Главная // Актуальные документы // ГОСТ (Государственный стандарт)СПРАВКА
Источник публикации
М.: ФГБУ "Институт стандартизации", 2023
Примечание к документу
Текст данного документа приведен с учетом
поправки, опубликованной в "ИУС", N 2, 2024.
Документ
введен в действие с 01.12.2023.
Название документа
"ГОСТ 32974.4-2023 (ISO 21360-4:2018). Межгосударственный стандарт. Вакуумная технология. Стандартные методы измерения характеристик вакуумных насосов. Часть 4. Турбомолекулярные вакуумные насосы"
(введен в действие Приказом Росстандарта от 29.09.2023 N 1005-ст)
"ГОСТ 32974.4-2023 (ISO 21360-4:2018). Межгосударственный стандарт. Вакуумная технология. Стандартные методы измерения характеристик вакуумных насосов. Часть 4. Турбомолекулярные вакуумные насосы"
(введен в действие Приказом Росстандарта от 29.09.2023 N 1005-ст)
по техническому регулированию
и метрологии
от 29 сентября 2023 г. N 1005-ст
МЕЖГОСУДАРСТВЕННЫЙ СТАНДАРТ
ВАКУУМНАЯ ТЕХНОЛОГИЯ
СТАНДАРТНЫЕ МЕТОДЫ ИЗМЕРЕНИЯ ХАРАКТЕРИСТИК ВАКУУМНЫХ НАСОСОВ
ЧАСТЬ 4
ТУРБОМОЛЕКУЛЯРНЫЕ ВАКУУМНЫЕ НАСОСЫ
Vacuum technology. Standard methods for measuring vacuum
pump performance. Part 4. Turbomolecular vacuum pumps
(ISO 21360-4:2018, MOD)
ГОСТ 32974.4-2023
(ISO 21360-4:2018)
Дата введения
1 декабря 2023 года
Цели, основные принципы и общие правила проведения работ по межгосударственной стандартизации установлены
ГОСТ 1.0 "Межгосударственная система стандартизации. Основные положения" и
ГОСТ 1.2 "Межгосударственная система стандартизации. Стандарты межгосударственные, правила и рекомендации по межгосударственной стандартизации. Правила разработки, принятия, обновления и отмены"
1 ПОДГОТОВЛЕН Акционерным обществом "Вакууммаш" (АО "Вакууммаш") и Федеральным государственным бюджетным учреждением "Российский институт стандартизации" (ФГБУ "Институт стандартизации") на основе официального перевода на русский язык англоязычной версии указанного в
пункте 5 стандарта, который выполнен АО "Вакууммаш"
2 ВНЕСЕН Межгосударственным техническим комитетом по стандартизации МТК 249 "Вакуумная техника"
3 ПРИНЯТ Межгосударственным советом по стандартизации, метрологии и сертификации (протокол от 28 июля 2023 г. N 163-П)
За принятие проголосовали:
Краткое наименование страны по МК (ИСО 3166) 004-97 | Код страны по МК (ИСО 3166) 004-97 | Сокращенное наименование национального органа по стандартизации |
Армения | AM | ЗАО "Национальный орган по стандартизации и метрологии" Республики Армения |
Беларусь | BY | Госстандарт Республики Беларусь |
Киргизия | KG | Кыргызстандарт |
Россия | RU | Росстандарт |
Таджикистан | TJ | Таджикстандарт |
Узбекистан | UZ | Узстандарт |
4
Приказом Федерального агентства по техническому регулированию и метрологии от 29 сентября 2023 г. N 1005-ст межгосударственный стандарт ГОСТ 32974.4-2023 (ISO 21360-4:2018) введен в действие в качестве национального стандарта Российской Федерации с 1 декабря 2023 г.
5 Настоящий стандарт является модифицированным по отношению к международному стандарту ISO 21360-4:2018 "Вакуумная технология. Стандартные методы измерения характеристик вакуумных насосов. Часть 4. Турбомолекулярные вакуумные насосы" ("Vacuum technology - Standard methods for measuring vacuum-pump performance - Part 4: Turbomolecular vacuum pumps", MOD) путем включения дополнительного раздела, который выделен в тексте курсивом.
Сведения о соответствии ссылочных межгосударственных стандартов международным стандартам, использованным в качестве ссылочных в примененном международном стандарте, приведены в дополнительном
приложении ДА
Информация о введении в действие (прекращении действия) настоящего стандарта и изменений к нему на территории указанных выше государств публикуется в указателях национальных стандартов, издаваемых в этих государствах, а также в сети Интернет на сайтах соответствующих национальных органов по стандартизации.
В случае пересмотра, изменения или отмены настоящего стандарта соответствующая информация будет опубликована на официальном интернет-сайте Межгосударственного совета по стандартизации, метрологии и сертификации в каталоге "Межгосударственные стандарты"
Настоящий стандарт определяет стандартные методы измерения рабочих характеристик турбомолекулярных вакуумных насосов и дополняет положения
ГОСТ 32974.1, в котором приведены общие описания измерения рабочих характеристик вакуумных насосов.
Приведенные в настоящем стандарте методы широко используются согласно действующим национальным и международным стандартам. Цель настоящего стандарта - представить применяемые на данный момент методы измерения характеристик вакуумных турбомолекулярных насосов. Настоящий стандарт имеет приоритет в случае возникновения противоречий с
ГОСТ 32974.1.
Настоящий стандарт совместно с
ГОСТ 32974.1 устанавливает методы измерения характеристик турбомолекулярных вакуумных насосов, распространяется на все типы и размеры турбомолекулярных вакуумных насосов:
- с механическими или магнитными подшипниками;
- с или без дополнительной(ых) молекулярной(ых) ступени(ей) или других откачных ступеней на валу;
- одним или несколькими впускными отверстиями.
Турбомолекулярные вакуумные насосы поддерживаются форвакуумными насосами, их производительность не может быть полностью определена кривой быстроты действия. Производительность зависит от привода и выпускного давления турбомолекулярного вакуумного насоса.
Характеристики дополняет следующая информация:
- данные о производительности и выпускном давлении турбомолекулярного вакуумного насоса;
- кривая степени сжатия (степень сжатия в зависимости от выпускного давления турбомолекулярного вакуумного насоса).
В настоящем стандарте использована нормативная ссылка на следующий межгосударственный стандарт:
ГОСТ 32974.1-2023 Вакуумная технология. Стандартные методы измерения характеристик вакуумных насосов. Часть 1. Общие положения
Примечание - При пользовании настоящим стандартом целесообразно проверить действие ссылочных стандартов и классификаторов на официальном интернет-сайте Межгосударственного совета по стандартизации, метрологии и сертификации (www.easc.by) или по указателям национальных стандартов, издаваемым в государствах, указанных в
предисловии, или на официальных сайтах соответствующих национальных органов по стандартизации. Если на документ дана недатированная ссылка, то следует использовать документ, действующий на текущий момент, с учетом всех внесенных в него изменений. Если заменен ссылочный документ, на который дана датированная ссылка, то следует использовать указанную версию этого документа. Если после принятия настоящего стандарта в ссылочный документ, на который дана ссылка, внесено изменение, затрагивающее положение, на которое дана ссылка, то это положение применяется без учета данного изменения. Если ссылочный документ отменен без замены, то положение, в котором дана ссылка на него, применяется в части, не затрагивающей эту ссылку.
В настоящем стандарте применены термины по
ГОСТ 32974.1, а также следующие термины с соответствующими определениями:
3.1
наибольшее выпускное давление pc (critical backing pressure
pc): Максимальное давление
p3 на выходе, которое вакуумный насос и приводное устройство могут выдержать при непрерывной работе без повреждений или перегрузки, при котором насос имеет степень сжатия
p3/
p1 > 10, а подача продувочного газа отсутствует.
Примечания
1 p1 - наибольшее впускное давление на входе. Частота вращения турбомолекулярного вакуумного насоса может быть меньшей в этой рабочей точке. Значение pc зависит от частоты вращения и типа газа. Эти данные должны быть указаны вместе со значением pc.
2 Измерение с продувочным газом дает разные результаты (при перекачке легких газов на входе использование тяжелого продувочного газа будет влиять на значение наибольшего выпускного давления pc). Поэтому поток продувочного газа должен быть равен нулю.
3.2
максимальная производительность Qmax (maximum throughput
Qmax): Максимальный поток газа, который может откачиваться продолжительное время без повреждения или выхода из строя насоса.
Примечания
1 Выражается в Па·л/с, мбар·л/с, м3·Па/с, мм рт. ст.·л/с или стандартных см3/мин (sccm).
2 Ограничивающий параметр зависит от конструкции насоса. В большинстве случаев это максимальная температура на определенном участке. Значение
Qmax зависит, например, от перекачиваемого газа, используемого форвакуумного насоса, частоты вращения и условий охлаждения. Если
Qmax выражено в Па·л/с или мбар·л/с, м
3·Па/с или мм рт. ст.·л/с, тогда температура измерительной камеры должна быть зафиксирована, поскольку это значение зависит от температуры газа. Это не распространяется на значение
Qmax, указанное в sccm.
3.3
быстрота действия qV (volume flow rate
qV):

, (1)
где V - объем;
t - время.
Пример - В ГОСТ 32974.1 быстрота действия - это объем газа в единицу времени, который при стандартных условиях вытекает из измерительной камеры через отверстие впускного фланца насоса.
Примечания
1 На практике быстроту действия насоса для данного газа условно принимают равной отношению производительности насоса для данного газа к равновесному давлению в измерительной камере. Единицы измерения, принятые для быстроты действия, - м3/ч или л/с.
2 Вместо термина "быстрота действия" часто используют термин "скорость откачки" и символ "
S"
[1].
3.4 предельное остаточное давление (ultimate pressure): Минимальное значение, к которому асимптотически стремится давление в измерительной камере при закрытом натекателе.
Примечания
1 Предельное остаточное давление всегда ниже, чем базовое давление pb1.
2 Это наиболее низкое давление, создаваемое насосом.
3 Рекомендуется не указывать значение предельного остаточного давления в инструкции производителя. В настоящем стандарте не приведен метод определения предельного остаточного давления. Однако если производитель устанавливает предельное остаточное давление, то следует указать условия и временной диапазон измерения.
3.5
базовое давление турбомолекулярного насоса pb1 (base pressure turbomolecular pump
pb1): Давление, полученное в измерительной камере через 48 ч после процедуры обезгаживания.
Примечание - Условия работы вакуумного насоса и испытательной системы без использования пробного газа
(5.6).
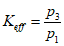
3.6 эффективная степень сжатия Keff (effective compression ratio Keff): Отношение выпускного давления p3 к впускному давлению p1 турбомолекулярного вакуумного насоса

. (2)
3.7
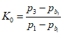
степень сжатия K0 (compression ratio
K0): Степень сжатия без газовой нагрузки, где

- базовое давление форвакуумного насоса, а

- базовое давление турбомолекулярного вакуумного насоса при нулевой производительности

. (3)
В настоящем стандарте применены следующие обозначения:

- базовое давление турбомолекулярного насоса, Па или мбар;

- базовое давление форвакуумного насоса, Па или мбар;
p1 - впускное давление, Па или мбар;
p3 - выпускное давление в форвакуумной магистрали, Па или мбар;
pc - наибольшее выпускное давление, Па или мбар;
Q - производительность вакуумного насоса, Па·л/с, или мбар·л/с, или мм рт. ст.·л/с, или sccm;
Qmax - максимальная производительность, Па·л/с, или мбар·л/с, или мм рт. ст.·л/с, или sccm;
qV0 - быстрота действия при Keff = 1, л/с;
qVB - быстрота действия форвакуумного насоса, л/с;
qVX - максимально ожидаемая быстрота действия, л/с.
5.1 Пробный газ
Все измерения, указанные в этом разделе, следует проводить с использованием пробного газа чистотой не менее 99,9% (по массе). Пробный газ, такой как азот, водород, гелий и аргон.
5.2 Определение быстроты действия (скорости откачки)
5.2.1 Общие положения
Методы измерения быстроты действия для турбомолекулярного вакуумного насоса приведены в
ГОСТ 32974.1-2023 (
5.1 и
5.2). При отсутствии других описаний или экспериментальных схем следует использовать описания, приведенные в
ГОСТ 32974.1.
5.2.2 Измерение параметров форвакуумного насоса
Эффективная быстрота действия qV турбомолекулярного вакуумного насоса зависит от быстроты действия qV0 при нулевом перепаде давления p1 = p3, степени сжатия K0 при нулевой производительности (Q = 0) и быстроты действия форвакуумного насоса qVB, ее вычисляют по формуле

, (4)
следовательно,

(5)
При небольших значениях K0 (например, для водорода K0 ~= 1000) на быстроту действия турбомолекулярного вакуумного насоса влияет производительность форвакуумного насоса. Это влияние можно считать небольшим, если форвакуумный насос использован с быстротой действия qVB для всего диапазона давлений, которую вычисляют по условию

, (6)
где qVX - ожидаемая максимальная быстрота действия турбомолекулярного вакуумного насоса, л/с.
С учетом
условия (6) необходимо выбрать подходящий форвакуумный насос для газа с указанным значением
K0 исходя из характеристик турбомолекулярного вакуумного насоса.
Следует убедиться в том, что форвакуумный насос по-прежнему имеет рассчитанную скорость откачки в рабочей точке Qmax.
5.2.3 Определение быстроты действия (скорости откачки) методом постоянного потока
Метод постоянного потока является наиболее используемым для вакуумных насосов, применяется для всех диапазонов давления и типоразмеров насосов, где определение быстроты действия возможно с высокой точностью.
Полное определение быстроты действия методом постоянного потока приведено в
ГОСТ 32974.1-2023 (5.1).
5.2.4 Определение быстроты действия (скорости откачки) методом двух манометров
Метод рекомендован для небольших потоков газа, где не допускается применять подходящие расходомеры. Полное определение быстроты действия методом двух манометров приведено в
ГОСТ 32974.1-2023 (5.2).
5.3 Измерение максимальной производительности
5.3.1 Метод измерения
Как минимум у двух типоразмеров форвакуумных насосов измеряют производительность
Q в зависимости от выпускного давления
p3, при работе насоса в условиях, указанных производителем. Следует использовать измерительную камеру, приведенную в
ГОСТ 32974.1-2023 (рисунок 1). Должны быть предусмотрены соответствующие датчики для контроля предельных параметров (см.
3.2, примечание 2). При достижении максимальной производительности
Qmax все контролируемые значения должны стабилизироваться и не превышать установленного предельного значения в течение не менее 4 ч. Предпочтительно, чтобы один из форвакуумных насосов был производительнее другого примерно в 5 - 10 раз.
Этот метод предназначен для проверки данных, указанных производителем насоса, является неразрушающим и не используется для определения предельного значения давления.
5.3.2 Порядок проведения испытаний
Подсоединяют насос к измерительной камере, которая подходит как для обеспечения постоянного потока газа, так и для измерения впускного давления p1. Форвакуумная магистраль должна быть оборудована вакуумметром для измерения выпускного давления p3. Постепенно увеличивают поток газа с высоковакуумной стороны. Показания датчиков перед записью должны стабилизироваться. Если показания хотя бы одного из датчиков выходят за пределы неопределенности измерений, то нужно закрыть клапан напуска и признать испытания несостоявшимися. При максимальной производительности Qmax испытания необходимо проводить в течение не менее 4 ч, при этом все показания должны находиться в пределах допустимых значений, а отклонение температуры насоса по времени не должно превышать 1 К/ч.
5.4 Измерение наибольшего выпускного давления
Описание метода измерения наибольшего выпускного давления изложено в
ГОСТ 32974.1-2023 (5.5), определение наибольшего выпускного давления приведено в
3.1.
Измерение наибольшего выпускного давления определяют без учета эффективной быстроты действия турбомолекулярного вакуумного насоса. Это означает, что клапан напуска газа остается закрытым. Следовательно, значение наибольшего выпускного давления допустимо только для использования с "нулевой" производительностью.
Другие значения выпускного давления для других использований с заданными газовыми нагрузками через турбомолекулярный вакуумный насос будут ограничивать его работу.
5.5 Измерение степени сжатия
Метод измерения степени сжатия и экспериментальная установка приведены в ГОСТ 32974.1-2023
(5.5).
Для снижения количества любого другого газа на выходе турбомолекулярного вакуумного насоса настоятельно рекомендуется применять в качестве форвакуумного насоса любой турбомолекулярный насос или диффузионный насос. Это снижает давление на выходе до p3 < 10-2 Па (10-4 мбар). Не рекомендуется использовать охлаждаемую ловушку ввиду искажения результатов.
Для того чтобы получить степень сжатия при нулевой скорости потока K0 для определенного газа, парциальное давление этого газа в выпускном трубопроводе должно составлять не менее 90% от p3.
Примечание - Из-за низкой степени сжатия для легких газов может быть трудно достичь 90%-ного парциального давления на выходе, особенно при использовании сухих форвакуумных насосов.
На степень сжатия могут влиять допустимые отклонения производства и температура насоса при измерении. Если проводят измерения парциального давления, их необходимо указать. Если для определения расчетного максимума использовалась экстраполяция, это также следует указать.
5.6 Измерение базового давления
Измерение базового давления приведено в
ГОСТ 32974.1-2023 (5.4). Это давление не является предельным давлением.
5.7.1 Общие положения
Вибрацию турбомолекулярного вакуумного насоса измеряют в направлении, радиальном к оси вала двигателя, в диапазоне частот от 10 Гц до пятикратного значения номинальной частоты вращения насоса, работающего при стандартных условиях без газовой нагрузки. Регистрируют оба значения - виброскорость и виброускорение.
5.7.2 Испытательное оборудование
Турбомолекулярный вакуумный насос устанавливают в вертикальном и/или горизонтальном положении в соответствии с инструкцией производителя на резиновом листе толщиной не менее 4 мм на твердом основании без вибрации, чтобы обеспечить отсоединение испытуемого насоса от основания. Основание может быть бетонным, в пять раз превышающим массу насоса, но не менее 100 кг.
ВНИМАНИЕ! Следует принять меры предосторожности для обеспечения безопасности персонала на рабочем месте.
Вибрационная измерительная головка прибора должна быть установлена на насосе в плоскости под прямым углом к оси ротора. Эта плоскость должна находиться на расстоянии не более 1/10 наибольшего размера насоса от центра масс насоса.
При подготовке насоса с испытательным оборудованием масса насоса с заглушенным фланцем не должна увеличиваться более чем на 3%. Во время проведения испытаний к насосу не разрешается подсоединять дополнительный груз.
Насос подсоединяют к форвакуумному насосу с помощью гибкого шланга длиной не менее 750 мм и согнутого под углом более 90°.
5.7.3 Порядок проведения измерения
Перед проведением измерения насос должен работать при стандартных условиях без газовой нагрузки по крайней мере 30 мин. Во время проведения измерений форвакуумный насос должен быть выключен.
Отчет об испытаниях должен содержать результаты:
- измерения:
Отчет об испытаниях должен содержать следующую общую информацию об испытанном насосе:
- тип и артикул/серийный номер турбомолекулярного насоса;
- тип и артикул/серийный номер приводного устройства;
- тип и размер фланца, номинальная частота вращения и максимальная потребляемая мощность турбомолекулярного насоса;
- температура окружающей среды.
6.1 Измерение быстроты действия
Должны быть приведены следующие данные:
- используемый метод (постоянного потока или метод двух манометров):
- расположение отверстий в случае метода двух манометров,
- величина стандартной проводимости и формула, примененная для
вычисления в случае метода постоянного тока;
- размер измерительной камеры;
- скорость вращения;
- используемый форвакуумный насос или выпускное давление;
- применяемый метод охлаждения и данные о методе;
- измеряемые типы газа;
- объем газа для продувки, если он использовался;
- диаграмма: быстрота действия в зависимости от впускного давления.
6.2 Измерение степени сжатия
Приводят следующие данные:
- скорость вращения;
- используемый форвакуумный насос;
- применяемый метод охлаждения и данные о методе;
- измеряемые типы газа;
- диаграмма: степень сжатия в зависимости от выпускного давления.
6.3 Измерение максимальной производительности
Приводят следующие данные:
- скорость вращения;
- используемый форвакуумный насос (масляный/безмасляный) или выпускное давление;
- применяемый метод охлаждения и данные о методе;
- измеряемые типы газа;
- количество продувочного газа, если использовался;
- максимальная производительность.
6.4 Измерение наибольшего выпускного давления
Приводят следующие данные:
- скорость вращения;
- используемый метод охлаждения и данные о методе;
- измеряемые типы газа;
- наибольшее выпускное давление.
6.5 Измерение базового давления
Приводят следующие данные:
- скорость вращения;
- применяемый метод охлаждения и данные о методе;
- используемый форвакуумный насос или выпускное давление;
- базовое давление.
Приводят следующие данные:
- скорость вращения;
- документация испытательного оборудования;
- направление измерения вибрации;
- положение измерения вибрации;
- диаграмма: данные о вибрации в зависимости от диапазона частот.
7 Требования безопасности
При проведении измерений необходимо соблюдать предъявляемые к вакуумным насосам требования безопасности [2] <*>
.
--------------------------------
<*> В Российской Федерации действует
ГОСТ Р 52615-2006 "Компрессоры и вакуумные насосы. Требования безопасности. Часть 2. Вакуумные насосы".
Примечание - Приведенное выше дополнительное требование направлено на обеспечение безопасности при транспортировании, хранении, установке, эксплуатации и техническом обслуживании насосов.
(рекомендуемое)
Между степенями сжатия Keff, K0 и быстротой действия qV (скоростью откачки) теоретически максимальным значением qV0 предполагается линейная зависимость, вычисляемая по формуле

. (A.1)
Быстрота действия qV достигает своего максимума qV0, если эффективная степень сжатия Keff достигает единицы. С другой стороны, при максимальной Keff = K0 быстрота действия по определению будет равна нулю. Эффективная степень сжатия Keff = p3/p1 может быть записана как отношение быстроты действия форвакуумного насоса и турбомолекулярного вакуумного насоса по формуле

. (A.2)
Быстроту действия qv, л/с, вычисляют по формуле

, (A.3)
а также по формуле

(A.4)
или, уменьшая на K0, по формуле

(A.5)
(справочное)
СВЕДЕНИЯ О СООТВЕТСТВИИ ССЫЛОЧНОГО МЕЖГОСУДАРСТВЕННОГО
СТАНДАРТА МЕЖДУНАРОДНОМУ СТАНДАРТУ, ИСПОЛЬЗОВАННОМУ
В КАЧЕСТВЕ ССЫЛОЧНОГО В ПРИМЕНЕННОМ МЕЖДУНАРОДНОМ СТАНДАРТЕ
Таблица ДА.1
Обозначение ссылочного межгосударственного стандарта | Степень соответствия | Обозначение и наименование ссылочного международного стандарта |
(ISO 21360-1:2020) | MOD | ISO 21360-1:2020 "Вакуумная технология. Стандартные методы измерения характеристик вакуумных насосов. Часть 1. Общие положения" |
Примечание - В настоящей таблице использовано следующее условное обозначение степени соответствия стандарта: - MOD - модифицированный стандарт. |
| ISO 3529-2 | Vacuum technology - Vocabulary - Part 2: Vacuum pumps and related terms (Вакуумная технология. Словарь. Часть 2. Вакуумные насосы и относящаяся к ним терминология) |
| EN 1012-2:1996 | Compressors and vacuum pumps - Safety precautions - Part 2: Vacuum pumps (Компрессоры и вакуумные насосы. Требования безопасности. Часть 2. Вакуумные насосы) |
УДК 621:006:354 | | MOD |
Ключевые слова: турбомолекулярный вакуумный насос; быстрота действия; вибрация; испытание; давление; производительность; сжатие |