Главная // Актуальные документы // ГОСТ (Государственный стандарт)СПРАВКА
Источник публикации
М.: Издательство стандартов, 1980
Примечание к документу
Документ утратил силу на территории Российской Федерации с 1 января 2015 года в связи с изданием
Приказа Росстандарта от 06.09.2013 N 1028-ст. Взамен введен в действие
ГОСТ Р 55611-2013.
С 1 июля 2003 года до вступления в силу технических регламентов акты федеральных органов исполнительной власти в сфере технического регулирования носят рекомендательный характер и подлежат обязательному исполнению только в части, соответствующей целям, указанным в
пункте 1 статьи 46 Федерального закона от 27.12.2002 N 184-ФЗ.
Документ
введен в действие с 1 июля 1981 года.
Название документа
"ГОСТ 24289-80. Государственный стандарт Союза ССР. Контроль неразрушающий вихретоковый. Термины и определения"
(утв. и введен в действие Постановлением Госстандарта СССР от 30.06.1980 N 3221)
"ГОСТ 24289-80. Государственный стандарт Союза ССР. Контроль неразрушающий вихретоковый. Термины и определения"
(утв. и введен в действие Постановлением Госстандарта СССР от 30.06.1980 N 3221)
Утвержден и введен в действие
Постановлением Государственного
комитета СССР по стандартам
от 30 июня 1980 г. N 3221
ГОСУДАРСТВЕННЫЙ СТАНДАРТ СОЮЗА ССР
КОНТРОЛЬ НЕРАЗРУШАЮЩИЙ ВИХРЕТОКОВЫЙ
ТЕРМИНЫ И ОПРЕДЕЛЕНИЯ
Eddy current nondestructive testing.
Terms and definitions
ГОСТ 24289-80
Постановлением Государственного комитета СССР по стандартам от 30 июня 1980 г. N 3221 срок введения установлен
с 1 июля 1981 года
Разработан Министерством приборостроения, средств автоматизации и систем управления.
Исполнители: Ю.К. Федосенко, канд. техн. наук; Г.Н. Транквилицкий; Т.И. Багрянцева.
Внесен Министерством приборостроения, средств автоматизации и систем управления.
Член Коллегии Д.В. Ковальчук.
Утвержден и введен в действие Постановлением Государственного комитета СССР по стандартам от 30 июня 1980 г. N 3221.
Настоящий стандарт устанавливает применяемые в науке, технике и производстве термины и определения основных понятий в области вихретокового неразрушающего контроля качества материалов, полуфабрикатов и изделий (далее - объектов).
Термины, установленные настоящим стандартом, обязательны для применения в документации всех видов, научно-технической и справочной литературе.
Для каждого понятия установлен один стандартизованный термин. Применение терминов - синонимов стандартизованного термина запрещается. Недопустимые к применению термины-синонимы приведены в стандарте в качестве справочных и обозначены "Ндп".
Для отдельных стандартизованных терминов в стандарте приведены в качестве справочных их краткие формы, которые разрешается применять в случаях, исключающих возможность их различного толкования. Установленные определения можно, при необходимости, изменять по форме изложения, не допуская нарушения границ понятий.
В случае, когда необходимые и достаточные признаки понятия содержатся в буквальном значении термина, определение не приводится и, соответственно, в графе "Определение" поставлен прочерк.
В стандарте в качестве справочных приведены иностранные эквиваленты стандартизованных терминов на английском языке.
В стандарте приведены алфавитные указатели содержащихся в нем терминов на русском языке и их иностранных эквивалентов.
Настоящий стандарт следует применять вместе с
ГОСТ 19880-74, ГОСТ 19693-74.
| | ИС МЕГАНОРМ: примечание. Стандартизованные термины, набранные полужирным шрифтом в официальном тексте документа, в электронной версии документа отмечены знаком "#"; недопустимые синонимы, набранные курсивом в официальном тексте документа, в электронной версии документа отмечены знаком "&". | |
Стандартизованные термины набраны полужирным шрифтом, их краткая форма - светлым, а недопустимые синонимы - курсивом.
───────────────────────────────┬───────────────────────────────────────────
Термин │ Определение
───────────────────────────────┴───────────────────────────────────────────
1. #Вихретоковый Неразрушающий контроль, основанный
неразрушающий контроль# на анализе взаимодействия внешнего
Eddy current nondestructive электромагнитного поля с электромагнитным
testing полем вихревых токов, наводимых в объекте
контроля этим полем.
ИС МЕГАНОРМ: примечание.
Взамен ГОСТ 16504-74 Постановлением Госстандарта СССР от 08.12.1981
Примечание. Неразрушающий контроль
по ГОСТ 16504-74.
2. #Вихретоковый Устройство, состоящее из одной
преобразователь# или нескольких индуктивных отметок,
Преобразователь предназначенных для возбуждения в объекте
Eddy current probe контроля вихревых токов и преобразования
зависящего от параметров объекта
электромагнитного поля в сигнал
преобразователя
3. #Начальная э.д.с. Э.д.с. на выводах разомкнутой
вихретокового преобразователя# измерительной обмотки вихретокового
Начальная э.д.с. преобразователя при отсутствии объекта
Ндп. &Э.д.с. холостого хода& контроля
Initial electromotive force
of eddy current probe
4. #Вносимая э.д.с. Приращение э.д.с. на выводах разомкнутой
вихретокового преобразователя# измерительной обмотки вихретокового
Вносимая э.д.с. преобразователя, обусловленное внесением
Added electromotive force в его электромагнитное поле объекта
of eddy current probe контроля
5. #Относительная вносимая Отношение вносимой э.д.с. вихретокового
э.д.с. вихретокового преобразователя к его начальной э.д.с.
преобразователя#
Added relative electromotive
force of eddy current probe
6. #Вносимое напряжение Приращение напряжения на выводах
вихретокового преобразователя# измерительной обмотки вихретокового
Вносимое напряжение преобразователя, обусловленное внесением
Added voltage of eddy current в его электромагнитное поле объекта
probe контроля
7. #Вносимое сопротивление Приращение сопротивления обмотки
вихретокового вихретокового преобразователя,
преобразователя# обусловленное внесением в его
Вносимое сопротивление электромагнитное поле объекта контроля.
Added resistance of eddy Примечание. В зависимости от вида
current probe вносимого сопротивления допускается
различать активное, реактивное или
комплексное вносимое сопротивление
вихретокового преобразователя.
8. #Комплексная плоскость Плоскость с двумя ортогональными
вихретокового координатными осями, по одной из которых
преобразователя# откладываются действительные составляющие
Complex plane of eddy э.д.с., напряжения или комплексного
current probe сопротивления преобразователя,
а по другой - мнимые
9. #Годограф вихретокового Геометрическое место концов вектора э.д.с.
преобразователя# или напряжения на комплексной плоскости
Hodograph diagram of eddy преобразователя, полученное в результате
current probe изменения частоты, удельной электрической
проводимости, относительной магнитной
проницаемости, размеров объекта контроля,
размеров преобразователя, других влияющих
факторов или образованных из них обобщенных
переменных величин
10. #Диаграмма комплексного Комплексная плоскость, точки которой
сопротивления вихретокового изображают числовые значения комплексного
преобразователя# сопротивления вихретокового
Impedance diagram of eddy преобразователя, полученные в результате
current probe изменения частоты, удельной электрической
проводимости, относительной магнитной
проницаемости, размеров объекта контроля,
размеров преобразователя или образованных
из них обобщенных переменных
11. #Сигнал вихретокового Сигнал (э.д.с., напряжение или
преобразователя# сопротивление преобразователя), несущий
Eddy current probe signal информацию о параметрах объекта контроля
и обусловленный взаимодействием
электромагнитного поля преобразователя
с объектом контроля
12. #Глубина проникновения Расстояние от поверхности объекта контроля
электромагнитного поля до слоя, в котором плотность вихревых токов
вихретокового в e раз меньше, чем на поверхности.
преобразователя# Примечание. e = 2,7183 - основание
Глубина проникновения натурального логарифма.
Electromagnetic field
penetration depth of eddy
current probe
13. #Обобщенный параметр Безразмерная величина, характеризующая
вихретокового контроля# свойства вихретокового преобразователя,
Обобщенный параметр объекта контроля или условия контроля.
Generalised parameter Например,

,
of eddy current testing где R - радиус эквивалентного витка
обмотки преобразователя или радиус
цилиндрического объекта контроля
при использовании однородного поля;

- круговая частота тока возбуждения;

- магнитная постоянная;

- магнитная проницаемость среды;

- удельная электрическая проводимость
среды
14. #Локальность вихретокового Площадь поверхности объекта контроля,
контроля# в пределах которой контролируемый параметр
Locality of eddy current интегрируется преобразователем и его
testing среднее значение принимается за значение
параметра в зоне измерения
15. #Ток возбуждения Ток обмотки возбуждения вихретокового
вихретокового преобразователя
преобразователя#
Ндп. &Ток питания&
Exciting current of eddy
current probe
16. #Частота тока возбуждения -
вихретокового преобразователя#
Ндп. &Рабочая частота&
Exciting current frequency
of eddy current probe
17. #Отношение сигнал-шум Отношение пикового значения сигнала
вихретокового преобразователя# преобразователя, вызванного изменением
Signal-to-noise ratio of eddy контролируемого параметра к среднему
current probe квадратическому значению амплитуды шумов,
обусловленных влиянием мешающих параметров
объекта контроля
18. #Контролируемый параметр Параметр объекта, подлежащий контролю
при вихретоковом контроле# путем преобразования в сигнал вихретокового
Test parameter of eddy преобразователя
current testing
19. #Мешающий параметр Параметр объекта, не подлежащий контролю,
вихретокового контроля# изменение которого оказывает влияние
Stray parameter of eddy на результаты контроля
current testing
20. #Чувствительность к Отношение приращения сигнала вихретокового
контролируемому параметру преобразователя к вызвавшему его малому
при вихретоковом контроле# приращению контролируемого параметра
Sensitivity to test parameter
at eddy current testing
21. #Отстройка при Подавление влияния на результаты контроля
вихретоковом контроле# изменения мешающего параметра
Suppression at eddy current
testing
22. #Направление отстройки Направление на комплексной плоскости
при вихретоковом контроле# вихретокового преобразователя, нормальное
Suppression direction к годографу напряжения, вызванному
at eddy current testing изменением мешающего параметра
МЕТОДЫ ВИХРЕТОКОВОГО НЕРАЗРУШАЮЩЕГО КОНТРОЛЯ
23. #Амплитудный метод Метод вихретокового неразрушающего
вихретокового неразрушающего контроля, основанный на измерении амплитуды
контроля# сигнала преобразователя
Амплитудный метод
Amplitude method of eddy
current nondestructive testing
24. #Фазовый метод Метод вихретокового неразрушающего
вихретокового неразрушающего контроля, основанный на измерении фазы
контроля# сигнала преобразователя
Фазовый метод
Phase method of eddy current
nondestructive testing
25. #Амплитудно-фазовый метод Метод вихретокового неразрушающего
вихретокового неразрушающего контроля, основанный на измерении проекции
контроля# вектора напряжения преобразователя
Амплитудно-фазовый метод на направлении отстройки
Amplitude-phase method of eddy
current nondestructive testing
26. #Частотный метод Метод вихретокового неразрушающего
вихретокового неразрушающего контроля, основанный на измерении частоты
контроля# сигнала параметрического вихретокового
Частотный метод преобразователя, включенного в
Frequency method of eddy колебательный контур автогенератора
current nondestructive testing
27. #Многочастотный метод Метод вихретокового неразрушающего
вихретокового неразрушающего контроля, основанный на анализе
контроля# и (или) синтезе сигналов вихретокового
Многочастотный метод преобразователя, обусловленных
Multifrequency method of eddy взаимодействием электромагнитного поля
current nondestructive testing различной частоты с объектом контроля
28. #Переменно-частотный метод Метод вихретокового неразрушающего
вихретокового неразрушающего контроля, основанный на анализе и (или)
контроля# синтезе амплитуды и частоты сигнала
Переменно-частотный метод вихретокового преобразователя при
Variable-frequency method постоянном за счет изменения частоты
of eddy current nondestructive заданном значении обобщенного параметра
testing
29. #Импульсный метод Метод вихретокового неразрушающего
вихретокового неразрушающего контроля, основанный на измерении амплитуды
контроля# и (или) длительности сигнала вихретокового
Импульсный метод преобразователя импульсной формы,
Pulse method of eddy current обусловленного взаимодействием
nondestructive testing нестационарного электромагнитного поля
с объектом контроля
30. #Абсолютный метод Метод вихретокового неразрушающего
вихретокового неразрушающего контроля, основанный на измерении сигнала
контроля# вихретокового преобразователя, на который
Абсолютный метод воздействует абсолютное значение
Absolute method of eddy контролируемого параметра
current nondestructive testing
31. #Модуляционный метод Метод вихретокового неразрушающего
вихретокового неразрушающего контроля, основанный на анализе сигнала
контроля# вихретокового преобразователя,
Модуляционный метод модулируемого в результате изменения
Modulation method of eddy в пространстве параметров объекта, при
current nondestructive testing относительном перемещении преобразователя
и объекта контроля
32. #Дифференциальный метод Метод вихретокового неразрушающего
вихретокового неразрушающего контроля, основанный на измерении сигнала
контроля# вихретокового преобразователя,
Дифференциальный метод обусловленного приращением контролируемого
Differential method of eddy параметра
current nondestructive testing
33. #Спектральный метод Метод вихретокового неразрушающего
вихретокового неразрушающего контроля, основанный на измерении
контроля# спектрального состава сигнала вихретокового
Спектральный метод преобразователя
Spectral method of eddy
current nondestructive testing
СРЕДСТВА ВИХРЕТОКОВОГО НЕРАЗРУШАЮЩЕГО КОНТРОЛЯ
34. #Обмотка возбуждения Обмотка преобразователя, предназначенная
вихретокового преобразователя# для возбуждения в объекте контроля вихревых
Обмотка возбуждения токов
Drive winding of eddy
35. #Измерительная обмотка Обмотка преобразователя, предназначенная
вихретокового преобразователя# для преобразователя электромагнитного поля
Измерительная обмотка вихревых токов в сигнал преобразователя
Measuring winding of eddy
current probe
36. #Компенсационная обмотка Обмотка преобразователя, предназначенная
вихретокового преобразователя# для создания дополнительного напряжения,
Компенсационная обмотка суммируемого с напряжением измерительной
Compensating winding of eddy обмотки
current probe
37. #Зазор вихретокового Расстояние между торцевой плоскостью
преобразователя# вихретокового преобразователя
Зазор и поверхностью объекта контроля
Eddy current probe lift-off
38. #Конструктивный зазор Расстояние между торцевой плоскостью
вихретокового преобразователя# вихретокового преобразователя и плоскостью
Конструктивный зазор эквивалентного витка обмотки возбуждения
Design lift-off of eddy
current probe
39. #Эквивалентный виток Математическая модель обмотки
обмотки вихретокового вихретокового преобразователя в виде одного
преобразователя# витка с пренебрежимо малым поперечным
Эквивалентный виток обмотки сечением, контур которого повторяет контур
Equivalent turn of eddy витков обмотки, а диаметр выбирается из
current probe winding условия эквивалентности контуров обмотки и
модели по формуле

,
где

;

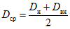
- наружный диаметр обмотки;

- внутренний диаметр обмотки;

- средний диаметр
40. #Компенсатор сигнала Устройство, предназначенное для создания
вихретокового преобразователя# регулируемого по амплитуде и фазе
Компенсатор напряжения для его суммирования
Signal compensator of eddy с напряжением преобразователя
current probe
41. #Блок вихретокового Устройство, предназначенное для защиты
преобразователя# преобразователя от механических
Protection unit of eddy воздействий, воздействия внешней среды,
current probe фиксации и регулирования положения
преобразователя относительно объекта
контроля, сканирования преобразователем
контролируемой поверхности, в случае
необходимости, предварительной обработки
сигнала, а также решения других задач,
связанных с обеспечением контроля
в заданных условиях
42. #Накладной вихретоковый Вихретоковый преобразователь,
преобразователь# расположенный вблизи одной из поверхностей
Surface eddy current probe объекта контроля
43. #Экранный вихретоковый Вихретоковый преобразователь, возбуждающая
преобразователь# и измерительная обмотки которого разделены
Screening eddy current probe объектом контроля
44. #Проходной вихретоковый Вихретоковый преобразователь,
преобразователь# расположенный при контроле либо с внешней
Encircling eddy current probe стороны объекта, охватывая его, либо
с внутренней, когда объект контроля
охватывает преобразователь
45. #Наружный проходной Проходной вихретоковый преобразователь,
вихретоковый преобразователь# расположенный с внешней стороны объекта
Encircling external eddy контроля
current probe
46. #Внутренний проходной Проходной вихретоковый преобразователь,
вихретоковый преобразователь# расположенный с внутренней стороны объекта
Encircling internal eddy контроля
current probe
47. #Коэффициент заполнения Отношение площади поперечного сечения
вихретокового проходного объекта контроля к меньшей из площадей
преобразователя# поперечного сечения, эквивалентного витка
Fill factor of encircling измерительной или возбуждающей обмотки
eddy current probe проходного вихретокового преобразователя

при

;

при

,
где

- площадь поперечного сечения
эквивалентного витка измерительной обмотки;

- площадь поперечного сечения
эквивалентного витка обмотки возбуждения
48. #Комбинированный Вихретоковый преобразователь, содержащий
вихретоковый преобразователь# обмотки как накладного, так и проходного
Composite eddy current probe типа
49. #Параметрический Вихретоковый преобразователь,
вихретоковый преобразователь# преобразующий контролируемый параметр
Parametric eddy current probe в активное, реактивное или комплексное
сопротивление
50. #Трансформаторный Вихретоковый преобразователь, содержащий
вихретоковый преобразователь# не менее двух индуктивно связанных обмоток
(возбуждающую и измерительную) и
преобразующий контролируемый параметр
в э.д.с. измерительной обмотки
51. #Абсолютный вихретоковый Вихретоковый преобразователь, сигнал
преобразователь# которого определяется абсолютным значением
Absolute eddy current probe параметра объекта контроля
52. #Дифференциальный Вихретоковый преобразователь, сигнал
вихретоковый преобразователь# которого определяется приращением параметра
Differential eddy current объекта контроля
probe
53. #База дифференциального Расстояние между плоскостями, в которых
вихретокового преобразователя# расположены эквивалентные витки обмоток
Base of differential eddy параметрического преобразователя или
current probe измерительных обмоток трансформаторного
преобразователя
54. #Относительная база База дифференциального вихретокового
дифференциального вихретокового преобразователя, выраженная в долях
преобразователя# диаметра измерительной обмотки
Relative base of differential преобразователя
eddy current probe
55. #Одноэлементный Устройство, состоящее из одного
вихретоковый преобразователь# вихретокового преобразователя,
обеспечивающего требуемую чувствительность
и локальность контроля
56. #Многоэлементный Устройство, состоящее из заданного числа
вихретоковый преобразователь# однотипных одноэлементных вихретоковых
Multiple-unit eddy current преобразователей, работающих на
probe параллельные информационные каналы и
размещенных на заданной площади так, чтобы
обеспечить большую зону контроля при
сохранении высокой локальности одного
преобразователя
57. #Компенсирующее Напряжение, суммируемое с напряжением
напряжение вихретокового вихретокового преобразователя для его
преобразователя# компенсации
Compensating voltage of eddy
current probe
58. #Опорное напряжение Синхронное с сигналом вихретокового
вихретокового преобразователя# преобразователя переменное напряжение,
Reference voltage of eddy подаваемое на один из входов
current probe фазочувствительного устройства
59. #Вихретоковый толщиномер# Прибор, основанный на методах
Eddy current thickness gauge вихретокового неразрушающего контроля
и предназначенный для измерения толщины
объекта контроля.
Примечание. Объекты контроля могут быть
как однослойные, так и многослойные.
60. #Вихретоковый Прибор, основанный на методах
структуроскоп# вихретокового неразрушающего контроля
Eddy current structuroscope и предназначенный для контроля физико-
механических свойств объектов, связанных
со структурой, химическим составом и
внутренними напряжениями их материалов
61. #Вихретоковый Прибор, основанный на методах
дефектоскоп# вихретокового неразрушающего контроля
Eddy current flaw detector и предназначенный для выявления дефектов
объекта контроля типа нарушенной сплошности
62. #Порог чувствительности Минимальные размеры дефекта заданной
вихретокового дефектоскопа# формы, при которых отношение сигнал-шум
Sensitivity threshold равно двум.
of eddy current flaw detector Примечание. В случае, когда определяющим
является один размер дефекта, порог
чувствительности определяется по этому
размеру.
63. #Краевой эффект Изменение сигнала вихретокового
при вихретоковом контроле# преобразователя, обусловленное краевыми
End effect at eddy current участками объекта контроля
testing
64. #Эффект зазора Изменение сигнала вихретокового
при вихретоковом контроле# преобразователя, обусловленное изменением
Lift-off effect at eddy зазора
current testing
65. #Скоростной эффект Изменение сигнала вихретокового
при вихретоковом контроле# преобразователя, обусловленное вихревыми
Velocity effect at eddy токами, возникающими в результате движения
current testing объекта контроля в магнитном поле
вихретокового преобразователя
АЛФАВИТНЫЙ УКАЗАТЕЛЬ ТЕРМИНОВ НА РУССКОМ ЯЗЫКЕ
#База дифференциального вихретокового преобразователя#
53
#База дифференциального вихретокового преобразователя относительная#
54
#Блок вихретокового преобразователя#
41
#Виток обмотки вихретокового преобразователя эквивалентный#
39
Виток обмотки эквивалентный
39
#Глубина проникновения электромагнитного поля вихретокового
12
преобразователя#
#Годограф вихретокового преобразователя#
9
#Дефектоскоп вихретоковый#
61
#Диаграмма комплексного сопротивления вихретокового преобразователя#
10
#Зазор вихретокового преобразователя#
37
#Зазор вихретокового преобразователя конструктивный#
38
#Компенсатор сигнала вихретокового преобразователя#
40
#Контроль неразрушающий вихретоковый#
1
#Коэффициент заполнения вихретокового проходного преобразователя#
47
#Локальность вихретокового контроля#
14
Метод амплитудно-фазовый
25
#Метод вихретокового неразрушающего контроля абсолютный#
30
#Метод вихретокового неразрушающего контроля амплитудный#
23
#Метод вихретокового неразрушающего контроля амплитудно-фазовый#
25
#Метод вихретокового неразрушающего контроля дифференциальный#
32
#Метод вихретокового неразрушающего контроля импульсный#
29
#Метод вихретокового неразрушающего контроля многочастотный#
27
#Метод вихретокового неразрушающего контроля модуляционный#
31
#Метод вихретокового неразрушающего контроля переменно-частотный#
28
#Метод вихретокового неразрушающего контроля спектральный#
33
#Метод вихретокового неразрушающего контроля фазовый#
24
#Метод вихретокового неразрушающего контроля частотный#
26
Метод дифференциальный
32
#Направление отстройки при вихретоковом контроле#
22
#Напряжение вихретокового преобразователя вносимое#
6
#Напряжение вихретокового преобразователя компенсирующее#
57
#Напряжение вихретокового преобразователя опорное#
58
#Обмотка возбуждения вихретокового преобразователя#
34
#Обмотка вихретокового преобразователя измерительная#
35
#Обмотка вихретокового преобразователя компенсационная#
36
Обмотка компенсационная
36
#Отношение сигнал-шум вихретокового преобразователя#
17
#Отстройка при вихретоковом контроле#
21
#Параметр вихретокового контроля мешающий#
19
#Параметр вихретокового контроля обобщенный#
13
#Параметр контролируемый при вихретоковом контроле#
18
#Плоскость вихретокового преобразователя комплексная#
8
#Порог чувствительности вихретокового дефектоскопа#
62
#Преобразователь вихретоковый#
2
#Преобразователь вихретоковый абсолютный#
51
#Преобразователь вихретоковый дифференциальный#
52
#Преобразователь вихретоковый комбинированный#
48
#Преобразователь вихретоковый многоэлементный#
56
#Преобразователь вихретоковый накладной#
42
#Преобразователь вихретоковый одноэлементный#
55
#Преобразователь вихретоковый параметрический#
49
#Преобразователь вихретоковый проходной#
44
#Преобразователь вихретоковый проходной внутренний#
46
#Преобразователь вихретоковый проходной наружный#
45
#Преобразователь вихретоковый трансформаторный#
50
#Преобразователь вихретоковый экранный#
43
#Сигнал вихретокового преобразователя#
11
#Сопротивление вихретокового преобразователя вносимое#
7
Структуроскоп вихретоковый
60
#Ток возбуждения вихретокового преобразователя#
15
#Толщиномер вихретоковый#
59
#Частота тока возбуждения вихретокового преобразователя#
16
#Чувствительность к контролируемому параметру при вихретоковом
20
контроле#
#Э.д.с. вихретокового преобразователя вносимая#
4
#Э.д.с. вихретокового преобразователя вносимая относительная#
5
#Э.д.с. вихретокового преобразователя начальная#
3
&Э.д.с. холостого хода&
3
#Эффект зазора при вихретоковом контроле#
64
#Эффект краевой при вихретоковом контроле#
63
#Эффект скоростной при вихретоковом контроле#
65
АЛФАВИТНЫЙ УКАЗАТЕЛЬ ТЕРМИНОВ НА АНГЛИЙСКОМ ЯЗЫКЕ
Absolute eddy current probe
51
Absolute method of eddy current nondestructive testing
30
Added electromotive force of eddy current probe
4
Added relative electromotive force of eddy current probe
5
Added resistance of eddy current probe
7
Added voltage of eddy current probe
6
Amplitude method of eddy current nondestructive testing
23
Amplitude-phase method of eddy current nondestructive testing
25
Base of differential eddy current probe
53
Compensating voltage of eddy current probe
57
Compensating winding of eddy current probe
36
Complex plane of eddy current probe
8
ИС МЕГАНОРМ: примечание.
В официальном тексте документа, видимо, допущена опечатка: данный
термин приводится в пункте 48, а не в пункте 49.
Composite eddy current probe
49
Design lift-off of eddy current probe
38
Differential eddy current probe
52
Differential method of eddy current nondestructive testing
32
Drive winding of eddy current probe
34
Eddy current flaw detector
61
Eddy current nondestructive testing
1
Eddy current probe lift-off
37
Eddy current probe signal
11
Eddy current structuroscope
60
Eddy current thickness gauge
59
Electromagnetic field panetration depth of eddy current probe
12
Encircling eddy current probe
44
Encircling external eddy current probe
45
Encircling internal eddy current probe
46
ИС МЕГАНОРМ: примечание.
В официальном тексте документа, видимо, допущена опечатка: данный
термин приводится в пункте 63, а не в пункте 23.
End effect at eddy current testing
23
Equivalent turn of eddy current probe winding
39
Exciting current frequency of eddy current probe
16
Exciting current of eddy current probe
15
Fill factor of encircling eddy current probe
47
Frequency method of eddy current nondestructive testing
26
Generalised parameter of eddy current testing
13
Hodograph diagram of eddy current probe
9
Impedance diagram of eddy current probe
10
Initial electromotive force of eddy current probe
3
ИС МЕГАНОРМ: примечание.
В официальном тексте документа, видимо, допущена опечатка: данный
термин приводится в пункте 64, а не в пункте 54.
Lift-off effect at eddy current testing
54
Locality of eddy current testing
14
Measuring winding of eddy current probe
35
Modulation method of eddy current nondestructive testing
31
Multifrequency method of eddy current nondestructive testing
27
Multiple-unit eddy current probe
56
Parametric eddy current probe
49
Phase method of eddy current nondestructive testing
24
Protection unit of eddy current probe
41
Pulse method of eddy current nondestructive testing
29
Reference voltage of eddy current probe
58
Relative base of differential eddy current probe
54
Screening eddy current probe
43
Sensitivity threshold of eddy current flaw detector
62
Sensitivity to test parameter at eddy current testing
20
Signal compensator of eddy current probe
40
Signal-to-noise ratio of eddy current
17
ИС МЕГАНОРМ: примечание.
В официальном тексте документа, видимо, допущена опечатка: данный
термин приводится в пункте 33, а не в пункте 39.
Spectral method of eddy current nondestructive testing
39
Stray parameter of eddy current testing
19
Suppression at eddy current testing
21
Suppression direction at eddy current testing
22
Surface eddy current probe
42
Test parameter of eddy current testing
18
Variable-frequency method of eddy current nondestructive testing
28
Velocity effect at eddy current testing
65