Главная // Актуальные документы // ГОСТ (Государственный стандарт)СПРАВКА
Источник публикации
М.: Стандартинформ, 2019
Примечание к документу
Документ включен в
Перечень международных и региональных (межгосударственных) стандартов, а в случае их отсутствия - национальных (государственных) стандартов, в результате применения которых на добровольной основе обеспечивается соблюдение требований технического
регламента Таможенного союза "О безопасности низковольтного оборудования" (ТР ТС 004/2011) и в
Перечень международных и региональных (межгосударственных) стандартов, а в случае их отсутствия - национальных (государственных) стандартов, содержащих правила и методы исследований (испытаний) и измерений, в том числе правила отбора образцов, необходимые для применения и исполнения требований технического
регламента Таможенного союза "О безопасности низковольтного оборудования" (ТР ТС 004/2011) и осуществления оценки соответствия объектов технического регулирования (
Решение Коллегии Евразийской экономической комиссии от 11.05.2023 N 55).
Документ
введен в действие с 1 июля 2019 года.
Название документа
"ГОСТ IEC 61439-6-2017. Межгосударственный стандарт. Низковольтные комплектные устройства распределения и управления. Часть 6. Системы сборных шин (шинопроводы)"
(введен в действие Приказом Росстандарта от 30.05.2019 N 250-ст)
"ГОСТ IEC 61439-6-2017. Межгосударственный стандарт. Низковольтные комплектные устройства распределения и управления. Часть 6. Системы сборных шин (шинопроводы)"
(введен в действие Приказом Росстандарта от 30.05.2019 N 250-ст)
агентства по техническому
регулированию и метрологии
от 30 мая 2019 г. N 250-ст
МЕЖГОСУДАРСТВЕННЫЙ СТАНДАРТ
НИЗКОВОЛЬТНЫЕ КОМПЛЕКТНЫЕ УСТРОЙСТВА
РАСПРЕДЕЛЕНИЯ И УПРАВЛЕНИЯ
ЧАСТЬ 6
СИСТЕМЫ СБОРНЫХ ШИН (ШИНОПРОВОДЫ)
Low-voltage switchgear and controlgear assemblies.
Part 6. Busbar trunking systems (busways)
(IEC 61439-6:2012, IDT)
ГОСТ IEC 61439-6-2017
Дата введения
1 июля 2019 года
Цели, основные принципы и общие правила проведения работ по межгосударственной стандартизации установлены
ГОСТ 1.0 "Межгосударственная система стандартизации. Основные положения" и
ГОСТ 1.2 "Межгосударственная система стандартизации. Стандарты межгосударственные, правила и рекомендации по межгосударственной стандартизации. Правила разработки, принятия, обновления и отмены"
1 ПОДГОТОВЛЕН научно-производственным республиканским унитарным предприятием "Белорусский государственный институт стандартизации и сертификации" (БелГИСС) на основе собственного перевода на русский язык англоязычной версии стандарта, указанного в
пункте 5
2 ВНЕСЕН Государственным комитетом по стандартизации Республики Беларусь
3 ПРИНЯТ Межгосударственным советом по стандартизации, метрологии и сертификации (протокол от 20 апреля 2017 г. N 98-П)
За принятие проголосовали:
Краткое наименование страны по МК (ИСО 3166) 004-97 | Код страны по МК (ИСО 3166) 004-97 | Сокращенное наименование национального органа по стандартизации |
Азербайджан | AZ | Азстандарт |
Армения | AM | Минэкономики Республики Армения |
Беларусь | BY | Госстандарт Республики Беларусь |
Грузия | GE | Грузстандарт |
Казахстан | KZ | Госстандарт Республики Казахстан |
Киргизия | KG | Кыргызстандарт |
Молдова | MD | Институт стандартизации Молдовы |
Россия | RU | Росстандарт |
Таджикистан | TJ | Таджикстандарт |
Туркменистан | TM | Главгосслужба "Туркменстандартлары" |
Узбекистан | UZ | Узстандарт |
Украина | UA | Минэкономразвития Украины |
4
Приказом Федерального агентства по техническому регулированию и метрологии от 30 мая 2019 г. N 250-ст межгосударственный стандарт ГОСТ IEC 61439-6-2017 введен в действие в качестве национального стандарта с 1 июля 2019 г.
5 Настоящий стандарт идентичен международному стандарту IEC 61439-6:2012 "Устройства комплектные низковольтные распределения и управления. Часть 6. Системы магистральных шинопроводов (шинопроводы)" ("Low-voltage switchgear and controlgear assemblies - Part 6: Busbar trunking systems (busways)", IDT).
Международный стандарт разработан подкомитетом 17D "Комплекты низковольтной аппаратуры распределения и управления" технического комитета TC17 "Аппаратура распределения и управления" Международной электротехнической комиссии (IEC).
При применении настоящего стандарта рекомендуется использовать вместо ссылочных международных стандартов соответствующие им межгосударственные стандарты, сведения о которых приведены в дополнительном
приложении ДА.
6 Настоящий стандарт взаимосвязан с Техническим
регламентом Таможенного союза ТР ТС N 004/2011 "О безопасности низковольтного оборудования", принятым Комиссией Таможенного союза 16 августа 2011 г., и реализует его существенные требования безопасности.
Соответствие межгосударственному стандарту обеспечивает выполнение существенных требований безопасности технического
регламента
7 ВВЕДЕН ВПЕРВЫЕ
Информация о введении в действие (прекращении действия) настоящего стандарта и изменений к нему на территории указанных выше государств публикуется в указателях национальных стандартов, издаваемых в этих государствах, а также в сети Интернет на сайтах соответствующих национальных органов по стандартизации.
В случае пересмотра, изменения или отмены настоящего стандарта соответствующая информация будет опубликована на официальном интернет-сайте Межгосударственного совета по стандартизации, метрологии и сертификации в каталоге "Межгосударственные стандарты"
Разделы стандарта IEC 61439-6 дополняют, изменяют или заменяют соответствующие разделы IEC 61439-1.
Если в стандарте IEC 61439-6 нет соответствующего раздела или подраздела, то применяют без изменения раздел или подраздел IEC 61439-1, если это целесообразно. Если в настоящем стандарте используются слова "дополнение" или "замена", то соответствующий текст в IEC 61439-1 следует адаптировать.
Примечание 1 - В настоящей части аббревиатуру BTS используют для обозначения систем сборных шин. При ссылке на часть 1 термин "УСТРОЙСТВО" читается как BTS.
Настоящая часть IEC 61439 устанавливает определения, а также условия обслуживания, требования к конструкции, технические характеристики и требования к проверке низковольтных BTS (см.
3.101):
- BTS, для которых номинальное напряжение не превышает 1 000 В при использовании переменного тока или 1 500 В при использовании постоянного тока;
- BTS, предназначенные для использования вместе с производством, передачей, распределением и преобразованием электрической энергии, а также для управления электропотребляющим оборудованием;
- BTS, предназначенные для использования в особых условиях обслуживания (например, на судах, на железнодорожных транспортных средствах), а также для бытового применения (управление неквалифицированными лицами) при условии соблюдения соответствующих конкретных требований.
Примечание 2 - Дополнительные требования к BTS на судах установлены в IEC 60092-302;
- BTS, предназначенные для электрического оборудования машин. Дополнительные требования к BTS, входящим в состав машины, приведены в серии стандартов IEC 60204.
Настоящий стандарт применяется ко всем BTS, независимо от того, были ли они разработаны, изготовлены и проверены на разовой основе или полностью стандартизированы и производятся в большом количестве.
Производство и/или сборка могут осуществляться предприятием (организацией), не являющимся непосредственным изготовителем конкретных низковольтных BTS (см. 3.10.1 и 3.10.2 части 1).
Настоящий стандарт не распространяется на индивидуальные устройства и автономные компоненты (например, пускатели двигателя, выключатели предохранители, электронное оборудование и т.д.), соответствующие стандарту на конкретное изделие.
Настоящий стандарт не распространяется на конкретные типы узлов, охваченные другими частями серии стандартов IEC 61439, чтобы поставлять системы сборных шин в соответствии с серией стандартов IEC 60570, кабельные коробы и специальные кабельные коробы в соответствии с серией стандартов IEC 61084 или системы шинопроводов в соответствии с серией стандартов IEC 61534.
Для применения настоящего стандарта необходимы следующие ссылочные стандарты. Для датированных ссылок применяют только указанное издание ссылочного стандарта. Для недатированных ссылок применяют последнее издание ссылочного стандарта (включая все его изменения).
IEC 60332-3-10:2000, Tests on electric and optical fibre cables under fire conditions - Part 3-10: Test for vertical flame spread of vertically-mounted bunched wires or cables - Apparatus (Испытание электрических и оптоволоконных кабелей в условиях воздействия пламени. Часть 3-10. Испытания на вертикальное распространение пламени вертикально расположенным пучкам проводов или кабелей. Испытательная установка)
IEC 60439-2:2000 <*>, Low-voltage switchgear and controlgear assemblies - Part 2: Particular requirements for busbar trunking systems (busways) (Аппаратура распределения и управления низковольтная комплектная. Часть 2. Дополнительные требования к системам сборных шин (шинопроводам))
--------------------------------
<*> Действует IEC 61439-6:2012.
IEC 61439-1:2011, Low-voltage switchgear and controlgear assemblies - Part 1: Type-tested and partially type-tested assemblies (Низковольтные комплектные устройства распределения и управления. Часть 1. Общие правила)
IEC 61786:1998 <**>, Measurement of low-frequency magnetic and electric fields with regard to exposure of human beings - Special requirements for instruments and guidance for measurements (Измерение низкочастотных магнитных и электрических полей, воздействующих на человека. Специальные требования к приборам и методика измерения)
--------------------------------
<**> Заменен на IEC 61786-1:2013 и IEC 61786-2:2014.
ISO 834-1:1999, Fire-resistance tests - Elements of building construction - Part 1: General requirements (Испытания на огнестойкость. Элементы строительных конструкций. Часть 1. Основные требования)
В настоящем стандарте применены термины, установленные в части 1, за исключением следующего.
Дополнительные определения:
3.101
система сборных шин BTS (шинопровод) (busbar trunking system (busway)): Закрытое КОМПЛЕКТНОЕ УСТРОЙСТВО, применяемое для распределения и управления электрической энергией для всех типов нагрузки, предназначенное для промышленного, коммерческого и аналогичного использования, представляющее собой систему проводников, состоящую из шин, установленных на опорах из изоляционного материала, проходящих в каналах, коробах или подобных оболочках.
[ИСТОЧНИК: IEC 60050-441:1984 (пункт 441-12-07), модифицированный]
Примечание 1 - Определение термина "КОМПЛЕКТНОЕ УСТРОЙСТВО" см. в 3.1.1 части 1.
Примечание 2 - BTS может состоять из набора различных механических и электрических компонентов, например:
- блоков сборных шин с ответвительным оборудованием или без него;
- блоков перестановки фаз, блоков расширения, гибких блоков, блоков питания и переходных блоков сборных шин;
- ответвительных блоков;
- дополнительных проводов для связи и/или управления.
Примечание 3 - Термин "сборная шина" не предполагает геометрической формы и размеров провода.
3.102 блок сборных шин BTU (busbar trunking unit): Блок системы сборных шин, укомплектованный сборными шинами, их опорами и изоляцией, внешним корпусом и любыми средствами монтажа и присоединения к другим блокам, с ответвительным оборудованием или без него.
Примечание 1 - Блоки сборных шин могут иметь различную геометрическую форму, например прямого отрезка, колена, тавра или креста.
3.103 нагрузочная магистраль сборных шин (BT run (busbar trunking run)): Ряд блоков сборных шин, соединенных вместе, чтобы сформировать систему сборных шин, исключая ответвительные коробки.
3.104 блок сборных шин с ответвительным оборудованием (busbar trunking unit with tap-off facilities): Блок сборных шин, спроектированный таким образом, чтобы сделать возможной установку ответвительных коробок в одной точке или более, предварительно определенной изготовителем.
3.105 блок сборных шин с ответвительным оборудованием роликового типа (busbar trunking unit with trolley-type tap-off facilities): Блок сборных шин, спроектированный таким образом, чтобы разрешить использование ответвительного оборудования роликового или щеточного типа.
3.106 переходной блок сборных шин (busbar trunking adapter unit): Блок сборных шин, предназначенный для соединения двух блоков одинаковой системы, но имеющих разные типы или разный номинальный ток.
3.107 блок теплового расширения сборных шин (busbar trunking thermal expansion unit): Блок сборных шин, обеспечивающий возможность движения в осевом направлении сборных шин, возникающего из-за теплового расширения системы.
Примечание 1 - Настоящий термин не устанавливает, какие элементы обеспечивают возможность движения, например провода в оболочках или как провода, так и оболочки.
3.108 блок перестановки фаз сборной шины (busbar phase transposition unit): Блок сборных шин, предназначенный для изменения взаимного расположения фазовых проводников, для того чтобы сбалансировать индуктивные сопротивления или переставить фазы (например, L1-L2-L3-N на N-L3-L2-L1).
3.109 гибкий блок сборных шин (flexible busbar trunking unit): Блок сборных шин, имеющий такие проводники и корпусы, конструкция которых позволяет изгибаться во время установки.
3.110 блок питания сборных шин (busbar trunking feeder unit): Блок сборных шин, работающий как входящий блок.
Примечание 1 - См. определение блока ввода в 3.1.9 части 1.
3.111 ответвительная коробка (tap-off unit): Блок вывода, стационарный либо съемный, для ответвления электроэнергии от блока сборных шин.
Примечание 1 - См. определение блока вывода, стационарной части и съемной части в 3.1.10, 3.2.1 и 3.2.2 части 1.
Примечание 2 - Подключаемая ответвительная коробка является съемной ответвительной коробкой (см.
8.5.2), которая может быть соединена или отсоединена посредством ручной операции.
3.112 блок сборных шин для строительных перемещений (busbar trunking unit for building movements): Блок сборных шин, предназначенный для возможности строительных перемещений, возникающих из-за теплового расширения и/или сужения здания.
3.113 блок огневого барьера сборных шин (busbar trunking fire barrier unit): Блок сборных шин или его часть с дополнительными частями или без них, предназначенные для предотвращения распространения огня в течение установленного времени при пожаре.
Применяют настоящий раздел части 1, за исключением следующего:
Дополнение:
Символ/Аббревиатура | Термин | Подраздел |
k1A | Коэффициент температуры BTS | |
k1c | Коэффициент температуры цепи | |
k2c | Коэффициент монтажа цепи | |
R, X, Z | Фазовый провод и характеристики короткого замыкания | |
5 Характеристики интерфейса
Применяют настоящий раздел части 1, за исключением следующего:
5.1 Общие положения
Замена:
Характеристики BTS должны обеспечивать их совместимость с параметрами цепей, к которым присоединяют BTS, и условиями установки, а также должны быть указаны изготовителем BTS согласно требованиям, установленным в 5.2 -
5.6 и
5.101,
5.102.
Перечень технических требований, установленный в
приложении C, предназначен для оказания помощи заказчику и изготовителю BTS в обеспечении совместимости BTS при условии, что заказчик:
- выбирает из каталога изделие, характеристики которого отвечают его потребностям и требованиям настоящего стандарта; и/или
- заключает соответствующее соглашение (договор) с изготовителем.
В некоторых случаях информация, предоставленная изготовителем BTS, может быть использована вместо соглашения (договора).
5.2.4 Номинальное импульсное выдерживаемое напряжение Uimp (УСТРОЙСТВА)
Замена примечания:
Примечание - Если не установлено иное, номинальное импульсное выдерживаемое напряжение выбирают в соответствии с категорией защиты от перенапряжения IV (происхождение уровня установки) или III (уровень распределения цепи) согласно таблице G.1 части 1.
5.3.1 Номинальный ток InA
Дополнение:
Примечание 4 - Если BTS не оборудована единственным входящим блоком в конце питающей линии BTS (например, блок входа не установлен на одном конце BTS или на нескольких блоках ввода), значения номинального тока подлежат согласованию между пользователем и изготовителем.
Номинальный ток должен применяться в предписанном направлении установки (см.
5.3.2). Однако влияние направления установки может быть проигнорировано для коротких (например, менее 3 м длины) вертикальных секций в горизонтальной BTS.
Изготовитель BTS может устанавливать номинальные токи BTS для различных температур окружающей среды, например, посредством следующей формулы:
где k1A - коэффициент температуры, равный 1, при температуре окружающей среды 35 °C.
В случае значительных гармонических токов специальное соглашение должно быть сделано для редукционного коэффициента, если необходимо.
5.3.2 Номинальный ток цепи Inc
Дополнение:
Номинальный ток
Inc каждой цепи (например, блока ввода, блока сборных шин, ответвительной коробки, исходящей цепи) должен быть равен или выше их принятой нагрузки. Для ответвительных коробок, обеспеченных более чем одной главной исходящей цепью, см. также
5.4.
Номинальный ток должен применяться для предписанных условий установки. Условия установки могут включать направление и положение в следующем виде:
a) направление
Может быть горизонтальным или вертикальным.
Если не установлено иное, установка в исходное положение является горизонтальной;
b) положение
Положение может быть, например, параллельным или перпендикулярным в отношении питающей линии BTS и/или внизу или сверху блока сборных шин для ответвительной коробки.
Изготовитель BTS может установить различные номинальные токи для различных температур окружающей среды и/или условий монтажа, если это применимо, например, используя следующую формулу:
где k1c - коэффициент температуры, равный 1, при температуре воздуха окружающей среды 35 °C;
k2c - коэффициент монтажа, равный 1, в условиях исходного монтажа.
В случае значительных гармонических токов специальное соглашение должно быть сделано для редукционного коэффициента, если необходимо.
5.4 Номинальный коэффициент одновременности (RDF)
Замена:
Для всей системы сборных шин, если не указано иное, номинальный коэффициент одновременности (см. 3.8.11 части 1) должен быть равен 1, т.е. все ответвительные коробки могут одновременно и постоянно находиться под токовой нагрузкой со значением номинального тока, находящегося в пределах значений номинального тока питающей линии(й) сборных шин и блока питания блока сборных шин.
Примечание 1 - Это вызвано тем, что тепловое влияние между ответвительными коробками считается незначительным.
Для ответвительных коробок, снабженных более чем одной главной выходной цепью, эти цепи должны одновременно и постоянно находиться под токовой нагрузкой со значением номинального тока, умноженным на номинальный коэффициент одновременности в пределах номинального тока ответвительной коробки. Если не указано иное, то номинальный коэффициент одновременности таких ответвительных коробок должен быть равен значениям, приведенным в таблице 101.
Таблица 101
Номинальный коэффициент одновременности
ответвительной коробки
Количество главных выходных цепей | Номинальный коэффициент одновременности |
2 и 3 | 0,9 |
4 и 5 | 0,8 |
6 - 9 включительно | 0,7 |
10 (и выше) | 0,6 |
Номинальный коэффициент одновременности применяется к системам сборных шин, работающим при номинальном токе InA.
Примечание 2 - Номинальный коэффициент одновременности учитывает, что многофункциональные блоки на практике не нагружаются полностью одновременно или нагружаются периодически.
Примечание 3 - В качестве предполагаемой нагрузки выходных цепей может быть установившийся длительно допустимый ток или тепловой эквивалент изменяющегося по величине тока.
Примечание 4 - В Норвегии защита от перегрузки проводников основывается не только на использовании коэффициентов одновременности отходящих цепей.
5.6 Другие характеристики
Модификация пункта e)
e) стационарная BTS;
Модификация пункта j)
j) BTS в корпусе;
Дополнение:
aa) способность выдерживать механические нагрузки, как нормальные, так и тяжелые (см.
8.1.101);
bb) устойчивость к распространению горения, если требуется (см.
9.101);
cc) огнестойкость при проникновении в здание, если это применимо (см.
9.102).
Дополнительные подразделы:
5.101 Фазовый провод и характеристики цепи тока замыкания на землю
Примечание 1 - Для BTS ниже 100 А реактивное сопротивление считается незначительным.
R и
X в соответствии с таблицей 102 предназначены для расчета падения напряжения (см.
приложение AA).
Таблица 102
Характеристики фазового провода
Средние характеристики фазового провода при номинальном токе Inc и номинальной частоте fn, Ом на метр длины |
Активное сопротивление: | |
- при температуре воздуха окружающей среды 35 °C | R |
- при температуре провода 20 °C | R20 |
Реактивное сопротивление (независимое от температуры) | X |
Полное сопротивление положительной и отрицательной последовательности: | |
- при температуре воздуха окружающей среды 35 °C | Z = Z(1) = Z(2) |
- при температуре провода 20 °C | Z20 = Z(1)20 = Z(2)20 |
Все характеристики фазного провода могут быть определены в соответствии с приложением BB | |
R20 и
X - в соответствии с
таблицей 102 и активным и реактивным сопротивлением цепи тока замыкания на землю в соответствии с
таблицей 103, например общее сопротивление и реактивное сопротивление фазового провода(ов) и обратная цепь, предназначенные для использования при расчете токов короткого замыкания в соответствии с методом полных сопротивлений (см.
таблицу 104).
Z и
Z20 - в соответствии с
таблицей 102 и полным сопротивлением нулевой последовательности цепи тока замыкания на землю в соответствии с
таблицей 103, например общее полное сопротивление нулевой последовательности фазового провода(ов) и обратная цепь, предназначенные для использования при расчете токов короткого замыкания в соответствии с методом симметричных компонентов (см.
таблицу 104).
Примечание 2 - Токи короткого замыкания достигают своего минимального значения для самых высоких значений полного сопротивления; считается, что это происходит, если BTU работает при
Inc при максимальной нормальной температуре воздуха, т.е. при 35 °C, что приводит к температуре провода

, где

- средний стабилизированный подъем температуры, измеренный в соответствии с
10.10.
В свою очередь, токи короткого замыкания достигают своего наивысшего значения при самых низких значениях полного сопротивления; считается, что это происходит, если BTU не работает, в результате чего температура провода достигает 20 °C, а цепь замкнута при наличии короткого замыкания.
Таблица 103
Характеристики цепи тока замыкания на землю
Средние характеристики цепи тока замыкания на землю при номинальном токе Inc и номинальной частоте fn, Ом на метр длины | Межфазное | Фазное | Фаза - PEN | Фаза - PE |
Полное сопротивление нулевой последовательности: | | | | |
- при температуре воздуха окружающей среды 35 °C | | Z(0)bphN | Z(0)bphPEN | Z(0)bphPE |
- при температуре провода 20 °C | | Z(0)b20phN | Z(0)b20phPEN | Z(0)b20phPE |
Сопротивление: | | | | |
- при температуре воздуха окружающей среды 35 °C | Rbphph | RbphN | RbphPEN | RbphPE |
- при температуре провода 20 °C | Rb20phph | Rb20phN | Rb20phPEN | Rb20phPE |
Реактивное сопротивление (независимое от температуры) | Xbphph | XbphN | XbphPEN | XbphPE |
Полное сопротивление нулевой последовательности цепи тока замыкания на землю может определяться в соответствии с приложением CC. Сопротивление цепи тока замыкания на землю и полное сопротивление могут определяться в соответствии с приложением DD. |
Таблица 104
Характеристики для использования при расчетах
токов короткого замыкания
Токи короткого замыкания | Метод полного сопротивления | Метод симметричных компонентов |
Максимальный ток короткого замыкания: | | |
- трехфазный | R20, X | Z20 |
- межфазный | Rb20phph, Xbphph | Z20 |
- фазный | Rb20phN, XbphN | Z20 и Z(0)20phN |
Минимальный ток короткого замыкания: | | |
- межфазный | Rbphph, Xbphph | Z |
- фазный | RbphN, XbphN | Z и Z(0)phN |
Ток замыкания на землю (между фазой и PE(N)) | RbphPE(N), XbphPE(N) | Z и Z(0)phPE(N) |
Примечание 3 - Метод симметричных составляющих основан на соответственном суммировании модулей цепи тока замыкания на землю положительной, отрицательной и нулевой последовательности полного сопротивления последовательности сопротивления (см. IEC 60909-0). Аналогично метод полного сопротивления основан на соответственном суммировании модулей сопротивления неисправного контура и реактивного сопротивления.
5.102 Электромагнитное поле
Сила магнитного поля с частотой питающей сети вблизи от питающей линии сборных шин может устанавливаться изготовителем BTS.
Примечание - Магнитное поле - это быстро убывающая функция расстояния.
Метод измерения и расчета модуля магнитного поля вокруг BTS приводится в
приложении EE.
Применяют настоящий раздел части 1, за исключением следующего:
6.1 Маркировка УСТРОЙСТВА
Дополнение после первого параграфа:
Одна табличка должна размещаться возле одного конца каждого блока сборных шин, и одна табличка должна размещаться на каждой ответвительной коробке.
Замена:
d) IEC 61439-6.
Применяют настоящий раздел части 1, за исключением следующего:
7.2 Особые условия эксплуатации
Дополнение:
aa) подверженность воздействию специальных механических нагрузок, например осветительных приборов, дополнительных кабелей, опор лестницы и т.д.;
bb) применение с часто повторяющимися перегрузками по току, например контактная электросварка;
cc) установка рядом с высокочувствительным ИТ-оборудованием, например высокоскоростными сетями передачи данных, рентгенологическим оборудованием, мониторами автоматизированных рабочих мест и т.д.;
dd) должны быть предусмотрены определенные требования для особых условий, например целостность цепи в течение определенного времени, в условиях пожара.
8 Требования к конструкционному исполнению
Применяют настоящий раздел части 1, за исключением следующего:
8.1.5 Механическая прочность
Дополнение после первого абзаца:
BTS с троллейным отводным оборудованием должны иметь возможность успешно выполнять 10 000 циклов движения вперед и назад вдоль проводников сборных шин, при этом скользящие контакты троллейного оборудования должны иметь номинальный ток при номинальном напряжении. В случае переменного тока коэффициент мощности нагрузки должен быть между 0,75 и 0,8.
Соответствие этому требованию проверяют испытанием
10.13.
Дополнительные подразделы:
8.1.101 Способность выдерживать механические нагрузки
BTS, предназначенные для горизонтальной установки, должны выдерживать обычные или повышенные механические нагрузки, как указано в
5.6 aa).
Нормальные механические нагрузки включают в себя вес блока питания, если он не закрепляется своими собственными отдельными крепежными деталями, и вес ответвительных коробок, в дополнение к весу блока сборных шин.
Повышенные механические нагрузки включают дополнительные нагрузки, например вес человека.
Примечание - Это положение не означает, что BTS является проходным участком.
Необходимые механические свойства могут быть получены посредством выбора материала, его толщины, формы и/или количества и положения точек крепления согласно указаниям изготовителя. Соответствие настоящему требованию проверяют испытанием в соответствии с
10.2.101.
8.1.102 Способность подключаемых ответвительных коробок выдерживать температурные изменения
Подключаемые ответвительные коробки, в которых контактное усилие создается посредством отклонения пружинного элемента, должны быть способны выдерживать механические ограничения, вызванные температурными колебаниями, при воздействии на них повторно-кратковременных нагрузок.
Примечание - Применительно к настоящему требованию пружина диска не рассматривается в качестве пружинного элемента.
Соответствие настоящему требованию проверяют испытанием в соответствии с
10.2.102.
8.2.1 Защита от механического удара
Замена:
Если степень защиты от механического удара находится в соответствии с кодом IK по IEC 62262, заявленным изготовителем, BTS должна быть сконструирована таким образом, чтобы быть способной выдерживать испытание в соответствии с кодом IK по IEC 62262 (см.
10.2.6).
8.3.2 Воздушные зазоры
Дополнение после первого абзаца:
Воздушные зазоры дополнительной изоляции должны быть не менее установленных для основной изоляции. Воздушные зазоры усиленной изоляции должны рассчитываться для напряжения номинального импульса на одну ступень выше, чем установленные для основной изоляции (см. таблицу 1 части 1).
8.3.3 Пути утечки
Дополнение после третьего абзаца:
Пути утечки дополнительной изоляции должны быть не менее установленных для основной изоляции. Пути утечки усиленной изоляции должны быть вдвое больше установленных для основной изоляции (см. таблицу 2 части 1).
8.4.3.2.3 Требования к PE-проводникам, обеспечивающим защиту от последствий повреждений цепей внешней нагрузки, питаемых через BTS
В системе сборных шин с ответвительными коробками должны быть предусмотрены конструкционные меры предосторожности для обеспечения хорошей и постоянной проводимости между открытыми токопроводящими частями ответвительных коробок и стационарными открытыми токопроводящими частями, в частности, если корпус фиксированных блоков является частью защитной цепи установки.
Замена третьего абзаца:
Отделяемая часть может быть снабжена устройством, обеспечивающим ее извлечение и обратную установку только после отключения от нагрузки его главной цепи.
Дополнение:
Примечание - Ответвительная коробка может являться или не являться отделяемой частью согласно определению, данному в настоящем подразделе или 3.2.2 части 1, в соответствии с обозначением изготовителя.
8.5.5 Доступ
Настоящий раздел части 1 не применяется.
Дополнительный подраздел:
8.6.101 Правильное соединение между блоками BTS
BTS должна быть сконструирована так, чтобы гарантировать правильное соединение между проводами примыкающих блоков, из которых состоит BTS (силовых цепей, вспомогательных и коммуникационных цепей, PE ...).
Это требование может быть достигнуто путем надлежащей идентификации каждого соединения.
BTS и ответвительные коробки должны быть сконструированы так, чтобы обеспечить правильную связь между их проводами (силовых цепи, вспомогательные и коммуникационные цепи, PE ...). Это требование должно быть выполнено путем введения устройств блокировки (см. 3.2.5 части 1).
9 Требования к работоспособности
Применяют настоящий раздел части 1, за исключением следующего:
9.2 Предельные значения превышения температуры
Замена текста сноски <d> в таблице 6:
<d> Если не установлено иное, в случае крышек и корпусов, которые являются доступными, но к которым нельзя прикасаться во время нормальной работы, допускается увеличение предельных значений повышения температуры на 25 К для металлических поверхностей и на 15 К для поверхностей изоляционных материалов.
Дополнительные подразделы:
9.101 Сопротивление распространению пламени
Не распространяющая горение BTS должна либо не воспламеняться, либо при воспламенении прекратить горение после удаления источника горения.
Соответствие проверяют испытаниями распространения пламени в соответствии с
10.101.
9.102 Огнеупорность при строительных проникновениях
Блоки огневого барьера сборных шин, при их наличии, должны иметь конструкцию, позволяющую предотвратить распространение огня в течение установленного времени при пожаре, если BTS проходит через горизонтальные или вертикальные перегородки здания (например, стены или пол).
Если применимо, рекомендуются следующие периоды времени: 60, 90, 120, 180 или 240 мин. Это может быть достигнуто с помощью дополнительных деталей.
Соответствие проверяют испытанием огнестойкости в соответствии с
10.102.
Применяют настоящий раздел части 1, за исключением следующего:
10.1 Общие положения
Замена второго абзаца:
Если испытания на BTS проводились в соответствии с IEC 60439-2, а результаты испытаний отвечают требованиям настоящей части IEC 61439, повторную проверку этих требований не проводят.
Дополнение в конце пункта b) Работоспособность
| | ИС МЕГАНОРМ: примечание. Нумерация и названия пунктов даны в соответствии с официальным текстом документа. | |
10.101 Сопротивление распространению
10.102 Огнеупорность при строительных проникновениях
Замена:
BTS следует испытывать в соответствии с IEC 62262.
После испытания BTS должна продолжать обеспечивать код IP и диэлектрическую прочность; должна существовать возможность для снятия и переустановки съемных крышек и ответвительных коробок для открытия и закрытия дверей, если применимо.
Дополнительные подразделы:
10.2.101 Способность противостоять механическим нагрузкам
10.2.101.1 Испытательные процедуры для прямого блока сборных шин
Первое испытание должно выполняться на одном прямом блоке сборных шин, который поддерживается как при нормальной эксплуатации в двух позициях, расположенных на максимальном расстоянии D, установленном изготовителем.
Размещение и форма опор должны быть установлены изготовителем. См. рисунок 101.
Рисунок 101 - Испытание механической нагрузкой
прямого блока
Масса M должна быть приложена без динамической нагрузки на квадратный жесткий участок со стороной, равной ширине BTU, в средней точке между опорами на вершине корпуса.
Масса M должна быть равна:
- m + mL - для нормальных нагрузок;
- m + mL + 90 кг - для тяжелых нагрузок,
где m - масса BTU между опорами;
mL - масса блока питания и ответвительных коробок, установленная изготовителем при присоединении их на длине D.
Время выдержки при испытании составляет 5 мин.
10.2.101.2 Процедура испытаний соединения
Второе испытание проводится на двух блоках сборных шин, соединенных вместе и поддерживаемых как при нормальной эксплуатации в минимальном количестве позиций на максимальных расстояниях
D и
D1. Расстояние
D - такое же, как установлено в
10.2.101.1; расстояние
D1 - максимальное расстояние между опорами, смежными с соединением, установленным изготовителем. Соединение должно быть расположено посередине между опорами. См. рисунок 102.
Рисунок 102 - Испытание соединения механической нагрузкой
Масса M1 должна быть приложена без динамической нагрузки сверху корпуса над соединением на квадратный жесткий участок со стороной, равной ширине блока сборных шин. Масса M1 должна быть равна:
- m + mL1 - для нормальных нагрузок;
- m + mL1 + 90 кг - для тяжелых нагрузок,
где m1 - масса тех частей блока сборных шин, которые включаются в соединение между опорами, расположенными на расстоянии D1;
mL1 - максимальная масса блока питания и ответвительных коробок, установленная изготовителем при присоединении их на длине D1.
Время выдержки при испытании составляет 5 мин.
10.2.101.3 Сопротивление корпуса раздавливанию
Прямой блок сборных шин должен выдерживать усилие раздавливания, которое последовательно прилагается в четырех или более точках, включая одну точку между смежными изоляциями, при их наличии.
Блок сборных шин должен поддерживаться горизонтально на плоской поверхности, и усилие должно прилагаться через жесткую пластину, имеющую ширину, равную ширине блока сборных шин, и длину 120 мм.
Усилие раздавливания должно быть не менее четырехкратной массы блока на 1 м длины, если блок сборных шин предназначен для нормальных механических нагрузок; масса 90 кг должна быть добавлена, если блок сборных шин предназначен для тяжелых механических нагрузок.
Время выдержки при испытании составляет не менее 5 мин в каждой точке.
10.2.101.4 Получаемые результаты
Во время проведения испытания и после испытаний в соответствии с
10.2.101.1 -
10.2.101.3 не должны нарушаться блоки сборных шин, соединения шин, части блоков сборных шин; дополнительно не должно быть деформации корпуса, которая могла бы ухудшить степень защиты или уменьшить воздушные зазоры или пути утечки до значений, которые были бы меньше, установленных в 8.3, или ухудшить правильную установку входных и выходных блоков.
Во время проведения испытания и после испытаний защитная цепь должна оставаться функциональной и испытываемые образцы должны выдерживать диэлектрическое испытание в соответствии с 10.9.2 части 1.
| | ИС МЕГАНОРМ: примечание. В официальном тексте документа, видимо, допущена опечатка: имеется в виду пункт 10.2.102, а не 10.2.102.4. | |
10.2.102.4 Испытание на воздействие циклического изменения температуры
10.2.102.1 Общие положения
Вилочные ответвительные коробки должны подвергаться испытанию циклическим воздействием температуры.
10.2.102.2 Испытываемый образец
Если используется вилка в сборе одной конструкции для диапазона ответвительных коробок с различными номинальными токами или различными защитными устройствами, испытание одной комбинации блока сборных шин и ответвительной коробки рассматривается в качестве представительного для всего диапазона. Конструкция вилки в сборе включает физические характеристики, материал и поверхностную обработку (например, нанесение гальванического покрытия), если это применимо.
Если ответвительная коробка включает плавкие предохранители, то они должны быть максимального размера, установленного изготовителем. Если ответвительная коробка включает выключатель цепи, то он должен быть максимального размера, установленного изготовителем.
Ответвительная коробка должна быть расположена и загружена согласно
10.10.2.3.6.
Перед проведением испытания образец должен выдержать большое количество циклов включения и выключения ответвительной коробки установленным способом без приложения токовой нагрузки в соответствии с таблицей 105.
Таблица 105
Приведение в готовность для испытания на воздействие
циклического изменения температуры
Номинальный ток, А | Количество циклов включения и выключения |
Inc <= 63 | 25 |
63 < Inc <= 200 | 10 |
200 < Inc | 5 |
10.2.102.3 Процедура испытания
Ток прилагают до тех пор, пока температура не стабилизируется. Температура должна быть зарегистрирована, как установлено для испытания на превышение температуры. Цепь выключают, образец выдерживают до достижения комнатной температуры.
Затем образец подвергают 84 циклам, состоящим из:
a) 3 ч при включенном номинальном токе и 3 ч при выключенном номинальном токе;
b) 2 ч ВКЛ. при включенном номинальном токе и 2 ч ВЫКЛ., если температуры, полученные в конце двухчасового периода включенного тока, находятся в пределах 5 К от значений температур, зарегистрированных в конце периода стабилизации.
10.2.102.4 Получаемые результаты
Температуры, взятые после 84-го цикла не должны превышать более чем на 5 К значения температур, зарегистрированных в конце периода стабилизации.
10.3 Степень защиты УСТРОЙСТВ
Замена предпоследнего абзаца:
Если следы воды могут вызвать сомнения в правильности функционирования и безопасности оборудования, проводят диэлектрическое испытание в соответствии с 10.9.2 части 1.
10.5.3.1 Общие положения
Замена:
Устойчивость к короткому замыканию, установленная изготовителем, должна проверяться испытанием в соответствии с 10.5.3.5 или сравнением с испытанной контрольной конструкцией в соответствии с 10.5.3.3.
Изготовитель должен определить контрольную конструкцию(и), которая будет использоваться, по 10.5.3.3.
10.5.3.3 Проверка сравнением с эталонным образцом. Использование опросного листа
Замена:
Проверка считается выполненной, если сравнение проверяемой BTS с уже испытанным эталонным образцом включает следующие требования:
a) пункты 1 - 3, 5 - 6 и 8 - 10 контрольного перечня в таблице 13 части 1;
b) опоры шинопровода каждой цепи оцениваемой BTS должны иметь такой же тип, форму и материал, иметь такое же или меньшее пространство вдоль шинопровода, что и контрольная конструкция; изоляционные материалы должны иметь такой же тип, форму и толщину.
Допустимая токовая нагрузка для тока короткого замыкания, который протекает через открытые токопроводящие части, конструкция, количество и расположение составных частей, обеспечивающих контакт между защитным проводом и открытыми токопроводящими частями, полностью соответствуют испытанному эталонному образцу.
10.5.3.4 Проверка сравнением с контрольной конструкцией. Использование расчета
Настоящий подраздел части 1 не применяется.
10.10 Проверка превышения температуры
Замена всего подраздела:
10.10.1 Общие положения
Необходимо проверить, что пределы превышения температуры, указанные в
9.2 для различных частей BTS, не превышены.
Проверку проводят:
a) испытанием (см. 10.10.2); и/или
b) применением производных параметров номинального тока для аналогичных вариантов (см.
10.10.3).
10.10.2 Проверка испытанием
10.10.2.1 Общие положения
Проверка испытанием состоит в следующем:
a) если BTS, подлежащее проверке, имеет несколько вариантов, следует отобрать наиболее сложные комплектации BTS согласно 10.10.2.2;
b) выбирают метод(ы) испытания согласно
10.10.2.3.
10.10.2.2 Выбор типового исполнения
10.10.2.2.1 Общие положения
Испытание проводят на типовых BTU и ответвительных коробках, соответственно выбранных согласно
10.10.2.2.2 и
10.10.2.2.3.
Трехфазные/трехпроводные BTU и ответвительные коробки должны соответственно рассматриваться как репрезентативные трехфазных/4-проводных, трехфазных/5-проводных и однофазных/2-проводных BTU и ответвительных коробок, при условии, что нейтральный провод имеет размер, равный или больший, чем фазный провод, и расположен таким же способом.
Выбор типового исполнения BTU является обязанностью изготовителя.
Изготовитель должен учитывать номинальные токи других устройств, значения которых должны быть получены в соответствии с испытаниями по
10.10.3.
10.10.2.2.2 Блоки сборных шин (BTU)
a) Идентификация похожих BTU
BTU, состоящие из полюсных проводников прямоугольной формы, могут рассматриваться как аналогичные варианты одной и той же конструкции, даже если они рассчитаны на разные номинальные токи, при выполнении следующих условий:
- одинаковое расположение шин;
- одинаковое расстояние между проводами;
- одинаковый корпус.
b) Выбор типового BTU
Типовой вариант должен соответствовать следующим требованиям:
- минимальная электропроводимость;
- максимальные высота, толщина и поперечное сечение провода;
- наименее благоприятная вентиляция (размер отверстий, естественное или активное охлаждение ...).
Если все требования не могут быть выполнены для единичного BTU, должны быть проведены дальнейшие испытания.
10.10.2.2.3 Ответвительные коробки
a) Идентификация похожих ответвительных коробок
Ответвительные коробки могут рассматриваться как похожие варианты одной конструкции, даже если они предназначены для разных номинальных токов, если они отвечают следующим условиям:
1) функция главной цепи является такой же (например, питающий кабель, пускатель двигателя);
2) устройства имеют раму такого же размера и принадлежат к той же серии;
3) монтажная конструкция и корпус ответвительной коробки относятся к одному и тому же типу;
4) взаимное расположение устройств(ва) является тем же самым;
5) вид и расположение проводов, включая тип соединения и материал провода, между ответвительной коробкой и BTU имеют один и тот же тип;
6) поперечное сечение проводов главной цепи имеет класс не менее, чем класс устройства самого низшего класса из устройств, последовательно подключенных к главной цепи.
Выбор токопроводов должен проводиться в соответствии с IEC 60364-5-52. Примеры применения настоящего стандарта при нормальных условиях внутри шинной ответвительной коробки приведены в приложении H части 1. Необходимо провести испытания поперечного сечения шин, либо оно должно соответствовать приложению N части 1.
b) Выбор репрезентативной ответвительной коробки
Установлен максимально возможный номинал тока для каждого варианта ответвительной коробки. Для ответвительных коробок, содержащих только одно устройство, - это номинальный ток устройства. Для ответвительных коробок, содержащих несколько устройств, последовательно соединенных к главной цепи, - это устройства с самым низким номинальным током.
Для каждой ответвительной коробки потерю мощности рассчитывают на максимально возможный ток, используя данные, которые являются индивидуальными для каждого устройства (включая устройства во вспомогательных цепях), вместе с потерей мощности связанных проводов в главных цепях.
Репрезентативный вариант из похожих вариантов должен соответствовать всем следующим требованиям:
- самая низкая электропроводимость проводов главной цепи;
- самая высокая общая потеря мощности;
- наименее благоприятный корпус (общие размеры, отделения и вентиляция).
Если все требования не могут быть выполнены для единичной ответвительной коробки, должны быть проведены дальнейшие испытания.
Изготовитель должен определить, необходимо ли проведение дополнительного испытания с другим направлением, отличным от исходного направления.
10.10.2.3 Методы испытания
10.10.2.3.1 Общие положения
Испытание на превышение температуры на отдельных цепях должно выполняться при их номинальной частоте.
Чтобы получить требуемый ток, можно использовать любое подходящее значение испытательного напряжения.
Испытательные токи должны быть скорректированы так, чтобы быть в значительной степени равными во всех фазных проводах. Любая непреднамеренная циркуляция воздуха в испытываемой сети сборных шин должна быть предотвращена (например, закрыть концы корпуса).
Если ответвительные коробки включают плавкие предохранители, они должны быть оборудованы для испытания с плавкими вставками, как установлено изготовителем. Потери мощности плавких вставок, используемых для испытания, должны быть указаны в протоколе испытаний. Потери мощности плавкой вставки могут быть определены путем измерения или другим способом, указанным изготовителем плавкой вставки.
В ответвительных коробках, имеющих дополнительные цепи или устройства управления, терморезисторы должны имитировать рассеивание мощности этих дополнительных цепей или устройств.
Если электромагнитный элемент управления находится под напряжением во время испытания, температура должна измеряться, когда тепловое равновесие будет достигнуто и в основной цепи, и в электромагнитном элементе управления.
Размер и расположение внешних проводов, используемых для испытания, должны быть указаны в протоколе испытания.
Испытание следует проводить в течение времени, достаточного для повышения температуры до достижения постоянного значения. На практике это условие выполняется, когда изменение на всех измеренных точках (включая температуру окружающего воздуха) не превышает 1 К/ч.
Чтобы сократить продолжительность испытания, если это позволяют устройства, ток может быть увеличен в течение первой части испытания, после этого он сокращается до удельного испытательного тока.
10.10.2.3.2 Испытательные проводники
Применяют раздел 10.10.2.3.2 части 1.
10.10.2.3.3 Измерение температуры
Термопары или термометры должны использоваться для измерения температуры. Для обмотки следует в основном использовать метод измерения температуры с помощью изменения сопротивления.
Термометры или термопары должны быть защищены от воздушных потоков и теплового излучения.
Температуру необходимо измерять и регистрировать во всех точках, указанных в
9.2. Особое внимание следует уделять соединениям в проводах и клеммах с основными цепями. Конкретные точки установлены в
10.10.2.3.5 и
10.10.2.3.6.
Для измерения температуры воздуха внутри BTS, если применимо, несколько измерительных устройств должны быть установлены в удобных местах.
10.10.2.3.4 Температура окружающего воздуха
Термометры или термопары должны быть защищены от воздушных потоков и теплового излучения.
Температура окружающего воздуха является средней величиной всех измерительных точек температуры окружающего воздуха.
Температура окружающей среды в течение испытания должна составлять от +10 °C до +40 °C.
Конкретные точки установлены в 10.10.2.3.5 и
10.10.2.3.6.
10.10.2.3.5 Испытание питающей линии сборных шин
Блок питания и один (или более) представительный участок кабелепровода (см.
10.10.2.2.2) должны соединяться вместе, со всеми крышками на месте, формируя питающую линию сборных шин, включающую не менее двух соединений с общей длиной не менее 6 м.
Вспомогательные устройства системы сборных шин (например, коленчатые патрубки, гибкий блок сборных шин и т.д.) могут быть включены в наиболее подходящем положении вдоль питающих линий сборных шин и испытываться согласно той же процедуре.
Настоящее представительное оборудование должно устанавливаться на его заданных условиях монтажа и испытываться при номинальном напряжении Inc.
Температура проводов должна быть измерена в середине питающей линии сборных шин, а также на каждом соединении. Температура соответствующих частей корпуса должна быть измерена на всех свободных сторонах.
a) Горизонтальное направление
Питающая линия сборных шин должна поддерживаться горизонтально приблизительно в 1 м от пола.
Температура окружающего воздуха должна быть измерена в непосредственной близости от центра питающей линии сборных шин, на том же уровне и на расстоянии примерно 1 м от обеих продольных сторон корпуса.
b) Вертикальное направление
Шина питания сборных шин должна располагаться вертикально, на высоте 4 м в вертикальном положении, и быть прикреплена к жесткой конструкции в соответствии с инструкциями изготовителя.
Температура окружающего воздуха должна измеряться на расстоянии 1,5 м от верхнего конца испытываемого устройства и на расстоянии порядка 1 м от каждой продольной стороны корпуса устройства.
10.10.2.3.6 Испытание ответвительной коробки
Ответвительная коробка должна прикрепляться в заданных монтажных условиях к питающей линии сборных шин с номинальным током, не менее чем в два раза превышающим номинальный ток ответвительной коробки (или ближайшего доступного значения).
Ответвительная коробка должна выдерживать свой номинальный ток, а цепь питания сборных шин должна выдерживать свой номинальный ток до места ответвления.
Должно быть измерено превышение температуры соединений в тоководах и клеммах устройств главной цепи и соответствующих частей всех свободных сторон корпуса ответвительной коробки, а также превышение температуры проводников и соответствующих частей корпус BTU, где подключена ответвительная коробка.
a) Горизонтальная ориентация
Ответвительная коробка должна устанавливаться на питающей линии сборных шин как можно ближе к центру.
Температура окружающего воздуха должна быть измерена в непосредственной близости от центра испытываемой питающей линии сборных шин, на том же уровне и на расстоянии примерно 1 м от обеих продольных сторон корпуса ответвительной коробки.
b) Вертикальная ориентация
Ответвительная коробка должна устанавливаться таким образом, чтобы ее центр находился примерно на 1,5 м ниже от верхнего конца питающей линии сборных шин.
Температура окружающего воздуха должна измеряться на уровне центра испытываемой ответвительной коробки на расстоянии примерно 1 м от каждой из продольных сторон корпуса.
10.10.2.3.7 Испытание ответвительной коробки с несколькими выходными цепями
Если все выходные цепи ответвительной коробки могут одновременно и постоянно находиться под нагрузкой номинального тока (RDF = 1), тогда требования
10.10.2.3.6 применяются ко всем выходным цепям с нагрузкой номинального тока.
Если номинальный коэффициент одновременности меньше 1, тогда ответвительная коробка должна испытываться в два этапа:
a) каждый тип выходной цепи должен испытываться по отдельности при своем номинальном токе в соответствии с
10.10.2.3.6;
b) комплектная ответвительная коробка должна нагружаться своим номинальным током, а каждая выходная цепь - своим номинальным током, умноженным на номинальный коэффициент одновременности. Если номинальный ток ответвительной коробки меньше суммы испытательных токов всех выходных цепей (т.е. номинальных токов, умноженных на коэффициент одновременности), то входные цепи должны быть разделены на группы, соответствующие номинальному току ответвительной коробки. Эти группы должны быть сформированы таким образом, чтобы получить максимально возможное повышение температуры. Должно быть сформировано достаточное количество групп, а испытания должны осуществляться таким образом, чтобы охватить все различные варианты выходных цепей по меньшей мере в одной группе.
10.10.2.3.8 Получаемые результаты
В конце испытания повышение температуры не должно превышать значения, установленные в таблице 6 части 1. Оборудование должно удовлетворительно работать в диапазоне пределов напряжения, установленных для них при температуре внутри системы сборных шин.
10.10.3 Варианты отклонения от номинального тока
10.10.3.1 Общие положения
В следующих подразделах определено, как варианты номинального напряжения могут проверяться отклонением от похожего расположения, прошедшего испытание.
Испытания превышения температуры, проведенные при 50 Гц, применимы для частоты 60 Гц и номинальных токов до 800 А включительно. При отсутствии испытаний на частоте 60 Гц значение номинального тока для частоты 60 Гц должно составлять 95% от номинального тока на частоте 50 Гц. Альтернативно, если максимальное превышение температуры для частоты 50 Гц не превышает 90% от допустимого значения, тогда не требуется снижение номинальных значений.
Испытания повышения температуры, проведенные на конкретных частотах, применимы при том же номинальном токе на более низких частотах, включая постоянный ток.
10.10.3.2 Блок сборных шин
Номинальный ток похожих вариантов испытанного блока (см.
10.10.2.2.2) должен рассчитываться по следующей формуле снижения номинальных данных:
где In2 - рассчитываемый номинальный ток;
In1 - номинальный ток испытываемого блока сборных шин;
S2 - площадь поперечного сечения проводов варианта блока сборных шин;
S1 - площадь поперечного сечения проводов испытываемого блока сборных шин.
10.10.3.3 Ответвительные коробки
Номинальный ток похожих вариантов испытываемой ответвительной коробки (см.
10.10.2.2.3) должен рассчитываться по следующей формуле снижения номинальных характеристик:
где Intou2 - рассчитываемый номинальный ток;
Intou1 - номинальный ток испытываемой ответвительной коробки;
Imax2 - максимально возможный ток варианта ответвительной коробки;
Imax1 - максимально возможный ток испытываемой ответвительной коробки.
10.11.1 Общие положения
Замена:
Класс устойчивости к токам короткого замыкания должен проверяться, за исключением тех случаев, которые могут быть испытаны в соответствии с 10.11.2 части 1. Проверка может проводиться в соответствии с 10.11.5 части 1 или путем сравнения с контрольной конструкцией в соответствии с
10.11.3.
Испытание следует проводить на типовых питающих линиях сборных шин, расположенных в типовой конструкции, и на типовых ответвительных коробках, выбранных в соответствии с
10.11.5.1.
Изготовитель несет ответственность за выбор.
Изготовитель должен учитывать другие устройства, номинальные токи короткого замыкания которых должны быть получены в соответствии с 10.11.3 из проверенных устройств.
10.11.3 Проверка сравнением с контрольной конструкцией - Использование контрольного перечня
Замена:
Проверка осуществляется, если сравнение системы сборных шин должно быть проведено с уже прошедшей испытание контрольной конструкцией, которая отвечает всем следующим требованиям:
a) см. пункты 1 - 3 и 5 - 10 контрольного перечня в таблице 13 части 1;
b) оцениваемые опоры шинопровода каждой цепи системы сборных шин должны быть одного и того же типа, формы и материала и иметь такое же или меньшее пространство вдоль длины шинопровода, как у контрольной конструкции; изоляционные материалы должны быть того же типа, формы и толщины.
В случае невыполнения каких-либо требований, установленных в контрольном перечне, проверка должна проводиться согласно 10.11.5 части 1.
10.11.4 Проверка сравнением с контрольной конструкцией - Использование расчета
Настоящий подраздел части 1 не применяют.
10.11.5.1 Подготовка к испытанию
Систему сборных шин или ее части, необходимые для проведения испытания, монтируют как при нормальной эксплуатации.
10.11.5.3.2 Выходные цепи
Дополнение в начале подраздела:
Ответвительная коробка должна прикрепляться к блоку сборных шин, расположенному согласно 10.11.5.3.3, по возможности как можно ближе к выходному концу.
10.11.5.3.3 Входная цепь и основные шинопроводы
Замена:
Испытание должно проводиться на системе сборных шин, состоящих по крайней мере из одного блока сборных шин, соединенного с соответствующим количеством прямых участков блоков сборных шин, чтобы получить длины не более 6 м, включая по крайней мере одно соединение. Для проверки номинального кратковременного выдерживаемого тока (см. 5.3.5 части 1) и номинального пикового выдерживаемого тока (см. 5.3.4 части 1) можно использовать большую длину при условии, что пиковое значение и среднеквадратичное значение переменного компонента испытательного тока являются по крайней мере равными соответственно номинальному пиковому выдерживаемому току и номинальному кратковременному выдерживаемому току (см. 10.11.5.4, перечисление b) части 1).
Блоки сборных шин, не включенные в вышеуказанное испытание, должны оцениваться для условий нормальной эксплуатации и испытываться отдельно.
10.11.5.5 Получаемые результаты
Дополнение после пятого абзаца:
Повреждение допустимо для контактов ответвительной коробки (например, роликовые щетки), предназначенных для периодической замены в соответствии с инструкциями изготовителя.
10.11.5.6.2 Получаемые результаты
Замена:
Непрерывность и стойкость к короткому замыканию защитной цепи, независимо от того, состоит ли она из отдельного проводника или распределительного защитного щита, не должны значительно ухудшиться.
В случае ответвительной коробки это можно проверить посредством измерений тока, аналогичного номинальному току ответвительной коробки.
В случае блока сборных шин, после проведения испытания и после достаточного времени для охлаждения стержня до температуры окружающей среды, фаза сопротивления неисправного контура до PE
Rb20phPEN или
Rb20phPE не должна увеличиваться более чем на 10% (см.
5.101).
Если корпус используется в качестве защитного провода, искры и локальное нагревание в соединении разрешаются при условии, что они не ухудшат целостность цепи и соседние горючие предметы не воспламенятся.
Деформация корпуса или внутренних перегородок, ограждений и препятствий в результате короткого замыкания допустима при условии, что степень защиты визуально не нарушается, а зазоры или пути утечки не сокращаются до значений меньше указанных в 8.3 части 1.
10.13 Работоспособность механических частей
Настоящий подраздел части 1 применяют, за исключением следующего.
Изменение второго абзаца:
Число циклов срабатывания - 50.
Дополнение после последнего абзаца.
Для ответвительной коробки роликового типа скорость ролика, перемещающего скользящие контакты, и расстояние, на которое он перемещается, должны быть определены в соответствии с условиями эксплуатации, для которых он разработан. Если ролик предназначен для поддержки инструмента или другой механической нагрузки, эквивалентный вес должен быть подвешен на него во время испытания. После завершения испытания не должны быть выявлены механические или электрические дефекты, будь то неправильная укладка, пригорание или приваривание контактов.
Дополнительные подразделы:
| | ИС МЕГАНОРМ: примечание. Нумерация и названия пунктов даны в соответствии с официальным текстом документа. | |
10.101 Сопротивление распространению горения
Испытание применимо для всех типов и размеров блоков сборных шин для определения характеристик нераспространения горения систем сборных шин при монтаже и групповом соединении, выполненных в реальных условиях. Испытание должно выполняться в соответствии с IEC 60332-3-10 при воздействии пламени в течение 40 мин.
Испытание проводят на прямом отрезке питающей линии сборных шин длиной не менее 3 м и соединении.
Три нагрузочные магистрали сборных шин системы сборных шин одного типа должны размещаться вертикально через одинаковые интервалы на вертикальной лестнице на устройстве для проведения испытания на огнестойкость; каждая нагрузочная магистраль сборных шин должна быть установлена обратной стороной к воздействующему пламени горелки.
В случае нагрузочной магистрали сборных шин большой ширины число прямых отрезков испытуемых частей может быть уменьшено, но в этом случае испытание должно быть повторено для выполнения трех типов испытаний, относящихся к расположению сторон корпуса.
В случае блоков сборных шин с ответвительным оборудованием одна ответвительная коробка должна быть установлена, как при условиях нормальной эксплуатации (например, с крышкой), ориентирована на горелку и расположена в непосредственной близости от воздействия пламени горелки.
После прекращения горения корпусы питающих линий сборных шин следует протирать. Любая сажа не принимается во внимание, если после протирания исходная поверхность не повреждена. Смягчение или любая деформация неметаллических материалов также игнорируются. Максимальный размер ущерба измеряется в метрах, до одного десятичного знака, от нижнего края горелки до начала обуглившегося вещества.
Система считается прошедшей испытание, если:
- она не воспламеняется.
Примечание - Воспламенение мелких компонентов, которые не нарушают целостности питающей линии сборных шин, игнорируется;
- обугленная часть (внешняя или внутренняя) питающей линии сборных шин не достигает высоты, превышающей 2,5 м над нижним краем горелки.
| | ИС МЕГАНОРМ: примечание. Нумерация и названия пунктов даны в соответствии с официальным текстом документа. | |
10.102 Огнестойкость при прокладке через здания
Испытание применяется для проходки сборных шин, предназначенной для предотвращения распространения пламени при прокладке через здания. Испытание должно проводиться в соответствии с ISO 834-1 при сопротивлении проходки огню в течение 60, 120, 180 или 240 мин.
Испытание проводят на репрезентативных образцах прямых отрезков блоков сборных шин. Представленный образец, включая любые дополнительные части, должен быть установлен на испытательном полу с пустотой вокруг образца, заполненной огневым уплотнением.
Испытательный пол должен быть изготовлен из бетона; его толщина должна соответствовать требуемому времени сопротивления огню. Огнезащитная проходка должна соответствовать строительным требованиям пожарной безопасности.
Все расположение должно быть установлено в соответствии со строительной практикой и отвечать всем инструкциям изготовителя.
Для измерения температуры пожарного барьера набор термопар должен быть расположен на неэкспонированной стороне образца поверхности корпуса BTU.
Различные размеры в соответствии с рисунком 103 должны быть зарегистрированы в протоколе испытания.
a, b - ширина и длина отверстия испытательного пола;
c - толщина испытательного пола; d - длина огнеупорной
части; e - расположение термопар на незащищенной стороне
корпуса; h - длина защищенной стороны образца сборной
шины; H - длина образца сборной шины
Рисунок 103 - Испытательная установка
для проверки блока огнезащиты сборных шин
Критерии эксплуатации установлены в ISO 834-1.
Испытание с испытательным полом действительно также для проникновения сквозь стены.
11 Приемо-сдаточные испытания
Настоящий раздел части 1 применяют, за исключением следующего:
11.1 Общие положения
Замена второго предложения первого абзаца:
Проводят на каждом блоке системы сборных шин.
Приложения части 1 применяют, за исключением следующего:
Замена приложения C.
Замена приложения D.
Приложения E, O, P не применяют.
(справочное)
ПЕРЕЧЕНЬ ТЕХНИЧЕСКИХ ТРЕБОВАНИЙ
Таблица C.1
Перечень технических требований для заказчика
Характеристики | Ссылка на подраздел, пункт | Размещение по умолчанию | Варианты | Требование |
Электрическая система | | Стандарт изготовителя, выбранный, чтобы соответствовать местным требованиям | TT/TN-C/ TN-C-S/IT/TN-S | |
Система заземления | 3.8.9.1, 5.2.1, 8.5.3 | Локальная, в соответствии с условиями установки | <= 1 000 В переменного тока или 1 500 В постоянного тока | |
Переходное перенапряжение | 5.2.4, 8.5.3, 9.1, приложение G | Определяется электрической системой | Категория перенапряжения III/IV | |
Временное перенапряжение | 9.1 | Номинальное напряжение системы + 1200 В | Нет | |
Номинальная частота fn, Гц | | В соответствии с условиями локальной установки | Постоянный ток/ 50 Гц/60 Гц | |
Дополнительные испытания на месте эксплуатации: проводка и электротехнические работы | 11.10 | Стандарт изготовителя в соответствии с применением | Нет | |
Выдерживаемый ток короткого замыкания |
Предполагаемый ток короткого замыкания на клеммах питания Iср, кА | 3.8.7 | Определяется электрической системой | Нет | |
Предполагаемый ток короткого замыкания в нейтрали | 10.11.5.3.5 | Макс. 60% от фазовых значений | Нет | |
Предполагаемый ток короткого замыкания в защитной цепи | 10.11.5.6 | Макс. 60% от фазовых значений | Нет | |
УЗКЗ во входном функциональном блоке | 9.3.2 | В соответствии с условиями локальной установки | Да/Нет | |
Координация устройств защиты от короткого замыкания, включая детали внешних устройств защиты от короткого замыкания | 9.3.4 | В соответствии с условиями локальной установки | Нет | |
Данные, связанные с нагрузками, которые могут влиять на короткое замыкание | 9.3.2 | Без нагрузок, которые могут оказывать значительное влияние | Нет | |
Характеристики неисправного контура | | Стандарт изготовителя | Нет | |
Защита от поражения электрическим током в соответствии с IEC 60364-4-41 |
Тип защиты от поражения электрическим током - основная защита (защита от прямого контакта) | 8.4.2 | Основная защита | В соответствии с регламентами локальной установки | |
Тип защиты от поражения электрическим током - защита от КЗ (защита от косвенного контакта) | 8.4.3 | В соответствии с условиями локальной установки | Автоматическое отключение питания/электрическая сепарация/полная изоляция | |
Окружающая среда установки |
Тип местоположения | 3.5, 8.1.4, 8.2 | Стандарт изготовителя, в соответствии с приложением | В помещении/вне помещения | |
Защита от проникновения твердых инородных тел и попадания воды | 8.2.2, 8.2.3 | В помещении (в корпусе) - IP 2X. Вне помещения - IP 23 | После снятия ответвительных коробок: в подключенном положении/сокращенная защита | |
Внешний механический удар (IK) | | Нет | Нет | |
Механические нагрузки | | Нормальный | Нормальный/ тяжелый | |
Сопротивление УФ-излучению (применяют только к системе сборных шин, расположенной вне помещения, если не указано иное) | 10.2.4 | В помещении/ не помещения | В помещении/ не помещения | |
Сопротивление коррозии | 10.2.2 | В помещении/вне помещения | В помещении/вне помещения | |
Температура окружающего воздуха - нижний предел | 7.1.1 | В помещении - 5 °C. Вне помещения - 25 °C | Нет | |
Температура окружающего воздуха - верхний предел | 7.1.1 | 40 °C | Нет | |
Температура окружающего воздуха - ежедневный средний максимум | | 35 °C | Нет | |
Максимальная относительная влажность | 7.1.2 | В помещении - 50% при 40 °C. Вне помещения - 100% при 25 °C | Нет | |
Степень загрязнения (окружающей среды установки) | 7.1.3 | Промышленная - 3 | 1, 2, 3, 4 | |
Высота | 7.1.4 | <= 2 000 м | Нет | |
Среда ЭМС | 9.4, 10.12, приложение J | A/B | A/B | |
Электромагнитное поле | | Стандарт изготовителя | Нет | |
Сопротивление распространению пламени | | Нет | Да/Нет | |
Огнестойкость при прокладке через здания | | 0 мин | 0/60/90/120/180/ 240 мин | |
Особые условия обслуживания (например, исключительная конденсация, сильное загрязнение, коррозионная среда, маленькие животные, сильные электрические или магнитные поля, установка рядом с высокочувствительным ИТ-оборудованием, опасность взрыва, определенные рабочие характеристики в условиях воздействия пламени, сильная вибрация и удары, землетрясения, специальные механические нагрузки, значительная перегрузка по току с интенсивной частотой повторения) | 7.2, 8.5.4, 9.3.3 Таблица 7 | Отсутствуют специальные условия предоставления услуги | Нет | |
Метод установки |
Тип | | Стандарт изготовителя | Горизонтально/ вертикально в направлении к краю | |
Максимальные габаритные размеры и вес | | Стандарт изготовителя, в соответствии с приложением | Нет | |
Тип(ы) внешнего провода | 8.8 | Стандарт изготовителя | Кабель/система сборных шин | |
Направление(я) внешних проводов | 8.8 | Стандарт изготовителя | Нет | |
Материал внешнего провода | 8.8 | Стандарт изготовителя | Cu/Al | |
Внешний фазовый провод, поперечное сечение и клеммные зажимы | 8.8 | В соответствии с определением стандарта | Нет | |
Внешние провода PE, N, PEN, поперечное сечение и клеммные зажимы | 8.8 | В соответствии с определением стандарта | Нет | |
Специальные требования по идентификации клеммного зажима | 8.8 | В соответствии с определением стандарта | Нет | |
Хранение и погрузочно-разгрузочные работы |
Максимальные размеры и вес транспортируемых блоков | 6.2.2, 10.2.5 | Стандарт изготовителя | Нет | |
Методы транспортировки (например, вилочный погрузчик, подъемный кран) | 6.2.2, 8.1.6 | Стандарт изготовителя | Нет | |
Условия окружающей среды, отличающиеся от условий обслуживания | 7.3 | Как в условиях обслуживания | Нет | |
Детали упаковки | 6.2.2 | Стандарт изготовителя | Нет | |
Расположение при эксплуатации |
Изоляция внешних выходных цепей | | Стандарт изготовителя | Нет | |
Техническое обслуживание и возможности улучшения |
Доступность в обслуживании лицами без специальной подготовки. Требование по эксплуатации устройств или изменению компонентов, в то время как система сборных шин находится под напряжением | 8.4.6.1 | Основная защита | Нет | |
Доступность для проверки и похожих операций | 8.4.6.2.2 | Нет требований по доступности | Нет | |
Доступность для технического обслуживания уполномоченными лицами в процессе эксплуатации | 8.4.6.2.3 | Нет требований по доступности | Нет | |
Доступность для проведения удлинения уполномоченными лицами в процессе эксплуатации | 8.4.6.2.4 | Нет требований по доступности | Нет | |
Метод соединения функциональных блоков | | Стандарт изготовителя | Стационарный/ отключаемый | |
Защита от прямого контакта с опасными токопроводящими внутренними частями во время технического обслуживания или обновления (например, функциональные блоки, главные сборные шины, шины распределения) | 8.4 | Нет требований | Нет | |
Номинальный ток системы сборных шин InA, А | | Стандарт изготовителя, в соответствии с приложением | Нет | |
Значительные гармонические токи | | Стандарт изготовителя, в соответствии с приложением | Нет | |
Характеристики фазовых проводов/падения напряжения | | Стандарт изготовителя | Нет | |
Номинальный ток цепей InA, А | | Стандарт изготовителя, в соответствии с приложением | Нет | |
Номинальный коэффициент одновременности | | Для систем сборных шин и ответвительных коробок с одноконтурными выходами: см. таблицу 101 | Нет | |
Отношение поперечного сечения нейтрального провода к фазовым проводам до 16 мм2 включительно | 8.6.1 | 100% | Нет | |
Отношение поперечного сечения нейтрального провода к фазовым проводам больше 16 мм2 | 8.6.1 | 50% (мин. 16 мм2) | Нет | |
(справочное)
ПРОВЕРКА СООТВЕТСТВИЯ ПРОЕКТА ЗАДАННЫМ ТРЕБОВАНИЯМ
Таблица D.1
Проверка соответствия проекта заданным требованиям
N | Проверяемые характеристики | Подразделы, пункты | Доступные варианты проверки |
Испытание | Сравнение с контрольной конструкцией | Оценка |
1 | Стойкость материала и частей: | | | | |
- устойчивость к коррозии | 10.2.2 | Да | Нет | Нет |
Свойства изолирующих материалов: | | | | |
- температурная устойчивость | 10.2.3.1 | Да | Нет | Нет |
- устойчивость к аномальному теплу и огню, вызванным внутренними электрическими воздействиями | 10.2.3.2 | Да | Нет | Нет |
- устойчивость к УФ-излучению | 10.2.4 | Да | Нет | Нет |
- подъем | 10.2.5 | Да | Нет | Нет |
- механический удар | | Да | Нет | Нет |
- маркировка | 10.2.7 | Да | Нет | Нет |
- способность выдерживать механические нагрузки | | Да | Нет | Нет |
- испытание на воздействие циклического изменения температуры | | Да | Нет | Нет |
2 | Степень защиты оболочек | | Да | Нет | Да |
3 | Зазоры | 10.4 | Да | Нет | Нет |
4 | Пути утечек | 10.4 | Да | Нет | Нет |
5 | Защита от поражения электрическим током и целостности защитных контуров: | | | | |
- эффективная неразрывность между открытыми токопроводящими частями системы сборных шин и защищенной цепью | 10.5.2 | Да | Нет | Нет |
- стойкость защитной цепи к короткому замыканию | 10.5.3 | Да | Нет | Нет |
6 | Включение устройств и компонентов переключения | 10.6 | Нет | Нет | Да |
7 | Внутренние электрические цепи и соединения | 10.7 | Нет | Нет | Да |
8 | Клеммные зажимы для внешних проводов | 10.8 | Нет | Нет | Да |
9 | Диэлектрические свойства: | | | | |
- выдерживаемое напряжение промышленной частоты | 10.9.2 | Да | Нет | Нет |
- импульсное выдерживаемое напряжение | 10.9.3 | Да | Нет | Да |
10 | Пределы повышения температуры | | Да | Да | Да |
11 | Стойкость к короткому замыканию | 10.11 | Да | Да | Нет |
12 | Электромагнитная совместимость (ЭМС) | 10.12 | Да | Нет | Да |
13 | Механическая эксплуатация | | Да | Нет | Да |
14 | Стойкость к распространению пламени | | Да | Нет | Нет |
15 | Огнестойкость при проникновениях в здание | | Да | Нет | Нет |
(справочное)
ПАДЕНИЕ НАПРЯЖЕНИЯ СИСТЕМЫ
Падение напряжения системы сборных шин может быть рассчитано по следующей формуле:
где u - составное падение напряжения системы, выраженное, В;
R и
X - средние значения активного и реактивного сопротивлений системы в соответствии с
5.101, Ом/м;
IB - ток в рассматриваемой цепи, А;
L - длина рассматриваемой системы, м;

- рассчитываемый коэффициент мощности нагрузки;
k - множитель распределения нагрузки, рассчитанный следующим образом:
- для расчета падения напряжения в конце питающей линии сборной шины k принимается равным:
- 1 - если нагрузка сконцентрирована в конце питающей линии сборной шины;
-

- если нагрузка равномерно распределена между
n ветвей;
- для расчета падения напряжения в исходной ветви, расположенной на расстоянии d от исходной линии сборной шины, k принимается равным (2n + 1 - nd/L)2n для нагрузок, равномерно распределенных вдоль питающей линии сборных шин.
Изготовитель может предоставить таблицу предварительно рассчитанных падений напряжения в вольтах на ампер и в вольтах на метр длины для разных коэффициентов электрической мощности, для того чтобы упростить базовые расчеты.
(справочное)
ХАРАКТЕРИСТИКИ ФАЗОВОГО ПРОВОДА
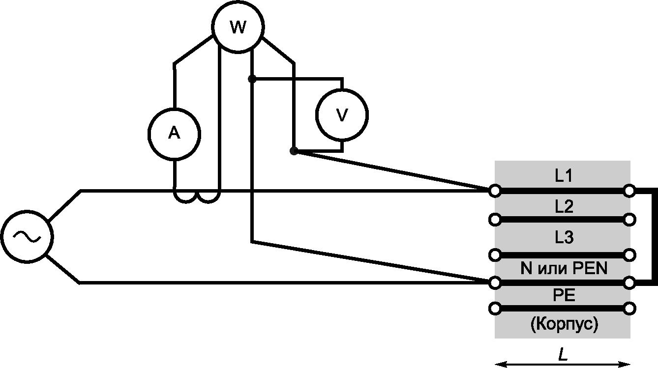
Рисунок BB.1 - Определение характеристик
фазовых проводов
Замыкают накоротко все фазовые провода на выходе испытываемого образца (соединение звездой).
Записывают результаты измерений, полученные в ходе испытания на превышение температуры, или используют ту же расстановку и условия (см.
10.10.2), включая фазовые токи со значениями, максимально близкими к номинальному току.
L - длина питающей линии сборных шин от вольтметра, подключенного на входном зажиме, до точки, в которой фазовые провода соединяются вместе в выходном зажиме, м;

- температура окружающего воздуха, °C;

- среднее установившееся повышение температуры фазовых проводов, °C;
V12, V23, V31 - среднеквадратичное межфазное падение напряжения, В;
I1, I2, I3 - среднеквадратичный ток, А;
P - суммарная активная мощность, определенная с помощью ваттметров W1 и W2, Вт.
Примечание 1 - Суммарная активная мощность может быть определена через три ваттметра.
Рассчитывают среднее значение действующего падения напряжения схемы "фаза - фаза":
Рассчитывают средние значения (на метр длины) полного сопротивление

, активного сопротивления

при температуре окружающего воздуха

и реактивное сопротивление
X независимо от температуры каждого фазового провода по формулам:
| | ИС МЕГАНОРМ: примечание. Формула дана в соответствии с официальным текстом документа. | |
Примечание 2 - Также можно измерить среднеквадратичное падение напряжения схемы "фаза - нейтраль"
Vx и мощности
Px в каждой отдельной фазе, рассчитывая каждое полное сопротивление

, каждое активное сопротивление

, каждое реактивное сопротивление

и наконец рассчитывая их средние значения.
Примечание 3 - Вместо мощности можно также измерить среднеквадратичное падение напряжения схемы "фаза - нейтраль"
Vx и смещение

между напряжением и током для каждой фазы, рассчитывая каждое полное сопротивление

, каждое сопротивление

, каждое реактивное сопротивление

и наконец рассчитывая их средние значения.
Рассчитывают R20 и Z(1)20 (если система сборных шин не работает и при температуре проводов +20 °C) и R и Z(1) (если система сборных шин работает при InC при температуре окружающего воздуха +35 °C) по формулам:
Примечание 4 - Z(1), Z(1)20, Z(2) и Z(2)20 являются положительной и отрицательной последовательностями фаз полных сопротивлений системы сборных шин.
(справочное)
ПОЛНОЕ СОПРОТИВЛЕНИЕ НУЛЕВОЙ ПОСЛЕДОВАТЕЛЬНОСТИ
НЕИСПРАВНОГО КОНТУРА
Рисунок CC.1 - Определение полного сопротивления
нулевой последовательности неисправного контура
Последовательно подключают параллельные фазовые провода испытываемого образца к N-, PE- и PEN-проводам.
Используют такую же расстановку, что и для испытания повышения температуры питающей линии сборных шин (см.
10.10.2), за исключением того, что значение фазового тока может быть меньше значения номинального тока
Inc и/или применяться только на время, необходимое для записи измерений, перечисленных ниже. Если корпус предназначен для использования в качестве части защитного провода, прикрепляют его к PE/PEN как при нормальной эксплуатации в соответствии с инструкциями изготовителя.
Если корпус не предназначен для использования в качестве единственного защитного провода, а отдельный PE/PEN-провод отсутствует, проводят измерение между фазовыми проводами и выходной клеммой корпуса.
Примечание 1 - Сопротивление, реактивное сопротивление и полное сопротивление в условиях отказа могут существенно отличаться от них же при номинальном токе, особенно если корпус используется в качестве защитного провода или его части. В этом случае изготовитель должен определять значение и продолжительность тока для условий отказа, тем самым предотвращая чрезмерное повышение температуры.
Проводят следующие измерения:
L - длина питающей линии сборных шин от вольтметра, подключенного на входном зажиме, до точки, в которой фазовые провода соединяются вместе в выходном зажиме, м;

- температура окружающего воздуха, °C.
Примечание 2 - Начальная температура провода равна температуре окружающего воздуха, и повышение температуры рассматривают как несущественное во время проведения измерений.

- среднее устойчивое повышение температуры фазовых проводов, °C;
Vx - среднеквадратическое падение напряжения неисправного контура, В;
Ix - суммарный среднеквадратический ток, А;
Px - активная мощность, Вт.
Если
x зависит от типа неисправного контура (см.
рисунок CC.1):
- схема "фаза - нейтраль";
- схема "фаза - PEN";
- схема "фаза - PE".
Примечание 3 - Вместо
Px также можно измерить смещение

между напряжением и током и рассчитать

.
Рассчитывают соответствующее полное сопротивление нулевой последовательности на метр длины неисправного контура

, активное сопротивление

при температуре окружающего воздуха

и реактивное сопротивление
X(0)bx независимо от температуры окружающего воздуха по формулам:
Рассчитывают R(0)b20x и Z(0)b20x (для системы сборных шин, не работающей при температуре проводов +20 °C) и R(0)bx и Z(0)bx (для системы сборных шин, работающей при InC при температуре окружающего воздуха +35 °C) по формулам:
где

- среднее установившееся повышение температуры фазовых проводов в соответствии с измерениями согласно
приложению BB или во время испытания повышения температуры.
(справочное)
АКТИВНОЕ И РЕАКТИВНОЕ СОПРОТИВЛЕНИЕ НЕИСПРАВНОГО КОНТУРА
Рисунок DD.1 - Определение активного сопротивления
и реактивного сопротивления неисправного контура
Последовательно подключают каждый фазовый провод к каждому другому проводу.
Используют такую же расстановку, что и для испытания повышения температуры питающей линии сборных шин (см.
10.10.2), за исключением того, что фазовый ток может быть меньше номинального тока
Inc и/или применяться только в течение времени, необходимого для записи измерений, перечисленных ниже.
Если корпус предназначен для использования в качестве части защитного провода, прикрепляют его к PE/PEN как при нормальной эксплуатации в соответствии с инструкциями изготовителя. Если корпус не предназначен для использования в качестве единственного защитного провода, а отдельный PE/PEN-провод отсутствует, проводят измерение между фазовыми проводами и выходной клеммой корпуса.
Примечание 1 - Сопротивление, реактивное сопротивление и полное сопротивление в условиях отказа могут существенно отличаться от них же при номинальном токе, особенно если корпус используется в качестве защитного провода или его части. В этом случае изготовитель должен определять значение и продолжительность тока для условий отказа, тем самым предотвращая чрезмерное повышение температуры.
Проводят следующие измерения:
L - длина питающей линии сборных шин от вольтметра, подключенного на входном зажиме, до точки, в которой фазовые провода соединяются вместе в выходном зажиме, м;

- температура окружающего воздуха, °C.
Примечание 2 - Начальная температура провода равна температуре окружающего воздуха, и повышение температуры рассматривают как несущественное во время проведения измерений.

- среднее установившееся повышение температуры фазовых проводов, °C;
Vxx - среднеквадратическое падение напряжения неисправного контура, В;
Ixx - суммарный среднеквадратический ток, А;
Pxx - активная мощность, Вт.
Если xx зависит от типа соединения неисправного контура (см.
рисунок DD.1):
- схема "фаза - фаза" (от ph1 до ph2, от ph2 до ph3, от ph3 до ph1);
- схема "фаза - нейтраль" (от ph1 до N, от ph2 до N, от ph3 до N);
- схема "фаза - PEN" (от ph1 до PEN, от ph2 до PEN, от ph3 до PEN);
- схема "фаза - PE" (от ph1 до PE, от ph2 до PE, от ph3 до PE).
Примечание 3 - Вместо
Pxx также можно измерить смещение

между напряжением и током и рассчитать

.
Рассчитывают соответствующее полное сопротивление неисправного контура на метр длины

, активное сопротивление

при температуре окружающего воздуха

и реактивное сопротивление
Xbxx независимо от температуры по формулам:
Рассчитывают соответствующие значения неисправного контура по формулам:
- схема "фаза - фаза":
Xbphph = 1/3(Xbph1ph2 + Xbph2ph3 + Xbph3ph1);
- схема "фаза - x":
Xbphx = 1/3(Xbph1x + Xbph2x + Xbph3x).
Рассчитывают Rb20xx и Zb20xx (для системы сборных шин, не работающей при температуре провода +20 °C) и Rbx (для системы сборных шин, работающей при InC при температуре окружающего воздуха +35 °C):
где

- среднее установившееся повышение температуры фазовых проводов, в соответствии с измерениями согласно
приложению BB или во время испытания повышения температуры.
(справочное)
МЕТОД ОПРЕДЕЛЕНИЯ МАГНИТНОГО ПОЛЯ
ВБЛИЗИ СИСТЕМЫ СБОРНЫХ ШИН
Если установлено, магнитное поле должно измеряться следующим образом.
Рисунок EE.1 - Устройство для измерения магнитного поля
Для испытания прямой блок сборных шин длиной не менее 3 м располагают горизонтально вдоль оси z.
Измерительный узел (изготовленный из пластмассы) может быть размещен и зафиксирован в определенном положении на панели (изготовленной из фанеры или пластмассы) вдоль пяти осей измерения:
A(+y), B, C(x), D, E(-y).
Этот измерительный узел должен быть способен вмещать один или два датчика магнитного поля, которые ориентированы в постоянном перпендикулярном положении относительно осей x или y.
Для каждого предварительно определенного положения панели компоненты вектора магнитного поля измеряют магнитометром.
Все измерения производят в соответствии с IEC 61786.
Модули локального магнитного поля рассчитывают по формуле
(справочное)
СВЕДЕНИЯ О СООТВЕТСТВИИ ССЫЛОЧНЫХ МЕЖДУНАРОДНЫХ СТАНДАРТОВ
МЕЖГОСУДАРСТВЕННЫМ СТАНДАРТАМ
Таблица ДА.1
Обозначение ссылочного международного стандарта | Степень соответствия | Обозначение и наименование соответствующего межгосударственного стандарта |
IEC 60332-3-10:2000 | - | |
IEC 60439-2:2000 | - | |
IEC 61439-1:2011 | IDT | |
IEC 61786:1998 | - | |
ISO 834-1:1999 | - | |
<*> Соответствующий межгосударственный стандарт отсутствует. До его принятия рекомендуется использовать перевод на русский язык данного международного стандарта. В настоящей таблице использовано следующее условное обозначение степени соответствия стандарта: - IDT - идентичный стандарт. |
Применяют библиографию части 1, за исключением следующего:
Дополнение:
IEC 60570:2003 | Electrical supply track systems for luminaires (Шинопроводы электрические для светильников) |
IEC 60909-0:2001 | Short-circuit currents in three-phase a.c. systems - Part 0: Calculation of currents (Токи короткого замыкания в трехфазных системах переменного тока. Часть 0. Расчет токов) |
IEC 61084 (all parts) | Cable trunking and ducting systems for electrical installations (все части) (Системы кабельных желобов и каналов для электрических установок) |
IEC 61439 (all parts) | Low voltage switchgear and controlgear assemblies (все части) (Аппаратура распределения и управления низковольтная комплектная) |
IEC 61534 (all parts) | Powertrack systems (Системы шинопроводные) |