Главная // Актуальные документы // ГОСТ (Государственный стандарт)СПРАВКА
Источник публикации
М.: Стандартинформ, 2019
Примечание к документу
Текст данного документа приведен с учетом
поправки, опубликованной в "ИУС", N 4, 2020;
поправки, опубликованной в "ИУС", N 8, 2020;
поправки, введенной в действие с 23.08.2021, опубликованной в "ИУС", N 1, 2022.
Документ
введен в действие с 01.06.2020.
Название документа
"ГОСТ 34563-2019. Межгосударственный стандарт. Магистральный трубопроводный транспорт нефти и нефтепродуктов. Правила технологического проектирования"
(введен в действие Приказом Росстандарта от 24.09.2019 N 749-ст)
"ГОСТ 34563-2019. Межгосударственный стандарт. Магистральный трубопроводный транспорт нефти и нефтепродуктов. Правила технологического проектирования"
(введен в действие Приказом Росстандарта от 24.09.2019 N 749-ст)
агентства по техническому
регулированию и метрологии
от 24 сентября 2019 г. N 749-ст
МЕЖГОСУДАРСТВЕННЫЙ СТАНДАРТ
МАГИСТРАЛЬНЫЙ ТРУБОПРОВОДНЫЙ ТРАНСПОРТ
НЕФТИ И НЕФТЕПРОДУКТОВ
ПРАВИЛА ТЕХНОЛОГИЧЕСКОГО ПРОЕКТИРОВАНИЯ
Trunk pipeline transport of oil and oil products.
Rules of technological design
ГОСТ 34563-2019
Дата введения
1 июня 2020 года
Цели, основные принципы и общие правила проведения работ по межгосударственной стандартизации установлены
ГОСТ 1.0 "Межгосударственная система стандартизации. Основные положения" и
ГОСТ 1.2 "Межгосударственная система стандартизации. Стандарты межгосударственные, правила и рекомендации по межгосударственной стандартизации. Правила разработки, принятия, обновления и отмены"
1 РАЗРАБОТАН Акционерным обществом "Институт по проектированию магистральных трубопроводов" (АО "Гипротрубопровод")
2 ВНЕСЕН Подкомитетом ПК 7 "Магистральный трубопроводный транспорт нефти и нефтепродуктов" Межгосударственного технического комитета по стандартизации МТК 523 "Техника технологии добычи и переработки нефти и газа"
3 ПРИНЯТ Межгосударственным советом по стандартизации, метрологии и сертификации (протокол от 30 июля 2019 г. N 120-П)
За принятие проголосовали:
Краткое наименование страны по МК (ИСО 3166) 004-97 | Код страны по МК (ИСО 3166) 004-97 | Сокращенное наименование национального органа по стандартизации |
Азербайджан | AZ | Азстандарт |
Армения | AM | Минэкономики Республики Армения |
Беларусь | BY | Госстандарт Республики Беларусь |
Казахстан | KZ | Госстандарт Республики Казахстан |
Киргизия | KG | Кыргызстандарт |
Россия | RU | Росстандарт |
Таджикистан | TJ | Таджикстандарт |
Узбекистан | UZ | Узстандарт |
4
Приказом Федерального агентства по техническому регулированию и метрологии от 24 сентября 2019 г. N 749-ст межгосударственный стандарт ГОСТ 34563-2019 введен в действие в качестве национального стандарта Российской Федерации с 1 июня 2020 г.
5 ВВЕДЕН ВПЕРВЫЕ
Информация о введении в действие (прекращении действия) настоящего стандарта и изменений к нему на территории указанных выше государств публикуется в указателях национальных стандартов, издаваемых в этих государствах, а также в сети Интернет на сайтах соответствующих национальных органов по стандартизации.
В случае пересмотра, изменения или отмены настоящего стандарта соответствующая информация будет опубликована на официальном интернет-сайте Межгосударственного совета по стандартизации, метрологии и сертификации в каталоге "Межгосударственные стандарты"
1.1 Настоящий стандарт распространяется на проектирование новых и реконструкцию действующих магистральных трубопроводов для транспортирования нефти и нефтепродуктов <1>, включая ответвления от них, номинальным диаметром до DN 1200 включительно, с избыточным давлением на выходе перекачивающей станции до 10 МПа включительно и избыточным давлением на линейной части магистрального трубопровода до 14 МПа включительно.
--------------------------------
<1> К нефтепродуктам, транспортируемым по магистральным трубопроводам, относятся автомобильные бензины, дизельные топлива и топлива для реактивных двигателей.
1.2 При проектировании объектов реконструкции действующих магистральных трубопроводов для транспортирования нефти и нефтепродуктов положения настоящего стандарта распространяются только на реконструируемую часть объекта.
1.3 Настоящий стандарт не распространяется на:
- морские трубопроводы, трубопроводы для транспортирования широкой фракции легких углеводородов и сжиженных углеводородных газов;
- трубопроводы, предназначенные для осуществления и/или обеспечения технологических процессов добычи, в том числе на промысловые и межпромысловые трубопроводы, переработки углеводородного сырья;
- трубопроводы, прокладываемые на территории населенных пунктов;
- подводящие трубопроводы потребителей услуг магистральных трубопроводов, предназначенные для транспортирования нефти и нефтепродуктов от приемо-сдаточных пунктов до узлов подключения к магистральным трубопроводам;
- магистральные трубопроводы, введенные в эксплуатацию до ввода в действие настоящего стандарта.
В настоящем стандарте использованы нормативные ссылки на следующие стандарты:
ГОСТ 31385-2016 Резервуары вертикальные цилиндрические стальные для нефти и нефтепродуктов. Общие технические условия
Примечание - При пользовании настоящим стандартом целесообразно проверить действие ссылочных стандартов и классификаторов на официальном интернет-сайте Межгосударственного совета по стандартизации, метрологии и сертификации (www.easc.by) или по указателям национальных стандартов, издаваемым в государствах, указанных в предисловии, или на официальных сайтах соответствующих национальных органов по стандартизации. Если на документ дана недатированная ссылка, то следует использовать документ, действующий на текущий момент, с учетом всех внесенных в него изменений. Если заменен ссылочный документ, на который дана датированная ссылка, то следует использовать указанную версию этого документа. Если после принятия настоящего стандарта в ссылочный документ, на который дана датированная ссылка, внесено изменение, затрагивающее положение, на которое дана ссылка, то это положение применяется без учета данного изменения. Если ссылочный документ отменен без замены, то положение, в котором дана ссылка на него, применяется в части, не затрагивающей эту ссылку.
В настоящем стандарте применены следующие термины с соответствующими определениями:
3.1 байпасный трубопровод: Трубопровод, соединяющий вход и выход технологической установки/сооружения и предназначенный для направления всего или части потока перекачиваемой нефти/перекачиваемых нефтепродуктов в обход этой установки сооружения.
3.2 годовой фонд времени работы МТ: Продолжительность работы магистрального трубопровода (МТ) в течение года с учетом остановок на регламентные и аварийно-восстановительные работы.
3.3 допустимое рабочее давление в секции трубопровода: Максимальное избыточное давление для каждой секции трубопровода, определяемое в зависимости от несущей способности секции трубопровода и результатов гидравлических испытаний на прочность.
Примечания
1 Ранее в ряде документов для обозначения данного понятия использовался термин "разрешенное рабочее давление в секции трубопровода".
2 За значение допустимого рабочего давления в каждой секции трубопровода при стационарном режиме принимается минимальное значение из двух значений:
- 80% от испытательного давления в секции на прочность (для участков категорий I - IV), 66,7% от испытательного давления в секции на прочность (для участков категории B);
- несущая способность секции трубопровода.
3 За значение допустимого рабочего давления для каждой секции трубопровода при нестационарном режиме принимается минимальное значение из двух значений:
- испытательное давление в секции трубопровода на прочность (для участков категории III или IV), 88% от испытательного давления в секции трубопровода на прочность (для участков категорий I или II), 73% от испытательного давления в секции трубопровода на прочность (для участков категории B);
- 110% от несущей способности секции трубопровода.
4 При наличии результатов внутритрубного диагностирования принимают фактическую несущую способность секции трубопровода.
3.4 допустимое рабочее давление на входе НПС: Максимальное избыточное давление для каждой секции трубопровода на входе НПС, определяемое в зависимости от несущей способности секции трубопровода и результатов гидравлических испытаний на прочность.
Примечания
1 Ранее в ряде документов для обозначения данного понятия использовался термин "разрешенное рабочее давление на входе НПС".
2 За значение допустимого рабочего давления для каждой секции трубопровода на входе НПС принимают минимальное из двух значений:
- 80% от испытательного давления в секции на прочность (для участков категорий от I до IV), 66,7% от испытательного давления в секции на прочность (для участков категории B);
- значение несущей способности секции трубопровода.
3.5 допустимое рабочее давление на выходе магистральной насосной станции: Максимальное избыточное давление в точке трубопровода, расположенной до регулятора давления, установленного на выходе магистральной насосной станции (при его наличии), определяемое в зависимости от несущей способности секции трубопровода и результатов гидравлических испытаний на прочность.
Примечания
1 Ранее в ряде документов для обозначения данного понятия использовался термин "разрешенное рабочее давление на выходе магистральной насосной станции".
2 За значение допустимого рабочего давления для каждой секции трубопровода на выходе магистральной насосной станции принимают минимальное из двух значений:
- 80% от испытательного давления в секции на прочность (для участков категорий от I до IV), 66,7% от испытательного давления в секции на прочность (для участков категории B);
- значение несущей способности секции трубопровода.
3 При отсутствии узла регулирования давления на выходе магистральной насосной станции допустимое рабочее давление в коллекторе магистральной насосной станции (от входа первого насосного агрегата) принимают равным допустимому рабочему давлению на выходе НПС.
3.6 допустимое рабочее давление на выходе НПС: Максимальное избыточное давление в точке трубопровода, расположенной после регулятора давления, установленного на выходе магистральной насосной станции (при его наличии), определяемое в соответствии с действующими нормами с учетом фактической несущей способности секций линейной части магистрального трубопровода и результатами испытаний на прочность.
Примечание - Ранее в ряде документов для обозначения данного понятия использовался термин "разрешенное рабочее давление на выходе НПС".
3.7 испытательное давление трубопровода: Максимальное давление в секции трубопровода при гидравлических испытаниях на прочность в течение времени, установленного в нормативных документах.
3.8 конечный пункт проектируемого МТ: НПС с резервуарным парком (РП), нефтебаза, приемо-сдаточный пункт, предприятие нефтепереработки, нефтехимии, пункт перевалки на другой вид транспорта.
3.9 коэффициент неравномерности перекачки Kнп: Коэффициент, показывающий, во сколько раз расчетная пропускная способность магистрального трубопровода превышает проектную пропускную способность магистрального трубопровода.
3.10 линейная часть магистрального трубопровода (для транспортирования нефти и нефтепродуктов): Объект магистрального трубопровода, предназначенный для перемещения транспортируемых нефти/нефтепродуктов, включающий собственно трубопровод, вдольтрассовые линии электропередачи, кабельные линии и сооружения связи, устройства электрохимической защиты от коррозии и иные сооружения и технические устройства, обеспечивающие его эксплуатацию.
3.11 линия гидравлического уклона: Линия, представляющая зависимость потери полного напора по длине трубопровода.
3.12 лупинг: Трубопровод, дополнительно проложенный параллельно основному трубопроводу и соединенный с ним для увеличения его пропускной способности.
Примечание - Под основным трубопроводом понимается изначально проложенный трубопровод для перекачки нефти/нефтепродуктов.
3.13 марка нефтепродукта: Словесное и/или буквенное обозначение нефтепродукта.
3.14 магистральный трубопровод (для транспортирования нефти и нефтепродуктов); МТ: Единый производственно-технологический комплекс, предназначенный для транспортирования нефти и нефтепродуктов от пунктов приема до пунктов сдачи потребителям или перевалки их на автомобильный, железнодорожный или водный виды транспорта, состоящий из конструктивно и технологически взаимосвязанных объектов, включая сооружения и здания, используемые для целей обслуживания и управления объектами магистрального трубопровода.
3.15 магистральный трубопроводный транспорт нефти и нефтепродуктов: Вид транспорта, осуществляющий транспортирование подготовленной нефти и нефтепродуктов по магистральным трубопроводам.
3.16 минимальное рабочее давление на входе магистральной насосной станции: Минимальное избыточное давление в трубопроводе на входе магистральной насосной станции, устанавливаемое исходя из условия обеспечения кавитационного запаса магистральных насосов.
Примечание - Величина кавитационного запаса магистральных насосов принимается для расходов, соответствующих максимальной расчетной пропускной способности трубопровода для рассматриваемого этапа развития магистрального трубопровода.
3.17 мерзлый грунт: Грунт, имеющий отрицательную или нулевую температуру, содержащий в своем составе видимые ледяные включения и/или лед-цемент и характеризующийся криогенными структурными связями.
3.18 многолетнемерзлый грунт: Грунт, находящийся в мерзлом состоянии постоянно в течение 3 лет и более.
3.19 надземный трубопровод: Трубопровод, расположенный над поверхностью земли на опорах.
3.20 наземный трубопровод: Трубопровод, расположенный на поверхности земли в насыпи.
Примечание - Наземный трубопровод, находящийся в границах смонтированных на нем запорной арматуры, колодцев, оборудования и узлов, части которых расположены за пределами насыпи (без вывода трубопровода в месте их монтажа за пределы насыпи), считается наземным трубопроводом.
3.21 начальный пункт проектируемого МТ: НПС с РП, приемо-сдаточный пункт, предприятие нефтедобычи, предприятие нефтепереработки, пункт перевалки с другого вида транспорта.
3.22 нестационарный [технологический] режим работы (участка магистрального трубопровода): Неустановившийся режим работы технологического участка магистрального трубопровода, характеризующийся изменением параметров протекания гидравлического процесса, возникающий при переходе с одного стационарного режима на иной в результате технологических переключений/повреждений.
Примечание - К изменениям параметров протекания гидравлического процесса относятся изменения расхода нефти/нефтепродуктов и давления на технологическом участке магистрального трубопровода.
3.23 несущая способность секции трубопровода: Максимально допустимое избыточное давление в секции трубопровода, определенное расчетом при номинальной толщине стенки.
Примечание - Номинальная толщина стенки трубы - толщина, указанная в документах по стандартизации и/или технических документах на трубы.
3.24 несущая способность секции трубопровода фактическая: Максимально допустимое избыточное давление в секции трубопровода, определенное расчетом по результатам технического диагностирования.
3.25
номинальный диаметр: Параметр, применяемый для трубопроводных систем в качестве характеристики присоединяемых частей арматуры. Примечание - Номинальный диаметр приблизительно равен внутреннему диаметру присоединяемого трубопровода, выраженному в миллиметрах и соответствующему ближайшему значению из ряда чисел, принятых в установленном порядке. |
3.26 нефтеперекачивающая [нефтепродуктоперекачивающая] станция; НПС: Объект магистрального трубопровода, включающий в себя комплекс зданий, сооружений и устройств для перекачки, фильтрации, регулирования параметров режима и, при наличии РП, хранения и отгрузки нефти/нефтепродукта.
Примечание - НПС подразделяют на нефтеперекачивающие (нефтепродуктоперекачивающие) станции с резервуарным парком (НПС с РП) и нефтеперекачивающие (нефтепродуктоперекачивающие) станции без резервуарного парка (НПС без РП).
3.27
обратная арматура: Арматура, предназначенная для автоматического предотвращения обратного потока рабочей среды. |
3.28
обратный затвор: Обратная арматура, конструктивно выполненная в виде затвора дискового. |
3.29 объект МТ (для транспортирования нефти и нефтепродуктов): Составная часть магистрального трубопровода, предназначенная для выполнения одной или нескольких взаимосвязанных технологических операций в процессе транспортирования, технологического хранения, перевалки подготовленной нефти или нефтепродуктов на автомобильные, железнодорожные или водные виды транспорта, включающая комплекс соответствующих зданий, сооружений и технических устройств.
3.30 ответвление трубопровода: Участок магистрального трубопровода, не имеющий НПС, соединяющий магистральный трубопровод с объектами организаций, осуществляющих добычу, хранение, потребление, распределение, переработку нефти/нефтепродуктов.
Примечание - Ранее в ряде документов для обозначения данного понятия использовался термин "отвод", однако термином "отвод" обозначается понятие со следующим определением: соединительная деталь, предназначенная для изменения направления оси трубопровода в вертикальной/горизонтальной плоскости.
3.31 партия нефти [нефтепродукта]: Количество нефти [нефтепродукта], сопровождаемое одним документом о количестве (маршрутное поручение, или акт приема-сдачи, или накладная на отгрузку, или коносамент) и одним паспортом.
3.32 перевалка нефти [нефтепродуктов)]: Комплексный вид услуг и/или работ по перегрузке нефти [нефтепродуктов] из магистрального трубопровода на другие виды транспорта (автомобильный, железнодорожный, водный), обусловленный совокупностью технологических операций по приему из магистрального нефтепровода [нефтепродуктопровода], измерениям количественных показателей, хранению и отгрузке нефти [нефтепродуктов].
3.33 перекачка нефти [нефтепродуктов]: Совокупность технологических операций, обеспечивающих перемещение нефти [нефтепродуктов] в магистральном нефтепроводе [нефтепродуктопроводе] по заданной схеме.
Примечание - Различают следующие схемы перекачки нефти/нефтепродуктов: "через резервуары", "с подключенными резервуарами", "из насоса в насос".
3.34 поворотная заглушка (обтюратор, очковая заглушка): Деталь трубопровода, предназначенная для периодического перекрывания потока среды, транспортируемой трубопроводом, и состоящая из двух частей - глухой и фланцевой с кольцевым отверстием.
Примечание - Поток перекрывается путем монтажа в фланцевое соединение между концевыми фланцами двух участков трубопровода глухой части поворотной заглушки и открывается при монтаже в фланцевое соединение части поворотной заглушки с отверстием.
3.35 подземный трубопровод: Трубопровод, расположенный ниже поверхности земли.
Примечание - Подземный трубопровод, находящийся в границах смонтированных на нем запорной арматуры, колодцев, оборудования и узлов, части которых расположены выше поверхности земли (без вывода трубопровода в месте их монтажа на поверхность земли), считается трубопроводом подземным.
3.36 последовательная перекачка нефтепродуктов: Способ перекачки нефтепродуктов по трубопроводу прямым контактированием отдельными партиями одна за другой (с соблюдением установленных требований к показателям нефтепродуктов разных марок).
3.37 проектирование: Деятельность, связанная с выполнением инженерных изысканий, разработкой проектной и рабочей документации, предназначенной для осуществления строительства новых, технического перевооружения и реконструкции действующих объектов МТ.
3.38 проектная вязкость нефти [нефтепродукта]: Вязкость нефти [нефтепродукта], принятая в расчетах.
3.39 проектная плотность нефти [нефтепродукта]: Плотность нефти [нефтепродукта], принятая в расчетах.
3.40 проектная пропускная способность МТ: Заданный объем нефти/нефтепродуктов, который должен транспортировать магистральный трубопровод в течение годового фонда времени при проектных параметрах перекачиваемой нефти/нефтепродуктов.
Примечания
1 Объем перекачки нефти/нефтепродуктов (количество нефти/нефтепродуктов) указывают в задании на проектирование магистрального трубопровода.
2 К проектным параметрам нефти/нефтепродуктов относятся вязкость, плотность и т.д.
3.41 прокладка трубопровода: Способ расположения трубопровода относительно поверхности земли.
Примечание - В зависимости от способа расположения трубопровода относительно земли различают трубопроводы (участки трубопроводов): подземные, наземные и надземные.
3.42 проходящее давление на входе НПС: Давление на линейной части магистрального трубопровода в точке подключения НПС без РП при ее отключении для всех этапов развития данного участка трубопровода.
Примечание - Проходящее давление на входе НПС не может превышать допустимого рабочего давления на входе НПС.
3.43 пункт путевого сброса нефти [нефтепродуктов]: Объект магистрального трубопровода, предназначенный для осуществления ответвления части потока нефти/нефтепродуктов из трубопровода по пути перекачки в пределах технологического участка магистрального трубопровода.
Примечание - Задачи пункта путевого сброса нефти/нефтепродуктов может выполнять НПС или линейный объект магистрального трубопровода.
3.44 пункт путевой подкачки нефти [нефтепродуктов]: Объект магистрального трубопровода, предназначенный для осуществления подкачки дополнительного потока нефти/нефтепродуктов в трубопровод по пути перекачки в пределах технологического участка магистрального трубопровода.
Примечание - Задачи пункта путевой подкачки нефти/нефтепродуктов может выполнять НПС или линейный объект магистрального трубопровода.
3.45 рабочее давление: Максимальное из всех предусмотренных в проектной документации стационарных режимов перекачки избыточное давление в секции трубопровода.
3.46 рабочее давление на входе НПС: Максимальное из всех предусмотренных в проектной документации стационарных режимов перекачки избыточное давление на линейной части магистрального трубопровода в точке подключения НПС без РП.
Примечание - Рабочее давление на входе НПС не может быть выше проходящего давления на входе НПС и быть ниже минимального рабочего давления на входе магистральной насосной станции (с учетом разности высотных отметок).
3.47 рабочее давление на выходе магистральной насосной станции: Избыточное давление в трубопроводе в точке до регулятора давления, установленного на выходе магистральной насосной станции, при его наличии, для проектного режима перекачки, обеспечивающего расчетную пропускную способность трубопровода для рассматриваемого этапа развития магистрального трубопровода.
Примечание - Рабочее давление на выходе магистральной насосной станции не может превышать допустимого рабочего давления на выходе магистральной насосной станции.
3.48 рабочее давление на выходе НПС: Избыточное давление в трубопроводе в точке после регулятора давления, установленного на выходе магистральной насосной станции, при его наличии, для проектного режима перекачки, обеспечивающего расчетную пропускную способность трубопровода для рассматриваемого этапа развития магистрального трубопровода.
Примечание - Рабочее давление на выходе НПС не может превышать допустимого рабочего давления на выходе НПС.
3.49 расчетная пропускная способность МТ: Максимальный расчетный объем нефти/нефтепродуктов, который может транспортировать магистральный трубопровод в единицу времени при проектных параметрах перекачиваемой нефти/нефтепродуктов.
3.50 резервуар (для нефти/нефтепродуктов): Сооружение, предназначенное для приема, хранения и сдачи нефти/нефтепродуктов.
Примечание - Допускается использовать резервуары для измерения объема нефти/нефтепродуктов.
3.51 резервуарный парк; РП: Комплекс взаимосвязанных резервуаров и связанного с ним технологического оборудования, предназначенный для приема, хранения и сдачи нефти/нефтепродуктов и размещенный на территории, ограниченной по периметру обвалованием или ограждающей стенкой, противопожарными проездами.
3.52 реконструкция линейного объекта: Изменение параметров линейного объекта магистрального трубопровода или его участка/части, которое влечет за собой изменение класса, категории и/или первоначально установленных показателей функционирования объекта или при котором требуется изменение границ полос отвода и/или охранных зон объекта.
3.53 реконструкция объекта капитального строительства: Изменение параметров объекта капитального строительства или его частей, в том числе надстройка, перестройка, расширение объекта капитального строительства, а также замена и/или восстановление несущих строительных конструкций объекта капитального строительства, за исключением замены отдельных элементов таких конструкций на аналогичные или иные элементы, улучшающие показатели таких конструкций, и/или восстановления указанных элементов.
3.54 система автоматизации технологического участка МТ: Автоматизированная система управления, предназначенная для комплексной автоматической защиты контролируемого технологического участка МТ, в том числе от повышения давления в трубопроводе выше заданных значений, посредством автоматического перевода технологического участка МТ в безопасное состояние при достижении контролируемыми параметрами аварийных значений.
3.55 система измерений количества и показателей качества нефти [нефтепродуктов]; СИКН: Совокупность функционально объединенных средств измерений, системы обработки информации, технологического и иного оборудования, предназначенная для прямых или косвенных динамических измерений массы и показателей качества нефти/нефтепродуктов.
3.56 система сглаживания волн давления; ССВД: Сооружение, устанавливаемое на байпасном трубопроводе приемной линии НПС без РП и предназначенное для уменьшения скорости роста давления на приеме НПС без РП при остановке на ней одного или нескольких магистральных насосных агрегатов.
3.57 стационарный [технологический] режим работы (участка магистрального трубопровода): Установившийся режим работы технологического участка магистрального трубопровода, при котором завершены все необходимые технологические переключения, давление нефти/нефтепродукта во всех точках не изменяется во времени.
Примечание - К технологическим переключениям относятся пуск/остановка перекачки по трубопроводу, включение/отключение магистрального насоса, включение/отключение НПС, полное или частичное открытие/закрытие задвижки, переключение резервуаров, начало или прекращение приема/сдачи нефти/нефтепродукта и т.п.
3.58 технологическая нефть [нефтепродукты]: Количество нефти/нефтепродуктов, определенное проектной документацией, физико-химические свойства которой соответствуют требованиям технических регламентов и положениям документов по стандартизации, предназначенное для поддержания давления в нефтепроводах/нефтепродуктопроводах и обеспечения режимов перекачки магистральных нефтепроводов/нефтепродуктопроводов.
3.59 технологический режим работы (участка МТ) (режим перекачки): Установленные проектной документацией количественные показатели перекачки транспортируемой нефти/нефтепродуктов по участку магистрального трубопровода, характеризующиеся величиной производительности перекачки, значениями давления в различных точках данного участка, реологическими свойствами нефти/нефтепродуктов, количеством и номерами включенных в работу насосных агрегатов.
3.60 технологический трубопровод (МТ): Трубопровод для нефти/нефтепродуктов, входящий в состав объекта магистрального трубопровода, предназначенного для выполнения одной или нескольких технологических операций по приему, хранению, учету, поддержанию необходимого режима перекачки, перевалке нефти/нефтепродуктов, подогреву, смешению нефти.
Примечание - К технологическим трубопроводам относят:
- трубопроводы между точками врезки в линейную часть магистрального трубопровода на входе и выходе объекта, включая трубопроводную арматуру;
- трубопроводы РП, включая обвязку резервуаров;
- трубопроводы сброса давления от предохранительных клапанов, системы сглаживания волн давления, обвязки емкостей сброса ударной волны, откачки из емкостей сбора утечек;
- трубопроводы сливо-наливных эстакад;
- трубопроводы опорожнения стендеров морских терминалов, установок для рекуперации паров нефти;
- трубопроводы дренажа и утечек от насосных агрегатов, дренажа фильтров-грязеуловителей, регуляторов давления, узлов учета нефти/нефтепродуктов.
3.61 технологический участок магистрального трубопровода: Работающий в едином гидравлическом режиме участок магистрального трубопровода от одной НПС с РП до следующей по направлению перекачки НПС с РП или до пункта назначения, для которого предусмотрен технологический режим перекачки нефти/нефтепродуктов.
3.62 технологическое проектирование: Определение оптимальных технологических решений объекта капитального строительства/реконструкции для выполнения процессов его строительства/реконструкции и эксплуатации с минимальными показателями стоимости, продолжительности, трудоемкости.
3.63 транспортирование нефти [нефтепродуктов]: Совокупность взаимосвязанных технологических операций по приему нефти/нефтепродуктов в пункте отправления, перекачке по магистральному трубопроводу, сдаче в пункте назначения или на перевалку (налив).
3.64 эпюра рабочих давлений [напоров]: Линия гидравлического уклона, построенная на сжатом профиле трассы магистрального трубопровода, отражающая стационарный режим перекачки в виде изменения напора в каждой точке трассы магистрального трубопровода.
3.65 эпюра рабочих давлений [напоров] для раскладки труб: Линия гидравлического уклона, построенная на сжатом профиле трассы магистрального трубопровода, показывающая максимальные рабочие давления [напоры] на стационарных режимах минимальной и максимальной производительности перекачки, с учетом очередности развития НПС в соответствии с запланированными этапами и с учетом обеспечения реверсной перекачки, при необходимости.
3.66 эпюра рабочих давлений [напоров] при нестационарных режимах работы МТ: Линия гидравлического уклона, построенная на сжатом профиле трассы магистрального трубопровода, показывающая максимальные рабочие давления [напоры] при нестационарных режимах работы магистрального трубопровода.
В настоящем стандарте применены следующие сокращения:
ВИП - внутритрубный инспекционный прибор;
МНА - магистральный насосный агрегат;
МТ - магистральный трубопровод;
НПС - нефтеперекачивающая (нефтепродуктоперекачивающая) станция;
ПТК - программно-технический комплекс;
ПТП - противотурбулентная присадка;
ПУ - предохранительное устройство;
РАС - резервуар аварийного сброса;
РП - резервуарный парк;
СИКН - система измерения количества и показателей качества нефти (нефтепродуктов);
СОД - средство очистки и диагностирования;
СППК - специальный пружинный предохранительный клапан;
ССВД - система сглаживания волн давления;
ФГУ - фильтр-грязеуловитель.
5 Основные технологические показатели магистрального трубопровода
5.1 В состав МТ входят:
- трубопровод с ответвлениями, лупингами и перемычками, запорной арматурой, переходами через естественные и искусственные препятствия, узлами подключения насосных станций, узлами пуска-приема СОД, пропуска СОД;
- установки электрохимической защиты трубопроводов от коррозии;
- средства телемеханики, технологической связи, оперативного управления и помещения для их размещения;
- линии электропередач, предназначенные для обслуживания трубопроводов;
- устройства электроснабжения и дистанционного управления запорной арматурой и установками электрохимической защиты;
- противоэрозионные и защитные сооружения трубопроводов;
- емкости для временного размещения нефти/нефтепродуктов при авариях;
- здания и сооружения линейной службы эксплуатации МТ;
- вдольтрассовые проезды;
- НПС;
- наливные насосные станции;
- РП;
- пункты подогрева нефти;
- технологическая нефть;
- нефтеналивные эстакады и причалы;
- ПТК системы диспетчерского контроля и управления, ПТК линейной и станционной телемеханики, автоматизированные системы управления технологическим процессом НПС и РП, ПТК системы автоматизации технологического участка МТ, системы обнаружения утечек и другие автоматические/автоматизированные системы, обеспечивающие процесс контроля и управления МТ.
5.2 К основным технологическим показателям МТ относятся: проектная пропускная способность, протяженность, диаметр, рабочее давление, количество и места расположения НПС, объем РП, характеристики насосного оборудования, проектная плотность и вязкость нефти/нефтепродукта, количество технологической нефти/нефтепродуктов.
Количество технологической нефти/нефтепродуктов определяют проектом, исходя из протяженности и диаметра МТ, характеристик режимов перекачки, типа и вместимости резервуаров.
5.3 Основные показатели МТ определяют исходя из обеспечения проектной пропускной способности. Оптимальные значения показателей определяют на основании технико-экономических расчетов по заданному критерию (срок окупаемости, приведенные затраты и т.п.) при рассмотрении нескольких вариантов.
5.4 При определении основных показателей МТ выполняют следующие расчеты:
- определяют границы, диаметр и протяженность технологических участков с учетом рельефа и требуемой вместимости РП на их границах;
- определяют расчетную пропускную способность МТ по технологическим участкам с учетом путевых подкачек и отборов нефти/нефтепродукта с учетом, при необходимости, обеспечения реверсной перекачки;
- определяют количество и расстановку НПС по трассе МТ с определением требуемого рабочего давления на выходе НПС с учетом, при необходимости, обеспечения реверсной перекачки;
- определяют необходимость, требуемую протяженность и диаметр лупингов (вставок) линейной части МТ по участкам между НПС;
- определяют необходимость и требуемое количество, концентрацию и точки ввода ПТП;
- определяют необходимость, вид и места установки средств защиты по давлению с учетом, при необходимости, обеспечения реверсной перекачки;
- определяют требуемую емкость резервуаров аварийного сброса с учетом принятых систем защиты по давлению;
- строят эпюры рабочих давлений (напоров) для раскладки труб на технологическом участке МТ для стационарных режимов минимальной и максимальной производительности перекачки нефти/нефтепродукта, с учетом очередности развития НПС в соответствии с запланированными этапами и с учетом обеспечения реверсной перекачки, при необходимости;
- определяют номинальные толщины стенок труб по участкам трассы МТ;
- строят эпюры несущей способности труб по всей длине МТ;
- строят эпюры максимальных давлений для подтверждения принятой раскладки труб линейной части при нестационарных режимах работы МТ, возникающих в результате остановки всех МНА одной (каждой) из НПС технологического участка;
- строят эпюры испытательных давлений с учетом, при необходимости, обеспечения реверсной перекачки;
- строят эпюры рабочих давлений (напоров) для возможных режимов перекачки и эпюры допустимых рабочих давлений (напоров), представляемых в единицах столба нефти/нефтепродукта при плотности, определяемой при расчетной температуре нефти/нефтепродукта с учетом, при необходимости, обеспечения реверсной перекачки;
- строят эпюры допустимых рабочих давлений (напоров) при нестационарных режимах работы МТ, представляемых в единицах столба нефти/нефтепродукта при плотности, определяемой при расчетной температуре нефти/нефтепродукта с учетом категории участков трубопроводов и, при необходимости, обеспечения реверсной перекачки;
- определяют технические характеристики основного насосного оборудования;
- определяют расстановку оперативных блоков измерений показателей качества нефти/нефтепродуктов;
- определяют расстановку и определяют основные характеристики СИКН;
- определяют расстановку узлов приема, пуска и пропуска СОД;
- определяют расстановку узлов запорной арматуры;
- определяют мощность приводов (МНА, подпорных насосных агрегатов и электроприводов задвижек);
- определяют требуемую мощность трансформаторов внешнего электроснабжения;
- определяют характеристики энергоэффективности (удельное потребление электроэнергии).
5.5 При проектировании МТ учитывают требования к нефти и нефтепродуктам, установленные в
[1] и
[2], а также положения документов в области стандартизации.
5.6 По итогам проектирования основных показателей МТ проектируют материальный баланс транспортируемой нефти/нефтепродуктов по каждому технологическому участку с учетом остатков, количества принятой для транспортирования нефти/нефтепродуктов, возможных технологических потерь при приеме на транспортирование, технологических потерь при сдаче в пункте назначения или передаче на перевалку (налив), технологических потерь из насосных агрегатов при перекачке, количества сданной нефти/нефтепродуктов в пункте назначения или передаче на перевалку (налив).
6 Определение границ технологических участков, количества и вместимости резервуарных парков
6.1 На границах технологических участков предусматривают установку НПС с РП.
6.2 НПС с РП устанавливают:
- для независимой работы смежных технологических участков;
- в месте перераспределения потока нефти/нефтепродукта;
- в условиях горного рельефа, определяемого условиями отсутствия возможности перекачки мимо НПС в случае ее отключения;
- при приеме нефти/нефтепродукта на транспортирование от отправителей;
- при сдаче нефти/нефтепродукта по результатам транспортирования получателям.
6.3 Объем РП и количество резервуаров, в том числе резервуаров аварийного сброса нефти, определяют в соответствии с правилами
раздела 17.
6.4 Подачу нефтепродуктов от нефтеперерабатывающих заводов до объектов МТ предусматривают по раздельным подводящим нефтепродуктопроводам для каждого нефтепродукта.
7 Определение проектной вязкости, плотности и температуры перекачиваемой нефти/нефтепродукта
7.1 Расчет коэффициента гидравлического сопротивления выполняют в соответствии с
приложением А.
7.2 При определении требуемого давления на выходе НПС для заданного диаметра нефтепровода/нефтепродуктопровода, обеспечивающего проектную (расчетную) пропускную способность, проектную (расчетную) кинематическую вязкость и плотность нефти/нефтепродукта принимают:
- для вновь проектируемого МТ - при минимальной среднемесячной температуре грунта на глубине оси трубопровода;
- для существующего МТ - по максимальному среднемесячному значению в течение года.
7.3 Максимальную температуру нефти/нефтепродукта, перекачиваемой по МТ, принимают с учетом тепловыделения в трубопроводе и насосном оборудовании при ограничении по давлению насыщенных паров продукта, поступающего в РП, не более 66,7 кПа (500 мм рт. ст.).
При этом характеристики изоляционного покрытия трубопровода принимают в соответствии с максимальным температурным режимом перекачки.
При проектировании объектов реконструкции действующих МТ температура транспортируемой нефти/нефтепродукта не превышает максимальную температуру эксплуатации изоляционного покрытия на нереконструируемой части МТ.
7.4 Минимальную температуру нефти/нефтепродукта при перекачке по МТ принимают выше температуры застывания нефти/нефтепродукта не менее, чем на 3 °C, и она не должна опускаться ниже 0 °C.
8 Определение расчетной часовой/суточной пропускной способности магистрального трубопровода
8.1 Расчетную часовую пропускную способность МТ Qч, м3/ч, определяют по формуле

(1)
Расчетную суточную пропускную способность МТ Qс, м3/сут, определяют по формуле

(2)
где G - заданный объем перекачки (проектная пропускная способность) для соответствующего этапа развития МТ, млн. т/год (определяется заданием на проектирование);
kнп - коэффициент неравномерности перекачки;

- проектная плотность нефти/нефтепродукта, т/м
3.
8.2 Расчетное время работы МТ (фонд рабочего времени) с учетом остановок на регламентные и аварийно-восстановительные работы принимают равным 8400 часов или 350 дней в году.
8.3 Значение
Kнп определяют исходя из особенностей эксплуатации МТ:
- для вновь проектируемого трубопровода, идущего параллельно с другими трубопроводами и образующими систему, - 1,05;
- для вновь проектируемого однониточного трубопровода, по которому нефть подается к нефтеперерабатывающему заводу, а также для вновь проектируемого однониточного трубопровода, соединяющего существующие трубопроводы, - 1,07;
- для вновь проектируемого однониточного трубопровода, подающего нефть (нефтепродукт) от пунктов добычи (нефтепереработки) к системе МТ, - 1,10;
- при увеличении пропускной способности действующего трубопровода - 1,0.
Допускается при соответствующем обосновании применение других значений коэффициента неравномерности перекачки.
9 Расчет диаметра магистрального трубопровода
9.1 Диаметр МТ определяют с учетом требуемой пропускной способности на основании технико-экономического сравнения различных вариантов при различных диаметрах МТ.
9.2 С целью определения оптимального диаметра МТ при выполнении технико-экономических расчетов рассматривают не менее трех смежных диаметров МТ из следующего параметрического ряда наружных диаметров: 159, 219, 273, 325, 377, 426, 530, 630, 720, 820, 1020, 1067, 1220 мм.
9.3 Выбор значений диаметров МТ осуществляют с учетом ограничений по допустимой минимальной скорости движения СОД.
10 Построение эпюры рабочих давлений
10.1 Расчетную эпюру рабочих давлений для раскладки труб строят с учетом:
- расчетной пропускной способности перекачки по МТ для каждого этапа развития МТ, с учетом работы трубопровода в стационарном режиме при внеплановой остановке всех МНА одной (каждой) НПС рассматриваемого технологического участка без учета действий защит системы автоматизации технологического участка МТ;
- устойчивости работы НПС при переходных процессах, нестационарных режимах работы МТ, вызванных внеплановой остановкой всех МНА одной (каждой) НПС технологического участка;
- давления срабатывания предохранительных устройств;
- давления до регуляторов, устанавливаемых на линейной части МТ и на приеме НПС для поддержания режима работы МТ без самотечных участков.
На участке от НПС с РП, ведущей перекачку на НПС с РП, не оборудованной системой автоматического регулирования давления, эпюра рабочих давлений строится с учетом возможного повышения рабочего давления на выходе НПС на 0,3 МПа.
Расчетную эпюру давлений определяют по технологическим участкам нефтепровода. Эпюру давлений строят с учетом возможности остановки всех МНА одной (каждой) НПС.
10.2 Эпюру рабочих давлений на участке от последней НПС без РП технологического участка до НПС с РП или конечного пункта строят с учетом защиты по давлению конечного пункта с использованием предохранительных клапанов.
10.3 Эпюру рабочих давлений при наличии лупинга строят как с учетом работы лупинга, так и при его отключении для проверки несущей способности линейной части МТ.
10.4 Эпюру рабочих давлений для технологического участка представляют на сжатом профиле трассы МТ в графической форме с указанием значений гидравлического уклона.
10.5 Рабочее давление на выходе НПС определяют с учетом коэффициента неравномерности перекачки в соответствии с
8.3 и при расчетных параметрах перекачиваемой нефти/нефтепродукта в соответствии с
7.2.
10.6 При построении эпюры рабочих давлений минимальный запас напора над перевальной точкой принимают равным 10 м.
11 Расчет нестационарных режимов работы магистрального трубопровода
11.1 При проектировании МТ производят расчеты нестационарных режимов работы МТ.
11.2 При выполнении расчетов определяют максимальные давления по всей трассе трубопровода в нестационарных режимах работы МТ, вызванных остановкой всех МНА одной (каждой) НПС без РП, в условиях отсутствия средств защиты по давлению на входе НПС без РП и их наличия. В результате определяют участки линейной части МТ и технологических трубопроводов на входе НПС, на которых максимальное давление превышает 110% от допустимого рабочего давления в трубопроводе, определенного проектом.
По результатам вышеперечисленных расчетов нестационарных режимов работы МТ определяют необходимость увеличения несущей способности секций труб линейной части МТ и технологических трубопроводов НПС, определяют необходимость установки средств защиты по давлению на входе НПС, разрабатывают эпюру максимальных давлений в линейной части МТ при нестационарных режимах работы МТ.
11.3 Эпюра максимальных давлений в линейной части МТ при нестационарных режимах не превышает допустимое рабочее давление в трубопроводе при нестационарных режимах работы МТ, определенное проектом, составляющее не более 110% от допустимого рабочего давления линейной части МТ. Давление, возникающее в переходных режимах в технологических трубопроводах НПС, не должно превышать 110% от величины номинального давления технологических трубопроводов, определенного проектом.
12 Система защит по давлению, обеспечивающая безопасную эксплуатацию магистрального трубопровода
12.1 На всех НПС предусматривают двухступенчатую (отключение отдельных насосов и станции в целом) защиту по максимальному давлению на выходе станции:
- отключение одного магистрального насоса при повышении давления в МТ на выходе НПС (после узла регулирования давления) до величины, равной 1,05 от допустимого рабочего давления на выходе НПС (предельное максимальное давление);
- отключение всех МНА (путем последовательного отключения работающих МНА) при повышении давления в трубопроводе на выходе НПС (после узла регулирования давления) до величины, равной 1,09 от допустимого рабочего давления на выходе НПС, но не более чем на 0,4 МПа от допустимого рабочего давления для НПС с рабочим давлением на выходе до 7,5 МПа и на 0,7 МПа для НПС с рабочим давлением на выходе до 10,0 МПа (аварийное максимальное давление).
12.2 Вновь проектируемые технологические участки МТ оснащают системой телемеханизации технологического участка и системой автоматизации технологического участка МТ.
12.3 Вновь проектируемые технологические участки МТ оснащают системами обнаружения утечек.
12.4 Защиту по давлению технологических трубопроводов РП и линейной части МТ реализуют по следующим правилам:
12.4.1 Для защиты по давлению технологических трубопроводов РП на приемном технологическом трубопроводе НПС с РП или конечного пункта предусматривают установку узла СППК с точкой подключения за ФГУ. В составе узла предусматривают один резервный клапан.
12.4.2 Число рабочих предохранительных устройств для узла СППК на входе НПС с РП рассчитывают на максимальную расчетную пропускную способность нефтепровода/нефтепродуктопровода.
12.4.3 Давление настройки предохранительных клапанов принимают из условия создания запаса 0,2 МПа над рабочим давлением в точке подключения клапанов.
12.4.4 Допускается оснащение узла СППК на входе НПС с РП автоматически открывающейся по давлению задвижкой, установленной параллельно данному узлу, для повышения надежности защиты по давлению технологических трубопроводов РП. Значение давления открытия задвижки принимают не менее значения давления настройки предохранительного клапана.
12.4.5 Для дополнительной защиты линейной части МТ от превышения давления [при несанкционированном закрытии запорной (регулирующей) арматуры, установленной до ПУ на приеме НПС с РП] допускается установка до узла подключения станции (на входе НПС с РП, до задвижек подключения НПС) автоматически открывающегося шарового крана со сбросом нефти/нефтепродукта в резервуары аварийного сброса.
Установку шарового крана выполняют только при наличии обоснования применения данного вида защиты НПС с РП.
В случае, если технологический участок МТ оснащен системой автоматизации технологического участка МТ, то расчет нестационарных режимов работы МТ с целью проверки необходимости установки шарового крана выполняют с учетом работы автоматических защит данной системы. В случае, если действия системы автоматизации технологического участка МТ обеспечивают непревышение допустимого рабочего давления линейной части МТ и приемного трубопровода НПС с РП, шаровой кран не устанавливают.
Время открытия автоматического шарового крана принимают не более половины от времени закрытия запорной арматуры, установленной от узла подключения НПС до узла СППК на входе НПС с РП. Для шаровых кранов с уменьшенным номинальным диаметром (относительно диаметра МТ) время открытия определяют расчетом нестационарных режимов работы МТ.
12.5 Для исключения самотечных участков по трассе МТ с целью сохранения проектных характеристик системы обнаружения утечек и пропуска средств диагностики без потери информации на входе НПС с РП предусматривают систему автоматического регулирования давления с поддержанием необходимого давления на входе узла регулирования давления.
12.6 Выбор характеристик насосов откачки из дренажных емкостей, устанавливаемых на линейной части МТ (емкости дренажа узлов СОД), выполняют из условия обеспечения рабочего давления, соответствующего давлению по эпюре рабочих давлений МТ при отключении НПС.
13 Система сглаживания волн давления
13.1 Необходимость и технические характеристики ССВД определяют на основании расчетов нестационарных режимов работы МТ без учета срабатывания автоматической защиты системы автоматизации технологического участка МТ.
13.2 Скорость роста давления на входе НПС при работе ССВД регулируют в диапазоне от 0,01 МПа/с до 0,06 МПа/с.
13.3 Скорость роста давления на входе НПС при работе ССВД определяют как среднюю скорость роста давления за время работы ССВД.
13.4 Срабатывание клапанов ССВД предусматривают при скачке давления в трубопроводе в диапазоне от 0,1 до 0,4 МПа над давлением настройки гидропневмоаккумуляторов при скорости роста давления, превышающей величину, установленную настройкой.
13.5 Число резервных клапанов определяют из условия: до четырех рабочих - один резервный.
13.6 ССВД устанавливают на приемной линии НПС после ФГУ. До клапанов ССВД предусматривают установку задвижек с электроприводом, отключающих каждый клапан ССВД.
13.7 После клапанов ССВД предусматривают установку накладных сигнализаторов наличия потока нефти/нефтепродукта и задвижек с ручным управлением. Задвижки пломбируют в открытом положении.
13.8 Объем емкостей для аварийного сброса определяют по результатам расчетов нестационарных режимов работы МТ. Объем емкостей обеспечивает прием нефти/нефтепродукта в объеме двух последовательных сбросов (с учетом выведения одной емкости в ремонт).
13.9 Сброс нефти/нефтепродукта при срабатывании ССВД осуществляют по отдельным трубопроводам в резервуары-сборники. Обвязка резервуаров-сборников предусматривает уравнительную трубопроводную систему с противоположной стороны емкости относительно линии сброса.
14 Способы увеличения пропускной способности магистрального трубопровода
14.1 При разработке технических решений по увеличению пропускной способности действующих МТ рассматривают следующие способы увеличения пропускной способности МТ:
- повышение рабочего давления на выходе НПС без замены участков (секций) труб линейной части МТ (в случае если линейная часть МТ обладает достаточной величиной несущей способности);
- повышение рабочего давления на выходе НПС путем замены участков (секций) труб линейной части МТ с недостаточной величиной несущей способности;
- строительство лупингов;
- замена труб линейной части МТ с увеличением диаметра;
- увеличение числа НПС;
- применение противотурбулентных присадок;
- рациональную комбинацию перечисленных способов.
14.2 Строительство нового МТ предусматривают в следующих случаях:
- при отсутствии МТ;
- при необходимости перекачки нефтепродукта с сохранением качества при невозможности организации последовательной перекачки;
- при превышении производительности действующего МТ при невозможности реализации способов увеличения пропускной способности, указанных в
14.1.
14.3 При разработке технических решений по увеличению пропускной способности действующих МТ определяют необходимость реконструкции систем автоматизации, энергоснабжения, телемеханизации, связи, инженерно-технических средств охраны, СИКН в объеме, необходимом для увеличения пропускной способности МТ.
Кроме того, при разработке технических решений определяют объемы реконструкции НПС в части замены насосов, роторов, электродвигателей, реконструкции технологических трубопроводов и оборудования (ФГУ, узла регулирования давления, МНА, ССВД, СППК, РАС).
14.4 Необходимый объем реконструкции РП для действующего МТ определяют с учетом наличия существующего объема РП и требуемого объема перекачки.
14.5 При повышении рабочего давления на выходе НПС выполняют проверку необходимости повышения рабочего давления коллектора станции МНА.
14.6 Длину лупинга, вставки или количество ПТП для существующих МТ определяют с учетом ограничения допустимого давления на выходе НПС. При этом выполняют проверку мощности существующих электродвигателей насосного оборудования.
14.7 Диаметр лупинга определяют с учетом перспективного развития МТ на основании технико-экономических расчетов и с учетом возможности прокладки лупинга по трассе МТ.
14.8 В случае, когда протяженность лупинга имеет ограничения по условиям возможности его размещения по трассе МТ, рассматривают комбинированные способы увеличения пропускной способности МТ.
14.9 Расположение проектируемых лупингов преимущественно предусматривают в конце участка, а при наличии перевальной точки - до перевальной точки.
14.10 В начале и конце лупинга предусматривают узлы приема/пуска СОД.
14.11 При увеличении пропускной способности МТ предусматривают замену насосного оборудования в случае, когда требуемые параметры насоса по расходу и напору не могут быть обеспечены в рабочей зоне насоса за счет установки сменных роторов.
14.12 Расчеты увеличения пропускной способности МТ путем строительства дополнительных НПС выполняют с учетом допустимых рабочих давлений в линейной части МТ.
14.13 Выбор способа увеличения пропускной способности определяется технико-экономическим расчетом. Критерием выбора является минимизация затрат на строительство и эксплуатацию трубопровода на рассматриваемом периоде.
15 Расчеты при использовании противотурбулентных присадок
15.1 Способ увеличения пропускной способности МТ при использовании ПТП выбирают по результатам технико-экономического сравнения вариантов, указанных в
разделе 14, либо как временную меру до реализации технических решений, предусматривающих длительный период реализации мероприятий.
15.2 При проведении расчетов требуемого количества ПТП используют кривую эффективности ПТП. При этом учитывают снижение эффективности ПТП при наличии лупингов, вставок, тройниковых соединений, подкачек (сбросов) в МТ, а также при значительной протяженности участка. Для действующих МТ снижение эффективности ПТП определяют на основании результатов натурных испытаний.
15.3 Гидравлические расчеты увеличения пропускной способности МТ при вводе противотурбулентной присадки проводят с использованием кривой эффективности ПТП как для летних, так и для зимних условий эксплуатации.
15.4 При проведении гидравлических расчетов с использованием ПТП учитывают, что режим течения нефти/нефтепродукта - турбулентный.
15.5 При определении количества точек ввода ПТП в МТ учитывают, что при прохождении через насосные агрегаты ПТП разрушается.
15.6 При проведении расчетов требуемого количества ПТП учитывают характеристики установки по вводу ПТП с точки зрения минимально и максимально возможной производительности ввода ПТП.
15.7 Номинальное давление оборудования по вводу ПТП в МТ должно соответствовать значению давления в точке подключения установки к трубопроводу.
15.8 Точку ввода ПТП размещают после регулятора давления на выходе НПС или на линейной части МТ для исключения снижения эффективности ПТП.
16 Последовательная перекачка нефтепродуктов
16.1 Последовательную перекачку нефтепродуктов по трубопроводам осуществляют циклами. Каждый цикл состоит из нескольких партий нефтепродуктов, располагающихся в определенной последовательности. Порядок следования партий нефтепродуктов в цикле определяют таким образом, чтобы каждый нефтепродукт контактировал с двумя другими (предыдущий и последующий), наиболее близкими к нему по свойствам.
16.2 Количество циклов последовательной перекачки принимают не более 70 циклов в год. Последовательную перекачку нефтепродуктов предусматривают прямым контактом или с применением разделителей в зависимости от допустимого объема образующейся смеси разных марок нефтепродуктов.
16.3 Основным режимом при последовательной перекачке нефтепродуктов является перекачка "из насоса в насос". При необходимости допускается перекачка нефтепродуктов с подключенным резервуаром на НПС с РП при условии соответствия вида и марки нефтепродукта в подключенном резервуаре виду и марке нефтепродукта, перекачиваемого по трубопроводу. При этом технологическая схема станции должна исключать возможность подмешивания нефтепродуктов из тупиковых линий и "карманов" перед задвижками.
16.4 Для снижения количества смеси разных марок нефтепродуктов, образующейся при последовательной перекачке по нефтепродуктопроводу, предусматривают следующие мероприятия:
- не допускается проектирование лупингов;
- не допускается последовательная перекачка нефтепродуктов с подключенными лупингами и резервными нитками;
- при наличии резервных ниток через водные преграды на участке трубопровода, по которому осуществляется последовательная перекачка, устанавливается запорная арматура класса герметичности не ниже A по
ГОСТ 9544, отключающая параллельные нитки;
- допускается остановка с двумя видами нефтепродуктов (не более двух контактов), при этом положение контакта нефтепродуктов по трассе выбирается по профилю из условия, чтобы более легкий нефтепродукт был выше более тяжелого по геодезическим отметкам трубопровода;
- для снижения объема смеси разных марок нефтепродуктов на НПС с РП перекачка различных марок нефтепродуктов осуществляется раздельными подпорными насосными с раздельными всасывающими трубопроводами;
- минимальная скорость перекачки нефтепродуктов определяется расчетом исходя из наименьшего объема смесеобразования разных марок нефтепродуктов.
16.5 При последовательной перекачке нефтепродуктов по МТ количество ниток ответвлений должно соответствовать количеству видов перекачиваемых нефтепродуктов (бензин, дизтопливо и т.п.).
16.6 В период до вывода нефтепродуктопровода или отдельных его участков на проектную пропускную способность допускается принимать режим работы с остановками при заполнении на период остановки нефтепродуктом одного вида всего нефтепродуктопровода или его части в зависимости от профиля трассы и расположения линейных задвижек, из условия исключения смешения нефтепродуктов с различной плотностью.
16.7 Диаметр ответвлений определяют, исходя из требуемого максимального расхода нефтепродукта в ответвлении при минимально возможном давлении в узле присоединения и обеспечения отбора каждого сорта нефтепродукта в цикле последовательной перекачки за время прохождения его мимо узла присоединения.
16.8 Продолжительность и последовательность включения ответвлений для отбора заданного количества нефтепродукта определяют исходя из продолжительности прохождения партии каждой марки нефтепродукта за цикл последовательной перекачки мимо узлов присоединения каждого из ответвлений с учетом оптимального технологического режима работы участка между станциями, к которому подсоединены ответвления.
16.9 В проекте МТ для транспортирования нефтепродуктов предусматривают восстановление показателей нефтепродукта, перекаченного методом последовательной перекачки, до требований, установленных нормативными документами. Восстановление осуществляют посредством добавления к определенному количеству нефтепродукта с показателями, не соответствующими установленным требованиям, расчетного количества нефтепродукта, имеющего запас по исправляемым показателям.
16.10 При последовательной перекачке топлива для реактивных двигателей между партиями дизельного топлива возможно восстановление только дизельного топлива.
Не допускается восстановление топлива для реактивных двигателей дизельным топливом.
16.11 Последовательная перекачка топлива для реактивных двигателей между партиями автомобильных бензинов не допускается.
16.12 Восстановление автомобильных бензинов и дизельных топлив может осуществляться посредством разделения смеси контактировавших нефтепродуктов на две части "тяжелый автомобильный бензин" и "легкое дизельное топливо", приемом каждой части в отдельные "смесевые" резервуары и последующим восстановлением нефтепродуктов, исходя из имеющихся ресурсов и запасов.
17.1 Для расчета объема РП (резервуарной емкости) при проектировании используемая емкость РП определяется с учетом коэффициента использования емкости и объема резервуара по строительному номиналу (произведение площади днища на высоту стенки резервуара). Коэффициент использования емкости определяют с учетом конструктивных особенностей резервуаров и учитывает объем продукта для создания минимального уровня взлива в резервуарах.
17.2 При проектировании РП руководствуются
ГОСТ 31385. С целью снижения потерь нефти/нефтепродуктов резервуары оборудуют понтонами или плавающими крышами. Для нефти и нефтепродуктов с температурой вспышки свыше 55 °C и давлением насыщенных паров менее 26,6 кПа допускается применение резервуаров со стационарной крышей без понтона и плавающей крыши, оборудованных иными средствами сокращения выбросов в атмосферу.
17.3 Для нефтепроводов требуемый объем РП на НПС определяют исходя из следующего его назначения:
а) объем РП, предназначенный для приема нефти/нефтепродуктов от поставщиков, устанавливают в размере от двухсуточной до трехсуточной проектной пропускной способности подводящего трубопровода от поставщика;
б) на НПС с РП, расположенных на границе технологических участков, в месте перераспределения потока нефти между МТ, а также в условиях горного рельефа, для обеспечения бесперебойной работы МТ объем РП предусматривают в размере от 0,3- до 0,5-суточной проектной пропускной способности МТ;
в) при выполнении приемо-сдаточных операций на НПС с РП объем РП предусматривают в пределах от 1,0- до 1,5-суточной проектной пропускной способности МТ при организации резервной схемы учета статическим методом;
г) при совмещении на одной и той же НПС нескольких назначений, указанных в а), б), в), объем РП суммируют.
17.4 Для нефтепродуктопроводов требуемый объем РП на НПС определяют с учетом следующих критериев:
- проектная пропускная способность МТ, включая поставки от нефтеперерабатывающих заводов (см.
17.3);
- цикличность поступлений, включая последовательную перекачку.
17.5 При нескольких параллельных МТ суммарный используемый объем РП определяют исходя из проектных пропускных способностей каждого МТ.
17.6 При последовательной перекачке нефтепродуктов объем РП каждой НПС с РП и конечного пункта определяют с учетом количества циклов смены марок нефтепродуктов в году, но не менее данных, указанных в
17.2,
17.3.
17.7 При проектировании МТ учитывают:
а) объем РП морских перевалочных терминалов, определенных с учетом следующего:
1) необходимость создания запаса емкости на танкерную партию нефти/нефтепродукта (максимальный суммарный объем одновременно наливаемых танкеров);
2) необходимость создания запаса емкости с учетом максимальной продолжительности одного шторма в районе перевалочного терминала;
3) необходимость создания запаса емкости на период подхода танкера к причалу, швартовку, шланговку, оформление документов;
4) учет снижения танкерной партии за счет одновременного приема нефти/нефтепродукта из МТ в период налива танкера после шторма, за исключением случаев, когда технология приема и отгрузки нефти/нефтепродукта предусматривает отстой нефти/нефтепродукта в резервуарах, взятие проб, резервный учет продукта по РП;
б) емкость РП железнодорожных эстакад для слива/налива нефти и нефтепродуктов, определенная исходя из создания трехсуточного запаса емкости работы эстакады, но не менее объема одного маршрута;
в) емкость для обеспечения работы автоналивных пунктов, определенная исходя из запаса емкости по отгрузке нефтепродукта в зависимости от схемы перекачки от 3 сут (для монопродукта) до 5 сут (при последовательной перекачке).
17.8 Объем РАС обеспечивает прием нефти/нефтепродукта из расчета максимального поступления нефти/нефтепродукта на НПС за 1 ч. На МТ, оснащенных или оснащаемых автоматизированной системой, предназначенной для обеспечения комплексной защиты линейной части МТ технологических участков МТ при возникновении нештатных ситуаций одновременно с проектированием резервуаров аварийного сброса, объем резервуаров аварийного сброса определяют исходя из условия обеспечения 20 мин сброса нефти или нефтепродукта в аварийные резервуары и времени закрытия секущей задвижки на узле подключения к станции.
17.9 Количество РАС предусматривают не менее двух (однотипных) и рассчитывают исходя из обеспечения приема указанного объема нефти/нефтепродукта в случае вывода одного резервуара в ремонт.
17.10 Объем сброса в РАС определяют с учетом схемы работы РП:
- при приеме нефти (нефтепродукта) одновременно от нескольких МТ в один резервуар (группу резервуаров) РП объем сброса в РАС определяется исходя из суммарной подачи данных МТ;
- при приеме от различных МТ в различные резервуары (группы резервуаров) РП объем сброса в РАС определяется исходя из максимальной подачи одного из МТ.
17.11 Установка понтонов в резервуарах, предназначенных для аварийного сброса нефти/нефтепродукта, не допускается. В резервуары аварийного сброса не допускается прием нефти/нефтепродукта для транспортирования и хранения.
17.12 Количество резервуаров в составе РП предусматривают не менее двух без учета резервуаров аварийного сброса. Прием нефти/нефтепродукта аварийного сброса осуществляют в отдельные резервуары, не задействованные в технологических операциях транспортирования нефти/нефтепродукта. При соответствующем обосновании допускается в качестве резервуара аварийного сброса использовать резервуары товарного РП, с выделением в них соответствующего объема аварийного сброса, не задействованного в товарных технологических операциях.
17.13 Количество и номинальный объем резервуаров в составе РП определяют из условия вывода одного резервуара на техническое обслуживание или капитальный ремонт при сохранении минимального требуемого суточного запаса емкости в соответствии с
17.3,
17.4,
17.7. При этом номинальный объем резервуаров определяют технико-экономическим сравнением различных вариантов.
17.14 Необходимость применения тепловой изоляции резервуаров, а также дополнительных мероприятий по подогреву нефти/нефтепродукта в РП, устанавливается в проекте на основании теплотехнических расчетов с учетом температуры застывания нефти/нефтепродукта.
17.16 На вертикальных стальных резервуарах устанавливают оборудование в соответствии с
ГОСТ 31385.
18 Расстановка узлов пуска, приема и пропуска средств очистки и диагностирования
18.1 Для проведения внутритрубной диагностики МТ оборудуют узлами пуска и приема СОД.
18.2 Максимальная дистанция, обследуемая ВИП, ограниченная механическими свойствами (износостойкость, ресурс механических узлов ВИП), должна превышать протяженность диагностируемого участка трубопровода. При этом также учитывают состояние внутренней полости трубопровода (наличие абразивных примесей, шероховатость стенки труб), так как оно влияет на износ элементов ВИП.
18.3 При расстановке узлов пуска и приема СОД по трассе МТ учитывают максимальную дистанцию и время работы ВИП, ограниченные ресурсом встроенного источника питания ВИП и объемом запоминающего устройства ВИП, места размещения НПС на этапе полного развития МТ.
18.4 НПС, находящиеся в пределах участка между узлами пуска и приема СОД, оснащают узлами пропуска СОД при соблюдении положений
18.3.
18.5 Параметры узлов пуска и приема СОД, которыми оборудуется МТ, обеспечивают безопасные запасовку, пуск, прием и извлечение ВИП.
18.6 Узлы пуска и приема СОД предусматривают на лупингах, ответвлениях, протяженностью более 3 км, резервных нитках подводных переходов независимо от их протяженности.
(рекомендуемое)
РАСЧЕТ КОЭФФИЦИЕНТА ГИДРАВЛИЧЕСКОГО СОПРОТИВЛЕНИЯ
А.1 Гидравлическими расчетами определяются рабочие давления на выходе НПС с учетом гидравлических потерь, разности геодезических отметок, а также характеристик насосных агрегатов.
Гидравлические расчеты производятся, исходя из пропускной способности трубопровода, расчетных, физических характеристик перекачиваемой жидкости и расчетного диаметра.
А.2 В расчетах гидравлических потерь коэффициент гидравлического сопротивления

определяют:
- при числах Рейнольдса Re менее 2000 по формуле

(А.1)
- при числах Re от 2000 до 2800 по формуле

(А.2)
при числах Re от 2800 до Re1 по формуле

(А.3)
при числах Re от Re1 до Re2 по формуле

(А.4)
где
B - поправочный коэффициент, учитывающий влияние диаметра трубопровода

.
При числах Re больше Re
2 значение

остается постоянным и равно значению
B.
Предельные значения Re1, Re2 и значения B приведены в таблице А.1.
Таблица А.1
Значения Re
1, Re
2 и
B в зависимости
от наружного диаметра трубопровода
Наружный диаметр, мм | Re1 x 103 | Re2 x 103 | B x 10-4 |
159 | 11 | 800 | 162 |
219 | 13 | 1000 | 157 |
273 | 16 | 1200 | 151 |
325 | 18 | 1600 | 147 |
377 | 28 | 1800 | 143 |
426 | 56 | 2500 | 134 |
530 | 73 | 3200 | 130 |
630 | 90 | 3900 | 126 |
720 | 100 | 4500 | 124 |
820 | 110 | 5000 | 123 |
1020 | 120 | 6000 | 121 |
1067 | 122 | 6200 | 121 |
1220 | 125 | 6800 | 120 |
В
таблице А.1 приведены данные при следующих величинах шероховатости труб: для труб диаметром до 377 мм включительно принята средняя абсолютная шероховатость 0,125 мм, для труб диаметром 426 мм и более - 0,100 мм.
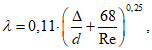
При выполнении гидравлических расчетов для нефтепродуктов при определении

в диапазоне чисел Re 2800 и менее следует использовать
формулы (А.1) и
(А.2). Для чисел Re более 2800 следует использовать формулу Альтшуля:

(А.5)
где d - внутренний диаметр, м;

- абсолютная шероховатость внутренней поверхности трубопровода (принимается равной 0,00015 м).
| Технический регламент | О безопасности нефти, подготовленной к транспортированию и (или) использованию |
| Технический регламент Таможенного союза | О требованиях к автомобильному и авиационному бензину, дизельному и судовому топливу, топливу для реактивных двигателей и мазуту |