Главная // Актуальные документы // ГОСТ (Государственный стандарт)СПРАВКА
Источник публикации
М.: Стандартинформ, 2017
Примечание к документу
Действие данного документа приостановлено с 14.01.2020 на период до 01.01.2022
Приказом Росстандарта от 14.01.2020 N 2-ст.
Документ
введен в действие с 01.07.2017.
Название документа
"ГОСТ Р ИСО 3898-2016. Национальный стандарт Российской Федерации. Основы проектирования строительных конструкций. Наименования и обозначения физических величин"
(введен в действие Приказом Росстандарта от 13.12.2016 N 2012-ст)
"ГОСТ Р ИСО 3898-2016. Национальный стандарт Российской Федерации. Основы проектирования строительных конструкций. Наименования и обозначения физических величин"
(введен в действие Приказом Росстандарта от 13.12.2016 N 2012-ст)
агентства по техническому
регулированию и метрологии
от 13 декабря 2016 г. N 2012-ст
НАЦИОНАЛЬНЫЙ СТАНДАРТ РОССИЙСКОЙ ФЕДЕРАЦИИ
ОСНОВЫ ПРОЕКТИРОВАНИЯ СТРОИТЕЛЬНЫХ КОНСТРУКЦИЙ
НАИМЕНОВАНИЯ И ОБОЗНАЧЕНИЯ ФИЗИЧЕСКИХ ВЕЛИЧИН
(ISO 3898:2013,
Bases for design of structures - Names and symbols
of physical quantities and generic quantities, IDT)
ГОСТ Р ИСО 3898-2016
Дата введения
1 июля 2017 года
1 ПОДГОТОВЛЕН Акционерным обществом "Научно-исследовательский центр "Строительство" (АО "НИЦ "Строительство"), Центральным научно-исследовательским институтом строительных конструкций им. В.А. Кучеренко (ЦНИИСК им. В.А. Кучеренко) на основе официального перевода на русский язык англоязычной версии указанного в пункте 4 международного стандарта, который выполнен Федеральным государственным унитарным предприятием "Российский научно-исследовательский центр информации по стандартизации, метрологии и оценке соответствия" (ФГУП "СТАНДАРТИНФОРМ")
2 ВНЕСЕН Техническим комитетом по стандартизации ТК 465 "Строительство"
3 УТВЕРЖДЕН И ВВЕДЕН В ДЕЙСТВИЕ
Приказом Федерального агентства по техническому регулированию и метрологии от 13 декабря 2016 г. N 2012-ст
4 Настоящий стандарт идентичен международному стандарту ИСО 3898:2013 "Основы расчета строительных конструкций. Названия и обозначения физических и обобщенных величин" (ISO 3898:2013 "Bases for design of structures - Names and symbols of physical quantities and generic quantities", IDT).
Наименование настоящего стандарта изменено относительно наименования указанного международного стандарта для приведения в соответствие с требованиями ГОСТ Р 1.5-2012
(пункт 3.5).
При применении настоящего стандарта рекомендуется использовать вместо ссылочных международных стандартов соответствующие им национальные или межгосударственные стандарты, сведения о которых приведены в дополнительном
приложении ДА
5 ВВЕДЕН ВПЕРВЫЕ
Правила применения настоящего стандарта установлены в
статье 26 Федерального закона от 29 июня 2015 г. N 162-ФЗ "О стандартизации в Российской Федерации". Информация об изменениях к настоящему стандарту публикуется в ежегодном (по состоянию на 1 января текущего года) информационном указателе "Национальные стандарты", а официальный текст изменений и поправок - в ежемесячном информационном указателе "Национальные стандарты". В случае пересмотра (замены) или отмены настоящего стандарта соответствующее уведомление будет опубликовано в ближайшем выпуске ежемесячного информационного указателя "Национальные стандарты". Соответствующая информация, уведомление и тексты размещаются также в информационной системе общего пользования - на официальном сайте Федерального агентства по техническому регулированию и метрологии в сети Интернет (www.gost.ru)
0.1 Понятие "физическая величина"
Согласно руководству ИСО/МЭК 99 физическая величина - это атрибут явления, материального тела или вещества, которые могут различаться по своим качественным характеристикам и определяются количественно.
Понятию "физическая величина" соответствуют наименование [вербальное обозначение конкретного концепта (см. ИСО 1087-1:2000, пункт 3.4.2)] и определенное символическое представление.
Физическая величина характеризуется уникальной размерностью, которая выражается в определенных единицах (измерения).
Примечание 1 - Согласно второй части Директив ИСО/МЭК, распространяющихся на проекты международных стандартов, в них следует использовать единицы системы СИ.
Примечание 2 - Физические величины могут быть безразмерными, например, те или иные коэффициенты. В таких случаях размерность величины обозначается как "1".
Наименования и обозначения наиболее важных физических величин (в соответствии с руководством ИСО/МЭК 99 это обобщенные физические величины), а также характеризующие их единицы измерения в конкретной научно-технической области приведены в ИСО 80000-1. Однако указанный стандарт охватывает незначительное число наименований и обозначений.
0.2 Общий метод формирования и записи наименований и обозначений физических величин
В настоящем стандарте в
таблицах 2 -
4 приведены наименования и обозначения наиболее важных физических величин (вместе с их единицами измерения) в области проектирования строительных конструкций (однако они при необходимости будут и должны частично пересекаться с ИСО 80000-1).
Данная совокупность наименований и обозначений также ограничена, но с помощью приведенного в настоящем стандарте метода индексирования базового символа (kernel-index-method, KIM) пользователь получит возможность формировать или составлять новые и уникальные (составные) символы для широкого спектра физических величин (согласно руководству ИСО/МЭК 99 они называются частными физическими величинами).
Более того, адаптированное "прочтение" составных символов позволяет пользователю обозначать и должным образом различать соответствующие уникальные наименования физических величин (см. примеры в
3.2.2.5 и
3.2.2.8).
Сущность данного метода изложена в
3.1, база (ядро) составного символического обозначения задается или выбирается по
таблицам 2 -
4, а индексы (как правило, нижние), образующие конкретный составной символ, следует задавать или выбирать по
таблицам 5 -
10.
В настоящем стандарте рассмотрены физические величины в обобщенном смысле. Метод индексирования базового обозначения позволяет формировать сложные обозначения физических величин, относящиеся к конкретному материалу и/или конкретной области проектирования строительных конструкций.
В настоящем стандарте также определены основные наименования, обозначения и единицы измерения физических величин, используемые в области проектирования строительных конструкций.
В
приложении А рассмотрены обобщенные величины, принятые в данной области, но метод индексирования базового обозначения здесь также применим.
В настоящем стандарте использованы нормативные ссылки на следующие международные стандарты:
ISO 80000-1, Quantities and units - Part 1: General (Величины и единицы. Часть 1. Общие положения)
ISO 80000-2, Quantities and units - Part 2: Mathematical signs and symbols to be used in the natural sciences and technology (Величины и единицы. Часть 2. Математические обозначения и символы, используемые в естественных науках и технике)
ISO 80000-3, Quantities and units - Part 3: Space and time (Величины и единицы. Часть 3. Пространство и время)
ISO 80000-4, Quantities and units - Part 4: Mechanics (Величины и единицы. Часть 4. Механика)
3. Наименования и обозначения физических величин
и единиц измерения
3.1 Общие правила и метод формирования и написания наименований и обозначений
Основа (ядро) сложного символического обозначения может быть выбрана в
таблицах 2 -
4, а нужные индексы (чаще всего подстрочные), образующие уникальное сложное символическое обозначение, могут быть выбраны в
таблицах 5 -
10.
Примечание 1 - Используемые в настоящем стандарте правила заимствованы из серии стандартов ИСО 80000, однако представленный в
3.2 метод индексирования базового символа (KIM) вводится для международных стандартов впервые. В основе метода лежат Риманова геометрия и тензорный анализ аффинного пространства (появившиеся во второй половине девятнадцатого столетия).
Примечание 2 - Для обеспечения правильного формулирования терминов и их определений, а также наименований физических величин основой может служить ИСО 10241.
3.2 Общие правила и метод формирования и написания наименований и обозначений физических величин
3.2.1 Наименования
Наименование общей физической величины, как правило, выражается однословным термином в виде имени существительного, написанного строчными буквами прямым шрифтом.
Для ряда систем физических величин наименования (и обозначения) некоторых величин общего характера приведены в серии стандартов ИСО 80000. Общие физические величины, относящиеся к сфере проектирования строительных конструкций, представлены в
таблицах 2 -
4 настоящего стандарта.
Наименование новой или дольной физической величины может быть выбрано или скомпоновано, например, посредством комбинирования уже существующего наименования физической величины с иными терминологическими элементами.
Некоторые рекомендации по использованию таких терминов, как коэффициент, фактор, параметр, номер, отношение, уровень и константа, приведены в ИСО 80000-1.
Пример 1 <*> Однословные наименования физических величин: площадь, толщина, сила, прочность, коэффициент и др.
--------------------------------
<*> Для целей настоящего стандарта и в связи с необходимостью точного отображения обозначений физических величин в примерах не использован полужирный курсив, которым в соответствии с ГОСТ 1.5-2001
(пункт 4.11.2) в стандартах выделяют примеры.
Пример 2 - Сочетание одного из вышеперечисленных терминов с другими терминологическими элементами:
- максимальная площадь, номинальная толщина фланца, расчетная величина усилия;
- допустимая прочность древесины в направлении x, коэффициент трения и др.
3.2.2 Обозначения
В отношении формирования и написания обозначений действуют следующие правила.
3.2.2.1 Обозначение физической величины представляет собой однобуквенный символ, состоящий из одной буквы, основной элемент которого является курсивным.
Примечание - Существует единственное исключение: характеристическое число оформляют двумя символами, как указано в ИСО 80000-11.
3.2.2.2 Базовый элемент обозначения может быть оформлен строчной или прописной буквой латинского или греческого алфавита (см.
таблицы 2 -
4). В большинстве случаев выбор базового элемента обозначения физической величины осуществляют с учетом ее размерности или главной сферы применения, как показано ниже в
таблице 1. Размерность или главная сфера применения для физических величин, не включенных в
таблицу 1, должны соответствовать ближайшей подходящей категории из представленного списка.
3.2.2.3 Базовое обозначение можно изменять путем добавления к нему одного или нескольких подстрочных индексов либо указателей (а иногда и надстрочных индексов), создавая таким образом сложное обозначение.
3.2.2.4 Указатели и нижние индексы могут представлять собой буквы, цифры и графические знаки с использованием прямого латинского шрифта. Если базовое обозначение физической величины снабжено нижним индексом или указателем, то оно оформляется курсивным шрифтом. Несколько типов нижних индексов и указателей приведены в
таблицах 5 -
10.
3.2.2.5 Нижний индекс или указатель помещается справа в нижней части базового обозначения. Если нижних (реже - верхних) индексов или указателей несколько, то их следует разделять точкой с запятой. При обеспечении надлежащей разборчивости шрифта небольшого размера допускается использование в качестве разделителя индексов знака пробела или запятой. Для индекса, состоящего просто из двух или трех символов, допускается не использовать никаких разделителей.
Примечание - Индексы могут располагаться также вверху справа от базового обозначения или в других позициях. Однако обычно такие позиции резервируются для других задач.
Примеры
Fext | внешняя сила (external force); |
Knom | номинальная величина момента внешних сил [nominal (value of) external couple]; |
NX, VY, VZ | нормальное и сдвигающее усилия в поперечном сечении балки (normal and shear forces in a cross-section of a beam); |
My, Mz, Tx | изгибающий и крутящий моменты в поперечном сечении балки (bending and torsional moments in a cross-section of a beam); |
mXX, mYY, mXY | внутренние изгибающий и крутящий моменты по длине пластины или оболочки (internal bending and torsional moments per length in a plate or shell); |
wser | предельная деформация (по предельному состоянию эксплуатационной пригодности) [service-ability limit (state) of deflection]; |
fu | предел прочности [ultimate limit (state) of strength]; |
| обобщенные двухмерное нормальное и срезающее усилия (two-dimensional normal and shear strains in general); |
YR | частный коэффициент влияния свойств материала, геометрии конструкции и воздействий на сопротивление конструкции (partial factor for the transfer of material properties, geometry of structure and actions into resistance of structure); |
Ys | частный коэффициент влияния возмущающих воздействий, геометрии конструкции и свойств материала на реакцию строительной конструкции (partial factor for the transfer of actions, geometry of structure and material properties into response of structure); |
vsat | влажность на единицу объема при насыщении (humidity per volume at saturation). |
3.2.2.6 В случае использования нескольких нижних индексов или указателей они записываются справа налево, как показано ниже (при необходимости те же самые релевантные правила могут быть применены к верхним индексам).
Общий формат представления (где K - базовое обозначение физической величины, а обозначения от vi до i - нижние индексы):
Kvi;v;iv;iii;ii;i
индекс i): | | подстрочные индексы или указатели, связанные с вероятностными методами анализа и проектирования и методом факторного эксперимента. |
Примеры | | rep(resentative), nom(inal), k (characteristic), d(esign) (репрезентативный, номинальный, характеристический, расчетный); |
индекс ii): | | подстрочные индексы или указатели различных типов предельного состояния. |
Примеры | | u(ltimate), ser(viceability), fat(igue), fi(re) (конечный, эксплуатационный, усталостный, огневой); |
индекс iii): | | подстрочные индексы или указатели различных аспектов. |
Примеры | | g(uaranteed), max(imum), obs(erved), i, j (порядковые номера) (гарантированный, максимальный, наблюдаемый); |
индекс iv): | | подстрочные индексы или указатели базовых переменных и функционалов характеристики. Предпочтительный порядок следования: сначала индексы "S", "s" и "R", "r", а затем другие индексы iv). |
Примеры | | |
Базовые переменные: | | |
F: f | | любое воздействие, конкретная нагрузка: a(ccidental), g (permanent), sn(ow) (аварийная, постоянная, снеговая и др.); |
GE: ge | | общая геометрия конструкции; |
M: m | | общее свойство материала, el(asticity), cr(eepiness), etc. (упругость, ползучесть и др.) |
Представление функционалов:
S: s - ответная реакция конструкции, результат воздействий, влияние воздействий, последействие, dyn(amical), sli(ding) и т.д. (динамическая, скольжение и др.).
Примечание - Иногда вместо обозначения S используют обозначение E, например, в числах еврокодов и ошибочно - в ИСО 22111:2007;
R: r - сопротивление конструкции, грузоподъемность, frac(tional), fat(igue) и т.д. (частичный, усталостный и др.).
индекс v): нижние индексы и указатели, относящиеся к месту (1) и направлению (2).
Пример 1 - Сочленение, узел, точка, фундамент: A, B, C, ..., a, b, c, ..., 1, 2, 3,... и др.
Пример 2 - x, y, z, // и др.;
индекс vi): нижние индексы и указатели, относящиеся к типам материалов.
Примеры - c(oncrete), ma(sonry) и т.д. [бетон, кирпичная кладка и др.].
3.2.2.7 Если в результате присваивания нижних индексов и указателей от i до vi (или верхних индексов) размерность исходной физической величины не изменяется и <K> = <Kindex>, то такие нижние индексы и указатели (или верхние индексы) называются дескриптивными.
3.2.2.8 При написании составного обозначения точка в его конце не ставится (за исключением положенной по правилам пунктуации).
Примеры
Физические величины с однословными наименованиями | Обозначения |
area [площадь] | A |
thickness [толщина] | t |
force [усилие] | F |
strength [прочность] | f |
factor [коэффициент] | |
Физические величины с многословными наименованиями | Обозначения |
maximum area [максимальная площадь] | Amax |
nominal thickness of a flange [номинальная толщина фланца] | tfl;nom |
design (value of a) force [расчетное значение силы] | Fd |
admissible (value of the) strength of wood in direction x [допустимая прочность древесины в направлении x] | fti;xx;adm |
friction factor [коэффициент трения] | |
Примечание - Для соблюдения правил наименования общих величин следует обращаться к
А.4.3, приложение А.
3.3 Правила формирования и написания наименований и обозначений величин
Примечание - В настоящем стандарте приняты правила наименования величин Международной системы единиц СИ (SI).
3.3.1 Наименования
Все наименования представлены в ИСО 80000-1; наименования записывают строчными буквами.
Примеры
базовые единицы (7): | метр, килограмм, секунда, ампер, кельвин, моль и кандела (metre, kilogram, second, ampere, kelvin, mole, candela); |
производные единицы (18 + 3): | ньютон, паскаль, радиан и др. (newton, pascal, radian, etc.); |
префиксы кратных и дольных единиц (20): | кратные: мегапаскаль и др.; дольные: миллиметр и др. [(multiple:) megapascal, etc.; (sub-multiple:) millimetre, etc.]; |
составные единицы: | ньютон на метр, метр в секунду и др. (newtonmetre, metre per second, etc.) |
3.3.2 Обозначения
Обозначение физической единицы представляет собой одно (базовое) обозначение или несколько последовательных обозначений, преимущественно латинского алфавита нижнего и/или верхнего регистра, как правило отображаемых прямым шрифтом типа Roman, строчными или прописными буквами (независимо от гарнитуры шрифта остального текста).
Примеры - м, К, кг, с, Н, Па, рад, МПа, мм и т.п.
При этом не допускается использование подстрочных и надстрочных индексов.
В обозначении составной физической единицы знак умножения отображается одиночным пробелом или точкой на средней линии, а знак деления может быть представлен наклонной чертой (/).
Примеры - Н-м или Н·м, м/с или м·с-1.
Составное обозначение записывают без точки в конце (за исключением положенной по общим правилам пунктуации) и помещают через пробел сразу после численного значения.
Пример - F = 10,8 кН.
3.4 Дополнительные правила формирования обозначений
3.4.1 Обозначения физических величин
3.4.1.1 Нижние индексы и указатели
В большинстве случаев нижний индекс или указатель может быть выбран в
таблицах 5 -
11. Если используют другие нижние индексы/указатели (или верхние индексы), то должно быть четко указано их смысловое содержание.
3.4.1.2 Меры предосторожности
Для предотвращения неоднозначного прочтения символов необходимо соблюдать следующие условия:
- в тех случаях, когда возможна путаница в восприятии символа 1 (отображающего число) и строчной буквы l, следует использовать для буквы символ L или L;
- не следует использовать латинскую прописную букву O в качестве базового символа, так как ее можно спутать с числом 0 (нуль). Однако строчную букву o допускается использовать в качестве нижнего индекса/указателя со смысловым значением числа 0;
- греческие строчные буквы "йота" (

), "омикрон" (

) и "ипсилон" (

) не допускается использовать из-за возможности спутать их с различными буквами латинского алфавита. По той же причине рекомендуется избегать, насколько это возможно, применения греческих строчных букв "каппа" (

) и "хи" (

)
. Если используются греческие строчные буквы "эта" (

)
, "мю" (

) и "омега" (

)
, то необходимо тщательно следить за их написанием, чтобы не путать их со строчными буквами латинского алфавита
n, u и
w.
3.4.2 Нижние индексы и указатели, расширяющие базовое обозначение
В противоположность дескриптивным (описательным) нижним индексам/указателям при применении так называемых "нижних индексов/указателей, расширяющих базовое обозначение" ["kernel-extending-subscript/index" (k-e-индекс)] размерность (исходной) физической величины будет несколько меняться. Порядок расположения обоих типов нижних индексов/указателей будет таким, как показано ниже (при этом один тип отделяется от другого прямой вертикальной чертой "|"):
Кk-e-index|descriptive indices
или
Кk-e-index|vi;v;iv;iii;ii;i
Расширяющий индекс может относиться к одному из типов от vi до i, и в случае нескольких k-e-индексов порядок их следования должен соответствовать требованиям
3.2.2.6.
Пример - В результате использования дескриптивных нижних индексов/указателей размерность исходной физической величины
X не изменяется и <
X> = <
X|vi;...;i>. Однако в частных случаях размерность величины <
Xindex|> будет (в какой-то степени) меняться так, что <
X>

<
X|vi;...;i>.
Можно сравнить, например, следующие исходные физические величины X с их частными случаями Xindex:
"сила" (X) и "сила на единицу площади" (Xindex) или "количество" (X) и "количество за год" (Xindex).
В некоторых ситуациях для частного случая той или иной физической величины в рамках настоящего стандарта предлагается новое базовое обозначение; например, обозначениями физической величины "сила" могут быть F при [F] = N, а обозначением физической величины "сила на единицу площади" - p при [p] = Н/м2.
Однако в других случаях исходное базовое обозначение может изменяться и/или расширяться только с помощью "нижних индексов/указателей, расширяющих базовое обозначение": обозначение физической величины "количество" - n при [n] = 1 и обозначение физической величины "количество за год" - na| при [na|] = 1/год.
В последнем примере нижний индекс/указатель "a" является "расширяющим базовым обозначением", а составное обозначение "na" можно рассматривать как новое базовое обозначение.
3.5.1 Структура таблиц настоящего стандарта
3.5.1.1 Типы алфавитов, используемые в проектировании строительных конструкций (см.
таблицу 1)
Таблица 1 состоит из трех граф: в первой графе приведены различные типы алфавитов (с указанием обозначений верхнего и нижнего регистров), вторая графа содержит соответствующие приведенным обозначениям размерности и в третьей графе даются общие примеры и рекомендации по использованию физических величин указанной размерности.
3.5.1.2
Таблицы 2 -
4, содержащие перечни физических величин
Приведенные в настоящем стандарте таблицы физических величин и их единиц измерения (
таблицы 2 -
4) согласно требованиям серии стандартов ИСО 80000 содержат в первых пяти графах наименования физических величин, а в шестой - восьмой графах - единицы измерения соответствующих величин. Обозначения физических величин и связанные с ними обозначения и единицы измерения отвечают требованиям ИСО 80000-3 и ИСО 80000-4.
Примечание - В стандартах серии ИСО 80000 указанные данные расположены на разворотах страниц.
Все единицы, находящиеся между двумя сплошными линиями на правой половине, относятся к физическим величинам, расположенным между двумя сплошными линиями на левой половине страницы.
В каждой таблице обозначения физических величин (представленные в строках) располагаются в алфавитном порядке используемого алфавита.
Первая цифра нумерации элементов соответствует номеру таблицы.
Представленные в настоящем стандарте таблицы индексов (
таблицы 5 -
10) состоят из двух граф: левая содержит обозначения (состоящие из одного или нескольких следующих друг за другом отдельных буквенных символов), а в правой графе приведены смысловые значения используемого индекса.
Таблица 8 состоит из трех граф: первая графа содержит обозначения в виде прописных букв (одной или нескольких, расположенных последовательно), во второй графе приведены строчные буквенные обозначения, а в третьей дано смысловое значение использованного индекса.
Обозначения индексов (размещенные в строках таблицы) в каждой из пяти подграф (трех применительно к базовым переменным и двух применительно к функционалам характеристики) расположены в алфавитном порядке.
3.5.1.4. Таблица математических знаков и графических символов для использования в анализе и расчете строительных конструкций (см.
таблицу 11)
Приведенная в настоящем стандарте таблица математических знаков и графических символов состоит из двух граф: первая графа содержит математические обозначения или графические символы, а вторая - их описания с краткими объяснениями.
3.5.2 Содержание табличных описаний
3.5.2.1 Типы алфавитов, широко используемые в сфере расчета строительных конструкций (см.
таблицу 1)
Данная таблица содержит общие руководящие указания по применению различных типов алфавитов и шрифтов в сочетании с обозначениями в верхнем и нижнем регистрах при формировании обозначений физических величин, как широко используемых, так и новых.
3.5.2.2
Таблицы 2 -
4, содержащие физические величины
В указанных таблицах наименования наиболее важных физических величин общего характера (только на русском и английском языках), используемых в сфере расчета строительных конструкций, приведены вместе с их обозначениями, а в некоторых случаях - с соответствующими определениями. Наименования и обозначения носят рекомендательный характер. Определения даны для удобства идентификации применяемых физических величин.
Указывается также принадлежность физических величин к скалярному или векторному типу, особенно в тех случаях, когда это необходимо для формулирования определений.
В большинстве случаев приведено одно наименование физической величины, но всегда использовано единственное обозначение. Если какая-то физическая величина имеет два наименования и более, и при этом нет никаких особых пояснений, то все такие наименования считаются эквивалентными.
Что касается системы единиц, то в настоящем стандарте использована Международная система единиц СИ (SI), описанная в ИСО 80000-1 (в ряде случаев приведены единицы, не относящиеся к системе СИ, но этот факт конкретно указан в графе "Примечание"). При этом в таблицах физических величин фигурируют только наименования (на русском и английском языках), международные обозначения системы СИ для физических величин и некоторые комментарии.
В указанных таблицах поясняется (только на русском языке) смысловое значение большинства важнейших индексов (в основном нижних) и соответствующих им обозначений. Данные пояснения и обозначения носят рекомендательный характер. Смысловое значение - это "вербальное представление общего понятия в рамках конкретной предметной области" (см. ИСО 1087-1:2000, пункт 3.4.3); при этом определение понятия не приведено и не считается необходимым, поскольку оно самоочевидно (в большинстве случаев).
3.5.2.4 Таблица математических знаков и графических символов для использования в анализе и расчете строительных конструкций (см.
таблицу 11)
Большинство математических знаков и символов, предназначенных для использования в естественных науках и в технике, приведено в ИСО 80000-2. Математические обозначения и графические символы, содержащиеся в
таблице 11, в той или иной мере характерны именно для предметной области анализа и расчета строительных конструкций и потому рассматриваются как подмножество или дополнительный набор элементов системы обозначений множества, представленного в ИСО 80000-2.
Таблица 1
Типы алфавитов и шрифтов (включая строчные и прописные
буквы), широко используемые для формирования обозначений
физических величин в сфере расчетов строительных конструкций
Типы алфавитов и шрифтов в сочетании с символами строчных и прописных букв | Размерность | Основные области применения в расчетах: примеры физических величин |
Прописные буквы латинского шрифта | 1. Сила | 1. Внешние и внутренние силы |
2. Произведение силы на длину | 2. Внешние и внутренние моменты |
3. Длина в степени больше единицы | 3. Площадь, объем, осевой момент сопротивления, первый и второй (осевой/полярный) статические моменты площади |
4. Температура | 4. Температура |
Исключения |
5. Длина | 5. Пролет |
6. Произведение силы на площадь, отнесенное к единице длины | 6. p.q.s относительно упругости материалов |
7. Время | 7. Период, длительность вибраций |
Строчные буквы латинского шрифта | 1. Длина | 1. Линейные размеры (длина, расстояние, смещение и др.) |
2. Расстояние, деленное на время, возведенное в степень | 2. Скорость, ускорение |
3. Усилие на единицу длины, усилие на единицу площади, усилие на единицу объема | 3. Внутренние и внешние усилия на единицу длины, площади или объема, давление, прочность |
4. Сила, умноженная на длину, отнесенная к единице длины | 4. Внутренние моменты, отнесенные к единице длины |
5. Масса | 5. Масса |
6. Сила, отнесенная к единице массы | 6. Ускорение (например, силы тяжести) |
7. Время | 7. Длительность |
8. Время в степени минус единица | 8. Частота |
9. Определенные размеры | 9. Геометрические параметры, коэффициенты (общего вида), прочие пружинные постоянные, статистические величины |
Исключения |
10. Безразмерная величина | 10. Коэффициент (в общем смысле), число |
Прописные буквы греческого шрифта | - | Зарезервированы для обозначения математических и физических величин |
1. Безразмерная величина | 1. Изменение угла, отношение, индекс надежности, (различные) коэффициенты, натяжение, относительные координаты расстояния, гибкость, относительная влажность (воздуха) |
Исключения |
2. Определенная размерность | 2. Угловое ускорение, температурный коэффициент линейного расширения, удельный вес и масса; изменение кривизны, статистические величины, напряжение, угловая скорость, угловая частота |
Таблица 2
Наименования и обозначения физических величин, состоящие
из одной курсивной прописной буквы латинского алфавита
с курсивным начертанием [конкретные совокупности физических
Номер позиции | Физическая величина | Единица измерения |
Наименование | Обозначение | Определение | Примечание | Наименование | Обозначение в системе СИ | Примечание |
2.1.1 | Аварийное воздействие Accidental action | A | - | - | Несколько размерностей |
2.1.2 | Воздействие землетрясения Earthquake action | Aeq (Qeq) | - | - |
2.2 | Площадь Area | A | где x и y - декартовы координаты | площадь элемента поверхности | Квадратный метр | m2 (м2) | - |
- | (Резерв) | B | - | - | - | - | - |
2.3 | (Эмпирическая) константа (Empirical) constant | C | - | - | Наименование [C] | [C] | - |
2.4 | Жесткость при изгибе по длине Flexural rigidity per length | D | - | - | Ньютон-метр | N·m (Н·м) | - |
2.5 | Индекс повреждений/отношение предела выносливости к пределу прочности при растяжении Damage index/ratio of fatigue | D | где ni - число нагрузочных циклов в диапазоне напряжений Si; Ni - число нагрузочных циклов до полного разрушения в диапазоне напряжений Si | - | Единица | 1 | - |
2.6 | Модуль упругости Modulus of elasticity | E | - | - | Паскаль | Pa (Па) | 1 Па = 1 Н/м2 |
2.7 | Математическое ожидание Expectation | E(X) | | X: непрерывная случайная переменная | Наименование [E(X)] | [E(X)] | - |
2.8 | Общее (внешнее) усилие (External) force in general | F | - | - | Ньютон | N | - |
2.9.1 | Обобщенное воздействие, нагружение Action in general, Loadcase | F | - | - | Несколько размерностей |
2.9.2 | Постоянное воздействие Permanent action | G | - | - |
2.9.3 | Собственный вес (воздействие) Self-weight (action) | Gsw | - | - |
2.10 | Геометрия (конструкции) Geometry (of structure) | GE | - | - |
2.11 | Модуль жесткости, модуль сдвига Modulus of rigidity, shear modulus | G | - | - | Паскаль | Pa (Па) | - |
- | (Резерв) | H | - | - | - | - | - |
2.12 | Второй или квадратический осевой момент площади Second or quadratic axial moment of area | I | | rQ, см. ИСО 80000-4 | Метр в четвертой степени | m4 | - |
- | (Резерв) | J | - | - | | | - |
2.13 | Модуль сжатия, модуль объемной упругости Modulus of compression, bulk modulus | K | - | - | Паскаль | Pa | - |
2.14 | (Внешний) момент пары сил (External) moment of a couple | K | - | - | Ньютон-метр | N·m | - |
2.15 | Расстояние, пролет Length, span | L | - | - | Метр | m | - |
2.16.1 | Обобщенный изгибающий момент (Bending) moment in general | M, (Mm) | - | - | Ньютон-метр | N·m | - |
2.16.2 | (Внутренний) момент из-за воздействий (Internal) moment, due to actions | Ms | - | - |
2.16.3 | (Внутренний) момент сопротивления (Internal) moment, by resistance | Mr | - | - |
2.16.4 | (Внутренний) изгибающий момент от воздействий (Internal) bending moment, due to actions | Ms;m | - | - |
2.16.5 | (Внутренний) изгибающий момент сопротивления (Internal) bending moment, by resistance | Mr;m | - | - |
2.17 | Общее свойство материала Material property in general | M | - | - | Несколько размерностей |
2.18.1 | Нормальная обобщенная сила Normal force in general | N | - | - | Ньютон | N | - |
2.18.2 | Нормальная сила воздействий Normal force, due to actions | Ns | - | - |
2.18.3 | Нормальная сила сопротивления Normal force, by resistance | Nr | - | - | - |
- | (Резерв) | O | - | - | | | - |
2.19 | Вероятность Probability | P(A) | 0 <= P(A) <= 1 | A: событие A | Единица | 1 | - |
2.20 | Предварительное напряжение Prestressing force | P | - | - | Ньютон | N | - |
2.21.1 | Временное воздействие Variable action | Q | - | - | Несколько размерностей |
2.21.2 | Воздействие снега Snow action | Qsn | - | - |
2.21.3 | Воздействие ветра Wind action | Qw | - | - |
2.22 | Сопротивление, нагрузочная способность Resistance, capacity | R | - | - |
2.23 | Реакция <а>, последствие или результат воздействий, действие - результат (или принудительное воздействие) Response, sequel or effect of action(s), Action-effect (or solicitation) | S | - | - |
2.24 | Линейный (осевой) момент площади (статический момент) Linear (axial) moment of area (static moment) | S | | rQ см. в ИСО 80000-4 | Кубический метр | m3 (м3) | - |
2.25 | Период Period | T | Длительность одного цикла | - | Секунда | s (с) | - |
2.26 | Базовый период Reference period | Tref | Выбранная длительность жизненного цикла конструкции | - | Год | a (г) | Единица, не входящая в СИ: a = 32406 с |
2.27 | Температура Temperature | T | - | - | Кельвин | K | - |
2.28.1 | Обобщенный крутящий/скручивающий момент Torsional/twisting moment in general | T (Mt) | - | - | Ньютон-метр | N-m (Н-м) | - |
2.28.2 | (Внутренний) крутящий или скручивающий момент от воздействий (Internal) torsional or twisting moment, due to actions | T, (Ms;t) | - | - |
2.28.3 | (Внутренний) крутящий или скручивающий момент сопротивления (Internal) torsional or twisting moment, by resistance | T, (Mr,t) | - | - |
2.29.1 | Обобщенная сдвигающая сила Shear force in general | V | - | - | Ньютон | N | - |
2.29.2 | Сдвигающая сила от воздействий Shear force, due to actions | Vs | - | - |
2.29.3 | Сила противодействия сдвигу Shear force, by resistance | Vr | - | - | Ньютон | N | - |
2.30 | Объем Volume | V | где x, y и z - декартовы координаты | - | - | - | - |
2.31 | Коэффициент вариации Factor of variation | V | - | - | Единица | 1 | - |
2.32 | Осевой момент сопротивления Section modulus | W | W = l/r | - | Кубический метр | m3 | - |
2.33 | Обобщенная физическая величина Physical quantity in general | X | | - | Наименование [X] | [X] | - |
2.34 | Базовая переменная или обобщенный функционал характеристики Basic variable or performance functional in general | X | - | - | Несколько размерностей |
- | (Резерв) | Y | - | - | - | - | - |
- | (Резерв) | Z | - | - | - | - | - |
<а> См. примечание в 3.2.2.6: функционалы характеристик |
Таблица 3
Наименования и обозначения физических величин, состоящие
из курсивной строчной буквы латинского алфавита [конкретные
совокупности физических величин выделяются шрифтом Roman
Номер позиции | Физическая величина | Единицы измерения |
Наименование | Обозначение | Определение | Примечание | Наименование | Обозначение в системе СИ | Примечание |
3.1 | Ускорение Acceleration | a, (a) | a = dv/dt | - | Метр на секунду в квадрате | m/s2 | - |
3.2 | Расстояние Distance | a | - | - | Метр | м | - |
3.3 | Геометрический параметр Geometrical parameter | a | - | - | [a] | [a] | - |
3.4 | Ширина охвата, ширина Breadth, width | b | - | - | Метр | м | - |
- | (Резерв) | c | - | - | - | - | - |
3.5.1 | Глубина Depth | d | - | - | Метр | м | - |
3.5.2 | Диаметр Diameter | d | - | - |
3.5.3 | Эксцентриситет Eccentricity | e | - | - |
3.6 | Сила на единицу объема Force per volume | f | f = dF/dV | - | Ньютон на кубический метр | Н/м3 | - |
3.7 | Частота Frequency | f | f = 1/T | - | Герц | ГЦ | 1 Гц = 1/с |
3.8.1 | Прочность Strength | f | - | | Ньютон на квадратный метр | Н/м2 | - |
3.8.2 | Распределенная постоянная нагрузка Distributed permanent load | g | - | Собственный вес |
3.9 | (Локальное) ускорение свободного падения <а>(Local) acceleration of free fall | g | - | Стандартное ускорение свободного падения: gn = 9,80665 м/с2 | Метр на секунду в квадрате | м/с2 | - |
3.10 | Сила поля тяготения Gravitational field strength | gY | gY = G·m/r2 | G (гравитационная постоянная) = 6,6742(10)·10-11 Н·м2/кг2 | Ньютон на килограмм | Н/кг | - |
3.11.1 | Высота Height | h | - | - | Метр | м | - |
3.11.2 | Толщина Thickness | h | - | См. 3.26.2 |
3.11.3 | Радиус вращения Radius of gyration | i | | - |
3.13 | Коэффициент Coefficient | k | - | - | [k] | [ k]  1 | - |
3.14 | Коэффициент Factor | k | - | - | Единица | 1 | - |
3.15 | Коэффициент упругости основания Bedding spring coefficient | k | - | - | Ньютон на кубический метр | Н/м3 | - |
3.16 | Расстояние между опорами, пролет <b>Length, span | l | - | См. 3.4.1.2 | Метр | м | - |
3.17 | Масса Mass | m | - | - | Килограмм | кг | - |
3.18 | Внутренний момент на единицу длины (изгибающий и крутящий) Internal moment per length (bending and torsional moment) | m | - | В пластинах и стержнях: mxx, mxy, тyy | Ньютонометр на метр | Н·м/м | - |
3.19 | Среднее (арифметическое) выборки (Arithmetic) mean of a sample | - | - | - | - | - | - |
3.20 | Число Number | n | - | - | Единица | 1 | - |
3.21 | Внутренняя сила на единицу длины Internal force per length (normal and shear force) | n | - | В пластинах и стержнях: nxx, nxy, nyy | Ньютон на метр | Н/м | - |
- | (Резерв) | o | - | - | | | - |
3.22.1 | Сила на единицу площади Force per area | p | p = dF/dA | - | Ньютон на квадратный метр = паскаль | Н/м2 | - |
3.22.2 | Давление Pressure | p | - | - |
3.22.3 | Распределенная переменная нагрузка Distributed variable load | q | - | Например, qw - ветровая нагрузка |
3.23 | Сила на единицу длины Force per length | q | q = dF/ds | - | Ньютон на метр | Н/м | - |
3.24 | Радиус Radius | r (r) | r = (x, y, z) | - | Метр | м | - |
3.25 | Стандартное отклонение выборки Standard deviation of a sample | s | - | - | [s] | [с] | - |
3.26.1 | Участок, длина пути Length of path | s | - | - | Метр | м | - |
3.26.2 | Толщина (тонких слоев) Thickness (of thin layers) | t | - | В пластинах и стержнях | - | - | - |
3.27 | Время Time | t | - | - | Секунда | с | - |
3.28 | Длительность Duration | | - | - | [t] | min, h, d, a (год) | Единицы, не входящие в СИ: 1 мин. = 60 с; 1 ч = 3600 с; 1 сут. = 86400 с |
3.29.1 | Периметр Perimeter | u | - | - | Метр | м | - |
3.29.2 | (Горизонтальный) сдвиг (точки), качание (Horizontal) displacement (of a point), sway | u, [u] | u = [ux, uy, uz) | - | - | - | - |
3.29.3 | Перемещение твердого тела Translation of a rigid body | u | | - | - | - | - |
3.30 | Скорость Velocity | v, (v) | v = du/dt = dw/dt | - | Метр в секунду | м/с | - |
3.31.1 | (Вертикальное) перемещение (точки), отклонение (Vertical) displacement (of a point), deflection | w, (w) | w = (wx, wy, wz) | - | Метр | м | - |
3.31.2 | Координаты отрезков, декартовы координаты | x, y, z | - | - | - | - | - |
3.31.3 | Плечо рычага Lever arm | z, (y) | - | - | - | - | - |
<a> К сожалению, во многих публикациях используют наименование "ускорение силы тяжести". <b> Можно заменить символами L или l, чтобы не перепутать с числом 1 |
Таблица 4
Наименования и обозначения физических величин, образуемые
одной курсивной строчной буквой греческого алфавита
[конкретные совокупности физических величин выделяются
Номер позиции | Физическая величина | Единица измерения |
Наименование | Обозначение | Определение | Примечание | Наименование | Обозначение в системе СИ | Примечание |
| Угол (плоский) Angle (plane) | | где s - длина прилегающей дуги окружности, заключенной между двумя радиусами; r - радиус окружности | - | Единица или радиан | 1 или рад (rad) | 1 рад = м/м = 1 |
4.2 | Угловое ускорение Angular acceleration | | | - | Радиан на секунду в квадрате | рад/с2 (rad/s2) | - |
4.3 | Температурный коэффициент линейного расширения Linear expansion coefficient | | | - | Кельвин в степени минус единица | 1/K | - |
4.4.1 | Отношение Ratio | | - | - | Единица | 1 | - |
4.4.2 | Коэффициент чувствительности по методу FORM или коэффициент разделения FORM sensitivity factor, or separation factor | | - | FORM (First Order Reliability Method) метод надежности первого порядка |
4.5 | Угол (плоский) Angle (plane) | | - | | Единица или радиан | 1 или рад | - |
4.6.1 | Отношение Ratio | | - | | Единица | 1 | - |
4.6.2 | Индекс надежности Reliability index | | - | |
4.7 | Угол сдвига (плоский) (Shear) angle (plane) | | - | | Единица или радиан | 1 или рад | - |
4.8 | Коэффициент надежности, частный коэффициент Factor in reliability analysis, partial factor | | - | | Единица | 1 | - |
4.9 | Вес на единицу объема, интенсивность нагрузки Weight per volume, weight density | | | - | Ньютон на кубический метр | Н/м3 | - |
- | (Резерв) | | - | | - | - | - |
4.10.1 | (Линейное) напряжение (относительное удлинение) (Linear) strain (relative elongation) | | где  - увеличение длины (удлинение); lo - исходная длина | - | Единица | 1 | - |
| Деформация (относительное удлинение и сдвиг) Strain (normal and shear) | | - | Двухмерная: или | Единица | 1 | |
4.10.3 | Относительная координата Relative coordinate | | | - |
4.10.4 | Обобщенное отношение Atio in general | | - | Например, относительное демпфирование | Единица | 1 | - |
4.10.5 | Объемная деформация Volumetric strain | | где:  - увеличение объема; V0 - исходный объем | - |
4.10.6 | Относительная координата Relative coordinate | | | - |
4.10.7 | Переводной коэффициент Conversion factor | | - | |
4.11.1 | Угол (плоский) Angle (plane) | | - | | Единица или радиан | 1 или рад | - |
4.11.2 | Изменение (величины) угла (из-за крутящего момента) Change (in size) of angle (due to a torsional moment) | | - | - |
4.12 | Неопределенность моделирования Uncertainty of model(ing) | | - | | Единица | 1 | - |
- | (резерв) | l | - | - | - | - | - |
4.13.1 | Кривизна Curvature | | | - | Метр в степени минус единица | м-1 | - |
4.13.2 | Изменение кривизны Change of curvature | | - | - |
4.14.1 | Гибкость Slenderness | | lbuc/i | - | Единица | 1 | - |
4.14.2 | Поправочный коэффициент (Correction) factor | | | - |
4.14.3 | (Статический) коэффициент трения (Static) factor of friction | | | - |
4.15 | Среднее (арифметическое) значение генеральной совокупности (Arithmetic) mean of a population as a whole | | - | - | Наименование величины  | | - |
4.16 | Среднее (арифметическое) значение генеральной совокупности (Arithmetic) mean of a population as a whole | | - | - | Несколько размерностей | - | - |
4.17 | Коэффициент Пуассона Poisson's ratio | v,  | - | - | Единица | 1 | - |
4.18 | Влажность, отнесенная к единице объема Humidity per volume | u | - | - | Килограмм на кубический метр | кг/м3 | - |
4.19 | Относительная координата Relative coordinate | | | - | Единица | 1 | - |
- | (Резерв) | | - | - | - | - | - |
- | (Резерв) | | - | | - | - | - |
4.20 | (Массовая) плотность, масса на единицу объема (Mass) density, mass per volume | | | - | Килограмм на кубический метр | кг/м3 | - |
4.21 | Стандартное отклонение генеральной совокупности Standard deviation of a population as a whole | | - | - | Наименование величины [  ] | - | - |
4.22 | Стандартное отклонение генеральной совокупности Standard deviation of a population as a whole | | - | - | Несколько размерностей |
4.23.1 | (Нормальное) напряжение (Normal) stress | | | Две размерности:  или | Паскаль | Па | 1 Па = 1 Н/м2 |
4.23.2 | Напряжение сдвига (Shear) stress | | - |
4.24.1 | Угол (плоский) Angle (plane) | | - | | Единица или радиан | 1 или рад | - |
4.24.2 | Изменение (величины) угла (из-за изгибающего момента и сдвигающей силы) Change (in size) of angle (due to a bending moment and shear force) | | - | - |
4.25 | Угол (внутреннего) трения Angle of (internal) friction | | - | - | Десятичный градус | ...° | Единица, не входящая в систему СИ |
4.26 | Вращение твердого тела Rotation of a rigid body | | - | - | Радиан | рад | 1 рад = м/м = 1 |
- | (резерв) | | - | - | | | |
4.27.1 | Коэффициент сочетания для временного воздействия Combination factor of a variable action | | - | | Единица | 1 | - |
4.27.2 | Пониженный коэффициент для временного воздействия Frequent factor of a variable action | | - |
4.27.3 | Длительный коэффициент для временного воздействия Quasi-permanent factor of a variable action | | - |
4.27.4 | Относительная влажность Relative humidity | | | Фактическая влажность на единицу объема (v), отнесенная к влажности на единицу объема в состоянии насыщения (vsat), при одинаковой температуре | Единица | 1 | - |
4.28.1 | Угловая частота Angular frequency | | | - | Радиан в секунду | рад/с | - |
4.28.2 | Угловая скорость Angular velocity | | | - |
4.29 | Коэффициент прогиба Buckling factor | | - | - | Единица | 1 | - |
Таблица 5
Индексы типа i) - индексы, относящиеся к вероятностным
методам и методу частичного факторного эксперимента
в анализе и расчете и представляемые одним символом или
цепочкой строчных букв латинского алфавита типа Roman
Обозначение | Смысловое значение |
- | Текущее (или истинное) значение |
d | Расчетное значение |
d-inf | Подстрочный индекс/проектная нижняя граница |
d-sup | Надстрочный индекс/проектная верхняя граница |
k | Характеристическое значение |
k-inf | Подстрочный индекс/индекс нижней границы |
k-sup | Надстрочный индекс/индекс верхней границы |
m | Среднее или усредненное значение |
nom | Номинальное значение |
rep | Репрезентативное значение |
Таблица 6
Индексы типа ii) - индексы, относящиеся к типам предельных
значений и представляемые одним символом или цепочкой
строчных букв латинского алфавита типа Roman
Обозначение | |
dur | Durability (DuLS) - износоустойчивость |
fat | Fatigue (FaLS) - усталость |
fi | Fire (FiLS) - огнеопасность |
ser | Serviceability (SLS) - ремонтопригодность |
u | Ultimate/structural failure (ULS) - предел/разрушение конструкции |
<a> Сокращения, указанные в скобках, используются или могут использоваться в описательных текстах как акронимы. Сокращение "LS" означает Limit State (предельное состояние) |
Таблица 7
Индексы типа iii) - (все прочие) индексы, относящиеся
к различным аспектам и представляемые одним символом или
цепочкой строчных букв латинского алфавита типа Roman
(в обоих случаях - курсивные)
| Смысловое значение |
Индексы, представляемые шрифтом Roman |
abs | absolute - абсолютный |
add | additional - дополнительный |
| admissible - допустимый |
act | active - активный, действующий |
cal | calculated - расчетный |
comp | comparative - сравнительный |
con | constant, invariable - постоянный, неизменяемый |
dir | direct - прямой |
ef (eff) | effective - эффективный |
eqv | equivalent - эквивалентный |
est | estimated - оценочный |
Индексы, представляемые шрифтом Roman |
exc | exceptional - исключительный |
exe | executional - исполнительный, исполняемый |
exp | experimental, exposure - экспериментальный, подвергаемый воздействию |
fix | fixed - закрепленный, фиксированный |
fla | flame - огневой, пламенный |
fl | flange (of a beam) - фланцевый (о балке) |
fund | fundamental - основной, фундаментальный |
g (gua) | guaranteed, safeguarded - гарантированный, защищенный |
i (init) | initial - исходный, начальный |
inc | incidental - случайный, аварийный |
ind | indirect - непрямой, косвенный |
lg | long - длинный |
lgt | long term - долгосрочный |
ls | limit state - предельное состояние |
max | maximum, peak - максимальный, пиковый |
mea | measured - измеренный |
min | minimum - минимальный |
n, (net) | net(to) - нетто |
obs | observed - наблюдаемый |
ori | original - оригинальный, первичный |
pas | passive - пассивный, неактивный |
pro | provisional - предполагаемый |
red | reduced - сокращенный, уменьшенный |
ref | reference - опорный, эталонный |
rel | relative - относительный |
req | required - требуемый |
rsi | residual - остаточный |
sh | short - короткий |
sht | short term, brief - краткосрочный, краткий |
sit | situation, site - ситуационный, местный |
suc | suction - всасывающий |
sur | survival - живучий; долговечный |
tar | target (value of) - целевой (о требуемом значении) |
th (theo) | theoretical - теоретический |
tot | total - общий, суммарный, итоговый |
Индексы, представляемые шрифтом Roman |
var | variable - переменный |
w (web) | web (of a beam) - ребро (балки) |
Индексы с курсивным начертанием |
i.i | ordinal number, number of... - порядковый номер, номер позиции |
<a> При определении сокращений, отсутствующих в настоящей таблице, рекомендуется использовать начальные символы английского термина. <b> Определение "admissible" применительно к допустимому значению часто обозначалось знаком черты над обозначением величины, однако вместо этого лучше использовать нижний индекс "adm": например,  |
Таблица 8
Индексы типа iv) - индексы
<a>, относящиеся к основным
переменным и функционалам характеристик и представляемые
одним символом или цепочкой строчных (и прописных)
букв латинского алфавита типа Roman
Обозначение | Смысловое значение |
Прописная(ые) буква(ы) | Строчная(ые) буква(ы) |
Индексы, относящиеся к базовой переменной F |
F | f | action in general, loadcase - обобщенное воздействие, случай нагружения |
Индексы, относящиеся к трем типам обобщенных воздействий |
A | a | accidental - аварийное |
G | g | permanent - постоянное |
Q | q | variable - временное |
Индексы, указывающие на источник обобщенного воздействия |
| av | avalanche, snowslide - обвал снега, снежная лавина |
| ea | earth, ground/soil (mud-current) - земляной поток, оползень, сель |
| sw | self-weight - собственный вес |
| eq | earthquake, seismic activity - землетрясение, сейсмическая активность |
| ex | explosion - взрыв |
| fi | fire, deflagration - возгорание, дефлаграция (распространение пламени) |
| hur | hurricane, tornado - ураган, торнадо |
| ice | ice, iceing - лед, обледенение |
| im | impact, shock, collision, crash - ударное воздействие, удар, столкновение, авария |
| liq | liquid/fluid - жидкость, флюид |
| p (pr) | pressure, pressurizing, in/deflation - давление, прессование; накачка/откачка |
| p (pre) | pretensioning, prestressing - преднапряжение, натяжение |
| rai | (heavy) rain(fall), tropical rains - интенсивный дождь, тропические ливни |
| sn | snow(fall) - снег, снегопад |
| t (tem) | temperature (fluctuation, gradient) - температурное воздействие (температурные колебания, перепад температур) |
| t (traf) | traffic, truck - транспортирование, перевозка |
| wav | (tidal) waves, swell, tsunami - (приливные) волны, повышение уровня воды, цунами |
| w | wind, storm, gale, cycloon/typhoon - ветер, шторм, буря, циклон/тайфун |
| wa | groundwater, water (current), stormtide (flood/surge) - грунтовые воды, водный поток, штормовая волна (наводнение, паводочная волна) |
Индексы, относящиеся к базовой переменной GE |
GE | ge | geometry of structure in general - обобщенная геометрия конструкции |
Индексы, относящиеся к базовой переменной M |
M | m (mat) | material property in general - обобщенное свойство материала |
Индексы, относящиеся к различным аспектам и типам свойств материала |
| a (abs) | absorptiveness - поглощательная способность |
| age | |
| b (bon) | adhesiveness (bond) - адгезионная способность (вяжущая способность) |
| brit | brittleness - хрупкость |
| c (com) | |
| cli | climatic(ally), (deteriorative, erosive) - климатический (подверженный ухудшению характеристик, эрозивный) |
| coh | cohesiveness - сцепляемость, связность |
| cond | conductivity - проводимость |
| cons | consolidation <b> (of soil) - уплотнение (почвы) |
| cor | corrosiveness - коррозионная активность, агрессивность |
| cr | creepiness - ползучесть |
| dam | damping capacity - демпфирующая способность |
| det | deteriorativeness - подверженность износу |
| duc | ductility - вязкость, тягучесть |
| dur | durability - износоустойчивость |
| dyn | dynamic(ally) - динамически(й) |
| el | elasticity - эластичность, упругость |
| env | environmentally, (deteriorative, erosive) - влияние на окружающую среду (вредоносный, эрозивный) |
| f (fail) | failure - повреждение, неисправность |
| fat | |
| frac | fracture - разрыв, трещина, излом |
| fric | |
| gr ag | grain, aggregate - зерно заполнителя |
| grad | (temperature-)gradient <b> - градиент, перепад (температур) |
| iner | inertness - инертность, нечувствительность |
| pl | plasticity - пластичность |
| r (rlax) | relaxation <b> - релаксация |
| rpl | rigid-plastic(ally) - жесткопластичный |
| rup | rupture - разрыв |
| sat | saturation <b> - насыщение |
| shr | |
| st (stat) | static(ally) - статический |
| t (temp) | temperature-dependant - температурозависимый |
| t (ten) | (ex)tension(ing) <b> - натяжение, растяжение, растягивание, удлинение |
| t (tim) | time-dependant - зависящий от времени |
| t (tor) | torsion, twis <b> - кручение, скручивание |
| tou | toughness - ударная вязкость |
| v | shear(ing) <b> - срез, сдвиг |
| y (yie) | yieldingness - оседание, осадка |
Индексы, относящиеся к функционалу характеристики S |
S | s | response of structure, sequel or effect of action(s), action-effect - характеристика конструкции, последствия или эффект воздействий, действие - результат |
Индексы, относящиеся к элементарной реакции конструкции |
| buc | buckling - прогиб |
| c (com) | compression - сжатие |
| m | bending - изгиб |
| t (ten) | (ex)tension - растяжение |
| t (tor) | torsion - кручение |
| v | shear - сдвиг |
| war | distortion (warping) - деформирование (коробление) |
Индексы, относящиеся к аспектам сложной реакции конструкции |
| cons | consolidation - уплотнение, консолидация |
| cyc | cyclical - циклический |
| dyn | dynamical - динамический |
| ext | external - внешний |
| extr | extreme - экстремальный |
| flu | flutter - флаттер, пульсация |
| geo | geotechnical - геотехнический |
| int | internal - внутренний |
| r (flax) | relaxation - релаксация |
| sat | saturation - насыщение |
| sli | sliding - надвижка методом скольжения |
| st, (stat) | statical - статический |
| sup | support - опора, подпорка |
| vib | vibration - вибрация |
Индексы, относящиеся к функционалу характеристики R |
R | r | resistance, capacity of structure - сопротивление, грузоподъемность конструкции |
Индексы, относящиеся к условиям функционирования (предельные состояния -> индекс типа ii) |
| dur | durability - износоустойчивость |
| fat | fatigue - усталость |
| fi | fire - пожароопасность |
| ser | serviceability - ремонтопригодность |
| u | ultimate - предел разрушения |
Индексы, относящиеся к различным аспектам и типам сопротивления конструкции |
| a (abs) | absorptive - поглощающий, абсорбирующий |
| b (bon) | adhesive (bond) - адгезионный, связывающий |
| buc | buckling - прогиб |
| c (col) | collapse - обрушение |
| c (com) | compressive - компрессионный, сжимающий |
| cr (crit) | critical - критический |
| det | deteriorative - изнашивающийся |
| dis | dissipative - диссипативный, рассеивающий |
| dst | destabilizing - дестабилизирующий |
| dyn | dynamical - динамический |
| extr | extreme - экстремальный |
| f (fail) | failure - повреждение, разрушение, неисправность |
| frac | fractural - разломный |
| fric | frictional - фрикционный |
| geo | geotechnical - геотехнический |
| irr | irreversible - необратимый |
| m | bending - изгибающий |
| pro | progressive - прогрессивный, последовательный |
| res | resonance - резонанс |
| rev | reversible - обратимый |
| rup | rupture - разрыв |
| st (stat) | statical - статический |
| stb | stabilizing - стабилизирующий |
| t (ten) | (ex)tensional - расширяющий, растягивающий |
| t (tor) | (dis)torsional, twisting - поперечное скручивание, искривление |
| v | shearing - сдвиговое деформирование |
| vib | vibrational - вибрационный |
| y (yie) | yielding - оседающий, неустойчивый |
<a> Некоторые индексы указываются повторно для обеспечения соответствия пяти графам подразделения, отвечающего трем базовым переменным и двум функционалам характеристик. <b> Подверженность воздействию данного фактора |
Таблица 9
Индексы типа v) - индексы, относящиеся к местонахождению
и направлению и представляемые одним символом или цепочкой
курсивных строчных либо прописных букв латинского алфавита
шрифтом Roman; одной курсивной строчной греческой буквой;
математическими символами и/или арабскими числами
либо цифрами
Обозначение | Смысловое значение |
Индексы, относящиеся к местонахождению |
Однобуквенное обозначение прописной либо строчной буквой латинского алфавита, представленное шрифтом Roman |
o | Начало системы координат |
Один символ или цепочка строчных либо прописных букв латинского алфавита, представленные шрифтом Roman в сочетании с координатами, метками, цифрами и т.п. |
B (bea) | beamnr... - номер балки |
C (cou) | column nr... - номер колонны |
crs | cross-section nr... - номер поперечного сечения |
elt | element nr... - номер элемента |
flo | floor nr... - номер этажа |
fou | foundation: labels... - метки основания |
J (joi) | joint: coordinates, labels... - стык: координаты, метки |
K (kno) | knot: coordinates, labels... - узел: координаты, метки |
mee | membrane nr... - номер мембраны |
mer | member nr... - номер детали |
pla | plate nr... - номер плиты |
P (poi) | point: coordinates, labels... - точка: координаты, метки |
W (wal) | wallnr... - номер стены |
h | horizontal, level - горизонтальный уровень |
l | longitudinal direction, lengthways, -wise - продольное направление, направление вдоль |
r (rad) | radial direction - радиальное направление |
t | tangential direction - направление по касательной (см. также ниже поперечное направление) |
v | vertical direction - вертикальное направление |
Односимвольное обозначение курсивной строчной буквой латинского алфавита |
x, y, z | direction of a coordinate axis - направление по координатным осям |
Цепочка строчных латинских букв, представленная шрифтом Roman |
lat | lateral - продольный |
par | parallel (to) - параллельный (чему-либо) |
per | perpendicular, normal, upright - перпендикулярный, нормальный, прямостоящий |
tra | transverse direction - поперечное направление |
Одна курсивная строчная греческая буква |
| angle - угол |
Математические символы |
символы || или // | parallel (to) - параллельный (чему-либо) |
| perpendicular, normal, upright - перпендикулярный, нормальный |
Индексы, относящиеся к местонахождению |
Однобуквенное обозначение прописной либо строчной буквой латинского алфавита, представленное шрифтом Roman |
Арабские числа или цифры в сочетании с математическими символами |
0, 1, 2, 3, ... ...°, ...', ...'' | Арабские числа и цифры 7°, 42', 3" или: 7 градусов, 42 минуты, 3 секунды |
Таблица 10
Индексы типа vi) - индексы, относящиеся к типам материалов
и представляемые одним символом или цепочкой
строчных букв латинского алфавита шрифтом Roman
| Смысловое значение |
a | Steel, structural (Acier constructive) - конструкционная сталь (марок для строительных конструкций) |
al | Aluminium - алюминий |
c | Concrete - бетон |
ca | Concrete, Aerated/gas concrete - вакуумированный бетон/газобетон |
cl | Concrete, Lightweight - облегченный бетон |
cla | Clay - глина |
gl | Glass, structural - строительное стекло |
gr | (under)Ground, (sub)soil - подстилающий грунт |
ma | Masonry - каменная или кирпичная кладка |
ps | Prestressing Steel - предварительно напряженная арматура |
py | Polymer - полимер |
ro | Rock - булыжник |
s | Steel, reinforcing - арматурная сталь |
sa | Sand - песок |
te | Textile, cloth, fabric - ткань, полотно, сукно |
ti | Timber - древесина |
wa | (ground) Water - (грунтовая) вода |
<a> Буквенные обозначения сформированы по прописным буквам английских терминов, представленных в графе "Смысловое значение" |
Таблица 11
Математические знаки и графические символы, фигурирующие
при проектировании и расчете строительных конструкций
Обозначение | Смысловое значение |
e | Математическая константа, представляющая основание натуральных логарифмов (e = 2,7182818...) |
| Оператор (конечного) приращения величины x |
| Оператор линейной комбинации  |
| Оператор (бесконечно малой) вариации функции f |
| Математическая константа, представляющая отношение длины окружности к ее диаметру,  = 3,1415926... |
| Графический символ, указывающий на диаметр (например, заклепок, арматурных стержней и т.п.) |
| Графический символ, указывающий на размеры (квадратных труб/полых профилей) |
' (прим) | Математический знак, указывающий на сжатие <a> |
|| или // | Математический знак параллельности |
| Математический знак перпендикуляра, нормали, вертикали |
/\ (диакритический знак) | Математический символ  обозначает предельное либо результирующее значение S |
| Математический знак бесконечности |
0, 1, 2, 3, ... | Арабские числа или цифры |
 (точка над символом) |  производная от функции f одной переменной |
; (точка с запятой) | Знак пунктуации (между нижними индексами) |
<a> Применение подстрочных индексов, таких как c, t (ten), позволяет избежать использования обозначения "прим." |
(обязательное)
ОПРЕДЕЛЕНИЕ И ОБЛАСТЬ ПРИМЕНЕНИЯ
ОБОБЩЕННЫХ ФИЗИЧЕСКИХ ВЕЛИЧИН
В теории и практике проектирования строительных конструкций, помимо отдельных физических величин, большую важность приобретают их типичные группы, которые в функциональном аспекте характеризуют саму конструкцию, испытываемые ею воздействия, поведение ее материалов, а также ее ответные реакции и рабочие возможности.
Данные группы физических величин характеризуют, систематизируют и формируют содержательную сторону, технологическую сущность и результат анализа и проектирования строительных конструкций.
Они охватывают следующие аспекты:
- техническую структуру (геометрия, материалы) с характерными для нее ограничениями и нагрузочными возможностями;
- поведение при различных внешних и внутренних воздействиях, нагрузках и других факторах влияния;
- ответную реакцию с точки зрения внешних деформаций, вращательных движений и наблюдаемых отклонений, а также внутренних деформаций и напряжений, и
- выполнение предъявляемых требований (в части обеспечения достаточных уровней сопротивления и нагрузочной способности).
Сущность такого представления сферы проектирования строительных конструкций отображена на
рисунке А.1, где используемые группы физических величин скомпонованы по следующей схеме:
три фундаментальные или базовые переменные: | F: Воздействия и варианты нагружения (Action, Loadcase); |
| GE: Геометрия конструкции (Geometry или Geometry of structure); |
| M: Свойства материала конструкции (Material property); |
и два функционала характеристик: | S: Реакция конструкции (Response of structure); |
| R: Сопротивление конструкции (Resistance of structure). |
Группы величин, обозначенные символами F, GE, M, S и R, называются обобщенными величинами (generic quantities). |
А.2 Понятие "обобщенная величина"
Понятие "обобщенная величина" определяется в рамках настоящего приложения в целях разграничения физических величин (как они описаны и определены в настоящем стандарте) и соответствующих им количественных переменных в общем смысле (т.е. в плане их формирования и представления). Применительно к предметной области проектирования строительных конструкций обобщенные величины определяют по отношению к другим в качестве базовых переменных.
Примечание - См. стандарты
[1] и
[6].
Понятие "обобщенная переменная" определяется и представляется множеством конкретных физических величин, таких как воздействия, силы противодействия и др. Каждому такому множеству (обобщенной величине) присвоены собственное наименование и соответствующее обозначение. Физические величины имеют уникальную размерность, выражаемую единицами измерения. Обобщенные величины определенной размерности не имеют, однако их составные части (каковыми являются конкретные физические величины из множества составляющих) обладают размерностью, как правило, не одинаковой.
Примечание - Как в стандарте
[1], так и в стандарте
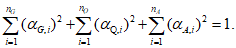
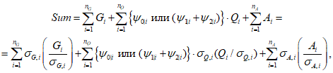
[6] зависимости между обобщенными величинами представляются в форме соответствующих функциональных выражений или уравнений (например, обобщенная величина "Сопротивление" с обозначением R (Resistance) выражается как
fURMGEF(M, GE, F)). Еще одним примером могут служить так называемые правила комбинирования воздействий наподобие
F = A' + 'Q.
Более широкий набор функциональных выражений и правил представления обобщенных величин приведен в
А.5.
А.3 Другие примеры представления понятия "обобщенная величина"
В
таблице А.1 группы конкретных физических величин F, GE, M, S и R, представляющих обобщенные величины, упорядочены по областям их применения и смысловому содержанию с учетом их практического применения в верификационных уравнениях, отражающих зависимость реакции конструкции от ее сопротивления, и в правилах комбинирования воздействий для определения критических нагрузок. См. также
А.5.
Таблица А.1
Формирование групп физических величин, представляющих
обобщенные величины - базовые переменные
и функционалы характеристик
Наименование | Обозначение | Смысловое значение и область применения |
Базовые переменные |
(Сила) обобщенное воздействие, нагружение | F | Группу F образуют: - распределенные статические и динамические нагрузки в определенном объеме и/или на ограничительной поверхности либо ее части; - внешние статические и динамические нагрузки, силы и моменты (например, удар, толчок, сконцентрированные воздействия); - наложенные ограничения: по деформациям; по сдвигам; по крутильным перемещениям [по причинам теплового расширения, перепада температур, ползучести/релаксации, усадки, а также из-за (локального или с большим уклоном) оседания (свайных) оснований, подстилающего грунта, опор]; - огнеопасность (по разным сценариям) (например, из-за воздействия теплового потока, перепадов давления и температур, огненных бурь) |
Три типа обобщенных воздействий: | | |
1. Аварийное воздействие | A | |
2. Постоянное воздействие | G | |
3. Временное воздействие | Q | |
Обобщенная геометрия конструкции | GE | Группу GE образуют: - размерные характеристики: схем и моделей строительных конструкций: (линии, плоскости, поверхности и объемные твердые тела); элементов конструкций (например, длина, ширина, высота, толщина, угол, наклон, асимметрия, радиус, форма и площадь поперечного сечения, объем, линейный и квадратичный осевые моменты площади); - отклонения размеров (например, допуски, эксцентриситет, дефекты) |
Базовые переменные |
Обобщенные свойства материалов | M | Группу M образуют: - линейное поведение (например, статика, динамика, модули упругости); - нелинейное/необратимое поведение (например, модули жестко-пластичности, пластическая деформация/текучесть, зависимость изгиба от момента, пластическое течение, поверхности разрушения при упрочнении и размягчении материала); - вязкое и хрупкое разрушения (например, ударная вязкость и внезапный разрыв); - изменение поведения во времени (например, затухание колебаний, деформация ползучести и релаксация напряжений, сжатие, насыщение, уплотнение грунта, сцепление свай с грунтом, усталость в результате постепенного накопления микроструктурных повреждений при циклических нагрузках); - термозависимое поведение (например, тепловое расширение, изменение коэффициента теплопроводности и высокотемпературное старение); - износостойкость и химическая инертность (например, коррозионная стойкость, старение, чувствительность к воздействию экологических и климатических факторов) |
Функционалы ответной реакции |
Ответная реакция конструкции; последствия или эффект воздействий; зависимость "действие - результат" (или принудительное воздействие) | S | Группу S образуют: - реакция конструкции на внешние воздействия: сдвиги и вращательные перемещения всей конструкции в целом, ее отдельных частей, опор и основания (фундаментных блоков, свай); деформации и отклонения элементов конструкции и подстилающего грунта (например, растяжение/сжатие, изгибание, срезание, кручение и искривление; скольжение почвенных слоев, оседание подстилающего грунта); динамические и циклические перемещения (или вибрации) конструкции в целом и ее отдельных частей и деталей (например, скорости, ускорения, частоты, число циклов, резонанс, флаттер); - реакция конструкции на внутренние воздействия: деформации и натяжение, нормальные и срезающие усилия, изгибающие и скручивающие моменты и напряжения в элементах и деталях конструкции, а также в подстилающем грунте |
Сопротивление или нагрузочная способность конструкции | R | Группу R образуют: - стойкость конструкции [например, к силам растяжения, сжатия, изгиба, сдвига, кручения, адгезии (химической связи), трения]: при усталости; при высокой температуре; - жесткость статическая (например, при отклоняющих усилиях, раскачивании, усилиях смещения, вращения, натяжения); динамическая (например, при наличии движущих сил, скоростей, ускорений, критического затухания); геотехническая [например, основания (из свай или фундаментных блоков) и подстилающего грунта]; - устойчивость статическая: первого и второго порядков; динамическая (например, частот свободных колебаний, собственных частот); геотехническая (например, склонов и осыпей); - способность к поглощению: энергии упругими и неупругими диссипативными элементами (например, удара, толчка, землетрясения или иного сейсмического воздействия, взрыва, усталостного напряжения, пластических шарниров); тепла (от воздействия огня); - конструктивные и неконструктивные возможности: Конструктивная целостность: избыточность, выносливость (препятствующие распространению локальных повреждений и/или отказов); неконструктивные аспекты [например, тепловые барьеры (изолирование); брандмауэры, демпфирующие устройства] |
А.4 Наименования и обозначения обобщенных величин
А.4.1 Общий метод формирования и написания наименований и обозначений
Применительно к формированию и написанию новых и уникальных обозначений физических величин (см.
3.2 настоящего стандарта) действуют одни и те же правила: базовое обозначение составного обозначения можно выбирать по
таблице А.2, а присваиваемые ему индексы (главным образом, подстрочные), придающие обозначению уникальность, - по
таблицам 5 -
10.
А.4.2 Метод и правила формирования и написания наименований и обозначений обобщенных величин
А.4.2.1 Наименования
Обычно наименование обобщенной величины представляется однословным термином или комбинацией нескольких терминов [в которой часто используется термин "воздействие" ("action")].
Термины записывают строчными буквами латинского алфавита шрифтом Roman (прямым), за исключением случаев использования одной или двух первых прописных букв.
Таблица А.2
Обобщенные величины, подлежащие использованию в контрольных
уравнениях для формирования комбинированных обозначений,
представляемых одной или двумя прописными буквами
латинского алфавита шрифтом Roman
Обобщенная величина |
Номер позиции | Наименование | Обозначение | Примечание |
Базовые переменные |
А.2.1 | (Сила) обобщенного воздействия, три типа общего нагрузочного воздействия: | F | |
А2.1.1 | Аварийное воздействие | A | - |
А.2.1.2 | Постоянное воздействие | G | - |
А.2.1.3 | Временное воздействие | Q | |
А.2.2 | Обобщенная геометрия конструкции | GE | - |
А.2.3 | Обобщенные свойства материалов | M | - |
Функционалы характеристик |
А.2.4 | Ответная реакция конструкции, последствие или эффект воздействия, зависимость "действие - результат" (или принудительное воздействие) | S | |
А.2.5 | Сопротивление или несущая способность конструкции | R | - |
Наименования (и обозначения) большинства широко используемых в сфере проектировании строительных конструкций обобщенных величин приведены в
таблице А.1 и
таблице 8 настоящего стандарта.
Пример 1 - Однословные термины: воздействие, сопротивление.
Пример 2 - Комбинации терминов: снеговая нагрузка, обобщенное свойство материала.
А.4.2.2 Символические обозначения
Основой обозначения обобщенной физической величины служит однобуквенное или двухбуквенное представление с помощью прописных букв латинского алфавита прямым шрифтом Roman (см.
таблицу А.1).
Примечание - В предметной области вероятностного анализа строительных конструкций используются также греческие строчные буквы, представляемые шрифтом Roman (см.
таблицу 4 настоящего стандарта).
Базовое обозначение может модифицироваться с помощью одного или нескольких подстрочных индексов или указателей.
Подстрочные индексы/указатели формируются с применением букв, цифр и графических символов, представляемых прямым шрифтом Roman. В случае использования базового обозначения физической величины в нижнем индексе или указателе данный символ оформляют курсивом. В
таблицах 5 -
10 приведены несколько типов таких подстрочных индексов и указателей. Приведенные в указанных таблицах подстрочные индексы и указатели помещаются справа от базового обозначения в его нижней части. При наличии у базового обозначения нескольких нижних индексов/указателей рекомендуется разделять их точкой с запятой, а в случае четко видимых простых индексов допускается использование в качестве разделителя пробела или запятой. Когда такие индексы образуются из двух или трех одиночных обозначений, допустимо отсутствие разделителей.
Порядок расположения двух и более нижних индексов/указателей базового символа описан в
3.2.2.6.
Примеры | |
F | action in general - обобщенное воздействие; |
Fk | characteristic (values of) F - характеристические значения F; |
Q | variable action - временное воздействие; |
Qhur | variable action(s) due to hurricane(s) - временное воздействие из-за урагана; |
S | response of structure - ответная реакция конструкции; |
Sd | design (values of) S - расчетные значения S; |
Aex | accidental action due to explosion - аварийное воздействие из-за взрыва; |
Gea | permanent action due to earth, ground/soil (movement) - постоянное воздействие из-за смещения грунта; |
Qsn.d | design (values of) variable action(s) due to snow(fall) - расчетные значения переменных воздействий снеговой нагрузки и снегопада; |
GEnom | nominal (values of) geometry (configuration and measurement properties) of structure - номинальные геометрические размеры (конфигурации и измеримых свойств) конструкции; |
Rser,k | characteristic (values of) serviceability resistance or capacity of structure - характеристические значения показателей удобства обслуживания и грузоподъемности конструкции |
А.4.3 Расширительные подстрочные индексы/указатели для обобщенных величин
Широко используемые базовые обозначения обобщенных величин приведены в
таблице А.1. Подобные обозначения могут также выбираться или формироваться путем присваивания базовой переменной F надлежащих индексов, представленных в
таблице 8 (несколько примеров обобщенных величин такого типа было рассмотрено в
А.4.2.2. Чаще всего они используются при комбинированном представлении воздействий).
А.5 Функциональное описание правил комбинирования воздействий в контрольных уравнениях зависимости ответной реакции конструкции от прочности с использованием обобщенных величин
А.5.1 Правила сочетания воздействий
А.5.1.1 Комбинационные правила
Расчетные воздействия Fd, влияющие на конструкцию, обычно включают в себя следующие компоненты:
Gd - расчетную величину постоянных воздействий;
Qd - расчетную величину временных воздействий;
Ad - расчетную величину аварийных воздействий.
Концепции и правила формирования представительных комбинаций вышеуказанных воздействий на строительную конструкцию обычно могут быть выражены в форме функционалов fU от Gd, Qd и Ad:
Fjd = fUFGQA|j(Gd, Qd, Ad) для j >= 1
или с помощью приближения первого порядка FOAM
<1>:
--------------------------------
<1> Моделирование воздействий первого порядка (First Order Actions Modelling).
Fjd = (Gd + Qd + Ad)j для j >= 1.
Индекс j относится к ряду сочетаний постоянных (Gd), переменных (Qd) и аварийных (Ad) воздействий. Воздействия каждой комбинации j (при j = 1, 2, ..., и т.д.) одновременно влияют как на всю конструкцию в целом, так и на ее отдельные элементы.
Применительно к трем разным типам воздействий Gd, Qd и Ad далее вводятся следующие правила:
- для Gd - правило Gid суммирования по всем i > 1, где, например, G4d = Gpre,d является расчетной величиной предварительного натяжения/напряжения, воздействующего на конструкцию;
- для Q
d - правило

или

с суммированием по всем
i >= 1 или в сочетании с А
d (либо A
eg):
- для Ad - правило Aid или в случае воздействий землетрясения: Aeg,id с суммированием по всем i >= 1.
Функционал Fd = Gd + Qd + Ad для каждого j представляет число арифметических уравнений, равное числу отдельных измерений (физических величин), входящих в правую часть выражения, т.е. Gd + Qd + Ad.
В рамках анализа и проектирования конструкций с использованием метода частичного факторного эксперимента G
id, Q
id и A
id обычно состоят из следующих компонентов (согласно стандартам
[1] и
[6]):
Gid = YG,i Gi,rep;
Qid = YG,i Qi,rep;
Aid = YA,i Ai,rep, без суммирования по всем i,
где Yi - частные коэффициенты для Gi, Qi и Ai. Основными представителями Gi,rep, Qi,rep и Ai,rep обычно являются Gik, Qik и Aik.
Моделирование неопределенностей, присущих Gi, Qi и Ai, учитывается в Yi или в самих воздействиях Gi, Qi and Ai.
Таким образом, представления Gd, Qd и Ad принимают вид:
Gd = YG,i Gik, с суммированием по всем i>= 1;
Ad = YA,i Aik, с суммированием по всем i >= 1.
В рамках вероятностного анализа и проектирования Gid, Qid и Aid состоят из следующих компонентов:
Здесь в воздействиях G
j, Q
j и A
j подлежат учету неопределенности их моделирования

,

и

, и снова подстановка этих выражений в представления G
d, Q
d и A
d дает результат:
Более подробную информацию см. в формулах на
рисунке А.2 и в последующих разделах.
А.5.1.2 Вероятность полной суммы воздействий
В общем случае для числа Qs больше двух (как Q
1 и Q
2 на
рисунке А.2) и при наличии G и A сумма воздействий G
d + Q
d + A
d принимает вид:
при nG + nQ + nA = n.
Данное функциональное представление суммы воздействий охватывает столько арифметических сумм, сколько имеется отдельных размерностей (физических величин), учитываемых функционалом. Выражения для G
i, Q
i и
Ai в рамках таких частных сумм имеют одинаковую размерность. Для каждого такого отдельного истинного арифметического выражения выполняется условие: Sum = constant, т.е. линейное уравнение в
n безразмерных "координатах"

(при изменении
i от 1 до
nQ), 
(при изменении i от 1 до
nQ) и

(при изменении
i от 1 до
nA) отображает параллельные плоскости (для
n > 2) в n-мерном (эвклидовом) пространстве. Вектор нормали этих плоскостей является градиентным вектором, компоненты которого выводятся путем взятия частных производных по координатам уравнения:
Sum = constant, т.е.

(при изменении i от 1 до
nG), 
или

(при изменении
i от 1 до
nQ) и

(при изменении i от 1 до n
A).
Модуль "длины" градиентного вектора равен:
Компоненты единичного вектора нормали параллельных плоскостей (т.е. компоненты градиентного вектора), поделенные на

, называются направляющими косинусами нормали.
В рамках вероятностного анализа и проектирования строительных конструкций данные направляющие косинусы определяют коэффициенты чувствительности

в методе FORM и, следовательно,
Отсюда следует, что
А.5.2 Контрольные уравнения зависимости ответной реакции от прочности конструкции
А.5.2.1 Общее правило
Условия надежности конструкций в предельных состояниях, а именно:
ULS - Ultimate Limit State [Предельное состояние 1-й группы (по несущей способности)] и SLS - Serviceability Limit State [Предельное состояние 2-й группы (по эксплуатационной пригодности)] в терминах функционала характеристик fU имеют вид:
fUSR(Sj,d, Rj,d)=fUSRFGEM|j (Fd, GEd, Md) <= 0 для j >=1
или приближения первого порядка (FORM
<2>)):
--------------------------------
<2> Надежностное моделирование первого порядка (First Order Reliability Modeling).
Sj,d - Rj,d <= 0 при j >= 1 и
Sj,d = fUSRFGEM|j (Fd, GEd, Md),
Rj,d = fUSRFGEM|j (Md, GEd, Fd).
Индекс j относится к нескольким проверкам зависимости S от R, а именно - к контролю числа предельных состояний, соответствия критериям прочности, жесткости и др. как всей конструкции в целом, так и ее отдельных частей: элементов, оснований, опор и т.п.
Функциональные зависимости Sj,d - Rj,d <= 0 представляют для каждого j число истинных арифметических уравнений, равное числу отдельных размерностей (физических величин), входящих в левую часть рассматриваемых зависимостей, т.е. Sj,d - Rj,d. Более того, отдельные размерности, присутствующие в Sjd и, соответственно, в Rjd, должны быть идентичны по каждому j.
В случае Sj,d - Rj,d <= 0 и применительно к сфере частичного факторного анализа и проектирования Sj,d и Rj,d обычно состоят из
Sj,d = Ys,j Sj,k и
Rj,d = (yR,j)-1 Rj,k, без суммирования по всем j.
Компоненты S
j,k и
Rj,k являются функционалами
fUSRFGEM|j и
fUSRFGEM|j для F
d (т.е. G
d, Q
d, A
d и

), GE
d (т.е. GE
d,

) и M
d (т.е. M
d,

) соответственно. Данные функционалы представляют расчетные и/или измеряемые реакции соответственно конструкции на приложенные воздействия, геометрию конструкции и свойства материалов, включая неопределенности их моделирования. Последние

,

и

иногда учитываются или могут учитываться и в самих частных коэффициентах
ys,j и
yR,j.
В рамках вероятностного подхода S
j,d и R
j,d образуются следующими компонентами (см.
рисунок А.3):
В реакциях S
j сопротивлениях R
j следует принимать в расчет модели их неопределенностей, т.е.

и

.
Более подробную информацию см. в формулах на
рисунке А.3 и в последующих разделах.
А.5.2.2 Индекс надежности

.
Обычно надежность конструкций в аспекте вероятности выхода ее за границы конкретных установленных предельных состояний в порядке от одной сотой до одной десятимиллионной (от 10
-2 до 10
-7). В случае использования нормированного нормального распределения вероятностей

вероятность P
|S представляется выражением
При значениях P
|s от 10
-2 до 10
-7 индекс надежности

приобретает следующие значения:
P|s | 10-2 | 10-3 | 10-4 | 10-5 | 10-6 | 10-7 |
| 2,32 | 3,09 | 3,72 | 4,27 | 4,75 | 5,20 |
С помощью представленной на
рисунке А.3 формулы можно рассчитать коэффициенты чувствительности

и

:
Ниже показаны значения угла

и коэффициентов чувствительности

и

для нескольких значений

:
| | | |
0,5 | 26,6° | 0,894 | 0,447 |
0,8 | 38,7° | 0,781 | 0,625 |
1,0 | 45,0° | 0,707 | 0,707 |
1,25 | 51,3° | 0,625 | 0,781 |
2,0 | 63,4° | 0,447 | 0,894 |
А.5.2.3 Серии проверок (для j > 1)
А.5.2.3.1 Верификация
С помощью выражений для Sj,d и Rj,d, получаемых в результате частичного факторного эксперимента или вероятностного анализа и расчета, могут осуществляться проверки надежности как всей конструкции в целом, так и отдельных ее частей и элементов.
Например:
j = 1 | SLS, т.е. | Sser,d <= Rser,d |
j = 2 | FaLS, т.е. | Sfat,d <= Rfat,d |
j = 3 | ULS, т.е. | Sud <= Rud |
и т.д. | | |
j = 7 | Основание 5, т.е. | Scla,fou5,z,ser,d <= Rcla,fou5,z,ser,d, Scla,fou5,z,z,ud <= Rcla,fou5,z,ud |
и т.д. | | |
A.5.2.3.2 Символическое обозначение обобщенной (или физической) величины однозначно определяет ее наименование - и наоборот.
Пример - При известном представлении обобщенной величины ее наименование легко восстановить в словесной форме. Так, символическое обозначение
Scla,fou5,z,ud или Scla;fou5;z;u;d
легко преобразуется к наименованию: design (values of) ultimate response(s) of "clay foundation 5" in direction z (расчетные значения предельных ответных реакций "глиняного основания 5" в направлении z).
И наоборот, по известным наименованиям обобщенных (или физических) величин могут мгновенно воспроизводиться их обозначения.
ПРОЕКТИРОВАНИЕ СТРОИТЕЛЬНЫХ КОНСТРУКЦИЙ
Рисунок А.1 - Схема расчета конструкций
1 - графическое представление функционала Sum;
2 - расчетная точка;
3 - нормированные нормальные распределения вероятностей
Рисунок А.2 - Правила комбинирования воздействий
На приведенном выше рисунке представлены следующие характеристики:
Дополнительное условие:

1 - графическое представление функционала Sum;
2 - расчетная точка;
3 - нормированные нормальные распределения вероятностей
Рисунок А.3 - Контрольные уравнения зависимости S
j от R
j
Дополнительное условие:

(справочное)
СВЕДЕНИЯ О СООТВЕТСТВИИ ССЫЛОЧНЫХ МЕЖДУНАРОДНЫХ СТАНДАРТОВ
НАЦИОНАЛЬНЫМ И МЕЖГОСУДАРСТВЕННЫМ СТАНДАРТАМ
Таблица ДА.1
Обозначение ссылочного международного стандарта | Степень соответствия | Обозначение и наименование соответствующего национального и межгосударственного стандарта |
ISO 80000-1 | - | |
ISO 80000-2 | - | |
ISO 80000-3 | - | |
ISO 80000-4 | - | |
<*> Соответствующий национальный стандарт отсутствует. До его утверждения рекомендуется использовать перевод на русский язык данного международного стандарта |
| ISO 2394, General principles on reliability for structures (Основные принципы надежности конструкций) |
[2] | ISO/IEC GUIDE 99 International vocabulary of metrology - Basic and general concepts and associated terms (VIM) [Руководство ИСО/МЭК 99, Международный словарь по метрологии. Основные и общие понятия и соответствующие термины (VIM)] |
[3] | ISO 80000-11:2008, Quantities and units - Part 11: Characteristic numbers (Величины и единицы. Часть 11. Характеристические числа) |
[4] | ISO 1087-1:2000, Terminology work - Vocabulary - Part 1: Theory and application (Терминологическая работа. Словарь. Часть 1. Теория и применение) |
[5] | ISO 10241, International terminology standards (all parts) [Международные стандарты по терминологии (все части)] |
| EN 1990, Eurocode - Basis of structural design (Еврокод. Основы проектирования сооружений) |
[7] | ISO/IEC Directives, Part 2: Rules for the structure and drafting of ISO and IEC documents (Директивы ISO/IEC Часть 2. Правила структурирования и разработки проектов международных стандартов) |