрологии от 5 марта 2024 г. N 275-ст межгосударственный стандарт ГОСТ 33188-2024 введен в действие в качестве национального стандарта Российской Федерации с 25 декабря 2025 г. с правом досрочного применения
Информация о введении в действие (прекращении действия) настоящего стандарта и изменений к нему на территории указанных выше государств публикуется в указателях национальных стандартов, издаваемых в этих государствах, а также в сети Интернет на сайтах соответствующих национальных органов по стандартизации.
В случае пересмотра, изменения или отмены настоящего стандарта соответствующая информация будет опубликована на официальном интернет-сайте Межгосударственного совета по стандартизации, метрологии и сертификации в каталоге "Межгосударственные стандарты"
Настоящий стандарт распространяется на резинокордные оболочки (далее - РКО) муфт тягового электрического привода моторвагонного подвижного состава типоразмеров ЭМ 520 x 150, ЭМ 580 x 130, ЭМ 580 x 130-14, а также устанавливает технические требования и методы испытаний этих РКО.
Установленные в настоящем стандарте методы могут быть применены к РКО других типоразмеров.
В настоящем стандарте использованы нормативные ссылки на следующие межгосударственные стандарты:
ГОСТ 12.0.004 <1> Система стандартов безопасности труда. Организация обучения безопасности труда. Общие положения
--------------------------------
<1> Не действует на территории Российской Федерации.
ГОСТ 12.2.003 Система стандартов безопасности труда. Оборудование производственное. Общие требования безопасности
ГОСТ 15.309 Система разработки и постановки продукции на производство. Испытания и приемка выпускаемой продукции. Основные положения
ГОСТ 263 Резина. Метод определения твердости по Шору A
ГОСТ 269 Резина. Общие требования к проведению физико-механических испытаний
ГОСТ 270 Резина. Метод определения упругопрочностных свойств при растяжении
ГОСТ 427 Линейки измерительные металлические. Технические условия
ГОСТ 6768 Резина и прорезиненная ткань. Метод определения прочности связи между слоями при расслоении
ГОСТ 15150 Машины, приборы и другие технические изделия. Исполнения для различных климатических районов. Категории, условия эксплуатации, хранения и транспортирования в части воздействия климатических факторов внешней среды
ГОСТ 30774 <2> Ресурсосбережение. Обращение с отходами. Паспорт опасности отходов. Основные требования
--------------------------------
<2> На территории Российской Федерации действует
ГОСТ Р 53691-2009 "Ресурсосбережение. Обращение с отходами. Паспорт отхода I - IV класса опасности. Основные требования".
Примечание - При пользовании настоящим стандартом целесообразно проверить действие ссылочных стандартов (и классификаторов) на официальном интернет-сайте Межгосударственного совета по стандартизации, метрологии и сертификации (www.easc.by) или по указателям национальных стандартов, издаваемым в государствах, указанных в предисловии, или на официальных сайтах соответствующих национальных органов по стандартизации. Если на документ дана недатированная ссылка, то следует использовать документ, действующий на текущий момент, с учетом всех внесенных в него изменений. Если заменен ссылочный документ, на который дана датированная ссылка, то следует использовать указанную версию этого документа. Если после принятия настоящего стандарта в ссылочный документ, на который дана датированная ссылка, внесено изменение, затрагивающее положение, на которое дана ссылка, то это положение применяется без учета данного изменения. Если ссылочный документ отменен без замены, то положение, в котором дана ссылка на него, применяется в части, не затрагивающей эту ссылку.
В настоящем стандарте применены следующие термины с соответствующими определениями:
3.1
моторвагонный подвижной состав: Моторные и немоторные вагоны, из которых формируются электропоезда, дизель-поезда, автомотрисы, рельсовые автобусы, дизель-электропоезда, электромотрисы, предназначенные для перевозки пассажиров и (или) багажа, почты. |
3.2 статическая радиальная жесткость: Отношение величины статической радиальной нагрузки, приложенной к РКО перпендикулярно к ее главной оси, к соответствующей ей величине упругого перемещения РКО в радиальном направлении.
3.3 статическая осевая (аксиальная) жесткость: Отношение величины статической осевой (аксиальной) нагрузки, приложенной к РКО вдоль ее главной оси, к соответствующей ей величине упругого перемещения РКО в осевом (аксиальном) направлении.
3.4 статическая крутильная жесткость: Отношение приращения крутящего момента к приращению угла закручивания муфты.
РКО является невосстанавливаемым, неремонтируемым изделием конкретного назначения, эксплуатируемым в составе муфт тягового электрического привода моторвагонного подвижного состава.
Муфты тягового электрического привода моторвагонного подвижного состава классифицируют по типоразмерам РКО. РКО, изготавливаемые по настоящему стандарту, имеют следующие типоразмеры: ЭМ 520 x 150, ЭМ 580 x 130, ЭМ 580 x 130-14 (далее - РКО, РКО ЭМ 520 x 150, ЭМ 580 x 130, ЭМ 580 x 130-14).
4.1 Общие требования
4.1.1 РКО неразрезная, подковообразной формы в поперечном сечении должна состоять из следующих слоев, соединенных в процессе вулканизации:
- резинового слоя (протектора), образующего наружную поверхность РКО;
- резинового слоя, образующего внутреннюю поверхность РКО;
- каркаса, изготовленного из слоев обрезиненной кордной ткани;
- двух бортовых проволочных колец (по одному в каждом борту).
4.1.2 РКО поставляют партиями без упаковки. К каждой поставляемой партии должен быть приложен паспорт, содержащий:
- наименование предприятия-изготовителя или его товарный знак и его реквизиты;
- условное обозначение РКО;
- количество РКО в партии;
- обозначение технических условий РКО;
- значения основных параметров и характеристик (свойств) РКО;
- климатическое исполнение РКО;
- дату изготовления (указывают неделю и последние две цифры года);
- назначенный ресурс РКО;
- гарантии изготовителя;
- сведения об утилизации;
- сведения о сертификации продукции, единый знак обращения продукции на рынке (указывают после получения сертификата соответствия на продукцию).
4.1.3 Вид климатического исполнения РКО УХЛ1 по
ГОСТ 15150. Допускается вид климатического исполнения РКО У1 по
ГОСТ 15150 по требованию заказчика.
В паспорте
(4.1.2) на конкретную партию РКО указывают вид климатического исполнения.
4.1.4 Назначенный ресурс РКО в составе муфт тягового электрического привода моторвагонного подвижного состава должен быть указан в конструкторской документации (паспорте
(4.1.2)) на РКО и быть равен значению наработки моторвагонного подвижного состава до его текущего ремонта, но не менее 200 000 км пробега.
Допускается по требованию заказчика в паспорте
(4.1.2) на конкретную партию вновь разработанных (модернизированных) РКО устанавливать значение назначенного ресурса более 240 000 км пробега моторвагонного подвижного состава, при этом для определения численного значения показателя проводят необходимый комплекс испытаний и/или расчетов.
4.2 Требования к геометрическим параметрам и массе
4.2.1 Геометрические параметры РКО должны соответствовать значениям, указанным в
таблице 1.
Наименование параметра | Значение параметра |
РКО ЭМ 520 x 150 | РКО ЭМ 580 x 130 | РКО ЭМ 580 x 130-14 (14 слоев корда) |
1 Предельное значение наибольшего диаметра наружной поверхности РКО, мм, не более | 530,0 | 582,0 | 582,0 |
2 Внутренний посадочный диаметр РКО, мм | 319,0 +/- 2,0 | 354,0 +/- 2,0 | 354,0 +/- 2,0 |
3 Толщина борта, мм | 28,0 +/- 2,0 | 30,0 +/- 2,0 | 32,0 +/- 3,0 |
4 Разность толщины одного борта, мм, не более | 2,0 | 2,0 | 2,0 |
5 Ширина РКО по внутреннему посадочному диаметру, мм | 150 +/- 15 | 140 +/- 10 | 140 +/- 10 |
4.2.2 Масса РКО должна быть:
- (10 +/- 0,5) кг - для РКО ЭМ 520 x 150 и РКО ЭМ 580 x 130;
- (13 +/- 0,5) кг - для РКО ЭМ 580 x 130-14 (14 слоев корда).
4.3 Физико-механические требования к материалу
Физико-механические параметры материала РКО должны соответствовать значениям, указанным в
таблице 2.
Наименование параметра | Значение параметра |
1 Условное напряжение резины наружного покровного слоя (протектора) при удлинении 300%, МПа (кгс/см 2), не менее | 5,89 (60,0) |
2 Предел прочности при разрыве (условная прочность при растяжении) для резины наружного покровного слоя (протектора), МПа (кгс/см 2), не менее | 12,75 (130,0) |
3 Относительное удлинение при разрыве для резины наружного покровного слоя (протектора), %, не менее | 450,0 |
4 Относительное остаточное удлинение после разрыва для резины наружного покровного слоя (протектора), %, не более | 35,0 |
5 Прочность связи между слоями РКО при расслоении, кН/м (кгс/см), не менее: | |
- между наружным резиновым слоем и кордным каркасом (протектор-каркас) | 6,86 (7,0) |
- между слоями кордного каркаса | 5,88 (6,0) |
6 Твердость по Шору A покровной резины, усл. ед. | от 50,0 до 65,0 |
4.4 Требования к деформации и компенсирующим свойствам
4.4.1 РКО должны соответствовать требованиям, установленным в
таблице 3.
Наименование параметра | Значение параметра |
РКО ЭМ 520 x 150 | РКО ЭМ 580 x 130 | РКО ЭМ 580 x 130-14 (14 слоев корда) |
1 Номинальный крутящий момент, кН·м (кгс·м), не менее | 4,91 (500) | 4,91 (500) | 7,85 (800) |
2 Максимальный крутящий момент, кН·м (кгс·м), не менее | 7,85 (800) | 7,85 (800) | 19,61 (2000) |
3 Максимальная частота вращения, с -1 (мин -1), не менее | 45,0 (2700) | 33,3 (2000) | 33,3 (2000) |
4 Статическая крутильная жесткость при крутящем моменте 4,91 кН·м (500 кгс·м), кН·м/рад | от 80,0 до 150,0 | от 100,0 до 170,0 | от 170,0 до 240,0 |
5 Статическая радиальная жесткость, Н/мм, не более | 800 | 800 | 1050 |
6 Статическая осевая (аксиальная) жесткость, Н/мм, не более | 250,0 | 250,0 | 330,0 |
7 Деформация (сжатие) бортовых частей при усилии сжатия 98,0 кН (10000 кгс) мм, не более | 8,0 | 8,0 | 8,0 |
4.4.2 РКО должны обладать компенсирующими свойствами, обеспечивающими смещения осей соединяемых валов, не менее:
- 15,0 мм - для радиального смещения;
- 20,0 мм - для осевого смещения;
- 6,98 x 10-2 (4,0), рад (град) - для углового смещения.
4.5 Требования к качеству поверхности
4.5.1 Не допускается наличие на наружной и внутренней поверхностях РКО:
а) расслоения деталей РКО;
б) выпрессовок корда на наружную поверхность РКО;
в) вмятин, недопрессовок при глубине более 3 мм и общей площади более 10 см2.
4.5.2 Не допускается наличие на формообразующей поверхности борта РКО:
а) вмятин, недопрессовок при глубине дефектов поверхности более 2 мм и общей площади более 10 см2;
б) пузырей общим числом более 8, площадью более 0,4 см2;
в) уступов в местах разъема пресс-формы высотой более 1,0 мм.
4.6 Требования к маркировке
4.6.1 На каждой принятой службой технического контроля РКО должны быть знаки маркировки и клеймения.
4.6.2 Маркировка РКО должна содержать:
- знак обращения на рынке (для продукции, прошедшей обязательное подтверждение соответствия);
- товарный знак предприятия-изготовителя;
- обозначение РКО;
- заводской номер РКО, включающий неделю и последние две цифры года изготовления;
- обозначение технических условий РКО;
- штамп службы технического контроля.
4.6.3 Основные размеры клейма и знаков маркировки, наносимых на наружную боковую поверхность оттиском гравировки от пресс-формы или жетона, приведены на
рисунке 1.
5.1 Для проверки соответствия РКО требованиям настоящего стандарта проводят приемо-сдаточные, периодические и типовые испытания. Порядок проведения испытаний, оценка результатов испытаний и их оформление - по
ГОСТ 15.309.
5.2 При приемо-сдаточных испытаниях РКО принимают партиями. Количество РКО в партии не более 100 штук. Уточнения требования к количеству РКО приведены в
таблице 4.
Контролируемое требование | Виды испытаний | Структурный элемент стандарта |
Приемо-сдаточные | Периодические | Типовые | Технические требования | Метод контроля |
| + | - | - | | |
Геометрические параметры <***> | + | + | + | | |
Физико-механические параметры материала <***> | + | + | + | | |
Номинальный крутящий момент | - | - | + | | |
Максимальный крутящий момент | - | - | + | | |
Максимальная частота вращения | - | - | + | | |
Статическая крутильная жесткость при крутящем моменте 4,91 кН·м (500 кгс·м) <***> | - | + | + | | |
Статическая радиальная жесткость <***> | - | + | + | | |
Статическая осевая (аксиальная) жесткость <***> | - | + | + | | |
Деформация (сжатие) бортовых частей при усилии сжатия 98,0 кН (10000 кгс) <***> | - | + | + | | |
Компенсирующие свойства | - | - | + | | |
Качество поверхности <***> | + | + | + | | |
Маркировка | + | - | - | | |
<*> Приведено количество образцов РКО из партии. <**> Приведено количество образцов РКО из числа прошедших типовые испытания. <***> Требования, контролируемые при испытаниях с целью обязательного подтверждения соответствия РКО. Примечание - Знак "+" в таблице означает необходимость проведения испытания или проверки, знак "-" означает отсутствие такой необходимости. |
5.3 Периодическим испытаниям подвергают не менее двух РКО, выдержавших приемо-сдаточные испытания. Периодические испытания проводят не реже одного раза в три года.
5.4 При типовых испытаниях принимают образец РКО или партию РКО, изготовленных с внесением в конструкцию или технологию изготовления изменений. Уточнения требования к количеству РКО приведены в
таблице 4.
5.5 Контролируемые требования при приемо-сдаточных, периодических и типовых испытаниях РКО приведены в
таблице 4.
5.6 Контролируемые требования при испытаниях с целью обязательного подтверждения соответствия РКО приведены в
таблице 4 и отмечены "
<***>".
Также при испытаниях с целью обязательного подтверждения соответствия РКО контролируют комплектность
(4.1.2), климатическое исполнение
(4.1.3) и назначенный ресурс
(4.1.4), порядок контроля установлен в
6.2.
5.7 Если при приемо-сдаточных, периодических испытаниях выявлены РКО, не соответствующие требованиям настоящего стандарта, проводят повторные испытания на удвоенном числе РКО, взятых из данной партии.
В случае выявления не соответствующих требованиям настоящего стандарта РКО при повторных испытаниях принимают меры в соответствии с требованиями
ГОСТ 15.309.
Методы, установленные в
6.2 -
6.12, применяют с учетом
6.1 для контроля или определения технических параметров и свойств РКО.
6.1 Требования к отбору образцов, общим условиям проведения испытаний и средствам испытаний
6.1.1 Правила отбора образцов для испытаний
Для приемо-сдаточных испытаний образцы РКО отбирают согласно положениям
5.2.
Для периодических испытаний образцы РКО отбирают согласно положениям
5.3.
Для типовых испытаний образцы РКО отбирают согласно положениям
5.4.
Для испытаний, проводимых с целью обязательного подтверждения соответствия, образцы РКО отбирают из партий, прошедших приемо-сдаточные испытания.
6.1.2 Испытания проводят в испытательном помещении при температуре окружающего воздуха от 15 до 35 °C и его относительной влажности от 25 до 80%.
6.1.3 Испытания РКО проводят с использованием средств испытаний, в том числе по
6.4 -
6.12 - на испытательном оборудовании с использованием комплекта средств измерений
(6.1.8).
6.1.4 Для создания условий эксплуатации РКО в конструкции испытательного оборудования следует использовать металлическую арматуру (фланцев, нажимных колец, крепежных элементов) штатных муфт тягового электрического привода моторвагонного подвижного состава.
6.1.5 Испытательное оборудование должно обеспечивать неподвижное закрепление одного фланца муфты и нагружение второго подвижного фланца муфты нагрузкой и смещением в соответствии с требованиями метода испытаний.
6.1.6 Неподвижное закрепление обеспечивают выполнением затяжки болтовых соединений крепления бортовых частей РКО на испытательном оборудовании
(6.1.7) с постоянным контролем ее состояния по моментному (динамометрическому) ключу в соответствии с конструкторской документацией и порядком проведения испытаний.
6.1.7 Затяжку болтов крепления РКО проводят равномерно, попеременно диаметрально расположенными болтами. Пример последовательности затяжки болтов крепления РКО представлен на
рисунке А.1.
В случае другой схемы крепления РКО, ее затяжку выполняют в соответствии с технической документацией.
6.1.8 Нагружение муфты обеспечивают конструкцией испытательного оборудования, позволяющей реализовать необходимые на нее воздействия, значения которых приведены в соответствующих методах испытаний.
6.1.9 Применяемые средства измерений (
6.1.10 и
6.1.11) должны быть утвержденных типов, поверенными, а испытательное оборудование
(6.1.8) для проведения испытаний должно быть аттестованным. Процедуры поверки и аттестации выполняют в соответствии с правилами государств, упомянутых в предисловии как проголосовавших за принятие межгосударственного стандарта.
6.1.10 При испытаниях для измерения величины контролируемых параметров применяют средства измерений:
- штангенциркуль с классом точности не ниже 2 и допускаемой погрешностью не более +/- 0,1 мм - для измерений линейных размеров;
- весы с классом точности не ниже 3 и верхним пределом взвешивания не более 50 кг - для измерения массы взвешиванием;
- твердомер по Шору тип A - для измерения твердости;
- тахометр с диапазоном измерения частоты вращения от 34 до 48 с-1 и допускаемой погрешностью не более +/- 5,0% - для измерения частоты вращения;
- контактный или бесконтактный термометр с диапазоном измерения температуры от 15 до 75 °C и допускаемой погрешностью не более +/- 2,0 °C - для измерения температуры;
- динамометр сжатия с классом точности не ниже 3 или силоизмерительное устройство (тензометр) с допускаемой погрешностью не более +/- 1,0% - для измерения усилий.
6.1.11 При проведении испытаний допускается применение других средств измерений, не перечисленных в
6.1.9, но обеспечивающих необходимую точность измерения величин контролируемых параметров в соответствии с требованиями настоящего стандарта.
6.2 Контроль комплектности и маркировки
6.2.1 Контроль наличия паспорта
(4.1.2) и его содержание, включая требования к установлению климатического исполнения
(4.1.3) и назначенного ресурса
(4.1.4), выполняют в ходе анализа содержимого паспорта, прилагаемого к партии РКО.
6.2.2 Контроль маркировки
(4.6) проводят при наружном осмотре испытуемой РКО визуально.
РКО с нечитаемой маркировкой и маркировкой, не отвечающей требованиям
4.6, бракуют.
6.3 Контроль качества поверхности
6.3.1 Контроль качества поверхности РКО
(4.5) проводят органолептическим методом без ее деформации или сравнением с контрольным образцом, утвержденным в установленном порядке.
6.3.2 Параметры отклонений качества поверхности РКО (перечисление в)
4.5.1 и
4.5.2) определяют с применением средств измерения линейных размеров
(6.1.9).
6.3.3 РКО с качеством поверхности, не отвечающим требованиям
4.5, бракуют.
6.4 Определение геометрических параметров
6.4.1 Геометрические параметры и их отклонения
(таблица 1) определяют в свободном состоянии РКО с применением средств измерения линейных размеров
(6.1.9).
6.4.2 Диаметр наружной поверхности и внутренний посадочный диаметр измеряют в двух взаимно-перпендикулярных сечениях РКО (измерительное сечение). Внутренний посадочный диаметр измеряют на обеих бортовых частях РКО.
6.4.3 Толщину борта измеряют в четырех равномерно расположенных по окружности борта точках на обеих бортовых частях РКО.
6.4.4 Разность толщины борта определяют для каждого борта РКО как разность между максимальным и минимальным значениями из измеренных значений толщины борта.
Массу РКО определяют взвешиванием с применением средства измерения массы
(6.1.9).
6.6 Определение физико-механических параметров
6.6.1 Физико-механические параметры материала РКО
6.6.2 Для испытаний по определению
6.6.1.1 из резины покровного слоя РКО в продольном направлении вырезают не менее пяти образцов толщиной (2,0 +/- 0,2) мм, длиной не менее 115,0 мм и шириной не менее 25,0 мм.
6.6.2.1 Размер образцов контролируют с применением средств измерения линейных размеров
(6.1.9).
6.6.2.2 Допускается подшлифовка поверхности образцов по
ГОСТ 269 при условии сохранения установленной толщины.
6.6.3 Для испытаний по определению
6.6.1.2 вырезают по два образца из двух диаметрально противоположных мест по окружности РКО, радиально от борта к борту (один для расслоения по четным слоям, другой - по нечетным), шириной (25,0 +/- 1,0) мм и длиной не менее 150,0 мм.
6.6.3.1 С образцов срезают часть протектора, оставляя толщину резинового слоя от 5 до 6 мм.
6.6.3.2 Концы образцов предварительно расслаивают на длину (55,0 +/- 5,0) мм для закрепления их в зажимах испытательного оборудования, при этом два образца расслаивают по четным слоям, начиная со второго слоя, а два - по нечетным, начиная с третьего.
6.6.3.3 Размер образцов контролируют с применением средств измерения линейных размеров
(6.1.9).
6.6.4 Испытания по определению
6.6.1.3 проводят методом определения твердости по Шору тип A.
6.6.4.1 Измерения твердости выполняют с применением средств измерений твердости
(6.1.9) в четырех точках на плоской поверхности с каждой стороны РКО. Показания прибора фиксируют по истечении 3,0 с с момента приложения нагрузки.
6.6.4.2 Не допускается измерение твердости на выпрессовке протектора.
6.6.4.3 За результат измерений принимают среднее арифметическое выполненных четырех измерений.
6.7 Контроль номинального и максимального крутящих моментов
6.7.1 Номинальный и максимальный крутящие моменты РКО (
параметр 1 и
2 таблицы 2) контролируют с учетом требований
6.1 на основе оценки состояния РКО
(6.7.3) после нагружения муфты с испытуемой РКО крутящим моментом путем приложения различной силы на фиксированном расстоянии от ее оси вращения (контрольное нагружение
6.7.6).
6.7.2 Крутящий момент, создаваемый приложенной силой на фиксированном расстоянии от оси вращения муфты с испытуемой РКО, реализуют на испытательном оборудовании, при этом выполняют измерение силы, нагружающей муфту, и контроль расстояния от оси вращения муфты, с применением соответственно средств измерения усилий
(6.1.9) и линейных размеров
(6.1.9). Допускается для контроля реализации применение датчиков крутящего момента.
6.7.3 Оценку состояния РКО выполняют на основе признаков проскальзывания бортовых частей РКО и потери устойчивости РКО (появление волнистых неровностей на внешней поверхности РКО).
6.7.3.1 Угол закручивания определяют измерением тангенциальной деформации бортов РКО относительно друг друга с применением средств измерения линейных размеров
(6.1.9).
6.7.3.2 Признаком проскальзывания бортовых частей является несовпадение меток, нанесенных совместно на бортовую часть РКО и прилегающий фланец полумуфты перед нагружением крутящим моментом. Несовпадение меток контролируют визуально.
6.7.4 Перед началом испытаний обеспечивают неподвижность закрепления фланцев муфты и бортов РКО на испытательном оборудовании по
6.1.6 и стабилизацию упругих свойств резины РКО по
6.7.5.
Дополнительно в процессе испытаний после каждого нагружения выполняют контроль закрепления бортов РКО на испытательном оборудовании по
6.1.6. При отрицательном результате контроля испытания повторяют.
6.7.5 Для стабилизации упругих свойств резины РКО последовательно выполняют динамическое и трехкратное статическое нагружение - разгрузку муфты, в процессе которых происходит нагрев РКО, вызванный воздействием крутящего момента на муфту.
6.7.5.1 Динамическое нагружение муфты с испытуемой РКО выполняют, контролируя нагрев РКО до температуры от 60 до 70 °C, с последующей разгрузкой и выдержкой при контроле остывания РКО до температуры окружающего воздуха
(6.1.2), но не более 35 °C. Контроль температуры выполняют измерением с применением средств измерения температуры
(6.1.9).
Испытательное оборудование, применяемое для нагружения - разгрузки, должно обеспечить динамический крутящий момент с амплитудой от 0,8 до 1,0 кН·м частотой от 25 до 27 Гц, контроль реализации выполняют по
6.7.2.
В
приложении Б приведено описание возможной схемы испытательного оборудования для динамических и статических испытаний РКО в составе муфт.
6.7.5.2 Статическое нагружение муфты с испытуемой РКО выполняют последовательно три раза с разгрузкой и выдержкой не менее трех минут между нагружениями.
Испытательное оборудование, применяемое для нагружения - разгрузки, должно обеспечить крутящий момент, превышающий на 40% значение номинального момента для РКО соответствующего типа
(параметр 1 таблицы 3) +/- 10%, со скоростью нагружения и разгрузки (3 +/- 0,2) кН·м/мин и выдержкой при установленном крутящем моменте не менее 10 с, контроль реализации выполняют по
6.7.2.
6.7.6 Контрольное нагружение муфты с испытуемой РКО номинальным крутящим моментом или максимальным крутящим моментом выполняют аналогично
6.7.5.2, при этом выполняют оценку состояния РКО
(6.7.3).
6.7.6.1 При контроле номинального крутящего момента муфту с испытуемой РКО нагружают крутящим моментом до получения угла закручивания РКО 4°30'.
Критерии соответствия РКО в части номинального крутящего момента при угле закручивания РКО 4°30':
- отсутствие признаков потери устойчивости;
- остаточный угол закручивания (остаточная деформация) РКО спустя 3 - 5 мин после разгрузки муфты не должен превышать 25,0% (1°10') от угла закручивания при номинальном крутящем моменте
(таблица 3 для параметра 1).
6.7.6.2 При контроле максимального крутящего момента муфту с испытуемой РКО нагружают крутящим моментом со значением, превышающим установленное в
таблице 3 параметром 2 на (20 +/- 2)%.
Критерии соответствия РКО в части максимального крутящего момента:
- допускается появление признаков потери устойчивости;
- остаточный угол закручивания (остаточная деформация) РКО спустя 3 - 5 мин после разгрузки муфты не должен превышать 30,0% от угла закручивания при максимальном крутящем моменте
(таблица 3 для параметра 2).
6.8 Контроль компенсирующих свойств
6.8.1 Компенсирующие свойства РКО
(4.4.2) контролируют на основе температуры РКО при нагружении муфты с испытуемой РКО вращением с максимальной частотой вращения
(параметр 3 таблицы 3) без крутящего момента при максимальных радиальном, осевом (аксиальном) и угловом смещениях соединяемых валов муфты (максимальные радиальная и угловая расцентровки муфты с РКО).
6.8.2 Критерием соответствия РКО в части компенсирующих свойств является непревышение температуры РКО при максимальной частоте вращения при максимальных радиальном, осевом (аксиальном) и угловом смещениях соединяемых валов. Испытания проводят отдельно при максимальных радиальном, осевом (аксиальном) и угловом смещениях соединяемых валов, при этом температура РКО должна быть не более 75 °C.
6.8.3 Контроль условий для определения компенсирующих свойств РКО выполняют определением:
- величины частоты вращения с применением средства измерения частоты вращения
(6.1.9) и ее сравнением с максимальной частотой вращения
(параметр 3 таблицы 3);
- величин радиального, осевого (аксиального) и углового смещений соединяемых валов муфты с применением средства измерения линейных размеров
(6.1.9).
6.8.4 Температуру РКО при испытании контролируют на фигурной части и на радиальном удалении 10 - 20 мм от металлического фланца закрепления муфты.
Температуру РКО контролируют дискретно через интервал времени от 15 до 20 мин при кратковременных остановках до ее стабилизации. Критерием стабилизации является прекращение роста/падения температуры РКО в диапазоне шириной 3,0 °C в течение 1 ч.
6.9 Определение статической крутильной жесткости
6.9.1 Оценку статической крутильной жесткости РКО
(параметр 4 таблицы 3) выполняют расчетом
(6.9.6) на основе измерений угла закручивания муфты с испытуемой РКО после приложения к ней крутящего момента определенной силы на фиксированном расстоянии от ее оси вращения (контрольное нагружение
6.9.4).
6.9.2 Перед началом и в процессе испытаний выполняют
6.7.4.
6.9.3 Для стабилизации упругих свойств резины РКО выполняют
6.7.5.
6.9.4 Для измерения угла закручивания выполняют контрольное нагружение муфты с испытуемой РКО крутящим моментом. Контрольное нагружение выполняют последовательно три раза с разгрузкой и выдержкой не менее трех минут между нагружениями.
После каждого нагружения измеряют угол закручивания муфты с испытуемой РКО и тангенциальную деформацию муфты по
6.9.5.
Испытательное оборудование, применяемое для нагружения - разгрузки, должно обеспечить крутящий момент, равный значению номинального момента для РКО соответствующего типа
(параметр 1 таблицы 3) +/- 20% со скоростью нагружения и разгрузки (3 +/- 0,2) кН·м/мин и выдержкой при установленном крутящем моменте не менее 10 с, контроль реализации выполняют по
6.7.2.
6.9.5 Угол закручивания муфты с испытуемой РКО измеряют на фиксированном расстоянии от оси вращения муфты с применением средств измерения линейных размеров
(6.1.9).
6.9.6 Статическую крутильную жесткость
Cкр, кН·м/рад, определяют по линии нагружения крутящего момента от 1,0 кН·м до значения номинального момента для РКО соответствующего типа
(параметр 1 таблицы 3) по формуле

(1)
где

- приращение крутящего момента на участке нагружения от 1,0 до значения номинального момента для РКО соответствующего типа
(параметр 1 таблицы 3);

- приращение угла закручивания муфты на рассматриваемом участке нагружения, рад.
Крутящий момент Mкр, кН·м, нагружающий муфту, определяют по формуле
Mкр = P·Rр, (2)
где P - сила, приложенная к рычагу стенда, кН;
Rр - плечо силы (длина рычага от точки приложения силы до оси вращения муфты), м.
Угол закручивания муфты

, рад, определяют по формуле

(3)
где

- тангенциальная деформация муфты, мм;
Rs - расстояние от оси муфты до указателя линейных перемещений, мм.
6.9.7 За результат по определению статической крутильной жесткости муфты с испытуемой РКО принимают среднее арифметическое оценок крутильной жесткости, выполненных по трем контрольным нагружениям.
6.10 Определение статической радиальной жесткости
| | ИС МЕГАНОРМ: примечание. В официальном тексте документа, видимо, допущена опечатка: пункт 6.10.8 отсутствует. | |
Определение статической радиальной жесткости выполняют после определения статической крутильной жесткости
(6.9). Порядок определения по
6.10.2 -
6.10.6.
6.10.2 Статическую радиальную жесткость РКО определяют нагружением муфты радиальным смещением одного из ее фланцев относительно другого в горизонтальной или вертикальной плоскости с одновременным контролем радиальной силы на фланце муфты.
6.10.3 Радиальную силу на фланце муфты определяют методом тензометрирования путем определения напряжений изгиба на валу испытательного стенда в измерительной точке на фиксированном расстоянии от фланца или применением силоизмерительных устройств.
Напряжения изгиба на валу определяют с использованием средств тезометрирования и измерительно-вычислительных комплексов, расстояние - с использованием средств измерения линейных размеров
(6.1.9).
6.10.4 Для оценки статической радиальной жесткости выполняют контрольное нагружение муфты с испытуемой РКО. Контрольное нагружение выполняют последовательно три раза с разгрузкой и выдержкой не менее трех минут между нагружениями. Каждое контрольное нагружение муфты с испытуемой РКО должно иметь радиальное смещение от 0 до 6,0 мм и обратно в обе стороны и скорость нагружения (2,0 +/- 0,2) мм/мин. Одновременно непрерывно измеряют напряжения изгиба в измерительной точке с применением средств измерения линейных размеров
(6.1.9).
6.10.5 Статическую радиальную жесткость муфты CR, Н/мм, определяют по линии нагружения при радиальном смещении 6,0 мм по формуле
| | ИС МЕГАНОРМ: примечание. Формула дана в соответствии с официальным текстом документа. | |

(4)
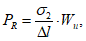
где PR - максимальная радиальная сила, Н;
Sr - максимальное радиальное относительное перемещение фланцев муфты с РКО, мм.
Радиальную силу, приложенную к муфте, PR, кН, определяют по формуле

(5)
где

- нормальное напряжение от изгиба в измерительной точке (тензометрируемом сечении) вала стенда (см.
рисунок Б.1), МПа;

- расстояние от измерительной точки до точки приведения радиальной силы (фланец муфты), мм;
Wu - момент сопротивления изгибу тензометрируемого сечения, см3.
6.10.6 По результатам испытаний получают статическую радиальную жесткость раздельно для радиальных смещений в обе стороны. Для каждого нагружения результаты определения статической радиальной жесткости усредняют.
За результат по определению статической крутильной жесткости муфты с испытуемой РКО принимают среднее арифметическое оценок статической радиальной жесткости по выполненным контрольным нагружениям.
6.11 Определение статической осевой (аксиальной) жесткости
| | ИС МЕГАНОРМ: примечание. В официальном тексте документа, видимо, допущена опечатка: пункт 6.11.8 отсутствует. | |
6.11.1 Оценку статической осевой (аксиальной) жесткости РКО
(параметр 6 таблицы 3) выполняют расчетом (6.11.8).
Определение статической осевой (аксиальной) жесткости выполняют после определения статической крутильной жесткости
(6.10). Порядок определения по
6.11.2 -
6.11.6.
6.11.2 Статическую осевую (аксиальную) жесткость РКО определяют нагружением муфты с приложением осевой (аксиальной) силы и измерением осевого (аксиального) относительного перемещения фланцев муфты.
6.11.3 Осевую (аксиальную) силу определяют с использованием средств измерения усилий
(6.1.9).
Осевые (аксиальные) перемещения определяют с использованием средств измерения линейных размеров
(6.1.9).
6.11.4 Для оценки статической осевой (аксиальной) жесткости выполняют контрольное нагружение муфты с испытуемой РКО. Контрольное нагружение выполняют последовательно три раза с разгрузкой и выдержкой не менее трех минут между нагружениями. Каждое контрольное нагружение муфты с испытуемой РКО должно иметь осевую (аксиальную) силу от 0 до (5,0
+20%) кН, скорость нагружения от 1,0 до 1,2 кН/мин. Одновременно измеряют осевое (аксиальное) относительное перемещение фланцев муфты с РКО с применением средств измерения линейных размеров
(6.1.9).
6.11.5 Статическую осевую (аксиальную) жесткость муфты CS, Н/мм, определяют по линии нагружения по формуле

(6)
где Ps - максимальная осевая (аксиальная) сила, Н;
Ss - максимальное осевое (аксиальное) относительное перемещение фланцев муфты с РКО, мм.
6.11.6 За результат по определению статической осевой (аксиальной) жесткости муфты с испытуемой РКО принимают среднее арифметическое оценок осевой (аксиальной) жесткости, выполненных по трем контрольным нагружениям.
6.12 Определение деформации (сжатия) бортовых частей
6.12.1 Деформацию (сжатие) бортовых частей
(параметр 7 таблицы 3) определяют как среднее арифметическое значений деформаций (сжатий) бортовых частей муфты с испытуемой РКО, полученных на основе величин упругого сжатия каждой бортовой части при ее нагружении приложением силы сжатия.
6.12.1.1 Контроль условий для определения величины упругого сжатия бортовой части муфты с испытуемой РКО выполняют измерением величины силы сжатия, прилагаемой к бортовой части этой муфты с применением средств измерения усилий
(6.1.9) или по силоизмерительному устройству, входящему в состав испытательной машины.
6.12.1.2 Величину упругого сжатия бортовой части определяют измерением с применением средств измерения линейных размеров
(6.1.9).
6.12.2 Для создания условий для определения деформации (сжатия) бортовых частей применяют испытательное оборудование, обеспечивающее усилие сжатия не менее 110,0 кН (11225 кгс).
6.12.2.1 Испытуемую РКО устанавливают горизонтально испытуемым бортом вверх на столе испытательной машины с использованием переходной втулки. На испытуемый борт устанавливают штатный фланец муфты.
6.12.2.2 Для стабилизации релаксационных процессов в резине предварительно последовательно производят три цикла нагружение-разгрузка-выдержка. Каждый цикл включает: нагружение испытуемой бортовой части приложением усилия (силы сжатия) (100+10%) кН, разгрузку после нагружения и выдержку в течение не менее трех минут.
6.12.2.3 Перед проведением первого цикла нагружение-разгрузка-выдержка на бортовую часть дают начальное минимальное усилие от 0,3 до 0,5 кН и устанавливают нулевой отсчет средства измерения упругого сжатия
(6.1.9).
6.12.3 Выполняют не менее трех контрольных нагружений муфты с РКО усилием сжатия от 0 до 100,0 кН со скоростью нагружения от 10 до 20 кН/мин. Одновременно измеряют упругое сжатие бортовой части.
Деформацию (сжатие) бортовой части определяют для каждой бортовой части РКО.
7 Требования охраны труда
7.1 К испытаниям допускают персонал, прошедший соответствующие инструктажи, обучение по охране труда, стажировку на рабочем месте и проверку знаний требований охраны труда в соответствии с
ГОСТ 12.0.004 <1>.
--------------------------------
<1> На территории Российской Федерации действует
Постановление Правительства Российской Федерации от 24 декабря 2021 г. N 2464 "О порядке обучения по охране труда и проверки знания требований охраны труда".
При проведении испытаний персонал должен руководствоваться требованиями инструкции по охране труда, действующей в организации, проводящей испытания, в том числе требованиями к использованию спецодежды и средств индивидуальной защиты.
7.2 Испытательное оборудование и организация рабочих мест при испытаниях РКО должны соответствовать
ГОСТ 12.2.003.
8 Транспортирование и хранение
8.1 Условия транспортирования и хранения РКО в части воздействия климатических факторов - 3 (Ж3) по
ГОСТ 15150.
8.2 РКО хранят на стеллажах в вертикальном положении в один ряд или в горизонтальном положении с укладкой штабелем не более пяти штук.
При хранении поверхность РКО должна быть защищена от воздействия солнечных лучей и веществ, разрушающих резину (органических растворителей, минеральных масел, кислот, топлива, смазочных материалов и т.д.).
9 Указания по эксплуатации
9.1 При выборе РКО для применения в конструкции муфт тягового электрического привода моторвагонного подвижного состава определяют максимальное значение нагрузки, реализуемой в тяговом электрическом приводе. Значение нагрузки не должно превосходить момент потери устойчивости РКО муфты и момент трения.
9.2 Техническую эксплуатацию РКО в составе муфт тягового электрического привода моторвагонного подвижного состава осуществляют по назначенному ресурсу
(4.1.4) в соответствии с требованиями технической документации на данную РКО в условиях, соответствующих виду климатического исполнения
(4.1.3).
9.2.1 РКО заменяют новой при достижении наработки, равной значению назначенного ресурса РКО
(4.1.4) +/- 5%, или предельного состояния
(9.6.1).
9.2.2 Для обеспечения безотказности моторвагонного подвижного состава в эксплуатации в рамках его планово-предупредительной системы технического обслуживания и ремонта должна быть предусмотрена своевременная замена РКО. При этом наработка моторвагонного подвижного состава от его ввода в эксплуатацию до планового текущего ремонта, на котором выполняют замену РКО, должна быть не более наработки, равной значению назначенного ресурса РКО с учетом отклонения аналогично
9.2.1.
9.3 РКО в течение всего периода эксплуатации не должна подвергаться целенаправленному воздействию горюче-смазочных материалов (например, промывке, протирке, окунанию, обливу и т.п.).
9.4 Для недопущения разрыва РКО в эксплуатации при техническом обслуживании моторвагонного подвижного состава рекомендуется в соответствии с конструкторской и эксплуатационной документацией на муфту проверять ее положение под тарой вагона состава путем измерения взаимного расположения фланца муфты со стороны тягового электрического привода
h и фланца муфты со стороны редуктора
h1. За измерительную базу рекомендуется принимать верхний уровень головки рельсов. Разница расстояний от измерительной базы (головки рельса) до краев фланцев муфты должна составлять (3 +/- 1,5) мм (см.
рисунок 2).
9.5 Для предотвращения повреждения оборудования и получения обслуживающим персоналом травм при устранении отказа (неисправности) муфты ее вращающиеся части должны быть закрыты защитными ограждениями.
Из-за разогрева РКО при эксплуатации ремонтные работы проводят только после полного ее остывания.
9.6 Разборку упругой муфты и распрессовку фланцев тягового электрического привода и шестерни проводят при выкатке колесномоторного блока колесной пары моторвагонного подвижного состава.
В соответствии с конструкторской и эксплуатационной документацией на муфту при ее разборке и монтаже выполняют осмотр РКО, деталей крепления и посадочных поверхностей всех деталей узла муфты. При осмотре РКО методом органолептического контроля без ее деформации контролируют состояние поверхности РКО
(4.5) и выявляют наличие дефектов кордового слоя упругой оболочки в виде порезов, вырезов, трещин в поверхностном слое резины, которые переходят в несущий слой каркаса.
9.6.1 Повреждение поверхностного слоя резины, переходящее в несущий кордовый слой каркаса, является предельным состоянием РКО, эксплуатация РКО запрещена.
9.6.2 Повреждение поверхностного слоя резины, не переходящее в несущий кордовый слой каркаса, не является предельным состоянием РКО, эксплуатация РКО допускается.
10 Указания по утилизации
Вышедшие из эксплуатации РКО относят к "зеленому списку отходов" по
ГОСТ 30774, они подлежат утилизации на полигонах твердых бытовых отходов с последующим захоронением в земле или переработке в резиновую крошку с последующим использованием в промышленном производстве.
11.1 Изготовитель РКО гарантирует их соответствие требованиям настоящего стандарта при соблюдении условий транспортирования, хранения и эксплуатации.
11.2 Гарантийный срок хранения РКО с даты изготовления - 3 года.
11.3 Гарантийный срок эксплуатации РКО 2 года со дня ввода в эксплуатацию в пределах гарантийного срока хранения при условии соблюдения потребителем правил хранения и эксплуатации, но не более 200000 км наработки РКО в составе муфт тягового электрического привода моторвагонного подвижного состава.
(справочное)
ПОСЛЕДОВАТЕЛЬНОСТЬ ЗАТЯЖКИ БОЛТОВ КРЕПЛЕНИЯ РКО
На схеме, представленной на
рисунке А.1, показан пример последовательности затяжки болтов крепления РКО.
1 - фланец двигателя;
2, 10 - болт;
3 - втулка;
4 - полукольцо;
5 - оболочка резинокордная;
6 - фланец шестерни;
7 - фиксатор;
8 - кольцо;
9, 12 - шайба специальная;
11, 13 - втулка
(справочное)
СТЕНДОВОЕ ОБОРУДОВАНИЕ ДЛЯ ДИНАМИЧЕСКИХ
И СТАТИЧЕСКИХ ИСПЫТАНИЙ РКО В СОСТАВЕ МУФТ
Для динамических и статических испытаний РКО в составе муфт, в ходе которых определяют жесткостные характеристики при статическом нагружении радиальной, угловой, аксиальной силой и крутящим моментом, используют стендовое оборудование, его примерная схема представлена на
рисунке Б.1.
В общем случае стендовое оборудование включает в себя две стойки 1, 10, прикрепленные к фундаментным балкам. Испытуемая муфта 3 с одной стороны неподвижно крепится через фланец полумуфты и вал с наклеенными тензорезисторами 2 к стойке 1, с другой - фланец полумуфты соединен с подвижным валом, установленным в подшипниках качения, закрепленных в опорах стойки 10. К средней части подвижного вала приварен рычаг (корпус вибратора) 4, в котором установлен на подшипниках качения вал вибратора 5 со сменными грузами 6 и шкивом привода 7. Привод вала вибратора осуществляется клиноременной передачей 8 от электродвигателя 9.
УДК 625.144.5/7:006.354 | |
Ключевые слова: муфты, тяговый привод, резинокордные оболочки |